Закономерности формирования доходов и расходов населения РФ
Содержание
Введение…………………………………………………………………….3
1. Виды и источники доходов и расходов населения……………………5
1.1 Виды и источники формирования доходов населения……………....5
1.2 Принципы распределения доходов населения……………………...10
1.3 Виды расходов населения…………………………………………….14
1.4 Понятие и виды уровня жизни населения…………………………...17
1.5 Статистические показатели, характеризующие уровень жизни населения…………………………………………………………………..20
2. Анализ доходов и расходов населения РФ…………………………..23
2.1 Анализ состава, структуры и динамики доходов населения……….23
3. Расчет показателей динамики и структуры объекта исследования…29
3.1 Анализ статистического распределения населения по величине среднедушевых денежных доходов……………………………………...29
4. . Программа повышения благосостояния населения ………………..35
Заключение………………………………………………………………..43
Список использованной литературы…………………………………….45
Введение
Актуальность темы. Доходы играют очень важную роль в жизни каждого человека, потому что являются непосредственным источником удовлетворения его неограниченных потребностей. Заработная плата их основной источник. Но нередко её величина не достаточна для соблюдения даже самых необходимых условий существования людей. Поэтому возникает необходимость для государства регулировать заработную плату, а для населения искать другие источники доходов. Нередко доходы большей части населения бывают очень низкими по сравнению с доходами незначительной части населения. В связи с этим возникает социальная напряжённость в обществе, о преодолении которой также приходится заботиться государству. Чем больше доходы, тем выше спрос на продукцию и услуги, производимые различными отраслями, тем выше качество продукции, т. к. возникает мотив для достижения лучших конечных результатов, её конкурентоспособность, выше эффективность производства, значит, лучше экономическая ситуация в стране.
Поэтому регулирование доходов и заработной платы является частью политики любого государства. Таким образом, доходы населения и источники их формирования заслуживают пристального внимания, а все проблемы, с ними связанные, требуют скорейшего разрешения. Именно поэтому данная тема актуальна в любые времена, в любой стране, при любом экономическом строе. В Российской Федерации вопросы, связанные с доходами, стоят очень остро. Решение проблем требует большего государственного вмешательства, чем в развитых странах.
Цель работы заключается в выявлении тенденций и закономерностей формирования доходов и расходов населения РФ.
Основные задачи курсовой работы:
- определить общетеоретическую сущность доходов населения их классификацию;
- изучить принципы распределения доходов населения;
- проанализировать состав, структуру и динамику доходов населения РФ;
- проанализировать состав и структуру расходов населения РФ;
- определить показатели дифференциации доходов населения в РФ.
Объектом исследования являются доходы и расходы населения.
Предметом исследования выступают статистические инструменты и методы показателей уровня доходов и расходов населения.
При написании курсовой работы применялись такие методы исследования как табличный и графический методы, методы абсолютных, относительных и средних величин, вариационный анализ и анализ динамики.
Теоретико-методологической основой и эмпирической базой курсовой работы послужили: учебная литература по дисциплине «Статистика» и «Общая теория статистики» таких авторов как Елисеева И.И., Балдина К.А., Озерова К.А..
1. Виды и источники доходов и расходов населения
1.1 Виды и источники формирования доходов населения
Доходы населения это все материальные средства, которые домохозяйства получают как результат экономической деятельности или как трансферты. Доходы поступают населению в денежной и натуральной формах. Натуральная форма доходов включает продукцию, произведенную домохозяйствами для собственного потребления, натуральные трансферты (продукты питания, одежду).
Среднедушевые денежные доходы, которые исчисляются путем деления общей суммы денежного дохода на наличное население.
Номинальные денежные доходы населения характеризуют общее количество денег, которое получено (или начислено) за определенный период времени. Номинальные доходы населения формируются по следующим направлениям:
- выплаты в виде заработной платы, доходы типа заработной платы, доходы от собственного хозяйства;
- денежные поступления в виде трансфертных платежей;
- денежные доходы, получаемые через финансово-кредитную систему .
Располагаемые денежные доходы это доходы, которые могут быть использованы на личное потребление и сбережения. Они равны номинальным доходам за вычетом налогов, обязательных платежей и добровольных взносов населения.
На доходы населения значительное влияние оказывает рост цен. Показателем, отражающим это влияние, является индекс потребительских цен (ИПЦ) индекс цен, рассчитанный для группы товаров и услуг, входящих в потребительскую корзину среднего городского жителя.
Для его расчета необходима информация об изменении цен, которую получают путем регистрации цен и тарифов на потребительском рынке. В России ценовая информация собирается на предприятиях торговли и услуг всех форм собственности, а также на рынках и ярмарках на всей территории Российской Федерации: в столицах республик, центрах краев, областей, автономных округов и выборочно в районных центрах.
Кроме того, необходимы данные о структуре потребительских расходов населения, так называемой потребительской корзине. Она представляет собой выборку товаров и услуг, наиболее часто потребляемых населением.
Реальные денежные доходы отражают покупательную способность денежного дохода. Это номинальные денежные доходы текущего периода, скорректированные на индекс потребительских цен.
Реальные располагаемые денежные доходы определяются исходя из скорректированных на индекс цен денежных доходов текущего периода, за вычетом обязательных платежей и взносов.
Основными источниками доходов населения являются:
- факторные доходы (доходы от основных факторов производства, которыми владеют домохозяйства): заработная плата, доходы от собственности (арендная плата, проценты, дивиденды), доходы от предпринимательской деятельности (прибыль);
- трансфертные платежи: пенсии, пособия, стипендии;
- другие поступления: страховые возмещения, доходы от продажи иностранной валюты и прочие.
В экономической литературе сложилось два основных подхода к определению источников доходов: с позиции теории трудовой стоимости (А. Смит, Д. Рикардо, К. Маркс) и теории факторов производства (господствует в современной зарубежной экономической науке). Согласно первому подходу, доход создается только трудом рабочих, согласно второму каждый фактор (труд, земля, капитал) получают свой доход в виде заработной платы, земельной ренты, процента на капитал.
В структуре доходов населения важную роль играет заработная плата, которая является платой за труд как фактор производства. Это важнейшая форма дохода наемного работника и стимул к производительному труду. Другой фактор формирования доходов в условиях рыночной экономики - капитал. В широком смысле - это все, что способно приносить доход, или ресурсы, созданные людьми для производства товаров и услуг. В более узком смысле - это вложенный в дело, работающий источник дохода в виде средств производства (физический капитал).
Наряду с оплатой труда в условиях рыночной экономики составной частью системы формирования совокупных доходов населения стали доходы от предпринимательской деятельности. В ходе рыночных преобразований получили юридическое признание, различные формы собственности, созданы определенные экономические, социальные и правовые условия для развития активной предпринимательской деятельности. Это способствовало росту, как абсолютных размеров, так и доли предпринимательских доходов в структуре совокупных доходов населения.
Предпринимательские способности имеют свою специфическую форму вознаграждения - предпринимательский доход. Он зависит от суммы капитала, вложенного в предпринимательское дело; новизны начатого дела; риска собственным капиталом; труда самого предпринимателя; от ставки за кредит, обстановки в экономике, состояния законодательства, соблюдения правовой и договорной дисциплины, от экономической обоснованности осуществляемой хозяйственной деятельности. Хотя рынок предоставляет свободу выбора рода деятельности в различных сферах, но способностью к эффективной предпринимательской деятельности обладает незначительная часть общества. Большая же часть, по своим способностям, интересам, жизненным принципам не вписывается в предпринимательскую деятельность, так как не обладает соответствующими способностями.
