Безопасность и надежность систем газоснабжения
1. Системы газоснабжения
Системы газоснабжения можно разделить на систему газопроводов и автономные системы. Газопроводы, снабжающие газом жилые, административные здания и прочие объекты можно группировать по различным признакам. По степени давления бывают газопроводы с низким, средним и высоким давлением в системе. Газопроводы низкого давления обеспечивают энергией жилые дома, здания административного назначения. Газопроводы со средним давлением коммунально-бытовые учреждения, промышленные объекты. И, наконец, газопровод с высоким давлением предназначен для крупных предприятий промышленности, а также для подачи газа непосредственно в систему со средним давлением. По расположению газопроводы делятся на наружные (уличные, квартальные) и внутренние (внутридомовые). Наружные газопроводы в основном подземные, некоторые трубы прокладывают по фасадам зданий.
По принципу построения газопроводы бывают кольцевыми, тупиковыми и смешанными.
Кольцевые это система замыкаемая система труб. Благодаря такому строению у всех потребителей наблюдается равномерное давление в системе. Кольцевые сети представляют собой систему замкнутых газопроводов, благодаря чему достигается более равномерный режим давления газа у всех потребителей и облегчаются различные ремонтные и эксплуатационные работы на газопроводах. Положительным свойством кольцевых сетей является также и то, что при выходе из строя какого-либо ГРП нагрузку по снабжению потребителей газом принимают на себя другие пункты. Недостатком кольцевой сети является большая протяженность газопроводов (по сравнению с тупиковой), а в связи с этим - большие затраты на строительство.
Тупиковая система газопроводов это сеть труб, расходящихся в разные стороны от основного источника. Основной ее недостаток неравномерность давления газа. Тупиковые сети представляют собой газопровод, разветвляющийся по различным направлениям к потребителям газа. Концы этих газопроводов не соединяются друг с другом, поэтому их называют тупиковыми. Недостатком этой сети является различная величина давления газа у отдельных потребителей, причем по мере удаления от источника газоснабжения или ГРП давление газа снижается. Так как питание газом всех сетей происходит только в одном направлении, то возникают затруднения при ремонтных работах. Эти сети применяют в начальный период газификации города, небольших населенных пунктов или отдельных районов города. Тупиковыми бывают внутриквартальные и дворовые газопроводы, присоединяемые к уличным закольцованным (кольцевым) газопроводам. Преимуществом тупиковых сетей является меньшая длина газопроводов по сравнению с кольцевыми сетями.
Смешанная система газоснабжения это сочетание кольцевой и тупиковой систем. Их основу составляют кольцевые газопроводы, от которых непосредственно к потребителям прокладывают ряд тупиковых газопроводов небольшой протяженности. Крупные города сейчас газифицированы преимущественно по кольцевой и смешанной схемам.

