МЁССБАУЭРОВСКАЯ СПЕКТРОСКОПИЯ НАНОЧАСТИЦ CORE-SHELLТИПА
red79;;;;;;;;;;Министерство образования и науки Российской Федерации
Федеральное государственное автономное образовательное
учреждение высшего профессионального образования
«КАЗАНСКИЙ (ПРИВОЛЖСКИЙ) ФЕДЕРАЛЬНЫЙ УНИВЕРСИТЕТ»
Институт физики
КАФЕДРА ФИЗИКИ ТВЁРДОГО ТЕЛА
Направление: 010700 Физика
Специализация: Физика твёрдого тела
ВЫПУСКНАЯ КВАЛИФИКАЦИОННАЯ РАБОТА
(Бакалаврская работа)
мёссбауэровскАЯ СПЕКТРОСКОПИЯ НАНОЧАСТИЦ
CORE-SHELLТИПА
Работа завершена:
"___"_________ 2014г. ____________________ (А.Ф.Абдуллин)
Работа допущена к защите:
Научный руководитель,
ассистент
"___"_________ 2014г. ____________________ (А.В.Пятаев)
Заведующий кафедрой:
д.ф.-м. н., профессор
"___"_________ 2014 г. ____________________ (Л.Р.Тагиров)
Казань 4
Содержание
Содержание 2
Введение 3
ГЛАВА 1.Наночастицыcore-shell типа и их приложения 5
ГЛАВА 2. Исследование динамики кристаллической решетки наночастиц методом ядерного гамма резонанса 9
1.1 Модель Дебая твёрдого тела. 9
1.2Некоторые способы изучения поверхности твёрдых тел. 13
ГЛАВА 3. Изучение наночастиц core-shell типа созданных в макромолекулах жидкокристаллического дендримера поли(пропилен имина) второй генерации 18
3.1 Исследованный образец и экспериментальная техника. 18
3.2 Применение модельно-зависимого метода к моделированию мёссбауэровских спектров магнитных наночастиц core-shell типа. 19
3.3 Низкотемпературные мессбауэровские исследования наночастиц core-shell типа созданных в макромолекулах жидкокристаллического дендримера поли(пропилен имина) второй генерации 21
Обсуждение результатов. 24
Заключение 27
Список литературы. 28
Введение
В настоящее время наночастицыcore-shell применяются в различных областях науки и техники [1]. В частности известны применения магнитных флуоресцентных наночастиц как доставщиков лекарственных средств [2-4]; биметаллических Au/Agнаночастицcore-shell типа для обнаружения рака и опухолевых клеток в теле [5]. Железосодержащие частицы Fe(core)Fe2O3(shell) использовались для обнаружения повреждённых молекулДНК [6]. Наночастицы с ядром и оболочкой, сделанными из полупроводникови/или металла находят применения в современной спинтронике и наноэлектронике [7].В некоторых частных случаях (например,в случае флуоресцентных наночастиц) определяющим являются свойства поверхности наночастицы. Так как именно поверхность взаимодействует с другим веществом или внешним полем.В случае наличия резонансного изотопа чувствительность Мёссбауэровской спектроскопии к локальным структурным и магнитным неоднородностям делает её одним из возможных методов исследования таких материалов.Различные модификации метода ядерного гамма-резонанса позволяют изучать поверхность твёрдого тела с разрешением вплоть до атомных слоёв в объёмных материалах. В случае достаточно малых наночастиц это становится возможным и в геометрии пропускания [8].
Изучение внутренней структуры, динамических, магнитных свойств и их особенностей в различных слоях наночастиц является важной задачей с точки зрения создания, управления свойствами и всевозможного применения композитов на базе наночастицcore-shell типа.
Целью данной работы являлось исследование динамики атомов поверхности наночастиц core-shellтипа методом низкотемпературной мёссбауэровской спектроскопии.
Для достижения поставленной цели решались следующие задачи: были проведены низкотемпературные мёссбауэровские измерения наночастицcore-shellтипа созданных в макромолекулах жидкокристаллического дендримера поли(пропилен имина) второй генерации; были развиты модельные представления для описания свойств наночастицcore-shell типа и выполнена их апробация; выполнен анализ и сравнение полученных результатов с данными полученными другими методами.
ГЛАВА 1.Наночастицыcore-shell типа и их приложения