Кроме того, значительная часть населения не в состоянии активно включиться в товарно-денежные отношения по иным объективным причинам (инвалиды, престарелые, учащиеся). В свою очередь, официальная экономика не в состоянии обеспечить всех желающих работать рабочими местами и нормальным уровнем доходов. Все эти моменты заставляют людей искать другие возможности для получения дополнительных доходов, чтобы обеспечить свои потребности.
В существующей экономической ситуации определённое количество людей обеспечивает себя с помощью ведения личного подсобного хозяйства (ЛПХ). Семьи, ведущие ЛПХ, часто в состоянии не только прокормить себя собственными продуктами, но и обеспечить себя денежными доходами за счет продажи излишка продукции. ЛПХ оказывают существенное влияние на уровень жизни различных слоев населения, так как произведенная в них продукция выступает основным доходом для семей, имеющих ЛПХ.
Существенное влияние на формирование доходов населения оказывают выплаты по программам государственной помощи трансфертные платежи. Трансферты - бюджетные средства для финансирования обязательных выплат населению: пенсий, стипендий, пособий, компенсаций, других социальных выплат, установленных законодательством Российской Федерации, законодательством субъектов Российской Федерации, правовыми актами органов местного самоуправления.
Пенсия - регулярные денежные выплаты, предоставляемые гражданам при достижении соответствующего пенсионного возраста, наступлении инвалидности, в случае потери кормильца, а также за выслугу лет и особые заслуги перед государством.
Пособие - гарантированная денежная выплата при временном перерыве в работе, а также для компенсации повышенных расходов, возникающих в строго определенных случаях. Назначается при временной нетрудоспособности (при болезни, увечье, уходе за больным членом семьи, карантине и в некоторых других случаях); по уходу за ребенком после его рождения до достижения определенного возраста; по беременности и родам; на погребение; на протезирование; обучение и переобучение инвалидов. По форме выплаты пособия подразделяются на единовременные и периодические.
Компенсация - возмещение потерь, понесенных убытков, расходов, возврат долга, вознаграждение. Денежные выплаты, установленные в целях возмещения работникам затрат, связанных с исполнением ими трудовых или иных обязанностей, предусмотренных Трудовым кодексом и другими федеральными законами.
Социальные выплаты - компенсации и социальные льготы, предоставленные работникам, в частности, на лечение, отдых, проезд, трудоустройство (без социальных пособий из государственных и негосударственных внебюджетных фондов). К выплатам социального характера относятся: страховые взносы на добровольное медицинское страхование, а также по договорам личного, имущественного и иного страхования в пользу работников; расходы по оплате услуг учреждений здравоохранения, оплата путевок работникам и членам их семей на отдых, экскурсии; возмещение платы родителей за содержание детей в дошкольных учреждениях; выходное пособие и сумма на трудоустройство в связи с ликвидацией предприятия, сокращением числа работников.
Денежные доходы населения, получаемые через финансово-кредитную систему представляются в виде:
- выплат по государственному страхованию;
- банковских ссуд на индивидуальное жилищное строительство, хозяйственное обзаведение молодым семьям;
- процентов по вкладам в сберегательных кассах, начисляемых по итогам года;
- доходов от увеличения стоимости акций, облигаций, выигрышей и погашений по займам;
- выигрышей по лотереям;
- временно свободных средств, образующихся в результате покупки товара в кредит.
Прочие денежные поступления включают выручку населения от продажи вещей через комиссионные и скупочные магазины.
Классификация доходов предусматривает их распределение и объединение в группы и подгруппы в зависимости от различных признаков:
1. По экономической природе:
Трудовые доходы (основа формирования трудовая деятельность):
- доходы получаемые в форме оплаты труда;
- доходы от индивидуальной трудовой деятельности;
- доходы от личного подсобного хозяйства;
- доходы от предпринимательской деятельности;
- доходы от реализации платных бытовых услуг;
Нетрудовые доходы:
- экономически обоснованные доходы, получаемые по линии государственных официальных каналов;
- социальные трансферты;
- доходы от собственности;
- дивиденды по акциям;
- проценты по облигациям и депозитам;
- экономически не обоснованные - все виды доходов, полученные от незаконных финансово-хозяйственных операций.
2. По экономическому содержанию:
- денежные доходы;
- натуральные доходы.
3. По степени использования:
- общие (брутто-доходы);
- располагаемые (нетто-доходы)
1.2 Принципы распределения доходов населения
Распределение населения по среднедушевому денежному доходу имеет правостороннюю асимметрию и может быть одномодальным или бимодальным. В России бимодальное распределение появилось в области высоких денежных доходов, что свидетельствует о дифференциации среди высокодоходных групп населения. При образовании и стабилизации ''среднего класса'' бимодальность в распределении населения по доходу исчезает.
В настоящее время в России ведётся поиск оптимальной модели для математического описания распределения населения по среднедушевому доходу в условиях переходной и рыночной экономики.
Дифференциация доходов, как правило, рассматривается по размеру среднедушевого совокупного дохода населения в целом, отдельных регионов и групп домохозяйств (проживающих в городской местности, в сельской местности, из них хозяйств пенсионеров, имеющих детей до 16 лет). В статистике бюджетов домашних хозяйств используются среднемесячный совокупный доход и средний доход на одного члена домохозяйства. Среди работающих за основу берётся среднемесячная начисленная заработная плата рабочих и служащих по отраслям экономики (без работников, занятых неполные рабочий день или неделю, и учеников). Для изучения дифференциации доходов и потребления населения проводятся перегруппировки домохозяйств:
- по децильным группам - выделяются десять групп, в каждой группе по 10% домохозяйств;
- по квинтильным группам - пять групп, в каждой группе по 5% населения;
- по покупательской способности населения - по группам, кратным величине прожиточного минимума или стоимости набора из 25 (или из 31) наименований продуктов питания.
По каждой выделенной группе вычисляются: средний денежный доход, его состав; средний потребительский расход и его структура; средний размер потребления на душу населения продуктов питания, непродовольственных товаров и услуг (в расчёте на 100 домохозяйств); показатель покупательской способности денежных доходов (денежных доход, делённый на среднюю цену покупки данного товара).
На основании распределения населения по размеру доходов рассчитываются следующие статистические характеристики:
1. Обобщающие показатели распределения: модальное значение дохода, медианное значение дохода и средний доход.
(1.1)
гдехМ0 нижняя граница модального интервала;
iМ0 величина модального интервала;
fМ0, fМ0-1, fМ0+1 частоты (частости) соответственно модального, домодального и послемодального интервалов [1, с. 105].
(1.2)
Где хМе начало медианного интервала;
iМе величина медианного интервала;
f - сумма частот (частостей) вариационного ряда;
fМе частота (частость) медианного интервала;
SМе1 сумма накопленных частот (частостей) в домедианном интервале.
(1.3)
гдеn - вариант;
х число единиц в совокупности .
2. Показатели структуры распределения дохода: квартильный уровень дохода (нижний и верхний), децильный и другие возможные уровни дохода (нижние и верхние), доля квартильных, децильных и других групп населения (домохозяйств) по уровню дохода в денежном доходе общества, средний доход по выделенным группам населения.
3. Коэффициенты дифференциации доходов населения, устанавливающие размер повышения денежных доходов высокодоходных групп по сравнению с низкодоходными группами населения.
