Проектирование железобетонных конструкций 5-ти этажного жилого дома в городе Горки Могилевской области
Учреждение образования «Гомельский государственный дорожно-строительный техникум имени Ленинского комсомола Белоруссии»
Специальность 2-70 02 01 Промышленное и гражданское строительство
Цикловая комиссия преподавателей цикла «Промышленное и гражданское строительство»
КУРСОВОЙ ПРОЕКТ
по дисциплине Строительные конструкции
Тема_«Проектирование железобетонных конструкций 5-ти этажного жилого дома в городе Горки Могилевской области»
Исполнитель: учащийся группы ПГС-31
________________________Симачёв Никита Николаевич___________________________
(фамилия, имя, отчество)
Руководитель проекта преподаватель 1 категории Книжникова Виктория Олеговна
(должность) (фамилия, имя, отчество)
Гомель 2013
Учреждение образования «Гомельский государственный дорожно-строительный техникум имени Ленинского комсомола Белоруссии»
Цикловая комиссия преподавателей цикла «Промышленное и гражданское строительство»
ПОЯСНИТЕЛЬНАЯ ЗАПИСКА
к курсовому проекту
по дисциплине Строительные конструкции
Тема:«Проектирование железобетонных конструкций 5-ти этажного жилого дома в городе Горки Могилевской области»
Исполнитель:____________________ Н.Н.Симачёв (Фамилия, инициалы)
(подпись)
учащийся 3 курса ПГС-31 группы
Руководитель:___________________ В.О. Книжникова (Фамилия, инициалы)
(подпись)
Гомель 2013
РЕЦЕНЗИЯ НА КУРСОВОЙ ПРОЕКТ
|
Оформление |
Техническая грамотность |
Замечания |
Оценка за курсовой проект |
Оценка защиты курсового проекта ________________________________________________
__________________________________________________________________________________________________________________________________________________________________________________________________________________________________________
Общая оценка__________________________________________________________________
______________________________________________________________________________
Заключение руководителя курсового проекта:
ЛИСТ НОРМОКОНТРОЛЯ
|
№п/п |
Замечания |
Отметка о выполнении |
Содержание
Введение .....................................................................................................
- Архитектурно-конструктивное решение здания .......................................
- Сбор нагрузки на 1 м2 перекрытия, покрытия ...........................................
- Расчет лестничного марша марки 1ЛМ 27.12.14-4 ...................................
- Определение прочностных характеристик материалов.....................
- Определение нагрузок, действующих на марш..................................
- Расчет брусковой перемычки над оконным проёмом ..............................
- Подбор элементов перемычки…………………………......................
- Определение расчетных усилий……...................................................
- Определение прочностных характеристик материалов.....................
- Расчет перемычки на прочность по нормальным сечениям………..
- Расчет ленточного фундамента под наружную стену здания..................
- Определение нагрузки на фундамент..................................................
- Определение ширины подошвы фундамента.....................................
- Расчет фундаментной плиты на прочность при продавливании......
- Расчет прочности плиты по нормальному сечению..........................
- Заключение....................................................................................................
Литература......................................................................................................
ВВЕДЕНИЕ
Железобетон состоит из бетона и стальной арматуры, работающих совместно, благодаря сцеплению, возникающему между ними. Бетон искусственный каменный материал, хорошо сопротивляется сжатию, а на растяжение работает в 15…20 раз слабее. Для повышения прочности бетона применяют арматуру, которая обладает значительно более высокой прочностью на растяжение и позволяет существенно повысить несущую способность строительных конструкций.
Основные достоинства бетона высокая прочность, долговечность, огнестойкость, стойкость против атмосферных воздействий, возможность использования местных строительных материалов, простота формообразования, небольшие эксплуатационные расходы.
- Архитектурно - конструктивное решение здания.
В соответствии с заданием запроектировано здание прямоугольной конфигурации с размерами по крайним осям 36,6*10,12м. Высота этажа 2,8 м.
Здание запроектировано с поперечными несущими стенами. Пространственная жесткость и устойчивость здания обеспечивается перевязкой вертикальных швов между кирпичами, армированием углов и мест примыкания внутренних стен к наружным и анкеровкой плит перекрытия со стеной ( Г-образный анкер) и между собой (линейный анкер).
По долговечности здание относится к II степени, т. к. его конструктивные элементы рассчитаны на срок службы не менее 50 лет.
По огнестойкости в соответствии с СНБ 2.02.01-98 здание относится к III степени.
Класс ответственности здания по СНиП 2.01.07-85 III.
Здание размещается на участке со спокойным рельефом. В основании залегает грунт суглинок полутвердый.
- Сбор нагрузок.
2.1 Сбор нагрузки на 1 м2 перекрытия между этажами.

