Взаимосвязанная динамика рынка труда и системы профессионального образования в России: опыт анализа и моделирования
А.Г. Коровкин, И.Б. Королев
Взаимосвязанная динамика рынка труда и системы профессионального образования в России: опыт анализа и моделирования
Согласование динамики спроса экономики на рабочую силу и системы профессионального образования одна из актуальных проблем современной России. Проблемы обеспечения экономики страны квалифицированными кадрами обострялись по мере того, как вслед за ростом экономики увеличивался спрос на рабочую силу, а получившие в современных российских учреждениях профессионального образования специалисты стали играть все более заметную роль на рынке труда [1-3]. В свою очередь, представители многочисленного послевоенного поколения стали постепенно уходить с рынка труда. Изменения в структуре производства и занятости, с одной стороны, и структуре подготовки кадров с другой, стали дополнительными факторами, усложняющими процесс взаимодействия рынка труда и системы профессионального образования.
Остроту проблемы нехватки квалифицированной рабочей силы демонстрируют данные конъюнктурных опросов предприятий реального сектора. Как на этапе экономического роста, так и в период экономического кризиса предприятия реального сектора продолжают ощущать дефицит квалифицированных кадров, прежде всего рабочих. Согласно результатам обследования предприятий реального сектора, проводимых УРАН ИНП РАН [4, 5], нехватка рабочей силы входит в число наиболее актуальных проблем макроэкономического характера (табл. 1).
Таблица 1
Изменение относительного числа предприятий,
для которых нехватка качественной рабочей силы является
наиболее насущной проблемой макроэкономического характера*
|
период |
% общего числа предприятий |
|
Июль август 2002 г. |
19,5 |
|
Февраль март 2004 г. |
31,2 |
|
Июль август 2005 г. |
26,9 |
|
Август сентябрь 2006 г., |
39,0 |
|
Август сентябрь 2007 г., |
53,9 |
|
Август сентябрь 2008 г. |
55,6 |
|
__________________________ * Источник: данные опросов УРАН ИНП РАН [5]. |
Для исследования процесса взаимодействия спроса на квалифицированную рабочую силу и ее предложения, как показывает накопленный нами опыт исследований динамики занятости и рынка труда (см., например, работы [6-8]), могут быть использованы многосекторные модели согласования спроса на рабочую силу и ее предложения. Каждый из учитываемых в таких моделях секторов описывает ситуацию в определенном укрупненном сегменте рынка труда, например, в отрасли, виде экономической деятельности, виде занятий, регионе.
Рассмотрим модификацию модели согласования спроса на квалифицированную рабочую силу и ее предложения с учетом динамики рынка образовательных услуг, когда вместо множества вакансий по отраслям экономики (видам экономической деятельности) рассматривается множество , где вакантные рабочие места в экономике по уровням образования, вакантные ученические места в системе профессионального образования (l число выделяемых уровней образования; k число учитываемых в модели подсистем системы образования; как правило, l = k). Такая модель позволяет решать задачу оценки процесса согласования спроса на рабочую силу и ее предложения не только с учетом развития системы образования, но и структуры спроса экономики на рабочую силу по уровням образования.
Математически модель представляет собой систему интегро-дифференциальных уравнений, в которой исследуется совместная динамика вакантных рабочих и ученических мест и «потенциальных работников», под которыми понимается та часть населения, которая не занята в экономике и не обучается в системе образования. При гипотезах, аналогичных описанным в [1, 6-8], получим следующую систему уравнений:
, (1)
где «потенциальные работники», или часть населения страны, которая в данный момент времени не занята и не учится ни в одном из рассматриваемых в модели секторов экономики ( номер сектора , ). 0, i коэффициенты прироста, выражающие отношение приростов du/dt и dwi/dt к числам u и wi соответственно, а i коэффициент, характеризующий отношение приростов численности занятых и учащихся в секторах к произведению величин u и wi с обратным знаком.
Рассматривается экономическая система, где экономика (сфера занятости) представлена несколькими условными секторами, размеры которых определяются численностью занятого населения с соответствующим уровнем образования, а система образования рассматривается по ее уровням. В этом случае при исследовании процесса согласования спроса на рабочую силу и ее предложения могут быть учтены особенности динамики спроса на рабочую силу с различным уровнем образования, а также различия в динамике системы образования по ее уровням. В численности занятого населения учитывается и число занятых в экономике граждане других государств.
