Якорно-швартовное устройство
Оглавление
|
Теоретические сведения про якорно-швартовное устройство |
|
Ведомости про судно |
|
Выбор якорного снаряжения |
|
Расчетные характеристики якорного снабжения судов |
|
Расчет длины и тяговых натяжений в якорных цепях |
|
Выбор электрооборудования ЯШУ |
|
Выбор аппаратуры управления |
|
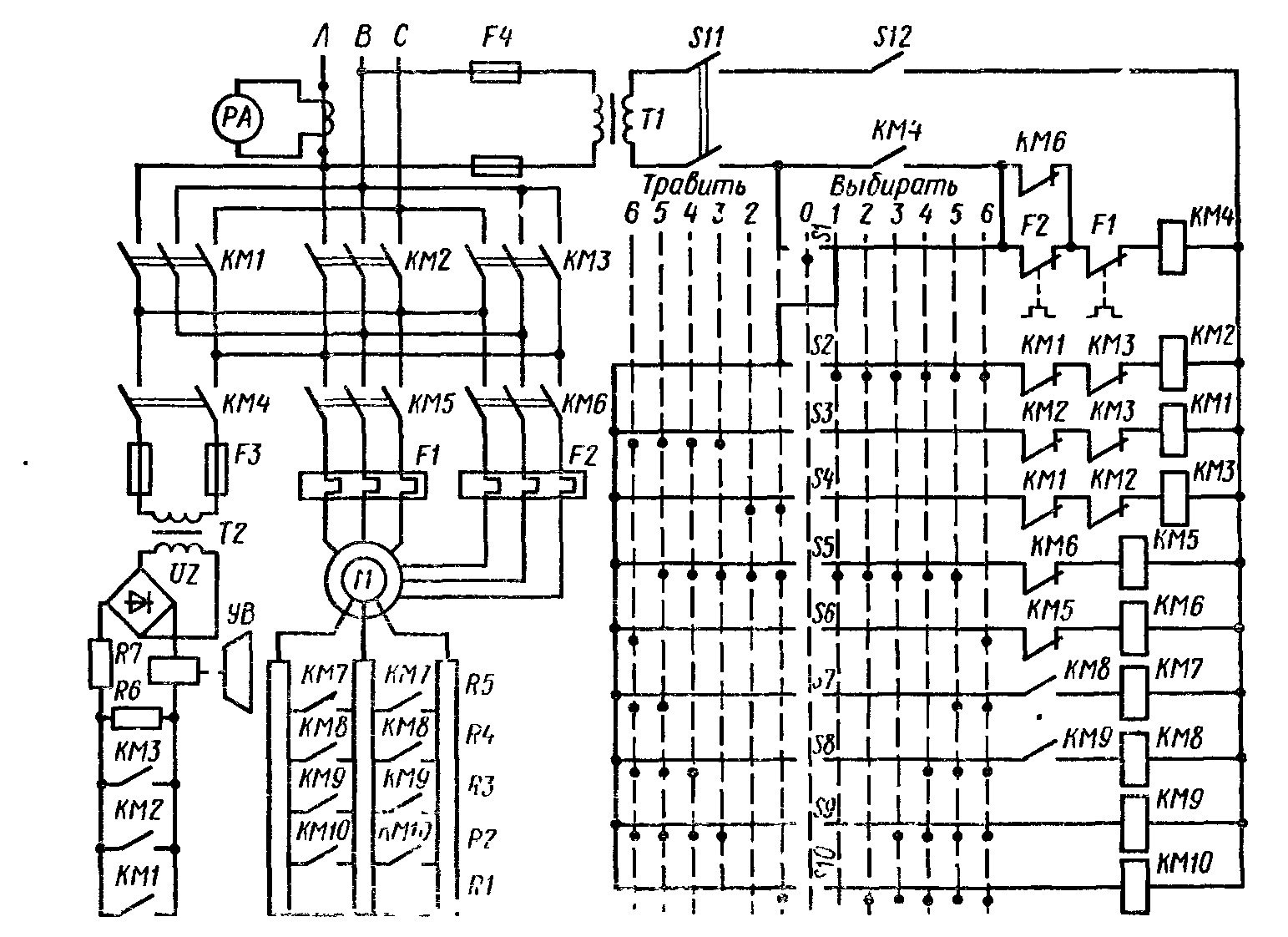
Разработка принципиальной электрической и схем ЭП |
|
Обслуживание якорно-швартовных механизмов |
|
Техника безопасности |
|
Список литературы |
Теоретические сведения про якорно-швартовное устройство
Якорно-швартовное устройство должно обеспечить надежную стоянку судна и операции по швартовке судов у причалов или на рейде. Якорное устройство состоит из комплекта якорей с якорными цепями, стопоров, узлов пропуска цепи через борт судна, элементов крепления цепей и механизма для подъема и спуска цели.
Исполнительный двигатель ЯШУ всегда работает в кратковременном режиме, т. к. по Правилам Регистра, съемка судна с якоря должна длиться не более 30 мин.
Ведомости про судно
Водоизмещение судна: = 15000 т
Габариты судна:
Длина: L = 140.00 m
Ширина: B = 20.00 m
Условная высота: H = 13 m
Осадка: Т = 8 m
Площадь парусности: A = 0,27 В(Н-Т) + BH = 287 
Выбор якорного снаряжения
Основная характеристика снабжения судна определяется по формуле


