СЭС: шпаргалка
1. Предмет СЭС, ее теоретическая и методологическая основы. Современные задачи и система показателей СЭС.
Предмет исследования СЭС национальная экономика страны
Объект исследования СЭС массовые экономические и социальные процессы и явления, совершающиеся на уровне экономики страны в целом как единого народно-хозяйственного комплекса.
Задача СЭС- получение количественно-качественных характеристик конкретных результатов деятельности человека в национальной экономике в единстве всех ее подсистем.
Таким образом, СЭС изучает массовые экономические, социальные процессы и явления на макроуровне, выявляет присущие им закономерности, дает количественно-качественную характеристику проявления действия экономических законов в конкретных условиях.
Теоретической основой СЭС - является общая экономическая теория, которая раскрывает всю систему экономических явлений и процессов в их взаимосвязи и взаимообусловленности с помощью экономических категорий и законов.
Методологической основой СЭС - является общая теория статистики, которая разрабатывает статистическую методологию, т. е. статистические методы сбора, обработки, представления и анализа статистической информации
Система показателей СЭС - В соответствии с предметом и задачами СЭС строится система ее показателей, т. е. совокупность конкретных количественно-качественных статистических характеристик национальной экономики состоит из трех групп:
1. Статистика экономического потенциала общества:
- населения, трудовых ресурсов и рынка труда;
- национального богатства;
2. Статистика результатов экономической деятельности:
- производства и использования национального продукта;
- рынка товаров и услуг;
- затрат на производство товаров и услуг;
- финансов;
- эффективности экономической деятельности;
3. Статистика уровня жизни населения:
- доходов населения;
- потребления населением товаров и услуг;
- состояния и развития отраслей, обслуживающих население.
2. Система показателей и основные группировки в экономической статистике.
В соответствии с предметом и задачами СЭС строится система ее показателей, т. е. совокупность конкретных количественно-качественных статистических характеристик национальной экономики система показателей состоит из трех групп:
1. Статистика экономического потенциала общества:
- населения, трудовых ресурсов и рынка труда;
- национального богатства
2. Статистика результатов экономической деятельности:
- производства и использования национального продукта;
- рынка товаров и услуг;
- затрат на производство товаров и услуг;
- финансов;
- эффективности экономической деятельности.
3. Статистика уровня жизни населения:
- доходов населения;
- потребления населением товаров и услуг;
- состояния и развития отраслей, обслуживающих население
Каждая из этих групп строится как система показателей, характеризующих отдельные экономические явления, только их совокупность дает характеристику состояния и развития национальной экономики в целом.Центральное звено реформирования статистики переход к применению научно обоснованной системы показателей СЭС, отвечающей условиям рыночной экономики, требованиям эффективного ее функционирования в интересах общества и международным стандартам.
СНС-это система взаимосвязанных показателей и классификаций, используемых для описания и анализа наиболее общих результатов и аспектов экономического процесса на макроуровне, основанная на использовании такого важного приема бухгалтерского учета, как принцип двойной записи операций, а также на табличном и балансовом статистических методах.
Центральной категорией СНС является экономический оборот, под которым понимается воспроизводство общественного продукта. В СНС он представлен как производство, потребление и накопление национального продукта. Участниками экономического оборота выступают институциональные единицы, объединенные в секторы экономики
Институциональная единица это такая единица хозяйствования, которая владеет активами, обладает правом ведения хозяйственной деятельности, ведет полный набор бухгалтерских счетов и несет полную ответственность по своим обязательствам.
Активы это экономические объекты, в отношении которых институциональные единицы (индивидуально или коллективно) осуществляют право собственности и от которых могут быть получены экономические выгоды в виде прибыли, доходов от собственности и др. С понятием активов неразрывно связано понятие пассивов источников формирования активов.
Резиденты это физические или юридические лица, проживающие в данной стране не менее 12 месяцев и имеющие в ней центр экономических интересов. Центр экономических интересов нерезидентов переносится на экономическую территорию других стран.
СЭС использует группировки как важнейшее средство изучения социально-экономических явлений и как инструмент организации информации, ее упорядочения, анализа, хранения и эффективного поиска.
- в статистической практике применяется множество группировок конкретного назначения, основными из которых являются следующие: 1) по странам мира;
- по административно-территориальным единицам: федеральным округам, экономическим районам, областям, краям, автономным республикам, областям и округам, городам;
- по экономическим регионам;
- по формам собственности: федеральная, муниципальная, общественных объединений (организаций), частная, российская, иностранная, смешанная российская и иностранная
- по организационно-правовым формам предприятий и организаций;
- по размерам предприятий;
- по отраслям экономики: промышленность; сельское хозяйство; лесное хозяйство; строительство; прочие виды деятельности; транспорт; связь; оптовая и розничная торговля, общественное питание; информационно-вычислительное обслуживание
- по видам экономической деятельности;
- по видам продукции, работ и услуг;
- по разделению населения: по полу, возрастным группам, национальности, уровню образования, месту жительства (город, село), занятости, занятиям, доходам, уровню социальной защиты.
ЕСКК совокупность общероссийских классификаторов технико-экономической и социальной информации; средств ведения классификаторов; нормативных и методических документов по их разработке, ведению и применению. ЕСКК устанавливает единые методологические и организационные основы проведения работ по классификации и кодированию информации, а также состав, содержание и порядок проведения этих работ.
3. Источники данных о населении. Категории населения. Статистика механического движения населения.
Источники данных о населении - Основными источниками данных демографической статистики являются текущий учет (регистрация рождений, смертей, браков, миграции), а также единовременные наблюдения в виде сплошных и выборочных переписей населения. В ряде развитых стран Западной Европы широкое распространение получили регистры населения.
Перепись специально организованное на государственном уровне единовременное статистическое обследование, позволяющее получить сведения от населения путем индивидуального опроса граждан по месту жительства. Для расширения круга собираемых данных перепись дополняется выборочной, когда ряд дополнительных вопросов задается выборочной совокупности населения. Объектом наблюдения являются человек, семья, домашнее хозяйство.
Переписи населения дают наиболее полные и точные сведения о численности и составе населения.
Чтобы обеспечить полноту и точность учета населения, учет необходимо проводить на какой-либо момент времени (обычно это 1 января, 1 июля, а также на критический момент переписи)
Текущий учет населения - В промежутках между переписями текущий учет родившихся, умерших, прибывших и убывших на ту или иную территорию позволяет определять численность населения на основе данных последней переписи населения.
В России естественное движение населения учитывается через отделы ЗАГС (записи актов гражданского состояния). Каждый факт смерти и рождения, брака и развода учитывается там по мере возникновения (наступления).
В каждом первичном документе фиксируется не только факт наступления события, но и сведения о зарегистрированном лице
Регистр населения - Многие страны перешли к регистру населения это распределенная база данных по населению. Есть данные медицинского страхования, данные автоинспекции, пенсионного фонда, полиции и т.д. Вводится какой-либо ключевой параметр код, присваиваемый каждому человеку (такой, как в России ИНН), и этот параметр присутствует во всех записях
Категории населения - Численность жителей данного населенного пункта изменяется под влиянием рождаемости, смертности, передвижения (миграции) населения.
В рамках учета населения в данном населенном пункте различают четыре категории населения:
- Постоянное (обычное) население ПН - совокупность людей, которые постоянно проживают в данном населенном пункте или на данной территории, независимо от фактического места нахождения на момент учета;
- Наличное население НН - совокупность людей, фактически находящихся в данном населенном пункте или на данной территории на критический момент переписи, независимо от места их постоянного проживания;
- Две дополняющие категории временно отсутствующее и временно проживающее население.
Временно проживающие ВП временно находящиеся в данном населенном пункте (на срок не более 6 месяцев), однако постоянно проживающие за его пределами.
Временно отсутствующие ВО постоянно проживающие в данном населенном пункте, однако отсутствующие в нем на момент учета (на срок не более 6 месяцев).
Между этими категориями населения существует взаимосвязь, которая называется балансом категорий населения:
ПН = НН ВП + ВО или НН = ПН ВО + ВП
Механическое- движение учитывается в паспортных столах милиции. Регистрация носит заявительный характер каждый прибывший/выбывший заполняет листок прибытия/выбытия.
В промежутках между переписями оценку численности населения на начало года производят на основе балансового уравнения:
St+1 = St + Nt Mt + Пt Вt,
где St+1 и St - численность населения соответственно в году t+1 и t;
Nt - число родившихся в году ;
Mt -число умерших в году ;
Пt - число прибывших;
Вt - число выбывших.
4. Показатели состава населения. Категории населения в трудоспособном возрасте, трудоспособного населения и трудовых ресурсов, экономически активного населении, занятых, безработных и экономически неактивного населения.
Определив численность, статистика изучает состав населения, используя метод группировок как в целом по стране, так и по ее отдельным регионам. Группировка проводится по: социальному составу, сферам деятельности и отраслям экономики, профессии, полу, возрасту, семейному положению.
Общие коэффициенты брачности и разводимости это отношение числа браков или разводов к среднегодовой численности населения:
Коэффициент разводимости, показывающий, сколько разводов приходится на каждую тысячу населения в течение календарного года.
Трудовые ресурсы - часть населения, способная работать (в соответствии с трудовым законодательством).
В их состав включают:
- трудоспособное население в трудоспособном возрасте (мужчины от 16 до 59 лет включительно, женщины от 16 до 54 лет включительно за минусом инвалидов);
- работающих подростков до 16 лет и лиц старше трудоспособного возраста.
Экономически активное население- это часть населения (трудовых ресурсов), обеспечивающая предложение рабочей силы на рынке труда для производства товаров, выполнения работ, оказания услуг.
Экономически неактивное население лица, способные к труду (в состав трудовых ресурсов они включаются), но в рыночной экономике они не могут быть отнесены ни к занятым, ни к безработным.
К безработным относятся лица в возрасте экономически активного населения, которые в рассматриваемый период удовлетворяли одновременно трем критериям:
1) не имели работы (другого доходного занятия)
2) занимались поиском работы в любой форме
3) были готовы приступить к работе.
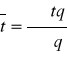
5.Абсолютные и относительные показатели естественного движения населения.
Динамика численности населения характеризуется с помощью абсолютных и средних показателей динамики. Абсолютный показатель - численности населения S моментный показатель (на определенную дату), т.е. 1 января, 1 июня,
Общее изменение численности населения:
DS= St+1 St.
Естественное движение характеризуется следующими абсолютными показателями:
- числом родившихся (N или Р),
- числом умерших (M или У),
- естественным приростом или убылью населения:
Sест=N - M
Это интервальные показатели, обычно они рассчитываются за год
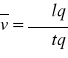
Относительные показатели - используются для характеристики интенсивности воспроизводства, а также для проведения сравнительного анализа. Они выражаются в промилле ‰ и характеризуют уровень явления в расчете на 1 тысячу человек. Бывают общие (для всего населения) и частные (для отдельных групп) показатели.
Общие коэффициенты движения населения - степень изменения среднегодовой численности за счет отдельного фактора ее движения, исчисляются как отношение соответствующего абсолютного показателя движения населения к среднегодовой численности