В рабочей версии модели (1) в качестве условных секторов выделялись численности занятого населения с высшим, средним и начальным профессиональным образованием, а также численность занятого населения со средним (полным) общим образованием. Занятые, обладающие уровнем образования, отличным от представленных категорий, были объединены в категорию «остальные», которая является разнородной по своему составу и включает как аспирантов и докторантов, так и занятое население с уровнем образования на уровне основного общего и ниже. Система образования в разработанной модели согласования спроса на рабочую силу и ее предложения представлена четырьмя уровнями профессионального образования (высшее профессиональное образование (ВПО), среднее профессиональное образование (СПО) начальное профессиональное образование (НПО)) и системой общего образования. Анализ динамики и структуры численности занятого населения (удовлетворенного спроса и предложения) по уровням образования позволяет оценить размеры выделяемых «условных секторов» и происходящие изменения в образовательной структуре занятого населения.
Численность занятого населения России, имеющего профессиональное образование, начиная с 1992 г., постоянно росла. Уже к 2005 г. профессиональным образованием обладали почти 70% всех занятых в экономике, а к 2009 г. почти три четверти занятого населения. Соответственно, постоянно уменьшалась доля занятого населения, не имеющего профессионального образования.
Если в 1992 г. высшее профессиональное образование имели 16% всех занятых, то в 2000 г. уже более 21,5%. Вместе с численностью занятого населения, имеющего неполное высшее профессиональное образование, эта доля составила более 26%. В целом, тенденция роста доли занятого населения с высшим профессиональным образованием сохраняется и в дальнейшем (табл. 2).
Доля лиц с начальным профессиональным образованием в численности занятого населения в 2000-2009 гг. значительно увеличилась, особенно в первой половине рассматриваемого периода. Доля занятого населения со средним профессиональным образованием сначала росла, а затем убывала, в итоге изменившись на 1,2 проц. п. за 9 лет.
Удельный вес выделенных в табл. 2 групп занятого населения без профессионального образования сократился на 1,7-4,2 проц. п. Доля людей с полным общим образованием в общей численности занятого населения, несмотря на сокращение, остается высокой. А вот удельный вес имеющих более низкий уровень образования сократился более чем в два раза. С учетом современных требований об обязательности среднего (полного) общего образования, в перспективе можно ожидать дальнейшего сокращения этой величины.
Таблица 2
Образовательная структура занятого населения России, %*
|
Занятые по уровню образования |
2000 г. |
Изменение, проц. п. |
2009 г. |
|
|
за 2001-2005 гг. |
за 2006-2009 гг. |
|||
|
Всего |
100 |
- |
- |
100 |
|
Высшее профессиональное** |
26,1 |
0,48 |
2,33 |
29,0 |
|
Среднее профессиональное |
28,7 |
-3,27 |
2,08 |
27,5 |
|
Начальное профессиональное |
11,0 |
7,26 |
0,42 |
18,7 |
|
Среднее (полное) общее |
23,5 |
-0,75 |
-2,64 |
20,1 |
|
Основное общее |
8,7 |
-2,39 |
-1,78 |
4,5 |
|
Начальное общее, не имеют образования |
2,0 |
-1,33 |
-0,41 |
0,3 |
|
__________________________ * По данным обследования Росстата по проблемам занятости населения, ноябрь соответствующего года. ** Включая занятое население с неполным высшим профессиональным образованием, в 2009 г. включая занятое население с послевузовским высшим образованием. |
При практической реализации модели (1) возникают статистические ограничения, связанные с отсутствием информации о числе и динамике вакантных рабочих мест по уровням образования. В связи с этим возникает необходимость оценки соответствующей структуры (табл. 3). Опыт получения соответствующих оценок представлен в работе [9].
Таблица 3.
