Научно-исследовательская компонента в деятельности преподавателей университетов: финансирование и эффективность
Мараева Мария Дмитриевна
ГУ-ВШЭ
Санкт-Петербург
Научно-исследовательская компонента в деятельности преподавателей университетов: финансирование и эффективность
В современном мире увеличивается значение образования как важнейшего фактора формирования нового качества не только экономики, но и общества в целом. Его роль постоянно растет вместе с ростом влияния человеческого капитала. Образование является интенсивным фактором экономического роста [Temple, 2001]. Образование увеличивает объем человеческого капитала, заключенный в рабочей силе, что повышает производительность труда и обеспечивает переход к более высокому равновесному объему выпуска (как в расширенных неоклассических моделях роста [Mankiw, Romer, Weil, 1992]). Образование может повысить инновационный потенциал экономики, и знания о новых технологиях, продуктах и процессах будут способствовать росту (как в теориях эндогенного роста, например [Lucas, 1988; Romer 1990]). Также образование может способствовать распространению и передаче знаний, необходимых для понимания и обработки новой информации, а также для успешной реализации новых технологий, разработанных другими, что ускоряет экономический рост (например [Nelson, Phelps, 1966; Benhabib, Spiegel, 2005]).
Российская система образования способна конкурировать с системами образования передовых стран. Однако она потеряет шанс на восстановление конкурентоспособности, если не будет сформулирована пользующаяся широкой поддержкой общественности общенациональная образовательная политика, если государство не восстановит свою ответственность и активную роль в этой сфере, не проведет глубокую и всестороннюю модернизацию образования с выделением необходимых для этого ресурсов и созданием механизмов их эффективного использования. Барр [Barr, 1999] показывает, что определяющая цель образовательной политики сделать оптимальной структуру расходов на образование.
В настоящее время одним из ключевых условий обеспечения эффективности образовательной политики в России является комплексная модернизация экономических механизмов сферы образования, что особенно актуально в условиях кризиса. Существующий механизм финансирования образования не соответствует требованиям современной экономики и требует реструктуризации.
Данная работа посвящена моделированию механизма финансирования высшего образования с учетом научно-исследовательской компоненты в аспекте реформирования системы финансирования высшего образования России. В России недостаточно внимания уделяется взаимосвязи между исследовательской компонентой университета и способом его финансирования, что непременно должно быть учтено при разработке нового механизма финансирования высшего образования.
По нашему мнению, государственное финансирование должно составлять небольшую долю бюджета доходов университета, основополагающая часть внебюджетные источники и внутренние ресурсы.
По нашему мнению, бюджет университета должен состоять из средств от оказания платных образовательных услуг, государственных субсидий, финансов бизнес-сообщества на подготовку целевых кадров, грантов западных образовательных фондов. В свою очередь, государственное субсидирование должно быть максимально эффективно.
Актуальный вопрос государственной политики в области высшего образования создание научно-исследовательских университетов и особой системы их финансирования. Целью работы является моделирование механизма финансирования университетов с учетом их научно-исследовательской компоненты.
Достижение поставленной цели подразумевает изучение мирового опыта в области финансирования высшего профессионального образования, рассмотрение российской модели софинансирования высшего образования как с теоретической, так и с практической точки зрения, разработка качественно новой математической модели финансирования университетов.
Рассмотрим модель финансирования университетов с учетом научно-исследовательской компоненты.
ПРОФЕССОРА
Пусть профессора в предложенной модели эквивалентны преподавателям в российской системе образования. Рассмотрим университет, в котором количество профессоров постоянно и все профессора нанимаются на постоянный срок модель постоянного найма, то есть количество профессоров постоянно. Пусть главным источником финансирования выступает государство. Каждый профессор имеет определенный уровень, который определяет его возможности в обучении студентов, St квалификация профессора в период t, t = 1, 2, 3,…; причем 0 St 1.