Рис.1. Конструкция перекрытия
Таблица 1.
|
№ № п/п |
Нагрузка |
Подсчет |
Нормативная нагрузка gn кН/м2 |
Yf |
Расчетная нагрузка q, кН/ м2 |
|
1 1.1 1.2 1.3 .4 1.5 |
Постоянная Метлахская плитка Цементно-песча- ная стяжка Шлакобетонная плитка Железо-бетонная плита приведенного сечения Вес перегородок |
0,010200010/10 0,020200010/10 0,060160010/10 0,120250010/10 п.3.6 СНиП 2.01.07 -85 |
0,2 0,4 0,96 3 0,5 |
1,2 1,3 1,2 1,1 1,1 |
0,24 0,52 1,05 3,3 0,55 |
|
всего: |
gn = 5,06 |
g = 5,82 |
|||
|
2 .1 |
Временная Полезная |
по табл.3 СНиП 2.01.07-85 |
pn = 1,5 |
1,3 |
p = 1,95 |
|
итого: |
gn = 6,56 |
g = 7,77 |
2.2 Сбор нагрузки на 1 м2 перекрытия технического этажа.
Рис.2. Конструкция перекрытия технического этажа
Таблица 2.
|
№ № п/п |
Нагрузка |
Подсчет |
Нормативная нагрузка gn кН/м2 |
Yf |
Расчетная нагрузка q, кН/ м2 |
|
1 .1 1.5 |
Постоянная Цементно-песчаная стяжка Железо-бетон- ная плита приведенного сечения |
0,015200010/10 0,120250010/10 |
0,3 |
1,3 1,1 |
0,39 3,3 |
|
всего: |
gn = 3,3 |
g = 3,69 |
|||
|
2 .1 |
Временная Полезная технического этажа |
по табл.3 СНиП 2.01.07-85 |
pn = 2,0 |
1,2 |
p = 2, 4 |
|
итого: |
gn = 5,3 |
g = 6,09 |
2.3 Сбор нагрузки на 1м2 покрытия.

Рис.3. Конструкция покрытия
Таблица 3.
|
№ п /п |
Нагрузка |
Подсчет |
Нормативная нагрузка gn, кН/м2 |
Yf |
Расчетная нагрузка q, кН/ м2 |
|
1 |
Постоянная |
||||
|
1.1 |
Рулонный материал 1 слой |
0,004·1800·10/ /103 |
0,072 |
1,2 |
0,09 |
|
1.2 |
Рулонный материал 1 слой |
0,003·1800·10/ /103 |
0,054 |
11,2 |
0,06 |
|
1.3 |
Цементно-песчаная стяжка |
0,020·2000·10/ /103 |
0,4 |
11,3 |
0,52 |
|
1.4 |
Утеплитель |
0,170·150·10/ /103 |
0,255 |
1,2 |
0,31 |
|
1,5 |
Пароизоляция |
---- |
0,05 |
1,2 |
0,06 |
|
1,6 |
Железо-бетонная плита приведенного сечения |
0,120·2500·10/ /103 |
1,1 |
3,3 |
|
|
всего: |
gn = 3,831 |
g = 4,34 |
|||
|
2 |
Временная |
||||
|
2.1 |
Снеговая |
Для р-на IIБ |
1,2 |
1,5 |
1,8 |
|
всего: |
gn = 5,031 |
g = 6,14 |
2.4 Сбор нагрузки на 1м2 перекрытия 1-ого этажа..

