АВТОМАТИЗИРОВАННЫЕ МЕТОДЫ И СРЕДСТВА ОПРЕДЕЛЕНИЯ МЕСТ ПОВРЕЖДЕНИЯ ЛИНИЙ ЭЛЕКТРОПЕРЕДАЧИ
МИНИСТЕРСТВО ОБРАЗОВАНИЯ И НАУКИ РОССИЙСКОЙ ФЕДЕРАЦИИ
ФЕДЕРАЛЬНОЕ ГОСУДАРСТВЕННОЕ БЮДЖЕТНОЕ ОБРАЗОВАТЕЛЬНОЕ УЧРЕЖДЕНИЕ ВЫСШЕГО ПРОФЕССИОНАЛЬНОГО ОБРАЗОВАНИЯ
«ТЮМЕНСКИЙ ГОСУДАРСТВЕННЫЙ НЕФТЕГАЗОВЫЙ УНИВЕРСИТЕТ»
ИНСТИТУТ ПРОМЫШЛЕННЫХ ТЕХНОЛОГИЙ И ИНЖИНИРИНГА
КАФЕДРА «ЭЛЕКТРОЭНЕРГЕТИКА»
КУРСОВАЯ РАБОТА
по дисциплине «Современные проблемы электротехнических наук».
на тему «АВТОМАТИЗИРОВАННЫЕ МЕТОДЫ И СРЕДСТВА ОПРЕДЕЛЕНИЯ МЕСТ ПОВРЕЖДЕНИЯ ЛИНИЙ ЭЛЕКТРОПЕРЕДАЧИ».
Выполнил: студент группы АЭм-14-1
Шевелева А.В.
Проверил: к.т.н Власова Е.П.
Тюмень, 2015

СОДЕРЖАНИЕ
ВВЕДЕНИЕ………………………………………………………………………..3
1 ТЕОРЕТИЧЕСКИЕ ОСНОВЫ ОПРЕДЕЛЕНИЯ МЕСТА ПОВРЕЖДЕНИЯ ЛИНИЙ ЭЛЕКТРОПЕРЕДАЧИ …………………………………………………4
1.2 ОМП НА ЛИНИЯХ 110-220 кВ……………………………………………..5
1.3 ОМП НА ЛИНИЯХ 6...35 кВ………………………………………………..7
1.3.1 ОСНОВНЫЕ УСТРОЙСТВА…………………………………………….10
ЗАКЛЮЧЕНИЕ………………………………………………………………….22
СПИСОК ЛИТЕРАТУРЫ………………………………………………………23
ВВЕДЕНИЕ
Нарушение нормального режима работы электроэнергетических систем, как правило, происходят из-за повреждения её элементов, в частности, линий электропередачи (ЛЭП). Причинами повреждений ЛЭП являются воздействия природных и технических факторов. К природным факторам относятся ветер, гололед, перепад температур, атмосферные перенапряжения, к техническим короткие замыкания (КЗ), внутренние перенапряжения, нарушения правил технической эксплуатации, однофазные и многофазные замыкания, обрывы проводов и другие повреждения и т.п.
Повреждение ЛЭП приводит к нарушению электроснабжения, снижению качества и повышению потерь электрической энергии. Принимая во внимание качественный состав потребителей электроэнергии, где компьютерные технологии занимают главное место, ущерб от недоотпуска и снижения качества электрической энергии оказывается значительным. Это объясняется тем, что компьютерная техника чувствительна к сбоям электроснабжения и низкому качеству электрической энергии, что является причиной сбоев беспрерывных технологических циклов, потери информации, порчи программных продуктов и т.п. Следует также заметить, что повышение потерь электроэнергии приводит к росту затрат на транспортировку электрической энергии. С учетом ограниченного количества энергоресурсов эти затраты также оказываются значительными.
Для восстановления нормального режима работы электроэнергетических систем, сокращения ущерба и затрат необходимо быстро и точно определять места повреждений ЛЭП. Вопросу определения места повреждения (ОМП) посвящено большое количество работ как отечественных, так и зарубежных ученых. Основной вклад в теорию и практику ОМП ЛЭП внесли А.И. Айзенфельд, Г.М. Шалыт, Е.А. Аржанников, А.-С.С. Саухатас, Ю.А. Лямец и др.
Технические средства для определения места повреждения (ОМП) широко используются при эксплуатации ВЛ всех классов напряжений. В зависимости от класса напряжения средства ОМП можно разделить на два вида: средства ОМП в сетях с большими токами замыкания на землю (110-220 кВ) и средства ОМП в сетях с малыми токами замыкания на землю (6...35 кВ).
