Эластичность спроса и предложения
Тема 6. Эластичность спроса и предложения
- Понятие эластичности.
- Перекрестная эластичность спроса. Эластичность спроса по доходу.
3. Эластичность предложения.
4. Практическое значение анализа эластичности.
1. Понятие эластичности.
Эластичность это мера реакции одной переменной на изменение другой. Если переменная X изменяется под воздействием изменения переменной Y, то эластичность Х по Y равна процентному изменению Х относительно процентного изменения Y. Важным моментом является измерение именно о т н о с и т е л ь н о г о изменения переменных, так как нельзя сравнить абсолютные изменения показателей, выраженные в несопоставимых единицах. Если Х измеряется в рублях, а Y в тоннах, то изменение Х на 1 тыс, руб. относительно изменения Y на 10 т мало о чем скажет. Выражение изменений переменных в процентах (или долях) позволяет сопоставить эти изменения. Общая формула эластичности (Е):

где х, y изменения показателей х и у; х, у средние значения показателей.
Понятие эластичности применяют для характеристики функций спроса и предложения. В таком случае результативным (зависимым) показателем является спрос (или предложение), а факторным (влияющим), тот показатель, по отношению к которому мы измеряем эластичность. Чаще всего используется показатель эластичности спроса по цене.
Эластичность спроса по цене это относительное изменение величины спроса на товар, деленное на относительное изменение цены данного товара. Она показывает, как количественно (на сколько процентов, или на какую долю) изменится величина спроса на товар, если цена товара изменится на один процент (одну долю).
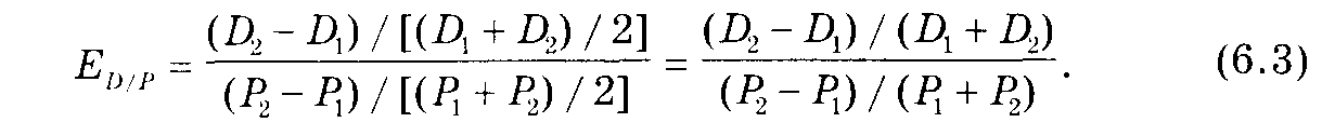
Существует несколько методов, например, деление абсолютного изменения величины спроса на его значение в какой-то одной точке (начальной или конечной). Если, скажем, величина спроса была равна 10 ед. товара, а стала 8 ед., то процентное изменение можно вычислить как (10 8) / 10 = 0,2 (или 20 %), или как (10 8) / 8 = 0,25 (или 25 %). Не столь важно, с каким из значений соотносить изменения, главное, чтобы для обоих показателей (величины спроса и цены) применялся один способ (или оба показателя соотносились с начальным либо конечным значением). Недостаток данного метода в зависимости результата расчетов от того, соотносится изменение показателя с его начальным или конечным значением. Формула расчета коэффициента эластичности спроса по цене в соответствии с описанным методом будет такова:

где ЕD/P коэффициент эластичности спроса по цене; D относительное изменение величины спроса; Р относительное изменение цены; Р1, Р2 начальное и конечное значения цены товара; D1, D2 начальное и конечное значении величины спроса.
Для того чтобы устранить влияние выбора начального или конечного значений показателей спроса и цены на значение коэффициента эластичности спроса по цене, можно применить формулу средней точки, которая предполагает определение арифметического среднего от начального и конечного значений. Для вышеприведенного примера: (10 8) / [(10 + 8) / 2] = = 0,2(2) (или приблизительно 22 %). Коэффициент эластичности спроса по цене с использованием формулы средней точки будет иметь вид:

Спрос называют эластичным, когда Е >1 (это означает, что спрос растет или падает быстрее цены), и неэластичным (жестким), когда Е <1, то есть спрос растет (падает) медленнее, чем изменяются цены.
Когда коэффициент эластичности принимает значение, равное единице, говорят о спросе с единичной эластичностью. В этом случае величина спроса изменяется строго пропорционально цене товара.
Если изменение цены не вызывает никакого изменения спроса, то Е = 0, если бесконечно малое изменение цены вызывает бесконечное расширение спроса, то Е = (см. рис. 1).

