Проблемы оценки эффективности инвестиционных проектов государственно-частного партнерства
Новикова ТатьянаСергеевна,
д.э.н., проф. НГУ, вед. н. с.
ИЭОПП СОРАН,
Новосибирск, Россия
Проблемы оценки эффективности
инвестиционных проектов государственно-частного партнерства
Постановка проблемы оценки эффективности инвестиционных проектов
Переход на инновационный путь развития требует адекватной институциональной формы инновационной деятельности, основанной на проекте как организационной единице координации и принципе партнерства как способе координации деятельности участников. В условиях проектной экономики принятие основных инвестиционных решений осуществляется на микроэкономическом уровне отдельного проекта. При этом институциональная структура и соответствующие механизмы инвестиционной деятельности определяются рамками инвестиционного проекта (или комплекса взаимосвязанных проектов в рамках одной инвестиционной программы) как организационной единицы координации. Это позволяет более эффективно использовать инвестиционные ресурсы за счет институциональных возможностей, возникающих на микроуровне, для достижения целей развития общества, прежде всего перехода к инновационному развитию. Проектная форма инновационной деятельности позволяет мобильно перераспределять необходимые ресурсы в приоритетных направлениях, использовать человеческий потенциал. Способ координации деятельности участников в рамках проекта базируется на принципах партнерства и преобладании горизонтальных связей между участниками инвестиционной деятельности, что позволяет на постоянной основе обеспечивать внедрение инноваций в производство. Соответствующий современный подход в проектном анализе основывается на новом типе взаимодействия участников инвестиционного процесса государственно-частном партнерстве (ГЧП).
Методы оценки проектов при этом существенно изменяются по сравнению с традиционными подходами. С одной стороны, они не сводятся к оценкам частного сектора, соответствующим интересам частных участников и сконцентрированных на анализе финансовой эффективности (анализе коммерческой эффективности, разработке капитального бюджета). С другой стороны, они отличаются от учета интересов только государства как представителя общества, характерного для анализа издержек и выгод в общественном секторе. Современные методы оценки инвестиционных проектов ГЧП наряду с анализом финансовой эффективности включают в качестве обязательной составной части анализ экономической эффективности (анализ общественной эффективности, анализ издержек и выгод, или cost-benefit analysis CBA), учитывающий интересы общества в целом.
В современных условиях для оценки проектов необходимо одновременно оценивать и финансовую, и экономическую эффективность, причем в двух варинтах с государственной поддержкой и без нее. Соответствующие зарубежные методики проектного анализа разрабатываются банками развития и международными финансовыми организациями, прежде всего, Всемирным банком [1] и организациями Европейского Сообщества [2]. Среди отечественных методик до сих пор основными являются Методические рекомендации по оценке эффективности инвестиционных проектов 2000 г., использующие современные методы проектного анализа и имеющие статус официального издания [3]. Они предусматривают оценку коммерческой и общественной эффективности. В последние годы оценка многих проектов ГЧП регламентируется методиками Инвестиционного фонда (2006, 2008), требующими проведения одновременной оценки и финансовой, и экономической эффективности, а также сравнения показателей с государственной поддержкой и без нее.
Рассмотренные современные методы проектного анализа были использованы в экспериментальных исследованиях с применением оптимизационной межотраслевой межрегиональной модели и в практических расчетах по оценке отдельных проектов (в том числе нескольких мегапроектов) [4], а также комплекса инновационных проектов СО РАН [5].
Основная проблема реализации проектов в современных условиях связана с представлением на рынке информации о различных видах эффективности: финансовой (коммерческой) эффективности, учитывающей выгоды и затраты при реализации проекта с точки зрения частных участников проектов, и экономической (общественной) эффективности, учитывающей последствия реализации проекта с точки зрения общества в целом. Соответствующую информационную проблему можно представить в форме айсберга. При этом разделяется выступающая на поверхности явлений информация о финансовой эффективности проектов и скрывающаяся под водой информация о превышении экономической эффективности по сравнению с финансовой. Частные участники при принятии решений ориентируются на возвышающиеся над водой наблюдаемые показатели финансовой эффективности (например, финансового чистого дисконтированного дохода FNPV) и не заинтересованы в инвестициях для таких проектов, несмотря на их высокую экономическую эффективность (измеренную, например, с помощью показателя экономического чистого дисконтированного дохода ENPV) и соответствующий разрыв между экономической и финансовой эффективностью (не наблюдаемый частными участниками показатель ).