Профессора занимаются преподавательской и исследовательской деятельностью и получают дифференцированную плату за преподавание и исследование, pt и pr соответственно. Примем общее время работы профессора за 1, оно состоит из времени, которое профессор тратит на преподавание и на исследования, t и r соответственно:
T = t + r = 1.
Каждый период квалификация профессора меняется в зависимости от того, сколько времени он тратит на исследования. Модель предполагает, что чем больше времени профессор тратит на исследования, тем быстрее растет его квалификация, то есть посредством исследований профессор получает новые знания в своей научной области, и он способен обучить студентов более качественно, их знания будут соответствовать современным требованиям.
Однако если профессор не занимается исследованиями вообще, его квалификация постепенно снижается, поскольку его знания в области научной области устаревают, и он не способен обучать студентов на соответствующем уровне.
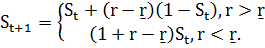
Для того чтобы квалификация профессора в следующем периоде не снижалась, ему каждый период необходимо тратить время r на поддержание квалификации на уровне не ниже предыдущего значения.
Таким образом, в случае, если профессор тратит больше времени на исследования, чем ему необходимо для поддержания своей квалификации, то есть r>, то его квалификация растет, асимптотически приближаясь к 1. Причем темпы роста квалификации тем выше, чем больше времени тратится на исследования.
В обратном случае, если профессор недостаточное время уделяет исследованиям r<, его квалификация снижается, асимптотически приближаясь к 0:. Аналогично, темп падения квалификации тем ниже, чем меньше времени уделяется исследовательской деятельности.
Таким образом, уравнение динамики квалификации преподавателя:

Предположим, что моментная полезность профессора определяется получаемым доходом, Ut полезность профессора в период t, It доход профессора в период t:
Ut = It.
Общая функция полезности имеет вид дисконтированной суммы моментных полезностей с бесконечным временным горизонтом:
,
где коэффициент дисконтирования.
Предположим, что доход преподавателя в период t зависит от того, сколько времени он тратит на преподавание и исследования, от того, в каком объеме ему оплачивают эти виды деятельности, а также от его текущей квалификации, так как при прочих равных условиях, преподаватель более высокого уровня должен получать более высокую заработную плату. К примеру, ставка доктора наук выше, чем ставка кандидата наук.
Таким образом, моментная функция полезности профессора, которая определяется его доходом, имеет вид:
,
При прочих равных условиях цель профессора максимизировать общую полезность, выбирая долю времени, которую он готов потратить на преподавание, t. Оставшееся время он тратит на исследования, r.
Причем t +r = 1.
СТУДЕНТЫ
Ежегодно в университет поступают студенты, которые также отличаются уровнем знаний. Заметим, прежде всего, что в равновесии сильные студенты предпочтут университет с более сильными профессорами.
Предположим для простоты, что абитуриенту не важна информация о квалификации профессоров университета, его, прежде всего, интересует, насколько квалифицированных специалистов выпускает вуз, поэтому его выбор определяется, прежде всего, качеством выпускников данного университета, поэтому существует зависимость между поступающим и выпускником предыдущего периода.
Также предположим, что абитуриент, поступающий в вуз, имеет начальные знания а в области, в которой он хочет стать специалистом. Чем выше квалификация выпускников данного университета, тем выше будет конкурс при поступлении, и, соответственно, более способные студенты будут там учиться. То есть начальная квалификация студента линейная комбинация между средними способностями абитуриентов и уровнем квалификации выпускников в предыдущем периоде:
, причем коэффициент отражает, насколько сильно квалификация выпускника влияет на уровень поступивших студентов;
средний уровень способностей поступающего в университет, 1,
средняя квалификация выпускника университета, 1,
a средний уровень начальной квалификации абитуриента.
Предположим для простоты, что .