Рис. 1. Схема одноступенчатой системы распределения газа:
1 - магистральный газопровод; 2 - газораспределительная станция; 3 - кольцевой газопровод; 4 - ответвления к потребителям; 5 - тупиковый газопровод.
Вообще, система газоснабжения города это совокупность источника газа, различных по своим характеристикам газопроводов, газораспределительных станций и резервуаров-хранилищ газа.
Автономная система газификации актуальна для местности, где нет магистралей с газом или количество подаваемого газа недостаточно. Центром такой системы является хранилище газа, называемое газгольдером. Объем резервуара подбирается в зависимости от потребления и технических возможностей установки. От хранилища к объекту газифицирования идет система труб (газопровод), подача газа по которой регулируется системой редуцирования. Неотъемлемая часть автономной системы газоснабжения надежная система защиты.
2. Надежность распределительных систем газоснабжения
Распределительные системы газоснабжения состоят из следующих основных элементов и узлов, непосредственно обеспечивающих транспорт и распределение потоков газов:
1) газопроводов высокого, среднего и низкого давлений, расчлененных на участки (элементы) сети;
2) узлов отключающей арматуры: задвижек и кранов с компенсаторами, которые при подземной прокладке газопроводов устанавливают в колодцах;
3) гидравлических затворов и сборников конденсатов, устанавливаемых на газопроводах в грунте;
4) газорегуляторных станций (ГРС) и газорегуляторных пунктов (ГРП).
Характерная черта распределительных систем газоснабжения длительность действия, т.к. они существуют в городах до тех пор, пока не появится новый энергоноситель, способный заменить газ. Поэтому долговечность не характеризует надежностные свойства системы, она характеризует лишь надежность элементов, из которых состоит система. Др. отличит, особенность распределит, систем их социальный характер. Они обслуживают не только промышленные объекты, в т.ч. производящие потребительские товары, но и обеспечивают нормальную жизнедеятельность людей. Социальный характер системы, в частности, в том, что при отказах подачи газа потребителям возникает не только экономический, но и моральный ущерб. Учесть его последствия не удается, поэтому социальное значение отказов должно быть заложено в критерии, оценивающем надежность распределит. системы газоснабжения. При этом следует исходить из того, что отказ системы влечет непоправимые последствия. При оценке надёжности отказы газоснабжения считаются недопустимыми, но фактически они происходят.
В последнем случае система переходит на аварийный гидравлический режим, подача газа потребителям сокращается, им подается лимитированный расход. Такой подход возможен ввиду того, что отказы относятся к случайным и редким событиям, а ремонты достаточно кратковременны.
Следующей особенностью распределительных систем является ограниченные возможность резервирования. Газовые сети имеют ничтожно малую аккумулирующую способность, поэтому связь между подачей газа в сеть и его потреблением жесткая. Следовательно, емкость газовой сети не может служить резервом для повышения надежности системы. Рассредоточенность потребителей газа у распределительных систем существенно ограничивает использование аварийных источников газа.
Основными средствами резервирования служат кольцевание сетей и дублирование отдельных ее участков.
Для повышения надежности используют 2 пути. Первый повышение надежности и качества элементов, из которых состоит система, но когда возможности повышения качества элементов исчерпаны, идут по второму пути пути резервирования, который позволяет построить систему с надежностью выше надежности элементов, из которых она состоит. Состояние системы в любой момент определяется состоянием ее элементов. Если все элементы исправны, система исправна в целом. При определенной совокупности отказавших элементов система приходит в состояние отказа в целом. Сложная техническая система характерна тем, что наряду с указанным крайними состояниями она может находиться в промежуточных состояниях, обладать частичной работоспособностью. Переход системы из одного состояния в др. связан с отказами или восстановлениями ее элементов. Этот процесс описывается вектором случайных состояний системы. Каждое состояние системы оценивается характеристикой качества функционирования, которая определяется технологическими задачами системы. Основная задача распределит, системы газоснабжения обеспечить подачу потребителям расчетного расхода газа. Его и принимают за характеристику качества функционирования. Каждому состоянию системы ставят в соответствие долю расчетного расхода газа, которую может подать система не отключая от сети потребителя. Этот расход газа дает численную оценку степени выполнения задачи системой.
