Шыымы аз ымаларда газлифт дісін пайдалану
Шыымы аз ымаларда газлифт дісін пайдалану
Мазмны
Кіріспе.........................................................................................................................3
1Негізгі блім.............................................................................................................5
- Газлифтілі ыманы пайдалану дісі.....................................................5
- Газлифтілі ыманы жіберу....................................................................8
- Газлифтілі ымаларды пайдалану режимін жне рал-жабдытарын тадау.....................................................................13
- Газлифтілі ымаларды зерттеу ерекшеліктері...................................19
- Шыымы аз ыманы кезе-кезеімен пайдалану..............................22
2 Есеп блімі............................................................................................................26
орытынды...............................................................................................................31
Пайдаланылан дебиеттер.....................................................................................33
Кіріспе
Газлифтілі пайдалану дісіні, баса механизацияланан дістерден ерекшелігі келесіде: рал-жабдытарыны жне оларды олдануды арапайымдылыы; жндеу аралы мерзіміні біраздылыы; пайдалану коэффицентіні жне сйыты шыару (німіні) шыымыны молдыы (бірнеше онды лшемінен 1800 м/таул-дейін); клбеу скважиналарда пайдалану ммкіндігі; скважина німінде, газды боланына немесе мны боланына, арамайтын дісті олдану ммкіндігі. дісті жетістіктеріне, келесілер жатады , алашыда газ блетін жйелерді немесе компрессорлы станция салу шін, крделі аржыландыруды кп мол боландыы; тптегі ысым аз болан жадайда пайдалы сер коэффицентіні (ПК) аз боландыы; меншікті энергия шыыныны лкендігі. Сондытан, газлифтілі дісті, абат ысымы жне клемі лкен кен орындарда, німділік коэффиценті біршама лкен скважиналарда пайдаланан жн.
Мнай німін алу шін здіксіз газлифтілі дісінде, сыылан назды жер стінен беру шін олданылып, (клбеу баытты скважиналара) ондырылар газды саиналар (кольцевое) арылы айдап беретін, бір сильфонды Г типті клапынымен жабдыталан. Соы жабдытар арылы, скважинаны автоматты трде жіберіп, керекті режимде пайдалану шін автоматты трде жіберіп, керекті режимде пайдалану шін олданылады. Газлифтілі клапындар, СК ктермей-а, анатты техника жабдытарыны кмегімен орнына салынып, алынады. СК-(сорапты-компрессорлы былларды) диаметрі 60,70 жне 89 мм болады, сйыты алу шыымына 120, 300 жне 700 м3/тауел, сйкес келеді.
Скважинаны пайдалану здіксіз боландытан, оларды кейде тотатып, сосын, айта жіберуге тура келеді. Екі атарлы ктергіш пен жабдыталан скважинаны жіберу (іске осу) рдісін арастырайы. Газды ысыммен, бырлар арасындаы ортаа (саиналы, кольцевое) айдаын кезде, сйытар тмен ыыстырылып, кіші диаметрі СК жне лкен диаметрлі бекітілген пайдалану (эксплатационные) бырларда сйы, бір шама дегейге ктеріледі. Бл жадайда, сйы оспасыны дегейі статистиканы дегейінен жоары болады. Сондытан, скважина тбіндегі ысым сіп, сйыты біразы абат ішіне айтадан енеді. Кез келген уаытта, айдап жатан газды ысымы гидростатистикалы (дегейден жоары ктерілген биіктікпен) ысым мен сипатталады.
Айдап жатан газды е лкен ысым мні, саинадаы газ СК-ны башмаына жеткенде болады. Бл жіберуші ысым (Рпуск) деп аталады. Газды рмен арай ысыммен айдасып газсйы оспасы лайып, жоары ктеріліп, скважина саасына жетеді. Газсйы оспасы скважина саасынан асып тгілгеннен кейін, башматаы ысым жне (СК) ысымы азаяда. Сйтіп, айдалып жатан газды да ысымы азаяды, неге десеіз СК ішінде де, саина ішінде газ сйыы кбейе береді.
1 Негізгі блім
- Газлифтілі ыманы пайдалану дісі.
абаттан келетін немесе жер стінен ныыздалып айдалынатын газ, газлифтілі діспен пайдалануымызда, скважина німіні аынына осылып беріледі. Бл кезде, газсйы оспасыны тыыздыы кішірейіп, тбіндегі ысымы, берілген нім шыынын алуда жне жина пунктіне тасымалдауа жететіндей болады.
Компрессорлы жне компрессорсыз, газлифтілі пайдалану дістерді ажыратамыз. Бірінші жадайда, компрессорлы станцияларда сыылып (ныыздалып) дайындалады, ал екінші жадайда, агент ретінде кен орыныны газы, табии ысыммен беріледі. Компрессорсыз газлифтілі діске скважина ішіндегі гахлифт дісі жатады. Бл дісте мнайды ктеру шін, осы скважинаны зімен ашылан газды абатыны газ энергиясы олданылады.
здіксіз немесе мезгіл-мезгіл пайдалану режимдерін айырамыз. Мезгіл-мезгіл пайдалану режимінде, скважина бір мезгіл тотатылады, бл уаытты арасында, сйы ктергіште жиналаннан кейін, скважинаа ысыммен агент беріліп, жер бетінемезгіл-мезгіл рленіп шыарылады.
Газлифтілі пайдалану дісіні, баса механизацияланан дістерден ерекшелігі келесіде: рал-жабдытарыны жне оларды олдануды арапайымдылыы; жндеу аралы мерзіміні біраздылыы; пайдалану коэффицентіні жне сйыты шыару (німіні) шыымыны молдыы (бірнеше онды лшемінен 1800 м/таул-дейін); клбеу скважиналарда пайдалану ммкіндігі; скважина німінде, газды боланына немесе мны боланына, арамайтын дісті олдану ммкіндігі. дісті жетістіктеріне, келесілер жатады алашыда газблетін жйелерді немесе компрессорлы, станция салу шін, крделі аржыландыруды кп мол боландыы; тптегі ысым аз болан
жадайда пайдалы сер коэффицентіні (ПК) аз боландыы; меншікті энергия шыыныны лкендігі. Сондытан, газлифтілі дісті, абат ысымы жне клемі лкен кен орындарда, німділік коэффиценті біршама лкен скважиналарда пайдаланан жн.
