Кристалы CeAlO3
Содержание:
- Вступление.
- Рост кристаллов. Метод Чохральского
- Рост кристаллов. Метод EFG.
- Дефекты Перовскита алюмината церия.
- Сегнетоэлектричество. Применение сегнетоэлектриков.
- Что такое домен и доменная структура?
- Методы наблюдения доменов.
- Эксперимент. Травление доменной структуры.
Интерес к кристаллам CeAlO3 связан с их сегнетоэлектрическими, оптическими, люминесцентными и др. свойствами, возможностью применения в качестве твердых электролитов с ионной проводимостью, датчиков газовых сред, катализаторов и сцинтилляционных детекторов в физике высоких энергий. Данных по свойствам кристаллов крайне мало, поскольку мало работ посвященных получению кристаллов перовскитов редкоземельных элементов.
Большинство данных по структурным, электрическим, парамагнитным, каталитическим и другим свойствам перовскита CeAlO3 получены на порошках или керамике, спеченной твердофазным синтезом.
Перовскит церия имеет тетрагональную решетку, пространственной группы I4/mcm, a=5,32667, с=7,5824. Для кристаллов CeAlO3 характерно несколько полиморфных переходов в интервале температур от 273 до 1373К. В кристалле наблюдается следующая последовательность переходов: I4/mcm Imma Rc Pmm, что соответствует изменению типа решетки: тетрагональная ромбическая ромбоэдрическая кубическая. В таблице 1 приведены изменения длин связей.
Таблица №1. Изменение длин связей в CeAlO3.

Данных по оптическим свойствам CeAlO3 мало. В целом алюминат церия мало изучен. Каких либо сообщений о выращивании объёмных кристаллов и изучению их свойств не найдено.
В данной работе исследовались Кристаллы CeAlO3 выращенные методами Чохральского и EFG (Edge Defined Film Fed Growth) на установке индукционного нагрева «Оксид» в среде особо чистого Ar. Рост проводили из вольфрамового полусферического тигля диаметром 45мм при скорости вытягивания 1,5-15мм/час и скорости вращения 0-20 об/мин. Восстановительный потенциал среды получали за счет испарения расплава и взаимодействия паров с углеродной теплоизоляцией. В качестве исходного сырья использовали порошки CeO2 и Al2O3 взятые в соотношении, обеспечивающем получение CeAlO3. Исходные порошки перемешивали, прессовали, сушили и спекали в слабо-восстановительной среде Аr+СО при температуре 1650-1800°С в течении 10-60 часов. Восстановительный потенциал среды создавали с целью перевода церия в трехвалентное состояние. В результате твердофазного синтеза получили поликристаллический алюминат церия (рис.1) составом CeAlO3 перовскитной структуры, пространственной группы I4/mcm, a=5,32667, с=7,5824 (рис. 2, рис. 3).
рис. 1

Фиолет Се Синий Al красный кислород.
Рост кристаллов. Метод Чохральского.
Перовскит церия кристаллизуется в системе Al2O3 - Ce2O3 при температуре 2075°С. Столь высокая температура плавления ограничивает выбор материла тигля. С учетом перегрева тигля в процессе роста на 100-200°С, для иридия эта температура становится практически предельной, поэтому в качестве материала тигля был выбран - вольфрам.
Тигель предварительно наплавляли синтезированной шихтой и проводили рост. Кристаллы выращивали методом Чохральского со скоростью вытягивания 1,5-3 мм/ч и скоростью вращения 8-20 об/мин. Первые кристаллы получали затравляясь на Мо и W проволоку. Полученные кристаллы имели тёмно-зелёный или желтый цвет (рис.4, 5).