Надежность элементов характеризуется параметром потока отказов. После отказа элемент выключают из системы, ремонтируют (заменяют) и вновь включают в работу. Последовательность отказов элементов во времени и составляет поток отказов, который определяют экспериментально или из статистических данных повреждений, фиксируемых службами эксплуатации. Основными видами повреждений распределит, газопроводов являются механические, коррозионные и разрывы сварных швов. В расчетах учитывают только повреждения, требующие немедленного отключения участка, т.е. приводящие к внезапным отказам. Это обусловлено тем, что если ремонт поврежденного элемента, возможно отложить, то его можно провести в удобное время при спаде нагрузки и ущерб будет или весьма малый или совсем отсутствовать.
Сократить подачу газа потребителям при сохранении норм, режима давления в сети, что необходимо для работы не отключая потребителей, возможно, если сеть управляемая. Сети высокого (среднего) давления управляемые, к ним присоединены крупные узловые потребители, режимом подачи газа которых управляет диспетчерская служба. Величину лимитированного газоснабжения (Кл) устанавливают из анализа потребителей исходя из условий наименьшего ущерба при возникновении аварийных ситуаций. Надежность газоснабжения отдельных потребителей, отключаемых от газовой сети при возникновении аварийной ситуации, оценивается двумя показателями: вероятностным и детерминированными Эти показатели уточняют структуру и структурный резерв распределит. газовой сети высокого (среднего) давления.
Распределительные газовые сети проектируют в виде иерархических уровней: сетей высокого (среднего) давления и сетей низкого давления. Первые выполняют кольцевыми, с тупиковыми ответвлениями к потребителям. Необходимый резерв как структурный, так и транспортный определяют расчетом. Надежность сети также рассчитывают с помощью изложенных выше показателей. Вторые на надежность не рассчитывают, но в схему сети и структуру диаметров закладывают принципы, обеспечивающие надежность ее функционирования. Схему сети низкого давления проектируют с кольцеванием основными газопроводов. Питают сеть от нескольких газорегуляторных пунктов (ГРП) и газорегуляторных установок (ГРУ), которые по низкой ступени давления объединяют газопроводами, выполняющими функции резервных связей.
Нормирование второго детерминированного показателя надежности Кп осуществляется для каждого города, отдельно исходя из конкретного анализа его потребителей.
3. Расчет надежности систем газоснабжения
Надежность (Reliability, dependability) одно из свойств качества продукции, или свойство объекта сохранять во времени в установленных пределах значения всех параметров, характеризующих способность выполнять требуемые функции в заданных режимах и условиях применения, технического обслуживания, ремонта, хранения и транспортирования.
Для систем газоснабжения и газопотребляющих агрегатов такими параметрами являются пропускная способность, мощность, давление, расход газа и др. Надежность является комплексным свойством, которое в зависимости от назначения объекта, его специфики и условий эксплуатации может включать безотказность, долговечность, ремонтопригодность, сохраняемость или определенное сочетание этих свойств как для всего объекта, так и для его частей.
Под безотказностью понимают свойство системы непрерывно сохранять работоспособность в течение некоторого времени или некоторой наработки, под долговечностью свойство сохранять работоспособность до наступления предельного состояния при установленной системе технического обслуживания и ремонта. Ремонтопригодность заключается в приспособлении объекта к предупреждению и обнаружению причин возникновения отказов и повреждений, а также к поддержанию и восстановлению работоспособного состояния проведением технического обслуживания и ремонтов. Свойство объекта сохранять безотказность, долговечность и ремонтопригодность в течение и после хранения и (или) транспортирования является сохраняемостью. Эти свойства численно характеризуются соответствующими единичными показателями.
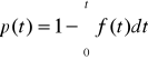
К единичным показателям безотказности систем газоснабжения относятся вероятность безотказной работы, интенсивность отказов и наработка на отказ.
Вероятность безотказной работы, т. е. вероятность того, что в пределах заданной наработки отказ не произойдет, определяется отношением количества объектов, безотказно проработавших до момента времени t, к количеству объектов, работоспособных в начальный момент времени t = 0.

