екомендации по улучшению мотивации в ОАО «Сбербанк»
План:
Введение……………………………………………………………………………...3
1. Теоретические основы мотивации……………………………………………….5
1.1 Сущность мотивации и мотивационного процесса……….……………….…..5
1.3 Содержание основных теорий мотивации………….………………………...12
1.3 Методы мотивации персонала организации………………………………….18
2. Анализ мотивации на примере ОАО «Сбербанк»……………………………..23
2.1 Общая характеристика организации…………………………………………..23
2.2 Анализ состояния мотивации труда персонала ОАО «Сбербанк»……….....26
3. Рекомендации по улучшению мотивации в ОАО «Сбербанк»………..……...36
3.1 Основные рекомендуемые мероприятия…………………………………...…36
3.2 Оценка предполагаемого эффекта от реализации предложенных рекомендаций…………………………………………………………………….…37
Заключение……………………………………………………………………….....44
Список литературы…………………………………………………………………46
Введение
В условиях формирования новых механизмов хозяйствования, ориентированных на рыночную экономику, перед предприятиями встаёт необходимость работать по-новому, считаясь с законами и требованиями рынка, овладевая новым типом экономического поведения, приспосабливая все стороны производственной деятельности к меняющейся ситуации. В связи с этим возрастает вклад каждого работника в конечные результаты деятельности предприятия.
Таким образом, актуальность проблематики не вызывает сомнений, так как современный уровень экономического развития, характеризующийся глобализацией экономики и проникновением информационных технологий во все сферы производства, сформировал новую парадигму управления, выделяющую человеческие ресурсы как ключевой элемент и ресурс эффективной организации. Важнейшей составляющей процесса управления человеческими ресурсами в организации является мотивация и стимулирование труда.
Исходя из этого, одна из главных задач для предприятий различных форм собственности- поиск эффективных способов управления трудом, обеспечивающих активизацию человеческого фактора.
Трудовая мотивация это процесс стимулирования отдельного исполнителя или группы людей к деятельности, направленный на достижение целей организации, к продуктивному выполнению принятых решений или намеченных работ.
Неэффективная система мотивации может вызвать у работников неудовлетворенность, что всегда влечет снижение производительности труда. С другой стороны, эффективная система стимулирует производительность персонала, повышает эффективность человеческих ресурсов, обеспечивает достижение всего комплекса целей системы.
Таким образом, изучение систем мотивации труда, используемых менеджментом в современных экономических условиях России актуально, как никогда.
Целью курсовой работы является разработка рекомендаций по улучшению мотивации в ОАО «Сбербанк».
Для реализации поставленной цели необходимо решение следующих задач:
• исследование теоретических аспектов мотивации;
• анализ мотивации, используемой менеджментом ОАО «Сбербанк»;
• разработка предложений по совершенствованию мотивации персонала ОАО «Сбербанк»
Объектом исследования является Открытое Акционерное Общество «Сбербанк»- крупнейший банк Российской Федерации и стран СНГ
Предметом исследования система мотивации в ОАО «Сбербанк»;
При написании работы были использованы научные и учебные издания по менеджменту и управлению персоналом, данные социологических исследований, представленных в сети Интернет, материалы периодических изданий, посвященные вопросам мотивации персонала, формирования систем оплаты труда и управления карьерой, документация, предоставленная ОАО «Сбербанк».
Глава 1. Теоретические основы мотивации
- Сущность мотивации и мотивационного процесса
Мотивация занимает ведущее место в структуре личности и является одним из основных понятий, которые используются для объяснения движущих сил поведения. В роли мотива могут выступать потребности, интересы, влечения, эмоции, установки, идеалы.