Оценка структуры вакантных рабочих мест по уровню образования, в %
|
Уровень образования |
1995 |
2000 |
2005 |
2006 |
2007 |
2008 |
|
Высшее профессиональное |
19,1 |
20,3 |
24,7 |
23,3 |
24,9 |
27,3 |
|
Среднее профессиональное |
23,9 |
36,1 |
27,6 |
24,4 |
25,0 |
27,0 |
|
Начальное профессиональное |
16,1 |
7,8 |
17,0 |
18,5 |
18,0 |
17,9 |
|
Среднее (полное) образование |
24,0 |
23,3 |
23,2 |
21,6 |
21,3 |
21,5 |
|
Остальные |
17,0 |
12,5 |
7,5 |
12,2 |
10,8 |
6,3 |
В свою очередь, под вакантными ученическими местами в системе образования в модели (1) понимаются свободные места для дневного обучения, на которые могут претендовать абитуриенты и которые возникают вследствие движения учащихся внутри системы образования (например, переход из одного вуза в другой).
Таким образом, это вакантные места для желающих получить образование того или иного уровня. Оценкой числа вакантных ученических мест в системе образования по ее уровням выступают численности приема учащихся в учреждения соответствующего уровня образования. В общем образовании соответствующая численность детерминируется прежде всего демографическими причинами. В профессиональном образовании наряду с демографическим фактором весомую роль при определении численности вакантных ученических мест играет спрос населения, который различается по уровням профессионального образования. Так, в начальном профессиональном образовании спрос населения фактически выступает лимитирующим фактором приема учащихся. В среднем и высшем профессиональном образовании осуществляется конкурсный прием, при этом, как правило, конкурс, особенно на бюджетные отделения, был заметно выше единицы.
Анализ динамики параметров модели (1) позволяет дать характеристику развития российского рынка труда, в том числе с учетом наличия у занятого населения образования разного уровня. Демографический фактор (параметр 0) оказывал преимущественно негативное влияние на динамику численности потенциальных работников. Исследуемый параметр оставался отрицательным на протяжении практически всего исследуемого периода, что характеризовало сокращение ресурсного потенциала и отражалось как на потенциальном контингенте системы образования, так и, в последние годы, на динамике численного состава рабочей силы. В условиях сокращения численности населения в трудоспособном возрасте возрастает необходимость эффективного использования наличной рабочей силы, более полного согласования предложения и спроса на труд, повышения эффективности системы профессионального образования с точки зрения потребностей экономики в рабочей силе определенного качества.
Изменения значений производственно-инвестиционного параметра (i) позволяют проанализировать тенденции спроса на рабочую силу по уровням образования. Динамика значений параметра i для рабочей силы с различным уровнем образования представлена в табл. 4. До определенной степени она носит, прежде всего, качественный характер, так как в части динамики вакантных рабочих мест по уровням образования базируется на полученных нами выше оценках.
В этой связи целесообразно сопоставить полученные результаты с теоретическими представлениями о динамике спроса на рабочую силу с различным уровнем образования. Так, значения параметра i были постоянно положительны в секторе «занятые с высшим профессиональным образованием», что отражает устойчивый рост спроса на рабочую силу с этим уровнем профессионального образования. Анализ динамики значений параметра i показывает, что до 1995 гг. фактор движения оказывал главным образом негативное воздействие на процесс согласования динамики численности потенциальных работников и вакантных рабочих мест. В период экономического роста процесс согласования движения потенциальных работников и рабочих мест стал более эффективным: фактор движения действовал на расширение занятости населения с профессиональным образованием.