Практикада келесі ктергіштер трлерін олданады:
Біратарлы, быр саиналары арылы жмыс агенті берілетін;
Егер скважина німі лкен шыымды жне оны ішінде тоттану рекетіне немесе бырлар саинасында жиналып алатын тздар мен асфалтты-смолалы заттар болмаан жадайда біратарлы, СК бойымен агент берілетін;
Екіатарлы скважинадаы бекітілген бырда саылау, м боланда.
Егерде, сыылан газ берілетін СК-а м келетін болса, ол быра диаметрі кішірек йыршы (хвостовик) бекітіліп жіберіледі (1-сурет). Бл йыршы, оспаны озалу жылдамдыын, быр тізбегіні басында лайтып, м мен суды скважина тбінде жиналмай сырта шыуын амтамасыз етеді.
Мнай німін алу шін здіксіз газлифтілі дісінде, сыылан назды жер стінен беру шін олданылып, (клбеу баытты скважиналара) ондырылар газды саиналар (кольцевое) арылы айдап беретін, бір сильфонды Г типті клапынымен жабдыталан. Газлифтілі клапындар, СК ктермей-а, анатты техника жабдытарыны кмегімен орнына салынып, алынады. СК-(сорапты-компрессорлы былларды) диаметрі 60,70 жне 89 мм болады, сйыты алу шыымына 120, 300 жне 700 м3/тауел, сйкес келеді.

1-сурет.Екіатарлы ктергішті схемасы
а ктергішті зындыы; -ктергішті динамикалы дедейге бататын тередігі
ндірісте компрессорлы станциялар, негізінде поршенды ГКМ жне ГКН типті газмотокомпрессорлар жне лкен німді ортадан тепкіш компрессорлар мен жабдыталан. Скважинаны игеріп жіберу шін жне кейбір жндеу жмыстарын істеу шін, озалмалы компрессорлы установкалар олданылады 1,6-4,0 МПа ысымы мен 3,5,-54 м3/мин шыын мен агент айдайтын. Олар шаналарда, гусеницалы арбаларда, автопринцептерде орнатылады.
Компрессорлы жне компрессорсыз газлифтілі дістерде, жмыс агентін алдын ала дайындау ажет: газдан кмірсутекті фракциясын жне конденсатын айырады, неге десеіз олар гидраттарды пайда болуына ытимал жадай жасайды. Коррозия шаыратын механикалы оспаларды ккірсутекті жне баса оспалардан айырып дайындайды.
Гидратты пайда болуына арсы крес шін, е арапайым діс-газды 950С озалмалы ыздыратын ондырылар арылы (1500 м3/тауел), скважинаны саасына, газбырыны бойына немесе газ-блетін пункт басынан ыздырып айдайды.
Газ компрессорлы станциялардан немесе газ дайындайтын комплекстен, газ блініп таралаын пунктке баытталады. Мндай пункттер біоеу немесе бірнеше блоктардан растырылан, газ блетін ГЗ5-14 типті батерейка трады 14 скважинаа арналан. Газ шыымын олмен (инелі вентилдерді пайдаланып) немесе автоматты трде (мембранды механизмы бар клапындар) реттеліп, ысымы лшенеді. Бл пунктткрде, бір жерден (бір ортадан) ингибиторларды, беттік рекетті заттарды, (БЗ), т.с.сс осу шін, дозалік (аз млшерлі( сораптарды ойып пайдаланады.
1.2 Газлифтілі ыманы жіберу.
ыманы пайдалану здіксіз боландытан, оларды кейде тотатып, сосын, айта жіберуге тура келеді. Екі атарлы ктергіш пен жабдыталан скважинаны жіберу (іске осу) рдісін арастырайы. Газды ысыммен, бырлар арасындаы ортаа (саиналы, кольцевое) айдаын кезде, сйытар тмен ыыстырылып, кіші диаметрі СК жне лкен диаметрлі бекітілген пайдалану (эксплатационные) бырларда сйы, бір шама дегейге ктеріледі. Бл жадайда, сйы оспасыны дегейі статистиканы дегейінен жоары болады. Сондытан, скважина тбіндегі ысым сіп, сйыты біразы абат ішіне айтадан енеді. Кез келген уаытта, айдап жатан газды ысымы гидростатистикалы (дегейден жоары ктерілген биіктікпен) ысым мен сипатталады.
Яни, айдап жатан газды, ысымы лайан сайын, дегейлер арасындаы биіктікте лаяды. 2-суретте осындай ысымны, скважинаны іске осаннан кейінгі згерісі келтірілген.
Газды шыыны, бір алыпты болан жадайда, ысым алашыда тез седі, ал сосын аырын седі. Мны СК мен лкен диаметрі пайдалану быр жатаы сйыты дегейі скен сайын - абата енетін сйыты кебеюімен тсіндіреміз.
Айдап жатан газды е лкен ысым мні, саинадаы газ СК-ны башмаына жеткенде болады. Бл жіберуші ысым (Рпуск) деп аталады. Газды рмен арай ысыммен айдасып газсйы оспасы лайып, жоары ктеріліп, скважина саасына жетеді. Газсйы оспасы скважина саасынан асып тгілгеннен кейін, башматаы ысым жне (СК) ысымы азаяда. Сйтіп, айдалып жатан газды да ысымы азаяды, неге десеіз СК ішінде де, саина ішінде газсйыы кбейе береді.
Тптегі ысым азаяды (ол айдалып жатан газды ысымынан да, жоарыда айтылан гидростатистикалы ысым баанасынан, сйыты скважина тбінен, СК башмаына дейінгі биіктіктен байланысты). Тптегі ысым мні, абат ысымынан тмен тскен жадайда, абаттан сйы йылып келе бастайды. Бл жадайда, ысымны згеруін (2-суретінен) байаймыз. ысымны алашыда газы кеміп, сосын кемуі баяулайды. Кейбір кезде, ктергішке йылан сйыты шыаруа, лі келмей алады сйтіп башма тірегі сйыпен жабылып трады.

2-сурет. Екі атарлы ктергішпен жабдыталан скважина схемасы:
а скважинаны іске осандаы (жібергендегі) агент-ысымны згеруі: б (жіберуші ысымын есептеу шін)
Осы жадайдаы ысымны мні-исыты згеру суретінде (2-сурет) е тмен (минималды) мні. Газды келуі тотамаандытан, ысым айтадан ктеріліп жиналан сйыты ыыстырып шыарады, сйтіп сйыты ыыстыру рдісі айталанып трады (сурете синусойда сияты блім).
Газлифтілі скважинасындаы алыптасан режиміндегі, орташа ысымны мні жмыс істеу (жмысшы) ысымы (Рр) деп аталады (2-суретті ара).