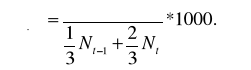
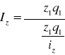
1) Коэффициент рождаемости показывает, сколько человек рождается в течение календарного года в среднем на каждую 1000 человек среднегодовой численности населения:

Общий коэффициент рождаемости показывает, сколько человек рождается в течение календарного года в среднем на каждую 1000 человек наличного населения и вычисляется по формуле

Коэффициент смертности - показывает, сколько человек умирает в течение календарного года в среднем на каждую 1000 человек среднегодовой численности населения:
Коэффициент естественного прироста- Коэффициент естественного прироста показывает величину естественного прироста (убыли) населения в течение календарного года в среднем на 1000 человек среднегодовой численности населения и вычисляется двумя способами:




Коэффициент жизнеспособности - показывает соотношение между рождаемостью и смертностью, характеризует воспроизводство населения. Если Кжизн меньше 100%, то население региона вымирает, если выше 100%, то численность населения региона увеличивается. Этот коэффициент определяется двумя способами:

6. Общие и частные (специальные) показатели статистики населения.
Общие коэффициенты движения населения - степень изменения среднегодовой численности за счет отдельного фактора ее движения, исчисляются как отношение соответствующего абсолютного показателя движения населения к среднегодовой численности
- Коэффициент рождаемости показывает, сколько человек рождается в течение календарного года в среднем на каждую 1000 человек среднегодовой численности населения:


Общий коэффициент рождаемости показывает, сколько человек рождается в течение календарного года в среднем на каждую 1000 человек наличного населения

Коэффициент смертности показывает, сколько человек умирает в течение календарного года в среднем на каждую 1000 человек среднегодовой численности населения:

Общий коэффициент смертности показывает, сколько человек умирает в течение календарного года в среднем на каждую 1000 человек наличного



Коэффициент естественного прироста показывает величину естественного прироста (убыли) населения в течение календарного года в среднем на 1000
человек среднегодовой численности населения:

Коэффициент естественного прироста показывает величину естественного прироста (убыли) населения в течение календарного года в среднем на 1000 человек наличного населения
Ке Кеп= Крожд Ксм


Коэффициент жизнеспособности
Частные и специальные коэффициенты
Частные коэффициенты рассчитываются на 1000 чел. определенной возрастной, половой, профессиональной или какой-либо другой группы населения
1. Возрастной коэффициент рождаемости показывает число родившихся в среднем на 1000 женщин каждой возрастной группы.
2. Специальный коэффициент рождаемости (плодовитости) показывает, какое количество рождений приходится в среднем на 1000 женщин в возрасте от 15 до 49 лет
3. Возрастной коэффициент смертности показывает среднее число умерших на 1000 человек населения данной возрастной группы.
4. Суммарный коэффициент рождаемости зависит от возрастного состава населения и показывает, сколько в среднем детей родила бы одна женщина на протяжении ее жизни при сохранении в каждом возрасте существующего уровня рождаемости
Повозрастной коэффициент смертности рассчитывается делением числа умерших за соответствующий год в соответствующей группе на среднегодовую численность населения в этой группе:

Х возраст или возрастной интервал, профессия или др.;
Мх количество умерших в возрасте х;

Sx средняя численность населения в возрасте х.
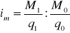
Коэффициент младенческой смертности
N0- число родившихся в прошлом году;
N1- число родившихся в текущем году;
М0 - число умерших в возрасте до 1 года в данном году из числа родившихся в предыдущем году;

М1 - число умерших в возрасте до 1 года из числа родившихся в данном году.

Специальные коэффициенты
Коэффициент фертильности: Специальный коэффициент рождаемости (плодовитости, фертильности) показывает, какое количество рождений приходится в среднем на 1000 женщин в возрасте от 15 до 49 лет:

7.Таблица смертности и расчет перспективной численности населения.
Таблицы смертности - Подробное изучение процессов воспроизводства осуществляется с помощью таблиц смертности. Они строятся для одного условного поколения (родившихся в одном году) на основе повозрастных коэффициентов смертности и показывают, как постепенно с увеличением возраста оно выбывает под влиянием смертности, т.е. показывает порядок вымирания этого поколения.
В таблице смертности показывается изменение численности условного поколения при переходе от возраста к возрасту только под влиянием смертности. Расчет показателей таблицы смертности основан на том, что на всем протяжении жизни изучаемого поколения уровень смертности в отдельных возрастных группах будет соответствовать реальному уровню смертности на момент составления таблицы.
Ожидаемая продолжительность жизни при рождении один из важнейших показателей, рассчитываемых в международной демографической статистике. Он показывает число лет, которое в среднем предстояло бы прожить человеку из поколения родившихся при условии, что на протяжении всей жизни этого поколения половозрастная смертность останется на уровне того года, для которого вычислен этот показатель. Он рассчитывается с помощью составления и анализа таблиц смертности, в которых для каждого поколения вычисляется численность выживших и умерших
Расчет перспективной численности населения - Численность населения на начало года + Число родившихся за год + Число прибывших за год Число умерших за год Число выехавших за год = Численность населения на конец года
Перспективная численность населения рассчитывается на основе данных о естественном и механическом приросте населения за определенный период и предположения о сохранении выявленных закономерностей на прогнозируемый отрезок времени
Коэффициент общего прироста населения (КО.П) рассчитывается следующим образом - КО.П = Крожд Ксм + Кпр Квыб = =КЕ.П + КМ.П

Перспективная численность населения определяется по формуле -
где Нn численность населения на начало планируемого периода;
t число лет, на которые прогнозируется расчет;
КО.П коэффициент общего прироста населения



Также возможен расчет перспективной численности населения с помощью среднегодового абсолютного прироста населения за период ( ) и среднегодового коэффициента роста за период ( ):

Или
8. Задачи и источники данных статистики трудовых ресурсов и занятости населения.
Основными задачами статистики рынка труда являются:
1) сбор информации о численности занятых и безработных как двух составных частях рабочей силы
2) изучение состояния и тенденций на российском рынке труда с помощью показателей уровня занятости и безработицы
3) изучение состава занятых и безработных по разным признакам (полу, возрасту, отраслям и секторам экономики, по регионам страны и другим признакам) с целью регулирования рынка труда, разработки программ по повышению уровня занятости, трудоустройству безработных, их профессиональной переподготовке и т. д.
Баланс трудовых ресурсов источник данных статистики трудовых ресурсов, в котором комплексно объединялась информация органов статистики, других министерств и ведомств, статистики отраслей экономики о численности, составе и использовании трудовых ресурсов.
9. Показатели статистики трудовых ресурсов и занятости населения.
Численность занятых в отраслях экономики это показатель, характеризующий спрос на рабочую силу на рынке труда
Численность безработных это превышение предложения над спросом на рабочую силу на рынке труда. Обычно предложение превышает спрос на рабочую силу, что объективно обусловливает наличие безработицы.
Это не исключает противоположной ситуации на отдельных участках рынка труда (региональных, по видам деятельности)
Экономически активное население- это часть населения (трудовых ресурсов), обеспечивающая предложение рабочей силы на рынке труда для производства товаров, выполнения работ, оказания услуг. Численность экономически активного населения измеряется в физических лицах по отношению к определенному периоду времени и включает две категории: численность занятых в отраслях экономики и численность безработных
Экономически неактивное население это лица, способные к труду (в состав трудовых ресурсов они включаются), но в рыночной экономике они не могут быть отнесены ни к занятым, ни к безработным
К занятым в экономике относятся лица, которые в отчетном периоде выполняли работу по найму за вознаграждение, а также приносящую доход работу не по найму, работу на семейном предприятии без оплаты, занятые в домашнем хозяйстве производством товаров и услуг для реализации, для которых эта работа является основной
К безработным относятся лица в возрасте экономически активного населения, которые в рассматриваемый период удовлетворяли одновременно трем критериям:
1) не имели работы (другого доходного занятия)
2) занимались поиском работы в любой форме
3) были готовы приступить к работе
Пенсионеры, студенты, учащиеся и инвалиды относятся к безработным
Численность занятых в отраслях экономики страны представляет совокупность работников на предприятиях, в организациях, учреждениях, семейных производствах, кооперативах
В списочный состав включаются все постоянные, временные, сезонные работники, принятые на работу. При этом производится запись в трудовой книжке работника. Каждый может быть в списочном составе только одного предприятия
К совместителям внешним относятся лица, которые, как правило, состоят в списочном составе другого предприятия, а на данном предприятии по совместительству выполняют работу в соответствии с трудовым законодательством в совокупности не более чем на 0,5 ставки (продолжительность рабочего дня не более 4 часов)
10. Категории трудовых ресурсов. Методы расчета средней списочной численности работников предприятий и отраслей экономики.
За месяц среднесписочная численность работников исчисляется на базе данных о численности за каждый календарный