Рис.4. Конструкция перекрытия первого этажа
Таблица 4.
|
№ п/п |
Нагрузка |
Подсчет |
Нормативная нагрузка gn, кН/м2 |
Yf |
Расчетная нагрузка q, кН/ м2 |
|
1 |
Постоянная |
||||
|
1.1 |
Доска половая |
0,040·600·10/ /103 |
,24 |
,1 |
0,26 |
|
1.2 |
Утеплитель |
,080·0,42·150· ·10/(103·0,5) |
,1 |
11,2 |
,12 |
|
1.3 |
Лага |
,080·0,080·600··10/(103·0,5) |
,08 |
11,1 |
,088 |
|
1.4 |
Пароизоляция |
------ |
0,05 |
,2 |
0,06 |
|
1,5 |
Железо-бетонная плита приведенного сечения |
,120·2500·10/ /103 |
3 |
,1 |
3,3 |
|
1,6 |
Вес перегородок |
п.3.6 СНиП 2.01.07-85 |
0,5 |
1,1 |
0,55 |
|
всего: |
gn = 3,97 |
g = 4,378 |
|||
|
2 |
Временная |
||||
|
2.1 |
Полезная |
по табл.3 СНиП 2.01.07-85 |
1,5 |
,3 |
1,95 |
|
всего: |
gn = 5,47 |
g = 6,328 |
- Расчет лестничного марша марки 1ЛМ 27.12.14-4.
Исходные данные. Рассчитать и сконструировать железобетонный ребристый марш двухмаршевой лестницы жилого дома марки 1ЛМ27.12.14-4. Ширина марша В=1200мм, длина L = 2720мм, высота Н = 1400мм. Высота этажа Нэт = 2,8 м, ступени размером 1530 см. Масса лестничного марша равна 1,52 т, объем бетона 0,607м3.
Длина горизонтальной проекции марша L1 =
мм
Уклон марша: tg = 1400/2332 = 0,600
Угол наклона марша 300, cos =0,866
Временная нормативная нагрузка на лестничную клетку жилого дома pn = 3,0 кПа (таблица 3 СНиП 2.01.07-85), коэффициент надежности по нагрузке f = 1,2 (пункт 3.7 СНиП 2.01.07-85).
Лестничный марш выполнен из бетона класса С20/25, продольная рабочая арматура лобового ребра класса S400, рабочая арматура плиты класса S500.
- Определение прочностных характеристик материалов.
Для бетона класса С 20/25:
- нормативное сопротивление бетона осевому сжатию fck = 20 МПа и осевому растяжению fctk = 1,5 МПа (таб. 6.1 СНБ 5.03.01- 02);
- коэффициент безопасности по бетону с = 1,5 (для железобетонных конструкций);
- расчетное сопротивление бетона осевому сжатию fcd = fck /с = 20/1,5 = 13,33 МПа, осевому растяжению fctd = fctk / с = 1,5/1,5 = 1 МПа;
- модуль упругости бетона при марке по удобоукладываемости Ж2 Ecm = 37103 МПа (таб. 6.2 СНБ 5.03.01- 02).
Продольная рабочая арматура S400:
- расчетное сопротивление fyd = 365 МПа (таб. 6.5 СНБ 5.03.01- 02).
Поперечная арматура класса S500:
- расчетное сопротивление fyd = 450 МПа (таб. 6.5 СНБ 5.03.01- 02).
- расчетное сопротивление fywd = 324 МПа (таб. 6.5 СНБ 5.03.01- 02).
Модуль упругости арматуры всех классов Es = 200103 МПа.
- Определение нагрузок, действующих на марш.
Таблица 4. Сбор нагрузки на 1 м2 горизонтальной проекции марша
|
Вид нагрузки и ее расчет |
Нормативная нагрузка, кН/м2 |
f |
Расчетная нагрузка, кН/м2 |
|
1. Постоянная 1.1. от собственной массы марша m10/(L1B)=1,5210/(2,3321,2) 1.2.от ограждения 2. Временная 2.1. Полезная (таблица 3 СНиП 2.01.07-85) |
5,43 ,20 3,0 |
1.1 ,05 1,2 |
5,97 ,21 3,6 |
|
Итого: |
8,63 |
9,78 |
Расчетный пролет при длине площадки опирания с = 9 см
L0 = L -
= (2720 ) -
= 2622 = 2562мм
Расчетный пролет в горизонтальной проекции марша
l0 = L0 cos = 2562 0,866 = 2218,7 мм
Расчетная нагрузка на 1 метр погонной длины марша
q1 = q1таб B = 9,78 1,2 = 11,74 кН/м
Расчетный изгибающий момент в середине пролета марша
кНм
Расчетная поперечная сила на опоре
кН