Компрессорды уатынан, скважинаны німділік коэффицентінен жне газсйыты оспасыны ктергіштік конструкциясынан жіберуші ысым байланысты, біра ол келесі аралыта болады:
ржgh<=Pпуск<=ржgL, (1)
мнда: статистикалы дегейден, ктергішті тмен тсілілген тередігі;
L ктергішті зындыы (2-сурет). Бл ысымны мніні, е кіші (минималды) болан жайдайы абата мндайды айтадан ену (поглошать) абілеті абсолюттік болуы ажет, егерде статистикалы дедейі кбейген мерзімде, осы сйыты клемін дер мезгіл абат жтып алуы ажет.
ысымны мні, е лкен (максималды) болатын жадай сйы ктергіш бырдан, скважина саасына айдап жатан газ башмаа жеткенше, тезірек жететін кезі.
Компрессорды німділігі берілген кезде, кез келген конструкцияны крделі олданан жн. Егерде, сйыты абата айтадан енуін ескермесек, есеп жнілдейді. Бл жадайда жібеу ысымны мні компрессорды німділігіне байланысты емес, тек ана ктергішті конструкциясына байланысты.
Екі атарлы газсйы ктергішті (1-сурет) жіберуші (осу) ысымын, есептейтін формуланы шы,арайы. Саина ортасындаы, сйыты дегейі, ктергішті башмаына жеткен жадайда, келесі формуланы жазуымыза болады.
Рпуск =ржg(+), (2)
мнда: =L-Hcm, -ты, сйытарды клемі бірдей деп аламыз, неге десеіз, сйы айтадан енбейді жне газ айдаып жатан саинадаы сйыты тмен тскен клемі, СК бойында жоары ктерілмеген, пайдалану быр жаындаы, саинадаы ктерілген клемдерді осындысына те деп санаймыз.
=h (3)
Рпус = рж g ; (4)
Осылайша,бір атарлы ктергішті жіберуші (іске осу) ысымын табамыз:
Газды саина арылы айдаан кезде:
Рпус=pж g ; (5)
Газды ортадан, яни СК бойымен айдаан кезде
Рпус=pж g (6)
Жіберуші ысымны мнінен, жмыс ысымыны мні р уаытта кіші болады, статистикалы дегейден тмен болады. Сондытан да, жіберуші жне жмысшы ысымын келтіріп, газлифтілі скважинаны тиімді жмыс істеуі шін, нерксіпшілікте энергия кзіні болуы ажет. Шындыында, кейбірде компрессорлар тобын ойып, жіберуші ысымны млшері, скважинаны іске осуа жеткілікті болу керек. Мндай жадайда газды бліп тарататын бататреяа,екі желіс кеп осады: жіберуші жне жмысшы ысымдарына арналан. Кейде скважинаны іске осу (жіберу) шін, озалмалы компрессорлы ондырыларды олданады. Кбінде, жіберуші ысымын азайтатын тсілдерді олданады.

3-сурет. Газлифтілі скважинаны жіберу рдісіні схемасы.
Ст.дегейі статикалы дегей
Е кп діс (тсіл), жіберші клапандар арылы, жіберуші (іске осу) ысымын азайту. Жіберуші клапандар 1 СК тізбегіні ішінде, дейі арналан камерада (алтада), орналастырылады. Бл клапандар ктергіш бырды башмаы мен сйыты, статистикалы дегейі аралыына ойылады. (3-сурет). Бірінші клапанны ойылатын тередігі, айдап жатан газды ысымы, сйыты осы клапыннан 20 м тмендікке тсірген мерзімді амтамасыз етуі керек.

4-сурет. Газлифтілі жіберуші клапанны сильфонды тріні схемасы
ысым згергендегі клапанны жымысы: а-айдалан газды; б-газсйы оспасыны; Рс сильфондаы ысым; Рг-клапан тередігіндегі ысым; Рт-клапыннан 20 м тмендіктегі ысым
Газ СК-а ашы клапан арылы айдалып кіріп, сйыты газдандырады, онда пайда болан оспаны дегейі ктеріліп, латарма желісінен асып аанда, СК ішіндегі ысым, бірінші клапан дегейінен тмендеп тсіп, скважина тбіндегі ысымы згермейді(клапанны ткізгіштік асиетікомпрессорды німділігінен аз боландытан) (3-сурет). Сондытан, тптегі ысымм азайан сайын, саина ортасындаы сйыты дегейінде тседі. Дегей тсіп келіп (минималды мні) бірінші клапаннан 20 м тмендегенде екі газлифтілі клапан ашылады. Екінші клапаннан газ СК ішіне кіріп, сйыты газдандыра бастаанда, жоары бірінші клапын жабылады.
Енді СК-ны лайан интервалында сйы газданып, саадан асып лайды. Ол тптегі ысымды таыда азайта тседі. Саина аймаындаы сйыты дегейі таыда одан тмен тсіп, шінші клапана жеткенде, екінші клапан жабылады. Сйтіп, жоарыда айтылан рдіс айталанып, газ ктергіш быра жмыс клапаны 2-ден аып йыланша бола береді. (3-суретті ара). Жіберуші клапандарды, сйы дегейінен 20 м жоары орналастырады, неге десеіз, СК ішіне, газ алашы ысым айырмашылыында (перепад) аып йылысын деп. ндірісте, негізінде сильфонды газ толтыраа, клапандар олданылады. (3-сурет).
1.3 Газлифтілі ымаларды пайдалану режимін жне рал - жабдытарын тадау.
Газлифтілі ктергішті, есептеу кезіндегі графикалы дісті пайдалану принциптері.
Газлифтілі ктергіштерді исытарын есептеу мерзімінде, е керекті параметрі ретінде, шыымды (дебит)емес, газсйыты Г атынасын арастыран жн. Стандартты жадайдаы, газды клемі шыымыны, сйыты шыымына атынасын газсйыты Г атынасы деп атаймыз. абаттаы температураны жне осы кен орындаы газбен сйыты сипаттамларын, ескеріп отыра, йреншікті номограмманы растырып, сызамыз (4-сурет). ртрлі німні шыымына, сулануына номограмма трызады.
оспа рылымы, газды тиімді (оптималды) кезінде, газсйыты атынасы масималды болады (4-суреттегі сол жаындаы исы). Бл кезде, энергия шыымы немесе ысым градиенті минималды болады. Газ шыымын рі арай лайту олайсыз, неге десеіз ысым айырмашылыы (градиент) лаяды. ысым скен сайын минималды градиентті стау шін, лкен млшерлі газсйыты атынастар болуы ажет.
