Проектирование асинхронного двигателя с фазным ротором
МИНОБРНАУКИ РОССИИ
Федеральное государственное бюджетное образовательное учреждение высшего профессионального образования
«Вологодский государственный технический университет»
(ВоГУ)
Кафедра: «Электрооборудование и электрохозяйство предприятий, организаций и учреждений»
Курсовой проект по дисциплине: «Электрические машины»
На тему: «Проектирование асинхронного двигателя с фазным ротором»
Выполнил: Онисов Ю.А
Группа: ЗЭО-25у
Проверил: Дилигенская Н.М
Оценка:_________________
Череповец
2014г
Содержание.
- Общая часть.
- Перспектива совершенствования технологии проектирования электрических машин.
- Расчетная часть.
- Выбор главных размеров.
- Расчёт зубцовой зоны и обмотки статора.
- Расчет магнитной цепи.
- Расчет параметров рабочих режимов.
- Расчет потерь.
- Расчёт рабочих характеристик.
- Конструктивная часть.
- Заключение.
- Список литературы.
- Графическая часть.
- Общая часть.
- Перспектива совершенствования технологии проектирования электрических машин.
Существуют две тенденции в применении электронных вычислительных машин при проектировании электрических машин: в большинстве работ вычислительная техника применяется для расчетов отдельных частей или всей электрической машины по существующим методикам. Вторая связана с созданием нового подхода к расчету, когда в основе расчета лежат дифференциальные уравнения, описывающие процессы электромеханического преобразования энергии.
Первый путь дает ускорение вычислений, обеспечивает перебор многих вариантов. Однако полуэмпирические формулы, положенные в основе расчета, снижают эффективность применения вычислительных машин.
Второй путь позволяет строго подойти к оптимизации, решать более сложные задачи, но он еще не достаточно разработан. Необходимо развивать оба направления, стремиться к оптимизации электрической машины, работающей в электромеханической системе при изменении напряжений, частоты, окружающих условий, с учетом работы элементов системы и динамических процессов.
В настоящее время при проектировании электрических машин применяются как вычислительные ЭВМ, так и аналоговые вычислительные машины АВМ. При решении задач динамики предпочтительно применять АВМ, они просты в обслуживании и имеют простые выводные устройства. Недостатками АВМ являются ограниченный оббьем решаемой задачи и малая универсальность. Цифровые ЭВМ универсальны, оббьем решаемой задачи может быть значительно большим, на АВМ точность определяется принятым расчётным способом. Вследствие технологической сложности и универсальности ЭВМ сосредотачиваются на вычислительных центрах. Чтобы избежать трудоёмкого программирования и связанной с этим длительной отладки программы необходимо стремиться к созданию универсальных машин. Цифровые ЭВМ автоматизации инженерных расчетов к существенному повышению технико-экономических показателей электрических машин, обеспечивая качественный сдвиг в решении задач оптимального проектирования.
Анализ приведенных затрат применительно к асинхронным двигателям единой серии до 10 кВт показал, что примерно 70% затрат составляют текущие расходы на их эксплуатацию, на долю капиталовложений
приходится 15 -20 % всех затрат. Следовательно, повышение эффективности машин, прежде всего, связано со снижением эксплуатационных расходов. Первоочередное здесь имеют повышение надежности в работе машин и улучшение их энергетических показателей. При этом повышение КПД экономически более выгодно, чем повышение .
Повышение надежности и улучшение КПД должны достигать без заветного увеличения затрат на изготовление электрической машины. Сокращение расходов на электротехническую сталь и обмоточные провода может дать существенное уменьшение себестоимости электрической машины.
Хотя основная заработная плата 5 -8 % себестоимости, снижение трудоёмкости механических и обмоточно изолировочных работ имеет важное значение. В связи с увеличением выпуска электрических машин и недостаткам рабочей силы снижение трудоёмкости настолько важно, что серии ЧА пошли на некоторое снижение энергетических показателей, увеличивая размеры числа пазов для возможности машинной намотки обмотки.
Проектирование электрической машины сводится к многократному расчету зависимостей между основными показателями , заданных в виде систем и формул, эмпирических коэффициентов, графических зависимостей, которые можно рассматривать как уравнение проектирования.
Оптимальное проектирование электрических машин может представляться как поиск оптимальных параметров путём решений этой системы уравнений.
Сложность алгоритма расчета затрудняет задачу оптимизации.
Несмотря на широкое применение вычислительных машин оптимальные варианты машины иногда выбирается на основании опыта и интуиции проектировщика.
Выбор критерия оптимальности зависит от назначения электрической машины и предъявляемых к ней требовании. Этот критерий широко применялся в СССР и за рубежом. Приведенные затраты на электрическую машину в процессе производства и эксплуатации являются обобщающим экономическим показателем, включающим основные экономические эквиваленты основных экономических характеристик.
- Расчётная часть.
- Расчёт главных размеров.
Основные технологические данные, необходимые для расчёта, приведенные в задании:
Мощность двигателя Р2 = 140 кВт
Номинальное напряжение статора U = 220/380 В
Число пар полюсов 2р = 4
Конструктивное исполнение IP44
Климатическое исполнение УЗ
Способ охлаждения IC 0141
Класс нагрева изоляции F
Высоту оси вращения, требуемую для расчетов, предварительно определяем по рис. 9.18б для заданных Р2 2р, находим приблизительное значение n = 330.Из ряда высот осей вращения, таблица 9.8 принимаем ближайшее к предельно найденному меньшему стандартному значению n = 315 мм.
Внешний диаметр сердечника статора двигателя в зависимости от высоты оси вращения определяется по таблице 9.8 Dа =0.59 м.
Внутренний диаметр статора D находиться по эмпирической зависимости:
D = KD * Da
Где: KD коэффициент характеризующий отношение внутренних и внешних диаметров сердечников статора при различных числах полюсов, находиться по таблице 9.9 и равен 0,72
D = 0, 72 * 0, 59 = 0,425
Далее находим полюсное давление:
=ПD / 2P
Где: - полюсное давление, м
=(3,14 *0,425)/6 =0,222
Расчётную мощность:
P = P2 *KE / ( *cos )
Где: P расчётная мощность, ВА
КЕ отношение ЭДС обмотки статора к номинальному напряжению, определяется по рисунку 9.20, равна 0,98 , - КПД, определяется по рисунку 9,21, равен 0,9.
P = 95,5
Предварительный выбор электромагнитных нагрузок проводится особенно тщательно, так как они определяют расчётную длину сердечника и характеристики машины. Находятся по рисунку 9.23, А = 51 103 А/ м, Вб=0,84Тл
Коэффициент полюсного перекрещения аб и коэффициент формы поля Кв определяются степенью упрощения кривой поля в зазоре, возникающей при насыщении зубцов статора и ротора. Предварительно принимаем равными:
аб = = 0,64 ,
КВ= = 1,11 ,
Предварительное значение обмоточного коэффициента выбираем в зависимости от типа обмотки статора, КОб.1 = 0,92.
Синхронная угловая частота двигателя рассчитывается по формуле:
= 21
Где; - синхронная угловая частота, рад/с.
1- частота питающей сети, Гц.
Р число полюсов.
= 2= 78,5
Рассчитываем длину магнитопровода, м.
Где: б - длина магнитопровода, м.
б = = 135,5
Критерием правильности выбора главных размеров D и б является отношение:
,
Где; - критерий правильности выбора главных размеров.