Рис. 4, 5. Кристаллы CeAlO3.
К сожалению, вырастить правильный цилиндрический образец при различных вариациях технологических параметров не получилось. После набора определенной длины кристалл рос по зеркалу расплава с дальнейшим переходом на спираль. Причина такого неустойчивого роста - низкая теплопроводность кристаллов перовскитов и высокий мениск расплава. Высота мениска расплава в наших экспериментах составляла ~ 3мм. В ходе экспериментов было отмечено, что расплав CeAlO3 хорошо смачивал Мо и W, что позволило в дальнейшем провести выращивания кристаллов методом EFG.
Метод EFG.
При выращивании кристаллов методом EFG, использовали молибденовые формообразователи. Для выращивания стержней формообразователь диаметром 12мм с центральным подающим каналом, а для выращивания лент формообразователь размером 20х3мм с центральным щелевым каналом. Кристаллические ленты выращивали на скоростях 10-12 мм/час, используя в качестве затравки кристаллы выращенные методом Чохральского. Ленты, полученные методом EFG, как и були Чохральского имели желтую и желто-зеленую окраску (рис.6).



Рис.6. Кристаллические пластины, полученные методом EFG.
Газовые включения и примеси, вызывающие окраску кристалла, были сконцентрированы в поверхностном слое лент. При этом основной объем лент не содержал включений и был прозрачен в видимом диапазоне.
Такой характер окраски связан с интенсивным оттеснением примесей к наружной поверхности кристалла, что присуще методу EFG. В качестве примеси могут выступать и решеткообразующие элементы матрицы, если они взяты с избытком или их избыток создается в процессе взаимодействия расплава с СО атмосферой камеры.
Методом EFG были выращены стержни диаметром 12мм (рис.7), которые после термообработки в восстановительной среде (СО) имели слабожелтую окраску, а после вакуумной - зеленую. Процесс изменения окраски кристаллов обратно воспроизводимый и определяется окислительным или восстановительным потенциалом среды.



Рис.7. Кристаллы СeAlO3 выращенные методом EFG.
По сравнению с методом Чохральского EFG метод имеет ряд преимуществ, таких как возможность создания более жесткого градиента на фронте кристаллизации, контроль формы получаемого кристалла, контроль морфологии и формы фронта кристаллизации. К недостаткам можно отнести высокую чувствительность к примесному составу расплава и его расстехиометрии. Поскольку примеси или избыточное количество одного из исходных оксидов концентрируется в мениске, что понижает температуру плавления в этом месте, меняется смачиваемость и поверхностное натяжение. Это может приводить к локальному концентрационному перегреву и неустойчивому росту.
- В процессе механической обработки шлифовки и полировки, нагревания и остывания при наклеивании, в объеме образцов формируются границы доменов (рис.8,9). Как правило, отдельные части кристалла заполнены доменами ориентированными взаимно перпендикулярно. Границы располагаются в плоскостях с шагом 5-20 мкм. Наличие таких границ частично снижает пропускание кристалла, если они ориентированы под углом к поверхности.



Рис.12. Границы доменов в кристалле CeAlO3.
- В полированном образце, изготовленном из данного кристалла, присутствовала дефектная полосчатая структура (рис.4), которая появилась в процессе механической обработки. Полосы можно было наблюдать только под определенным углом освещения. В некоторых местах, они проходили по всей толщине образца, но он не разрушался на части и обладал достаточной прочностью. Эти полосы внешне похожи на трещины, но таковыми не являются. Шаг и расположение полос указывает на влияние кристаллографических особенностей решетки. Однако, в некоторых образцах присутствовали отдельные пакеты полос расположенные перпендикулярно друг другу, а так же области, где полосы отсутствовали. Наличие таких дефектов резко снижает оптическое пропускание образцов, поэтому их природа и механизм формирования требуют отдельного изучения.


