ОЦІНКА ЯКОСТІ СИСТЕМ І ОБ ЄКТІВ АВТОМАТИЧНОГО УПРАВЛІННЯ
Лекція 3. ОЦІНКА ЯКОСТІ СИСТЕМ І ОБ ЄКТІВ АВТОМАТИЧНОГО УПРАВЛІННЯ
3.1. Загальні критерії оцінки якості
Системи автоматичного управління, як правило, призначені для стабілізації або регулювання будь-яких вихідних величин процесу, що управляється. Тому якість роботи будь-якої САУ в кінцевому підсумку може бути оцінена величиною помилки безпосередньо у процесі роботи: 
Проте, внаслідок великої різноманітності вхідних впливів (команд) і випадкового характеру збурень, такий підхід до оцінки якості систем не може бути застосований, оскільки він не дасть можливості порівнювати системи між собою, тобто не дає об'єктивної оцінки.
Наприклад, один і той же гідравлічний супорт може забезпечувати різну точність обробки залежно від оброблюваного матеріалу деталі (збурення) і профілю копира (керуючий вплив).
Тому у техніці оцінюють якість систем за деякими їх властивостями, що виявляються при різноманітних типових динамічних впливах, оскільки завдяки цьому можна:
а) легко знайти відповідність між характеристиками системи і вимогами якості;
б) порівняно просто побудувати характеристики систем з використанням типових динамічних елементів;
в) забезпечити можливість порівняння різноманітних систем.
Якість систем оцінюється трьома групами критеріїв, що характеризують відповідно:
1.Сталість.
2.Швідкодію.
3.Точність в різних режимах роботи.
Можуть також застосовуватися комплексні критерії якості - інтегральні показники, що дають оцінку деяких узагальнених властивостей [3, 15, 24], однак вони не отримали широкого розповсюдження.
Кожний показник якості може формуватися на основі використання характеристик часу, частотних характеристик або коренів характеристичного рівняння. Використання того або іншого підходу при формуванні критеріїв якості визначається вигодою його застосування в кожному конкретному випадку.
Критерії якості широко використовуються не лише при проектуванні систем і об'єктів автоматичного управління з метою задоволення вимоги технічного завдання, але й при сертифікації систем для визначення ступеня відповідності реального продукту його параметрам, що заявляються або декларуються.
5.2. Сталість
Сталість належить до обов'язкових критеріїв якості будь-яких систем, оскільки несталі системи використовуватися взагалі не можуть.
Сталою називається система, що, будучи виведеною із стану рівноваги, з плином часу повернеться у вихідний стан або займе новий рівноважний стан.
Нехай рух системи цілком описується лінеаризованим рівнянням, що в загальному випадку має вигляд:
A(s)y(t)=B(s)x(t). (5.1)
Функціонування системи визначається розв'язком диференційного рівняння, що може бути представлене у вигляді суми загального розв'язку однорідного рівняння A(s) y(t)=0 і частинного розв'язку неоднорідного рівняння (5.1):
y(t)=y0(t)+ye(t).
Оскільки вимушений рух системи визначається, в основному, правою частиною рівняння (5.1), то можна припустити, що система буде сталою, якщо з плином часу перехідна складова процесу буде прямувати до нуля:

Відомо, що загальний розв'язок шукається у вигляді:

отже очевидно, що для задоволення умови (5.2) необхідно, щоб корені sk характеристичного рівняння A(s)=0 (а точніше їх дійсні частини) були негативними. Таким чином, для затухання перехідної складової процесу потрібно, аби корені характеристичного рівняння розташувались у лівій пів
площині (рис. 5.1). При уявних коренях (межа сталості) в системі виникають незатухаючі коливання.

Рис. 5.1. Область сталих роз язків на комплексній площині
Між коренями і коефіцієнтами характеристичного рівняння існує
прямий зв'язок. Тому для визначення сталості системи зовсім не обов'язково розраховувати корені, достатньо просто визначити знаки їх дійсних частин. Зробити це можна за допомогою критерію сталості Гурвиця, що
формулюється таким чином.
Система, що має характеристичне рівняння вигляду

буде сталою, якщо ао > 0 і всі детермінанти Гурвиця позитивні.
Детермінанти Гурвиця одержують з квадратної матриці коефіцієнтів
(5.3), що складається наступним чином. По діагоналі записують всі коефіцієнти в порядку зростання індексів, починаючи з індексу 1. Після цього
кожний рядок доповнюють коефіцієнтами зліва направо, так, щоб рядки з
парними і непарними індексами повторювались. За відсутності коефіцієнта
на його місці пишуть 0.