К показателям дифференциации денежных доходов относятся:
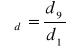
1) децильный коэффициент дифференциации
(1.4)
гдеd1 - значение аргумента (в данном случае дохода), вероятность быть ниже которого равна 0,1 (F1) (т.е. 10% населения имеют доход ниже этого значения);
d9 - значение аргумента, вероятность быть ниже которого равна 0,9 (F9) (т.е. 10% населения имеют доход выше этого значения).
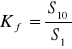
2) коэффициент фондов
(1.5)
гдеS10 - суммарный доход, который приходится на 10% населения с самыми высокими доходами,
S1 - суммарный доход, который приходится на 10% населения с самыми низкими доходами [1, с. 108].
3) кривая Лоренца
(1.6)
гдеyi - доля доходов, сосредоточенная у i-й социальной группы населения;
xi - доля населения, принадлежащая к i-й социальной группе в общей численности населения;
n- число социальных групп.
4) коэффициент Джини
(1.7)
гдеcum yi - кумулятивная доля дохода.
При их расчёте используются данные о доходах крайних (бедных и богатых) групп населения (децильный коэффициент, коэффициент фондов) или полностью распределение населения по доходам (кривая и коэффициент Лоренца и коэффициент Джини). Они относятся к системе оценок, известной как методология Парето - Лоренца - Джини, широко используемой в зарубежной социальной статистике. Итальянский статист и социолог В.Парето (1848-1923) обобщил данные некоторых стран и установил, что между уровнем доходов и числом их получателей существует обратная зависимость, названная законом Парето. Американский статистик и экономист О.Лоренц (1876-1959) развил этот закон, предложив его графическое изображение в виде кривой, получившей название ''кривая Лоренца''.
Кривая Лоренца представляет собой кривую концентрации по группам. На графике Лоренца в случае равномерного распределения дохода попарные доли населения и доходов должны совпадать и располагаться на диагонали квадрата, что и означает полное отсутствие концентрации дохода. Отрезки прямых, соединяющие точки, соответствующие накопленным частостям и нарастающим процентам дохода, образуют ломаную линию концентрации (кривую Лоренца). Чем больше эта линия отличается от диагонали (чем больше её вогнутость), тем больше неравномерность распределения доходов, соответственно выше его концентрация. Очевидно, в конкретных случаях нельзя ожидать ни абсолютного равенства, ни абсолютного неравенства в распределении доходов среди населения. Коэффициент Лоренца как относительная характеристика неравенства в распределении доходов.
Коэффициент концентрации доходов Джини показывает распределение всей суммы доходов населения между его отдельными группами. Коэффициент G изменяется в интервале от 0 до 1. Чем ближе значение G к 1, тем выше уровень неравенства (концентрации) в распределении совокупного дохода; чем ближе он к 0, тем выше уровень равенства.
1.3 Виды расходов населения
Включают расходы на покупку товаров и оплату услуг, обязательные платежи и добровольные взносы; прирост сбережений во вкладах и ценных бумагах; покупку жилых помещений; расходы населения на приобретение валюты; деньги, отосланные по переводам.
Показатели объема продаж товаров населению на вещевых, смешанных и продовольственных рынках определяются на основе выборочных статистических наблюдений, разрабатываемых Госкомстатом России.
Кроме того, обобщаются следующие расчетные и оценочные данные:
объем услуг населению по недоучтенным предприятиям;
объем услуг, оказываемых населению физическими лицами, зарегистрированными в налоговых службах;
объем услуг, оказываемых населению физическими лицами, не зарегистрированными в налоговых службах.
Информационной базой расчетов услуг, оказанных физическими лицами, являются данные районных налоговых служб о доходах, полученных ими от предпринимательской деятельности, а также экспертные оценки объемов услуг, выполняемых лицами, не попадающими в поле зрения налоговых служб или уклоняющимися от уплаты налогов.
Обязательные платежи и добровольные взносы включают налоги и сборы, платежи по страхованию, взносы в общественные и кооперативные организации, возврат ссуд, приобретение лотерейных билетов, проценты за товарный кредит, обязательные взносы в Пенсионный фонд.
Налоги и сборы включают подоходный налог, государственные пошлины, земельный налог и арендную плату за земли сельскохозяйственного и несельскохозяйственного назначения, налог на имущество физических лиц, сбор за право торговли и другие виды налогов и сборов, взимаемых с граждан. Определяются суммы налогов и сборов исходя из отчетов об исполнении соответствующих бюджетов.
Платежи по страхованию включают взносы по обязательному страхованию имущества, пассажиров в пути на транспорте, добровольному страхованию имущества, страхованию ответственности и личному страхованию и определяются по отчетности страховых организаций.
Взносы в общественные и кооперативные организации включают вступительные и членские взносы в профсоюзные, партийные организации, а также различные добровольные организации и ассоциации и определяются на основе данных от организаций о поступлении взносов.
Возврат ссуд включает погашение населением долгосрочных и краткосрочных ссуд. Данные о погашении ссуд, включая проценты за пользование ими, обобщаются в территориальных управлениях ЦБ РФ и учреждениях Сбербанка России.
Прирост сбережений во вкладах и ценных бумагах определяется по данным Центрального Банка РФ и Сбербанка России. Статья «покупка жилых помещений» включает в себя покупку населением квартир, комнат, отдельных жилых строений и определяется на основе данных статистики жилищных условий. Расходы населения на приобретение иностранной валюты определяются по данным отчета о движении наличной иностранной валюты и платежных документов в иностранной валюте отдельно по коммерческим банкам.
В современных экономических условиях роль баланса денежных доходов и расходов населения изменилась. Составление баланса осуществляется на основе данных государственной статистики, отчетов финансовых органов и внебюджетных социальных фондов. Движение же денежных потоков в настоящее время становится все более независимым от государства и в определенной части не находит отражения в государственной отчетности. Поэтому баланс денежных доходов и расходов населения уже не может рассматриваться в качестве основного источника информации для характеристики уровня жизни населения, но может использоваться как характеристика видимых государству денежных потоков.
Вместе с тем баланс позволяет получить достаточно достоверные оперативные оценки доходов и расходов населения. Поэтому целесообразным представляется дальнейшее совершенствование и модификация баланса денежных доходов и расходов населения в соответствии с требованиями СНС.
1.4 Понятие и виды уровня жизни населения
Главной целью общественного развития является повышение уровня жизни населения.
Понятие уровня жизни населения, как правило, имеет три ключевых аспекта:
благосостояние населения.
накопление человеческого капитала.
уровень человеческого развития.
Одной из попыток учесть отмеченную многоаспектность понятия уровня жизни стала концепция «человеческого развития» (Human Development Project), широко применяемая в межстрановых сопоставлениях. В рамках этой концепции уровень жизни определяется не только среднедушевыми объемами доходов и потребления (уровнем благосостояния), но и степенью социального равенства (между социальными группами, полами, поколениями), а также возможностью людей участвовать в процессах принятия экономических и политических решений, затрагивающих их жизнь.
Система понятий, отражающих содержание каждого из трех отмеченных аспектов уровня жизни:
Благосостояние населения, т.е. уровень обеспеченности потребностей человека (семьи) материальными и нематериальными (в т.ч. духовными) благами - как абсолютный, так и относительный, в сравнении со стандартами и нормами, принятыми в данном обществе (социальной группе).
Различают два качественных уровня благосостояния:
устойчивое удовлетворение первичных потребностей человека (семьи) в объемах, необходимых для поддержания нормальной жизнедеятельности - в питании, одежде, жилье, охране здоровья, личной безопасности и др.