Методы расчета средней численности всех работников
Для расчета ряда показателей (средняя зарплата на предприятии, уровень производительности труда и др.) необходима средняя численность всего персонала предприятия. Методику расчета средней численности всех работников, включая совместителей и работающих по договорам
Категории трудовых ресурсов:
- руководители (представители) органов власти и управления, включая руководителей организаций, учреждений и предприятий;
- специалисты высшего уровня в области различных наук (естественных, инженерных, биологических, сельскохозяйственных и др.);
- специалисты среднего уровня квалификации по различным видам деятельности (в сфере образования, здравоохранения, в области финансово-экономической, административной и социальной деятельности и др.);
- служащие, занятые подготовкой информации, оформлением документации и учетом;
- служащие сферы обслуживания;
- рабочие жилищно-коммунального хозяйства;
- квалифицированные работники сельскохозяйственного производства, лесного, охотничьего хозяйства, рыбоводства и рыболовства, производящие продукцию для личного потребления;
- рабочие металлорежущей и машиностроительной промышленности;
- профессии рабочих транспорта и связи;
- неквалифицированные рабочие, занятые в промышленности, строительстве, на транспорте, в связи, геологии и разведке недр
11. Основные статистические показатели использования рабочего времени.
Рабочее время это часть календарного времени, которое работник в соответствии с трудовым законодательством должен отработать у работодателя, в статистике труда рабочее время измеряется в человеко-днях и человеко-часах.
Целодневным простоем считается человеко-день, когда работник явился на работу, но в течение всего рабочего дня к работе не приступил по причине, не зависящей от работника (отсутствие материалов, неисправность оборудования и т. п.).
К целодневным простоям относят и неявки на работу, если работник заранее был предупрежден администрацией о невозможности предоставить ему работу
Сумма явок это сумма отработанных человеко-дней и целодневных простоев.
Календарный фонд времени представляет собой сумму списочных чисел за все дни отчетного периода (включая списочные числа за выходные и праздничные дни) или сумму явок и всех неявок
Табельный фонд времени представляет собой сумму списочных чисел за рабочие дни в отчетном периоде. Он равен календарному фонду времени минус праздничные и выходные человеко-дни.
Максимально возможный фонд рабочего времени (Фmax возм) это максимальное рабочее время, которое могло быть отработано на предприятии в отчетном периоде в соответствии с трудовым законодательством при данной численности работников:
Фmax возм = Фкалендарный Выходные и праздничные
Ежегодные отпуска

Вычислим среднюю списочную численность рабочих за год:

Наиболее общим показателем является коэффициент использования максимально возможного фонда рабочего времени
(Кисп.м.в.ф):
Анализ показателей использования рабочего времени в человеко-днях позволяет выявить причины неиспользования рабочего времени, измерить их величину, провести сравнительный анализ в динамике и в сравнении с другими производственными участками, наметить конкретные действия по более рациональному использованию рабочего времени
12. Показатели движения рабочей силы.
Движение рабочей силы это изменение численности работников в результате приема на работу, увольнения, перевода на другую должность на предприятии.
Оборот по приему это число принятых на работу за отчетный период времени.
Принятые на работу учитываются по источникам формирования рабочей силы:
- по направлению служб занятости и трудоустройства;
- в порядке перевода с других предприятий;
- после окончания учебных заведений;
- принято самим предприятием и др.
Оборот по выбытию это число уволенных по всем причинам.
Основные уважительные причины выбытия (необходимый оборот):
1)окончание срока договора;
2)выход на пенсию;
3)в порядке перевода на другое предприятие;
4) призыв в армию;
5) поступление в учебное заведение;
6) смерть работника.
Выбытие по неуважительным причинам принято называть излишним оборотом или текучестью кадров.
К излишнему обороту относят выбытие:
1) по собственному желанию;
2) за прогулы и другие нарушения трудовой дисциплины.
Статистический анализ количественных характеристик формирования трудовых ресурсов осуществляется с помощью абсолютных и относительных показателей.
Абсолютный прирост:

Естественное движение трудовых ресурсов изменение их численности без учета миграции.

Механическое движение трудовых ресурсов происходит за счет миграцию

Относительные показатели движения трудовых ресурсов рассчитываются по той же схеме, что и для всего населения. Соответственно рассчитываются коэффициенты общего, естественного и механического пополнения, а также выбытия трудовых ресурсов.




13.Задачи и источники данных статистики национального богатства.
Задачи:
- четкое определение экономического содержания НБ, компонентов, входящих в его состав, и их границ;
- подготовка соответствующих классификаций по различным признакам (формам собственности, натурально-вещественному составу, отраслям и секторам экономики);
- выработка единых методологических принципов оценки конкретных элементов богатства: земли, природных ресурсов, нематериальных активов и т.д.;
- разработка необходимой информационной базы для отражения объема, структуры, динамики НБ и его отдельных элементов;
- разработка и утверждение статистического инструментария для наблюдения за элементами НБ;
- взаимоувязка рассчитываемых показателей НБ с другими обобщающими показателями (валовым внутренним продуктом, национальным доходом, национальным сбережением и накоплением);
- разработка методологии расчета производных показателей для экономико-статистического анализа роли элементов НБ в развитии экономики страны.
14. Система показателей национального богатства и их анализ.
НБ как показатель используется для характеристики имущественного положения страны. Как комплексная экономическая категория, НБ характеризуется системой статистических показателей
В ней выделяются следующие подсистемы показателей:
- объема НБ в целом и его компонентов;
- состава и структуры НБ;
- состояния отдельных компонентов НБ;
- простого и расширенного воспроизводства НБ и его компонентов;
- использования НБ;
- эффективности использования НБ;
- динамики НБ.
Показатели НБ по основным элементам (всего и на душу населения) служат одной из важнейших характеристик достигнутого страной уровня социально-экономического развития
15. Показатели и экономико-статистический анализ основного капитала.