По таблице выбираем якорное оборудование:
|
калибр цепи обыкновенный d, mm |
45 |
|
число становых якорей, шт |
2 |
|
средняя масса якоря, кг |
3650 |
|
наименьшая длина двух цепей, m |
360 |
|
расчетная глубина стоянки h, m |
100 |
|
Пределы водоизмещения судов , тыс. т |
15-28 |
Расчетные характеристики якорного снабжения судов
Маса якоря для судов неограниченного района плавания:

кг
Наименьшая длина двух цепей:


Калибр цепи для становых якорей определяется по формуле:


Где R коэффициент, равный для цепей обычной прочности 1.75, для цепей повышенной прочности 1.55, для цепей особой прочности 1.35
Цепи I категории электросварные обыкновенные;
Цепи II категории электросварные или литые повышенной прочности;
Цепи III категории особой прочности.
Диаметр цепной звездочки:


Расчет длины и тяговых натяжений в якорных цепях
Масса одного погонного метра якорной цепи:

кг
Масса одного метра якорной цепи, погруженного в воду:

кг
Где:
удельный вес якорной стали, = 7,8т/м3
удельный вес морской воды, = 1,025т/м3
Усилие в цепи при стоянке при стоянке судна на якоре на расчетной глубине 100 м при наиболее вероятных погодных условиях:

кг
Длина цепной линии:


Тяговое усилие у клюза на первой стадии съемки с якоря:

кг
Тяговое усилие при отрыве якоря от грунта:

кг
Тяговое усилие у клюза при подъеме после отрыва якоря от грунта

кг
Тяговое усилие у клюза перед втягиванием якоря в клюз
F4=mя=3650 кг
Тяговое усилие на звездочке:

кг
Напряжение в цепи:


Расчетное напряжение в цепи, соответствующее внешним воздействиям на судно для любых калибров цепей будет равно

При нормальной глубине стоянке h = 100 m.
Расчетное напряжение в цепи не должно превышать наибольшее номинальное напряжение, для цепей I категории равное 
Выбор электрооборудования ЯШУ
Требуемая мощность ЭД определяется по формуле:


Где k=1 коэффициент нагрузки для морских судов, ц=0.17 минимальная скорость выбирания цепи, =0.77 КПД механизма с зубчатым редуктором.
Выбираем ЭД типа Siemens 1LG6186-4MA, который имеет следующие данные
|
Число полюсов |
4 |
8 |
|
Мощность, кВт |
22.5 |
8 |
|
Частота вращения, об/мин |
1465 |
650 |
|
Номинальный ток, А |
25.2 |
22.5 |
|
Пусковой момент, даН·м |
200 |
290 |
|
Допустимое время стоянки под током, с |
30 |
30 |
Для выбранного ЭД определяют необходимые передаточное число механизма:

Принимаем передаточное число, равное 65.
Производим проверку на достаточность пускового:


Неравнство:
верно, значит требуюмые условия выполнены.
Определяем необходимое время стоянки под током после номинального режима:

с
Что меньше, чем время стоянки ЭД, равного 30 с.
Выбор аппаратуры управления
ЭД должен работать в кратковременном режиме, обеспечивать подъем, спуск и торможении, а также стоянку ЭД под током в течении 30 мин.
Для электропривода небольшой мощности применяют контроллерные схемы управления, которые отличаются простотой и надёжностью работы, небольшими габаритами и массой, а также сравнительно невысокой стоимостью.
Для управления выбираем магнитный контроллер типа БТ 95 на три положения: «травить», «стоп», «выбирать»
Магнитные контроллеры имеют следующие преимущества:
автоматизированный пуск и торможение; более высокая износоустойчивость; коммутация цепей любой мощности, возможность многоскоростных систем управления; управление многодвигательными приводами.
Магнитный контроллер типа БТ 95 имеет контакторы, рассчитанные на номинальный ток 300 А. При проверке главной цепи по нагрузке, нагрузке 35d2Н соответствует номинальный момент и ток обмотки статора 160 А. Таким образом выполняется условие, что номинальный ток аппарата выше 130% номинального тока ЭД.
Выбор коммутационно-защитной аппаратуры
Выбор коммутационной аппаратуры силовой части осуществляется по току двигателя. Исходя из выражения
, контактор выбираем с запасом по току, т. е КМИ-35012с параметрами I=53 A, U=380В.
Автоматические выключатели являются защитными аппаратами многократного действия и предназначены для защиты от коротких замыканий и перегрузок по току.
Автоматический выключатель выбирается по условию


Iн =159А
где IН- номинальный ток автоматического выключателя.
где IВХ - ток на входе силовой части.
Выбираю автоматический выключатель серии ВА 04-36
с параметрами - номинальный ток, IН =159А.
Описание работы схемы.



Обслуживание якорно-швартовных механизмов
Выполнение якорных и швартовных операций требует от обслуживающего персонала строгого соблюдения определенной последовательности действий и правил техники безопасности. К проведению этих операций допускаются члены судового экипажа, прошедшие специальную подготовку и получившие соответствующие навыки под руководством опытных должностных лиц.
Брашпиль и шпиль нужно обслуживать в соответствии с инструкцией по их эксплуатации, которая обычно содержится в паспорте механизма.
В процессе подготовки брашпиля (шпиля) к работе необходимо убедиться в его исправности. Убрать посторонние предметы, мешающие работе механизма и движению каната (цепи). Смазать трущиеся поверхности, привести в рабочее состояние масленки и проверить наличие масла в редукторе. Проверить срабатывание тормозов, привода дистанционной отдачи якоря, действие кулачковых (зубчатых) муфт. Обнаруженные дефекты необходимо устранить.
Во время действия брашпиля (шпиля) нужно следить за тем, чтобы трущиеся поверхности были смазаны и не появлялись ненормальные стуки в механизме. При обнаружении неисправности механизм должен быть остановлен для выяснения и устранения причин ненормальной его работы. Запрещается касаться руками расторможенной якорной цепи и поправлять якорь во время втягивания его в клюз при невыкаченном стопоре.
При швартовке судна не должно быть людей в зоне натянутого каната. В случае чрезмерного натяжения каната при рывке в процессе швартовки судна надо несколько ослабить канат, обеспечив его пробуксовку («стравливание») через швартовный барабан брашпиля (шпиля).
Перед началом подъема якоря и особенно перед швартовными операциями член судового экипажа, выполняющий их, должен предварительно убедиться в исправности действия механизма опробованием «вхолостую» и только после этого, доложив старшему по вахте, что механизм в порядке, приступить к работе.
В походном положении якорная цепь должна находиться в цепном ящике, винтовые стопоры замкнуты, звездочки на брашпиле разъединены от кулачковой муфты, но заторможены ленточным тормозом. Швартовный канат должен быть сложен в бухту на специальной решетке или намотан на вьюшку.
Отдают, поднимают якорь и выбирают швартовный канат только по команде вахтенного начальника судна. При приближении якоря к клюзу в процессе его подъема надо уменьшить скорость цепи, чтобы избежать сильного удара и связанных с этим последствий.
Якорно-швартовные механизмы требуют регулярного технического обслуживания независимо от частоты пользования ими. Техническое обслуживание электродвигателей и электроаппаратуры проводится в соответствии с инструкцией по их уходу.
Техника безопасности
Запрещается производить внутренний смотр, ремонт аппаратуры и оборудования, находящихся под напряжением.
При ТО основного агрегата необходимо снять напряжение со щита питания магнитных пускателей устройства сигнализации. Для этого следует отключить на главном или аварийном ЩР фидеры щитов питания и вывесить на автоматах фидеров запрещающие надписи "Не включать! Работают люди!". Следует помнить, что при работе одного насосного агрегата и снятом напряжении со щита питания другой щит системы управления находится под напряжением. Пользоваться только исправными электроинструментами и электроизмерительными приборами с быстрой реакцией.
Сегодня в результате внедрения средств автоматизации и информационных технологий на судах значительно расширились возможности управления безопасностью технической эксплуатации, но якорно-швартовное устройство по-прежнему является зоной повышенного риска. При эксплуатации необходимо строго соблюдать правила техники безопасности и принимать меры предосторожности.
11
Якорно-швартовное устройство