Рис. 1. Расчетная схема лестничного марша
2.1. Расчет прочности косоуров по нормальному сечению.
Действительное сечение марша заменяем на расчетное тавровое с полкой в сжатой зоне
(рис. 2):
ширина ребра b = 2bр =
см
высота ребра
см
расчетная ширина полки
см
см
Принимаем меньшее значение
см
Величина с = 25 см
Рабочая высота сечения d = 18,7 ,5 = 16,2 см

Рис. 2. Приведенное расчетное сечение
Проверяем условие
М=8,26 кНм
кНм
Условие выполняется, нейтральная ось проходит в полке, сечение рассчитываем как прямоугольное шириной
м
Определяем граничное значение относительной высоты сжатой зоны бетона
,
где = 0,85 ,008fcd= 0,85 ,00813,33= 0,743
Определяем lim = lim (1 ,5lim) = 0,601(1 ,50,601) = 0,42
Определяем коэффициент 
Проверяем условие 0 lim
0 = 0,048 lim = 0,42
Условие выполняется, по значению 0 определяет коэффициент = 0,975
Определяем площадь растянутой арматуры

По сортаменту принимаем 2 стержня 10 мм с As1 = 1,57 см2
Проверяем толщину защитного слоя бетона. Толщина защитного слоя бетона принимается
не менее диаметра рабочего стержня и не менее 15 мм в балках высотой до 250 мм;
см с = 25 см
Условие выполняется.
2.2. Расчет прочности косоуров по наклонному сечению.
Продольные ребра армируется двумя каркасами КР1 с поперечной арматурой 4 мм класса S500 с шагом на приопорных участках s1 = 90 мм, в середине пролета s2 = 200 мм. Ширина сечения b = 22 см. Расчетная поперечная сила Q = =15,04 кН. Длина ребра l = 2,720м.
Определяем коэффициент с1 = 1 ,01fcd = 1 ,0113,33 = 0,867
Определяем е = Es / Ecm = 200/39 = 5,13
Определяем коэффициент армирования 
Определяем коэффициент w1 = 1 + 5еsw = 1+ 5 5,13 0,00127 = 1,0331,3
Проверяем условие
Q = 15,04 кН 0,3w1с1 fcd b d = 0,31,0330,86713,331030,220,162 = =127,65кН
Условие выполняется.
Проверяем условие
Q = 15,04 кН 0,6 fctd b d = 0,611030,220,162 = 21,38 кН
Условие выполняется, наклонные трещины не образуются, поперечную арматуру устанавливаем конструктивно.
4. Конструирование лестничного марша.
Продольные ребра армируются плоскими каркасами КР1. Продольная растянутая арматура принята по расчету 10 мм класса S400, продольная сжатая принята конструктивно 6 мм класса S400. Поперечные крайние стержни приняты 4 мм класса S500, поперечная арматура принята по расчету 4 мм класса S500 на приопорных участках с шагом s1 = 90 мм, в середине пролета s2 = 200 мм.
Поперечные ребра армируются конструктивно каркасами КР2, КР3. Продольные стержни в растянутой и сжатой зоне приняты 5 мм класса S500. Поперечные стержни приняты 4 мм класса S500 с шагом 200 мм.
Плита лестничного марша армируется сеткой С1 из стержней 4 мм класса S500 с шагом 200 мм в продольном направлении и стержней 5 мм класса S500 шагом 150 мм в поперечном направлении.
Остальные арматурные каркасы и закладные детали приняты в соответствии с рабочими чертежами сборника «Типовые конструкции, изделия и узлы зданий и сооружений», марши лестничные железобетонные (серия 1.152.1-8 выпуск 1).
Расчет брусковой перемычки над оконным проемом.
Исходные данные:
Назначение задания- жилой дом, ширина оконного проема в свету- 1090мм, толщина стены 600мм, расстояние между осями наружной внутренней стены L=4.43м.Перекрытия в здании из многопустотных панелей толщиной 220мм.Пол метлахская плитка.
Класс бетона C20/25, класс продольной арматуры S400, класс поперечной арматуры S500.
Решение
1.Подбор элементов перемычки.
Перемычка над оконным проемом состоит из пяти отдельных элементов одинаковой ширины. На внутренней элемент перемычки опираются панели перекрытия, остальные элементы перемычки несут нагрузку только от кладки(самонесущие).