1 ТЕОРЕТИЧЕСКИЕ ОСНОВЫ ОПРЕДЕЛЕНИЯ МЕСТА ПОВРЕЖДЕНИЯ ЛИНИЙ ЭЛЕКТРОПЕРЕДАЧИ
Повреждение линий электропередачи приводит к нарушению нормального режима работы электроэнергетических систем и, как следствие, к нарушению нормального электроснабжения потребителей, снижению качества электрической энергии и повышению потерь электроэнергии в сети. Для восстановления нормального режима работы необходимо как можно быстрее восстановить поврежденную линию. Основную часть времени восстановления поврежденной линии занимает процесс определения места повреждения. Исходя из этого, решение задачи ОМП должно быть одновременно быстрым и точным.
Разнообразие видов и характера повреждений, а также структуры и условий работы электрических сетей привело к большому разнообразию методов ОМП, которые можно разделить на две большие группы дистанционные и топографические [1]. Дистанционные методы ОМП заключаются в измерении расстояния до места повреждения от конца или концов линии. Эта группа методов, с одной стороны, удовлетворяет требованию быстроты ОМП, но с другой обладает ограниченной точностью. Топографические методы ОМП заключаются в определении места повреждения на трассе линии электропередачи, т.е. топографической точки расположения места повреждения. Данная группа методов обладает высокой точностью, но требует большого количество времени.
Для выполнения требований по быстроте и точности ОМП целесообразно применение двух методов ОМП дистанционного и топографического. Сначала с помощью дистанционного метода ОМП определяют зону, в которой находится место повреждения, а затем, используя топографический метод, устанавливается точное место повреждения.
На рис.1.1 приведена классификация методов ОМП. Как видно из рис.1.1, дистанционные методы ОМП также подразделяются на две большие группы импульсные и методы по параметрам аварийного режима.

Рис. 1.1 Классификация методов ОМП
1.2 ОМП НА ЛИНИЯХ 110-220 кВ
Линии электрических сетей с большими токами замыкания на землю характеризуются достаточно большой протяженностью. Методы и средства ОМП здесь основаны на измерении и запоминании параметров аварийного режима (токов и напряжений прямой, обратной и нулевой последовательности) и вычислении расстояния до мест повреждения. В таких сетях используются, как правило, двусторонние методы, основанные на фиксации токов и напряжений по концам ВЛ.
Для измерения и запоминания токов и напряжений используются полупроводниковые и микропроцессорные фиксирующие приборы. По сравнению с полупроводниковыми, микропроцессорные фиксирующие приборы позволяют реализовать более сложные алгоритмы ОМП, более приспособлены к перепрограммированию при изменении параметров сети, более точные. Опыт эксплуатации микропроцессорных приборов ОМП показал, что погрешность определения расстояния до места повреждения не превышает 5 %.
При повреждении на контролируемой линии средства ОМП осуществляют в темпе процесса лишь функции измерения и запоминания токов и напряжений аварийного режима. Обработка результатов измерения выполняется уже после отключения линии релейной защитой.

Рис. 1.1. Напряжения и токи в линии в момент повреждения
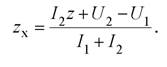
Пусть в некоторой точке линии, соединяющей подстанции 1 и 2, (рис. 1.1), происходит повреждение, например однофазное короткое замыкание. Индикаторы, установленные по концам линии, фиксируют в аварийном режиме токи и напряжения. Параметры аварийного режима связаны соотношениями
(1.1)
где U 1, Uiи Ux - напряжения нулевой последовательности по концам
линии и в месте повреждения;
I 1, I 2 - токи нулевой последовательности по концам линии;
z, zx - сопротивления нулевой последовательности линии и участка до места повреждения.
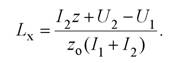
Приравнивая левые части выражений (1.1), получим
(1.2)
Поделив правую и левую части последнего выражения на удельное сопротивление проводов линии z 0 , получим искомое расстояние до места повреждения:
(1.3)
Параметры линии z и z0 вводятся с клавиатуры устройства при его установке. Величина Lxв километрах выдается на дисплей устройства. Возможность исключения из расчетных выражений напряжения Ux показывает независимость результата ОМП от сопротивления в месте повреждения.