входит в промежуток, заданный на рисунке 9.25б, значит размеры выбраны, правильно. Окончательно устанавливаем: Da =0.59 , D =0.425 , = б =135.5
2.2 Расчет зубцовой зоны и обмотки статора.
Число витков фазы обмотки статора должно быть таким, чтобы линейная нагрузка двигателя и индукция в воздушном зазоре как можно более близко совпадали с их значениями, принятыми предварительно при выборе главных размеров, а число пазов статора обеспечивало достаточно равномерное распределение катушек обмотки. Чтобы выполнить эти условия в начале выбирают предварительно зубцовое деление tz1, в зависимости от типа обмотки, номинального напряжения и полюсного деления машины, по таблице 9.11, выбираем промежуток 0,017 0,022.
Возможное число пазов статора: Z1min Z1max =
Где: Z1min - минимальное число зубцов статора.
Z1max - максимальное число зубцов статора.
D внутренний диаметр статора.
tz1min минимальное деление статора.
tz1max максимальное деление статора.
Z1min Z1max =
Окончательное число пазов статора Z1 следует выбирать в полученных пределах с учётом условий, налагаемых требованиями симметрии обмотки, и желательно для проектируемой машины, числа пазов на полюс и фазу q1. Принимаю Z1 = 72, тогда:
q1 =
Где: q1 число полюсов на фазу.
2p число пар полюсов.
m число фаз.
q1 =
Окончательное значение tz1 определяется по формуле:
tz1 =
Где: tz1 зубцовое деление.
Находим номинальный ток обмотки статора:
1ном =
Где: 1ном - номинальный ток обмотки статора.
m число фаз.
- номинальное напряжение обмотки статора.
КПД, определяется по рисунку 9.21, равен 0,92.
коэффициент мощности определяется по рисунку 9,21, равен 0,9.
1ном = 137,85
Число эффективных проводников в пазу должно быть целым числом, поэтому приходится округлить до ближайшего целого или четного числа:
UІ1 =
Где: UІ1 число проводников в пазу.
А линейная нагрузка. А/м
UІ1 = = 68,77
Тогда:
Un =
Где: n окончательное число проводников в пазу.
а число параллельных ветвей обмотки.
Un =
С учетом условий, изложенных выше, принимаем следующие значения: а =4, Un = 220.
Окончательное число витков в фазе обмотки:

Где: окончательное число витков в фазе.
m число фаз.

Окончательное значение линейной нагрузки:
А =
Где: А значение линейной нагрузки.
А =
Полученное число линейной нагрузки входит в промежуток заданный на рисунке 9.19.
Схему обмотки статора выбирают в зависимости от мощности машины, ориентируясь на конструкцию и предполагаемую технологию укладки обмотки в пазы.
Затем рассчитывается обмоточный коэффициент, для нахождения которого по таблице 3 -13 определяем Кр = 0,958 и по рисунку 3 11 значение Кц, предварительно вычислив расчетное укорочение обмоток по формуле:
В =
Где: В коэффициент укорочения обмоток.
В =
По графику Кц = 0,966
Коб = Кр Кц
Где: Коб обмоточный коэффициент.
Коб = 0,958 0,966 = 0,925
Уточняем значение потока:

Где: Ф магнитный поток.
отношение ЭДС обмотки статора к номинальному напряжению, определяется по рисунку 9.20, равно 0,98.
- номинальное напряжение обмотки статора.
коэффициент формы поля.
1 частота питающей сети.

Определяем индукцию в воздушном зазоре:
Вб =
Где: Вб индукция в воздушном зазоре.
Р число полюсов.
D внутренний диаметр статора.
длина магнитопровода.
Вб =
Проверили, что бы полученное значение Вб входило в значение на рисунке 9.23.
Переходим к расчету сечения эффективного проводника и обмоточного провода. Сечение проводника определяют исходя из тока одной параллельной ветви и допустимой плотности тока в обмотке:
qэф1 =
Где: qэф1 сечение эффективных проводников.
1ном номинальный ток обмотки статора.
а число параллельных ветвей обмотки.
плотность тока.
С точки зрения повышения использования активных материалов плотность тока должна быть как можно, но при этом возрастают потери в меди обмотки. Рассчитывается по формуле: =
Где: А - произведение линейной нагрузки на плотность тока, находится по формуле, рисунок 9,27d и равно 255 106.
А значение линейной нагрузки.
= =5,4 106
Находим значение эффективного сечения проводника:
qэф1 =
Значит qэф1 = .Обмотку выполняем из подразделенных катушек, провод прямоугольный пэл = 2 , предварительно:
qэл1 =
Где: qэл1 предварительное сечение одного проводника, мм.
qэл1 =
Проводники располагаются на одном уровне по высоте паза.
Уточняем значение плотности тока:

Где: - плотность тока, А/м.