Потребности это нужда в чем-то, объективно необходимом для поддержания жизнедеятельности и развития организма, личности и социальной группы. В зависимости от объекта различают материальные и духовные потребности.1
Материальные (биологические) потребности совокупность материальных благ, имеющая вещественную форму и выступающая в качестве главного побудительного мотива трудовой деятельности человека. Разновидностями материальных потребностей являются жилье, мебель и оборудование, одежда и обувь, транспорт и средства связи, продукты питания, предметы культуры, отдых и развлечения и др., необходимые для поддержания организма в нормальном жизнедеятельном состоянии.2
Духовные (социальные) потребности совокупность духовных благ, имеющих информационную форму и необходимых для становления и развития личности человека. Разновидностями духовных потребностей являются получение профессионального образования, принадлежность к национальности и социальной группе, самовыражение и планирование служебной карьеры, научное и художественное творчество, культура и искусство, услуги массовой культуры (книги), кино, видео, театр, здравоохранение.3
Существует большое количество мотивационных тенденций, из которых и складывается понятие мотивации, и которые в той или иной степени свойственны каждому человеку.
К сожалению, четкого и общепризнанного определения понятия мотивации не существует. Разные авторы, дают определение мотивации, исходя из своей точки зрения. Например, у Г.Г. Зайцева встречается такое определение: “Мотивация-это побуждение к активной деятельности личностей, коллективов, групп, связанное со стремлением удовлетворить определенные потребности.” 4 С точки зрения Б.Ю Сербинского.: “Мотивация-это побуждение людей к деятельности” Однако, все определения мотивации, так или иначе, сходны в одном: под мотивацией понимаются активные движущие силы, определяющие поведение живых существ. С одной стороны побуждение, навязанное извне, а с другой стороны самопобуждение. Следует отметить, что поведение человека всегда мотивировано. Мотивировать сотрудников - значит затронуть их важные интересы, потребности в чем- либо. Нарушения в мотивации могут иметь несколько причин, которые коренятся в межличностных конфликтах между сотрудниками. Образцовые компании, достигающие значительных результатов в побуждении у десятков и даже сотен людей приверженности к труду и склонности к постоянным нововведениям, показывают, что нет никаких причин, по которым невозможно создавать системы, позволяющие большинству персонала чувствовать себя победителями. 5
На мой взгляд, более широко раскрывает понятие мотивации, следующее определение Э.А. Уткина: “ Мотивация - состояние личности, определяющее степень активности и направленности действий человека в конкретной ситуации”.6 В данном определении мотив характеризуется двумя составными элементами (рис.№1).

Рис. №1 Составные элементы мотивации
Мотив всегда связан с определенной ситуацией. Исследования показывают, что соотношение деятельности (или активности) человека и результатов его работы характеризуется кривой линией. Вначале по мере роста активности результаты повышаются, позже на определенном уровне активности результаты сохраняются на одном уровне. Этот этап именуется Э.А. Уткиным оптимальным диапазоном активности, когда достигаются лучшие результаты. После того как активность начинает превышать границу оптимального диапазона, итоги работы начинают ухудшаться. Отсюда следует, что менеджер призван добиваться не максимальной активности подчиненных, а наращивания их активности до оптимального уровня.
Следует учитывать, что активность не обеспечивает необходимой мотивации. Человек может работать старательно, быть активным, но положительных результатов может не быть, если он направляет свою деятельность в неправильном направлении. Подобная ситуация возникает тогда, когда подчиненный не представляет конечных целей работы. Причиной может быть неосведомленность, недостаточный контроль, неудовлетворительное руководство его деятельностью. Из-за неверной направленности труда реально также возникновение конфликта между собственными потребностями человека и целями коллектива.7 Мотивирование это процесс воздействия на человека для побуждения его к конкретным действиям посредством побуждения в нем определенных мотивов. Интересен вопрос соотношения “внутренних” и “внешних” мотивов.8
Деятельность человека находится под влиянием мотивов, возникающих при замкнутом взаимодействии человека и задачи, но бывает, что и мотивов, возникающих при открытом взаимодействии человека и задачи (внешняя среда задействует мотивы, побуждающие человека к решению задачи). В первом случае мотив именуют “внутренним”, ибо мотивы порождает непосредственно человек, сталкивающийся с задачей. Примером такой мотивации может быть стремление к конкретному достижению, завершению работы, познанию и т.д. В ином случае, мотивы деятельности, связанные с решением задачи, вызываются извне. Такой мотив можно назвать “внешним”. Здесь в этом качестве выступают процессом мотивирования оплата, распоряжение, правила поведения и другое.