материальный достаток, при котором достигнутый высокий уровень насыщения первичных потребностей позволяет перейти к оптимальному, индивидуально-ориентированному типу удовлетворения разнообразных потребностей семьи и каждого ее члена.
Для развернутой характеристики благосостояния населения с учетом социальной дифференциации используется следующие базовые понятия:
Уровень душевых доходов, потребления и обеспеченности домашних хозяйств капитальными благами.
Степень дифференциации населения по доходам и потреблению.
Уровень прожиточного минимума.
Уровень бедности: абсолютный и относительный.
Накопление человеческого капитала, характеризующее состояние здоровья населения, его образовательный, профессиональный и культурный уровни с экономической точки зрения, т.е. с позиции способностей населения к воспроизводству общественного капитала (включая воспроизводство самого работника как экономического субъекта).
В западной традиции сложились три подхода к оценке человеческого капитала:
Человек - это не только носитель профессиональных и трудовых навыков, знаний и способностей, требующих соответствующих инвестиций (т. н. «неосязаемый капитал»), но и объекта вложений в него самого как социально-биологическое существо (т. н. «осязаемый капитал»).
Оценка человеческого капитала лишь как накопленных инвестиций (с поправкой на амортизацию) в навыки и образование людей. Это обосновывается тем, что в условиях рынка человек продает свои способности, но не самого себя, поэтому расходы на воспроизводство семьи не превращаются в капитал.
Выделение, наряду с интеллектуальными и социально-биологическими («осязаемыми») компонентами человеческого капитала, его социальные компоненты. Последнее проявляется в моральном состоянии общества, прочности социальных, в т.ч. семейных отношений, социально-психологическом климате (оптимистичный или депрессивный настрой), что влияет на социальные мотивации, производительность труда, уровень трудовой и предпринимательской активности и проч.
Уровень человеческого развития, характеризующий возможности реализации человека как личности и как члена данного общества.
Этот аспект уровня жизни включает два элемента:
качество жизни людей, учитывающее демографические, медицинские, экологические и интеллектуальные условия их существования и самореализации;
интеграцию индивидуумов в общество: их влияние на общественные процессы (участие в управлении, демократических процедурах и т.д.), наличие или отсутствие дискриминации отдельных социальных групп и т.п.
Уровень человеческого развития (качество жизни населения и человеческой самореализации), как правило, оценивается по следующим основным направлениям:
индекс качества жизни (HDI), отражающий продолжительность жизни, уровень смертности от заболеваний, экологические условия, а также интеллектуальные компоненты - уровень образования и культурного развития.
индекс равенства между полами и поколениями (GDI) - различия в доходах, доступности политических и социальных благ для возрастных групп населения, мужчин и женщин;
индекс участия в управлении (GEM), отражающий представительство в органах власти для различных социальных и половозрастных групп и их способность участвовать в управлении.
В качестве основной комплексной характеристики уровня жизни населения в настоящее время применяется индекс человеческого развития, исчисляемый как интегральный трех составляющих: ВВП на душу населения, ожидаемой продолжительности жизни при рождении, достигнутого уровня образования.
Если говорить о видах уровня жизни населения, то выделяют четыре уровня:
достаток (потребление благ, которые обеспечивают полное формирование человека);
2) нормальный уровень (целесообразное потребление по научно доказанным нормам, дающее возможность человеку восстановить его физические и интеллектуальные силы);
3) бедность (крайне недостаточное потребление благ для нормальной жизнедеятельности);
4) нищета (минимальное потребление благ, не позволяющее удовлетворить самые элементарные физиологические и социальные потребности и дающее возможность только лишь поддержать жизнеспособность человека).
Вследствие перехода к рыночной экономике произошло резкое снижение уровня жизни населения, усилилась дифференциация населения по уровню доходов. Повышение уровня жизни является первоочередным направлением общественного развития.
Наиболее важными элементами уровня жизни выступают доходы населения и его социальное обеспечение, потребление им материальных благ и услуг, условия жизни, свободное время.
1.5 Статистические показатели, характеризующие уровень жизни населения
Показатель - численная характеристика отдельных сторон деятельности. Социально-экономические показатели уровня жизни населения формируются на основе статистических данных, характеризующих объем, состав, основные направления использования и распределения между отдельными группами денежных доходов населения, а также, с привлечением других данных, отражающих конечный результат экономической и социальной политики в областях, затрагивающих различные аспекты уровня жизни населения. Социально-экономические показатели выражаются через средние величины, темпы изменения, коэффициенты частоты, концентрации, дифференциации и покупательной способности.
Ввиду отсутствия единого обобщающего показателя, характеризующего уровень жизни населения, для его анализа рассчитывается целый ряд статистических показателей, отражающих различные стороны данной категории и сгруппированных в основные блоки.
Показатели уровня жизни населения:
1. показатели доходов населения;
2. показатели расходов и потребления населением материальных благ и услуг;
3. сбережение;
4. показатели накопленного и имущества и обеспеченности населения жильем;
5. показатели дифференциации доходов населения, уровня и границ бедности;
6. социально-демографические характеристики;
7. обобщающие оценки уровня жизни населения.
Эта система показателей отражает количественную сторону изучаемой категории. Для качественной характеристики условий жизни населения необходимо использовать показатели социальной статистики, дающие представление о качестве жизни. К их числу относятся основные показатели демографической статистики, состояния и охраны здоровья, качества и структуры потребляемых продуктов питания, уровня грамотности и состояния сферы образования и культуры, комфортабельности жилья и т.д.
Эти показатели используются в международной статистической практике для более полной характеристики благосостояния населения. Термин «уровень жизни» был введен ООН в 1961 году.
Система показателей уровня жизни в международной статистике ООН включает двенадцать разделов:
1. Рождаемость, смертность и другие демографические характеристики населения;
2. Санитарно-гигиенические условия жизни;
3. Потребление продовольственных товаров;
4. Жилищные условия
5. Образование и культура;
6. Условия труда и занятость;
7. Доходы и расходы населения;
8. Стоимость жизни потребительски цены;
9. Транспортные средства;
10. Организация отдыха;
11. Социальное обеспечение;
12. Свобода человека.
Для сопоставления уровня жизни в разных странах в мировой практике используют также следующие показатели:
Объем валового внутреннего продукта на душу населения
Индекс потребительский цен
Структуру потребления
Коэффициент смертности
Коэффициент рождаемости
Ожидаемая продолжительность жизни при рождении
Уровень младенческой смерти
В данной курсовой работе, мы будем рассматривать уровень жизни населения по доходам и расходам.
2. Анализ доходов и расходов населения РФ
2.1 Анализ состава, структуры и динамики доходов населения
Для анализа доходов населения необходимо определить относительную величину структуры доходов населения Камчатского края.
Таблица 1 - Состав денежных доходов населения РФ
|
2004 г. |
2013 г. |
|||
|
Доход (млн.руб.) |
% |
Доход (млн.руб.) |
% |
|
|
Денежные доходы - всего |
15304,0 |
100 |
93147,2 |
100 |
|
в том числе: |
||||
|
Доходы от предпринимательской деятельности |
2619,7 |
17,1 |
5430,4 |
5,8 |
|
Оплата труда |
9049,3 |
59,2 |
50413,8 |
54,1 |
|
Социальные выплаты |
1439,9 |
9,4 |
13047,6 |
14,0 |
|
из них: |
||||
|
Пенсии |
1004,8 |
6,6 |
9298,9 |
10,0 |
|
Пособия и социальная помощь |
417,4 |
2,7 |
3439,4 |
3,7 |
|
Стипендии |
15,6 |
0,1 |
101,3 |
0,1 |
|
Доходы от собственности |
231,0 |
1,5 |
2224,8 |
2,4 |
|
Другие доходы |
1964,1 |
12,8 |
22030,6 |
23,7 |
- ОВС доходов от предпринимательской деятельности за 2004 год:

- ОВС оплаты труда за 2004 год:

- ОВС социальных выплат за 2004 год:

- ОВС пенсий за 2004 год:

- ОВС пособий и социальной помощи за 2004 год:

- ОВС стипендий за 2004 год:

- ОВС доходов от собственности за 2004 год:

- ОВС от прочих доходов за 2004 год:

- ОВС доходов от предпринимательской деятельности за 2013 год:

- ОВС оплаты труда за 2013 год:

- ОВС социальных выплат за 2013 год:

- ОВС пенсий за 2013 год:

- ОВС пособий и социальной помощи за 2013 год:

- ОВС стипендий за 2013 год:

- ОВС доходов от собственности за 2013 год:

- ОВС от прочих доходов за 2013 год:

Рисунок 2.1 Структура доходов населения в РФ в 2004 г. (в процентах)
Рисунок 2.2 Структура доходов населения в РФ в 2013 г. (в процентах)
Вывод: В 2004 году наибольшим доходом населения была оплата труда, на втором месте доходы от предпринимательской деятельности, на третьем месте были прочие доходы, на четвертом доходы от социальных выплат, на пятом доходы от собственности. В 2013 году прочие доходы вышли на второе место, доходы от социальных выплат вышли на третье место, а доходы от предпринимательской деятельности опустились на четвертое место.
Наиболее существенные структурные сдвиги наблюдались по доходам от оплаты труда их доля снизилась более чем на 5%, доходы от предпринимательской деятельности снизились более чем на 11%, доходы от социальных выплат повысились практически на 5%, а прочие доходы повысились на 11%.
Определим динамику покупательной способности населения.
Таблица 5 - Покупательная способность среднедушевых денежных доходов населения на хлеб и булочные изделия из пшеничной муки
|
Год |
Кол-во прод. (кг.) |
Абсолютный прирост (x) |
Темп роста (Тр) |
Темп прироста (Тпр) |
Абсолютное значение одного процента прироста () |
|||
|
Базисный |
Цепной |
Базисный |
Цепной |
Базисный |
Цепной |
|||
|
2009 |
292,6 |
- |
- |
- |
- |
- |
- |
- |
|
2010 |
296,2 |
3,6 |
3,6 |
101,2 |
101,2 |
1,2 |
1,2 |
2,93 |
|
2011 |
284,9 |
-7,7 |
-11,3 |
97,4 |
96,2 |
-2,6 |
-3,8 |
2,96 |
|
2012 |
334,0 |
41,4 |
49,1 |
114,1 |
117,2 |
14,1 |
17,2 |
2,85 |
|
2013 |
421,7 |
129,1 |
87,7 |
144,1 |
126,3 |
44,1 |
26,3 |
3,34 |
Определим абсолютные и относительные показатели динамики:
- Абсолютный прирост:
базисный за 2010 год: 
базисный за 2011 год: 
базисный за 2012 год: 
базисный за 2013 год: 
цепной за 2010 год: 
цепной за 2011 год: 
цепной за 2012 год: 
цепной за 2013 год: 
- Темп роста:
базисный за 2010 год: 
базисный за 2011 год: 
базисный за 2012 год: 
базисный за 2013 год: 
цепной за 2010 год: 
цепной за 2011 год: 
цепной за 2012 год: 
цепной за 2013 год: 
- Темп прироста:
базисный за 2010 год: 
базисный за 2011 год: 
базисный за 2012 год: 
базисный за 2013 год: 
цепной за 2010 год: 
цепной за 2011 год: 
цепной за 2012 год: 
цепной за 2013 год: 
- Абсолютное значение одного процента прироста:
за 2010 год: 
за 2011 год: 
за 2012 год: 
за 2013 год: 
Определим средние показатели динамики:
- Средний абсолютный прирост:
кг - Средний темп роста:

- Средний темп прироста:
% - Так как данный ряд является интервальным, то
Средний уровень ряда:
кг
Вывод: При оценке динамики покупательной способности населения на примере хлебобулочных изделий выявилась положительная тенденция роста. За последние 5 лет покупательная способность населения на хлеб и булочные изделия из пшеничной муки в среднем увеличивалась на 32,275 кг. или на 9,6 процентов. В среднем покупательная способность составила 325,88 кг. Следует заметить, что за 2012 и 2013 года произошло резкое увеличение покупательской способности на 49 и на 88 кг. соответственно.