По одной и той же площади поперечного сечения прямоугольных проводников их линейные размеры могут быть различны, поэтому окончательный выбор обмоточного провода производят одновременно с расчетом размеров зубцовой зоны.
Минимальная ширина зубца:
Bz1min =
Где: Bz1min - минимальная ширина зубца, м.
- индукция в воздушном зазоре, Тл.
- зубцовое деление.
- длина магнитопровода, м.
допустимое значение индукции в зубцовой зоне статора при открытых пазах, находится по таблице 9.12 и равна 1,9 Тл.
длина статора, м.
- коэффициент заполнения сталью магнитопроводов статора и ротора, равен 0,95, находится по таблице 9,13.
Bz1min = = 0,010591
Размеры паза вначале определяют без учета размеров и числа проводников обмотки, исходя только из допустимых значений индукции в зубцах статора , предварительно:
bn = tz1 bz1min
Где: bn ширина паза, м.
bn = 0,01853 0,010591 = 0,00794
Эффективный проводник обмотки состоит из двух элементарных проводников, поэтому ширина каждого из них будет равна:
bІэл = 0,5 (bn 2 bиз - bn)
Где: bІэл ширина проводника, м.
bиз толщина изоляции провода, равна 1,1 мм, по 3,9м.
bn толщина изоляции поза, равна 0,3 мм, по 9,14 м.
bІэл = 0,5 (0,00794 - 20,0011 0,0003) = 0,004532
По таблице П 29 выбираем провод с параметрами: номинальный размер проволоки по большей стороне b = 3,75 мм, расчетное сечение проволоки qэл= 7,13 мм2, номинальный размер проволоки по меньшей стороне а = 2 мм.
Выбираем марку провода ПЭТ -155 с параметрами:
Максимальная толщина изоляции 0,11 мм.
qэф1 = qэл пэл
qэф1 =7,13 2 = 14,26 мм2
Составляем следующую таблицу:
Таблица 1. Заполнение паза статора.
|
Наименование. |
Размер, мм. |
|
|
По ширине паза. |
По высоте паза. |
|
|
Обмоточный провод изолированный 1,8 3,55 |
3,75 2 = 7,5 |
2 20 = 40 |
|
Пазовая изоляция и допуск на укладку. |
2,4 |
4,61 |
|
Всего на паз без клина. |
9,9 |
44,61 |
Рассчитываем паз, полуоткрытый трапецеидальный.
Рисунок 2.2.1 паз статора.
.
Принимаем: hш = 0,8 мм
hк = 3,2 мм.
Рассчитываем высоту паза:
ha =
Где: ha высота ярма статора, м.
Ф магнитный поток, Вб.
индукция в зубцах статора, по таблице 9,12 равна 1,8 Тл.
длина статора, м.
- коэффициент заполнения сердечника статора, по таблице 9,13 равен 0,95.
ha =
Паз: hп =
Где: ha высота паза, м.
внешний диаметр статора, м.
внутренний диаметр статора, м.
hп = 0,02= 0,062
Предварительная высота паза 62 мм уточняем по таблице заполнения паза и высоте клина: 62 + 3,2 + 0,8 = 66, окончательная высота паза.
Рассчитываем расстояние между пазами:
bzmin =
Где: bzmin расстояние верхней части, мм.
Z число пазов.
bzmin = 3,140,018
Расстояние внизу:
bzmах =
Где: bzmах расстояние в нижней части, м.
bzmах =3,14* = 0,074
Ширина шлица паза:
bш1 = 0,5 bn + 1,3
Где: bш1 ширина шлица паза, м.
bш1 = 0,50,00794+1,3+0,0013= 0,00527
Уточняем значение плотности тока.
J1 =
где: J1 - плотность тока, А/m
a - число параллельных ветвей обмотки
J1 = = 3,82
Воздушный зазор определяется по рис.9.31 и равен = мм
Расчёт ротора
Для нормальной работы асинхронного двигателя необходимо, чтобы средняя обмотка ротора имела столько же фаз и столько же полюсов, сколько их имеет обмотка статора: m2=m1, p2=p1
Число пазов ротора должно отличаться от числа пазов статора. При расчёте задают число пазов на полюс и фазу ротора:
q2 = q1 К
где: q2 - число пазов на полюс
К - коэффициент равный 1 или
q2 =3 + 1=4
Тогда число пазов:
Z2 =
Где: Z2 - число пазов ротора
Z1 - число пазов статора
Z2 =
Диаметр ротора:
D2= D - 2
Где: D2 - диаметр ротора, м
D2 = 0,425 2 0,0009 = 0,0023
Зубцовое деление:
tz2 =
Где: tz2 - зубцовое деление ротора
tz2 = 0,025
Ротор выполняется с двухслойной стержневой обмоткой.
W2 = 2p2 q2
Где: W2 - число витков в обмотке ротора
W2 = 44 =16
Напряжение в контактных кольцах ротора при соединении обмотки ротора в звезду:
UK.K. = Uном
Где: Uk.k.- напряжение на контактных пальцах ротора, В
Uнам - номинальное напряжение, В
W1 - число обмотки витков статора
UK.K. = 380
Обмоточный коэффициент ротора:
Коб.2 =
Где: Коб2 - обмоточный коэффициент обмотки ротора
N - числитель неправильной дроби, равен b при q=5
m2 - число фаз обмотки ротора
Коб.2 = = 0,964
Находим коэффициент привидения токов:
V1 =
Где: V1 - коэффициент привидения токов для двигателей с фазным ротором
m1-число фаз обмотки статора
Коб1- обмоточный коэффициент обмотки статора
V1 =
Предварительное значение тока:
2 = K1V1
Где:2 - ток обмотки ротора, А
К1-коэффициент влияния тока намагничивания на отношение
1/2 равен 0.724
2 =0,904 202,15
Предварительно принимаем плотность тока ротора из промежутка (5…6,5) 106 А/м2,
J2=5,7106 А/м2
Сечение эффективных проводников обмотки ротора:
qэф2 =
где: qэф2 - сечение эффективных проводников ,м2
qэф2 = 37,43 10-6
Принимаем прямоугольные полузакрытые пазы с узким шлицем. Ширину паза выбирают исходя из соотношений:
bn2 = 0,35 tz2
где: bn2 - ширина паза ротора, м
bn2 = 0,35 0,025 =0,008
Ширина проводника:
bэл2 = bn2 - 2bиз -
где: bэл2 - ширина проводника ротора, м
bиз - толщина изоляции провода, равна 1,7мм по 3,11м
bn -толщина изоляции паза, равна 0,3мм по 9,14м
bэл2 = 0,008 - 20,0017 0,0003 =0,0043
По таблице n-29 выбираем провод по толщине и сечению проводников: неизолированный провод b=3,28мм: а=16,8 мм: qэф=58,08мм3
составляем следующую таблицу:
Таблица 2. Заполнение паза ротора.
|
Наименование |
Размер, мм. |
|
|
По ширине паза |
По высоте паза |
|
|
Стержни обмотки - неизолированная медь |
3,28 |
16,82 = 33,6 |
|
Пазовая изоляция и допуск на укладку |
1,7 |
4 |
|
Всего на поз без клина |
4,98 |
37,6 |
Уточняем плотность паза в обмотке ротора:
J2 =
Где: J2 - плотность тока, А/м2
J2 = = 4,7 106
Высоту клиновой части паза при расчете расположения не рассчитывают.
Принимаем: hk=2,5мм, hш=1мм.
Высота паза:
hn2 = hк + hш + hоб
Где: hn2 - высота паза ротора, мм
hоб - высота обмотки, из таб.2.2.2 мм
hn2 = 2,5 + 1 + 37,6 = 41,1
Рисунок 2.2.2-паз ротора.
После предварительных расчетов необходимо уточнить размер зубца ротора в наиболее узком и наиболее широком сечении:
bzmin =
где: bzmin размер зубца в наиболее узком месте, м
D2 - диаметр ротора, м
Z2 - число пазов ротора.
bzmin =
Наибольшее расстояние:
bzmax = -
где: bzmax - размер зубца в наиболее широком месте, м
bzmax = 0,008 =0,007
Сердечник ротора выполняем с непосредственной посадкой на вал. Для улучшения охлаждения ротора и снижения его массы и момента инерции выполняют 12 аксиальных каналов в один ряд диаметром 30мм.
Диаметр вала:
DB = KB Da
Где:
DB-диаметр вала, м
КВ-коэффициент, находится по таблице 9.19 и равен 0.13
Da- внешний диаметр сердечника статора, м
DB = 0,23 0,59 = 0,132
Рисунок 2.2.3.-ротор двигателя в разрезе:
2.3 Расчет магнитной цепи.
Магнитопровод двигателя выполняем из стали марки 2312. Расчет магнитного напряжения воздушного зазора проводят на два полюса.
Предварительно находим:
1 =
Где: bш1 - ширина шлица паза статора, м
- воздушный зазор, м
= = 4,074
Коэффициент воздушного зазора статора:
Кб1 =
Где: К1 - коэффициент воздушного зазора статора.
Tz1 - зубцовое деление статора.
Кб1 =
Для ротора:
1 =
где: bш2 - ширина шлица паза ротора, м
- воздушный зазор, м
= = 2,031
Коэффициент воздушного зазора статора:
Кб2 =
Где: К2 - коэффициент воздушного зазора ротора.
tz2 - зубцовое деление ротора.
Кб2 =
Коэффициент воздушного зазора.
Кб = Кб1 Кб2
Где: Кб - коэффициент воздушного зазора.
Кб = 0,847 0,896 = 0,82
Магнитное напряжение воздушного зазора:
Fб =
Где: Fб - магнитное напряжение воздушного зазора, А
µ0 - магнитное напряжение 410-7Гн/м
Вб - индукция в воздушном зазоре ,Гн
Fб = 3186,3
Магнитная напряженность зубцовой зоны статора.
Расчётная ширина зубца, минимальное расстояние:
bz1min =
где: bz1min - минимальная ширина зубца ротора, м
D - внутренний диаметр статора, м
hш - высота паза над клином, м
hк - высота клина, м
Z1 - число зубцов статора, м
Bn - ширина зубцов паза, м
bz1min = 0,009
Максимальное расстояние:
bz1max =
где: bz1max - максимальная ширина зубца ротора, м
hn - высота паза, м
bz1max = 0,01192
Индукция в зубце:
Bz1min =
Где: Вz1min - индукция в наименьшей ширине зубца статора, Тл
б - длина магнитопровода , м
ст - длина статора, м
Кс1 - коэффициент заполнения сердечника статора стального, по таблице 9,13 равен 0,95
Bz1min =1,12
Bz1max =
Где: Вz1max - индукция в наибольшей ширине зубца статора, Тл
Bz1max =1,96
Находим среднее:
Bz1ср =
Где: Bz1ср - средняя индукция в зубце статора, Тл
Bz1ср =1,54
По расчетным индукциям в зубце находим, по таблице П1.10.,соответствующюу напряженность поля в сечении зубца.
= 2920 А/м
= 1240 А/м
=663 А/м
Расчетная напряженность всего поля:
Hz1 =
Где: Hz1 - напряженность поля в сечении зубца статора, А/м
Hz1 = 1423
Магнитное напряжение зубцовой зоны статора:
Fz1 = 2
Где: Fz1 - магнитная напряженность зубцов статора, А
hz1 - высота зубца, равная высоте паза, м
Fz1 = 2 = 126
Магнитная напряженность зубцовой зоны ротора:
Ширина зубца:
минимальная - bzmin = 0,00648 м
максимальная - bzmax = 0,009515 м
Индукция в зубце:
Bz2min =
Где: Вz2min - индукция в наибольшей ширине зубца ротора, Тл
Bz2min =1,42
Bz2max =
Где: Вz2max - индукция в наименьшей ширине зубца ротора, Тл
Bz2max =2,18
Находим среднее:
Bz2ср =
Где: Вz2ср - средняя индукция в зубце ротора, Тл
Bz2ср = 1,8
По расчетным индукциям в зубце находим, по таблице П1.10., соответствующую напряженность поля в сечении зубца.
Расчетная напряженность всего поля:
=9000 А/м
=2070 А/м
= 879 А/м
Hz2 =
Где: Нz2 - напряженность поля в сечении зубца ротора, А/м
Hz2 =
Магнитное напряжение зубцовой зоны ротора:
Fz2 = 2
Где: Fz2 - магнитная напряженность зубцов ротора, А
hz2 - высота зубца, равная высоте паза, м
Fz1 = 2 = 251,4
Далее находим коэффициент насыщения зубцовой зоны:
КZ = 1 +
Где: Кz - коэффициент насыщения зубцовой зоны
КZ = 1 + = 1,11
Магнитная напряженность ярма статора
Высота ярма:
ha =
где: ha- высота ярма статора, м
Da - внешний диаметр статора, м
D - внутренний диаметр статора, м
hn1 - высота паза статора, м
ha = = 0,039
Длина средней магнитной силовой линии в ярме статора:
La =
Где: La - длина средней магнитной силовой линии в ярме статора, м
Zр - число пар полюсов
La = 0,43
Индукция ярма статора:
Ва =
Где: Ва - индукция ярма статора, Тл
Ф - магнитный поток, Вб
Ва =2,14
По таблице П1.10 находим соответствующую напряженность:
На=857/A
Магнитное напряжение ярма статора:
Fa = LaHa
Где:Fa-магнитное напряжение ярма статора, А
Fa = 0,43 857 = 415,23
Магнитная напряженность ярма ротора
Высота ярма ротора:
hj =
где: hj - высота ярма ротора, м
D2 - диаметр ротора, м
Dj - внутренний диаметр ротора, равен диаметру вала, м
hn2 - высота паза ротора, м
hj =
Длина средней магнитной силовой линии в ярме ротора:
Lj =
Где: Lj - длина средней магнитной силовой линии в ярме ротора, м
2р - число пар полюсов
Lj = 0,0112
Индукция ярма ротора:
Bj =
Где: Вj - индукция ярма ротора, Тл
Ф - магнитный поток, Вб
Bj = 0,95
По таблице П1.10 находим соответствующую напряженность: Hj=282А/м .
Магнитное напряжение ротора:
Fj = Lj Hj
Где: Fj - магнитное напряжение ярма ротора, А
Fj = 0,0112 282 = 3,15
Суммарное магнитное напряжение цепи на два полюса:
Fц = Fб + Fz1 + Fz2 + Fа + Fj
Где: Fц - суммарное магнитное напряжение цепи, А
Fц = 3187,12+126+251,4+415,23+3,15=3982,9
Коэффициент насыщения магнитной цепи:
Км =
Где: Кµ - коэффициент насыщения магнитной цепи
Км =1,24
Намагничивающий ток:
=
Где: Iµ - намагничивающий ток, А
Р - число полюсов
m1 - число фаз статора
W1 - число витков обмотки статора
= 86,7
Величина намагничивающего тока в долях от номинального тока двигателя:
=
Где: - намагничивающий ток в долях от номинального.
1ном номинальный ток двигателя, А.
= = 0,29
2.4. Расчет параметров рабочих режимов.
2.4 Расчет параметров рабочих режимов
Параметры асинхронной машины называют активные и индуктивные сопротивления обмоток статора, ротора или приведенное к числу витков обмотки статора сопротивления ротора, сопротивления взаимной индукции и расчётное сопротивление, введением которого влияние потерь в стали статора на характеристики двигателя.
Активное сопротивление обмотки статора.
Предварительно находим:

где:b - ширина меди катушки в лобовой части, равная 2bэл=20,00325=0,0065 м

Коэффициент лобовой части обмотки:

Где: Кл1 - коэффициент лобовой части обмотки

Средняя ширина катушки:

где: bкт - средняя ширина катушки, м
D - внешний диаметр статора, м
hn1 - высота паза статора, м
2р- число пар полюсов,
В-ускорение шага обмотки статора

Длина лобовой части обмотки статора:

где: л1 - длина лобовой части обмотки, м
В-вылет прямолинейной части катушек из паза,по таблице 9,24 равно 0,025 м

Средняя длина витка:

где: ср1 - средняя длина витка, м

Общая длина проводимой фазы:

Где: L1 - общая длина проводимой обмотки статора, м
W1 = число витков обмотки статора

По найденным параметрам находим активное сопротивление обмотки статора:

где: r1 активное сопротивление обмотки статора, Ом
Kr - коэффициент увеличения активного сопротивления обмотки фазы статора от действия эффекта вытеснения тока, равен 1 для асинхронных двигателей.
Р115-удельное сопротивление материала обмотки при заданной температуре, Ом/v
qэф- площадь поперечного сечения элементарного проводника
а1-число параллельных ветвей
0,03
Вылет лобовых частей обмотки статора:
Предварительно находим:

Где: Квыл - коэффициент вылета обмотки статора

По данным расчета находим:

где: выл1 - вылет лобовой части обмотки статора, м

Активное сопротивление обмотки ротора:
Предварительно находим:

где: b2 - ширина меди катушки в лобовой части, равная 3.28 или
S2 - допустимое расстояние между медью проводников соседних катушек по таблице 9,25 равно 1,710-3м
Tz2 - зубцовое деление ротора, м

Коэффициент лобовой части обмотки:

Где: Кл2 - коэффициент лобовой части обмотки

Средняя ширина катушки:

где: bкт - средняя ширина катушки, м
D2 - диаметр ротора, м
hn2 - высота паза ротора, м
2р - число пар полюсов

Длина лобовой части обмотки статора:

где: л2 - длина лобовой части обмотки, м
В - вылет прямолинейной части катушек из паза, по таблице 9.24 равно 0.05 м

Средняя длина витка:

где: ср2 - средняя длина витка:

Общая длина проводников фазы:

Где: L2 - общая длина проводников обмотки ротора, м
w2 - число витков обмотки ротора

По найденным параметрам находим активное сопротивление обмотки статора:

где: r2 - активное сопротивление обмотки ротора, Ом
KR - коэффициент увеличения активного сопротивления обмотки фазы ротора от действия эффекта вытеснения тока, равен 1 для асинхронных двигателей
2 - удельное сопротивление материала обмотки при заданной температуре, Ом/м
qэф2 - площадь поперечного сечения элементарного проводника, м2
а2 - число параллельных ветвей
0,01
Приводим активное сопротивление ротора к числу витков первичной обмотки.
Для этого предварительно рассчитываем:

Где: коэффициент приведения сопротивлений обмотки ротора.
число фаз обмотки статора.
- число фаз обмотки статора.
- число витков обмотки статора.
- число витков обмотки статора.
- обмоточный коэффициент статора.
- обмоточный коэффициент статора.

Активное сопротивление ротора, приведенное к числу витков первичной обмотки:

Где: - сопротивление обмотки ротора приведенное к числу витков статора, Ом.

Сопротивление обмотки ротора:

Где: - сопротивление ротора, Ом.

Вылет лобовых частей обмотки статора:
Предварительно находим:

Где: Квыл - коэффициент вылета обмотки ротора

По данным расчета находим:

где: выл1 - вылет лобовой части обмотки ротора, м

Индуктивное сопротивление статора
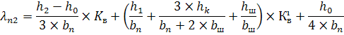
Предварительно находим следующие параметры коэффициент магнитной проводимости пазового рассеяния:

Где: - коэффициент магнитной проводимости пазового рассеяния
h0 - расстояние между витками, равно 0,0014 м
hk - высота клина, м
h1 - расстояние от витка до клина, равно 0,0007 м
h2 - высота паза, равна 0,0416 м
hш - высота паза над клином , равна 0,0008 м
bш - ширина проема паза, м
bn - ширина паза, м
Кв - коэффициент равный 0,906
Кв - коэффициент равный 0,875

Коэффициент магнитной проводимости лобового рассеяния:

Где: - Коэффициент магнитной проводимости лобового рассеяния
q1 - число пазов на полюс и фазу, равно 4
б - длина статора, м.

Коэффициент магнитной проводимости дифференциального рассеяния:
Рассчитываем коэффициент.

Где: Е - коэффициент магнитной проводимости дифференциального рассеяния.
К- коэффициент по рис. 9.51 равный 0,0035
Z - коэффициент по рис. 9.51 равный 0.125

Коэффициент магнитной проводимости дифференциального рассеяния:

Где: - коэффициент магнитной проводимости диф. рассеяния
-воздушный зазор , м

Индуктивное сопротивление обмотки статора:

Где: X1 - индуктивное сопротивление статора.
f - частота питающей силы, Гц.
р1-число полюсов.

Индуктивное сопротивление обмотки статора приведённое к числу обмотки витков:

Где: Х1- индуктивное сопротивление обмотки статора приведённое к числу витков обмотки.
I1ном - номинальный ток статора, А
U1ном - номинальное напряжение статора, В

Индуктивное сопротивление ротора:
Предварительно находим следующие параметры:
Коэффициент магнитной проводимости пазового рассеяния:

Где:
л2- коэффициент магнитной проводимости пазового рассеяния
h0-расстояние между витками, равно 0,0016 м
hk- высота клина, м
h1- расстояние от витка до клина, равно 0,0012 м
h2-высота паза , равна 0,0411 м
hш- высота паза над клином, равна 0,001 м
bш- ширина проёма паза, м
bn- ширина паза, м
Кв- коэффициент равный 1
Кв коэффициент равный 1

Коэффициент магнитной проводимости лобового рассеяния:

Где: - коэффициент магнитной проводимости лобового рассеяния:
q2 - число пазов на полюс и фазу, равное 5
б - длина ротора, м

Коэффициент магнитной проводимости дифференциального рассеяния:
Рассчитываем коэффициенты:

Где: Е - коэффициент
Z - коэффициент на рис. 9.51 равен 0.12

Коэффициент магнитной проводимости дифференциального рассеяния:

Где: - коэффициент магнитной проводимости дифференциального рассеяния.
-воздушный зазор, м.

Индуктивное сопротивление обмотки ротора:

Где: Х2 - индуктивное сопротивление ротора
f - частота питающей сети, Гц
р2 - число полюсов

Индуктивное сопротивление обмотки статора, приведенное к числу витков обмотки:

Где: Х2 - индуктивное сопротивление обмотки ротора

Приводим к числу витков:

Где: Х2 - индуктивное сопротивление обмотки статора приведённое к числу витков обмотки.

2.5. Расчет потерь.
Потери в асинхронных машинах подразделяются на потери в стали, (основные и добавочные), электрические, вентиляционные, механические и добавочные при нагрузке.
Основные потери в стали рассчитывают только в сердечнике статора, так как частота перемагничивания ротора в режимах близких к номинальному, очень мала и потери в стали ротора даже при больших индукциях не значительны.
Наибольшими потерями в пусковых режимах являются электрические потери в обмотках. Они во много раз превышают потери номинального режима, поэтому пренебрежение потерями в стали ротора при больших скольжениях не вносит сколько нибудь заметной погрешности в расчетах.
Основные потери в стали статора.
Предварительно находим:
ma =
Где: ma - масса стали ярма, кг.
- внешний диаметр сердечника, м.
- высота зубца статора, м.
- длина статора, м.
- коэффициент заполнения сердечника статора сталью по таблице 9.13 равен 0,95.
- удельная масса стали, равная7,8 103 кг/м3.
ma ==120
Средняя ширина зубца статора:

Где: средняя ширина зубца, м.
максимальная ширина зубца, м.
минимальная ширина зубца, м.

Масса стали зубцов статора:

Где: - масса стали зубцов, кг.
- число зубцов статора
- высота зубца статора, м.
5
Потери в стали статора:

Где: основные потери в стали статора, Вт.
удельные потери при индукции 1Тл и частоте перемагничивания 50 Гц, для стали 2312 равны 1,75 Вт/кг.
коэффициент влияния на потери в стали неравномерности распределения потока, равен 1,6.
коэффициент влияния на потери в стали технологических факторов, равен 1,8.
- индукция в ярме статора, Тл.
средняя индукция в зубцах статора, Тл.