Из всевозможных видов наночастиц, частицы core-shellтипа получили наибольшее распространение, прежде всего благодаря простоте приготовления и важным физико-химическим свойствам. Часто ядро и оболочка отличаются не только физически, но и функционально, благодаря чему частица может выполнять сразу несколько функций одновременно.Такие наночастицы имеют огромное число приложений [1].В биомедицинских целях наночастицыcore-shell типа используются в во-первых: как доставщики лекарственных средств [9-12].Доставка лекарств в нужное место организма получила новое развитие с приходом нанотехнологий. В данном процессе лекарство сначала инкапсулируют в мезопористый материал, который уже имеет специальную поверхность, способную взаимодействовать с клеткой организма[13]. Чтобы выпустить содержимое препарата в клетку, наноноситель распадается для создания химически схожих с клеткой супрамолекулярных«ворот». Такой распад так же может быть стимулирован высокой температурой или светом. Если наночастицы покрыты флуоресцентно активным материалом, то они могут служить датчиками, которые позволяют прослеживать их передвижения и контролировать доставку лекарственных средств. Существует два типа доставки: активная и пассивная. В первом случае лекарство целенаправленно доставляется в нужное место организма, во втором благодаря физико-химическим и фармакологическим факторам лекарственные вещества накапливаются около нужных клеток [14,15]. Для активной доставки магнитные флуоресцентные наночастицы нашли наибольшее применение. Примерами таких наночастиц являются частицы с ядрами (core) железа, никеля, кобальта и суперпарамагнитными окислами железа и специальной биологически безвредной оболочкой (shell). В пустоты полимерного вещества внедряются лекарства и магнитные наночастицы. Такая система, в отличие от голой наночастицы, более биологически совместима и следовательно может быть использована для доставки лекарства, которым можно управлять даже в пределах живой клетки[2-4]. Во-вторых: как вещества, способные маркировать отдельные клетки [16-18].
Наночастицы могут быть использованы для изучения биологических клеток методами оптической и магнитной спектроскопии (ЯМР, ЭПР и т.д.), так как в этих методах оказываются полезными люминесцентные и магнитные свойства наночастиц. В некоторых случаях используют сразу два таких свойства частиц [19,20]. Для маркировки используют квантовые точки: они фотохимически и метаболически стабильны, достаточно ярки и имеют узкий настраиваемый и симметричный спектр. Однако у них есть такие недостатки как: тенденция к фотоокислению, токсичность и низкая растворимость в воде. Эти недостатки могут быть минимизированы путём покрытия их подходящим материаломдля дальнейшего использования [21].
Эффект поверхностного плазмона в Ag использовался для обнаружения опухолевой клетки. Такие наночастицы использовались для обнаружения опухолевых клеток у крыс. После попадания этих частиц на опухоль и воздействия излучением в течение 500 мс, флуоресцентный материал переизлучал и позволял обнаружить злокачественные клетки[19]. Аналогичный подход используется в томографии. Здесь используются магнитные наночастицы с ядром из железа, окиси железа, никеля, кобальта или суперпарамагнитной окиси железа и необходимой для конкретного случая оболочкой. У таких частиц лучшие времена релаксации, после присоединения к клетке они дают лучший контраст изображения [16, 22]. В-третьих: как биодатчики [13,17,19,20,22,23]. Датчики устройства, которые измеряют физическую величину и конвертирует её из аналогового в цифровой сигнал. В биомедицине наночастицы используют как датчики для обнаружения повреждённых клеток, позволяют изучать свойства ДНК, РНК, глюкозы, холестерина и т.