Мысалы, осы кен орында, німні сулануы беогілі немесеберілген болсын. Q шыымы (дебит) бар скважинаны, газлифтілі діспен пайдалану ажет деп есептейік. Скважинаны зерттеу нтижесінде, абатты ысымы Рпл, німділік коэффиценті К, газ факторы G белгісі болсын. Жинау жйесіні шарттарына байланысты скважина саасындаы ысымды Ру табады.
Скважинаны пайдалану шартына жне кен орнын игеру шартына (шыыма жне сулануына) жауапты ып, ескерту нормограммасын тадап аламыз.
Калькіге, номограмма ысым Р жне Н стерін белгілі масштабта салады (6-сурет). Н сінде лшеп скважина тередігін Нс белгілейді жне осы дегейде, тптегі ысыма Рз=Рпл Q/К сйкес нктені елгілейді, ал Р сінде, скважина саасндаы ысыма сйкес Ру нктесін белгілейді. Сосын кальканы 5-суреттегі нормограмма стіне салып Н стерін тйсіктереді. Сосын, Н стерін бір-біріне тмен немесе жоары озалтып Рз нктесі есептелген газ факторына (белгілі) Gпл 5-суреттегі газсйыты атынасымен Г тйістіреді (Gпл =Г).
Тйсіп табылан исыты калькаа тсіріп алады.Егерде мндай исы 5-суреттегі ноиограмма да жо болса, оан интерполяция жасауымыз керек. Газ факторыны G лшемін м3/м3 алуымыз керек, онда Gпл = G(1-п/100) те екенін ескеуіміз керек. Сосын, кальканы тередік Н сімен тмен тсіріп отырып, (калькаа тсірілген исыа жне Р3 нктесіне арап) Р3 нктесін, бір-бірлеп абаттаы газ факторынан лкен газсйыты атынастарымен исытарды иылысан нктелерді белгілеп отырады. (5-суретте) Ру нктесі пунктир сызыпен крсетілген). Сйтіп табылан нктелер, скважинаны газлифтілі діспен пайдалануыны параметрлеріні диапозондарын мінездемелеп сипаттайды. Яни, жмыс агентін енгізу тередіктерін (L1-L2) жне газды айдау ысымдарын (Р1-Р2), осымша агентті меншікті шыымын. Газды айдау ысымы азайан сайын, меншікті шыымы (R=Г-Gпл) лаяды.
6-суреттегі мліметтер бойынша газды меншікті шыымыны, газды айдау шыымы мен байланысын сызып келтіруге болады (7-суретті ара).

5-сурет. Газлифтілі ктергішті есептеуге арналан номограмма

6-сурет. Газлифтілі діспен скважинаны пайдалану шарттарын табуа арналан график
Бекітілген німді (дебит), ртрлі газды меншікті шыымы мен соан сйкес жмысшы ысымдармен ндіруге болады. Осы кен орнында пайдаланатын газлифтілі дісті тріне байланысты, скважиналарды пайдалану шартын таайындауа болады.
Компрессорсыз газлифттер дістерінде скважинаны максималды жмысшы ысымда пайдалануымыз керек, неге десеіз, осы жадайда, меншікті газды шыымы минималды жне мнайды ндіруді зіндік ны аз болады. Компрессорлы газлифт дістері кезінде, газды меншікті шыыны кп сер етпейді, неге десеіз газды айта-айта жабы циклда пайдаланады. Бл жадайда, газды сыу шін, жмсалатын энергияны тиімді минимумын арастырады. Сондытан, жмсалатын энергия тиімді, минималды болан кезде газды сыып айдайтын ысымды таайындайды (яни, жмысшы ысымын).

7-сурет. Жмысшы ысымымен меншікті газ шыымыны байланысы
Газлифтілі ктергішті диаметрін табу.
Кен орнындаы газлифті трін жне жмысшы исымын (газды айдау ысымын) таайындааннан кейін, газлифтілі скважинаны пайдалану режимін тауып, рал-жабдытарын тадауа кіріседі. Сондытан, пландалан шыымы (німі) жне німні сулануы белгілі скважинаа ктергішті тиімді (оптималды) диаметрін, газды айдау тередігін жне сол газды шыынын тандап, таайындауымыз керек.
Есептеуді, скважинаны пайдалану шартына сйкес ып, 5-суретте крсетілгендей, ртрлі СК диаметріне номограммаларды сызып трызудан бастайды. р диаметрге тменде жазыландай, графикалы рекеттерді жргізеді.
Калькаа, таайындалан масштабта, номограмма ысым жне тередік стерін салады (8-сурет). Н сіні бойынан белгілі масштабта скважина тередігіні Н.. нктесін крсетіп, осы дегейдегі тп ысым нктесін таайындайды. Ал ысым Р сінде, саадагы ысыма Ру жне газа аныу ысымына Р, сйкес, нктелерді белгілейді. Сосын кальканы 3-57 суреттегі номограммаа алыптастырып, жоарыда жазылан тсіл бойынша 1- ші исыты трызады. Бл исыты газсйыты атынасы абаттаы газ факторына те (Г=ипі).
Жмысшы агенті айдалатын, саиналы аймактаы ысымны, згеру, тзу сызыын 2-ші Р,„ нктесі, арылы жргізеді. Бл сызыга Р тередігіндегі ысымды келесі барометрлік формула арылы есептейді:
(7)
мндаы: Р3 жне Ру скважинаны тбі мен саасындаы ысым, МПа; pt газды атынасы, тыыздыы (лшемсіз млшер); Н-скважина терендігі, м; z-газды е атты сыылу коэффициентіні орташа мні; Т-скважинадаы орташа температура. К; q газ шыымы, мУс.
Сосын, А нктесі мен (1 жне 2 исытарды иылысан нктесі (8-сурет)) Рг нктссі арылы тетін исыты, 5-суреттегі номограммаа алыптастырып, Н терендік сіні бойымен, тмен арай жылжытып отырып Н нктесі, исытарды Г-сыны мні клбеу баытында кесіп отырады). Pv жне А нктесі арылы тетін кисыа барып тірелгенше. Табылан исыты калькаа тсіріп, сызып аламыз (8-суреттегі 3-ші исы).