1.3 ОМП НА ЛИНИЯХ 6...35 кВ
Воздушные (ВЛ) и кабельные (КЛ)
линии 635 кВ составляют основу распределительных сетей и по данным
ОАО «ФСК ЕЭС» имеют протяжённость около 1,3 млн. км. Более 600 тыс. км
этих линий выработали свой ресурс, что приводит в среднем к восьми от-
ключениям в год на 100км.
Поэтому в настоящее время повышается актуальность более точного и
своевременного определения места повреждения (ОМП).
Специфика режимов нейтрали и конструктивного исполнения ЛЭП 6
35 кВ не позволяет средствам релейной защиты и автоматики (РЗиА) в пол-
ной мере обеспечивать выявление повреждений и особенно селективное оп-
ределение замыканий на землю.
Существенной особенностью структуры распределительных сетей 6...35 кВ является их разветвленность. Расстояния до мест многофазных замыканий в этих сетях определяются средствами ОМП, установленными на питающих подстанциях (односторонние средства ОМП). Однако даже высокая точность этих средств не позволяет указать место повреждения вследствие разветвленности сетей.
На рис. 1.2 показана разветвленная электрическая сеть. После отключения повреждения выключателем Qи определения расстояния до места повреждения возникает задача определения аварийного участка разветвленной сети, поскольку повреждения в точках К1, К2 или КЗ являются равноудаленными от питающей подстанции.

Рис. 1.2. Расстановка указателей поврежденного участка в разветвленной сети
Для ориентирования при поиске места повреждения в местах разветвления сети устанавливаются указатели поврежденного участка, фиксирующие факт протекания тока короткого замыкания. По положениям указателей 1, 2 и 3 эксплуатационный персонал правильно определяет направление поиска места повреждения. В частности, при замыкании в точке К1 факт протекания тока короткого замыкания будет зафиксирован только указателем 1.
В электрических сетях с изолированной нейтралью (6...35 кВ) ток однофазного замыкания на землю имеет емкостной характер, а по величине значительно (на один-два порядка) меньше тока нагрузки.
Малая величина токов замыкания на землю исключает возможность применения рассмотренных выше методов и средств ОМП.
В соответствии с Правилами технической эксплуатации электроустановок потребителей допускается работа сети с заземленной фазой до устранения повреждения; при этом эксплуатационный персонал обязан отыскать и устранить повреждение в кратчайший срок. Отыскание места однофазных замыканий на землю осуществляется с помощью переносных приборов, измеряющих вблизи ВЛ уровень магнитного поля токов нулевой последовательности.
Принцип определения места замыкания на землю в разветвленной сети иллюстрируется схемой (рис. 1.3), состоящей из линий W 1, W 2, W 3 и W 4. При замыкании в точке К через место повреждения протекают емкостные токи нулевой последовательности, замыкающиеся через распределенные емкости линий, представленные на рис. 3 сосредоточенными емкостями С1, С2, С3, С4, и С5,. Распределение этих токов в линиях сети показано эпюрами.
Величины токов, растекающихся по линии W 4 влево (I04`) и вправо (I04") от места замыкания пропорциональны суммарным емкостям на землю:
(1.4)
где к - коэффициент пропорциональности.
Наибольший уровень емкостных токов нулевой последовательности имеет место в поврежденной линии до места замыкания, после которого уровень этих токов резко уменьшается.

Рис. 1.3. Схема сети и эпюры показаний переносного прибора в различных ее участках
Применение переносных приборов, реагирующих на магнитные поля основной частоты (50 Гц), затруднено вследствие значительного влияния на измерения рабочих токов линий. Поэтому при поиске мест замыканий на землю используют приборы, реагирующие на высшие гармонические составляющие магнитного поля токов нулевой последовательности. В этом случае влияние токов нагрузки на результаты измерения существенно меньше.
1.3.1 ОСНОВНЫЕ УСТРОЙСТВА
Применяемые в настоящее время устройства определения мест повреждения на линиях 610 кВ разделяются на две группы: топографические, к которым относятся указатели поврежденных участков, и дистанционные, к которым относятся фиксирующие приборы.
Топографические устройства определения мест междуфазных замыканий названы так потому, что их устанавливают непосредственно в сети на опорах линии, они! являются наиболее простыми и в то же время весьма; эффективными. Это указатели поврежденных участков (УПУ), которые эксплуатируются достаточно длительное время. Наиболее широко распространены указатели с автоматическим самовозвратом, которые срабатывают при появлении в линии тока КЗ и имеют выходной орган, позволяющий фиксировать их срабатывание. После восстановления нормального режима работы линии устройства автоматически возвращаются в исходное состояние, что существенно облегчает эксплуатацию по сравнению с устройствами, не имеющими органов возврата.