Следует иметь в виду, что в жизни нет четких различий между “внешней” и “внутренней” мотивацией. Некоторые мотивы в одних случаях порождены “внутренней” мотивацией, а в других - “внешней”. Иногда мотив одновременно порожден разными системами мотивации.
Мотивация, рассматриваемая как процесс, теоретически может быть представлена в виде шести следующих одна за другой стадий. Естественно, такое рассмотрение процесса носит достаточно условный характер, так как в реальной жизни нет столь четкого разграничения стадий и нет обособленных процессов мотивации. Однако для уяснения того, как разворачивается процесс мотивации, какова его логика и составные части, может быть приемлема и полезна ниже приводимая модель (рис. №2). 9

Рис. № 2- Модель процесса мотивации
Первая стадия возникновение потребностей. Потребность проявляется в виде того, что человек начинает ощущать, что ему чего-то не хватает. Проявляется она в конкретное время и начинает «требовать» от человека, чтобы он нашел возможность и предпринял какие-то шаги для ее устранения. Потребности могут быть самыми различными. Условно их можно разбить на три группы:
• физиологические;
• психологические;
• социальные.
Вторая стадия поиск путей устранения потребности. Раз потребность возникла и создает проблемы для человека, то он начинает искать возможности устранить ее: удовлетворить, подавить, не замечать. Возникает необходимость что-то сделать, что-то предпринять.
Третья стадия определение целей (направления) действия. Человек фиксирует, что и какими средствами он должен сделать, чего добиться, что получить для того, чтобы устранить потребность. На данной стадии происходит увязка четырех моментов:
• что я должен получить, чтобы устранить потребность;
• что я должен сделать, чтобы получить то, что желаю;
• в какой мере я могу добиться того, чего желаю;
• насколько то, что я могу получить, может устранить потребность.
Четвертая стадия осуществление действия. На этой стадии человек затрачивает усилия для того, чтобы осуществить действия, которые в конечном счете должны предоставить ему возможность получения чего-то, чтобы устранить потребность. Так как процесс работы оказывает обратное влияние на мотивацию, то на этой стадии может происходить корректировка целей.
Пятая стадия получение вознаграждения за осуществление действия. Проделав определенную работу, человек либо непосредственно получает то, что он может использовать для устранения потребности, либо то, что он может обменять на желаемый для него объект. На данной стадии выясняется то, насколько выполнение действий дало желаемый результат. В зависимости от этого происходит либо ослабление, либо сохранение, либо же усиление мотивации к действию.
Шестая стадия устранение потребности. В зависимости от степени снятия напряжения, вызываемого потребностью, а также от того, вызывает устранение потребности ослабление или усиление мотивации к деятельности, человек либо прекращает деятельность до возникновения новой потребности, либо продолжает искать возможности и осуществлять действия по устранению потребности.
Знание логики процесса мотивации не дает существенных преимуществ в управлении этим процессом. Можно указать на несколько факторов, которые усложняют и делают неясным процесс практического развертывания мотивации. Важным фактором является неочевидность мотивов. Можно предполагать, догадываться по поводу того, какие мотивы действуют, но в явном виде их «вычленить» невозможно. Требуются длительные и скрупулезные наблюдения для того, чтобы попытаться с достаточной степенью достоверности сказать о том, какие мотивы являются ведущими, движущими в мотивционном процессе человека.