где f(t) - частота отказов изделия
Вероятностью отказа Q(t) называется вероятность того, что при определенных условиях эксплуатации в заданном интервале времени возникает хотя бы один отказ. Отказ и безотказная работа являются событиями несовместными и противоположными, поэтому

Частотой отказов f(t) по статистическим данным называется отношение числа отказавших элементов в единицу времени к первоначальному числу работающих (испытываемых) при условии, что все вышедшие из строя изделия не восстанавливаются

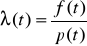
Интенсивность отказов (t) это условная плотность вероятности возникновения отказа объекта, определяемая для рассматриваемого момента времени при условии, что до этого момента отказ не возник. Под плотностью понимают предел отношения вероятности отказа в интервале времени от t до t + t к значению интервала t при t > 0. Физический смысл вероятности отказа это вероятность отказа в достаточно малую единицу времени:

где р(t) вероятность безотказной работы за время t, f(t) плотность распределения наработки до отказа.
Наработка на отказ o представляет собой отношение наработки объекта к математическому ожиданию количества его отказов в течение этой наработки. При экспоненциальном распределении наработки между отказами наработка на отказ оценивается выражением o = -1. В общем случае наработка на отказ зависит от длительности периода, в течение которого она определяется.
Количественное определение того или иного состояния системы выполняется с помощью применения общих правил теории вероятности о сложении и умножении вероятностей соответствующих состояний, входящих в систему элементов (подсистем).
Для схемы надежности любой системы, состоящей из цепочки последовательно соединенных элементов, справедливо утверждение, что система будет работать только в том случае, если не откажет ни один элемент цепочки. При известной вероятности безотказной работы каждого элемента данной системы вероятность рабочего состояния системы будет определяться с применением правила умножения и выражения:
.
Для интенсивности отказов этой же системы справедливо выражение:

Постоянных типовых выражений для определения безотказной работы и интенсивности отказов сложных технических систем не существует. Они составляются в каждом конкретном случае индивидуально с учетом общих представлений и правил теории вероятности.
При последовательном подключении все элементы системы встраиваются в цепь последовательно друг за другом, и отказ одного из них приводит к отключению всей системы в целом. При оценке надежности такой системы вероятность безотказной работы будет последовательно снижаться по мере увеличения количества элементов. вероятность безотказной работы системы P(t) в этом случае всегда будет ниже вероятности безотказной работы каждого элемента в отдельности:


Рис.1. Схемы подключения элементов системы: а - последовательно, б - параллельное
При параллельном подключении отказ всей системы произойдет только в том случае, если откажут одновременно все элементы. При отказе одного элемента работоспособность системы сохранится. вероятность безотказной работы при этой схеме подключения определяется следующим образом:

При применении этой схемы подключения вероятность безотказной работы системы всегда выше вероятности безотказной работы входящих в нее элементов. Однако применение этой схемы возможно далеко не всегда, на практике, как правило, используются случаи параллельно-последовательного подключения элементов. При этом вся система делится на несколько групп и подгрупп, каждая из которых характеризуется своим вариантом подключения.
Единичными показателями ремонтопригодности систем газоснабжения являются вероятность восстановления и среднее время восстановления.
Вероятность восстановления в заданное время это вероятность того, что время восстановления работоспособности объекта (время обнаружения, поиски причины и устранения последствий отказа) не превысит заданного.
Среднее время восстановления является математическим ожиданием времени восстановления работоспособности. При наличии статистических данных о длительности восстановления n объектов 1, 2, …., n среднее время восстановления оценивается выражением:

Большое значение имеет определение надежности линейной (трубопроводной) части газораспределительных систем. Это связано с тем, что при подземной прокладке обнаружение и ликвидация неисправностей затруднительны и требуют продолжительного времени (низкая ремонтопригодность) по сравнению с надземными объектами газового хозяйства. Кроме того, утечки газа из поврежденных подземных газопроводов могут привести к насыщению газом близлежащих зданий и сооружений.
Интенсивность отказов и надежность участков подземных газопроводов приведены на рис. 2