Пусть за время обучения в университете студент имеет возможность взаимодействовать слушать курсы, писать курсовые, дипломные работы с профессорами. Определим зависимость знаний выпускника следующего периода от знаний поступающего данного периода и способностей профессора.
Профессор, имея квалификацию St способен обучить студента и повысить его уровень знаний at до уровня, не превышающего его собственной квалификации, то есть в данной модели студент не может после университета разбираться в предмете, которому его обучают, лучше, чем преподаватель. То есть квалификация выпускника это линейная комбинация между способностями поступившего абитуриента и квалификацией преподавателя:
,где коэффициент, оценивающий способность профессора передавать знания студенту, причем преподаватель тем лучше обучает студента, чем большую долю своего времени тратит на преподавание, а именно:
Для простоты предположим, что функция f(t) линейная и имеет вид:
, так как если преподаватель тратит все время на преподавание, то есть t = 1, то параметр принимает максимальное значение, = 1, и наоборот, если преподаватель не тратит времени на преподавание, то уровень студентов не повышается вообще.
Очевидно, верно следующее соотношение:
Таким образом, знания выпускника следующего периода выражается следующим образом:
Главная цель государства в образовательной политике повысить качество образования. Функция общественной полезности имеет вид:

Данная функция включает в себя квалификацию профессора, время, которое он тратит на исследования, уровень знаний выпускника. Таким образом, она включает в себя как результаты научных исследований профессора, выраженную в его квалификации и знаниях, которые он в соответствии со своей квалификацией смог передать выпускнику. Общество максимизирует полезность при высокой доле качественных исследований и высоком уровне знаний выпускников. Квалифицированные профессора могут дать хорошие знания студентам, поэтому качественный показатель растет.
Таким образом, для государства первостепенное значение имеет максимизация качества образования, она достигается при проведении исследований профессорами и передачи этих знаний студентам.
Данная модель позволяет определить определенное соотношение t и r, при которых функция общественной полезности достигает максимума, уровень знаний поступающих и выпускников растет, и способности профессора так же растут в динамике в зависимости от входных данных модели. При существующих значениях показателей такая ситуация достигается при t=0,62, r=0,38.
Таким образом, данная модель показывает, что для повышения качества образования профессор должен заниматься исследованиями, причем не менее критического минимума, r. Только профессор-исследователь может дать студенту знания высокого уровня. Модель финансирования университета с учетом научно-исследовательской компоненты показывает, что деньги не должны следовать за студентом, что исследования должны составлять четко определенную долю бюджета университета. Она позволяет выявить то, что в равновесии при максимизации функции общественной полезности время на преподавание и исследования будут распределены в определенной пропорции.
Реформирование экономики образования, в частности высшего, является приоритетным направлением государственной политики. Разработанная модель показывает, что увеличение объема финансирования научной деятельности профессоров, занимающихся исследованиями, в определенном объеме будет способствовать повышению качества образования и повлечет за собой рост конкуренции в преподавательской среде, что также будет благоприятно как для общества, так и для экономики в целом.
В разных отраслях образования исследовательская деятельность, безусловно, может оцениваться по-разному. В экономике профессор должен постоянно быть в курсе происходящих изменений, должен больше времени уделять исследованиям, так как ему легко потерять квалификацию, однако, в математике, например, сильные изменения в науке не происходят, поэтому в данной области доля времени, приходящаяся на исследования, должна быть меньше, по отношения к тем наукам, где изменения происходят постоянно. Эта проблема в модели решается изменением входных параметров, поэтому с ее помощью можно оценить разные области науки и определить равновесное соотношение времени на исследования и преподавание.
Очевидно, что необходимо расширение доли научно-исследовательской компоненты в бюджете университета, причем это расширение, по опыту зарубежных стран, должно происходить не только за счет государственных ассигнований, но и за счет расширение доли внебюджетного финансирования.
PAGE \* MERGEFORMAT 5
Научно-исследовательская компонента в деятельности преподавателей университетов: финансирование и эффективность