Техническая эксплуатация электрооборудования цеха обработки корпусных деталей
Министерство образования и науки Российской Федерации
Уральский государственный колледж имени И.И. Ползунова
КП. 140613.6.ПЗ
Техническая эксплуатация электрооборудования цеха обработки корпусных деталей
Пояснительная записка
Руководитель Разработал
___________/Каргапольцев Ю.А./ __________/Дроздов С.В./
Екатеринбург 2011
Содержание
Введение
Технологический процесс объекта проектирования
Выбор электрооборудования грузоподъемных механизмов
3 Выбор электрооборудования металлорежущих станков
Выбор электрооборудования вентиляционных установок
Выбор системы освещения
6 Расчет электрических нагрузок цеха. Выбор числа мощности питающих
трансформаторов
7 Выбор линий электроснабжения оборудования
Организация планово-предупредительных технических обслуживаний и ремонтов оборудования
9 Мероприятия по безопасному выполнению работ
Заключение 47
Список использованных источников 48
ВВЕДЕНИЕ
Электрификация является основой строительства экономики и развития производственных сил страны. Электрификация обеспечивает выполнение задачи широкой комплексной механизации и автоматизации производственных процессов, что позволяет усилить темпы роста производительности общественного труда, улучшить качество продукции и облегчить условия труда. На базе использования электроэнергии ведется техническое перевооружение промышленности, внедрение новых технологических процессов и осуществление коренных преобразований в организации производства и управлении ими. Поэтому в современной технологии и оборудовании промышленных предприятий велика роль электрооборудования, т. е. совокупности электрических машин, аппаратов, приборов и устройств, посредством которых производится преобразование электрической энергии в другие виды энергии и обеспечивается автоматизация технологических процессов.
В современных условиях эксплуатация электрооборудования требует глубоких и разносторонних знаний, а задачи создания нового или модернизации существующего электрифицированного технологического механизма или устройства решаются совместными усилиями инженеров и электротехнического персонала. Требования к электрооборудованию вытекают из технологических данных и условий. Электрооборудование нельзя рассматривать в отрыве от конструктивных и технологических особенностей электрифицируемого объекта и на оборот.
Поэтому специалисты в области электрооборудования промышленных предприятий должны быть хорошо знакомы как с электрической частью, так и с основами технологических процессов и конструкциями установок металлообрабатывающих станков и машин, подъемно-транспортных механизмов и т.д.
В данном курсовом проекте , на формате А1, я изобразил принципиальные электрические схемы нескольких электрических установок: вентиляционной установки, мостового крана, токарно-винторезного станка и токарно-револьверного станка модели 1П 365.
Центробежные вентиляторы являются основным элементом различных вентиляционных установок. Они обеспечивают условия трудовой деятельности. Вентиляционные установки достаточно просто поддаются автоматизации по сигналам изменения режима и реагируют на них без участия обслуживающего персонала путем переключения в схемах управления.
Данная схема предназначена для, управления и защиты силовой цепи и цепей управления вентиляционной установки. Также вентиляционная установка предназначена для проветривания производственных помещений и поддерживания температуры в заданных пределах(Тзад 0С).
Краны это грузоподъемные устройства для вертикального и горизонтального перемещения грузов на небольшие расстояния. В целях предприятий наибольшее распространение получили мостовые краны. Однотипными узлами всех кранов являются:
- механизм передвижения моста;
- механизм передвижения тележки;
- механизм подъема и опускания груза .
Передвижение моста, по несущей конструкции, осуществляется по рельсам подкранового пути, вдоль пролета цеха.
Передвижение тележки осуществляется вдоль моста по проложенным рельсам на 4 ходовых колесах.
Механизм подъема представляет собой подъемную лебедку барабанного типа.
Токарные станки предназначены для обработки поверхностей вращающихся заготовок (изделий) резцами и другими применимыми инструментами.
Основные узлы станка:
- станина, для размещения и крепления оборудования;
- передняя и задняя бабки;
- суппорт;
- шкаф с электрооборудование.
Применение таких станков повышает производительность, по сравнению с токарно-винторезными, до трех раз.
Электрооборудование промышленных предприятий и установок проектируется, монтируется и эксплуатируется в соответствии с Правилами устройства электроустановок (ПУЭ) и другими руководящими документами.
1 ТЕХНОЛОГИЧЕСКИЙ ПРОЦЕСС
Последовательность выполнения различных видов обработки, направленная на превращение заготовки в готовую деталь, составляет технологический процесс. Технологический процесс это часть производственного процесса, содержащая действия по изменению и последующему определению состояния предмета производства.
В условиях серийного производства, т. е. при изготовлении деталей партиями (или сериями), технологический процесс обработки расчленяют на несколько операций, которые могут выполняться последовательно на одном и том же или на разных станках.
Цех обработки корпусных деталей предназначен для механической и антикоррозийной обработки изделий. Он содержит станочное отделение, гальванический и сварочные участки. Транспортные операции выполняются с помощью консольно-поворотных кранов и мостового крана. Участок получает электроснабжение от цеховой трансформаторной подстанции 10/0,4 кВ; расположенный в пристройке металлоизделий.
ВЫБОР ЭЛЕКТРООБОРУДОВАНИЯ ГРУЗОПОДЪЕМНЫХ МЕХАНИЗМОВ
Мостовые краны применяют в цехах ремонтных предприятий и производственных цехах предприятий строительной индустрии.
Передвижение моста, по несущей конструкции, осуществляется по рельсам подкранового пути, вдоль пролета цеха.
Передвижение тележки осуществляется вдоль моста по проложенным рельсам на 4 ходовых колесах.
Механизм подъема представляет собой подъемную лебедку барабанного типа.
В курсовом проекте мы рассчитали и выбрали электрооборудование крана.
Исходные данные для расчета :
Gн = 10 (т);
Go =26,6 (т);
V =2,1 (м/с);
L = 48(м);
Дк = 500(мм);
dц = 140(мм);
= 0,01/0,05;
f= 0,0005/0,001;
k2 = 1,8/2,5;
i= 9;
= 0,87;
ПВ=25%.
I 1 Определение статической нагрузки , статическая мощность при перемещении моста с грузом.
Pсг =
(1)
Pсг =
2 Статическая мощность при перемещении моста без груза.
Pco =
(2)
Pco=
= 15,6(кВт);
3 Время одной операции по перемещению моста вдоль цеха
tp =
(3)
4 Эквивалентная статическая мощность.
Pэкв. =
(4)
Pэкв. = 
5 Расчетная угловая скорость.
Wрасч. =
Wрасч. = (5)
6 Скорость вращения двигателя.
расч. = 9,55* Wрасч.; (6)
расч. = 9,55*75,6 = 721,9(об/мин);
Выбираем предварительно крановый асинхронный двигатель с короткозамкнутым ротором серии 4А225S8У3.
Параметры двигателя : Pн = 37(кВт); nн = 735(об/мин); н = 90,0%; cos= 0,83;
J = 1,16(кг*м2); ПВ=25%; 
II 1 суммарный момент инерции при пуске с грузом.
Jнг = K2*Jдв +
*; (7)
Jнг = 2,5*1,16+
* = 33,2(кг*м2);
При торможении с грузом.
Jмг = K2* Jдв+m**nн ; (8)
Jмг = 2,5*1,16+36600*(0,0007)*0,9 =25,9 (кг*м2);
Суммарный момент инерции при запуске без груза.
Jпо = K2 * Jдв + * ; (9)
Jпо = 2,5*1,16+
*(0,0007) =22,4 (кг*м2);
Суммарный момент инерции при торможении без груза.
Jmo = K2* Jдв+m **nн; (10)
Jmo =2,5*1,16+
*(0,0007)*0,9=20,4 (кг*м2);
Динамический момент при пуске с грузом.
Мдг= Jнг*
; (11)
Мдг=33,2*
= 255,3(Н*М); t=dt=10(с); Wн=dw;
Принимаем дополнительное время спуска 10секунд.
Динамический момент при торможении с грузом.