Следующим важным фактором является изменчивость мотивационного процесса. Характер мотивационного процесса зависит от того, какие потребности инициируют его. Однако сами потребности находятся между собой в сложном динамическом взаимодействии, зачастую противореча друг другу либо же, наоборот, усиливая действия отдельных потребностей. При этом составляющие этого взаимодействия могут меняться во времени, изменяя направленность и характер действия мотивов. Поэтому даже при самом глубоком знании мотивационной структуры человека, мотивов его действия могут возникать непредвиденные изменения в поведении человека и непредвиденная реакция с его стороны на мотивирующие воздействия.
Еще одним фактором, делающим мотивационный процесс каждого конкретного человека уникальным и не на сто процентов предсказуемым, является различие мотивационных структур отдельных людей, разная степень влияния одинаковых мотивов на различных людей, различная степень зависимости действия одних мотивов от других. У одних людей стремление к достижению результата может быть очень сильным, у других же оно может быть относительно слабым. В этом случае данный мотив будет по-разному действовать на поведение людей. Возможна и другая ситуация: два человека имеют одинаково сильный мотив на достижение результата. Но у одного этот мотив доминирует над всеми другими, и он будет добиваться результата любыми способами. У другого же этот мотив соизмерим по силе действия с мотивом на соучастие в совместных действиях. В этом случае данный человек будет вести себя по-другому.
Таким образом, мотивация в управлении персоналом понимается как процесс активизации мотивов работников (внутренняя мотивация) и создания стимулов (внешняя мотивация) для их побуждения к эффективному труду. Целью мотивации является формирование комплекса условий, побуждающих человека к осуществлению действий, направленных на достижение цели с максимальным эффектом. Процесс мотивации упрощенно может быть разбит на следующие этапы: выявление потребностей, формирование и развитие мотивов, управление ими с целью изменения поведения людей, необходимого для реализации целей, корректировка мотивационного процесса в зависимости от степени достижения результатов.
Теоретические основы мотивации послужили основанием для создания теорий мотивации.
- Содержание основных теорий мотивации
Теория мотивации стала активно разрабатываться в XX в., хотя многие мотивы, стимулы и потребности были известны с древних времен. В настоящее время существует множество различных теорий мотивации, которые условно можно разбить на три группы: первоначальные, содержательные, процессуальные.
К первоначальным теориям мотивации можно отнести так называемый метод «Кнута и пряника», который является сомой первой концепцией мотивации, она возникла в глубокой древности, и просуществовала на протяжении всей истории развития человека. Основной смысл этого метода раскрывается в его названии: за выполненную работу человек получает вознаграждение (в древности еду, в настоящее время зарплату), за невыполненную - наказание (телесные наказания, выговор, лишение премии, лишение зарплаты). Этот метод малоэффективен в современных условия, так как, во-первых, не предполагает саморазвития работника, увеличения производительности по собственной инициативе, повышение квалификации; а во-вторых, моральное и социальное развитие человека достигло такого уровня, когда работник не будет терпеть морального, а тем более материального ущемления своих потребностей, и в случае проявления таковых уволится. Хоть этот метод и не эффективен и давно устарел он широко использовался на рутинных, однообразных, монотонных операциях в Советское время. В настоящее время метод «Кнута и пряника» можно проследить в следующей схеме оплаты труда: это оплата труда по принципу процент от продаж, продал товар - получил определенный процент от суммы сделки, не продал - денег не получаешь.
Научным базисом мотивации являются современные теории мотивации.
Среди них, выделяют два основные направления - содержательные и процессуальные теории мотивации. 10
Содержательные теории мотивации основываются на идентификации тех внутренних побуждений (потребностей), которые заставляют людей действовать так или иначе.
Теория потребностей М. Туган-Барановского. Известный украинский ученый М. Туган-Барановский (1865-1919 гг.) одним из первых предложил четкую классификацию потребностей. Он выделил: 5 групп потребностей: физиологические, положительные, альтруистские, симптоматические потребности, а также инстинкты и потребности практического характера;
Особое значение уделяется национальной принадлежности, а также моральным и религиозным взглядам.