Рис.1. Фрагмент разреза здания
Определяем минимальную длину перемычек при минимальных размерах заделки концов в стену а:
- в самонесущих 120мм;
- в несущих мм;
L=1220+2·120=1460мм
Принимаем перемычки (рис.2.)
1-марка 2ПБ 16-2 сечением bh=120140мм, Lk=1550мм, объем бетона V=0,028 м3,масса m=0.065т;

Рис.2. Подбор элементов перемычки
2. Определение расчетных усилий
Несущая перемычка воспринимает нагрузку:
-от собственного веса перемычки;
-от кладки высотой пояса 3.52-2.165=1.355м
Таблица 1.
|
№ № п/п |
Нагрузка |
Подсчет |
Нормативная нагрузка gn кН/м2 |
Yf |
Расчетная нагрузка q, кН/ м2 |
|
1 .1 .2 .3 .4 1.5 |
Постоянная Метлахская плитка Цементно-песча- ная стяжка Шлакобетонная плитка Железо-бетонная плита приведенного сечения Вес перегородок |
0,010200010/10 ,020200010/10 0,060160010/10 0,120250010/10 п.3.6 СНиП 2.01.07 -85 |
,2 ,4 ,96 3 ,5 |
1,2 ,3 ,2 1,1 ,1 |
0,24 ,52 ,05 3,3 ,55 |
|
всего: |
gn = 5,06 |
g = 5,82 |
|||
|
2 .1 |
Временная Полезная |
по табл.3 СНиП 2.01.07-85 |
pn = 1,5 |
1,3 |
p = 1,95 |
|
итого: |
gn = 6,56 |
g = 7,77 |
Расчетная нагрузка на 1м.п. перемычки от собственной массы
gсоб = b·h··f·10/10=0.12·0.14·2500·1.1·10/103=0.462 Кн/м
где b*h=120*140 - сечение перемычки,
=2500 кг/м3- плотность железобетона,
f =1.1 для железобетона (таб. 1 СНиП 2.01.07 )
Расчетная нагрузка от массы стены
gст =1/5·t·h·p·f =1/5·0.64·1.355·1800·1.1·10/103 =3.43 kH/м3
где 1/5 нагрузка на одну из пяти перемычек;
t = 0.64 толщина стены;
p = 1800 кг/м3 плотность керамического кирпича;
f = 1,1 коэф. надежности по нагрузке для каменных конструкций (таб. 1 СНиП 2.01.07 )
h=1.355м - высота стены над перемычкой.
Перемычка работает как однопролетная, свободно лежащая, равномерно нагруженная балка (рис.3).