Государство выступает в качестве специфического участника, за счет предоставления поддержки влияющего на уровень финансовой эффективности и приводящего в соответствие финансовую и экономическую эффективность проектов. Без участия государства проекты данной группы характеризуются низким уровнем финансовой эффективности, неспособным заинтересовать обычных частных инвесторов, однако их уровень экономической эффективности настолько высок, что служит основанием для государственного вмешательства. За счет предоставления государственной поддержки, например, в форме финансирования наиболее рискованных НИОКР финансовая эффективность возрастает до уровня, приемлемого для частных участников. Так за счет государственного вмешательства решается проблема разрыва финансовой и экономической эффективности. В результате государственной поддержки инновационной деятельности обеспечивается взаимовыгодное сочетание интересов различных участников, при котором частные инвесторы заинтересованы в предоставлении финансовых ресурсов для общественно значимых проектов. Одновременно бюджетная эффективность поддерживается на достаточно высоком уровне (хотя и меньшем по сравнению с вариантом без предоставления поддержки).
Различие финансовой и экономической эффективности проектов
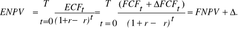
В предлагаемой методике оценки экономической эффективности проектов осуществляется переход от финансовой к экономической эффективности с помощью соответствующей корректировки денежных потоков, а также ставки их соизмерения во времени. Предположим, что финансовая эффективность проекта определяется на основе соответствующего финансового денежного потока FCFt в каждый момент времени t и ставки дисконтирования r. Тогда в расчетах экономической эффективности проекта для получения экономических денежных потоков ECFt показатели финансового денежного потока корректируются на величину приростных величин .
Формула для расчета чистого дисконтированного доходав рамках анализа экономической эффективности проекта (ENPV) принимает вид:

Денежные потоки по проекту описывают деятельность по осуществлению проекта независимо от источников финансирования расходов и перераспределения доходов между различными участниками. Однако для реализации проекта не менее важной является проблема его финансирования и соответствующего перераспределения получаемых результатов, соответственно, проблема эффективности участия в проекте. Основу ее решения можно представить следующим соотношением денежных потоков:
,
где CFt - денежные потоки по проекту, равные FCFt в рамках анализа финансовой эффективности и ECFt в рамках анализа экономической эффективности, а соответствующие денежные потоки sго участника проекта. Состав участников и соответствующие им денежные потоки различаются в рамках анализа финансовой и экономической эффективности. Данное соотношение определяет основу взаимодействия различных участников проекта, выступающего в форме взаимодействия их денежных потоков. В левой части представлены показатели для расчета эффективности проекта, а в правой части эффективности участия в проекте.
Для анализа экономической эффективности в условиях несостоятельности рынка выявление самого состава выгод и затрат, сопровождающих реализацию проекта, становится центральной проблемой. Как показывает опыт оценки современных инновационных проектов, наибольшее влияние на возникновение разрыва между финансовыми и экономическими показателями оказывают три группы факторов и соответствующих эффектов: перераспределительные (налоговые), внешние (экологические) и косвенные.
Оценка инновационного потенциала СО РАН
Для получения оценки инновационного потенциала СО РАН сначала оценивались показатели финансовой и экономической эффективности для каждого из проектов комплекса 19 «эталонных»проектов, на их основе рассчитывался коэффициент взаимосвязи результирующих показателей и затрат, который затем применялся к 13 сводным мегапроектам, реализуемым в СО РАН. В число 19 «эталонных» проектов вошло 3 мегапроекта, использующие значительные объемы бюджетного финансирования и обеспечивающие достаточно высокие показатели эффективности, в том числе рассмотренный выше проект производства установок ароматизации легкого углеводородного сырья.
Для сводных инновационных проектов СО РАН чистый дисконтированный доход (ЧДД) в рамках экономической эффективности превышает соответствующее значение финансовой эффективности в 26,9 раза при расчете без дисконтирования и 22,5 раза при 10%-й ставке дисконтирования.