Слід зауважити, що використання алгебраїчного критерію сталості Гурвиця на практиці для систем вище 4-го порядку значно ускладнюється розрахунком детермінантів.
Визначення умов сталості САУ за критерієм Гурвиця
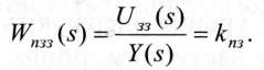
За допомогою критерію Гурвиця дослідити на сталість САУ приводом супорта металорізального верстата, схема якого показана на рис. 5.2,а.

Рис. 5.2. Принципова (а) і функціональна (б) схеми приводу
Привод складається з підсилювача-перетворювача (ПП), двигуна (Д) постійного струму, редуктора (Р), потенціометра (ЗП), що задає, і потенціометра зворотного зв'язку (ПЗЗ).
Насамперед необхідно скласти математичну модель приводу. Відповідно до принципу роботи, привід являє собою замкнену САУ, функціональну схему якої наведено на рис. 5.2,6. Нехай виділені на схемі елементи описуються наступними передаточними функціями:
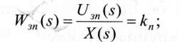
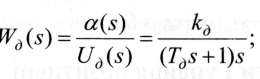
ЗП
ПП 
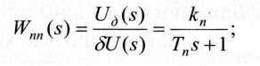
Д
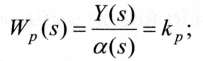
Р 
ПЗЗ 
Тепер може бути побудована структурна схема приводу, в якій (при рівності коефіцієнтів передачі потенціометра, що задає, і потенціометра зворотного зв'язку) два відповідних елементи на функціональній схемі замінюються одним елементом з коефіцієнтом передачі кп на структурній схемі (рис. 5.3).

Рис. 5.3. Структурна схема приводу
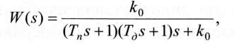
Таким чином, передаточна функція замкненої системи після нескладних алгебраїчних перетворень набуває вигляду:

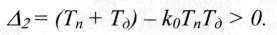
де к0 - коефіцієнт передачі системи, рівний добутку коефіцієнтів передачі всіх елементів каналу прямої дії. Отже, система має характеристичне рівняння 3-го порядку:

Складемо детермінант Гурвиця і знайдемо умови сталості.

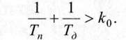
Аналіз умов сталості за критерієм Гурвиця показує, що єдиною такою умовою є позитивність другого детермінанта, оскільки а0=ТпТд, так само як і 1=a1=Tn+Td, завжди більше нуля. Таким чином, для сталості приводу необхідно, щоб: 
Після нескладних перетворень одержуємо єдину умову сталості системи: 

Виконання цієї умови є обов'язковим, тому на практиці варіацією, підбором параметрів приводу прагнуть забезпечити (5.4). При цьому найбільш зручно змінювати параметри к0 і Тп - загальний коефіцієнт передачі
приводу і постійну часу підсилювача-перетворювача. У будь-якому випадку значення варіацій цих параметрів повинні лежати в області D, що побудована відповідно з умовою (5.4) (рис. 5.4).
Отже, практичне застосування критерію сталості Гурвиця обмежується системами 4-го порядку. Другим суттєвим недоліком є труднощі в оцінці запасу сталості системи при задоволенні вимоги (5.3). Значно більш широкі можливості по оцінці сталості систем має критерій сталості Найквіста, що базується на аналізі частотних характеристик системи.
Критерій Найквіста формулюється таким чином. Якщо графік АФЧХ системи в розімкненому стані не охоплює точку з координатами [-1; 0], то система буде сталою у замкненому стані (рис. 5.6).

Рис. 5.6. Критерій сталості Найквіста
Поняття «не охоплює» може бути замінене на: «при русі по АФЧХ в бік збільшення частоти, точка з координатами [-1; 0] залишається ліворуч». Цей критерій дозволяє не тільки встановити сам факт сталості, але й оцінити запас сталості, який показує, наскільки далеко знаходиться система від межі втрати сталості. Для цього користуються поняттями: "запас сталості за амплітудою" (Н) і "запас сталості за фазою" (). Визначення цих величин ясно з геометричних побудов на рис. 5.6. Запас сталості по амплітуді виражають звичайно в дБ:

Для систем металорізальних верстатів, промислових роботів вимагається, щоб L1 > 8+12 дБ; > 30°^45°.
ОЦІНКА ЯКОСТІ СИСТЕМ І ОБ ЄКТІВ АВТОМАТИЧНОГО УПРАВЛІННЯ