- материальные - ценности
- нематериальные - оборотный
капитал
- основной
капитал
Нематериальные:
- Авторские права, патенты, лицензии
- Торговые знаки
- Права на аренду и другие контракты
- Гудвиллы
Нефинансовые произведенные активы:
- основной капитал (функционирующий в отраслях, производящих товары и оказывающих услуги)
- запасы материальных оборотных средств
- ценности
Основной капитал ОК (основные средства, основные фонды) часть НБ. Он создается в процессе производства, многократно используется в производстве (экономике) и постепенно (частями, путем амортизации) переносит свою стоимость на создаваемые продукты и услуги, не изменяя свою натурально-вещественную форму. К ОК относятся здания, сооружения, машины и оборудование
Материальные:
- Земля
- Богатства недр
- Некультивируемые биологические ресурсы
- Водные ресурсы
Нематериальные непроизведённые активы -Это активы, которые созданы вне процесса производства путем юридических или учетных действий. Документы, относимые к нематериальным непроизведённым активам, дают право их владельцам заниматься какой-либо конкретной деятельностью
Финансовые активы-Это активы, которым, как правило, противостоят финансовые обязательства другого собственника
Финансовые активы включают:
- займы
- страховые технические резервы
- прочую дебиторскую и кредиторскую задолженность
- прямые иностранные инвестиции (справочно)
16. Виды оценки основного капитала.
Важнейшим элементом национального богатства является основной капитал ОК, который в статистической литературе также называют основными фондами или основными средствами.
На долю ОК приходится более 90% национального имущества России.
Основным капиталом называют активы, созданные в процессе производства, которые длительное время неоднократно или постоянно в неизменной натурально-вещественной форме используются для производства товаров, оказания рыночных и нерыночных услуг, постепенно утрачивая свою стоимость.
Виды оценки ОК:
Учет ОК ведется в натуральном и стоимостном выражении.
- Натуральные единицы используются для измерения объема определенного вида ОК (количество единиц оборудования, общая мощность оборудования, жилые здания измеряются в квадратных метрах площади и т. д.);
- Стоимостной учет в сопоставимой форме позволяет определить объем, структуру, динамику и степень использования ОК.
Различают следующие виды стоимостной оценки ОК:
- ППС Полная первоначальная стоимость;
- ППС за вычетом износа;
- ПВС полная восстановительная стоимость;
- ПВС за вычетом износа;
- БС балансовая стоимость;
- СС субъективная стоимость;
- РС рыночная стоимость.
ППС это их фактическая стоимость на момент ввода в эксплуатацию, которая включает весь объем затрат на сооружение или приобретение ОК, а также расходы на транспортировку и монтаж. К ней относятся все затраты, вызванные: капитальным ремонтом, модернизацией, расширением (реконструкцией) ОК. ППС является базой для расчета амортизационных отчислений. По полной первоначальной стоимости ОК поступает на баланс предприятия, и его величина остается неизменной в течение срока функционирования ОК.
ППС за вычетом износа (остаточная стоимость) определяется как разность между полной первоначальной стоимостью и стоимостью износа, которая уже перенесена на продукцию в ходе функционирования ОК, плюс стоимость частичного восстановления ОК в ходе его капитального ремонта и модернизации:
Цост.=Цп-(Цп*НА*Тэк)+Цл=Цп(1-НА*Тэк)+Цл, где НА - норма амортизации;
Цп - первоначальная стоимость, руб.;
Тэк - период эксплуатации, лет.
Ликвидационная стоимость (Цл) - это стоимость реализации демонтированной техники.
При Цл>Цост., потери зачисляются в убыток, а при оценке эффективности новой техники вместо списанной потери добавляются к стоимости введенной техники
Полная восстановительная стоимость ПВС определяется как стоимость воспроизводства ОК в новом виде в современных условиях. Различия между первоначальной и восстановительной стоимостью ОК зависят от изменения цен на их отдельные элементы. При этом восстановительная стоимость может быть как больше, так и меньше первоначальной стоимости, что зависит от направления изменения цен на материалы, стоимости производства строительных и монтажных работ, транспортных тарифов, уровня производительности труда и т. д. Оценка ОК по восстановительной стоимости является сопоставимой и позволяет унифицировать основной капитал, введенный в действие в разные периоды. Она необходима для определения объема капитальных вложений и анализа воспроизводства ОК.
В Системе Национальных счетов (СНС) ОК оценивается исключительно по восстановительной стоимости.
Восстановительная стоимость за вычетом износа определяется путем умножения полной восстановительной стоимости, полученной в результате переоценки ОК, на коэффициент его годности. Цв=Цп/(1+П)t, где Цп - первоначальная стоимость, руб.; П - среднегодовой коэффициент прироста производительности труда; t время.
Балансовая стоимость ОК это стоимость, по которой ОК учтен в балансе предприятия. ОК, которым располагали предприятия и организации до момента последней переоценки, учитывается по полной восстановительной стоимости, а та часть ОК, которая введена в действие после переоценки, учитывается по полной первоначальной стоимости. Таким образом, БС является смешанной оценкой.
Рыночная стоимость это наиболее вероятная оценка продажи ОК с учетом его реального состояния, физического и морального износа, уровней фактического и ожидаемого использования, предполагаемой доходности от эксплуатации, соотношения покупательного спроса и предложения.
17. Понятие об амортизации основного капитала, методы ее расчета.
Износ ОК определяется и учитывается практически по всем видам ОК
По ОК, для которого осуществляется начисление амортизации, износ принимается равным амортизации.
По тем объектам ОК, где амортизация не начисляется, износ определяется исходя из срока полезного использования ОК
В настоящее время существует несколько методов начисления амортизации:
- Линейный метод
- Метод ускоренной амортизации
- Метод начисления амортизации по понижающим коэффициентам
При линейном методе в течение всего нормативного срока эксплуатации амортизация начисляется равными частями от балансовой стоимости по установленным нормам При методе ускоренной амортизации амортизация начисляется по удвоенным нормам, применяемым ежегодно к остаточной стоимости ОК
Метод ускоренной амортизации-применяется только к активной части ОК (по перечню высокотехнологичных отраслей, эффективных видов машин и оборудования, который устанавливается федеральными органами исполнительной власти). Он позволяет аккумулировать финансовые ресурсы для более быстрого обновления ОК. При этом, амортизационные отчисления используются строго по целевому назначению
Метод начисления амортизации по понижающим коэффициентам целесообразно применять в тех случаях, когда в результате переоценки ОК финансово-экономические показатели работы предприятия существенно ухудшились.
Предельный понижающий коэффициент амортизации равен 0,5. Решение о применении понижающих коэффициентов амортизации и размере понижающего коэффициента принимается руководством предприятия
Годовая сумма амортизационных отчислений определяется по формуле :

где ППС полная первоначальная стоимость OК;
К стоимость капитального ремонта;
М стоимость модернизации OK;
P стоимость обновления и реконструкции OK;
Л ликвидационная стоимость OK за вычетом расходов на его демонтаж;
Т нормативный срок службы OK
Годовая норма амортизации определяется по формуле:
Норма амортизации установленный годовой процент погашения стоимости ОК

где ППС полная первоначальная стоимость OК;
А годовая сумма амортизационных отчислений
18. Показатели состояния и использования основного капитала.
Показатели состояния основного капитала представлены:
- коэффициентом износа Кизн
- коэффициентом годности Кгод
Коэффициент износа рассчитывается по состоянию на определенную дату:

где

И - износ основного капитала, начисленный за год ;
- наличие основного каптала по полной стоимости на начало года;

- наличие OK на начало года по остаточной стоимости
Коэффициент годности также исчисляется по состоянию на определенную дату:


где
- наличие основного капитала по полной стоимости на начало года;

- наличие OK по остаточной стоимости на начало года;
Кизн - коэффициент износа;
Кгодн - коэффициент годности
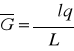
Использование основного капитала представлено показателями капиталоотдачи Ко, капиталоемкости Ке и капиталовооруженности Кв.
Показатель капиталоотдачи Ко представляет собой отношение стоимости произведенной продукции за период к средней стоимости основного капитала за этот же период
На уровне предприятий и отраслей - в качестве показателя продукции используется выпуск В или валовая добавленная стоимость ВДС,
на уровне экономики в целом стоимость валового внутреннего продукта ВВП:

Для анализа использования основного капитала применяется также показатель, обратный капиталоотдаче, капиталоемкость Ке, который рассчитывается как отношение средней величины основного капитала за период к объему продукции, произведенной за этот же период:

где
Ко капиталоотдача;
В выпуск продукции;

ВДС - валовая добавленная стоимость;
ВВП - стоимость валового внутреннего продукта;
- средняя стоимость основного капитала
В статистическом анализе широко применяется показатель капиталовооруженности Кв, который определяется путем деления среднегодовой стоимости основного производственного капитала на среднесписочную численность производственного персонала за год:


где

- средняя стоимость основного капитала;
- среднесписочная численность производственного персонала за год
19. Статистические показатели оборотного капитала.
Оборотный капитал ОбК важная часть национального богатства страны, его наиболее мобильный, постоянно возобновляемый элемент.
Синонимы ОбК оборотные фонды, оборотные активы

ОбК измеряется как в абсолютных величинах, так и в днях среднего суточного расхода. Его величина исчисляется в денежном или натуральном выражении. Наличие ОбК в денежном выражении характеризуется моментными (на отчетные даты) показателями Оi и средними за отчетный период

Средний остаток ОбК за месяц (квартал) исчисляется по формуле средней арифметической простой:
где Он и Ок остатки ОбК соответственно на начало и конец месяца (квартала)

Если данные представлены на определенные даты, разделенные равными интервалами, средний остаток определяется по формуле средней хронологической:
где n количество моментов времени
Показатели пополнения и выбытия характеризуют изменение объема ОбК. Пополнение может осуществляться за счет собственного производства или приобретения со стороны. Показатели выбытия отражают использование ОбК в процессе производства и в результате чрезвычайных ситуаций (убыль от стихийных бедствий). Разность между пополнением и выбытием отражает изменение оборотного капитала за период (прирост или сокращение)

Коэффициент оборачиваемости, измеренный количеством оборотов, является обобщенным показателем использования оборотных средств. Он равен частному от деления объема произведенной П или реализованной продукции (выручки от реализации) за данный период Р на средний остаток оборотного капитала за тот же период


Или

Средняя продолжительность одного оборота в днях Д рассчитывается путем деления числа календарных дней в периоде Т на число оборотов оборотного капитала за этот период Коб. Причем число дней в году принимается равным 360, в квартале 90, в месяце 30:



Выведенная после подстановки формула широко применяется в практике всевозможных финансовых и плановых расчетов. При этом в нее включен еще один показатель, характеризующий скорость оборота ОбК, среднесуточный оборот ОбК = Р : Т, что позволяет определить продолжительность оборота (показатель обеспеченности производства запасами, где Р общий размер расхода или плановая потребность в данном периоде) в днях:

Или

Коэффициент закрепления Кз оборотного капитала представляет собой величину, обратную количеству оборотов (исчисляется в рублях):

Или Или
Он отражает среднюю стоимость запасов ОбК, приходящихся на рубль реализованной продукции или услуг
Определение потребности в оборотном капитале:
Недостаток оборотных средств неизбежно приводит к невозможности своевременного обеспечения производственного процесса необходимыми материальными ресурсами, а их избыток может приводить к финансовым потерям вследствие неэффективного «замораживания» части оборотного капитала в излишних запасах товарно-материальных ценностей.