8-сурет. Тередікке байланысты ысымны згеру исыы
Саадаы ысым баяу (аз) боланда Ру нктесі, детте, минималды градиеиті бар кисыа барып тіреледі. Бл жадайда, Р, жне А нктелер арылы тетін исы, осы минималды градиенті бар номограммадаы бір исыпен сйкес болып табылады. Егерде, номограммада ондай исы табылмаса, оны интерполяция жолымен сызып табамыз. Табылан исыка міндетті трде, йтеуір газ сйыты Г атынасты мні сйкес келеді.
Осындай, графикалык дісті, ртрлі диаметрлі ктергіштерге жасайды. Соларды ішінен е кіші (минималды) мні болан, газсйыты катынасты тадап аламыз. Соан сйкес ктергішті диаметрін скважинаа таайындаймыз. Сол диаметрлі бырды скважина ішіне тсіріп, газлифтілі ктергіш ретінде пайдаланамыз.
Газлифтілі клапандарды орналастыру. ысымны згеру исытарын трызу
1) Калька диаграммасында саадаы Рг ысым жне газды айдайтын Р, ысым, нктелерін тсіреміз, ал скважина Нс табасыны дегейінде - абаттаы жне тптегі ысымдарды нктесін белгілейміз.
2) Лифттегі, газды айдау нктесінен тмендегі (жмысшы кланынынан тмен) ысымны згеріп тарау исыын /*, нктесі арылы жргіземіз суретте 1-ші исы. Оны r=Gm жадайдаы исы сияты жргізіп сызамыз.
3) Калканы жоары карай ыыстырып отырамыз (тередік Н стерін бірдей, бір сызыты бойында) Рл нктесі номограммадаы Г~0 те исыымен, иылысканша. Осы жадайда (5-сурет). Г0 тзуді калькаа тсіреміз (9-суретте 2-ші сызы). Осы 2- ші сызыты, баытталан брышы бойынша, жмысшы клапандарын, орналастыратын тередіктерді табамыз.
4) Скважинаны тотатып жмыс істемей тран жадайда, ысымны таратылу сызыын 3-ті, Рт нктесінен жргіземіз. Бл тзу сызыты брышын, сйыты тыыздыын ескеріп отырып, сызамыз. Оны брышыны 2-ші сызыты брышынан айырмашылыы болады, неге десеіз, сйы ктергішті бойымен озаланда, йкеліске кететін энергия болады. Осы 3-ші сызыты терендік сі мен иылысан нктесі, скважинадаы статикалы дегейді крсетеді.

9-сурет. Клапандарды орналастыру кезінде пайдаланатын ысымны
згеріп тарайтын исытары
5) Жмысшы агентін, айдайтын саина аумаындаы, ысым згерісін Р, нктесінен бастап сызып, 4-ші тзу сызыты табамыз.
6) ысымны минималды градиент кезіндегі исыты Ру нктесінен ткізіп, табамыз (5-ші исы). Ол шін кальканы терендік Н сіні бойымен тмен арай жылжытып отырып, Р нктесін номограммадаы Р=(ДН), минималды ысым градиентіне, сйкес исыа алыптастырамыз. (5-суретті е сол жаындаы исы). Сосын, калькіде минималды градиентке сйкес 5-ші исыты сызамыз. 5-ші жне 1-ші исытарды иылысан нктесін жмысшы клапынны орналасуыны минималды тередігі деп абылдаймыз. Максималды тередігі ретінде 1-ші жне 4-ші исытарды иылысан нктесінен оншаты метр жоары орналасады деп, сол дегейді белгілейміз. Бір шартты жадайларда жмысшы клапын, нерлым тере орналасса, сорлым жмысшы агентіні меншікті шыыны азаяды.
1.4 Газлифтілі ымаларды зерттеу ерекшеліктері.
Газлифтілі діспен пайдаланып жатан скважинаны, баса дістер сияты зерттеуді екі режимі болуы ммкін: алыптасан жне алыптаспаан режимдер. Тптегі ысымны згеру жніндегі мліметтер мніні, е длдігі дрысын, тереге тсірілетін манометрлер арылы лшенгенді аламыз.
Егерде, СК ішіндегі оспаны аыныны жылдамдыы лкен болып, манометрді тсіру иына соса, онда зерттеу, алыптасан режимде жргізіледі. Тптегі ысымны мнін айдалып жатан газды, скважина саасындаы жмыс істеу ысымы бойынша есептейді.
(8)
мндаы: V-газды клемдік шыыны; m-зерттеліп жаткан скважинаа траты сан, коэффициент, ол газ аыныны геометриялы, физикалы жне гидромеханикалы мінездемелерін ескереді; L- ктергішті зындыы немесе скважина саасынан жмысшы газлифтілі клапынына дейінгі араашыты; pго - газды ауа мен салыстырмалы тыыздыы; z-газды е лкен сыылу коэффициенті; Т-быр сыртындаы ауматы орташа температурасы; рб мні жмыс рр ысымны мнінен, кедергі кштер млшерінен, айырмашылыы бар. (8) формуласындаы бірінші осынды-быр аралыында (саина) газ озалысыны йкеліс кшіні кедергісіне, жмсалатын ысым жне екінші осынды быр ішіндегі оспа баанасын ктеру шін жмсалатын гидростатикалы ысым.
Егерде газды, СК тізбегіні ішіне жмысшы клапын арылы, айдап пайдаланса, (8) формула бойынша, бырлар аралыындаы (саина) айматаы, сйыты дегейіндегі ысымды есептеп табамыз. Скважинаны ртрлі режимде, зерттеу мліметтерін пайдаланып, т коэффициетін табамыз. ндірістегі параметрлерді лшеуді арасында, газды шыымына байланысты жмысшы ысымны жне скважина (дебиттік) німділігін сызып, крсетуімізге болады (10-сурет). Бл жадайда, газды шыымын, режимнен режимге, лайтып отырады. Алашыда, скважина німі (дебит) лаяды (ысым мен скважина німділігін 1,2,3 нктелер мінездемелейді), сосын, скважина німділігі азаяды (4-ші нкте (10-сурет). Егерде Q=f(V) исыында тмен тскен бір нктені байаса, зерттеуді тотатамыз. исыты лайан жаында, осы 4-ші нктеге сйкес німділігі бар А нктесін табамыз. Бл нктедегі скважина німділігін, жмысшы ысым ррА жне газ шыыны VA мндеріне те болан жадайда амтамасыз етеміз.