Добавочные потери в стали.
Полные поверхностные потери ротора.
Предварительно находим:

Где: амплитуда пульсаций индукции в воздушном зазоре над коронками зубцов ротора, Тл.
коэффициент, находится по рис. 9.53 равен 0,36.
коэффициент воздушного зазора.
индукция в воздушном зазоре, Тл.

Удельные поверхностные потери, приходятся на 1м2 поверхности головок зубцов ротора:

Где: - удельные поверхностные потери ротора, Вт.
- коэффициент учитывающий влияние обработки поверхности головок зубцов ротора на удельные потери, принимаем равным 1,8.
число зубцов ротора.
- частота вращения ротора, об/мин.
- зубцовое деление ротора.

Полные поверхностные потери:

Где: - полные поверхностные потери ротор, Вт.
- ширина шлица паза, м.
- длина статора, м.

Пульсационные потери в зубцах ротора:
Предварительно находим:

Где: средняя ширина зубца ротора, м.
максимальная ширина зубца, м.
минимальная ширина зубца, м.

Масса зубцов ротора:

Где: - масса стали зубцов ротора, кг.
- высота зубца ротора, м.

Амплитуда пульсации индукции в среднем сечении зубцов:

Где:

Потери от пульсаций в зубцах ротора:

Где: Рпул2 - потери от пульсаций в зубцах ротора, Вт.

Добавочные потери в статоре:

Где: Рст.доб. суммарные добавочные потери в статоре, Вт.

Потери в статоре:

Где: Рст - потери в статоре, Вт.

Механические и вентиляционные потери:

Где: Рмех механические потери в двигателе, Вт.
- полюсное деление.
nк число радиальных вентиляционных каналов, равно 68,2.

Потери на трение щеток о контактные кольца.
Предварительно выбираем и проверяем щетки:
По таблице п4.2. выбираем щетки тип МГ с параметрами:
- давление на контактной поверхности щеток щ = 20 103 Па.
- коэффициент трения щеток о контактные кольца Ктр= 0,16.
- допустимая плотность тока Jщ.доп. = 20А/см2.
- падение напряжения Uщ = 0,2 В.
- Линейная скорость поверхности контактных колец Vк.доп. = 20м/с.
Площадь щеток необходимая на 1 кольцо:

Где: - площадь щеток на одно кольцо, см.
- ток ротора, А.

По таблице п4.1 выбираем размеры щеток: щ = 25мм; bщ = 20мм.
Необходимое количество щеток:
nщ =
Где: nщ количество щеток на одно кольцо.
nщ =
Уточняем плотность тока под щеткой:

Где: - плотность тока, А/см2

Принимаем диаметр кольца Dк=0,2м, тогда:

Где: VК линейная скорость поверхности контактных колец, м/с.

Потери на трение щеток о контактные кольца:

Где: Ртр.щ. - потери на трение щеток о контактные кольца, Вт.

Находим общую сумму потерь:

Где: Рn полные потери, Вт.

Добавочные потери при нагрузке асинхронных двигателей возникают за счет действия потоков рассеяния, пульсаций индукции в воздушном зазоре, ступенчатых кривых распределения МДС обмоток статора и ротора и ряда других причин.
Рассчитываем следующие параметры:
м
Где: Рэ1хх электрические потери в статоре при холостом ходе, Вт.
m число фаз обмотки.
м намагничивающий ток, А.
r1 сопротивление обмотки статора, Ом.
Активное составляющая тока холостого хода:
ХХА
Где: ХХА - активное составляющая тока холостого хода, А.
U1ном номинальное напряжение статора, В.
ХХА
Ток холостого хода:

Где: ХХ - ток холостого хода, А.
ХХР реактивная составляющая тока статора, равна намагничивающему току ХХР = м = 105,9

Коэффициент мощности для холостого хода:

Где: хх коэффициент мощности.

Активное сопротивление:

Где: r12 активное сопротивление, Ом.

Индуктивное сопротивление:

Где: Х12 - индуктивное сопротивление.
Х1 - индуктивное сопротивление ротора.

Индуктивное сопротивление, приведенное к числу витков обмотки.

Где: - индуктивное сопротивление, приведенное к числу витков обмотки.

2.6 Расчет рабочих характеристик.
Предварительно находим:
С1 =
Где: С1 комплексный коэффициент.
Х12 индуктивное сопротивление.
Х1 - индуктивное сопротивление ротора.
С1 =
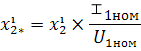
Ток синхронного холостого хода:

Где: - ток синхронного холостого хода, А.
основные потери в статоре, Вт.
- намагничивающий ток, А.
r1 активное сопротивление обмотки статора, Ом.
U1ном номинальное напряжение, В.