Таблица 4
Динамика производственно-инвестиционного параметра i в разрезе «условных» секторов экономики и по уровням системы образования
|
Показатель |
1995 г. |
2000 г. |
2005 г. |
2006 г. |
2007 г. |
2008 г. |
|
«Условные сектора» |
||||||
|
высшее профессиональное образование |
0,58 |
12,24 |
4,60 |
3,19 |
7,12 |
3,67 |
|
среднее профессиональное образование |
0,06 |
-2,43 |
-0,87 |
1,80 |
2,78 |
2,68 |
|
начальное профессиональное образование |
-0,71 |
16,90 |
6,25 |
0,77 |
0,27 |
3,31 |
|
среднее (полное) общее образованием |
-1,07 |
2,61 |
-0,85 |
-1,47 |
2,69 |
-4,23 |
|
«остальные» |
-9,31 |
6,50 |
-1,47 |
-6,01 |
-5,91 |
-5,92 |
|
Система образования |
||||||
|
ВПО |
0,02 |
0,46 |
0,11 |
0,15 |
0,10 |
0,03 |
|
СПО |
-0,12 |
0,16 |
-0,04 |
-0,14 |
-0,18 |
-0,27 |
|
НПО |
-0,10 |
-0,02 |
-0,09 |
-0,11 |
-0,22 |
-0,33 |
|
Общее образование |
-0,01 |
-0,16 |
-0,40 |
-0,39 |
-0,30 |
-0,08 |
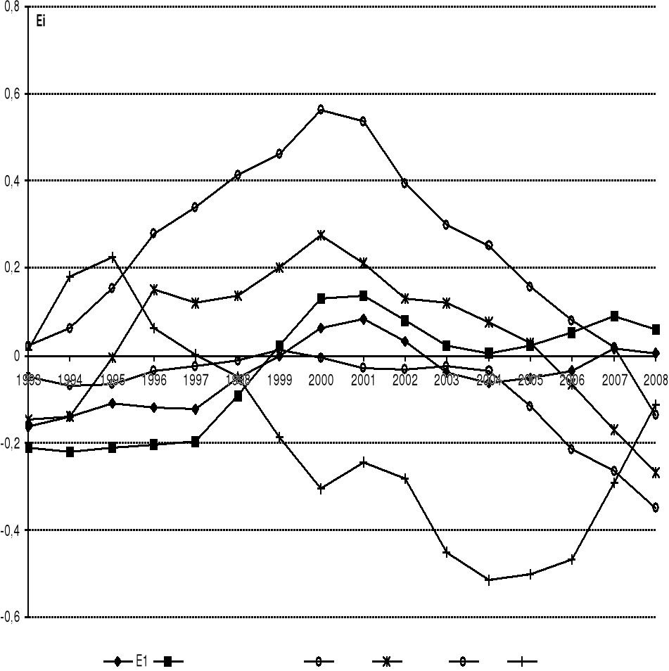
В динамике параметра i для системы образования (см. рисунок) можно выделить несколько разных по продолжительности и динамике параметров для отдельных уровней образования периодов. Так, в 1994-1999 гг. наблюдалась неоднозначная динамика анализируемого параметра для рассматриваемых уровней образования. Значения параметра для высшего профессионального образования имели тенденцию к устойчивому росту. К 1999 г. они достигли максимальных среди всех отраслей сферы образования значений и оставались таковыми и в дальнейшем. В среднем профессиональном образовании ситуация была иной: с 1995 г. значения коэффициента стали положительными и изменялись в диапазоне 0,13-0,18. Как показано на рисунке, для начального профессионального образования значения исследуемого параметра лежали в отрицательной области (за исключением 1999 г.), что отражает постоянное уменьшение приема учащихся в эти заведения. В общем образовании первоначально рост численности соответствующих возрастных групп стимулировал увеличение числа ученических мест (1>0), после чего динамика стала противоположной.
Описанные выше тенденции к 2000 г. в значительной степени исчерпали себя. Для периода 2000-2004 гг. характерно сглаживание и унификация процесса возникновения вакантных ученических мест на разных уровнях системы образования. Результатом этого стало, во-первых, сближение значений рассматриваемого параметра и, во-вторых, некоторое уменьшение этих величин к концу анализируемого периода. Исключение составляет общее образование, где в силу демографических тенденций численность обучающихся и прием постоянно уменьшались.
|
|
Рисунок. Динамика параметра i для численностей занятого в экономике
населения и учащихся СПО по ее уровням, а также их суммы (E1):
Е1; занято в экономике; ВУЗы; ---- ССУЗы;
ПТУ; школы
Анализ динамики параметра совместного движения потенциальных работников и вакантных рабочих мест (i) по уровням системы образования подтверждает ранее полученный вывод о том, что фактор движения оказывал неоднозначное влияние на процесс согласования предложения вакантных ученических мест и спроса на них со стороны потенциальных работников [7, 8]. Так, положительные по знаку значения параметра (i) для начального профессионального образования характеризуют негативное влияние процесса движения потенциальных работников и ученических мест на результат взаимодействия спроса и предложения. В целом для профессионального образования влияние фактора движения на процесс согласования спроса и предложения труда было позитивным, но процесс увеличения числа ученических мест за счет воздействия указанного фактора значительно замедлился.