10-сурет. Газлифтілі скважиналарды зерттеу исытары
Егерде, 4-ші жне А нктесіндегі режимдерде, скважина німділігі, бірдей болан жадайда, тптегі жне ктергішті башмаындаы ысым мндері, осы нктелерде бірдей болады деп есептейміз. Біра жмысшы ысымдар мндері ртрлі болады, неге десеіз газ башмака арай козаланда, йкеліс кедергісіне жмсалатын ысымны мні де ртрлі. Бл режимдерде, башматаы ысымдар мнін бірдей деп есептеп, жне газды гидростатикалы кысымыны айырмашылыын ескермесек, т коэффициенті есептейтін тендеуді жазамыз.
(9)
мндаы
жне
- 4-ші жне А режиміндегі ысым мен газды шыындары. йкеліске жмсалатын т коэффициентін тауып, алып (8) формула бойынша, скважинаны кез-келген режимінде башматаы жмыс істеу (жмысшы) ысымын есептеп табамыз.
Скважина німіні тбінен ктергішті башмаына дейінгі аралытаы озалысыны, йкеліске жмсалатын ысым шыынын ескермей отырып, скважина тбіндегі ысымды табуымыза болады:
(10)
Сосын, скважинаны німділік коэффициентін тауып, индекаторлы диаграмманы трызамыз.
1.5 Шыымы аз ыманы кезе-кезеімен пайдалану.
Шыымы аз скважиналара німділігі 5-6 м3/ту кем емес скважиналар жатады. Бндай скважиналар ксіпшілік орындарында кп кездеседі жне сондытан оларды дрыс пайдалану кезінде, осымша ндірілген мнайды едуір млшерін алуа, жабдытар мен баса да материалды заттарды немдеуге болады. Оларды кпшілігіні ерекшелігі мынаан саяды, сорап диаметрі лкен емес кондырыларды німділігіні тмен болу себебі, тп ысымыны атмосфералы ысымнан да тмендеп кету жадайына арамастан абаттан мнайды кп йылуына байланысты екен. Бл жадайда, скважинадаы барлы мнайды сораппен жоарыа шыарады (абылдауа дейін) жне одан рі ол скважинаны саиналы кеістігіндегі тмен ысымдаы газды сорылу серінен те тмен сйыа толу коэффициентімен пайдаланылады. Бл плунжерді тмен арай жрісі кезінде сйыа соылуы жне вибрацияа блінуіне байланысты. Нтижесінде сорап, тербелмелі-станок жабдытары, подшипниктер тез тозады электр энергиясыны шыыны артады. Кпшілік жадайда бндай скважиналарды кезеді пайдалану, сйы жиналан уаыта дейін тербелмелі-станокты тотатып ойса жне т.б. шаралары іске аспасы тиімді болады. Бл жадайда жабдытар за саталады, біра ндірілетін мнайды бір блігін жоалтады (здіксіз нім шыарумен салыстыранда), йткені тербелмелі-станок тотаан уаытта сйы скважинаа, абата байланысты оны баанасындаы арсы ысымны суі кезінде йылады. Нтижесінде сйыты аын жылдамдыы азаяды, яни дегейді ктерілуі жй жреді.
Скважиналарды кезеді пайдалануа ауыстыру кезінде сйыты жиналуы tна мен жоарыа шыаруды tтк рационалды уаытын тадауды техника-экономикалы міндеттерін шешіп алу ажет. Бл лшемдерді анытайтын аналитикалы жне экспериментті дістері сынылан - скважинадаы дегейді алпына келу кисыы бойынша, дебитограмма бойынша (алтымалы дегей лшегішпен жабдыталан (мерниктерді) лшегіштегі дегейді суі кисыы), индикаторлы диаграмма бойынша, пайдалануды нерлым тиімді режимін тадау жолы бойынша. арапайым жадайда, белгілі бір масштабта мнай баанасыны биіктігін жазып отыратын дегей лшегішпен жабдыталан жылжымалы лшегіш (мерник) кмегімен аынды зерттеу кезінде, сйыты здіксіз шыару рдісінде лшегіштегі дегейді су сызыы (егер абаттаы серпімді былыстарды серін ескермесек) 1-сызыына сйкес келеді, оны исы тсуі (уклон) абаттан енетін сйыты млшерін сипаттайды (11-сурет).

11-сурет. ртрлі режимде сйыты мезгіл-мезгіл
сору кезінде лшегіштегі сйыты жиналу исыы
Сйыты жиналуына tна дейін тотау уакыты заран скважинаны сынаты пайдалану кезінде, сйкесті 2,3,4-сйыты шыару исытарын алады, олар сйыты шыару рдісіндегі лшегіштегі дегейді суі мен сорапты сйы бергіштігін бейнелейді (крсетеді).
Сйыты абылдауа дейін скважинадаы дегейді тмендеуі кезінде сорап, абат німділігне те келетін бергіштікпен жмыс істей бастайды. (11-суретіндегі нктелі сызытар). Скважинаны кезеді пайдалану серінен, цикл ішінде сйыкты жиналуына дейін тотау tна уаыты осу сйыты шыару tтк уаытын осып мнайды жоалту, сйыты жиналу уаытыны суімен атар лайып отыратын ав, а1 в1, жне а2 а2 кескіндеріні зындытарына сйкес болады. Сондытан, скважиналарды кезеді пайдалануа ауыстыруды тиімділігі мен техника экономикалы крсеткіштерін анытайтын маызды параметрлері шыымны салыстырмалы ф жне абсолютті AQ тмендеуі болып табылады.
(11)
мнда Qпер жне Qнп кезеді здіксіз пайдалану кезіндегі сйкесті скважина німділігі
(12)
(11-суретінен) мысалы, суреттеліп отыран режимі шін, 2-исыынан мынаны алуа болады.
ф=ас/bс. (13)
Ммкіндігінде, практика ф- мні 0,8-0,95 кем болмауы керек. Егер дебитограммалар трызылан болса, онда берілген ф-a сйкес келетін сйыты шыару режимін тадайды. Аын жадайыны ерекшелігін есепке алатын сйыты жиналуы мен сйыты шыару кезедерін аналитикалы анытау шін, р трлі авторлар формулаларын сынан. Филтрация кезінде сызыты заы бойынша tна мнін баалау шін А. С.Вирновский мен О.С. Татейшвили формуласы мына трде болады.
(14)
мнда, к скважинадаы саиналы иманы ауданы; kуд - німділікті меншікті коэффициенті, м3/(м.са).