Расчет рабочих характеристик производим аналитическим методом. Находим следующие величины:
а = с21 = 1,0522 = 1,1 Ом.
b = 0 Ом.
а = с1 r1 = 1,052 0,0298 = 0,0312 Ом.
b = с1 (х1+с1 с1 х2) = 1,052 (0,154 + 1,052 0,126) = 0,3 Ом.
Выписываем данные необходимые для расчета характеристик:
- Рном = 160кВ номинальная мощность 35кВ.
- 2р = 8 число пар полюсов.
- U1ном = 380 В номинальное напряжение питания.
- = 292,78 А номинальный ток статора.
- r1 = 0,0298 Ом активное сопротивление обмотки статора.
- r2 = 0,045 Ом активное сопротивление обмотки статора, приведенное к числу витков обмотки.
- Р = 3332,3 Вт полные потери.
- = 3,6 А активная составляющая тока синхронного холостого хода.
- = 105,9 А реактивная составляющая тока синхронного холостого хода.
- С1 = 1,052 комплексный коэффициент.
- а = 1,1 Ом.
- b = 0 Ом.
- а = 0,0312 Ом.
- b = 0,296 Ом.
Таблица: 3 Рабочие характеристики.
|
№ |
Расчетная формула |
Размерность |
Скольжение |
||||||||
|
0,005 |
0,01 |
0,015 |
0,02 |
0,025 |
0,03 |
0,035 |
0,04 |
0,035 |
|||
|
1 |
|
Ом |
5,06 |
2,53 |
1,68 |
1,26 |
1,012 |
0,84 |
0,72 |
0,63 |
0,72 |
|
2 |
|
Ом |
5,08 |
2,55 |
1,71 |
1,29 |
1,04 |
0,867 |
0,74 |
0,65 |
0,74 |
|
3 |
|
Ом |
0,248 |
0,248 |
0,248 |
0,248 |
0,248 |
0,248 |
0,248 |
0,248 |
0,248 |
|
4 |
|
Ом |
5,09 |
2,57 |
1,73 |
1,31 |
1,06 |
0,9 |
0,79 |
0,7 |
0,79 |
|
5 |
|
А |
43,22 |
85,75 |
127,3 |
167,65 |
206,59 |
243,98 |
279,69 |
313,65 |
279,69 |
|
6 |
|
_ |
0,998 |
0,995 |
0,989 |
0,981 |
0,973 |
0,961 |
0,95 |
0,93 |
0,95 |
|
7 |
|
_ |
0,049 |
0,966 |
0,144 |
0,188 |
0,23 |
0,275 |
0,315 |
0,354 |
0,315 |
|
8 |
|
А |
46,22 |
88,39 |
129,04 |
167,68 |
203,96 |
237,6 |
268,5 |
296,45 |
268,5 |
|
9 |
|
А |
108 |
114,2 |
124,2 |
137,6 |
154,01 |
173 |
194,08 |
216,8 |
194,08 |
|
10 |
|
А |
117,5 |
144,4 |
179 |
216 |
255,5 |
293,9 |
331,3 |
367,3 |
331,3 |
|
11 |
|
А |
45,5 |
90,2 |
133,9 |
176,4 |
217,3 |
256,7 |
294,2 |
329,9 |
294,2 |
|
12 |
|
кВт |
30,5 |
58,3 |
85,16 |
110,7 |
134,6 |
156,8 |
177,2 |
195,6 |
177,20 |
|
13 |
|
кВт |
0,93 |
1,4 |
2,15 |
3,16 |
4,4 |
5,8 |
7,4 |
9,1 |
7,4 |
|
14 |
|
кВт |
0,14 |
0,56 |
1,24 |
2,15 |
3,26 |
4,5 |
5,9 |
7,5 |
5,9 |
|
15 |
|
кВт |
0,027 |
0,054 |
0,08 |
0,1 |
0,13 |
0,154 |
0,176 |
0,198 |
0,176 |
|
16 |
|
кВт |
0,15 |
0,29 |
0,43 |
0,55 |
0,67 |
0,78 |
0,88 |
0,98 |
0,88 |
|
17 |
|
кВт |
4,14 |
5,06 |
6,52 |
8,46 |
10,82 |
13,55 |
16,57 |
19,8 |
16,57 |
|
18 |
|
кВт |
26,37 |
53,28 |
78,65 |
102,2 |
123,8 |
143,3 |
160,6 |
175,8 |
160,6 |
|
19 |
|
_ |
0,86 |
0,91 |
0,92 |
0,92 |
0,92 |
0,91 |
0,91 |
0,9 |
0,91 |
|
20 |
|
_ |
0,31 |
0,61 |
0,72 |
0,77 |
0,8 |
0,8 |
0,81 |
0,81 |
0,81 |
По графику определяем номинальное скольжение S = 0,035 и производим расчет параметров в таблице 2.6.1.
Данные спроектированного асинхронного электродвигателя с фазным ротором:
- Номинальная мощность Р2 = 35 кВт.
- Номинальное напряжение 127/380 В.
- Число пар полюсов 2р=4.
- Коэффициент полезного действия = 0,91.
- Коэффициент мощности = 0,81.
Рисунок 2.6.1. Рабочие характеристики.
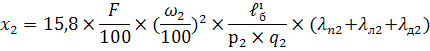
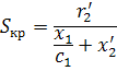
Для расчета максимального момента определяем критическое скольжение:

Где: критическое скольжение.
- активное сопротивление обмотки ротора.
индуктивное сопротивление обмотки статора.
- комплексный коэффициент.
- индуктивное сопротивление обмотки ротора.

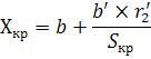
Находим следующие параметры для критического скольжения:

Где: активное сопротивление при критическом скольжении, Ом.

Индуктивное сопротивление:

Где: индуктивное сопротивление при критическом скольжении.

Ток статора:

Где: - ток статора при критическом скольжении, А.

Находим максимальный момент:

Где: - максимальный момент двигателя, Н/м.