Наиболее общий метод расчета потребности в оборотном капитале основан на объеме реализованной продукции на предстоящий период и уровне коэффициента закрепления оборотных средств за предшествующие периоды. Таким образом, общая потребность определяется по формуле:

где средний остаток оборотного капитала; Кз коэффициент закрепления; Р стоимость реализованной продукции.
Зная потребность в оборотном капитале и наличие на начало планируемого периода, несложно рассчитать дополнительную потребность в оборотных средствах (ДПотр) в зависимости от изменения объема реализации продукции и услуг:

- где ДР предполагаемое (планируемое) изменение объема реализованной продукции и услуг
В общем виде величину удельного расхода m можно всегда определить делением общей величины расхода материала данного вида М в натуральных измерителях на количество единиц произведенной продукции данного вида q:
m = М : q.
Величина удельного расхода может быть определена как нормативная либо по данным учета и отчетности как фактическая -
Контроль за соблюдением нормативной и фактической динамики удельных расходов осуществляется при помощи вычисления индексов. Индекс удельного расхода позволяет сделать вывод о том, какие изменения произошли в удельном расходе за отчетный период m1 по сравнению с базисным m0 или нормой mнорм. Индекс удельного расхода одного вида материала, затрачиваемого на производство одного вида продукции, вычисляется следующим образом:
im = m1 : m0 или im = m1 : mнорм

Разность числителя и знаменателя индекса определяет величину экономии (перерасхода) материала, затрачиваемого на производство единицы продукции данного вида:
Эm = m1 m0
Величина экономии в расчете на весь фактически произведенный в данном периоде объем продукции данного вида q1 рассчитывается по формуле
Эm = (m1 m0) q1
При необходимости рассчитывают сводные показатели, характеризующие относительное изменение удельного расхода в среднем по всем видам продукции (сводные индексы удельных расходов) и абсолютные величины экономии (перерасхода) вследствие изменения удельных расходов по отдельным видам материалов. Общий сводный индекс удельных расходов в наиболее общем случае вычисляется по формуле:

где m1 и m0 удельные расходы материала данного вида на производство единицы каждого вида продукции; p цена единицы материала, принимаемая неизменной для обоих сравниваемых периодов; q1 количество единиц продукции каждого вида, фактически произведенной в отчетном периоде
Разность числителя и знаменателя этого индекса характеризует величину изменения общих затрат на материалы (экономию или перерасход) в денежном выражении в расчете на фактически произведенный объем продукции вследствие только изменения удельных расходов:

При необходимости определить влияние удельных расходов и цен на материалы на общую величину затрат на производство данного объема продукции вводят индекс цен на материалы
20. Амортизация ОК и методы ее расчета.
ОK в процессе эксплуатации подвергается физическому и моральному износу.
- Физический износ это утрата ОК своих физических свойств.
- Моральный износ проявляется в том, что действующий ОК по своей производительности, расходам на обслуживание, качеству выпускаемой продукции начинает уступать новому ОК, т. е. становится экономически невыгодным.
Износ ОК определяется и учитывается практически по всем видам ОК.
- По ОК, для которого осуществляется начисление амортизации, износ принимается равным амортизации;
- По тем объектам ОК, где амортизация не начисляется, износ определяется исходя из срока полезного использования ОК.
Начисление амортизации производится по ОК только в течение его нормативного срока службы. Если ОК переводится в установленном порядке на консервацию или проводится его реконструкция и техническое перевооружение, то в течение этого периода амортизационные отчисления на данные виды ОК не производятся и на этот же период продлевается срок службы ОК.
На ряд видов и групп ОК амортизационные отчисления не производятся (библиотечные фонды, жилищный фонд, ОК городского благоустройства, фонды бюджетных организаций и др.)
Субъективная стоимость ОК базируется на оценке его владельцем. Она рассчитывается как капитализированная стоимость будущих доходов, которые можно получить в процессе эксплуатации основного капитала вплоть до момента его выбытия. Определение субъективной стоимости требует точного прогноза многих экономических факторов. Субъективная стоимость является базой для определения рыночной стоимости.
В настоящее время существует несколько методов начисления амортизации:
- Линейный метод (в течение всего нормативного срока эксплуатации амортизация начисляется равными частями от балансовой стоимости по установленным нормам);
- Метод ускоренной амортизации (амортизация начисляется по удвоенным нормам, применяемым ежегодно к остаточной стоимости ОК. Применяется только к активной части ОК (по перечню высокотехнологичных отраслей, эффективных видов машин и оборудования, который устанавливается федеральными органами исполнительной власти). Он позволяет аккумулировать финансовые ресурсы для более быстрого обновления ОК. При этом амортизационные отчисления используются строго по целевому назначению);
- Метод начисления амортизации по понижающим коэффициентам (Коэффициентам целесообразно применять в тех случаях, когда в результате переоценки ОК финансово-экономические показатели работы предприятия существенно ухудшились. Предельный понижающий коэффициент амортизации равен 0,5. Решение о применении понижающих коэффициентов амортизации и размере понижающего коэффициента принимается руководством предприятия).
Годовая сумма амортизационных отчислений определяется по формуле :
где ППС полная первоначальная стоимость OК;
К стоимость капитального ремонта;
М стоимость модернизации OK;
P стоимость обновления и реконструкции OK;
Л ликвидационная стоимость OK за вычетом расходов на его демонтаж;
Т нормативный срок службы OK
Годовая норма амортизации определяется по формуле:
Норма амортизации установленный годовой процент погашения стоимости ОК

где ППС полная первоначальная стоимость OК;
А годовая сумма амортизационных отчислений
21. Показатели статистики цен. Виды цен. Индексы цен и их взаимосвязь.
В современной экономической теории дается несколько определений категории цены.
В Методологических положениях по статистике записано следующее определение:
«Цена выражение стоимости товара в денежных единицах определенной валюты
(национальной или международной) за количественную единицу товара»
В практике нашли применение следующие виды цен: цена производителя, основная цена, цена покупателя
- Цена производителя
- Основная цена
- Цена покупателя
- Розничные цены
- Закупочные цены
- Цены и тарифы на услуги
- Свободные, или рыночные, цены, складывающиеся под воздействием спроса и предложения, а также других факторов рыночной экономики.
- Государственные цены устанавливаются государством в основном на продукцию отраслей-монополистов (на ресурсы, оказывающие определяющее влияние на цены в стране, на социально значимые товары и услуги).
- Фиксированные цены
- Регулируемые
- Предельные цены
Регистрация цен и тарифов.
С целью изучения динамики учитываются три вида цен:
- цены отчетного периода;
- цены соответствующего месяца предыдущего года;
- цены месяца, непосредственно предшествующего отчетному.
Потребительский набор это единая для всех
регионов Российской Федерации репрезентативная
выборка групп товаров и услуг, наиболее часто
потребляемых населением.
Набор состоит из трех крупных групп:
продовольственные товары, непродовольственные товары и платные услуги, оказываемые населению.
Под уровнем цен понимают абсолютные, средние и относительные показатели, отражающие цены отдельных товарных единиц или их совокупности на определенную дату или промежуток времени.


где средняя цена товара;
qp стоимость реализованной продукции;
q количество товаров в натуральном выражении,

или
где di доля численности населения города в
общей численности района (или доля
потребительских расходов);
Pi цена i-го товара в городах района
Если статистическая информация не содержит данных о количестве

реализованной продукции, то средняя цена определяется по формуле средней гармонической взвешенной
Индекс цен относительный показатель, характеризующий изменение цен во времени
(индекс динамики), в пространстве (территориальный индекс). Он выражается в
коэффициентах или в процентах. iP = р1 : р0.
Основные формы индексов, используемых в практике статистики цен:

индекс цен ,взвешенный по весам базисного периода, - индекс Ласпейреса
индекс цен, взвешенный по весам текущего периода, индекс Пааше:

«эффект Гершенкрона» систематическое опережение индексом Ласпейреса индекса
Пааше (IЛ > IП).
Наибольшее применение индекс Ласпейреса получил при расчете индекса потребительских цен. Если же необходимо определить размер переплаты (экономии) денег населением в связи с ростом (снижением) цен, правильнее пользоваться


индексом Пааше. Сумма перерасхода (экономии) денег населения определяется как разность между числителем и знаменателем индекса Пааше, а именно:
«Идеальный» индекс Фишера:

Индекс Эджворта-Маршалла:

Индекс цен фиксированного состава характеризует относительное изменение среднего уровня цены в результате изменения индивидуальных значений цен данного товара по отдельным единицам совокупности (предприятиям, регионам, субрынкам и др.) и может быть исчислен по методу Пааше:

По методу Ласпейреса индексы цен фиксированного состава будут иметь следующий вид:

В потребительском секторе исчисляется индекс потребительских цен (ИПЦ) на основные товары и услуги, Расчет ИПЦ осуществляется в несколько этапов:
1. Определяются индивидуальные индексы цен по товару (услуге) и городу как частное от деления средних сопоставимых цен:
iP = P1 : P0.