Мдпо= Jмг*
(12)
Мдпо=25,9*199,1(Н*М);
7 Динамический момент при пуске без груза.
Мдпо= Jпо*
(13)
Мдпо=22,4*172,2 (Н*М);
Динамический момент при торможении без груза.
Мдто= Jmo*
(14)
Мдто=20,4*156,8 (Н*М);
9 Статический момент загруженного крана.
Мсг= (15)
Мсг=
427,8 (Н*М);
Статический момент крана без груза.
Мсг= (16)
Мсг=
=202,8 (Н*М);
Принимая для среднего режима ПВ=25%; находим суммарное время пауз.
to=
(17)
to=
=281,т.е. 281/2=140(с), для снятия и крепления груза.
Суммарные нагрузки.
При пуске с грузом: М1=255,3+427,8=683,1 (Н*М);
При торможении с грузом:М2=255,3+199,1=454,4 (Н*М);
При пуске без груза:М3=202,8+172,2=375 (Н*М);
При торможении без груза:М4=202,8+156,8=359 (Н*М).
Мэ=
= 411,6(Н*М);

Рисунок 1 график зависимости момента двигателя от времени
Рэкв.= Мэ* Wн; Рэкв.=411,6 *10-3*28,7=11,8(кВт); (18)
15 Мы произвели необходимые расчеты для выбора двигателя. По справочнику выбираем асинхронный двигатель с короткозамкнутым ротором . 4А180М8У3
Параметры двигателя : Pн = 15,0(кВт); nн = 730(об/мин); н = 87,0%;
cos= 0,82; J = 25*10-2(кг*м2); ПВ=25%; 
Номинальный момент двигателя.
Мн= (19)
Мн=
Мм=0,82*2,5*194,8=399,3 (Н*М).
,8-учитывает возможное понижение напряжение ;
,5- коэффициент перегрузки для кранов и двигателей .
Двигатель проходит по пусковому моменту, т.к. номинальный момент не превышает максимальный.
Выбираем два асинхронных двигателя с короткозамкнутым ротором серии 4А200М8У3 необходимые данные заносим в таблицу 1.
Параметры двигателя: : Pн = 18,5(кВт); nн = 735(об/мин); н = 88,5%;
сos = 0,82; J = 25*10-2(кг*м2); 
Мощность двигателя главного подъема принимаем 70% от полной мощности механизма перемещения моста. Выбираем электродвигатель ближайший больший стандартной мощности. По справочнику выбираем асинхронный двигатель с короткозамкнутым ротором . 4А200М8У3 и необходимые данные заносим в таблицу 1.
Параметры двигателя : Pн = 18,5(кВт); nн = 755(об/мин); н = 88,5%;
cos= 0,84; J = 45,3*10-2(кг*м2); ПВ=25%; 
Мощность двигателя механизма перемещения тележки принимаем 10% от полной мощности механизма перемещения моста. Выбираем электродвигатель ближайший больший стандартной мощности.
По справочнику выбираем асинхронный двигатель с короткозамкнутым ротором . 4А112МА8У3 и необходимые данные заносим в таблицу 1.
Параметры двигателя : Pн = 2,2(кВт); nн = 700(об/мин); н = 76,5%;
cos= 0,71; J = 40*10-2(кг*м2); 
Таблица 1- технические данные двигателей крана при ПВ=25%
|
Наименование механизма крана |
Мощность |
Сила тока |
|
Механизм перемещения моста |
*18,5 |
*34,4 |
|
Главный подъем |
,3 |
|
|
Механизм перемещения тележки |
,2 |
,9 |
Определяем расчетную силу длительного тока.
Ip=K1*P3+K2*Pн; (20)
где, K1=0,6; и K2=0,3; P3-сумма трех наибольших номинальных мощностей; Рн-сумма всех номинальных мощностей.
Ip=0,6*(18,5+18,5+37)+0,3*(72+2,2)=66,7(А);
Iм.п= Ip+(К-1)*Iм.н; где, К-кратность; К=5,5. (21)
Iм.п=66,7+(5,5-1)*46,3=275 (А);
а)
u=u*Lф; (22)
u=0,48*42=20,16(в) или
=5,3%; (при питании с одного конца);
б)
u1=u*
; (23)
u1=0,48*
=10,1(в) или
=2,6%; (при питании в средней точке);
Оптимальным и экономичным вариантом будет питание со средней точки, т.к. потери со средней точки составляют меньше, чем потери с конца.
u=5,3% >
u1=2,6%
3 ВЫБОР ЭЛЕКТРООБОРУДОВАНИЯ МЕТАЛЛОРЕЖУЩИХ СТАНКОВ
Металлорежущий станок станок, предназначенный для размерной обработки металлических заготовок путем снятия материала.
В данном курсовом проекте мы рассматриваем и рассчитываем электрооборудование цеха обработки корпусных деталей. Данный цех не может существовать без применения металлообрабатывающих и металлорежущих станков. Исходя из этого я рассчитал и выбрал электрооборудование для металлорежущих станков.
РАСЧЕТ И ВЫБОР АППАРАТОВ ЗАЩИТЫ
Нормативные документы рекомендуют выбирать в качестве аппаратов защиты автоматические выключатели.
Для курсового проекта выбираем автоматические выключатели, для электроустановок напряжением до 1000 В.
Для электродвигателей переменного тока работающего в продолжительном режиме ток определяется по формуле:

(24)
где: P мощность ЭД переменного тока, кВт;
Uн. номинальное напряжение ЭД, кВ;
КПД ЭД, отн. ед.
Примечание: если ЭД повторно-кратковременного режима, то
.
Рассчитаем Iн. для токарных специальных станков пользуясь таблицей 1. подставляем в формулу значения:
н =
77,7(А);
Дальнейший расчет мы производим аналогично, все полученные данные заносим в Таблицу 2
По формуле:
mр =1.15*н ; (25)
где: Iтр. ток теплового реле, номинальный, А
Находим ток теплового реле, А
mр =1.15*77,7=89,3 (А)
Дальше производим аналогичный расчет с занесением результатов в
Таблицу 2 ;
Таблица 2 - Расчетная таблица
|
Наименование ЭО |
Iтр. |
Iнр. |
|
Продольно-фрезерные станки |
73,6 |
80 |
|
Горизонтально-расточные станки |
23,3 |
25 |
|
Агрегатно-расточные станки |
31,1 |
31,5 |
|
Плоскошлифовальные станки |
26,7 |
31,5 |
|
Вентиляторы |
22,3 |
25 |
|
Токарно-шлифовальный станок |
24,4 |
25 |
|
Радиально-сверлильные станки |
12,5 |
12,5 |
|
Алмазно-расточные станки |
13,3 |
16 |
Таблица 3 - Сводная ведомость выбранных аппаратов защиты
|
Наименование ЭО |
тип. |
Iна |
Iнр |
Kу(тр) |
|
Вентиляторы |
ВА 51-25-3 |
25 |
.35 |
|
|
Продольно-фрезерные станки |
ВА 51-31-3 |
100 |
80 |
.35 |
|
Горизонтально-расточные станки |
ВА 51-25-3 |
25 |
1.35 |
|
|
Агрегатно-расточные станки |
ВА 51-31-3 |
100 |
1,5 |
.35 |
|
Плоскошлифовальные станки |
ВА 51-31-3 |
100 |
31,5 |
.35 |
|
Токарно-шлифовальный станок |
ВА 51-25-3 |
25 |
25 |
.35 |
|
Радиально-сверлильные станки |
ВА 51-25-3 |
25 |
12,5 |
1.35 |
|
Алмазно-расточные станки |
ВА 51-25-3 |
25 |
16 |
.35 |
Защита должна обладать необходимой селективностью (избирательностью), т.е. в системе аппаратов защиты должен срабатывать ближайший к месту аварии аппарат.
Для курсового проекта выбираем вводной шкаф с выключателями ВА55-37-3 на вводе.
На основании исходных данных (Таблица 8) выбираем тип и марку двигателя, заносим в таблицу 4.