Белгілі дістермен шыымы аз скважиналарды кп блігін гидродинамикалы зерттеуді крделілігі, уровномерлі жылжымалы лшегіштерді олдануды иындыы, оларды пайдаланудаы келесіз жадай серінен операторларды тжірибиелік жолымен сйыты жиналу мезгілін анытауда сынаты дістер мен ателіктерге келеді.
Біра бл жадайда кп уаыт шыындалады жне сйкесті мнай шыымымен кезеді пайдалану режимін таайындауды длдігі бзылады.
Кезеді пайдалану кезінде скважинаны іске осу мен тотатуды автоматтандыру шін, тербелмелі-станокты жмыса осу мен тотатуды берілген режимін орындайтын ртрлі автоматты рылылар сынылады.
Шыымы аз скважиналарды режимін реттеу мен автоматтандыру, оларды сорапты пайдалану уаытында ондырыны сйы бергіштігі бірте-бірте згерісімен крделене (иындай) тседі, бл плунжерді клапаныны тозуын сйыты шыып кетуінен байауа болады. Сондытан сйыты шыаруды уаытын мезгіл-мезгіл (кезеді) арттыруды талап етеді. Сондытан реттеуші автоматтарды ртрлі жмыс принциптерімен жобалайды. Оларды біратары динамограммалар трызуа негізделген, оны жоары о жа брышында "газ тмсышасы" пайда болады. Бл абылдауа дейін сорап сйыты шыаранда жне сйыпен бірге газды да айдаанда болады.
Бдан со станок автоматты трде тотап алады. Скважинадаы сйыты дегейін баылау крсеткіші бойынша, шыару желісіндегі шыын мен ысым бойынша, тербелмелі-станокты вибрациясы бойынша (сорапты сйыа толу коэффициентіні азаюына байланысты артып отыратын) жне т.б. арылы жабдытарды жмысын реттейтін автоматты рылылар сынылан. Шыымы аз скважиналарды оры те кп АШ-та шыымы аз скважиналарды пайдалану шін арнайы аз габаритті жабдытарды (жне 12,7 мм диаметрлі штангіні) шыару тиімді деп саналады.
2. Есеп блімі
Бірінші жіберуші клапынны есебі
Жмысшы агентіні ысымы тмендегенде жабылатын сильфонды клапынын орналастырып, есептеу ретін арастырайы. Бл клапандар газлифтілі скважиналарды пайдалану рдісінде жиі олданылады.
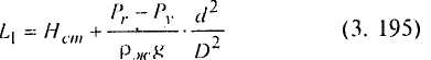
1) Клапынды орналастыру L1 тередігін табайы. Газлифтілі скважинаны іске осан (жіберу) мерзімінде, келесі жадайлар болуы ммкін:
а) Егерде, сйыты статикалы дегейі тмен болан жадайда, быр сыртындаы аймата сйыты газбен айдап бірінші жіберуші клапыны орналаскан дегейге жеткенде, ктергішті ішіндегі сйыты (оспаны) дегейі скважина саасына жетпейді. ысым ктерілген мезгілде, абата айтадан енетін сйыты ескермесек жне (15) формуланы ескере отыра, бірінші жіберуші клапынына дейінгі аралыты келесі формуламен рнектеуімізге болады:
(15)
б) Егерде, сйыты статаикалык, дегейі жоары болса сйыты саадан асып йылуы, ертерек басталады. Бл мерзім, быр сыртындаы аймата, сйыты дегейі. клапынны орналасан жеріне дейін жетпесе де болуы ммкін. Онда бірінші жіберуші клапынны, орналасу тередігін есептеу шін:
(16)
Соы жадайда L1-ді мнін графикалы діспен (12-сурет) табу онша иына сопайды. Р2 нктесінен тмен тік тсірілген сызыты 6-шы сызыпен иылысан нктесіні терендігі 6-шы (12-суреттегі) 3-ші сызыа Ру нктесінен параллель жргізген сызы.
12-суреттен кретініміз: L1 горизонталды 4-ші жне 5-ші исытар мен иылысан нктелері, быр сыртындаы айматы, бірінші клпыныны, дегейіндегі ысымды Рш жне ктергіш ішіндегі, минималды кысым мнін Рmin крсетеді.

12-сурет. Тередікке байланысты ысымны згеру исытары
Тжірибие бойынша, скважинаны дегейі тмен жне жоары кезінде, L1- ді мнін табамыз. Сосын бірінші клапынны орналасу тередігі ретінде, табылан L1-ден лкен мнін аламыз. Егерде, L1 ретінде 16 формуласынан есептелген мн болса. Онда да, 12-суретте крсетілген, графикте L1 дегейінен горизонталь ткізіп, оны 4-ші жне 5-ші исытармен иылысан нктелерін белгілеп Рli жне Рmin, мндерін табамыз.
Келесі жіберуші клапындарды орналасатын тередіктерін табу рдісі бірдей жоарыда жазыландай.
Айдайтын газды ысымы Рпл ктергішті L1 тередігінде жне быр ішіндегі ысым PTminLI-ге жеткенде, ашылатындай ылып брап, зерттеп, дайындайды. Алашы ысым айырмашылыы (перепад) ЛР, газды быр сыртындаы айматан, быр ішіне арай, озалып кіруіне, жеткілікті болуы ажет.
Газ клапын арылы быр ішіне кірген сайын, сйыты газдандырады, ысымны градиенті максималды мнінен (6-шы сызы) минималды мнге (5-ші исы 12-сурет) дейін згереді, бырды сыртындаы аймата, сйыты дегейі тмендейді. Сйтіп, клапындаы ысым айырмашылыы (перепад) (PmL,- РTminLI) лаяды, бл газды шыымыны кбеюіне кеп соады.
Келіп тран газ желісіне, скважина немесе газды таратып блетін пункте, штуцер ойылады. Сондытан, газ шыымы лайан сайын Рг ысымы азаяды. Егерде, газды озалысы, бірінші клапыннан тіп, шыымы максималды мніне жаындаанда айдалып жатан газды ысымы, осы клапынны жабылу ысымына те боланда, бірінші клапын жабылады, ал екінші клапын ашы трады. Сйыты дегей, кбырларды арасындаы аумата, екінші клапынны маында болады. Сйтіп газды скважинаа айдау жаласа бергендіктен, сйыты дегейі тмендейді жнe екінші клапын арылы, быр ішіне йылады. ысым градиенті алашыда 7-ші исыа сйкес 12-сурет болып сосын минималды мнге дейін тседі. Бастапы кезде, кбыр ішіндегі ысым, бірінші клапын орналасан дегейде, Рmin-ден Pmax - дейін ктеріледі (12-сурет), бл бірінші клапынны ашылуына келуі ммкін.