- Сегнетоэлектричество - физическое явление, наблюдающееся в некоторых кристаллах, называемых сегнетоэлектриками, в определённом интервале температур и заключающееся в возникновении спонтанной поляризации кристалла даже в отсутствие внешнего электрического поляризация. Температура, при которой исчезает спонтанная поляризация (то есть собственный дипольный момент) и происходит перестройка кристаллической структуры, носит название температуры (точки) Кюри. Переход через точку Кюри означает фазовый переход, а соответствующие фазы обозначаются как полярная (сегнетоэлектрик) и неполярная (параэлектрик - нелинейный диэлектрик, не обладающий спонтанной поляризацией, относительная диэлектрическая проницаемость которого уменьшается с ростом температуры).
Применение. Отличительными чертами сегнетоэлектриков являются высокие значения диэлектрической проницаемости, наличие пьезоэлектрического и пироэлектрического эффектов, зависимость показателя преломления от величины приложенного электрического поля. Эти свойства определяют область применения сегнетоэлектриков (монокристаллов, ке-рамики, плёнкок) - широко применяются в технике и в научном эксперименте. Благодаря большим значениям (комплексной диэлектрической проницаемости) их используют в качестве материала для конденсаторов высокой удельной ёмкости. Все сегнетоэлектрики в полярной фазе являются пьезоэлектриками. Большие значения пьезоэлектрических констант обусловливают применение сегнетоэлектриков в качестве пьезоэлектрических материалов в приёмниках и излучателях ультразвука, в преобразователях звуковых сигналов в электрические и наоборот, в датчиках давления и др. Сегнетоэлектрическими свойствами обладают некоторые полупроводники и магнитоупорядоченные вещества. Сочетание различных свойств приводит к новым эффектам, например магнитоэлектрическим. Зависимость показателя преломления от поля обусловливает использование сегнетоэлектриков в качестве электрооптических материалов в приборах и устройствах управления световыми пучками, включая визуализацию инфракрасного изображения. Многие сегнетоэлектрики являются сегнетоэластиками - веществами со спонтанной деформацией кристаллической решётки внутри заданного температурного интервала.
Сегнетоэлектрики отличаются от пироэлектриков тем, что при определённой температуре (так называемой диэлектрической точке Кюри) их кристаллическая модификация меняется - т. е. переходит из кристаллической структуры с более высокой симметрией в кристаллическую структуру с более низкой симметрией, и спонтанная поляризация пропадает. Кристаллическая модификация, в которой наблюдается спонтанная поляризация, называется полярной фазой, а в которой не наблюдается неполярной фазой. Спонтанно поляризованное состояние реализуется в сегнетоэлектриках в виде доменной структуры.
4. Что такое домен и доменная структура? Доменом называется макроскопическая область в кристалле, в пределах которой все элементарные ячейки в сегнетоэлектрике поляризованы одинаково. Направление спонтанной поляризации в соседних доменах составляет определенные углы друг с другом. Отдельные домены отделены друг от друга доменными границами или доменными стенками. Совокупность доменов различной ориентации и называют доменной структурой.