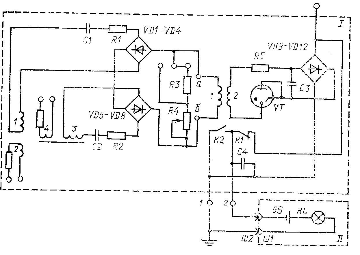
Указатели поврежденного участка серии УПУ. Указатель типа УПУ-1 (рис. 16) состоит из двух блоков: стационарного и переносного (блока контроля).

Рис. 16. Принципиальная схема указателя поврежденного участка типа УПУ-1:
I стационарный блок; II переносной индикатор
Стационарный блок устанавливается на опоре вблизи проводов линии. Он срабатывает практически без выдержки времени при увеличении тока в линии выше его уставки и возвращается в исходное состояние с выдержкой времени 23 с при восстановлении рабочего напряжения на линии. Выносную контактную вилку устанавливают на опоре на высоте 2,83 м и соединяют электрически со стационарным блоком.
Переносной блок контроля, состоящий из электрической батареи GB и контрольной лампы HL, служит для проверки состояния выходных контактов стационарного блока. Магнитный датчик стационарного блока представляет собой магнитопровод с двумя рабочими обмотками w1, w3 и двумя испытательными обмотками w 2 и w3, каждая из которых подключена к своему выпрямителю VD1VD4 и VD5VD8. Выходы этих выпрямителей соединены последовательно и питают обмотку 1 поляризованного реле К. Две обмотки необходимы для обеспечения равной чувствительности датчика к токам КЗ на разных фазах.
Конденсаторы С1 и С2 служат для компенсации реактивного сопротивления обмоток датчика. Резисторы R3 и R4 предназначены для регулирования чувствительности указателя, резистор R5 для ступенчатого регулирования уставки по току срабатывания. Обмотка 2 поляризованного реле используется для возврата устройства в исходное состояние. Схема возврата состоит из выпрямителя VD9VD12, конденсаторов СЗ, С4, триратрона VT. Схема возврата получает питание от устройства емкостного отбора мощности от линии электропередачи, в качестве которого используют либо антенну длиной в один пролет, располагаемую под проводами, либо подвесной изолятор.
Указатель короткого замыкания типа УКЗ-3 предназначен для определения направления поиска места короткого замыкания на воздушных распределительных линиях 635 кВ, отключившихся в результате короткого замыкания.
Направление поиска указывается индикатором, срабатывание которого происходит при протекании тока короткого замыкания в одной или нескольких фазах линии. Состояние индикатора определяется визуально через смотровое окно в корпусе указателя, установленного на опоре в зоне проводов. В сработанном состоянии флажок индикатора повернут к наблюдателю стороной, окрашенной в яркий цвет. Обратная сторона флажка индикатора окрашена в черный цвет. Наблюдение состояния индикатора может осуществляться с расстояния до 15 м от опоры, на которой установлен указатель. При восста новлении напряжения на линии сработанные указатели!" автоматически возвращаются в исходное состояние.Питание указателя обеспечивается емкостным отбором напряжения от контролируемой линии через дополнительные внешние изоляторы, подвешиваемые на двух: фазах линии. В части воздействия климатических факторов внешней среды указатель соответствует исполнению V категории размещения I (температурный диапазон от 45 до 50 °С).
Срабатывание указателя обеспечивается при междуфазных коротких замыканиях в контролируемой линии, сопровождающихся скачкообразным увеличением тока в поврежденных фазах. Порог срабатывания указателя соответствует увеличению тока на 50 А при установке указателя на типовой железобетонной опоре линии 10 кВ на расстоянии 0,7 м от каждого провода.
Допускается установка указателя при других расстояниях от проводов линии с учетом того, что порог срабатывания изменяется пропорционально расстоянию. Порог срабатывания указателя при увеличении тока вдвое (двойное замыкание на землю) ориентировочно в 2 раза выше 50 А.
Возврат указателя обеспечивается переменным током не менее 50 мкА. Время подготовки к поворотному срабатыванию не превышает 5 мин. Длительность регистрируемого тока при его двукратном значении не менее 0,1 с. Срабатывание указателя обеспечивается при предаварийном токе нагрузки линии до 100 А. Обеспечивается блокирование срабатывания указателя при входном воздействии, подаваемом одновременно с восстановлением напряжения на линии после паузы не менее 5 с. Площадь наблюдаемой поверхности флажка индикатора не менее 5 см2.