Осы жадайда, бірінші клапын ашылып кетпес шін, быр сыртындаы айматаы ысымын бастапы мніне араанда тмен тсіруіміз керек:
Бірінші клапынны бр табу шін екінші клапынны орналасатын тередігін білуіміз керек, ал оны табу шін керісінше, бірінші клапынны ф білуіміз ажет. Сондыктан, екінші клапынны, ысым айырмашылыын, ф: мнінен кбірек ып, зіміз таайындаймыз. детте, жіберуші клапындарды бр мндері 0,1 МПа, сирек жадайда, кп болады. Егерде екінші клапындаы ысым айырмашылыын 0,3 МПа те деп алса, бірінші клапынны мерзімсіз ашылуынан тыламыз жне екінші клапында бастапы ысым айырмашылыы пайда болуына жадай жасаймыз, неге десеіз быр сыртындаы (саина) аймаында ысым ф, мніне тмендейді.
2) бырдаы, бірінші жіберуші клапынны денгейінен минималды ысым градиентін стау шін кажетті газды минималды шыымын табайы.
9-суреттегі номограммадан кргендей газсйыты атынасты мні нерлым кіші болан сайын, минималды кысым градиентіні мні, сорлым кіші болады. Одан тсінетініміз, жіберуші клапын, нерлым жоары орналасса, сорлым газды шыымы осы ысым градиентін стау шін аз керек болады.
исыта (12-сурет. Г-исыын араыз), бірінші клапыннан тетін газды минималды шыымын V1 табуымыза болады.
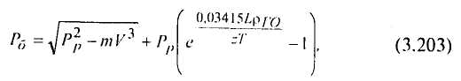
V1=I1Q (17)
3) Газды шыымын V1 клапына кірердегі ысымды Рli жне шыардаы ысымды білсек, клапындаы (тесігіні) диаметрін есептеп (немесе номограмма бойынша ) табамыз.
Екінші жіберуші клапынны есебі
1) Клапынны орналасу тередігін табамыз. Ол шін Ргттіі нктесінен 2-ші сызыа параллель тзу сызы жргіземіз. Осы сызыты стінде, екінші клапынны орналасу тередігі L2 нктесі орналасан. Мндаы ысым быр сыртындаы айматаы ысымнан 0,3 МПа кіші РminL2 -минималды градиент 5-ші исыы бойынша, L2 тередігіндегі ысым.
Газды екінші клапыны арылы озалан мерзімде, бірінші клапын жабылу шін айдшалып жатан газды ысымын (17) формуласы бойынша тауып тмендетуіміз ажет.
2) бырдаы, екінші клапынны дегейінен жоарысындаы ысым градиентіні минималды шыымын табайы. Оны бірінші клапында тапандай ып табамыз: PminL2 ысымына сйкес нктесін, минималдык градиенті исыынан (5-сурет) табамыз; минималды градиент исыынан шыатын, тмен орналасан Г2 газсйыты атынасы бар исыты табамыз; (17) формула бойынша V=І2Q есептеп аламыз.
3) Клапындаы, тесігіні (ершік) диаметрін табамыз. Мнда клапына, кірердегі ысым РrL2-бр жне шыардаы ысымы PminL2 те деп аламыз.
орытынды
Шыымы аз скважиналарды режимін реттеу мен автоматтандыру, оларды сорапты пайдалану уаытында ондырыны сйы бергіштігі бірте-бірте згерісімен крделене (иындай) тседі, бл плунжерді клапаныны тозуын сйыты шыып кетуінен байауа болады. Сондытан сйыты шыаруды уаытын мезгіл-мезгіл (кезеді) арттыруды талап етеді. Сондытан реттеуші автоматтарды ртрлі жмыс принциптерімен жобалайды. Оларды біратары динамограммалар трызуа негізделген, оны жоары о жа брышында "газ тмсышасы" пайда болады. Бл абылдауа дейін сорап сйыты шыаранда жне сйыпен бірге газды да айдаанда болады.
Шыымы аз скважиналара німділігі 5-6 м3/ту кем емес скважиналар жатады. Бндай скважиналар ксіпшілік орындарында кп кездеседі жне сондытан оларды дрыс пайдалану кезінде, осымша ндірілген мнайды едуір млшерін алуа, жабдытар мен баса да материалды заттарды немдеуге болады. Оларды кпшілігіні ерекшелігі мынаан саяды, сорап диаметрі лкен емес кондырыларды німділігіні тмен болу себебі, тп ысымыны атмосфералы ысымнан да тмендеп кету жадайына арамастан абаттан мнайды кп йылуына байланысты екен. Бл жадайда, скважинадаы барлы мнайды сораппен жоарыа шыарады (абылдауа дейін) жне одан рі ол скважинаны саиналы кеістігіндегі тмен ысымдаы газды сорылу серінен те тмен сйыа толу коэффициентімен пайдаланылады. Бл плунжерді тмен арай жрісі кезінде сйыа соылуы жне вибрацияа блінуіне байланысты. Нтижесінде сорап, тербелмелі-станок жабдытары, подшипниктер тез тозады электр энергиясыны шыыны артады. Кпшілік жадайда бндай скважиналарды кезеді пайдалану, сйы жиналан уаыта дейін тербелмелі-станокты тотатып ойса жне т.б. шаралары іске аспасы тиімді болады. Бл жадайда жабдытар за саталады, біра ндірілетін мнайды бір блігін жоалтады (здіксіз нім шыарумен салыстыранда), йткені тербелмелі-станок тотаан уаытта сйы скважинаа, абата байланысты оны баанасындаы арсы ысымны суі кезінде йылады. Нтижесінде сйыты аын жылдамдыы азаяды, яни дегейді ктерілуі жй жреді.
Газлифттер дістерінде скважинаны максималды жмысшы ысымда пайдалануымыз керек, неге десеіз, осы жадайда, меншікті газды шыымы минималды жне мнайды ндіруді зіндік ны аз болады. Компрессорлы газлифт дістері кезінде, газды меншікті шыыны кп сер етпейді, неге десеіз газды айта-айта жабы циклда пайдаланады. Бл жадайда, газды сыу шін, жмсалатын энергияны тиімді минимумын арастырады. Сондытан, жмсалатын энергия тиімді, минималды болан кезде газды сыып айдайтын ысымды таайындайды (яни, жмысшы ысымын).
Шыымы аз ымаларда газлифт дісін пайдалану