При охлаждении кристалла и переходе его из параэлектрической фазы в сегнетоэлектрическую в отсутствие внешнего поля возникает по крайней мере два эквивалентных направления, вдоль которых может быть направлеа спонтанная поляризация. Для минимизации энергии различные области кристалла поляризуются в одном из этих направлений, и каждая такая область однородной поляризации называется доменом. Деполяризующие поля, которые возникают при охлаждении, обычно достаточны для того, чтобы скомпенсировать поляризацию в исходном кристалле.
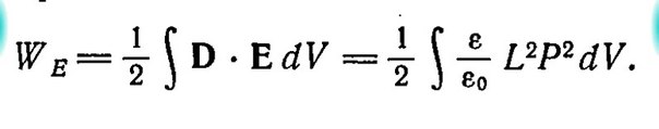
Границы, раздделяющие домены, называют доменными стенками. Поскольку эти стенки отличаются от совершенного кристалла, то с ними связана определенная энергия Ww в дополнение к электростатической энергии We. Окончательная доменная конфигурация определяется минимумом, соответствующим свободной энергии, включающей оба эти члена.
В равновесии, когда все деполяризующие поля скомпенсированы, минимум энергии при отсутствии дефектов будет соответствовать однодоменной конфигурации при учете только Ww и We. Действительно, в хорошо проводящих сегнетоэлектриках однодоменная структура оказывается предпочтительной. Однако, такое равновесное состояние редко достигается в исходном кристалле при отсутствии внешних полей, и наблюдаемая доменная структура зависит от многих факторов, включая симметрию кристалла, электропроводность, конфигурацию дефектов, значения спонтанной поляризации и упругих и диэлектрических податливостей, а так же предысторию кристалла и геометрию образца.
Наблюдение доменов. В настоящее время существует ряд методов выявления доменной структуры. Выбор того или иного метода зависит от материала и геометрии кристалла, требуемой скорости и разрешения, а так же от необходимости определения электрической полярности доменов. Первые пять методов, из описаных ниже, можно использовать для наблюдения доменов в объеме кристалла, а остальные для выявления областей пересечения доменов с поверхностью кристалла.
- Оптическое лучепреломление. Подобно низкочастотной диэлектрической восприимчивости пироэлектриков, восприимчивость на оптических частотах является анизотропной. Таким образом все пироэлектрические кристалла оптически анизотропны, за исключением случаев, когда показатели преломления оказываются «случайным образом» равными при некоторой температуре. В оптически одноосных кристаллах, которые относятся к тетрагональным, тригональным или гексагональным кристаллическим классам, показатели преломления для света, поляризованного вдоль полярной оси и перпендикулярно ей, оказываются различными, т. е. ….....................................(стр 111)
В скрещенных поляризаторах домены, поляризованные в направлении наблюдения, выглядят темными при вращении вокруг полярной оси, в то время как домены, поляризованные в любом другом направлении, являются двупреломляющими и выглядят светлыми, если полярная ось кристалла и оси поляризаторов не лежат в одной плоскости.
В случае оптически двуосных кристаллов, которые принадлежат к орторомбическим, моноклинным и триклинным кристаллическим классам, все три показателя преломления в общем случае различны: …..................................(стр 111)
так что все домены являются двупреломляющими. Такие домены так же можно наблюдать между скрещенными поляризаторами из-за различного двупреломления для доменов разной ориентации. На рисунке показано фото доменов, выявленных таким способом.