Теория иерархии потребностей А. Маслоу11 определяет, что все потребности людей могут быть объединены в пять иерархических групп: физиологические; безопасности; принадлежности и причастности; признания и уважения; самовыражения. (рис. №3)

Рис.№3- Пирамида Маслоу
Потребности высших уровней не мотивируют человека, пока не удовлетворены хотя бы частично потребности низшего уровня.
Применение теории:
Знание иерархии потребностей требует от руководителя в первую очередь определить, какой уровень иерархии является для работника наиболее актуальным;
Иерархия потребностей позволяет понять, что уровни актуальных потребностей работников могут различаться;
Данная теория помогает организации определить последовательность мотивирования работников, учитывая не только физиологические потребности, но и потребности более высокого уровня.
Учет динамических потребностей. Нельзя рассчитывать, что мотивация, которая сработала один раз, будет эффективно работать все время.
Теория ERG К. Альдерфера12 исходит из того, что потребности человека можно объединить в три группы, расположенные иерархически: существования, связи, роста. Различие теорий К. Альдерфера и А. Маслоу состоит в том, что по А.Маслоу, движение от одной потребности к другой происходит только снизу вверх. К. Альдерфер считает, что движение происходит в обе стороны: вверх, если не удовлетворена потребность низшего уровня, и вниз, если не удовлетворена потребность более высокого уровня. В тоже время, по мнению К. Альдерфера, одновременно для одного и того же человека актуальными могут быть несколько уровней потребностей.
Теория приобретенных потребностей Д. Мак-Клеланда13 исходит из того, что на мотивацию и поведение людей существенно влияют три основные потребности, приобретенные под влиянием жизненных обстоятельств, опыта и обучения:
в достижении (люди с выраженной потребностью в достижении выбирают персональные, умеренно ложные задачи и цели, несущие в себе элементы вызова и гарантирующие немедленный ощутимый результат);
в соучастии, проявляющаяся в стремлении к дружеским отношениям с окружающими;
во власти, проявляющаяся в стремлении контролировать ресурсы и происходящие вокруг процессы.
Мотивационно-гигиеническа теория (Теория двух факторов Ф. Герцберга) ориентирует на две группы факторов, влияющих на удовлетворенность человека работой:
гигиенические (или факторы «здоровья») зарплата, безопасность на рабочем месте, статус, правила, распорядок работы, качество контроля со стороны руководства, отношение к коллегам и подчиненным; наличие таких факторов снижает у человека чувство неудовлетворенности работой;
мотивирующие достижение, признание, ответственность, продвижение, содержание работы, возможность роста; именно эти факторы заставляют человека работать в полную силу.
Гигиенические факторы связаны с окружающей средой, в которой осуществляется работа, а мотивации с самим характером и сущностью работы.
Теория «Z» У. Оучи. Теория «Z» утверждает, что основою успеха в деятельности персонала является его вера в общие цели. Ведущими стимулами являются доверительные взаимоотношения и взаимоподдержка, полная согласованность действий.
Процессуальные теории мотивации анализируют реакцию человека на мотивирующие факторы, т.е. на то, что заставляет его направлять усилия на достижение различных целей.
Теория ожидания (К. Левина, В.Врума и др.) основана на том, что наличие потребностей не является единственным необходимым условием мотивации человека к достижению определенной цели. Человек должен также надеяться на то, что выбранный им тип поведения действительно приведет к удовлетворению или получению желаемого.
При этом ключевую роль играет полнота реализации трех факторов:
дополнительно затраченные усилия должны обеспечивать получение ожидаемого результата;
за полученный результат должно быть обеспечено ожидаемое вознаграждение;
реально полученное вознаграждение должно соответствовать (быть валентным) ожидаемому
Теория постановки целей (Э. Лок, Т. Райен и др.) .В соответствии с этой теорией поведение человека определяется целями, которые он ставит перед собой. При этом уровень исполнения работы зависит от четырех характеристик целей:
сложности (степень профессионализма и уровень исполнения, необходимые для ее достижения);
специфичности (количественная ясность цели, ее точность и определенность);
приемлемости (степень, до которой человек воспринимает цель как собственную);
приверженности (готовность, затрачивать усилия определенного уровня для достижения цели).