Рисунок 2.6 - Покупательная способность населения на хлеб и булочные изделия из пшеничной муки (в килограммах в месяц)
3. Расчет показателей динамики и структуры объекта исследования
3.1 Анализ статистического распределения населения по величине среднедушевых денежных доходов
Для расчета анализа статистического распределения населения по величине среднедушевых денежных доходов необходимо закрыть первый и последний интервалы и составить вспомогательную таблицу, где:
- численность человек (в процентах);
- середина интервала;
- накопленные частости.
Таблица 6 Распределение населения по величине среднедушевых денежных доходов (в процентах)
|
Среднедушевой денежный доход, рублей в месяц за 2013 г. |
Население |
|
до 2000 |
0,1 |
|
от 2000 до 4000 |
1,4 |
|
от 4000 до 6000 |
4,1 |
|
от 6000 до 8000 |
6,5 |
|
от 8000 до 10000 |
7,8 |
|
от 10000 до 15000 |
20,0 |
|
от 15000 до 25000 |
28,8 |
|
свыше 25000 |
31,3 |
|
ИТОГО |
100 |
Рисунок 2.7 - Распределение населения в РФ по величине среднедушевого денежного дохода в 2013 г.
Как можно увидеть из представленных данных, наибольшее количество населения 31,3 % имеют среднедушевой доход в месяц свыше 25 тыс. руб. Далее следует группа с уровнем дохода от 15 тыс. руб. до 25 тыс. руб. (28,8 %) и замыкает тройку группа населения округа с доходом от 10 тыс. руб. до 15 тыс. руб. (20,0 %).
Таблица 7 Вспомогательная таблица
|
|
|
|
|
|
|
|
|
|
0,1 |
1000 |
100 |
0,1 |
18055 |
1805,5 |
325983025 |
32598302,5 |
|
1,4 |
3000 |
4200 |
1,5 |
16055 |
22477,0 |
257763025 |
360868235 |
|
4,1 |
5000 |
20500 |
5,6 |
14055 |
57625,5 |
197543025 |
809926402,5 |
|
6,5 |
7000 |
45500 |
12,1 |
12055 |
78357,5 |
145323025 |
944599662,5 |
|
7,8 |
9000 |
70200 |
19,9 |
10055 |
78429,0 |
101103025 |
788603595,0 |
|
20,0 |
12500 |
250000 |
39,9 |
6555 |
131100,0 |
42968025 |
859360500,0 |
|
28,8 |
20000 |
576000 |
68,7 |
945 |
27216,0 |
893025 |
25719120,0 |
|
31,3 |
30000 |
939000 |
100 |
10945 |
342578,5 |
119793025 |
3749521683,0 |
|
100 |
87500 |
1905500 |
- |
88720 |
739589,0 |
1191369200 |
7571197500,0 |
Далее представлена кумулята распределения, которая показывает, сколько единиц совокупности имеют значение признака не больше, чем рассматриваемое значение.
Рисунок 2.8 - Кумулята распределения населения по величине среднедушевого дохода
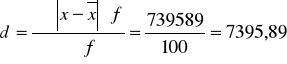
1. Определим показатели центра распределения:
- Средняя арифметическая:

- Мода

На основании данных вспомогательной таблицы мода составляет 25,74 тыс. руб. для расчета выбран модальный интервал (25000 руб. до 35000 руб.), поскольку он имеет наибольшую частоту (31,3 %). Таким образом, наиболее часто встречающаяся величина среднедушевого дохода в вариационном ряду составляет 25740 рублей.
- Медиана

Для расчета выбран медианный интервал, в котором сумма накопленных частот составляет более 50 % (от 15000 руб. до 25000 руб.). Следовательно, половина жителей РФ имеют месячный среднедушевой доход меньше 21493,1 руб., а половина больше этой суммы.
2. Определим показатели вариации:
2.1) Размах вариации

2.2) Среднее линейное отклонение
взвешенное: 
2.3) Среднее квадратичное отклонение
взвешенное: 
2.4) Дисперсия
взвешенная: 
2.5) Коэффициент вариации
- вариация средняя, совокупность относительно однородная
3. Определим показатели формы распределения:
3.1) Коэффициент асимметрии

асимметрия значительная, правосторонняя
- Определим децильный коэффициент дифференциации
Для определения децильной величины дифференциации доходов населения РФ необходимо рассчитать верхний и нижний децили.
4.1) Нижний дециль

Примерно 10% населения РФ в 2013 году имели заработную плату менее 7353,8 рублей.
4.2) Верхний дециль

Примерно 10% населения РФ в 2013 году имели заработную плату более 31805,1 рублей.
4.3) Децильный коэффициент дифференциации