д. Частицу покрывают флуоресцентным веществом, которое может выступать в качестве датчика. Флуоресценция позволяет проследить за частицей, а её магнитные свойства позволяют нагревать нужное место посредством магнитного возбуждения [23]. Магнитные нанокомпозиты покрытые флуоресцентным материалом, металлом, кварцем или полимером используются как биоаналитические датчики [24]. Покрытые кварцем наночастицыZnS/Mn используются как датчики ионов Cu2+ [25]. Так же нередко используются биметаллические наночастицыcore-shell типа, например частицы Au/Ag применяются для обнаружения рака и опухолевых клеток в теле [5]. Главное ограничение таких частиц это требование их хорошего «крепления» с антителами. Такие частицы как Fe/Fe2O3 использовались для обнаружения повреждённой ДНК [6] Эти частицы прикрепляли к биологически активным белкам[26]. Полимерныеcore-shellнаночастицы используются так же как материал при трансплантациях. Их core-shell структура может быть как полимер/полимер или как полимер/металл. Она, например, используются в зубных скобахздесь в качестве ядра частицы выступает ультравысокомолекулярный полиэтилен, а оболочка - серебро [27].
Полый TiO2 покрытый высокоплотными полимерами полиакриламида используется для выделение нейромедиаторов из клеток, существующих в головном мозге [28]. Основными свойствами частиц, используемых при трансплантации и регенерации является сопротивление трению, высокая ударная вязкость и сопротивление коррозии. Для таких целей лучше подходят наночастицы состоящие из полимеров, биокерамики и других неорганических веществ[29].
В-четвёртых в приложениях выращивания тканей [24].Магнитные частицы, покрытые функциональным материалом, таким как благородный металл, полупроводник или соответствующая окись могут значительно улучшить свои физические свойства (оптические, активность катализатора, электрические, магнитные и тепловые) [29-31]. Химическое превращение из CO в CO2 с использованием нанокатализатора с ядром Au и оболочкой Fe2O3на подложке из SiO2протекает намного эффективнее, чем с использованием наночастицы золота без оболочки [30]. Опыты так же показали, что результат не сильно зависит от типа оболочки (SiO2, C, Fe2O3) за исключением TiO2. Аналогично покрытие кварцем металлических ядернаночастицизFe, Co, Ni и Ru улучшает катализ при производствеводорода [31].
Наночастицы с ядром или оболочкой сделанными из полупроводника или металла одинаково важны в современной микроэлектронике.[32,33] Полимерные материалы легко обрабатываются, однако имеют малое значение диэлектрической постоянной. Обратными свойствами обладают керамические материалы. Особое место занимает комбинация этих материалов в виде наночастицыcore-shell типа с керамическим ядром и тонкой оболочкой из полимера, которая обладает бльшим значением диэлектрической постоянной, чем чистый полимер, одновременно такие частицы легче обрабатываются. Из-за их высокой ёмкости эти материалы так же используются в электронике [32,33].
Для сохранения физических и химических свойств различных наночастиц их покрывают особой оболочкой, чаще, например, кварцем: инертным материалом химически не взаимодействующим с ядром частицы. Это улучшает стабильность вещества ядра. Кроме того кварц оптически прозрачен для изучения ядра спектроскопическими методами[34].
Создание углеродных оболочек наночастицизLi3V2(PO4)3приводит к увеличению эффективности литиевых батарей[17] созданных на основе такого материала. К настоящему времени для наночастиц есть много другихпотенциально перспективных областей: пластмассы, резиновые материалы, чернила и другие [35-37]
ГЛАВА 2. Исследование динамики кристаллической решетки наночастиц методом ядерного гамма резонанса
1.1 Модель Дебая твёрдого тела.
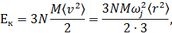
Эффект Мёссбауэра связан с резонансным взаимодействием -кванта с ядром, при котором квантовое состояние решетки не меняется. Поэтому с помощью эффекта Мёссбауэра, казалось бы, нельзя получить информацию о движении атомов в решетке и о фононном спектре твердых тел. Однако имеется возможность изучения фононного спектра атомов в твердых телах посредством эффекта Мёссбауэра [38]. Она заключается в зависимости безфононной части -лучей от колебательных свойств твердых тел.
Действительно,