Рис. 2. Интенсивность отказов и надежность участков газопроводов Н
Испытания на надёжность делятся на определительные и контрольные.
Определительные испытания изделий на надёжность проводятся с целью определения фактических количественных показателей надёжности для одного из вариантов испытаний, соответствующих заданным условиям применения.
Определительные испытания проводятся после освоения вновь разработанных или модернизированных изделий на образцах, изготовленных уже по технологии, соответствующей предполагаемому виду (серийному или массовому) производства. При определительных испытаниях производится также проверка закона распределения отказов для данного вида изделий. Результаты определительных испытаний служат основанием для оценки соответствия фактических показателей надежности изделий требованиям технических условий.
Контрольные испытания изделий на надежность проводятся с целью контроля соответствия количественных показателей надежности требованиям стандартов или технических условий. Эти испытания проводятся периодически в сроки, предусмотренные стандартами или техническими условиями на данное изделие.
4. Повышение надежности системы газоснабжения
Для повышения надежности системы можно применять различные проектные решения, в том числе: использование более надежных элементов или организацию мероприятий, повышающих их надежность (защита от коррозии, установка компенсаторов и др.); введение в схему избыточных элементов для организации резервов (параллельные прокладки, кольцевание газопроводов и др.); установку дополнительных ГРП с целью уменьшения их радиуса действия; организация кольца газопроводов вокруг ГРП с равнопропускными полукольцами большого диаметра (если в радиусе действия ГРП менее 8 участков, то кольцо разделит зону действия ГРП на две подзоны каждую с числом участков менее 4; если в радиусе действия ГРП более 8 участков, число таких колец может увеличиваться до 3); увеличение диаметров некоторых участков сети против их расчетных значений, полученных из условий оптимизации этой сети, главным образом за счет отказа от газопроводов диаметром 80 мм и менее с надежностью, на порядок меньшей, чем газопроводы диаметром более 80 мм (поскольку отказы участков с данным диаметром равновероятны, то при реализации этого мероприятия необходимо увеличивать диаметры всех участков данного диаметра).
В процессе эксплуатации газотранспортных сетей сталкиваются с ситуацией, когда потребители не получают природный газ в необходимом количестве. Зачастую причиной этого является подключение к газотранспортной сети объектов, не учтенных проектом. Вследствие этого суммарная потребность в газе превышает пропускную способность системы.
Несоответствие пропускной способности газораспределительной сети в целом или отдельных её участков приводит к нарушению нормальной подачи газа потребителям. Для устранения этого случая однозначно необходима реконструкция системы. При этом вначале необходимо провести анализ состояния системы с целью определения потребителей, которые вследствие перегрузки системы в целом наиболее подвержены нарушениям нормального газоснабжения.
Вышеизложенное позволяет сделать вывод о снижении надёжности системы газораспределения, которую в данном случае можно определить по формуле:

где Q требуемое суммарное газопотребление в момент исследования системы ; Q суммарное газопотребление, которое может обеспечить система (расчётное, учтённое проектом газопотребления). Несоответствие системы новым условиям эксплуатации при отсутствии отказов всех её элементов является формой проявления морального старения этой системы. Результатом морального старения системы является неспособность её обеспечить необходимую производительность, причиной чего является повышение потребности всех подключенных к ней объектов, снижения точности, пределов регулирования, надёжности, возрастание энергоёмкости и т.д. Для устранения этого случая однозначно необходима реконструкция системы. Реконструкция системы газораспределения реализуется путём частичной перекладки участков сети с заменой их трубопроводами большего диаметра, параллельной прокладки участков газопроводов или сооружения дополнительных источников питания. В практике эксплуатационные организации реконструкцию пытаются провести путем выдачи завышенных технических условий на подключение новых газифицируемых объектов для увеличения пропускной способности системы. Такая практика интуитивных попыток реконструировать систему приводит к росту материальных затрат и снижению эффективности системы газоснабжения. Выяснилось, что неудовлетворительные режимы давления сохраняются, особенно в сетях низкого давления, где непроизводительные потери газа составляют более 0,7 % общего расхода газа. Следовательно, реконструкцию систем газоснабжения необходимо проводить за счёт мероприятий, реализация которых позволит повысить пропускную способность системы и при этом выполнить условие [1]:

где Z и K соответственно дополнительные приведённые затраты и дополнительные капитальные вложения, необходимые для обеспечения требуемой производительности системы. При реконструкции систем газоснабжения, которую можно выполнить в нескольких вариантах, отличающихся протяженностью перекладываемых газопроводов, а следовательно, и стоимостью строительных работ, требование минимума металлоемкости G варианта оказывается недостаточным для выбора искомого варианта. Это требование необходимо дополнить требованием минимума дополнительной протяжённости перекладываемых или дополнительно прокладываемых трубопроводов l:

Последнее условие в ряде случаев оказывается предпочтительным, поскольку отражает дополнительный эффект, который трудно учесть и отразить количественно. Это является отражением системного подхода к оптимизации реконструкции систем. Возникает вопрос можно ли избежать реконструкции систем газоснабжения? Такая попытка сводится к некоторым превентивным мерам, предусматриваемым при проектировании. Методика разработки этих мер, предусматривает рассмотрение исходной информации о развитии системы газоснабжения, как статистически неопределенную и предлагает при выборе основных параметров систем исходить из их вероятностных значений [1]. Для реализации методики необходимо располагать необходимым количеством статистических наблюдений. Источником таких наблюдений может служить опыт эксплуатации систем газоснабжения в других городах, статистика отклонения фактических параметров от принятых в проекте. Но при этом необходимо учитывать индивидуальность городов и специфику их развития, а также возникновение неучтенных при проектировании потребителей газа. Необходимо помнить, что данные за ретроспективный период не всегда могут в полной мере экстраполироваться на будущее, поэтому вероятностные характеристики таких величин очень часто содержат некоторую погрешность, но несмотря на это, они помогают в большей мере выявить общую тенденцию будущих условий развития системы. Таким образом, задача сводится к тому, на что ориентироваться при проектировании на данные перспективных схем газоснабжения, разработанные на основании их генеральных планов, или на ожидаемые отклонения от этих схем. Решение задачи заключается в выборе варианта одно и двух или многостадийного сооружения системы и определения, какой из этих вариантов является наименее капиталоёмким. Реконструкцию систем необходимо проводить на основании конкретных проектных решений, отражающих реальные условия, в которых функционирует система, и их достоверные изменения, которые будут иметь место в ближайшей перспективе. Эти проектные решения являются итогом гидравлических и технико-экономических расчетов, рассматривающих различные варианты реконструкции. Для уменьшения их количества вначале необходимо провести анализ состояния системы с целью определения потребителей, наиболее подверженных нарушениям нормального газоснабжения вследствие перегрузки системы в целом [2]. Совокупность таких потребителей формирует своего рода аварийную зону, которую необходимо ликвидировать. Существуют различные методики упомянутого анализа. Эти методики, хотя и научно обоснованы, но труднореализуемы, громоздки и требуют компьютерной проработки. Предлагается для практических расчётов иной метод, значительно упрощённый, обеспечивающий достаточно достоверные результаты. Суть метода заключается в замене реальной газораспределительной системы расчётной моделью, сохраняющей конфигурацию, протяжённость и диаметры участков газопроводов. Далее принимается, что в этой сети транспортируются расчётные расходы газа, которые необходимы всем объектам для нормального газообеспечения, без учёта зависимости пропускной способности регуляторов от давления газа на входе. Затем, выполняется гидравлический поверочный расчёт сети, определяются аварийные зоны с пониженным против расчётного, пониженным против требований СНиП и даже с отрицательным давлением. Цель реконструкции заключается в восстановлении первоначального распределения давления с сохранением необходимого его значения в контрольных точках, в том числе в конечных, где давление должно быть не менее разрешенного требованиями СНиП. Помимо простоты, достоинством этого метода является наглядность, благодаря чему можно сразу же обнаружить наиболее перегруженные участки сети и наметить меры по устранению этой перегрузки.
Заключение
Безопасность и надежность систем газоснабжения являются результатом последовательного выполнения мероприятий и организационных принципов, в основе которых лежат требования действующих нормативных документов. Основы повышения надежности закладываются на этапе проектирования системы газоснабжения, а дальнейшее повышение надежности достигается при строительстве и приемке в эксплуатацию газопроводов и сооружений на них. Надежность системы газоснабжения определяется надежностью газоснабжения отдельных газифицированных объектов
СПИСОК ИСПОЛЬЗУЕМОЙ ЛИТЕРАТУРЫ
1. Эксплуатационная надежность трубопроводных систем [Электронный ресурс] / Режим доступа: http://portal.tpu.ru:7777/departments/otdel/publish/izdaniya_razrabotanye_v_ramkah_IOP/Tab1/ekspluatacionnaya_nadegnost_zac.pdf свободный;
2. Газовик [ Электронный ресурс] / Режим доступа:
http://gazovik-gas.ru/katalog/articles/nadeznostj_sistem/;