Рис.3. Расчетная схема перемычки.
Конструктивная длина перемычки Lk=1750мм.
Расчетный пролет Lo=Lk-a=1750-265=1485мм
Максимальная поперечная сила Q
Q=q*Lo/2=3.892·1.485/2=2.89 Кн
Максимальный изгибающий момент
M=q*Lo/8=3.892·1.4852/8=1,073 Кн м
3. Определение прочностных характеристик материалов
Для бетона класса C20/25:
- нормативное сопротивление бетона на осевое сжатие fck=20МПа и осевое растяжение fctk=1.5МПа(таб.6.1СНБ5.03.01-02)
- расчетное сопротивление на осевое сжатие и осевое растяжение
fcd = fck /c=20/1.5=13.33 МПа
fctd = fctk/c=1.5/1/5=1 МПа,
где c =1.5-частный коэф. Безопасности по бетону для железобетонных конструкций.
Для продольной арматуры класса S400 расчетное сопротивление fcd=365 МПа (таб.6.5.СНБ 5.03ю01-02).
Для поперечной арматуры класса S500 fywd = 295 МПа 9для сварного каркаса из проволочной арматуры).
4. Расчет перемычки на прочность по нормальным сечениям
Расчетное сечение перемычки- прямоугольное с двойным армированием.Рабочая продольная арматура класса S400.
Рабочая высота сечения d=h-c=0.14-0.03=0.11м
Определяем lim=/(1+ fyd/500(1-/1.1))=0.743/(1+365/500(1-0.743/1.1))=0.601
Где w=0.85-0.008*13.33=0.743
Определяем lim= lim(1-0.5·lim)=0.601·(1-0.5·0.601)=0.42
Определяем коэффициент
0=M/·fcd·b·d2=1.073·103/0.85·13.33·106·0.12·0.112=0.065
Проверим условие
Условие выполняется, по расчету требуется только растянутая арматура.
По значению 0=0.065 определяем =0.966
As1=M/·fyd·d=1.073·103/0.966·365·106·0.11=0.0000277 м2=0,277 см2
Принимаем стержень диаметром 6 мм с As=0.283 см2
Перемычка армируется одним сварным каркасом КР 1 с продольной нижней арматурой диаметром 6 мм, верхней арматурой диаметром 6 мм класса S400.

Рис.4 Поперечное сечение перемычки.
Расчетная поперечная сила на опоре Q=2.89 кН.
Проверяем условие прочности по наклонной полосе между наклонными трещинами, полагая 1 =1.
Q 0,3*1*с1*fcd*b*d
Q=2.89 kH <0.3*1*0.867*13.33*103*0.12*0.11=45.77 kH,
Где с1=1-0.01*fcd=1-0.01*13.33=0.867
Условие выполняется, размеры поперечного сечения перемычки достаточны.
Проверяем условие Q0.6*fctd*b*d
Q=2.89 кН < 0.6*1*103*0.12*0.11=7.92 кН
Условие выполняется, поперечную арматуру устанавливаем конструктивно.
КАРКАС КР-1

1 - 6 S400,
2 - 6 S400,
- 4 S500.
- Расчет ленточного фундамента под наружную стену здания.
Исходные данные:
Требуется рассчитать ленточный фундамент под наружную стену по оси 1
5-ти этажного жилого дома.
Кровля плоская, чердак теплый проходной, пол метлахская плитка. Район строительства г.Горки Могилевской области. УГВ на отметке -2,000. Глубина заложения фундамента d = 2,43м. Грунт суглинок полутвердый, со следующими характеристиками:
- коэффициент пористости е = 0,55;
- удельное сцепление грунта сn=23 кПа;
- угол внутреннего трения n=27;
- удельный вес грунта, залегающего выше подошвы фундамента II'=16,8кН/м
- удельный вес грунта, залегающего ниже подошвы фундамента II=17,4кН/м
Полезная нагрузка на перекрытие жилого дома pn=1,5кПа (таб.3 СНиП 2.01.07-85)
- Сбор нагрузки на фундамент.
Смотри таблицу 1,2,3,4.
Нагрузка от массы 1м пог. стены от отметки -0,320 до отметки 16,920
Нст = 0,320+ 16,920 = 17,24 м;
=17,24(0,022000+0,1550+(0,38+0,12)1800+0,021800)10/10=169,56 кН/м
=17,24(0,0220001,3+0,15501,2+(0,38+0,12)18001,1+0,0218001,3)10/ /10 = 189,26 кН/м.