Учет в модели динамики системы образования позволяет проводить согласованный анализ тенденций изменения как спроса на рабочую силу, так и системы подготовки кадров соответствующего уровня. Для реализации прогнозного варианта модели необходим прогноз перспективной динамики ее параметров. Накопленный нами опыт оценки перспективной динамики коэффициентов односекторных и многосекторных моделей согласования спроса на рабочую силу и ее предложения свидетельствует, что могут быть построены удовлетворяющие всем статистическим характеристикам эконометрические модели. В этих моделях в качестве зависимых переменных выступают соответствующие параметры модели (1), а в качестве объясняющих факторов основные демографические и социально-экономические показатели (см., например, [1, 7]). Так, например, динамика производственно-инвестиционного параметра (i) может быть объяснена изменениями в темпах экономического роста (динамикой ВВП) и темпах инвестиций. Вместо показателя темпов роста можно использовать и индекс промышленного производства, тем более что промышленность выступает одним из основных потребителей квалифицированных кадров в экономике России. При моделировании динамики производственно-инвестиционного параметра для выделенных в модели (1) «условных» секторов необходимо также использование дополнительных факторов, которые объясняли бы изменения в структуре спроса экономики на рабочую силу по уровням образования. Например, опережающее развитие таких секторов, как наука и образование, может привести к росту спроса на рабочую силу с высшим профессиональным образованием. Другим фактором, и даже более значимым (учитывая значительный удельный вес) может выступать расширение сектора государственного управления, где также высок спрос на специалистов с высшим профессиональным образованием. Сокращение этого сектора, соответственно, дает обратный эффект. Таким образом, на теоретическом уровне может быть выявлен достаточно широкий набор факторов, способный оказывать воздействие на структуру спроса экономики на рабочую силу, и, более широко, на процесс согласования спроса и предложения труда, динамику развития системы образования. Для проведения практических расчетов, однако, требуется набор перспективных сценариев для показателей, отражающих влияние этих факторов на прогнозном периоде, что накладывает серьезные ограничения на возможность использования широкого набора таких факторов. Другими ограничениями на включение нескольких факторов может быть их (факторов) сильная взаимозависимость (мультиколлинеарность), или длинна динамических рядов. Вышесказанное и определяет дальнейшие направления исследования.
Эта работа проводится при финансовой поддержке Российского фонда фундаментальных исследований (грант № 09-06-00217а).
Использованная литература
- Коровкин А.Г. Динамика занятости и рынка труда: вопросы макроэкономического анализа и прогнозирования. М. Макс-Пресс. 2001.
- Коровкин А.Г., Королев И.Б., Полежаев А.В. Макроэкономические проблемы сферы занятости и рынка труда в России и некоторые направления их решения // Концепции. 2003. №2 (12).
- Коровкин А.Г., Долгова И.Н., Королев И.Б., Подорванова Ю.А., Полежаев А.В. Занятость и рынок труда в России: проблемы и ограничения // Проблемы прогнозирования. 2005. № 5.
- Кувалин Д.Б. Экономическая политика и поведение предприятий: механизмы взаимного влияния. М. Макс-Пресс. 2009
- Кувалин Д.Б., Моисеев А.К. Российские предприятия в середине 2009 г.: восстановление после острой фазы кризиса. Электронный ресурс: http://www.ecfor.ru/pdf.php?id=pub/kuv15 свободный.
- Коровкин А.Г., Долгова И.Н., Королев И.Б. Дефицит рабочей силы в экономике России: макроэкономическая оценка // Проблемы прогнозирования. 2006. № 4.
- Коровкин А.Г., Королев И.Б. Макроэкономический анализ взаимосвязи динамики отраслевых рынков труда и системы образования // Проблемы прогнозирования. 2005. № 4.
- Королев И.Б. Взаимосвязь спроса и предложения на российском рынке труда: гендерные и образовательные особенности. Научные труды: Институт народнохозяйственного прогнозирования РАН. М. Макс-Пресс. 2007.
- Коровкин А.Г., Долгова И.Н., Королев И.Б. Анализ и моделирование взаимосвязанной динамики рынка труда и системы образования в экономике РФ // Научные труды: Ин-т народнохозяйственного прогнозирования РАН / М.: МАКС Пресс, 2010. 776 с.
PAGE 9