Экологические эффекты составили относительно небольшую величину в размере 3,2% к ЧДД в рамках экономической эффективности при 10%-й ставке дисконтирования. Наиболее существенно влияние на различие финансовой и экономической эффективности оказали налоговые и косвенные эффекты, составившие для сводных проектов 51,3% и 41,1%, соответственно.
В целом, проведенные расчеты по оценке инновационного потенциала на основе анализа эффективности проектов СО РАН показали существенно более высокий уровень экономической эффективности по сравнению с относительно низким уровнем финансовой эффективности.
Оценка последствий реализации крупного проекта на основе комплеса межотраслевых межрегиональных моделей
Для получения более точной оценки последствий реализации проектов с точки зрения общества в целом и определения результатов влияния крупных инвестиционных проектов на макроэкономические и региональные показатели может использоваться модельный комплекс, включающий следующие составные части:
- двухпериодная оптимизационная межотраслевая межрегиональная модель (ДОМММ) в двух вариантах: исходная модель без учета проекта и модифицированная модель с учетом проекта;
- многопериодная имитационная модель инвестиционного проекта (МИМИП), в том числе финансовая модель и экономическая модель.
Кроме того, вспомогательную роль для обеспечения расчетов выполняют блок инвестиционного проекта и блок расчета косвенных эффектов. Для перехода к расчетам по ДОМММ весь комплекс исходных данных блока инвестиционного проекта сводится к передаче информации о технологическом способе проекта, представляющим собой экзогенно задаваемый вектор денежных потоков по двум периодам, регионам и межрегиональным соотношениям модели. Особенности формирования исходных данных по инвестиционным проектам и соответствующей взаимосвязи моделей при проведении экспериментальных расчетов отмечены на рисунке штриховыми линиями. В вариантах экспериментальных исследований построение блока проекта в случае неполной информации частично осуществляется на основе информации исходной ДОМММ и одновременно создается информационная база для построения финансовой имитационной модели инвестиционного проекта.
Влияние реализации проекта на макроэкономические показатели оценивается на основе расчетов по модифицированной ДОМММ. Одновременно проводится оценка проекта на микроэкономическом уровне с учетом воздействия проекта на различных частных участников в рамках финансовой МИМИП и с учетом разнообразных общественных эффектов проекта в рамках экономической МИМИП.
Основой комплекса является модифицированная ДОМММ с учетом технологического способа инвестиционного проекта. Исходная ДОМММ модифицируется прежде всего за счет подключения в модель технологического способа инвестиционного проекта, в свою очередь определяемого как результат формирования блока соответствующего проекта в системе показателей межотраслевых межрегиональных моделей. Кроме того, за счет положительных внешних эффектов, возникающих в результате реализации инфраструктурных и инновационных проектов, в модифицированной ДОМММ изменяются технологические коэффициенты сопряженных отраслей (прежде всего, коэффициенты материалоемкости и трудоемеости). На основе решений модифицированной и исходной моделей проводится оценка воздействия проекта на отдельные макроэкономические и региональные показатели и экономической эффективности проекта в формате данных ДОМММ, рассчитывается величина косвенных эффектов проекта.
Изменение решения ДОМММ за счет учета инвестиционного проекта позволяет получить количественную оценку косвенных эффектов реализации проекта и измеренных в постоянных ценах производителей. Затем проводится расчет косвенных эффектов с целью перевода значений данной группы показателей (полученных на основе решения ДОМММ) в форму, сопоставимую с показателями имитационной модели (для определения изменения денежных потоков при переходе от финансовой к экономической эффективности).
Имитационная модель инвестиционного проекта позволяет проводить оценку проектов по двум взаимосвязанным направлениям, связанным с анализом финансовой (коммерческой) и экономической (общественной) эффективности и базирующимся на соответствующих финансовой и экономической моделях. Проведение расчетов по экономической МИМИП базируется на исходной информации, с одной стороны, получаемой из соответствующей финансовой МИМИП и учитывающей последствия реализации проекта для непосредственных частных участников проекта, с другой стороны, информации о воздействии на участников за пределами проекта в масштабе межрегиональной межотраслевой системы страны в целом и отдельных регионов, а также мировой экономики (через внешнеэкономические связи). В результате определяется система показателей экономической эффективности проекта, на основе которой проводится обоснование необходимости государственной поддержки проекта. Сочетание низких показателей финансовой эффективности и высоких показателей экономической эффективности служит основанием предоставления государственной поддержки и вызывает необходимость проведения новых расчетов по финансовой модели, уже в варианте с поддержкой.