В 2013 году минимальный месячный среднедушевой доход 10% наиболее обеспеченного населения превышает максимальный доход 10% наименее обеспеченного населения в 4,3 раза.
4. . ПРОГРАММА ПОВЫШЕНИЯ БЛАГОСОСТОЯНИЯ НАСЕЛЕНИЯ РФ
Программа комплексного социально-экономического развития РФ на период 2010-2015 гг. и в перспективе до 2025 года.
Основная цель программы:
Социально-экономическое развитие РФ направленное на обеспечение устойчивого повышения уровня жизни населения и высоких темпов экономического роста, снижение социального неравенства.
Цели социально экономической программы:
- повышение материального уровня жизни населения;
- обеспечение потребностей в социальном обслуживании и социальной поддержке;
- обеспечение продуктивной занятости и достойных условий труда;
- воспроизводство и развитие потенциала трудовых ресурсов.
Программа социально-экономического развития заключаются в содействии улучшению демографической ситуации, росту уровня и качества жизни через повышение доходов населения, улучшению здоровья, созданию условий для достойного труда и продуктивной занятости, усилению социальной защиты уязвимых групп населения.
Определены следующие цели социально-экономического развития РФ:
1. Улучшение демографической ситуации и положения семей с детьми, а также детей, находящихся в трудной жизненной ситуации.
2. Повышение благосостояния населения, снижение бедности и неравенства по денежным доходам населения.
3. Повышение эффективности системы социального обслуживания и социальной поддержки населения.
4. Содействие продуктивной занятости населения, обеспечение защиты прав граждан в области труда.
Основные мероприятия повышения уровня жизни населения.
Главными направлениями работы в социальной сфере в предстоящий период будут:
- решение демографических проблем на основе повышения рождаемости и сокращения смертности;
- реализация приоритетного национального проекта в сфере здравоохранения в целях повышения доступности и качества медицинской помощи;
- поддержка старшего поколения на основе повышения уровня пенсионного обеспечения и эффективности предоставляемой социальной помощи.
Мероприятия, проводимые по этим направлениям, наряду с другими мерами социальной направленности, прежде всего по повышению заработной платы и увеличению занятости населения, будут способствовать решению главной задачи - последовательного повышения уровня и качества жизни населения, сокращения бедности, обеспечения всеобщей доступности основных социальных услуг.
1. Улучшение демографической ситуации и положения семей с детьми, а также детей, находящихся в трудной жизненной ситуации.
Данная цель направлена на постепенную стабилизацию численности населения страны на основе создания условий, благоприятных для рождения детей, снижения смертности и упорядочения миграции населения на оказание помощи и поддержки семьям с детьми, находящимися в трудной жизненной ситуации; на защиту прав и интересов детей и подростков, оставшихся без попечения родителей.
Для достижения цели потребуется повысить эффективность деятельности органов государственной власти и органов местного самоуправления в сфере регулирования демографических процессов, касающихся рождаемости, оказания поддержки семье, улучшения здоровья населения, увеличения ожидаемой продолжительности жизни, миграции населения и иных аспектов демографического развития.
2. Повышение благосостояния населения, снижение бедности и неравенства по денежным доходам населения.
Достижение повышения благосостояния населения, снижение бедности и неравенства по денежным доходам населения в полном объеме возможно только при устойчивом экономическом росте, снижении темпов инфляции, проведении сбалансированной налоговой политики. Уровень достижения цели зависит также от своевременного выделения в полном объеме бюджетных средств, предусмотренных на реализацию соответствующих программ, средств государственных внебюджетных фондов (Пенсионного фонда, Фонда социального страхования).
Повышение благосостояния населения в значительной степени связано с ситуацией на рынке труда и занятостью населения.
Предусматривается провести работу по переориентированию деятельности системы органов социальной защиты населения и муниципальных образований преимущественно на предоставление помощи семьям, находящимся за чертой бедности. Будут разрабатываться, и внедряться информационные технологии и эффективные методики адресной социальной помощи и содействия бедным семьям.
Программы помощи бедным должна носить комплексный характер и предусматривать сочетание материальной помощи бедным с мерами по социальной интеграции и повышению конкурентоспособности на рынке труда. Это предполагает наличие тесной координации деятельности органов социальной защиты с органами занятости населения и органами, осуществляющими предоставление жилищных субсидий и иных форм социальной помощи, на основе совместного планирования и реализации социальных программ и использования единых баз данных о бедных домохозяйствах.
Особое внимание должно быть уделено обеспечению эффективного взаимодействия органов социальной защиты и занятости населения с негосударственными организациями, чья деятельность направлена на оказание помощи нуждающимся категориям населения, а также с представителями делового сообщества. Важно обеспечить развитие механизмов частно-государственного партнерства, позволяющих объединять средства государства и частных благотворителей, а также привлекать негосударственные организации для совместной разработки и реализации программ сокращения бедности на условиях государственного социального заказа, социальных грантов и в иных формах.
Конечным результатом мероприятий, реализуемых в рамках данной стратегической цели задач, должно стать существенное сокращение бедности, снижение дифференциации в денежных доходах.
3. Целью социального обслуживания и оказания мер социальной поддержки населению является снижение воздействия факторов социального риска и максимально возможная степень реализации социальных гарантий в сочетании с предоставлением широкого спектра услуг, создание благоприятных условий для полноценной жизни, восстановления личностного и социального статуса, оказание социальной, бытовой, медицинской, консультативной помощи, улучшение положения пожилых граждан, инвалидов и семей с детьми, а также детей, находящихся в трудной жизненной ситуации.
Реализация поставленной цели проходит в соответствии со следующими основными принципами социальной поддержки:
адресность предусматривает предоставление помощи конкретным нуждающимся лицам и семьям, с учетом их индивидуальных потребностей и возможностей;
дифференцированность предполагает определение размеров и видов помощи в зависимости от условий проживания, уровня доходов, степени нуждаемости, возможности оказания помощи со стороны родственников и других факторов;
гарантированность предполагает обязательное оказание помощи обратившимся гражданам и семьям с детьми, имеющим на нее право;
комплексность предполагает возможность предоставления одновременно нескольких видов социальной помощи (денежной, натуральной, в виде услуг);
принцип социального реагирования предполагает корректировку мероприятий, размера и вида помощи и категорий населения при изменении социально-экономической ситуации.
Поставленная цель достигается за счет предоставления пожилым гражданам, инвалидам и семьям с детьми, находящимся в трудной жизненной ситуации, мер муниципальной социальной поддержки и социальных услуг.
Для достижения поставленной цели могут быть сформулированы следующие задачи:
обеспечение доступности услуг в сфере социального обслуживания населения;
активизация комплексного подхода и укрепление гарантий получения социальной, медико-социальной, социально-бытовой, психологической, юридической, экономической помощи населению;
переход от заявительного принципа социального обслуживания к принципу активного выявления граждан, нуждающихся в социальных услугах;
повышение качества социальных услуг;
внедрение новых эффективных социальных технологий;
повышение профессионального уровня социальных работников;
укрепление материально - технической базы учреждения социального обслуживания;
создание условий для развития социальной ответственности у родственников и лиц, осуществляющих уход за престарелыми и инвалидами.
Для осуществления поставленных задач необходимо выполнение следующих мероприятий:
применение сетевых технологий обеспечения отдельными услугами;