Указатель обеспечивает возможность контроля его исправности при включенной линии путем поднесения к нему постоянного магнита, создающего магнитный поток не менее 3,5-10~5 Вб. На корпусе указателя обозначено место, к которому подносится для контроля постоянный магнит.
Указатель короткого замыкания типа УКЗ-2М. Структурная схема указателя УКЗ-2М представлена на рис. 17. Схема содержит преобразователи тока ИПТ1 (1) и ИПТ2 (2), максиселектор сигналов преобразователей 3, выпрямители 4 и 14, блок выделения переходной составляющей тока короткого замыкания 5 и формирователь 6. Выход формирователя подключен к входу порогового органа срабатывания 9. Формирователь 6 выполнен из двух последовательно соединенных блоков: ограничителя сигнала 7 и интегратора 8. Кроме того, указатель содержит блок индикации 10, источник опорного напряжения 11, пороговый орган возврата 12, накопитель 13, элемент емкостного отбора напряжения 15, элемент контроля напряжения 16 на выходе емкостного отбора напряжения, разрядный элемент накопителя /7 и элемент стабилизации напряжения накопителя /8, токоограничивающий элемент 19 и разрядник 20,
Устройство работает следующим образом. При включении линии в работу через элемент емкостного отбора напряжения питание схемы указателя через выпрямитель подается на накопитель, который заряжается за время примерно 1 мин и подготавливает схему к срабатыванию. Напряжение на накопителе ограничивается с помощью элемента стабилизации напряжения. С помощью преобразователей тока ИПТ1 и ИПТ2 производится изменение токов в фазах контролируемого участка линии в нормальном режиме и формирование в блоке выделения переходной составляющей тока короткого замыкания.

Рис. 17. Структурная схема указателя УКЗ-2М
Напряжение пропорционально току нагрузки. При возникновении короткого замыкания на контролируемом участке линии сигнал на выходе одного или обоих ИПТ возрастает и через максиселектор, выделяющий наибольший из сигналов, и выпрямитель поступает на вход блока выделения переходной составляющей тока КЗ. На выходе этого блока появляется напряжение, пропорциональное приращению тока при КЗ, которое через ограничитель сигнала и интегратор подается на вход порогового органа срабатывания.
В случае превышения поступившего напряжения уставки срабатывания порогового органа последний срабатывает и разряжает накопитель на обмотку срабатывания блока индикации. При этом визуальный индикатор сигнализирует о коротком замыкании на контролируемом участке сети. При включении линии в работу после устранения короткого замыкания или после успешного АПВ появляется напряжение на выходе элемента отбора, заряжается накопитель и срабатывает второй пороговый орган, который переводит блок индикации в исходное состояние. Для исключения излишних срабатываний указателя от тока нагрузки в указателе предусмотрены элемент контроля напряжения и разрядный элемент, которые при отключении линии разряжают накопитель и тем самым блокируют срабатывание указателя при повторных включениях на устойчивое короткое замыкание.
Для исключения излишних срабатываний при кратковременных бросках тока используют ограничитель сигнала и интегратор. Ограничитель сигнала ограничивает приращение напряжения на выходе максиселектора до значения, соответствующего минимальному току КЗ, а интегратор имеет постоянную времени интегрирования, при которой выходной сигнал интегратора достигает максимального значения через 0,1 с. Ограничитель необходим для стабилизации времени интегрирования, которое выбрано с учетом отключения короткого замыкания от токовой отсечки. Источник опорного напряжения позволяет устанавливать стабильный порог срабатывания указателя.
Индикатор фиксирующий типа ФИС предназначен для определения места повреждения на воздушных линиях электропередачи путем фиксации электрических величин аварийного режима. Он обеспечивает одностороннее непосредственное определение места повреждения в зависимости от величины реактивного сопротивления на зажимах фиксатора.
При повреждениях, связанных с землей, фиксируется отношение минимального фазного напряжения и максимального фазного тока, компенсированного током нулевой последовательности. При повреждениях, не связанных с землей, фиксируется отношение минимального междуфазного напряжения и максимальной разности фазных токов.