Рис. 1. Крайние случаи эластичности
Различают точечную и дуговую эластичность. Точечная эластичность может быть определена, если провести касательную к кривой спроса. Наклон кривой спроса в любой своей точке, как известно, определяется значением тангенса угла касательной с осью Х (рис. 2).

Рис. 2. Точечная эластичность

Значение точечной эластичности обратно пропорционально тангенсу угла наклона.
Дуговая эластичность показатель средней реакции спроса на изменение цены товара, выраженной кривой спроса на некотором отрезке D1 D2.

Если кривая спроса задается линейной функцией Q = а bР, то ее наклон совпадает с наклоном касательной во всех точках на кривой спроса и равен Q/Р = -b. Точечная эластичность линейной функции может выражаться тогда как Е = -b (P/Q), где b наклон кривой спроса.
Хотя наклон для линейной функции неизменен, значение эластичности Е будет различным в разных точках кривой и принимает любые значения. Эластичность линейной функции спроса изменяется от 0 (в точке D1) до (в точке D2) (см. рис. 3).

Рис. 3. Свойства эластичности
Это обстоятельство легко объяснить чисто арифметически. Дело в том, что в левом верхнем углу процентное изменение количества продукции велико, каждый шаг означает значительное (в процентном отношении) изменение. Наоборот, процентное изменение цены представляет довольно скромную величину, так как база, с которой осуществляется сравнение, относительно высока. Отсюда становится понятным, почему первоначально Е> 1, а в правом нижнем углу Е< 1.
Факторы, влияющие на эластичность спроса:
- Наличие товаров-заменителей. Чем легче заменить данный товар каким-либо другим, удовлетворяющим ту же потребность человека, тем более чутко будет реагировать потребитель на изменение цены товара. Зачем платить больше за дорожающий товар, если можно купить более дешевый аналог?
Пример: Спрос на воду менее эластичен, так как не просто найти заменитель воды; спрос на автомобили какой-либо марки более эластичен, так как их можно заменить автомобилями конкурирующих фирм. Обычно чем острее конкуренция между продавцами на рынке товара, тем эластичнее спрос на данный товар.
- Доля затрат на приобретение данного товара в общем объеме расходов потребителя. Чем большую долю в общих расходах занимают затраты на данный товар, тем стремительнее реакция потребителя на изменение цены товара.
Пример: Спрос на шариковые ручки менее эластичен, так как ручки дешевы и их удорожание даже в несколько раз существенно не скажется на бюджете потребителя; спрос на автомобили более эластичен из-за их дороговизны.
- Временной фактор. Чем больше времени есть у потребителя, чтобы приспособиться к новой цене товара, тем большая ценовая эластичность спроса наблюдается. Спрос более эластичен в длительном периоде и менее эластичен в коротком.
2. Перекрестная эластичность спроса. Эластичность спроса по доходу.
Эластичность спроса на одно благо относительно цен на другое благо называется перекрестной эластичностью:

Расчет коэффициента перекрестной эластичности спроса по цене позволяет ответить, на сколько процентов изменится величина спроса на товар А, если цена товара В изменится на один процент. Расчет коэффициента перекрестной эластичности имеет смысл прежде всего для товаров-субститутов и товаров-комплементов, так как для слабо взаимосвязанных товаров значение коэффициента будет близким к нулю.
Если коэффициент эластичности спроса на товар А по цене товара В положительный, мы имеем дело с взаимозаменяемыми товарами, а когда этот коэффициент отрицательный, товары А и В являются взаимодополняющими. Товары называют независимыми, если повышение цены одного товара не влияет на величину спроса на другой, т.е. когда коэффициент перекрестной эластичности равен нулю.
Эти положения верны только при небольших изменениях цен. Если ценовые изменения велики, то изменится спрос на оба товара под воздействием эффекта дохода. В этом случае товары могут ошибочно определяться как комплементы.
Эластичность спроса по доходу мера чувствительности спроса к изменению дохода, отражает относительное изменение спроса на какое-либо благо вследствие изменения дохода потребителя.
Спрос может изменяться быстрее, медленнее или такими же темпами, как и доход потребителя, либо вообще не изменяться для некоторых товаров. Определить меру взаимосвязи потребительского дохода и спроса помогает коэффициент эластичности спроса по доходу, показывающий соотношение относительного изменения величины спроса на товар и относительного изменения дохода потребителя:

Соответственно, коэффициент эластичности спроса по доходу может быть по абсолютному значению меньшим, большим или равным единице. Спрос является эластичным то доходу, если величина спроса изменяется в большей степени, нежели величина дохода (ЕD/I > 1). Спрос является неэластичным, если величина спроса изменяется в меньшей степени, нежели величина дохода (ЕD/I < 1). Если величина спроса никак не изменяется при изменении величины дохода, спрос является абсолютно неэластичным то доходу (ЕD/I = 0). Спрос имеет единичную эластичность (ЕD/I = 1), если величина спроса изменяется точно в такой же пропорции, что и доход. Спрос по доходу будет абсолютно эластичным (ЕD/I ), если при малейшем изменении дохода величина спроса изменяется очень сильно.
Эластичность спроса по доходу зависит от характеристик товара. Для нормальных товаров коэффициент эластичности спроса по доходу имеет положительный знак (ЕD/I > 0), для товаров низшей категории отрицательный знак (ЕD/I <0), для товаров первой необходимости спрос по доходу неэластичен (ЕD/I < 1), для предметов роскоши эластичен (ЕD/I > 1).
3. Эластичность предложения.
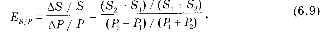
Количественная мера реакции величины предложения товара в ответ на изменение цены на товар представляет собой эластичность предложения по цене. Формулы расчета коэффициента ценовой эластичности предложения аналогичны формулам расчета коэффициентов ценовой эластичности спроса (6.16.4). Приведем формулу расчета дуговой эластичности предложения по цене:

где ЕS/P коэффициент эластичности предложения по цене; S относительное изменение величины предложения; Р относительное изменение цены; Р1, Р2 начальное и конечное значения цены товара; S1, S2 начальное и конечное значения величины предложения.
Формула расчета точечной эластичности предложения по цене такова:

где dР бесконечно малое приращение величины цены товара; dS приращение величины предложения; dS/dР первая производная функции зависимости величины предложения от цены; S, Р соответственно значения величины предложения и цены в данной точке.
Поскольку существует прямая зависимость между ценой товара и величиной предложения и кривая зависимости величины предложения от цены имеет положительный (восходящий) наклон, значение коэффициента эластичности предложения по цене будет больше нуля.
Выделяют:
• эластичное предложение товара (при ЕS/P> 1), когда величина предложения изменяется сильнее, чем уровень цены;
• неэластичное предложение (при ЕS/P < 1), когда величина предложения изменяется слабее, чем уровень цены;
• абсолютно эластичное предложение (ЕS/P ), при котором значение коэффициента ценовой эластичности предложения стремится к бесконечности
• абсолютно неэластичное предложение (ЕS/P = 0), при котором изменения цены не приводят к изменениям величины предложения;
• предложение с единичной эластичностью (ЕS/P = 1), когда величина предложения изменяется в такой же пропорции, что и цена на товар.
Кривые абсолютно эластичного (S3), неэластичного предложения (S2) и предложения с единичной эластичностью (S1) представлены на рис. 4.

Рис. 4. Кривые предложения с разной степенью эластичности
Заметим, что если зависимость величины предложения от цены выражена прямой линией, то линия, выходящая из начала координат, будет иметь эластичность, равную единице. Только по наклону кривой предложения нельзя судить об эластичности предложения (как и об эластичности спроса по наклону кривой спроса), так как цены и величины предложения могут быть выражены в разных единицах измерения (штуках и тысячах штук, часах и днях).
Время, которым располагает производитель для реагирования на изменение цены продукта, является основным фактором, влияющим на эластичность предложения. Очевидно, что чем длительнее рассматриваемый временной промежуток, тем чувствительнее реакция производителя на изменение цены, т.е. тем выше ценовая эластичность предложения товара. С данных позиций выделяют несколько типов временных промежутков, называемых производственными периодами, различающихся эластичностью предложения (рис. 5).