Данный метод использовали для очень многих сегнетоэлектриков разной симметрии, и он особенно привлекателен ввиду своей простоты. Однако, как правило, этот метод не может быть использован для наблюдения антипараллельных доменов ( так как оптическая индикатрисса инвариантна к переключению доменов), за исключением тех случаев, когда имеется заметное рассеяние от доменных стенок или когда возникают искажения стенок под действием внешних полей или механических напряжений.
Вышеописанный метод в рамках своей применимости является , по-видимому, наиболее прямым способом непосредственного наблюдения за статической конфигурацией и кинетикой движения доменных стенок.
- Оптическое вращение. Примером использования оптического вращения для выявления 180-градусной доменной структуры может служить кристалл Pb5Gc3O11. Этот кристалл характеризуется оптической вращательной способностью 5,6 град/мм для света, распространяющегося вдоль полярной оси третьего порядка, и при инверсии этой оси знак вращения изменяется. В результате, когда пластинки с-среза (полярная ось перпендикулярна пластине) рассматривается в поляризованном свете, одна группа доменов может быть установлена с помощью анализатора в положение погасания, а другая группа будет выглядеть ярко, как это показано на рисунке.

- Генерация второй гармоники. В триглицинсульфате 180-градусные домены наблюдались с помощью генерации второй гармоники в условиях фазового синхронизма. В принципе этот метод можно использовать для любого кристалла, в котором возможен фазовый синхронизм, для генерации второй гармоники для света с направлением распространения вблизи полярной оси. Интенсивность второй гармоники зависит от длины оптического взаимодействия в домене того или иного знака. При пересечении границы доменов нелинейный коэфициент второго порядка меняет знак, а вторая гармоника исчезает из-за сдвига фаз. Таким образом, области, содержащие доменные границы, оказываются более теными, чем соседние домены. Кроме выявления доменной структуры, генерацию второй гармоники можно использовать для измерения ширины очень малых доменов с периодической структурой.
- Электронная микроскопия. Оптические методы не применимы при размерах доменов менее 1 мкм. Просвечивающая электронная микроскопия позволяет исследовать только тонкие участки кристаллов, так что наблюдаемые эффекты характерны только для приповерхностных областей.
- Пироэлектрический метод. При нагревании сегнетоэлектрика спонтанная поляризация Ps изменяется, и на поверхности кристалла возникают свободные заряды, знак которых определяется ориентацией доменов. Изолирующий кристалл можно однородно нагреть и исследовать распределение заряда с помощью электронного пучка, как в пироэлектрическом видиконе, или с помощью заряженных частиц. Кристалл может так же локально нагреваться сканируемым лазерным пучком. Нанося на кристалл электроды перпендикулярно полярной оси, можно регистрировать электрический отклик и с помощью дисплея получать изображение доменной структуры.
- Химическое травление. Процесс химического травления можно рассматривать как некоторое взаимодействие между атомами кристалла и молекулами травителя. Скорость такого процесса пропорциональна концентрациям атомов кристалла и молекул травителя и должна зависеть от энергии активации. Для многих сегнетоэлектриков найдены химические травители, которые плавят положительные и отрицательные концы доменов с разной скоростью, выявляя тем самым доменную структуру. Основной недостаток метода травления заключается в том, что этот метод является разрушающим и медленным.
- Порошковые методы. В коллондальной суспензии заряженных частиц, некоторые частицы осаждаются предпочтительно либо на положительных, либо на отрицательных концах доменов. Например, сера и окись свинца Pb3O4 в гексане осаждаются соответственно на отрицательных и положительных концах доменов.
- Метод росы. Изобутиловый спирт, сконденсированный на поверхности триглицинсульфата, притягивается к доменным стенкам, что можно наблюдать в отраженном свете. Другим вариантом этого метода является селективная кристаллизация антрахинона на поверхности. Моорфологию доменов и их знак можно определить по картине кристаллизации.
- Метод жидких кристаллов. Было показано, что тонкий слой нематического жидкого кристалла p-n-амино-n-бутилбензол на поверхности сегнетоэлектрика выявляет 180-градусную доменную структуру при наблюдении на скрещенных поляризаторах. Предполагаемая схема выстраивания молекул жидкого кристалла по отношению к сегнетоэлектрическим доменам показана на рисунке.

По сравнению с методами 6-8 этот метод обладает таким преимуществом как скорость ( жидкий кристалл быстро реагирует на изменение доменной структуры), наряду с простотой и высоким разрешением.
- Рентгеновская топография. Аномальная десперсия рентгеновских лучей приводит к различию в интенсивности отражения от положительных и отрицательных доменов. Это различие можно сделать максимальным, если использовать длины волн, близкие к краю поглощения составляющих элементов. Современная топографическая техника позволяет исследовать кристаллы очень быстро.
- Ультрафиолетовая фотоэмиссия. Спектр фотоэмиссии кристалла зависит от кристаллографической ориеентации освещаемой поверхности. Так, например, а- и с-домены на поверхности сегнетоэлектрического перовскита можно наблюдать непосредственно по различию фотоэлектрического выхода для двух доменов. В принципе этот метод должен выявлять и 180-градусные домены в результате различия между положительными и отрицательными полярными поверхностями сегнетоэлектрика.
Подбор растворителя
Соляная кислота не взаимодействует с кристаллом

Азотная травит дефекты дислокации


Ортофосфорная трвавит поверхность и избирательно границы доменов.
Рис.13. Морфология поверхностей кристаллов в области доменов после травления Н3РО4.

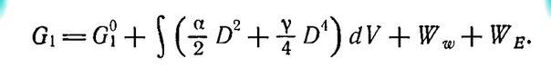
Свободная энергия доменов. Статистическую доменную структуру сегнетоэлектрика можно получить, минимизируя полную свободную энергию кристалла, включая энергию, связанную с поверхностью кристалла и доменными стенками.
Пренебрегая членами в степени ниже четвертой, напишем