Рис.5 Конструкция Рис.6 Грузовая площадь фундамента
фундамента
Нагрузка от массы 5-ти стеновых фундаментных блоков
= 0,640,6240010/10 = 38,88 кН/м;
= 
= 38,881,1 = 42,77 кН/м.
Полная нагрузка на 1м пог. фундамента по обрезу фундаментной плиты
=
= 5,0313,66+5,33,66+6,563,664+5,473,66+38,88+169,56 = 362,31 кН/м;
= 6,143,66 + +6,093,66+7,773,66 4+6,3283,66+42,77+189,26 =413,7 кН/м
5.2. Определение ширины подошвы фундамента.
Для предварительного определения ширины фундаментной плиты пользуемся табличными значениями расчетного сопротивления грунта ( таб.2 приложение 3[2] ).
Для глины полутвердой R0 = 265,5 кПа.
Определяем ширину фундаментной плиты


где
= 20 кН/м - средний удельный вес материала фундамента и грунта на его уступах;
d - глубина заложения фундамента.
Принимаем b = 2,0 м.
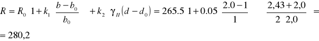
Определяем расчетное сопротивление грунта с учетом поправки на ширину фундамента и глубину заложения по формуле 1 приложения 3[2].

где k1 = 0.05 для суглинка полутвердого, b0 = 1м, d0 = 2м.
Определяем ширину фундамента при R = 280,2 кПа


Принимаем b = 1,6 м массой m = 2,71 т длиной 2980мм
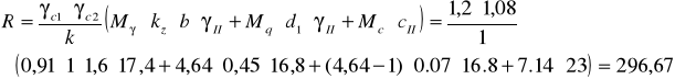
Определяем расчетное сопротивление грунта основания по формуле 7 [2]

где
=1,2,
= 1,08 (при соотношении L/H = 36,6/18,72=1,96>1,5);
k = 1, т.к. характеристики грунта II и сII определены непосредственными испытаниями;
0,91;
4,64;
7,14 - для
= 27(таб.4[2]).
1 при b = 1,6<10м.
приведенная
глубина заложения фундамента от пола подвала
hs+hcf*cf/=0.35+0.3*24/16.8=0.45 м
Где hs =0,35 м толщина слоя грунта выше подошвы фундамента со стороны подвала;
hcf =0,3 м - толщина конструкции пола подвала;
dВ =2,5-2,43=0,07 м расстояние от уровня планировки до пола подвала;
cf =24 кН/м3 удельный вес бетонного пола.
Нормативная нагрузка по подошве фундамента с учетом собственной массы фундаментной плиты Рф и массы грунта Pгр.:

где 

Определяем среднее давление по подошве фундамента:

Проверяем условие Pср = 243,31 кПа < R=296,67 кПа.
Условие выполнено, окончательно принимаем по каталогу фундаментную плиту марки ФЛ 24.30 (масса 2,71т; длина блока L=2980мм; объем бетона 1,08м3).
5.3 Расчет фундаментной плиты на прочность при продавливании.

Рис.6 Расчет фундамента на продавливание
Расчетное давление на грунт под подошвой фундамента Pгр = N/b =
=413,7/1,6=258,56 кПа
Условно вторая сторона фундамента a = 1м.
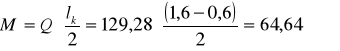
Поперечная сила в сечении плиты у грани фундаментного блока:

Требуемая высота сечения плиты из условия прочности при расчете на поперечную силу Q:

где
(таб. 6.1[3]).

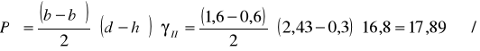
Расчетная продавливающая сила:

Проверяем условие:
P=64,64кН < 
Прочность на продавливание обеспечена.
Проверяем прочность бетона на действие сжимающих усилий:
Q=129,28 кН < 
где
(таб 6.1 [3]).
Прочность бетона обеспечена.
5.4 Расчет прочности плиты по нормальному сечению.
Момент, возникающий в сечении 1-1 у грани стены (рис.5)

Определяем коэффициент
:

По таб. 4 Приложения определяем
0,094;
0,952
Граничное значение относительной высоты сжатой зоны бетона определяем по формуле 7.5[3].