3.Конструктивная часть.
Особенности работы двигателя при отключениях, обусловленных нарушением условий эксплуатации.
Электродвигатель не развивает номинальной частоты вращения:
- нарушение контакта в двух или трех фазах пускового реостата;
- нарушение электрической цепи между пусковым реостатом и обмоткой ротора .
У электродвигателя медленно увеличивается частота вращения:
- замыкания части обмотки ротора на заземленный корпус.
Ротор двигателя сильно греется даже при малой нагрузке:
- нарушение изоляции между контактными кольцами и валом ротора.
Двигатель не развивает частоты вращения под нагрузкой , гудит, ток статора «пульсирующий».
- нарушение контакта в местах пайки обмоток ротора, соединяющая её с контактными кольцами или в соединительных проводах.
Повышенное искрение между щетками и контактными кольцами:
- плохая притёртость или повышенная загрязненность щеток в обоймах щеткодержателей.
- биение контактных колец.
Конструкцию асинхронных двигателей с фазным ротором разрабатывают, начиная с вращающей части, а точнее с якоря современного электропривода.
Расчеты машины проведены в определенной последовательности. В начале, выбраны главные размеры и выполнен электромагнитный расчет, в процессе которого определяются обмоточные данные и размеры машины. Электромагнитные расчеты заканчиваются построением основных характеристик.
После окончания электромагнитные расчета должны быть выполнены в тонких линиях чертежи машины. В процессе конструирования проверяются выбранные ранее размерные соотношения деталей и узлов.
При проектировании отдельные части машины должны быть так конструированы и рассчитаны, чтобы при изготовлении машины трудоемкости и расход материалов были наименьшими, а при эксплуатации машина обладала наилучшими энергетическими показателями. При этом электромагнитная машина должна соответствовать условиям применения её в электроприводе.
При разработке конструкции машины следует обратиться к заводским чертежам аналогичных машин, близких по габаритам к заданной в проектном задании, каталогам на электрические машины. Помимо этого следует познакомиться с технологией изготовления основных деталей и сборки.
На базе машин общего назначения проектируют и изготовляют без значительного изменения конструкции модификации машин, обладающие несколько измененными характеристиками, которые рассчитаны, на удовлетворение требований отдельных видов электропривода. Например, у рассчитанного мной асинхронного двигателя модификациями могут двигатели с повышенным скольжением, многоскоростные двигатели с переключениями полюсов и т.п.
4 . Заключение.
Совершенствование двигателя может быть выполнено за счет использования современных материалов, типа пластмасс, которые уменьшают стоимость машины и ее вес. Асинхронные машины получили наиболее широкое применение в современных электрических установках и являются самым распространенным видом бесколлекторных электрических машин переменного тока. Как и любая электрическая машина обратима и может работать как в генераторном так и двигательном режиме.
Вологодский государственный технический университет
ЗАДАНИЕ
Для курсового проектирования
По дисциплине : «Электрические машины»
студента Ершова Максима Юрьевича.
2 курса ЗЭО-24у группы
Тема Спроектировать асинхронный двигатель с фазным ротором .
Исходные данные: Р2 = 80 кВт ; U = 220/380 В ; 2р = 4 ; .
Конструктивное исполнение IP44 .
Климатическое исполнение УЗ .
Способ охлаждения IC 0141 .
Класс нагрева изоляции F .
Курсовой проект должен быть выполнен в следующем объеме:
Расчетно пояснительная записка:
1. Общая часть.
1.1 Перспективы совершенствования электрических машин на основе
современных материалов.
1.2 Перспективы совершенствования технологии проектирования
электрических машин
2. Расчетная часть
Выбор главных размеров .
Расчет магнитной цепи .
Расчет пусковых хар-к .
Расчет рабочих хар-к .
3. Конструкторская часть.
Особенности работы двигателя при отклонения, обусловленных:
- Нестабильность работы источника питания;
- Отклонения от стандартных режимов питания;
- Нарушения технологии изготовления;
- Нарушение условий эксплуатации;
4. Заключение.
- выводы по использованию и применению спроектированного двигателя;
- возможное совершенствование спроектированного двигателя.
5. Список литературы.
Графическая часть проекта Сборочный чертеж двигателя .
Рекомендуемая литература И.П. Копылов «Проектирование эл. Машин» .
Дата выдачи задания 16.02.2013.
Срок выполнения проекта ________2013 .
Преподаватель-руководитель курсового
проектирования Дилигенская Н.М. .
Изм.
Лист
№ докум.
Подпись
Дата
Лист
2
КП.140400.ЗЭО-25у
Разраб.
Онисов Ю.А.
Руковод.
Дилигенская Н.М.
Реценз.
Н. Контр.
Утверд.
Проектирование асинхронного двигателя с фазным ротором
Лит.
Листов
ВоГУ
Изм.
Лист
№ докум.
Подпись
Дата
Лист
3
КП140400 ЗЭО-25у
Изм.
Лист
№ докум.
Подпись
Дата
Лист
4
КП140400 ЗЭО-25у
Изм.
Лист
№ докум.
Подпись
Дата
Лист
5
КП140400 ЗЭО-25у
Изм.
Лист
№ докум.
Подпись
Дата
Лист
6
КП140400 ЗЭО-25у
Изм.
Лист
докум.
Подпись
Дата
Лист
7
КП140400 ЗЭО-25у
Изм.
Лист
№ докум.
Подпись
Дата
Лист
8
КП140400 ЗЭО-25у
Изм.
Лист
№ докум.
Подпись
Дата
Лист
9
КП140400 ЗЭО-25у
Изм.
Лист
№ докум.
Подпись
Дата
Лист
10
КП140400 ЗЭО-25у
Изм.
Лист
№ докум.
Подпись
Дата
Лист
11
КП140400 ЗЭО-25у
Изм.
Лист
№ докум.
Подпись
Дата
Лист
12
КП140400 ЗЭО-25у
Изм.
Лист
№ докум.
Подпись
Дата
Лист
13
КП140400 ЗЭО-25у
Изм.
Лист
№ докум.
Подпись
Дата
Лист
14
КП140400 ЗЭО-25у
Изм.
Лист
№ докум.
Подпись
Дата
Лист
15
КП140400 ЗЭО-25у
Изм.
Лист
№ докум.
Подпись
Дата
Лист
16
КП140400 ЗЭО-25у
Изм.
Лист
№ докум.
Подпись
Дата
Лист
17
КП140400 ЗЭО-25у
Изм.
Лист
№ докум.
Подпись
Дата
Лист
18
КП140400 ЗЭО-25у
Изм.
Лист
№ докум.
Подпись
Дата
Лист
19
КП140400 ЗЭО-25у
Изм.
Лист
№ докум.
Подпись
Дата
Лист
20
КП140400 ЗЭО-25у
Изм.
Лист
№ докум.
Подпись
Дата
Лист
21
КП140400 ЗЭО-25у
Изм.
Лист
№ докум.
Подпись
Дата
Лист
22
КП140400 ЗЭО-25у
Изм.
Лист
№ докум.
Подпись
Дата
Лист
23
КП140400 ЗЭО-25у
Изм.
Лист
№ докум.
Подпись
Дата
Лист
24
КП140400 ЗЭО-25у
Изм.
Лист
№ докум.
Подпись
Дата
Лист
25
КП140400 ЗЭО-25у
Изм.
Лист
№ докум.
Подпись
Дата
Лист
26
КП140400 ЗЭО-25у
Изм.
Лист
№ докум.
Подпись
Дата
Лист
27
КП140400 ЗЭО-25у
Изм.
Лист
№ докум.
Подпись
Дата
Лист
28
КП140400 ЗЭО-25у
Изм.
Лист
№ докум.
Подпись
Дата
Лист
29
КП140400 ЗЭО-25у
Изм.
Лист
№ докум.
Подпись
Дата
Лист
30
КП140400 ЗЭО-25у
Изм.
Лист
№ докум.
Подпись
Дата
Лист
31
КП140400 ЗЭО-25у
Изм.
Лист
№ докум.
Подпись
Дата
Лист
32
КП140400 ЗЭО-25у
Изм.
Лист
№ докум.
Подпись
Дата
Лист
33
КП140400 ЗЭО-25у
Изм.
Лист
№ докум.
Подпись
Дата
Лист
34
КП140400 ЗЭО-25у
Изм.
Лист
№ докум.
Подпись
Дата
Лист
35
КП140400 ЗЭО-25у
Изм.
Лист
№ докум.
Подпись
Дата
Лист
36
КП140400 ЗЭО-25у
Изм.
Лист
№ докум.
Подпись
Дата
Лист
37
КП140400 ЗЭО-25у
Изм.
Лист
№ докум.
Подпись
Дата
Лист
38
КП140400 ЗЭО-25у
Изм.
Лист
№ докум.
Подпись
Дата
Лист
39
КП140400 ЗЭО-25у
Изм.
Лист
№ докум.
Подпись
Дата
Лист
40
КП140400 ЗЭО-25у
Изм.
Лист
№ докум.
Подпись
Дата
Лист
41
КП140400 ЗЭО-25у
Изм.
Лист
№ докум.
Подпись
Дата
Лист
42
КП140400 ЗЭО-25у
Изм.
Лист
№ докум.
Подпись
Дата
Лист
43
КП140400 ЗЭО-25у
Изм.
Лист
№ докум.
Подпись
Дата
Лист
44
КП140400 ЗЭО-25у
Изм.
Лист
№ докум.
Подпись
Дата
Лист
45
КП140400 ЗЭО-25у
Изм.
Лист
№ докум.
Подпись
Дата
Лист
46
КП140400 ЗЭО-25у
Изм.
Лист
№ докум.
Подпись
Дата
Лист
47
КП140400 ЗЭО-25у
Изм.
Лист
№ докум.
Подпись
Дата
Лист
48
КП140400 ЗЭО-25у
Изм.
Лист
№ докум.
Подпись
Дата
Лист
49
КП140400 ЗЭО-25у
Изм.
Лист
№ докум.
Подпись
Дата
Лист
50
КП140400 ЗЭО-25у
Изм.
Лист
№ докум.
Подпись
Дата
Лист
51
КП140400 ЗЭО-25у
Изм.
Лист
№ докум.
Подпись
Дата
Лист
52
КП140400 ЗЭО-25у
Изм.
Лист
№ докум.
Подпись
Дата
Лист
53
КП140400 ЗЭО-25у
Изм.
Лист
№ докум.
Подпись
Дата
Лист
54
КП140400 ЗЭО-25у
Изм.
Лист
№ докум.
Подпись
Дата
Лист
55
КП140400 ЗЭО-25у
Изм.
Лист
№ докум.
Подпись
Дата
Лист
56
КП140400 ЗЭО-25у
Изм.
Лист
№ докум.
Подпись
Дата
Лист
57
КП140400 ЗЭО-25у
Изм.
Лист
№ докум.
Подпись
Дата
Лист
57
КП140400 ЗЭО-25у
Проектирование асинхронного двигателя с фазным ротором



