Наличие доменов влияет на такие характеристики сегнетоэлектрика, как диэлектрическая проницаемость (d^2G1/dD^2)^-1 и теплоемкость -T(d^2G1/dT^2), и, конечно, на саму электрическую индукцию. При любых измерениях, поэтому необходимо либо учитывать вклад доменов в G1, либо использовать однодоменный кристалл. Мы вначале рассмотрим этот избыточный вклад в G1 и проведем минимизацию полной свободной энергии для специального случая.
Энергия деполяризации We зависит от геометрии кристалла и от конфигурации доменов на поверхности. Домены образуются в объеме кристалла для минимизации энергии деполяризации до того, как создается компенсация за счет свободных зарядов. Действительно, без образования доменов, энергия, связанная с поверхностью кристалла, может быть больше, чем энергия сегнетоэлектрического упорядочения, т.е. сегнетоэлектричество не могло бы существовать.
В общем случае, деполяризующее поле внутри сегнетоэлектрика пропорционально поляризации

где L деполяризующий фактор. Таким образом, энергия деполяризующего поля равна

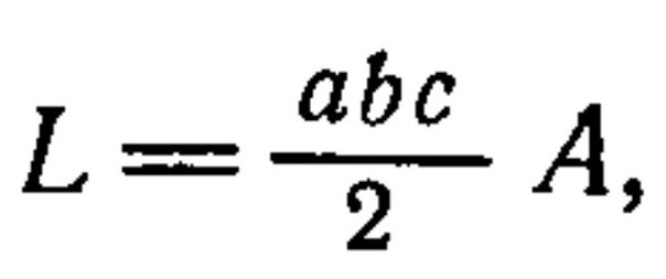
Фактор L = 1 только для тонкого кристалла с однородной поляризацией, перпендикулярной его поверхности. Для эллипсоида общего вида в отсутствие доменов деполяризующее поле однородно, и фактор L можно записать в виде

где А электрический интеграл, значение которого определяется осями эллипсоида a, b, c.
Для многодоменного кристалла вывод энергии We становится более сложным. Можно показать, что в случае простой периодической доменной структуры, показанной на рисунке 5, энергия We равна

где d ширина домена, t толщина кристалла, Po поляризация в центре домена, V объем кристалла и e* - некоторый коэффициентзависящий от диэлектрических постоянных сегнетоэлектрика.
Рис. 5


Для некоторых доменных конфигураций энергию We удобно рассчитывать с помощью выражения

где р1 и р2 полные плотности зарядов в объемах соответственно dt1 и dt2 на расстоянии r12.
Энергия доменных стенок Ww. Если энергия на единицу площади доменной стенки есть Сигма.ю то для доменной структуры на рисунке 5 энергия Ww есть

Минимизируя энергию Wk + Ww, получаем равновесную ширину доменов

где в качестве Po следует взять самосогласованное решение уравнения

Домены с большей шириной подавляются деполяризующим полем, меньшие домены не выгодны из-за возрастания энергии стенок. Как видно из выражения (7) ширина доменов изменяется квадратично при изменении толщины кристалла. Когда, при уменьшении толщины кристалла ширина домена приближается к толщине доменной стенки, энергия поляризации уже не может быть уменьшена за счет образования доменов, и сегнетоэлектричество в кристалле перестает существовать.
Влияние свободных носителей. Свободные носители играют важную роль в сегнетоэлектриках. В некоторых случаях свободные носители компенсируют деполяяризующие поля за счет электропроводности, и это может способствовать формированию однодоменных образцов. Чаще всего подвижность доменных стенок достаточно мала для того, чтобы заметным образом изменить доменную структуру, и дефекты или внутренние напряжения могут стабилизировать доменную конфигурацию. При нагревании многодоменного кристалла выше температуры перехода неоднородное распределение свободного заряда, которое компенсировало поляризацию Ра ниже температуры Кюри, приводит к возникновению сильных электриических полей выше температуры Кюри в течение времени диэлектрической релаксации. Например, если Ра порядка 10 мкКл/см^2, а диэлектрическая проницаемость ~ 10^2, то возникает электрическое поле Е ~ 10^6 В/см! Такие поля могут индуцировать сегнетоэлектрические свойства выше температуры Тс. Если кристалл снова охладить ниже Тс, то пространственный заряд будет способствовать образованию первоначальной доменной структуры.
Кристалы CeAlO3