где
средний квадрат амплитуды колебания атома в направлении испускания -кванта, усредненный по интервалу времени, равному времени жизни уровня; длина волны -кванта.
Выражение (1) может быть записано в ином виде:

где

энергия фотона. Для изотропного кристалла

Зависимость безфононной части fот спектра колебания выражается, как видно из формулы (1), через
Чтобы выяснить зависимость fот спектра колебания, рассмотрим, как связано
со спектром колебания атомов в кристалле.
В теории физики твердого тела кристалл представляется как система 3Nосцилляторов с частотой
(Nчисло атомов). Полная средняя энергия, связанная с каждым осциллятором, равна

где
число фононов на уровне 
Кинетическая энергия кристалла, приходящаяся на j-й осциллятор (в случае гармонического осциллятора),
равна половине полной энергии, т.е.

С другой стороны,

Откуда

где
смещение атомов от j-го осциллятора. Разделим обе части уравнения на
и просуммируем по всем j:

Далее перейдем от суммирования к интегрированию, вводя плотность распределения частот ():

или

Из выражений (2) и (3) следует зависимость
от спектра колебания атомов в кристалле. Величины
и fзависят от спектра колебания интегрально. Поэтому, когда необходимо исследовать зависимость fот
, измеряют fпри различных температурах, т.е. снимают кривую зависимости
и путем сравнения
с теоретическими кривыми
, вычисленными при различных
, выбирают ту или иную модель кристалла.
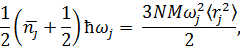
В дебаевской модели твердого тела спектр частот колебания атомов имеет вид
()=A
,
где А нормировочных множитель, который находится из следующего условия:

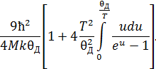
Подставляя выражение (4) в (2), получим:


Введем температуру Дебая
, равную

и проведем частичное интегрирование:


Обозначим
После замены переменных находим, что



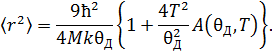
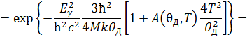
Полученный в последнем выражении интеграл берётся численно и рассматривается как функция двух переменных:


Подставим это выражение в формулу (1.1):





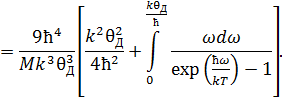
1.2Некоторые способы изучения поверхности твёрдых тел.
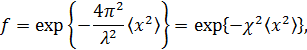
Известно, что свойства поверхности тел различных веществ отличаются от свойств внутренних слоев, будь то жидкость или твердое тело. В твердом теле, в частности, фононный спектр атомов поверхностного слоя атомов будет значительно отличаться от спектра слоев внутренних. В частности, существует несколько путей изучения поверхности [39,40].Для непосредственного изучения поверхности монокристалла необходимо высокоинтенсивное излучение, которое может быть получено на синхротроне.В работе [39]излучение синхротронногоисточникабылоиспользовано для изучения фононных спектров поверхностных атомных слоёв монокристалла железа, вырезанного в направлении (110).Схема эксперимента приведена на рисунке 1.

Рисунок 1 - Схема эксперимента для изучения поверхности с использованиемсинхротронного источника излучения [39].
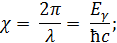
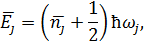
Авторами работы [39]были определены плотности фононных состояний на поверхности (S), в приповерхностном слое (S-1) и в объеме (D) для Fe(110) (Рисунок 2). Графическое пояснение обозначений S, S-1 и Dприведены на рисунке 3.Для внутренних слоев (случай D) наблюдается узкий бесфононныйпик в районе 35 мэВ, который, очевидно, соответствует атомам, находящимся в основном состоянии фононного спектра. При приближении к поверхности, случай S-1, наблюдается сдвиг этого пика без заметного, в пределах погрешности эксперимента, изменения амплитуды. Такой подход для поверхностного слоя атомов, в случае S, позволяет обнаружитьсовершенно иную картину. Для атомов, находящихся в первом слое на поверхности, отсутствует сколько-нибудь значимая заселенность основного состояния фононного спектра.
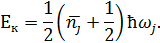
Вторым возможным методом изучения поверхности твердых тел является низкотемпературная мёссбауэровская спектроскопия конверсионных электронов. В случае материала, имеющего один или несколько атомных слоев вещества, содержащего резонансные изотопы, на поверхности инертной матрицы,можно получить интересные результаты.

Рисунок 2 - Плотность фононных состояний на поверхности (S), в приповерхностном слое (S-1) и в объеме (D) для Fe(110)[39].

Рисунок 3 - Пояснение обозначений S, S-1 и D[39].
Такой метод был реализован вработе[40]. Были изучены моно- и мультиатомные слои железа созданные на поверхности золота (рисунок 4). Последующее изучение этого образца методом низкотемпературной конверсионной мёссбауэровской спектроскопии (КМС) позволило определить параметры сверхтонкого взаимодействия атомных слоёв поверхности.
Авторами были изученытриобразцасодержащие три (3 AL), два (2 AL) и один(1 AL) атомные слои (Рисунок 5).
Из рисунка 5 видно, что спектры всех трех атомных слоев существенно отличаются от спектра объемного -железа. в случаях 2 ALи 3 ALнаблюдаются две компоненты магниторасщепленной структуры (Cи I)(таблица 1). В случае же монослоя1 AL появляются новые компонентыAи M, последняя из которых обладает большим квадрупольным расщеплением.

Рисунок 4 Схематичное изображение мультиатомных слоёв железа на золоте[40].
Таблица 1 - Сверхтонкие магнитные поля монослоя, двойного и тройного слоя пленки Fe(001), заключенной между Au(001) [40].


Рисунок 5- Спектры конверсионных электронов 1, 2 и 3 монослоев железа на золоте полученные при 80 К [40].