Таблица 4 выбор электродвигателей
|
Тип двигателя |
Pн, кВт |
При ном. нагрузке |
|
|
|
|
J |
||
|
Nн |
КПД |
Cos |
|||||||
|
4А132М4У3 |
,0 |
87,50 |
,87 |
,0 |
,2 |
,7 |
,5 |
4*10-2 |
|
|
4А112М4У3 |
,50 |
85,50 |
,85 |
,2 |
,0 |
,6 |
,0 |
,75*10-2 |
|
|
4А132М4У3 |
,0 |
87,50 |
,87 |
,0 |
,2 |
,7 |
,5 |
4*10-2 |
|
|
4А132S4У3 |
,50 |
,50 |
,86 |
,0 |
,2 |
,7 |
,5 |
,75*10-2 |
|
|
4А112М4У3 |
,50 |
85,50 |
,85 |
,2 |
,0 |
,6 |
,0 |
,75*10-2 |
|
|
4А132М4У3 |
,0 |
87,50 |
,87 |
,0 |
,2 |
,7 |
,5 |
4*10-2 |
|
|
4А160S4У3 |
,0 |
,50 |
,88 |
,3 |
,4 |
,0 |
,0 |
,3*10-2 |
|
|
4А160S4У3 |
,0 |
,50 |
,88 |
,3 |
,4 |
,0 |
,0 |
,3*10-2 |
|
|
4А132S4У3 |
,50 |
,50 |
,88 |
,0 |
,2 |
,7 |
,5 |
,75*10-2 |
|
|
4А100S4У3 |
,0 |
,0 |
,83 |
,4 |
,0 |
,6 |
,0 |
,8*10-4 |
|
|
4А160М4У3 |
,50 |
,50 |
,88 |
,3 |
,4 |
,0 |
,0 |
,8*10-2 |
|
|
4А200М4У3 |
,0 |
91,0 |
,90 |
,5 |
,4 |
,0 |
,0 |
,8*10-2 |
|
|
4А132М4У3 |
,0 |
87,50 |
,87 |
,0 |
,2 |
,7 |
,5 |
4*10-2 |
ВЫБОР ЭЛЕКТРООБОРУДОВАНИЯ ВЕНТИЛЯЦИОННЫХ УСТАНОВОК
Вентиляция один из главных факторов нужный для комфортной работы персонала.
Вентиляция бывает трех видов приточная, вытяжная и приточно-вытяжная. Приточная вентиляция служит для подачи свежего воздуха в помещения. При необходимости, подаваемый воздух нагревается и очищается от пыли. Вытяжная вентиляция, напротив, удаляет из помещения загрязненный или нагретый воздух. Обычно в помещении устанавливается как приточная, так и вытяжная вентиляция. Так же бывает естественная и искусственная вентиляция. Естественная создается без применения электрооборудования, а искусственная применяется там где не достаточно естественной. Такие системы вентиляции могут удалять или подавать воздух в вентилируемые помещения не зависимо от условий окружающей среды.
Электрооборудование вентилятора
Р=
; (25)
Q производительность (м3/с);
Н давление (1 ат=98066,5 Па);
- КПД вентилятора (для центробежных вентиляторов, от 0,4 до 0,7);
п КПД передачи (для клиноременной передачи, от 0,92 до 0,94);
Из этой формулы выведем формулу для расчета производительности вентиляторов.
Q=
=0,019(м3/с);
Исходя из мощности вентилятора, выбираем двигатель.
Параметры двигателя: Pн = 5,5(кВт); nн = 720(об/мин); н = 83,0%;
cos= 0,74; J = 5,75*10-2(кг*м2); Мп/Мн = 1,9; Ммах/Мн = 2,6.
ВЫБОР СИСТЕМЫ ОСВЕЩЕНИЯ
Помещения с постоянным пребыванием людей должны иметь, как правило, естественное освещение. Без естественного освещения допускается проектировать помещения, которые определены соответствующими главами СНиП на проектирование зданий и сооружений, нормативными документами по строительному проектированию зданий и сооружений отдельных отраслей промышленности, утвержденными в установленном порядке, а также помещения, размещение которых разрешено в подвальных и цокольных этажах зданий и сооружений. Естественное освещение подразделяется на боковое, верхнее и комбинированное.
Для освещения помещений следует использовать, как правило, наиболее экономичные разрядные лампы. Использование ламп накаливания для общего освещения допускается только в случае невозможности или технико-экономической нецелесообразности использования разрядных ламп.
Расчет системы освещения будем производить методом коэффициента использования светового потока. Этот метод применяется для ( расчета общего равномерного освещения горизонтальных поверхностей при светильниках любого типа ). Суть метода заключается в вычислении коэффициента для каждого помещения, исходя из основных параметров освещения и светоотражающих свойств отделочных материалов.
Для освещения участка цеха обработки корпусных деталей будем применять разрядные лампы. Так как в цехе имеется крановое оборудование, то будем применять дуговые лампы.
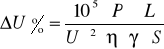
Определим расчетный световой поток лампы, которую необходимо установить в светильник:
Fл=
; (26)
где, Eн- нормируемая освещенность ;
Eн=100(ЛК) на уровне пола;
К-Кз=1,8 , учитывающий загрязнение светильника в реальных условиях технологического процесса;
Z=1,4 , поправочный коэффициент;
S- площадь освещаемого помещения;
n- число светильников;
=0,9 ,коэффициент использования светового потока.
Fл=
=44800 (Лм);
По справочнику выбираем лампу ДРЛ-1000-3
Параметры лампы: U на лампе =145(В); Рн=1000(Вт); Fл=50000(Лм);
диаметр =181(мм); полная длина = 410(мм).
После необходимых расчетов изобразим схему расположения светильников в помещении.
L B
A
Рисунок 3- схема расположения светильников в помещении
Hc=H - hcв - hp .1
где, Н - общая высота помещения, м;
hcв - высота от потолка до нижней части светильника, м;
hр - высота от пола до освещаемой поверхности, м.
Чтобы уменьшить ослепляющее действие светильников общего освещения, высоту подвеса их над уровнем пола устанавливают не менее 2,5-4 м при лампах мощностью до 200 Вт и не менее 3-6 м при лампах большей мощности. При расположении светильников в линию (ряд), если выдержано отношение L / h, рекомендуется принимать Z = 1,1 для люминесцентных ламп и Z = 1,15 для ламп накаливания и ДРЛ.
6 РАСЧЕТ ЭЛЕКТРИЧЕСКИХ НАГРУЗОК ЦЕХА. ВЫБОР ЧИСЛА И МОЩНОСТИ ПИТАЮЩИХ ТРАНСФОРМАТОРОВ
Метод коэффициента максимума
Это основной метод расчета электрических нагрузок, который сводится к определению максимальных
расчетных нагрузок группы электроприемников. Целью расчета электрических нагрузок является выбор силовых трансформаторов. Расчет может производится несколькими методами.

(27,28,29)
; (30)
где
максимальная активная нагрузка, кВт;
максимальная реактивная нагрузка, квар;
максимальная полная нагрузка, кВ-А;
коэффициент максимума активной нагрузки;
коэффициент максимума реактивной нагрузки;
- средняя активная мощность за наиболее нагруженную
- смену ,кВт;
средняя реактивная мощность за наиболее нагруженную смену, квар.
Произведем расчет для 1 группы электроприемников:
; (31)
; Км=1,21;
Определим потери мощности в трансформаторе:

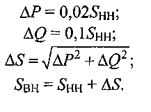
Подставив числа мы получим :
P=5.4 кВт; Q=27.4 квар; S=27,9кВА; SBH=295,1кВА.
Определяем число и мощность питающих трансформаторов.
2хТМ-400/10/0,4 возьмем 2 трансформатора, чтобы осуществить резервное питание после необходимо разбить все электроприемники на 2 секции. Это сбалансирует нагрузку на эти трансформаторы.