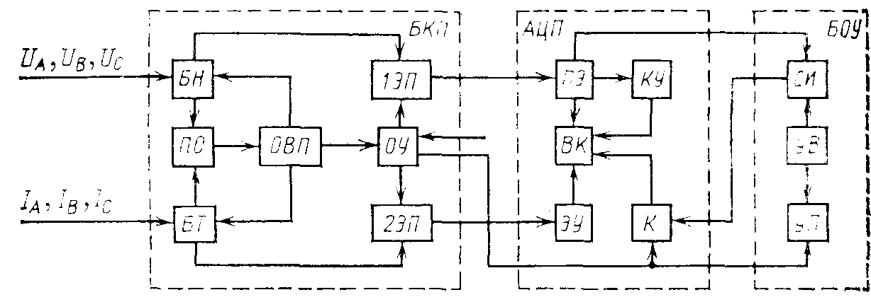
Блок кратковременной памяти БКП прибора ФИС (рис. 18) содержит входные блоки цепей напряжения БН и тока БТ, пусковой орган ПО, определитель вида повреждения ОВП, орган управления ОУ и элементы памяти 1ЭП и 2ЭП.
Аналого-цифровой преобразователь АЦП состоит из вспомогательного конденсатора ВК, элемента контроля уровня напряжения конденсатора ЭУ, порогового элемента ПЭ, ключа КУ, переключающего конденсатор ВК на разряд, и конденсатора К.
Блок отчета и управления БОУ содержит счетчик импульсов СИ, указатель вида повреждений УП и устройство возврата и проверки УВ.

Рис. 18. Структурная схема фиксирующего прибора ФИС
Контролируемые напряжения UA, UB, Uc и токи ia, ib, IС подаются во входные цепи блоков напряжения и тока.
При КЗ на контролируемой линии срабатывает пусковой орган ПО, включающий орган управления ОУ и определитель вида повреждения ОВП. Последний производит переключения в цепях БН и БТ в соответствии с видом повреждения. Орган управления подключает к выходным цепям БН и БТ элементы памяти и после отключения линии, что сопровождается работой аварийной сигнализации АС, переключает элементы памяти на аналогоцифровой преобразователь АЦП и передает информацию о виде повреждения на указатель УП. Преобразователь производит разряд запоминающего конденсатора элемента памяти 1ЭП дискретными порциями, пропорциональными значению напряжения заряда конденсатора элемента 2ЭП. При каждом цикле разряда срабатывает пороговый элемент ПЭ и подает импульс на счетчик импульсов СИ блока отсчета. Устройство возврата и проверки УВ предназначено для возврата элементов схемы прибора в исходное состояние и проверки прибора в процессе эксплуатации.
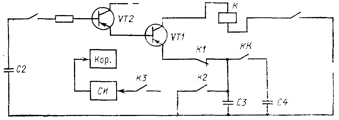
При использовании прибора ФИС на линии с ответвлением для повышения точности измерения расстояния до места повреждения за ответвлением используется корректор Кор., вводящий коррекцию в характеристику прибора (рис. 19), При числе импульсов, соответствующем расстоянию до места ответвления, счетчик СИ воздействует на реле корректора, которое своим контактом КК подключает вспомогательный конденсатор С4.

Рис. 19. Функциональная схема АЦП прибора ФИС
При этом порции разряда конденсатора С2 и цена деления счетчика СИ изменяются на величину поправки, учитывающей влияние тока ответвления.
Внедрение ФИС позволит непосредственно определять расстояния до места повреждения при коротких замыканиях, связанных и не связанных с землей, без дополнительных расчетных операций, что существенно сокращает время отыскания места повреждения.
Фиксатор мест междуфазных замыканий на линиях 610 кВ типа ФМК-10предназначен для дистанционного определения расстояний до мест междуфазных коротких замыканий на линиях 610 кВ. Определение расстояний осуществляется по значению фиксируемого реактивного сопротивления петли короткого замыкания поврежденного участка.
Расстояние до места двух- и трехфазных коротких замыканий определяется непосредственно в километрах для алюминиевых и сталеалюминиевых проводов различных сечений.
В состав устройства входят блок токовый, блок измерения, электросекундомер ПВ-53, который применен в качестве блока отсчета, и кнопка опробования. Схема устройства приведена на рис. 20.
Устройство подключается к присоединениям, оборудованным двумя трансформаторами тока и одним трехфазным или двумя однофазными трансформаторами напряжения.
Устройство устанавливается в шкафу ввода КРУ, КРУН 10 кВ подстанций 35110 кВ (одно на секцию шин 10 кВ).