2. На основе индивидуальных индексов цен по городам и территориальных весов определяются агрегатные индексы цен отдельных товаров:
Индекс потребительских цен рассчитывается по формуле Ласпейреса:
где q0 количество товара (услуг) в потребительском наборе базисного периода; p1 (р0) цена единицы товара (услуги) в потребительском наборе текущего (базисного) периода; iP индивидуальный индекс цен товара (услуги).
22.Основные макроэкономические показатели статистики финансов и денежного обращения.
Показатель (коэффициент), характеризующий увеличение денежной массы в обороте в результате роста банковских результатов, денежный мультипликатор.
Денежный мультипликатор отношение денежной массы к денежной базе:
где М2 денежная масса в обращении;
Н денежная база;
С наличные деньги;
D депозиты;
R обязательные резервы коммерческих банков
Денежная масса - это важнейший количественный показатель, характеризующий движение денег, которые выступают как средство обращения, как мера стоимости, а также как средство накопления.
Скорость обращения денежной базы это отношение объема ВВП к средней денежной массе (за год).
В состав задач статистики денежного обращения входит изучение купюрности денежной массы:
где К достоинство купюр;
f соответствующее число купюр.
Показатель продолжительности одного оборота в днях Vд исчисляется как отношение числа календарных дней в определенном периоде (Д) к величине предыдущего показателя (количеству оборота денег Vо ) Vд=Д\ Vо
Показатель монетаризации экономики (Мэ ), который исчисляется как отношение совокупного объема денежной массы в изучаемом периоде (М2 ) к величине валового внутреннего продукта в текущих ценах (ВВП): Мэ= М2\ВВП*100
Показатель средней процентной годовой ставки кредита ()
где Ci - cумма i-го кредита;
Ti - срок i-го кредита.
Процентная ставка и кредит. При использовании простой процентной ставки накопленную сумму долга определяют по формуле:
S = P+I (I = P*i*n) или S = P*(1+n*i), где
I - проценты за весь период займа;
S - накопленная сумма платежа;
P - начальная сумма кредита;
n - срок займа;
i - ставка процентов.
23. Задачи статистического изучения финансовых результатов экономической деятельности отраслей и экономики в целом. Показатели прибыли и рентабельности.
Главной задачей статистики финансов является изучение экономических отношений, имеющих денежную форму выражения.
К частным задачам относятся:
- контроль за выполнением финансово-кредитных планов;
- определение количественных характеристик и пропорций в сфере финансов;
- анализ связей финансов, кредита и денег с материальными и нематериальными факторами производства;
- разработка методов статистического наблюдения и системы финансовых показателей;
- разработка методов статистической обработки информации;
- разработка форм отчетности финансово-кредитных учреждений,
- отраслей экономики, предприятий и организаций;
- совершенствование статистики финансов.
Прибыль (убыток) по состоянию на конец отчетного года финансовый результат, выявленный на основе бухгалтерского учета всех финансовых операций предприятий. Показатель представляет собой сумму прибыли (убытка) от реализации продукции, работ, услуг, основных средств, иного имущества предприятия и чистых доходов от внереализационных операций.
Данные по прибыли в статистике приводятся в фактически действующих ценах по структуре и методологии соответствующих лет.
Показатель рентабельности реализованной продукции отражает эффективность текущих затрат. Он исчисляется как отношение прибыли от реализации продукции к полной себестоимости реализационной продукции.
Рентабельность активов определяется по формуле:
Р0 = (Пб / Ф) * 100%
где Пб - общая сумма балансовой прибыли (чистой);
Ф - среднегодовая стоимость основных производственных средств, нематериальных активов и материальных оборотных средств (стоимость активов).
24. Экономико-статистический анализ финансов предприятия (фирмы).
Статистический анализ эффективности производственной деятельности предприятий связан с использованием целой системы показателей, отражающих степень эффективности соотношения ресурсных факторов производства (затрат) с конечными результатами (конечным продуктом).
Система показателей производственной деятельности предприятий состоит из нескольких крупных групп показателей. К ним относятся показатели, характеризующие производство товаров и услуг (объем произведенных и отгруженных товаров, оказанных услуг в целом по предприятию и по отдельным видам), финансовые результаты производственной деятельности (выручка от продажи товаров, работ и услуг, прибыль (убыток), кредиторская задолженность поставщикам и подрядчикам за товары, работы и услуги, дебиторская задолженность покупателей и заказчиков за товары, работы и услуги), использование труда (численность работников, фонд начисленной заработной платы, отработанное время, движение работников в целом и по категориям).
Трудоемкость - это количество труда, затраченного на производство продукции. Показатель трудоемкости измеряется в нормо-часах (нормо-днях) и определяется как отношение затрат времени на изготовление продукции к выпуску продукции в натуральном выражении.
Показатель валовой продукции (ВП) характеризует объемы конечных результатов производственной деятельности, чаще всего выступает базовым для расчета других показателей.
Показатель чистой продукции (ЧП) характеризует вновь созданную стоимость и определяется как разница между объемами валовой продукции и материальными (производственными) затратами (МЗ) (сырье, материалы, топливо, энергия, амортизационные отчисления). Рыночным показателем, характеризующим вновь созданную стоимость, выступает показатель «добавленная стоимость». Показатель чистой продукции:
Товарная продукция, или, иначе, показатель объема продукции (ОП) характеризует ту продукцию, которая предназначена для реализации. Расчет данного показателя осуществляется на основе валовой продукции за вычетом стоимости тех элементов, которые не подлежат реализации (А) (полуфабрикаты и т.д.), включая и стоимость той части выработки, которая используется на собственные нужды предприятия (Б):
Показатель реализованной продукции (РП) характеризует объем отгруженной и оплаченной продукции. Поскольку в объем реализованной продукции включается часть стоимости товарной продукции предшествующего периода (но проплаченную в текущем периоде), то в этот период показатель объема РП может не совпадать с показателем ОП.
25. Валовой выпуск и ВДС: расчет для отдельных секторов экономики и расчет абсолютного прироста в результате влияния отдельных факторов.
Валовой выпуск это суммарная стоимость в основных ценах всех произведенных товаров и услуг в экономике за год, имеющих рыночный и нерыночный характер.
Промежуточное потребление ПП определяется как стоимость товаров и рыночных услуг, которые трансформируются или полностью потребляются в течение данного периода с целью производства других товаров и услуг. Потребление основного капитала (амортизация) не входит в ПП.
Валовая добавленная стоимость исчисляется на уровне отраслей экономики как разность между ВВ и ПП в основных ценах и включает в себя потребленную в процессе производства стоимость основного капитала.
ВДС (в основных ценах) = ВВ ПП Косвенно измеряемые услуги финансового посредничества
ВДС (в рыночных ценах) = ВДС (в основных ценах) + ЧНП + ЧНИ
где ЧНП чистые налоги на продукты. Они включают платежи, размер которых прямо зависит от стоимости произведенной продукции и оказанных услуг: налог на добавленную стоимость НДС
ЧНИ чистые налоги на импортируемые товары и услуги.
ВВП на стадии производства рассчитывается как сумма ВДС всех отраслей и секторов экономики в рыночных ценах (включая налоги на продукты и импорт без НДС). Он может исчисляться и в рыночных ценах
ВВП = SВДС + ЧНП + ЧНИ
Стадия образования доходов в системе национальных счетов характеризуется такими показателями, как:
- оплата труда наемных работников ОТ
- налоги на продукты и импорт ЧНП и ЧНИ
- другие налоги на производство ДНП
- субсидии на производство и импорт
- валовая прибыль экономики ВПЭ
ВПЭ рассчитывается балансовым методом как ВДС за вычетом ОТ и других чистых налогов на производство. Таким образом, ВВП на стадии образования доходов равен ВВП = ОТ + ЧНП + ЧНИ + ДНП + ВПЭ
Данный метод расчета ВВП используется для анализа его стоимостной структуры
На стадии использования ВВП рассчитывается как сумма конечного потребления продуктов и услуг КП, валового накопления ВН и чистого экспорта товаров и услуг, который представляет собой разность между экспортом и импортом (Э И) во внутренних ценах ВВП = КП + ВН + (Э И)
Для изучения динамики физического объема ВВП как совокупности материальных благ и услуг (материальных и нематериальных) рассчитывают индекс физического объема валового внутреннего продукта Iф.о.ВВП, представляющий собой отношение объемов ВВП данного и предшествующего периодов, выраженных в одних и тех же постоянных ценах

где ВВП0 объем ВВП базисного периода в постоянных ценах; ВВП1 объем ВВП текущего периода в постоянных ценах (реальный ВВП )
ВВ= ВВ продукции+ВВ услуги
ВДС=ВВ-ПП+НДС+ЧНИ
26. Расчет основных показателей продукции транспорта.
Натуральным показателем продукции грузового транспорта являются объём перевозок грузов в тоннах и грузооборот, а пассажирского транспорта- пассажирооборот. Эти показатели характеризуют объём работы транспорта по перевозкам грузов и пассажиров.
Грузооборот транспорта отражает объём работ по перевозкам грузов. Он измеряется в тонно-километрах
Где q-масса грузов в тоннах, l- расстояние перевозки в км.