Таблица 5 - Перечень ЭО цеха обработки корпусных деталей
|
№ на плане |
Наименование ЭО |
Вариант 1 Pэп, кВт |
Примечание |
|
1…4 |
Сварочные аппараты |
52 |
ПВ=60% |
|
5…9 |
Гальванические ванны |
28 |
|
|
10,11 |
Вентиляторы |
10 |
|
|
12,13 |
Продольно-фрезерные станки |
33 |
|
|
14,15 |
Горизонтально-расточные станки |
10,5 |
|
|
16,24,25 |
Агрегатно-расточные станки |
14 |
|
|
17,18 |
Плоскошлифовальные станки |
12 |
|
|
19…23 |
Краны консольные поворотные |
6,5 |
ПВ=25% |
|
26 |
Токарно-шлифовальный станок |
11 |
|
|
27…30 |
Радиально-сверлильные станки |
5,2 |
|
|
31,32 |
Алмазно-расточные станки |
6 |
Таблица 6- Сводная ведомость нагрузок по цеху
|
Наименование Элэлектроприемника |
Нагрузка установленная |
Нагрузки средние за смену |
Нагрузки Max. |
|
PH |
n |
PH |
Ku |
Cos |
tg |
m |
Pср.см |
Qсм |
Sсм |
Nэ =n |
Km |
Km |
Pм |
Qм |
Sм |
Iм |
|
|
Сварочные аппараты |
52 |
4 |
08 |
0.2 |
0.6 |
1.33 |
41.6 |
55.3 |
4 |
||||||||
|
Гальванические ванны |
28 |
5 |
140 |
0.75 |
0.95 |
0.33 |
105 |
34.6 |
5 |
||||||||
|
Вентиляторы |
10 |
2 |
20 |
0.6 |
0.8 |
0.75 |
12 |
9 |
|||||||||
|
Продольно-фрезерные станки |
33 |
2 |
66 |
0.14 |
.5 |
.73 |
9.24 |
15.9 |
2 |
||||||||
|
Горизонтально-расточные станки |
10.5 |
2 |
21 |
0.14 |
0.5 |
1.73 |
2.94 |
5.08 |
2 |
||||||||
|
Агрегатно-расточные станки |
14 |
3 |
42 |
0.14 |
.5 |
.73 |
5.88 |
10.1 |
3 |
||||||||
|
Плоскошлифовальные станки |
12 |
2 |
24 |
0.14 |
0.5 |
.73 |
3.36 |
5.81 |
2 |
||||||||
|
Краны консольные поворотные |
6.5 |
5 |
32.5 |
0.1 |
0.5 |
1.73 |
3.25 |
5.62 |
5 |
||||||||
|
Токарно-шлифовальный станок |
11 |
11 |
0.14 |
.5 |
.73 |
1.54 |
2.6 |
||||||||||
|
Радиально-сверлильные станки |
5.2 |
4 |
20.8 |
0.14 |
.5 |
.73 |
2.9 |
5.01 |
4 |
||||||||
|
Алмазно-расточные станки |
6 |
12 |
0.14 |
.5 |
.73 |
1.68 |
2.9 |
||||||||||
|
Итог |
597.3 |
189.3 |
151.9 |
242.7 |
32 |
1.21 |
229.05 |
151.9 |
274.8 |
392.5 |
|||||||
|
Потери |
5.4 |
27.4 |
27.9 |
||||||||||||||
|
На высокой стороне |
234.45 |
179.3 |
295.1 |
7 РАСЧЕТ И ВЫБОР СИСТЕМЫ ЭЛЕКТРОСНАБЖЕНИЯ

Электрический ток протекая по проводнику нагревает его до определенной температуры. В процессе эксплуатации электрического оборудования необходимо чтобы электрическая изоляция проводника выдерживала определенные температурные воздействия не разрушаясь. ПУЭ определяет значения длительно допустимого тока по материалу жилы. В паспорте на любое электрическое оборудования указано его номинальная мощность в (кВт) Рн. Чтобы определить длительно допустимый ток, потребляемой этой установкой необходимо:
(36)
Зададимся:
= 0,8

Определим значение I доп. для линии электроснабжения от электрощитка до каждого цехового электрического приемника.
Рассчитаем первую линю для Токарного специального станка:

Результат заносим в Таблицу 8.
Дальнейший расчет производим аналогично занося результаты в Таблицу 8.На основании расчета определим сечения жил кабеля. Будем выбирать 5 жильный кабель с ПВХ изоляцией в ПВХ оболочке с НГ и LS, материал жилы Cu.
ВВГнгLS 5х (сечения)
Чтобы найти длину L нам необходимо воспользоваться практической частью проекта, а именно планом расположения электрооборудования на
плане мы высчитываем длину от РП до ЭД (рис. 4)
Рисунок 4 - прокладка кабельной линии в земле
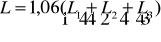
Чтобы найти длину воспользуемся формулой :
(37)
Результаты всех подсчетов заносим в Таблицу
найдем
по формуле:
(38)
где:
удельная электропроводность меди.
S сечения кабельной жилы.
Произведем расчет для Токарного специального станка:

Дальнейшие расчеты проводим аналогично и заносим результаты в Таблицу 8 .
Таблица 8 - Сводная ведомость по выбору сечение и кабеля
|
Наименование приемника |
Рэп (кВт )= Рн |
Iдоп. (А) |
Сечение кабельной жилы |
Потери U% |
Тип кабеля |
|
Сварочные аппараты №1 |
52 |
95,2 |
10 |
0,9 |
ВВГнг 510 |
|
№2 |
52 |
95,2 |
0 |
,66 |
ВВГнг 510 |
|
№3 |
52 |
95,2 |
0 |
0,28 |
ВВГнг 510 |
|
№4 |
52 |
95,2 |
0 |
0,31 |
ВВГнг 510 |
|
Гальванические ванны №5 |
28 |
66,5 |
6 |
0,201 |
ВВГнг 56 |
|
№6 |
28 |
66,5 |
6 |
0,39 |
ВВГнг 56 |
|
№7 |
28 |
66,5 |
6 |
0,64 |
ВВГнг 56 |
|
№8 |
28 |
66,5 |
6 |
0,9 |
ВВГнг 56 |
|
№9 |
28 |
66,5 |
6 |
1,13 |
ВВГнг 56 |
|
Вентиляторы №10 |
10 |
23,7 |
0,34 |
ВВГнг 51 |
|
|
№11 |
10 |
23,7 |
0,37 |
ВВГнг 51 |
|
|
Продольно-фрезерные станки №12 |
33 |
78,4 |
0 |
0,42 |
ВВГнг 510 |
|
№13 |
33 |
78,4 |
0 |
0,66 |
ВВГнг 510 |
|
Горизонтально-расточные станки №14 |
10.5 |
24,9 |
3,3 |
ВВГнг 51 |
|
|
№15 |
10.5 |
24,9 |
4,6 |
ВВГнг 51 |
|
|
Агрегатно-расточные станки №16 |
14 |
33,2 |
2,5 |
2,26 |
ВВГнг 52,5 |
|
№24 |
14 |
33,2 |
2,5 |
0,33 |
ВВГнг 52,5 |
|
№25 |
14 |
33,2 |
2,5 |
0,91 |
ВВГнг 52,5 |
|
Плоскошлифовальные станки №17 |
12 |
28,5 |
,5 |
2,17 |
ВВГнг 51,5 |
|
№18 |
12 |
28,5 |
1,5 |
1,16 |
ВВГнг 51,5 |
|
Краны консольные поворотные №19 |
6.5 |
15,4 |
1,2 |
ВВГнг 51 |
|
|
№20 |
6.5 |
15,4 |
1,07 |
ВВГнг 51 |
|
|
№21 |
6.5 |
15,4 |
1 |
1,1 |
ВВГнг 51 |
|
№22 |
6.5 |
15,4 |
1 |
1,2 |
ВВГнг 51 |
|
№23 |
6.5 |
15,4 |
1 |
1,2 |
ВВГнг 51 |
|
Токарно-шлифовальный станок №26 |
11 |
26,1 |
1 |
3,05 |
ВВГнг 51 |
|
Радиально-сверлильные станки №27 |
5.2 |
12,3 |
1 |
2,05 |
ВВГнг 51 |
|
№28 |
5.2 |
12,3 |
1 |
2,44 |
ВВГнг 51 |
|
№29 |
5.2 |
12,3 |
1 |
1,8 |
ВВГнг 51 |
|
№30 |
5.2 |
12,3 |
1 |
1,4 |
ВВГнг 51 |
|
Алмазно-расточные станки №31 |
6 |
14,2 |
1 |
1,06 |
ВВГнг 51 |
|
№32 |
6 |
14,2 |
1 |
0,36 |
ВВГнг 51 |
8 ОРГАНИЗАЦИЯ ПЛАНОВО-ПРЕДУПРЕДИТЕЛЬНЫХ ТЕХНИЧЕСКИХ ОБСЛУЖИВАНИЙ И РЕМОНТОВ
Планирование ремонтов электрических машин.