В свою очередь, каждое направление включает оценку эффективности проекта и эффективности участия в проекте (соответственно, оценку экономического потенциала, возникающего за счет реализации проекта, и механизма реализации этого потенциала, прежде всего определяемого при выборе способов финансирования проекта). В имитационной модели рассчитываются традиционные для представления проектов на микроэкономическом уровне показатели эффективности проекта: чистый дисконтированный доход (чистая приведенная стоимость), срок окупаемости, внутренняя норма доходности.
Принцип прозрачности государственно-частного партнерства
Основным механизмом реализации инвестиционных проектов, связанным с государственным стимулированием инвестиционной деятельности и соответствующей государственной поддержки проектов, выступает прозрачность деятельности государства, соответственно, государственно-частного партнерства. Основные проблемы реализации проектов ГЧП тождественны проблемам оценки этих проектов (относящихся ко второй группе), закономерно возникающим в условиях асимметричности информации о проектах для частных участников и общества в целом и связанных с разрывом между финансовой и экономической эффективностью. Для инновационных проектов, реализация которых основана на взаимодействии государства и бизнеса, прозрачность состоит в представлении информации о разрыве финансовой и экономической эффективности проектов, соответствующем обосновании необходимости их государственной поддержки на этапе разработки, постоянном представлении информации о выделении бюджетных средств и контроле их использования на этапе осуществления. При этом высокой прозрачности государственно-частного партнерства соответствует активное общественное участие в бюджетном процессе. К сожалению, для инвестиционной политики в России характерна обратная ситуация, когда низкий уровень бюджетной прозрачности сопровождается слабым общественным участием. Применяемые на практике способы оценки инвестиционных проектов не включают обоснования необходимости государственной поддержки, что оправдано для частных проектов, но недопустимо для проектов государственно-частного партнерства. Между тем расходование бюджетных средств обосновано только для социально значимых проектов, требующих государственной поддержки, а для их анализа необходимо применение особых методов оценки, базирующихся на сочетании анализа финансовой (коммерческой) и экономической (общественной) эффективности.
Таким образом, рассмотренные подходы к оценке эффективности ориентированы на оценку определенного типа проектов, для которых возникает потребность в применении методов проектного анализа, учитывающих различие подходов частных участников проектов и общества в целом, основанных на принципах государственно-частного партнерства. Применение этих методов объясняется настоятельной необходимостью оценки проектов, реализующихся в частном секторе, но требующих государственной поддержки с использованием механизмов стимулирования участия частного бизнеса в реализации общественно значимых проектов. Выявленные в результате такой оценки общественно значимые и, как правило, крупномасштабные проекты требуют предоставления государственной поддержки, в противном случае они не были бы реализованы частным сектором. Возросшая потребность в обоснованной государственной поддержке отдельных инвестиционных проектов требует адекватного развития демократических преобразований и соответствующего обеспечения прозрачности государственного вмешательства в инновационный процесс.
Работа выполнена при поддержке РФФИ, проект номер 09-06-00377.
Литература
- Jenkins G.P., Harberger A.C. Cost-benefit Analysis of Investment Decisions. Manuel. Queens University, Canada, 2001.
- A Guide to Cost-Benefit Analysis of Investment Projects. DG Regional Policy, European Commission, 2000.
- Методические рекомендации по оценке эффективности инвестиционных проектов (вторая редакция). Официальное издание. М.: Экономика, 2000.
- Новикова Т.С. Анализ общественной эффективности инвестиционных проектов. Новосибирск: ИЭ ОПП, 2005.
- Инновационный потенциал научного центра: методологические и методические проблемы анализа и оценки/ Отв. ред. чл.-к. РАН В.И.Суслов. Новосибирск, ИЭОПП, 2007.
- Гранберг А.Г., Суслов В.И., Суспицын С.А. Многорегиональные системы: экономико-математическое исследование. Новосибирск, Сибирское научное издательство, 2007.
PAGE 5
EMBED Equation.3 
Проблемы оценки эффективности инвестиционных проектов государственно-частного партнерства