Аналогично исчисляется пассажирооборот транспорта, характеризующий объём работ по перевозкам пассажиров. Он выражается в пассажиро-километрах. Где q-количество пассажиров.
К стоимостным показателям продукции транспорта относятся доходы от перевозок и других услуг этого вида экономической деятельности.
Доходы от перевозок сумма средств, полученных транспортными предприятиями за перевозку грузов и пассажиров, дополнительные услуги, оказанные отправителям грузов и пассажиров, сдачу в аренду транспортных средств, погрузочно-разгрузочные и транспортно-экспедиционные работы, обслуживание подъездных путей, водного путевого хозяйства, применение авиации в отраслях экономики и др.
Статистические показатели, характеризующие интенсивность и равномерность работы грузового транспорта.

1) средняя дальность перевозки одной тонны груза
где q вес груза;
2) средняя продолжительность доставки груза

3) средняя скорость доставки


4) средняя густота перевозок, которая отражает средний вес перевезенных грузов на каждый километр эксплуатационного пути L
5) коэффициент равномерности перевозок по времени равен отношению объема перевозок в месяц максимальной нагрузки транспорта к среднемесячному объему перевозок
6) коэффициент равномерности перевозок по направлению определяется как отношение объема перевозок в определенном направлении к объему перевозок в максимально загруженном направлении.
27. Понятие о затратах на производство товаров, продукции и услуг. Группировка затрат по экономическим элементам и по статьям калькуляции.
Издержки производства это совокупные затраты живого и овеществленного труда в процессе производства продукта и его доведения из сферы производства до сферы потребления элементам и по статьям калькуляции.
При изучении издержек (затрат) производства необходимо различать себестоимость всей изготовленной продукции общую величину затрат на ее производство,
себестоимость единицы продукции индивидуальную, если речь идет о затратах на производство только одного изделия
Классификация затрат на производство продукции
- По экономическому содержанию (по экономическим элементам)
- По месту возникновения и направлению (по статьям калькуляции)
- По месту возникновения и направлению (по статьям калькуляции):
- Отчисления на социальные нужды
- Расходы по содержанию оборудования
- Общепроизводственные
- Услуги производственного характера сторонних организаций
- Расходы на оплату труда, связанного с производством продукции (работ, услуг)
- Сырье, материалы, покупные изделия и полуфабрикаты
- Общехозяйственные
- Коммерческие
- Потери от брака
- По отношению к технологическому прогрессу
- Основные расходы
- Накладные расходы
- По связи с объемом производства
- Условно-постоянные
- Условно-переменные
- По способу распределения
- Прямые
- Косвенные
28. Показатели уровня себестоимости продукции в отраслях экономики и уровня издержек обращения.
Здесь приведены показатели уровня издержек, а показатели уровня себестоимости в след. Вопросе.

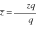
Если на предприятии производится продукция разных видов и разной потребительской стоимости, то изменение общих издержек (затрат) на ее производство по сравнению с предыдущим периодом характеризуется агрегатным индексом следующего вида:
где затраты на производство отчетного (базисного) периода

Если агрегатный индекс себестоимости вычислен по схеме Пааше, то он имеет следующий вид:


Следует отметить, что его форма может быть преобразована в среднегармоническую:

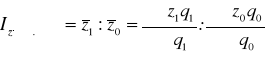
В данном случае взаимосвязь индексов примет следующий вид: Izq = Iz Iq

где индекс общих издержек, который характеризует среднее изменение общих затрат на производство продукции в процентах

индекс себестоимости, который показывает, на сколько в среднем изменилась себестоимость, что привело к изменению общих затрат на выпуск

индекс физического объема производства, характеризующий среднее изменение объема выпускаемой продукции, которое повлекло к изменению общих затрат

В денежном выражении взаимосвязь проявляется следующим образом:

Где изменение общих издержек (за счет факторов z и q)

изменение общих издержек за счет изменения себестоимости (за счет фактора z);

изменение общих издержек за счет изменения физического объема производства (за счет фактора q)
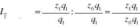
Если индекс себестоимости вычислен по схеме Ласпейреса, то взаимосвязь агрегатных индексов будет следующая:
Izq = Iz Iq



где индекс общих затрат;
индекс себестоимости;

индекс физического объема

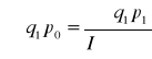
Средний уровень себестоимости продукции, выпускаемой в разных организациях, рассчитывается по формуле
Индекс себестоимости переменного состава характеризует динамику среднего уровня себестоимости данного вида продукции по нескольким объектам (участкам, подразделениям или различным предприятиям):


Влияние первого фактора характеризует индекс себестоимости постоянного состава, который исчисляется по формуле:
Влияние структурного фактора на изменение средней себестоимости единицы продукции характеризует индекс структурных сдвигов:

Взаимосвязь исчисленных показателей такова:
относительные показатели: абсолютные показатели:



29.Показатели динамики себестоимости продукции. Особенности индивидуальных и общих индексов себестоимости продукции.
Для характеритсики динамики себестоимости единицы изделия рассчитывается три индивидуальных индекса, учитывая введённые обозначения.
1) индекс прогнозируемого (ожидаемого) изменения себестоимости единицы продукции:
Разность между числителем и знаменателем показывает ) абсолютное изменение себестоимости единицы продукции по прогнозируемым расчетам (насколько дешевле или дороже по прогнозу должен обходиться организации выпуск изделия в отчетном периоде по сравнению с базисным):

2) индекс выполнения прогнозируемого изменения себестоимости единицы продукции:

Разность между числителем и знаменателем показывает абсолютное изменение себестоимости единицы продукции в отчетном периоде по сравнению с прогнозом:

3)индекс фактического снижения себестоимости единицы продукции в текущем периоде по сравнению с предшестующим(базисным) периодом, или индекс динамики себестоимости единицы продукции:

Разность между числителем и знаменателем показывает абсолютное изменение себестоимости единицы продукции в отчётном периоде по сравнению с предыдущим:

Между тремя рассмотренными индивидуальными индексами имеется следующая взаимосвязь:


Между индивидуальными индексами себестоимости единицы продукции (изделия) существует взаимосвязь, которая проявляется в том, что индекс динамики себестоимости представляет собой произведение индексов прогнозируемого изменения себестоимости и выполнения прогноза по ее изменению:
Сохраняется взаимосвязь и по абсолютным разностям:

Общие и индивидуальные индексы себестоимости находятся в 28 вопросе в конце.
30. Статистические показатели уровня жизни населения.
Уровень жизни населения представляет собой сложную и многогранную экономическую категорию. Под ним понимаются обеспеченность населения необходимыми материальными благами и услугами, достигнутый уровень потребления этих благ и услуг и степень удовлетворения рациональных потребностей. уровень жизни населения характеризуется комплексной системой cтатистических показателей, которая включает:
1)обобщающие показатели уровня жизни населения
2) показатели доходов населения
3)показатели расходов и потребления населением материальных благ и услуг
4) показатели дифференциации населения по уровню жизни
5)показатели условий жизни населения.
В качестве обобщающих для оценки состояния и динамики уровня жизни населения, а также для региональных и международных сопоставлений в мировой практике применяются следующие показатели:
1)объем ВВП на душу населения
2) структура потребления
3) доля расходов на питание в общих расходах домохозяйств
4) индекс потребительских цен
5) калорийность потребляемой пищи
6)коэффициент смертности
7) ожидаемая продолжительность жизни при рождении
8)уровень младенческой и материнской смертности
9)уровень образования населения и др.
В качестве такой комплексной характеристики в настоящее время применяется индекс развития человеческого потенциала ИРЧП, исчисляемый как интегральный трех составляющих:
1.ВВП на душу населения,
2.ожидаемой продолжительности жизни при рождении,
3.достигнутого уровня образования
31. Статистическое описание доходов населения и их структуры.
Доход - это максимальная сумма, которая может быть израсходована в течение определенного периода на потребление при условии, что собственный капитал хозяйствующего субъекта за этот период не уменьшится.
Согласно концепции Дж. Хикса в СНС исчисляются показатели доходов домашних хозяйств, отражающие различные этапы процесса распределения доходов:
1.первичные доходы
2.располагаемые доходы
3.cкорректированные располагаемые доходы
Первичные доходы ПД - это доходы, полученные данным сектором экономики в результате первичного распределения добавленной стоимости:оплата труда, смешанные доходы, чистые доходы от собственности, а также прибыль и приравненные к ней доходы от жилищных услуг, оказываемых для собственного потребления владельцем занимаемого им жилья
Первичные доходы, скорректированные на сальдо текущих трансфертов, образуют располагаемые доходы домашних хозяйств:
РД=ПД+ТТ,
где ПД- первичные доходы;
TT- сальдо текущих трансфертов, определяемое как разница между текущими трансфертами, полученными и уплаченными другим секторам экономики
Если сумму таких поступлений, именуемых социальными трансфертами, прибавить к располагаемому доходу, то можно получить скорректированный располагаемый доход домашних хозяйств:
СРД=РД+СТ
где СТ- социальные трансферты в натуральной форме, получаемые домашними хозяйствами от органов государственного управления и некоммерческих организаций, обслуживающих домашние хозяйства
Кроме перечисленных в анализе уровня жизни применяются показатели доходов на душу населения. Ими широко пользуются для сравнительного анализа доходов населения по отдельным регионам, отраслям экономики, социальным группам
- Среднедушевые денежные доходы
- Среднемесячная номинальная начисленная заработная плата
- Средний размер назначенной месячной пенсии
32. Показатели дифференциации населения по доходам.