Определим плановую продолжительность работы между двумя ремонтами по формулам :
Tпл. = Ттабл. * к * р * и * о * с ; (39)
tпл. = tтабл. * к * р * и * о * с ; (40)
где, Ттабл. продолжительность ремонтного цикла, которое указанно в приложении 1;
tтабл. продолжительность межремонтного цикла, которое указанно в таблице 9;
к коэффициент, учитывающий реальный характер нагрузки электрической машины; к = 0,75 для коллекторных машин; к = 1,0 для остальных машин.
р - коэффициент, учитывающий сменность работы машины; р в данном цехе 2 смены , т.е. р = 1 ;
и коэффициент использования;
о = о = 1; для электрических машин, отнесенных к вспомогательному оборудованию, для машин основного оборудования о = 0,85; о = 0,7;
с =1,0 для электрических машин , установленных на стационарных установках, для машин передвижных электрических установок с = 0,6 ;
Таблица 9 продолжительность ремонтного и межремонтного цикла
|
Условия работы электрических машин |
Ттабл. лет |
tтабл. мес. |
|
Сухие помещения |
||
|
Горячие, гальванические и химические цеха |
||
|
Загрязненные цеха деревообработки, сухой шлифовки и т.п. |
||
|
Длительные циклы непрерывной работы с большой нагрузкой приводы насосов, компрессоров и т.д. |
Определяем годовую трудоемкость работ по формуле :
Тр. =
; (41)
где А1 количество станков ;
Т1 период времени между двумя плановыми капитальными ремонтами;
норма трудоемкости капитального ремонта ;
период времени между двумя плановыми текущими ремонтами ;
- норма трудоемкости текущего ремонта ;
Tпл.1 = 6*1*1*1*0,85*1 = 5,1;
tтабл.1 = 0,66*1*1*1*0,7*1 = 0,462;
Тр.1 =
; (42)
Тр.1 = = 18,84 ;
Последующий расчет производим по аналогии . Все расчеты записываем в таблицу 10 .
Таблица 10 плановая продолжительность работы между двумя ремонтами.
|
Наименование приборов и оборудования |
Кол-во |
Tпл. |
tтабл. |
Тр. |
|
Сварочные аппараты |
4 |
,1 |
,462 |
,84 |
|
Гальванические ванны |
4 |
,1 |
,462 |
,35 |
|
Вентиляторы |
2 |
,1 |
,462 |
,79 |
|
Продольно-фрезерные станки |
2 |
,1 |
,462 |
,24 |
|
Горизонтально-расточные станки |
2 |
,1 |
,462 |
|
|
Агрегатно-расточные станки |
3 |
,1 |
,462 |
,24 |
|
Плоскошлифовальные станки |
2 |
,1 |
,462 |
,93 |
|
Краны консольные поворотные |
4 |
,5 |
,495 |
,06 |
|
Токарно-шлифовальный станок |
1 |
,1 |
,462 |
,44 |
|
Радиально-сверлильные станки |
3 |
,1 |
,462 |
,95 |
|
Алмазно-расточные станки |
2 |
,1 |
,462 |
,79 |
|
Тр. = 462,62 |
Таблица11 -определяем трудоемкость ремонтов и продолжительность межремонтных периодов электроустановок общего назначения .
|
Электроустановки |
Трудоемкость |
Продолжительность межремонтных периодов , мес. |
||
|
Капитальный М1 |
Текущий m1 |
|||
|
Силовые 3х фазные двух-обмоточные масляные трансформаторы, напряжением до 10кВ, мощность кВ*А до 630 |
*** |
|||
|
Выключатели нагрузки на ток до 400 А . |
12 |
4 |
||
|
Конденсаторные установки, напряжением до 10,5кВ, мощность квар. до 80 |
30 |
10 |
48 |
6 |
|
КЛ напряжением до10кВ на 1000 м длины кабеля сечением 95- 120 мм2, проложенные в земле |
90 |
27 |
240 |
12 |
|
Магнитные нереверсивные пускатели для электродвигателей, мощностью 75 кВт; контакторы до 600 А переменного тока |
30 |
10 |
84 |
6 |
|
Магнитные крановые контроллеры переменного тока для двигателей мощностью 20-100 кВт |
40 |
14 |
72 |
|
|
Внутрицеховые силовые сети сечением 95-120 мм2, проложенные в трубах на 100 м длины, 3 провода |
33 |
10 |
168 |
12 |
Таблица12 -определяем трудоемкость ремонтов и продолжительность межремонтных периодов электроустановок специального назначения .
|
Электроустановки |
Трудоемкость |
Продолжительность межремонтных периодов , мес. |
||
|
Капитальный М1 |
Текущий m1 |
|||
|
Осветительные сети из кабеля, провода, шнура сечением 3Х2,5-4мм2, проложенные по кирпичным основаниям на 100м длины |
36 |
6 |
168 |
12 |
Таблица 13 - График планово-предупредительных технических обслуживаний и ремонтов оборудования
|
Время Оборудование |
Январь |
Февраль |
Март |
Апрель |
Май |
Июнь |
Июль |
Август |
Сентябрь |
Октябрь. |
Ноябрь |
Декабрь |
|
Сварочные аппараты.№1,2,3,4 |
Т |
М |
М |
М |
Т |
|||||||
|
Гальванические ванны№5,6,7,8,9 |
Т |
М |
М |
М |
Т |
|||||||
|
Вентиляторы№10,11 |
Т |
М |
М |
М |
Т |
М |
||||||
|
Продольно-фрезерные станки№12,13 |
Т |
М |
М |
М |
Т |
|||||||
|
Горизонтально-расточные станки№14,15 |
М |
Т |
М |
М |
||||||||
|
Агрегатно-расточные станки№16,24,25 |
М |
М |
Т |
М |
М |
|||||||
|
Плоскошлифовальные станки№17,18 |
М |
М |
Т |
М |
М |
|||||||
|
Краны консольные поворотные№19-23 |
М |
М |
Т |
М |
М |
|||||||
|
Токарно-шлифовальный станок№26 |
М |
М |
Т |
М |
М |
|||||||
|
Радиально-сверлильные станки№27-30 |
Т |
М |
М |
Т |
М |
|||||||
|
Алмазно-расточные станки№31,32 |
М |
Т |
М |
М |
Т |
М |
||||||
|
Вентиляторы |
Т |
М |
М |
М |
Т |
М |
||||||
|
Мостовые краны |
Т |
М |
М |
М |
Т |
М |
||||||
|
Освещение |
М |
Т |
М |
М |
Т |
МЕРОПРИЯТИЯ ПО БЕЗОПАСТНОМУ ВЫПОЛНЕНИЮ РАБОТ В ЭЛЕКТРОУСТАНОВКАХ
9.1Требования к персоналу
9.1.1 Работники, принимаемые для выполнения работ в электроустановках, должны иметь профессиональную подготовку, соответствующую характеру работы. При отсутствии профессиональной подготовки такие работники должны быть обучены (до допуска к самостоятельной работе) в специализированных центрах подготовки персонала (учебных комбинатах, учебно-тренировочных центрах и т.п.).