Устройство типа «Волна» предназначено для определения места замыкания на землю в воздушных электрических сетях 620 кВ, работающих с изолированной нейтралью или в режиме компенсации емкостного тока.
Определение места замыкания на землю основано на индикации вблизи линий электропередачи уровня высших гармонических составляющих магнитного поля тока нулевой последовательности с помощью встроенного в устройство магнитного датчика. Поврежденная линия и ответвление определяются по максимальному показанию выходного прибора устройства, а место повреждения по резкому снижению показаний прибора за местом замыкания при измерениях вдоль поврежденного направления.
Устройство позволяет определять наличие в сети замыкания на землю и напряжения на линии путем контроля электрического поля с помощью электрической антенны. Оно также позволяет путем контроля электрического тока вблизи опоры определять железобетонную опору, находящуюся под напряжением из-за пробоя изоляции на арматуру и нарушения заземления опоры.
Магнитный датчик М (рис. 21) с конденсаторами / образует резонансный контур, настроенный на частоту 250550 Гц и включенный на вход эмиттерного повторителя 2. Делитель напряжения 3 обеспечивает ступенчатое регулирование чувствительности устройства. Сигнал с выхода делителя подается через блок управления на вход первого транзисторного усилителя 4, на выход которого включен измерительный прибор 5.
Электрическая антенна А, представляющая собой металлическую пластину, встроенную в корпус устройства, включена через эмиттерный повторитель 6 на вход второго усилителя 7, который имеет два выхода. Выход постоянного тока воздействует на усилитель 4, увеличивая или уменьшая его коэффициент усиления при уменьшении или увеличении электрического поля в точке измерения и, следовательно, напряжения на антенне.

Рис. 20. Фиксатор мест междуфазных замыканий на линиях 610 кВ типа ФМК-10
Выход переменного тока второго усилителя через блок управления подается на вход последних двух каскадов первого усилителя, что позволяет контролировать напряженность электрического поля в точке измерения. Блок управления включает в себя переключатель режимов работы и чувствительности устройства и кнопку включения питания.
Рис. 21. Функциональная устройства «Волна» Рис. 22. Электрическая функциональная схема устройства «Зонд»
Устройство обладает высокой чувствительностью; повышенной селективностью за счет существенного снижения зависимости показаний от изменения высоты подвеса проводов и расстояния от места измерения до оси линии; меньшей зависимостью показаний от изменений переходного сопротивления в месте замыкания в процессе поиска; удобствами в эксплуатации за счет упрощения управления, уменьшения размеров и массы, наличия встроенной антенны.
Устройство «Зонд» предназначено для отыскания мест замыканий на землю на воздушных линиях напряжением 620 кВ с изолированной и компенсированной нейтралью.
Работа устройства «Зонд» основана на принципе сравнения по фазе вектора тока одиннадцатой гармоники, имеющегося в токе нулевой последовательности, п вектора напряжения одиннадцатой гармоники, имеющегося в напряжении нулевой последовательности.
Электрическая функциональная схема устройства «Зонд» приведена на рис. 22. Схема содержит усилитель напряжения А1, усилитель тока А2 и схему индикации Е. Усилитель напряжения АV состоит из эмиттерного повторителя 1, на вход которого подается напряжение нулевой последовательности, наводимое в антенне. Напряжение с выхода эмиттерного повторителя / поступает на вход резонансного усилителя 2, настроенного на частоту 550 Гц.
Напряжение с выхода резонансного усилителя 2, пропорциональное нулевой последовательности одиннадцатой гармоники, поступает на апериодический усилитель 3. С выхода апериодического усилителя 3 напряжение нулевой последовательности одиннадцатой гармоники поступает на вход фазоинверсного каскада 4.
На входе усилителя тока А2 находится полосовой фильтр 5, настроенный на частоту 550 Гц. К выходу полосового фильтра 5 подключен апериодический усилитель 6. Выходное напряжение, пропорциональное току нулевой последовательности одиннадцатой гармоники, поступает на делитель напряжения 7. С выхода усилителя 7 напряжение, пропорциональное току нулевой последовательности одиннадцатой гармоники, через схему коммутации 9 поступает на апериодический усилитель 8.
В схему индикации Е входят схема коммутации 9, состоящая из четырех кнопок «Земля», «Ток», «Направление», «Контроль напряжения» и тумблера «Подсвет», фазосравнивающая схема 10, измерительная схема 11 и измерительный прибор 12.