Коэффициент дифференциации фондов характеризует степень социального расслоения и определяется как отношение средних денежных доходов 10% населения десятой (высокодоходной) группы Ф10 к средним доходам 10% населения первой (наименее доходной) группы Ф1:

Для характеристики степени концентрации доходов вычисляется коэффициент Джини:
где k число групп;
Wнi доля населения i-й группы с данным уровнем среднедушевого дохода;
WDi доля дохода i-й группы в общей сумме доходов;
SwDi кумулятивная доля дохода
Кривая Лоренца: Кривая, которая показывает, какую часть совокупного денежного дохода страны получает каждая доля низкодоходных и высокодоходных семей, то есть отражает в процентах распределение дохода между семьями с разным достатком. Получила свое название по имени автора американского экономиста Макса Отто Лоренца.
33. Показатели статистики производительности труда.
Выпуск = Реализация и иное рыночное использование продукции в текущем периоде + Изменение запасов готовой продукции и незавершенного производства
Основная цена это сумма, получаемая производителем за единицу товара или услуги, включая субсидии на продукты, но исключая налоги на продукты. Использование основных цен для измерения выпуска товаров и услуг позволяет устранить влияние различных ставок налогов и субсидий на отраслевую структуру производства
Цена производителя и основная цена связаны между собой следующим соотношением
Цена производителя = Основная цена + Чистые налоги на продукты (кроме НДС)
Цена покупателя (рыночная цена) отражает фактические затраты покупателя на приобретение единицы товара или услуги
Цена покупателя = Цена производителя + НДС + Торгово-транспортные наценки
Валовая добавленная стоимость исчисляется на уровне отраслей экономики как разность между ВВ и ПП в основных ценах и включает в себя потребленную в процессе производства стоимость основного капитала.
ВДС (в основных ценах) = ВВ ПП Косвенно измеряемые услуги финансового посредничества
ВДС (в рыночных ценах) = ВДС (в основных ценах) + ЧНП + ЧНИ
где ЧНП чистые налоги на продукты. Они включают платежи, размер которых прямо зависит от стоимости произведенной продукции и оказанных услуг: налог на добавленную стоимость НДС
ЧНИ чистые налоги на импортируемые товары и услуги.
Термин «чистые налоги» означает, что налоги учитываются за вычетом субсидий (текущих некомпенсируемых выплат из федерального бюджета предприятиям при условии производства ими определенного вида продукции или услуг)
ВВП на стадии производства рассчитывается как сумма ВДС всех отраслей и секторов экономики в рыночных ценах (включая налоги на продукты и импорт без НДС). Он может исчисляться и в рыночных ценах
ВВП = SВДС + ЧНП + ЧНИ
ВПЭ это макроэкономический показатель, характеризующий превышение доходов над расходами, которые предприятия имеют в результате производства до вычета явных или скрытых процентных издержек, арендной платы или других доходов от собственности
ВПЭ рассчитывается балансовым методом как ВДС за вычетом ОТ и других чистых налогов на производство
Таким образом, ВВП на стадии образования доходов равен
ВВП = ОТ + ЧНП + ЧНИ + ДНП + ВПЭ
34. Простой и сложный процент. Основные формулы расчета первоначальной и наращенной суммы, срока размещения вклада.
Проценты (процентные деньги) это доход от предоставления капитала в долг в различных формах (ссуды, кредиты, инвестиции и т. д.). Это абсолютная величина дохода, выраженная в денежных единицах, а не сотой частью числа
Обозначим величину процента через I. Тогда если в финансовую операцию в начале периода была вложена сумма P, а по завершении получена сумма S (первоначальный капитал в сумме с начисленными процентами), то величина процента определится таким образом:
I = S P
Процедура увеличения первоначальной суммы денежных средств называется наращением, а S конечной или наращенной суммой
Процентная ставка (такса) i это относительная величина, представляющая соотношение процентных денег I и первоначально вложенной суммы P:
ПРОСТОЙ ПРОЦЕНТ: Тогда через n лет вкладчик получит сумму :
Sn= P (1 + ni )
где Sn будущая стоимость; I под какой процент мы положили вклад
P сегодняшняя стоимость.
СЛОЖНЫЙ: Расчеты по правилу сложных процентов часто называют начислением процентов на проценты, а процедуру присоединения начисленных процентов их реинвестированием, или капитализацией. При этом начисление процентов может происходить один раз в год, чаще одного раза в год и непрерывно
При начислении в банке сложного процента один раз в год вкладчик в конце года получит
S1 = P (1 + i)

Через n лет первоначальная сумма (P) на счете вырастет до величины 
Величины (1 + ni) и (1 + i)^n называются коэффициентами (множителями) наращения соответственно простых и сложных процентов.
35. Система национальных счетов: основные категории, показатели, структура.
СНС это наиболее совершенный и распространенный балансовый метод взаимосвязанного комплексного изучения экономических процессов и их результатов
Основные показатели СНС:
- Валовой внутренний продукт (ВВП).
- Валовой национальный доход (ВНД).
- Валовой национальный располагаемый доход (ВНРД).
- Конечное потребление (КП).
- Валовое накопление (ВН).
- Сальдо внешней торговли.
- Национальное сбережение (НС).
- Чистое кредитование и чистое заимствование (ЧК, ЧЗ).
- Национальное богатство.
36. Методика расчета показателей в основных и рыночных ценах: ВВП, ВНД, ЧВП и ЧНД
ВВП = ВВП=ВДС=ВВ-ПП+НДС+ЧНИ=ВДС отраслей =ВДС секторов
Валовой выпуск (ВВ), Промежуточное потребление (ПП), . Валовая добавленная стоимость (ВДС) = ВДС=ВВ-ПП+НДС+ЧНИ,
Налог на добавленную стоимость (НДС), Чистый налог на импорт (ЧНИ),
Валовой располагаемый национальный доход (ВРНД)
ВРНД = ВРНД секторов = ВНС +КП
Конечное потребление (КП), Валовое национальное сбережение (ВНС) = ВНС = ВРНД - КП
Чистый внутренний продукт (национальный доход) (ЧВП), (НД)
ЧВП (НД)=ВВП-ПОК
Потребление основного капитала (ПОК)
37. Сущность и методы расчета ВВП.
ВВП - Валовой внутренний продукт (ВВП) стоимость всех произведенных на территории страны в течение года товаров и услуг. В расчет ВВП не входит стоимость сырья, топлива, энергии, кормов и т.д., то есть промежуточных товаров и услуг.
По расходам: ВВП = C + I + G+ Nx = C + I + G + Ex Im
ВВП = Конечное потребление + Валовое накопление капитала (инвестиции в фирму(покупка станков, оборудования, запасов, места производства)) + Экспорт Импорт
ВВП на стадии производства рассчитывается как сумма ВДС всех отраслей и секторов экономики в рыночных ценах (включая налоги на продукты и импорт без НДС). Он может исчисляться и в рыночных ценах
ВВП = SВДС + ЧНП + ЧНИ
Таким образом, ВВП на стадии образования доходов равен
ВВП = ОТ + ЧНП + ЧНИ + ДНП + ВПЭ
Данный метод расчета ВВП используется для анализа его стоимостной структуры
На стадии использования ВВП рассчитывается как сумма конечного потребления продуктов и услуг КП, валового накопления ВН и чистого экспорта товаров и услуг, который представляет собой разность между экспортом и импортом (Э И) во внутренних ценах
ВВП = КП + ВН + (Э И)
38. Понятие, методика расчета дефлятора цен и прожиточного минимума.
Анализ показателей динамики макроэкономических показателей, и прежде всего ВВП, требует их исчисления в сопоставимых ценах. Одним из методов устранения влияния изменения цен на макроэкономические показатели является дефлятирование стоимостного показателя из текущих цен в цены предыдущего периода с помощью индекса-дефлятора.

Индекс-дефлятор ВВП отношение ВВП в текущих ценах к объему ВВП в постоянных ценах предыдущего года:


где ВВП текущего периода в текущих ценах;
- ВВП текущего периода в базисных ценах.

ВВП текущего года в ценах предыдущего года можно получить следующим образом:
Величина прожиточного минимума представляет собой суммарную стоимостную оценку продуктового набора (минимальной продовольственной "корзины") и соответствующих ей по доле затрат стоимости непродовольственных товаров и услуг с добавлением величины налогов по следующей формуле:
Сmini = Cfi + Cgi + Csi + Cti где
Сmini - величина прожиточного минимума i-ой половозрастной группы населения,
Cfi - стоимостная оценка продуктового набора (минимальной продовольственной "корзины") i-ой половозрастной группы населения.
где
Qji -норматив потребления j-го продукта питания i-ой половозрастной группы населения,
Pj -средняя цена j-го продукта питания,
Сgi -стоимостная оценка потребления непродовольственных товаров i-ой половозрастной группы населения,
Сsi -стоимостная оценка расходов на платные услуги i-ой половозрастной группы населения,
Сti -расходы на налоги i-ой половозрастной группы населения.
Сgi, si, ti = Cfi * (Kgi, si, ti : Kfi) где
Kfi, gi, si, ti - показатели структуры прожиточного минимума i-ой половозрастной группы населения.
j - принимает значение по числу товаров, цены на которые регистрируются для расчета прожиточного минимума.