9.1.2 Профессиональная подготовка персонала, повышение его квалификации, проверка знаний и инструктажи проводятся в соответствии с требованиями государственных и отраслевых нормативных правовых актов по организации охраны труда и безопасной работе персонала.
9.1.3 Проверка состояния здоровья работника проводится до приема его на работу, а также периодически, в порядке, предусмотренном Минздравом России. Совмещаемые профессии должны указываться администрацией организации в направлении на медицинский осмотр.
9.1.4 Электротехнический персонал до допуска к самостоятельной работе должен быть обучен приемам освобождения пострадавшего от действия электрического тока, оказания первой помощи при несчастных случаях.
9.1.5 Электротехнический (электротехнологический) персонал, должен пройти проверку знаний настоящих Правил и других нормативно-технических документов (правил и инструкций по технической эксплуатации, пожарной безопасности, пользованию защитными средствами, устройства электроустановок) в пределах требований, предъявляемых к соответствующей должности или профессии, и иметь соответствующую группу по электробезопасности.
Работнику, прошедшему проверку знаний по охране труда при эксплуатации электроустановок, выдается удостоверение установленной формы), в которое
вносятся результаты проверки знаний.
9.1.6 Работники, обладающие правом проведения специальных работ, должны иметь об этом запись в удостоверении .
Под специальными работами, право на проведение которых отражается в удостоверении после проверки знаний работника, следует понимать:
верхолазные работы;
работы под напряжением на токоведущих частях: чистка, обмыв и замена изоляторов, ремонт проводов, контроль измерительной штангой изоляторов и соединительных зажимов, смазка тросов;
испытания оборудования повышенным напряжением (за исключением работ с мегомметром).
Перечень специальных работ может быть дополнен указанием работодателя с учетом местных условий.
9.1.7 Работник, проходящий стажировку, дублирование, должен быть
закреплен распоряжением за опытным работником. Допуск к самостоятельной работе должен быть также оформлен соответствующим распоряжением руководителя организации.
9.1.8 Каждый работник, если он не может принять меры к устранению нарушений настоящих Правил, должен немедленно сообщить вышестоящему руководителю о всех замеченных им нарушениях и представляющих опасность для людей неисправностях электроустановок, машин, механизмов, приспособлений, инструмента, средств защиты и т.д.
9.2 Общие требования. Ответственные за безопасность проведения работ, их права и обязанности
9.2.1 Организационными мероприятиями, обеспечивающими безопасность работ в электроустановках, являются:
оформление работ нарядом, распоряжением или перечнем работ, выполняемых в порядке текущей эксплуатации;
допуск к работе;
надзор во время работы;
оформление перерыва в работе, перевода на другое место, окончания работы.
9.2.2 Ответственными за безопасное ведение работ являются:
выдающий наряд, отдающий распоряжение, утверждающий перечень работ, выполняемых в порядке текущей эксплуатации;
ответственный руководитель работ;
допускающий;
производитель работ;
наблюдающий;
члены бригады.
9.2.3 Отдающий распоряжение определяет необходимость и возможность безопасного выполнения работы. Он отвечает за достаточность и правильность указанных в наряде (распоряжении) мер безопасности, за качественный и количественный состав бригады и назначение ответственных за безопасность, а также за соответствие выполняемой работе групп перечисленных в наряде работников, проведение целевого инструктажа ответственного руководителя работ (производителя работ, наблюдающего).
9.2.4 Право выдачи нарядов и распоряжений предоставляется работникам из числа административно-технического персонала организации, имеющим группу V - в электроустановках напряжением выше 1000 В и группу IV - в электроустановках напряжением до 1000 В.
9.2.5 Допускающий отвечает за правильность и достаточность принятых мер безопасности и соответствие их мерам, указанным в наряде или распоряжении, характеру и месту работы, за правильный допуск к работе, а также за полноту и качество проводимого им целевого инструктажа.
Допускающие должны назначаться из числа оперативного персонала, за исключением допуска на ВЛ, при соблюдении условий, перечисленных в п.
9.2.6 Каждый член бригады должен выполнять инструктивные указания, полученные при допуске к работе и во время работы, а также требования инструкций по охране труда соответствующих организаций.
9.2.7 Письменным указанием руководителя организации должно быть оформлено предоставление его работникам прав: выдающего наряд, распоряжение; допускающего, ответственного руководителя работ; производителя работ (наблюдающего), а также права единоличного осмотра.
Отключения
9.2.12 При подготовке рабочего места должны быть отключены:
токоведущие части, на которых будут производиться работы;
не ограждённые токоведущие части, к которым возможно случайное приближение людей, механизмов и грузоподъемных машин ;
цепи управления и питания приводов, закрыт воздух в системах управления коммутационными аппаратами, снят завод с пружин и грузов у приводов выключателей и разъединителей.
9.2.13 В электроустановках напряжением выше 1000 В с каждой стороны, с которой коммутационным аппаратом на рабочее место может быть подано напряжение, должен быть видимый разрыв. Видимый разрыв может быть создан отключением разъединителей, снятием предохранителей, отключением отделителей и выключателей нагрузки, отсоединением или снятием шин и проводов.
Видимый разрыв может отсутствовать в комплектных распределительных устройствах заводского изготовления (в том числе с заполнением элегазом) с выкатанными элементами, или при наличии надежного механического указателя гарантированного положения контактов, а также в элегазовых КРУЭ напряжением 110 кВ и выше.
Силовые трансформаторы и трансформаторы напряжения, связанные с выделенным для работ участком электроустановки, должны быть отключены и схемы их разобраны также со стороны других своих обмоток для исключения возможности обратной трансформации.
9.2.14 После отключения выключателей, разъединителей (отделителей) и выключателей нагрузки с ручным управлением необходимо визуально убедиться в их отключении и отсутствии шунтирующих перемычек.
9.2.15 В электроустановках напряжением до 1000 В со всех токоведущих частей, на которых будет проводиться работа, напряжение должно быть снято отключением коммутационных аппаратов с ручным приводом, а при наличии в схеме предохранителей снятием последних. При отсутствии в схеме предохранителей предотвращение ошибочного включения коммутационных аппаратов должно быть обеспечено такими мерами, как
запирание рукояток или дверец шкафа, закрытие кнопок, установка между контактами коммутационного аппарата изолирующих накладок и др. При снятии напряжения коммутационным аппаратом с дистанционным управлением необходимо разомкнуть вторичную цепь включающей катушки.
Необходимо вывесить запрещающие плакаты.
9.3 Требования безопасности к рабочему месту, работа на высоте
9.3.1 В соответствии с федеральным законодательством в области охраны труда каждый работник имеет право на рабочее место, соответствующее требованиям охраны труда, на компенсации, установленные законодательством, если он занят на тяжелых работах и работах с вредными и опасными условиями труда, а работодатель обязан обеспечить безопасность работников и защиту от всех рисков лиц, находящихся в непосредственной близости от рабочих мест или мест производства работ.
9.3.2 Рабочее место должно содержаться в чистоте; хранение заготовок, материалов, инструмента, готовой продукции, отходов производства должно быть упорядочено и соответствовать требованиям охраны и безопасности труда.
На рабочем месте не допускается размещать и накапливать неиспользуемые материалы, отходы производства и т.п., загромождать пути подхода и выхода.
9.3.3 При выполнении работ на высоте внизу под местом производства работ определяются и соответствующим образом обозначаются и ограждаются опасные зоны. При совмещении работ по одной вертикали нижерасположенные места должны быть оборудованы соответствующими защитными устройствами (настилами, сетками, козырьками), установленными на расстоянии не более 6 м по вертикали от нижерасположенного рабочего места.
9.3.4 Строительные площадки, площадки производства работ, расположенные вне огороженной территории организации, ограждаются для предотвращения несанкционированного входа посторонних лиц.
Вход посторонних лиц на такие площадки разрешается в сопровождении работника организации в защитной каске.