развитие первичного звена инфраструктуры предоставления социальных услуг социальных служб;
создание групп взаимопомощи граждан пожилого возраста и инвалидов;
посещение пожилых людей на дому психологом;
выявление индивидуальных потребностей потребителей в социальных услугах;
развитие социального патронажа как эффективного метода своевременного выявления граждан, оказавшихся в сложной жизненной ситуации, предоставления им адекватных социальных услуг, предотвращения потенциально опасных ситуаций вследствие необеспеченности необходимыми услугами;
открытие отделения разноуровневого социального обслуживания на дому без дополнительного финансирования путем внутренней перестановки кадров в отделении;
установление дополнительной адресной помощи малообеспеченным семьям в виде денежных выплат, натурального обеспечения, предоставления социальных услуг;
проведение мероприятий, направленных на нравственное и духовное воспитание детей и семей в целом;
укрепление взаимодействия с общественными, благотворительными организациями в решении задач социальной поддержки населения городского округа.
Ожидаемые результаты от предоставления мер социальной поддержки и оказания социальх услуг:
стабилизация социальной обстановки в городском округе, снижение социальной напряженности;
обеспечение дополнительной экономической помощью лиц пожилого возраста, лиц с ограниченными возможностями здоровья, семей с несовершеннолетними детьми;
повышение качества и уровня жизни пожилых граждан, инвалидов и семей с несовершеннолетними детьми;
привлечение внимания общественности к проблемам пожилых людей, лиц с ограниченными возможностями здоровья.
Стратегическим направлением развития социальных услуг должно стать предупреждение с помощью социальных услуг различных социальных рисков, использование социальных услуг в качестве одного из факторов системы социальной безопасности уязвимых групп населения. Оказание социальных услуг должно гарантировать каждому социальную поддержку в кризисных ситуациях (разовые социальные услуги срочного характера), эффективную социальную помощь (регулярные социальные услуги в определенные периоды жизненного цикла), надежную социальную защиту (длительные или непрерывные услуги комплексного характера).
Обеспечение населения доступными гарантированными социальными услугами это путь к продлению независимой жизни, сохранению и эффективному использованию человеческих ресурсов.
4. Содействие продуктивной занятости населения, обеспечение защиты прав граждан в области труда.
Программой социально-экономического развития предусмотрено принять конкретные меры для того, чтобы:
- создать условия для более эффективного регулирования использования рабочей силы;
- развивать эффективную занятость населения, создать условия для снижения безработицы и обеспечения социальной поддержки безработных граждан;
- повысить мобильность рабочей силы и обеспечить регулирование миграционных процессов с учетом потребностей рынка труда.
- обеспечивать доступность и качество услуг в сфере содействия занятости населения и защиты от безработицы, трудовой миграции, урегулирования коллективных трудовых споров;
- модернизировать механизмы проведения активной политики занятости и реализации других мер, способствующих повышению качества человеческого капитала;
- создать условия для привлечения квалифицированных, легальных трудовых иммигрантов.
Программа социально-экономического развития заключаются в содействии улучшению демографической ситуации, росту уровня и качества жизни через повышение доходов населения, улучшению здоровья, созданию условий для достойного труда и продуктивной занятости, усилению социальной защиты уязвимых групп населения.
Заключение
Изучение тенденций и закономерностей доходов и расходов населения составляет одну из актуальных задач статистики. Анализ структуры денежных доходов населения края подтвердил общероссийскую тенденцию основной доход население края получает за счет заработной платы, ее значение составляло в 2004 году более 59% в общей структуре доходов населения, однако в 2013 году ее значение упало до 54% . Так же наблюдалось значительное снижение в 2013 году части доходов от предпринимательской деятельности, по сравнению с 2000 годом это значение опустилось более чем на 11% и составило менее 6% от общей структуры. Следует отметить рост социальных выплат практически на 5%, а прочие доходы повысились на 11%, и составили в 2013 году 14% и 24% соответственно.
Проанализировав величину дохода населения РФ и сравнив ее с общероссийским уровнем дохода, можно прийти к выводу, что доход населения РФ в среднем на 30 процентов больше, чем доход населения по всей стране. Максимальная разница была в 2009 году и составила более 34 процентов.
Изучив величины начисленных заработных плат населения Камчатского края с и сравнив их с общероссийскими показателями, можно прийти к выводу, что начисления заработной платы в РФ в среднем больше на 70 процентов, чем начисления заработной платы по всей стране. Максимальная разница была зафиксирована в 2008 году, она составила 81%, минимальная разница наблюдалась в 2012 году 57,5%.
При анализе структуры и состава расходов населения края выявилась определенная закономерность, на первом месте стояли затраты населения на покупку товаров и оплату услуг, на втором месте прирост финансовых активов, на третьем месте расходы на обязательные платежи и разнообразные взносы, на четвертом месте расходы на приобретение недвижимости. Следует заметить, что за период с 2004 по 2013 год затраты населения на покупку товаров и оплату услуг уменьшились практически на 14 процентов, прирост финансовых активов увеличился почти на 8 процентов, так же увеличились затраты на обязательные платежи и разнообразные взносы на 5 процентов. Расходы на приобретение недвижимости увеличились всего на 0,8 процентов.
При оценке динамики покупательной способности населения на примере хлебобулочных изделий выявилась положительная тенденция роста. За последние 5 лет покупательная способность населения на хлеб и булочные изделия из пшеничной муки в среднем увеличивалась на 32,275 кг. или на 9,6 процентов. В среднем покупательная способность составила 325,88 кг. Следует заметить, что за 2012 и 2013 года произошло резкое увеличение покупательской способности на 49 и на 88 кг. соответственно.
Проанализировав статистическое распределение населения по величине среднедушевых денежных доходов, выяснилось что половина жителей края имеет месячный среднедушевой доход больше 21493,1 руб.
В результате расчета децильного коэффициента дифференциации среднедушевых денежных доходов населения стало известно, что в 2013 году минимальный месячный среднедушевой доход 10% наиболее обеспеченного населения превышает максимальный доход 10% наименее обеспеченного населения в 4,3 раза.
Список использованной литературы:
1. Балдин К.А. Общая теория статистики. 2- е издание дополненное и переработнное. М.: Дашков и Ко, 2010 -361 с.
2. Герасимова И.А. Межрегиональная дифференциация среднедушевого денежного дохода населения России (1995-2006 гг.). // Научные труды: Институт народнохозяйственного прогнозирования РАН. 2008. Т. 6. С. 832-844
3. Елисеева И.И. М.М. Юзбашев Общая теория статистики под редакцией Елисеевой И.И. М.: Финансы и статистика, учебник 5-е издание переработанное и дополненное, 2007. 656 с.
4. Ефимова М.Р., Бычкова С.Г. Социальная статистика: Учебное пособие. М.: Финансы и статистика, 2003. 560 с.
5.Статистика: Учебн. пособие / О.В. Дмитриева; Моск. гос. ун-т. печати. М.:МГУП, 2006. 182 с.
6. Литвинов В.А. О дифференциации населения по доходам и уровню жизни. // Уровень жизни населения регионов России. 2008. № 5. С. 70-76.
7. Минашкин В.Г. Козарезова О.Л. Основы теории статистики. Учебное пособие. М.: Финансы и статистика, 2008. 144 с.
8. Озерова К.А. Уровень и дифференциация доходов населения в субъектах Российской Федерации. // Экономика образования. 2008. № 3. С. 137-148.
9. Социальное положение и уровень жизни населения России. 2008: Стат.сб. / Росстат - M., 2008. 502 c.
10. Статистика. 3- е издание дополненное и переработанное под редакцией Харченко Л.П. Ионина В.Г. М.: Инфра-М, 2010. 445 с.
11. Суворов А.В. Проблемы анализа дифференциации доходов и построение дифференцированного баланса денежных доходов и расходов населения. // Проблемы прогнозирования. 2001. № 1. С. 58-74.
PAGE \* MERGEFORMAT 0
Закономерности формирования доходов и расходов населения РФ