Рис. 5. Эластичность предложения в зависимости от рассматриваемого промежутка времени
Мгновенный период это промежуток времени, недостаточный для того, чтобы производители изменили величину предложения, в результате чего предложение является абсолютно неэластичным. Даже если спрос на рынке окажется чрезвычайно большим и цены сильно вырастут, производители не успеют увеличить объем производства (они могут только распродать складские запасы, если таковые есть). Примером этого можно считать продажу скоропортящихся фруктов на рынке они должны быть проданы очень быстро, и, если спрос окажется слишком мал, продавцы будут снижать цены до минимальных величин, лишь бы распродать товар. Кривая предложения в мгновенном периоде на рис. 5 это вертикальная кривая Sм.
Краткосрочный период это промежуток времени, достаточный для того, чтобы изменить интенсивность использования имеющихся производственных мощностей, но недостаточный для увеличения этих мощностей. Например, производителям не хватает времени для строительства нового завода, но для организации работы на старом заводе в две-три смены вполне достаточно. В этом случае кривая предложения уже не будет вертикальной линией, поскольку величина предложения возрастает с ростом цены. Кривая предложения в краткосрочном периоде на рис. 5 это кривая SS.
Долгосрочный период это промежуток времени, достаточный для того, чтобы изменить объем использования производственных мощностей. Производитель может строить новые цеха и предприятия, своевременно откликаясь на рост спроса, внедрять новые технологии. Кривая долгосрочного предложения на рис. 5 почти горизонтальная линия SL.
Таким образом, чем длительнее исследуемый промежуток времени, тем большую эластичность будет иметь кривая предложения товара.
Предположим, что в силу действия какого-то неценового фактора спрос на продукт увеличился, кривая спроса сдвинулась из положения D1 в положение D2 (см. рис. 5). В мгновенном периоде это приведет к очень существенному росту равновесной цены (до Р4) при неизменившемся объеме выпуска (предложение по цене абсолютно неэластично). В краткосрочном периоде интенсивное использование имеющихся производственных мощностей позволит снизить цену до уровня Р3, равновесный объем производства вырастет до уровня Q2. В долгосрочном периоде цена еще более приблизится к первоначальной (но будет выше ее), объем производства увеличится до уровня Q3.
4. Практическое значение анализа эластичности.
Теория эластичности имеет важное значение для определения экономической политики фирм и правительства. Это наглядно видно на примере налоговой политики государства. Допустим, государство вводит определенную (фиксированную) сумму налога на единицу товара, что равносильно смещению кривой предложения вверх до S/ (см. рис. 6).

Рис. 6. Распределение налогового бремени
Сумма налога распределяется между потребителями и производителями, а также включает избыточное налоговое бремя, являющееся омертвленными издержками, которые представляют чистую потерю для общества. Эластичность при этом играет большую роль, так как позволяет определить, какую часть налога выплачивают предприниматели, а какую потребители.
В случае эластичного спроса большая часть налога выплачивается производителем, в случае неэластичного спроса потребителем (сравним разделение отрезка АЕ/на АВ и ВЕ/ в первом случае и во втором на рис. 7).
Подобное явление легко объяснить, так как в случае эластичного спроса потребители при росте цены на данный товар будут стремиться переключить свой спрос на товары-субституты. В случае неэластичного спроса это будет сделать гораздо труднее.
Наоборот, если предложение эластично, большая часть налога падает на потребителей, а если неэластично то на производителей (см. рис. 8). Это и понятно. Эластичность предложения означает, что производители без труда смогут переключить свои ресурсы на производство какого-либо другого товара или услуги. В случае неэластичного предложения перемещение ресурсов происходит медленнее и с большим трудом, поэтому больше всего от налога пострадают производители.

Рис. 7. Эластичность спроса и распределение налога с продаж

Рис. 8. Эластичность предложения и распределение налога с продаж
Эластичность спроса и предложения