9.3.5 В ограниченных пространствах и местах, где легковоспламеняющиеся газы, пары, пыль могут представлять опасность:
а) электропроводка, электрооборудование, электроаппаратура применяются во взрывозащищенном исполнении, светильники - с защитными экранами;
б) курение, применение открытого огня и работа инструментом, дающим при ударе искры, не допускаются;
в) масляная ветошь, мусор и другие материалы, потенциально опасные к воспламенению, незамедлительно удаляются в безопасные места;
г) обеспечивается вентиляция;
д) вывешиваются таблички: «Не курить», «Не пользоваться открытым огнем» и знаки безопасности в соответствии с требованиями ГОСТ 12.4.026-76.
9.3.6 На рабочих местах не должны накапливаться горючие материалы (упаковочные материалы, опилки, замасленная ветошь, древесный и пластиковый мусор и т.п.), они должны собираться в металлические емкости с плотно закрывающейся крышкой, установленные в пожара-безопасных местах.
9.3.7 К местам с высокой пожарной опасностью относятся: пространство вокруг нагревательных приборов, электрических установок, складов с легковоспламеняющимися и горючими материалами.
9.3.8 Материалы, изделия, конструкции при приеме и складировании на рабочих местах, находящихся на высоте, должны приниматься в объемах, необходимых для текущей переработки, и укладываться так, чтобы не загромождать рабочее место и проходы к нему, исходя из несущей способности лесов, подмостей, площадок и т.п., на которых производится размещение указанного груза.
9.3.9 Рабочие места, расположенные вне производственных помещений, включая и подходы к ним, содержатся в чистоте, в зимнее время очищаются от снега, льда и посыпаются песком, золой, опилками или другими аналогичными материалами.
9.3.10 Проемы, в которые могут упасть работники, надежно закрываются или ограждаются и обозначаются знаками безопасности в соответствии с требованиями ГОСТ 12.4.026 - 76.
9.3.11 Рабочие места и проходы к ним на высоте 1,3 м и более и на расстоянии менее 2 м от границы перепада по высоте ограждаются временными инвентарными ограждениями в соответствии с требованиями ГОСТ 12.4.059 - 89.
При невозможности применения предохранительных ограждений или в случае кратковременного периода нахождения работников допускается производство работ с применением предохранительного пояса.
9.3.12 При расположении рабочих мест на перекрытиях воздействие нагрузок от размещенных материалов, оборудования, оснастки и людей не должно превышать расчетных нагрузок на перекрытие, предусмотренных проектом.
9.3.13 Проходы на площадках и рабочих местах должны отвечать следующим требованиям:
а) ширина одиночных проходов к рабочим местам и на рабочих местах должна быть не менее 0,6 м, высота в свету - не менее 1,8 м;
б) лестницы или скобы, применяемые для подъема или спуска работников на рабочие места на высоте более 5 м, должны быть оборудованы устройствами для закрепления фала предохранительного пояса.
9.3.14 Рабочие места обеспечиваются необходимыми средствами коллективной и индивидуальной защиты работников, первичными средствами пожаротушения, а также средствами связи и сигнализации, другими техническими средствами обеспечения безопасных условий труда в соответствии с требованиями действующих нормативных документов.
3.15 При выполнении работ над водой организуется спасательная станция (спасательный пост).
При работе над водой или в непосредственной близости от воды необходимо обеспечить:
а) предупреждение падения людей в воду;
б) спасение людей, подвергающихся опасности утонуть;
в) безопасный и в достаточном количестве водный транспорт.
Все участники работ над водой обеспечиваются спасательными средствами.
9.3.16 На каждом рабочем месте уровень освещенности должен соответствовать установленным нормам.
9.3.17 Искусственное освещение, по возможности, не должно создавать бликов и теней, искажающих обзор.
9.3.18 На каждом объекте должна быть обеспечена безопасность людей при пожаре, разработаны инструкции о мерах пожарной безопасности для каждого взрывопожароопасного и пожароопасного участка (мастерской, цеха и т.п.) в соответствии с требованиями Правил пожарной безопасности в Российской Федерации.
9.3.19 Светильники общего освещения напряжением в сети 127 и 220 В устанавливаются на высоте не менее 2,5 м от уровня земли, пола, настила.
При высоте подвески менее 2,5 м применяются светильники специальной конструкции или используются светильники на напряжение в сети не выше 42 В. Питание светильников напряжением до 42 В осуществляется от понижающих трансформаторов, машинных преобразователей, аккумуляторных батарей.
Применять для указанных целей автотрансформаторы, дроссели, реостаты не допускается.
Корпуса понижающих трансформаторов и их вторичные обмотки заземляются.
Применять стационарные светильники в качестве ручных не допускается. Разрешается пользоваться ручными светильниками только промышленного изготовления.
9.3.20 Концентрации вредных веществ в воздухе рабочей зоны, уровни шума и вибрации в зоне рабочих мест не должны превышать значений действующих санитарных норм.
9.3.21 При производстве работ на высоте предусматривается проведение мероприятий, позволяющих осуществлять эвакуацию людей в случае возникновения пожара или аварии.
9.3.22 Пути эвакуации из мест пожарной опасности указываются хорошо
видимыми знаками и держатся постоянно свободными. На видных местах устанавливаются указатели ближайшего сигнала пожарной тревоги, номера телефона пожарной части (команды).
9.3.23 Эвакуация должна проводиться по заранее разработанному плану быстро, без паники и с персональным учетом каждого работника, оказавшегося в опасной зоне.
9.3.24 Средства оповещения о пожаре должны быть достаточными для гарантированного оповещения всех работников на всех рабочих местах, включая временные.
9.3.2Оперативное обслуживание. Осмотры электроустановок
9.3.2.1 Оперативные переключения должен выполнять оперативный или оперативно-ремонтный персонал, допущенный распорядительным документом руководителя организации.
9.3.2.2 В электроустановках напряжением выше 1000 В работники из числа оперативного персонала, единолично обслуживающие электроустановки, и старшие по смене должны иметь группу по электробезопасности IV, остальные работники в смене - группу III.
В электроустановках напряжением до 1000 В работники из числа оперативного персонала, единолично обслуживающие электроустановки, должны иметь группу III.
Вид оперативного обслуживания электроустановки, число работников из числа оперативного персонала в смене определяется руководителем организации или структурного подразделения и закрепляется соответствующим распоряжением.
9.3.2.3 В электроустановках не допускается приближение людей, механизмов и грузоподъемных машин к находящимся под напряжением не ограждённым токоведущим частям на расстояния менее указанных в табл. 1.1.
Таблица 11- Допустимые расстояния до токоведущих частей, находящихся под напряжением
|
Напряжение, кВ |
Расстояние от людей и применяемых ими инструментов и приспособлений, от временных ограждений, м |
Расстояния от механизмов и грузоподъемных машин в рабочем и транспортном положении, от стропов, грузозахватных приспособлений и грузов, м |
|
|
На ВЛ |
,6 |
,0 |
|
|
До 1 |
В остальных электроустановках |
Не нормируется (без прикосновения) |
,0 |
|
1-35 |
,6 |
,0 |
|
|
60, 110 |
,0 |
,5 |
|
|
150 |
,5 |
,0 |
|
|
220 |
,0 |
,5 |
|
|
330 |
,5 |
,5 |
|
|
400, 500 |
,5 |
,5 |
|
|
750 |
,0 |
,0 |
|
|
800 |
,5 |
,5 |
|
|
1 150 |
,0 |
,0 |
9.3.2.4 Работники, не обслуживающие электроустановки, могут допускаться в них в сопровождении оперативного персонала, имеющего группу IV, в электроустановках напряжением выше 1000 В, и имеющего группу III - в электроустановках напряжением до 1000 В, либо работника, имеющего право единоличного осмотра.
9.3.2.5 При осмотре электроустановок разрешается открывать двери щитов, сборок, пультов управления и других устройств.