где w = 0,85-0,008
0,85-0,00813,33=0,743
(таб. 6.5[3] для арматуры класса S400).
; условие выполняется.
Площадь сечения арматуры на 1м длины плиты:

Конструктивно принимаем на 1м длины блока 6 14 S400 с шагом 200 мм и
.
Поперечная арматура принимается 5 S500 с шагом 250мм.
Сетка С-1

Рис.5 Расчетная схема
консоли фундаментной подушки
1 шт. 12 S400 ГОСТ 5781
шт. 5 S500 ГОСТ 6727
6.Заключение
Согласно заданию на проектирование , рассчитаны и законструированы сле дующне элементы : лестничный марш ЛМ-1,брусковая перемычка П-1, ленточный фундамент Фл-1. Технико-экономические показатели по элементам указаны в таб лице 8 .
Технико-экономические показатели
Таблица 8.
|
Характеристика изделия |
ЛМ-1 |
П-1 |
Фл-1 |
|
|
Масса кг |
1,52 |
0,065 |
2,71 |
|
|
Объем бетона м3 |
0,607 |
0,028 |
1,08 |
|
|
Напряженная арматура |
---- |
---- |
---- |
|
|
Расход стали |
Арматурные изделия кг |
7,34 |
1,61 |
32,73 |
|
Закладные детали |
2,7 |
0 |
1,066 |
|
|
Всего |
10,04 |
1,61 |
33,796 |
|
|
Класс бетона |
С20/25 |
С20/25 |
С20/25 |
|
|
Плотность бетона кг/м3 |
2500 |
2500 |
2500 |
Ведомость расхода стали на элемент, кг.
Таблица 9.
|
Изделия арматурные |
|
Арматура класса |
Всего |
|
П-1 |
S400 |
S500 |
|
10 |
6 |
Итого |
4 |
Итого |
||
|
,06 |
,38 |
,44 |
,17 |
,17 |
,61 |
|
|
Фл-1 |
S400 |
S500 |
||||
|
14 |
Итого |
5 |
Итого |
|||
|
,77 |
,77 |
,96 |
,96 |
,73 |
||
|
ЛМ-1 |
S400 |
S500 |
||||
|
10 |
Итого |
4 |
5 |
Итого |
||
|
,7 |
,7 |
,118 |
,52 |
,64 |
,34 |
Ведомость расхода стали на элемент, кг.
Таблица 10.
|
Изделия арматурные |
Общий расход |
|
Арматура класса |
Прокат марки |
Всего |
|
П-1 |
|
1,61 |
|||||||
|
Фл-1 |
S240 |
||||||
|
12 |
Итого |
||||||
|
,066 |
,066 |
,066 |
33,796 |
||||
|
ЛМ-1 |
S240 |
S400 |
Итого |
ВСт3кп2 ГОСТ2370 |
|||
|
12 |
10 |
= 8 |
Итого |
||||
|
1,88 |
0.37 |
2,25 |
,45 |
0,45 |
2,7 |
10,04 |
Литература
1. Берлинов М.В., Ягупов Б.А. Строительные конструкции. - М.: Агропромиздат, 1990.
2. Павлова А.И. Сборник задач по строительным конструкциям. - М.: ИНФРА-М, 2005.
3. Сетков В.И., Сербин Е.П. Строительные конструкции. М.: ИНФРА-М, 2005.
. Мандриков А.П. Примеры расчета железобетонных конструкций. М.: Стройиздат, 1989.
5. Веселов В.А. Проектирование оснований и фундаментов. - М.: Стройиздат, 1990.
6. Методическая Инструкция. Курсовое проектирование. Гомель.: УО ГГДСТ, 2005.
7. ГОСТ 21.501-93. Правила выполнения архитектурно-строительных рабочих чертежей.
8. ГОСТ 21.101-93. Основные требования к рабочей документации.
9. СНБ 5.01.01-99 Основания зданий и сооружений.
10. СНБ 5.03.01-02 Бетонные и железобетонные конструкции.
11. СНБ 2.04.01-97. Строительная теплотехника.
12. СНиП 2.01.07-85. Нагрузки и воздействия.
Проектирование железобетонных конструкций 5-ти этажного жилого дома в городе Горки Могилевской области