В режиме работы «Земля» сигнал с выхода эмиттерного повторителя 1 через схему коммутации 9 подается на измерительную схему 11, а затем на измерительный прибор 12. В режиме работы «Ток» сигнал с выхода апериодического усилителя 8 через схему коммутации 9 подается на измерительную схему 11 и измерительный прибор 12. В режиме работы «Направление» на фазосравнивающую схему 10 поступает сигнал с выхода канала напряжения и с выхода канала тока, после чего сигнал через измерительную схему 11 подается на измерительный прибор 12.
Устройство «Зонд» позволяет оценивать уровень токов одиннадцатой гармоники и контролировать наличие напряжения нулевой последовательности основной частоты 50 Гц (контролировать наличие «земли» в линии). В качестве дистанционных датчиков тока и напряжения в устройстве используются катушка на ферритовом сердечнике и штыревая антенна. Сигналы, снимаемые с датчиков, усиливаются, фильтруются, измеряются или сравниваются по фазе.
В качестве индикатора в устройстве «Зонд» используется стрелочный электроизмерительный прибор типа М4205 магнитоэлектрической системы с нулем в середине шкалы. На передней панели корпуса устройства «Зонд» находятся кнопки режима работы «Ток», «Земля» и «Направление», кнопка «Контроль питания», переключатель «Усиление» и тумблер «Подсвет».
ЗАКЛЮЧЕНИЕ
Проведенный анализ методов и средств ОМП позволяет сделать следующие выводы:
- топографическое ОМП наиболее точное, но занимает значительное время;
- импульсное ОМП малоэффективно на неоднородных ЛЭП за счет появления «паразитных» отражений импульсов ;
- двухстороннее ОМП по ПАР, хоть и обладает высокой точностью, однако требует значительных капитальных вложений и имеет невысокую надежность;
- одностороннему ОМП по ПАР присуща методическая погрешность за счет наличия неизвестной информации, к которой относится переходное сопротивление в месте повреждения и система с противоположного конца поврежденной линии.
На сегодняшний день ОМП ЛЭП имеет высокую погрешность. Принимая во внимание качественные изменения, произошедшие в области измерительных средств, а именно переход от аналоговых устройств к цифровым, выполненным на базе ЭВМ, появляется возможность усовершенствования методов и средств ОМП. При этом актуальным является усовершенствование наиболее дешевых и надежных методов и средств одностороннего ОМП по ПАР путем уменьшения влияния неизвестной информации на точность получаемых результатов.
СПИСОК ЛИТЕРАТУРЫ
- Айзенфелъд А.И. Методы определения мест короткого замыкания на воздушных линиях электропередачи. при помощи, фиксирующих приборов. М.: Энергия; 2014;
- Айзенфелъд А.И., Шалыт Г.М. Определение мест короткого замыкания на линиях с ответвлениями. 2-е изд. М:: Энергоатомиздат, 1988;
- Аржанников Е.А. Применение дистанционного принципа в условиях замыканий на землю для выполнения релейной защиты, автоматики и устройств определения места повреждения линий электропередачи: дис. . д-ра техн. наук. Иваново, 1996;
- Аржанников Е.А., Лукоянов В.Ю., Мисриханов М.Ш. Определение места короткого замыкания на высоковольтных линиях электропередачи/ под ред. В.А. Шуина. М.: Энергоатомиздат, 2013;
- Аржанников Е.А., Чухин A.M. Методы и приборы определения мест повреждения на линиях электропередачи. М.: НТФ «Энергопресс», 1998 (Б-ка электромонтёра; вып. 3);
- Лямец Ю.Я., Ильин В.А., Подшивалин Н.В. Программный комплекс анализа аварийных процессов и определения места повреждения линии электропередачи// Электричество. 1996. №12. С. 2-7;
- Шалыт Г.М., Айзенфельд А.И., Adcuibiu А.С. Определение мест повреждения линий электропередачи по параметрам аварийного режима/ под ред. Г.М. Шалыта. 2-е изд., перераб. и доп. Mi: Энергоатомиздат, 1983;
- Петрухин А.А.Ссовершенствование методов и технических средств определения мест повреждений воздушных лэп 6-35 кВ на основе активного зондирования: дис. к.т.н. Иваново, 2009.
PAGE \* MERGEFORMAT2
АВТОМАТИЗИРОВАННЫЕ МЕТОДЫ И СРЕДСТВА ОПРЕДЕЛЕНИЯ МЕСТ ПОВРЕЖДЕНИЯ ЛИНИЙ ЭЛЕКТРОПЕРЕДАЧИ