При осмотре электроустановок напряжением выше 1000 В не допускается входить в помещения, камеры, не оборудованные ограждениями (требования к установке ограждений приведены в Правилах устройства электроустановок) или барьерами, препятствующими приближению к токоведущим частям на расстояния менее указанных в таблице 1.1. Не допускается проникать за ограждения и барьеры электроустановок.
Не допускается выполнение какой-либо работы во время осмотра.
9.3.2.6 Отключать и включать разъединители, отделители и выключатели напряжением выше 1000 В с ручным приводом необходимо в
диэлектрических перчатках.
9.3.2.7 Снимать и устанавливать предохранители следует при снятом напряжении.
Допускается снимать и устанавливать предохранители, находящиеся под напряжением, но без нагрузки.
Под напряжением и под нагрузкой допускается заменять: предохранители во вторичных цепях, предохранители трансформаторов напряжения и предохранители пробочного типа.
9.3.2.8 При несчастных случаях для освобождения пострадавшего от действия электрического тока напряжение должно быть снято немедленно без предварительного разрешения.
Требования безопасности при работах с применением грузоподъемных кранов
.4.1 Грузоподъемные краны (далее - краны) должны соответствовать требованиям Правил устройства и безопасной эксплуатации грузоподъемных кранов.
9.4.2 Краны допускаются к перемещению только тех грузов, которые соответствуют их функциональному назначению и массы которых не превышают их грузоподъемности.
9.4.3 Краны должны быть устойчивы в рабочем и нерабочем состояниях.
9.4.4 Установка кранов должна производиться таким образом, чтобы исключалась необходимость подталкивания грузов при косом натяжении грузовых канатов.
9.4.5 Щиты и предметы, обладающие парусностью, могут устанавливаться на кран только в соответствии с инструкцией по эксплуатации завода-изготовителя.
9.4.6 Краны оснащаются звуковым сигнальным прибором, звук которого должен быть хорошо слышен в зоне работы крана и отличаться по тональности от автомобильного сигнала.
9.4.7 Кабина крана, работающего на открытом воздухе, должна иметь сплошное ограждение со всех сторон и сплошное верхнее перекрытие. Световые проемы кабины выполняются из небьющегося (безосколочного) стекла с возможностью производить очистку стекол как изнутри, так и снаружи. Пол кабины крана с электрическим приводом должен иметь настил из неметаллических нескользких материалов и покрыт резиновым диэлектрическим ковриком.
Требования к средствам индивидуальной защиты от падения с высоты
К средствам индивидуальной защиты от падения с высоты относятся:
а) предохранительные пояса, соответствующие требованиям
ГОСТ Р 50849 - 96, ГОСТ 12.4.184 - 95;
б) предохранительные полуавтоматические верхолазные устройства типа ПВУ-2;
в) ловители с вертикальным канатом или с другими устройствами;
г) канаты страховочные, соответствующие требованиям ГОСТ 12.4.107-82;
д) каски строительные, соответствующие требованиям ГОСТ 12.4.087-84.
Средства индивидуальной защиты от падения с высоты как отечественные, так и приобретенные за рубежом, должны иметь сертификаты качества.
9.4.1 Требования безопасности в аварийных ситуациях
9.4.2. При замеченных неисправностях применяемого оборудования и инструмента или создания аварийной обстановки при выполнении работ работник обязан;
- прекратить работу;
- предупредить работающих об опасности;
- поставить немедленно руководителя работ и способствовать устранению аварийной ситуации, а также их расследования в целях разработки противоаварийных мероприятий;
-производить устранение самых неотложных неисправностей с соблюдением мер безопасности, изложенных в инструкции по охране труда.
9.4.3 При ликвидации аварийной ситуации необходимо действовать в соответствии с утвержденным планом ликвидации аварий.
9.4.4 При ликвидации загорания необходимо использовать первичные средства пожаротушения, организовать эвакуацию людей.
9.4.5 При загорании электрооборудования применять только углекислотные огнетушители или порошковые.
9.4.6 При получении травмы работником бригады оказать медицинскую помощь, поставить в известность непосредственного руководителя и действовать по его указаниям.
9.5 Окончание работы, сдача-приемка рабочего места.
Закрытие наряда, распоряжения
9.5.1 После полного окончания работы производитель работ (наблюдающий) должен удалить бригаду с рабочего места, снять установленные бригадой временные ограждения, переносные плакаты безопасности, флажки и
заземления, закрыть двери электроустановки на замок и оформить в заряде полное окончание работ своей подписью. Ответственный руководитель работ после проверки рабочих мест должен оформить в наряде полное окончание работ.
9.5.2 Производитель работ (наблюдающий) должен сообщить дежурному оперативному персоналу или работнику, выдавшему наряд, о полном окончании работ и выполнении им требований.
9.5.3 Наряд после оформления полного окончания работ производитель работ (наблюдающий) должен сдать допускающему, а при его отсутствии - оставить в отведенном для этого месте, например, в папке действующих нарядов. Если передача наряда после полного окончания работ затруднена, то с разрешения допускающего или работника из числа оперативного персонала производитель работ (наблюдающий) может оставить наряд у себя. В этом случае, а также когда производитель работ совмещает обязанности допускающего, он должен не позднее следующего дня сдать наряд оперативному персоналу или работнику, выдавшему наряд, а на удаленных участках - административно-техническому персоналу участка.
9.5.4 Допускающий после получения наряда, в котором оформлено полное окончание работ, должен осмотреть рабочие места и сообщить работнику из числа вышестоящего оперативного персонала о полном окончании работ и о возможности включения электроустановки.
9.5.5 Окончание работы по наряду или распоряжению после осмотра места работы должно быть оформлено в соответствующей графе Журнала учета работ по нарядам и распоряжениям и оперативного журнала.
9.6 По окончании работы работник обязан:
9.6.1 Привести в порядок рабочее место (очистить от грязи и пыли оборудование и инструмент, собрать и вынести в отведенное место мусор и отходы, собрать и сложить в установленное место инструмент, приспособления и необработанные детали).
9.6.2 Установить ограждения и знаки безопасности у открытых проемов, отверстий и люков.
9.6.3 Выключить местное освещение.
9.6.4 Снять и убрать спецодежду в шкаф, вымыть руки и лицо с мылом, принять душ.
ЗАКЛЮЧЕНИЕ
В данном курсовом проекте были выполнены требуемые расчеты и выбор электрооборудования для различных электрических установок и оборудования. На формате А1 были выполнены четыре схемы управления: принципиальная электрическая схема контакторного управления электропривода механизма передвижения крана, токарно-винторезного станка, автоматического управления электроприводом вентиляционной установки и токарно-револьверного станка модели 1П365. Также представлена пояснительная записка.
Данный курсовой проект может быть использован на практике для лабораторно-практических работ.
СПИСОК ИСПОЛЬЗОВАННЫХ ИСТОЧНИКОВ
1 Правила устройства электроустановок. -е изд. перераб. И доп. С изменениями.- М.: Главэнергонадзор России, 1998-608с.
Алиев И. И. Справочник по электротехнике и электрооборудованию .Ростов: Феникс, 2004.- 480с.
Электрооборудование промышленных предприятий и установок Е.Н. Зимин, В. И. Преображенский, И. И. Чувашев: Учебник для техникумов. М.: Энергоиздат, 1981. с.
4 Алиев И.И. Справочник по электротехнике и электрооборудованию: Учеб. Пособие для вузов/ Алиев И.И.- М.: Высшая школа, 2007. с.
Москаленко В.В. Электрический привод: - М.; Высшая школа, 2001. с.
Кацман М.М. Электрический привод: - М.; Высшая школа,2006. с.
Правила технической эксплуатации электроустановок потребителей, - СПб.; ДЕАН, 2003
8 ПОТ РМ 016 2001. СПб.; ДЕАН, 2003
9 Шеховцов В.П. Электрическое и электромеханическое оборудование. учебник. е изд.- М.:ФОРУМ: ИФРА-М.2008.- 407 с.: ил.
Техническая эксплуатация электрооборудования цеха обработки корпусных деталей