Теория равенства (справедливости) (основатель С. Адамс)14 исходит из того, что в процессе работы человек сравнивает оценку собственных действий с оценкой таких же действий других людей. И если при этом человек обнаруживает, что недовознагражден, у него возникает чувство неудовлетворенности, и он может сократить затраты труда, предпринять попытку увеличить вознаграждение, потерять уверенность в себе, покинуть организацию и т.п. Все последствия недовознаграждения отрицательны.
Согласно теории партисипативного управления, если человек заинтересованно принимает участие во внутриорганизационной деятельности, он получает от этого удовлетворение, работает, с большей отдачей.
Теория морального стимулирования направлена к потребностям высшего порядка (признание, причастности и т.д.) и базируется на использовании системы моральных стимулов, т.е. морального побуждения к деятельности, которое основывается на разноплановых формах общественного признания и оценки трудовой активности персонала (награждение грамотами, медалями, орденами, почетными званиями, вынесение благодарностей и похвал и т.д.).
Теория материального стимулирования. Одной из важнейших теорий мотивации является материальное стимулирование персонала, которая представляет собой процесс формирования и использования систем материальных стимулов труда и заработной платы. Система материальных стимулов труда складывается из разноплановых побуждающих мотивов, которые дополняют один одного и связаны единым процессом создания материальной заинтересованности в осуществлении трудовой деятельности.
1.3 Методы мотивации персонала организации
Однако в последние годы кадровые управленцы осваивают все новые способы стимулирования. В ход идет не только классическое экономическое мотивирование в виде денежных бонусов и высоких зарплат, но и неэкономические способы стимулирования. К таким способам относят организационные и морально-психологические меры.
В целом можно сформулировать ряд правил осуществления эффективной мотивации работников: 15
1 Мотивирование тогда приносит результаты, когда подчиненные ощущают признание своего вклада в результаты работы, обладают заслуженным статусом. Обстановка и размер кабинета, участие в престижных конгрессах, функция представителя фирмы на важных переговорах, поездка за рубеж; неординарное обозначение должности все это подчеркивает положение сотрудника в глазах коллег и посторонних лиц. Прибегать к этому методу стоит деликатно: частичное или полное лишение работника ранее предоставленного статуса приводит, как правило, к чрезвычайно бурным реакциям вплоть до увольнения.
2 Неожиданные, непредсказуемые и нерегулярные поощрения мотивируют лучше, чем прогнозируемые, когда они практически становятся неизменной частью заработной платы.
3 Положительное подкрепление результативнее отрицательного.
4 Подкрепление должно быть безотлагательным, что выражается в незамедлительной и справедливой реакции на действия сотрудников. Они начинают осознавать, что их неординарные достижения не только замечаются, но и ощутимо вознаграждаются. Выполненную работу и неожиданное вознаграждение не должен разделять слишком большой промежуток времени; чем больше временной интервал, тем меньше эффект. Однако поощрения руководителя должны в конце концов воплощаться в жизнь, а не оставаться в виде обещаний.
Как правило, крупные награды, редко кому достающиеся, вызывают зависть, а небольшие и частые удовлетворение. Без серьезных оснований не следует постоянно выделять кого-либо из сотрудников, иной раз этого не следует делать ради сохранения коллектива.
При этом у конкретного предприятия не может быть стандартного пакета стимулов, стимулирование должно быть адресным, ориентированным на конкретного работника.
- Наказание как средство мотивации работников. В одних фирмах предпочитают больше наказывать, в других больше поощрять, где-то нашли действительно золотую середину. Уровень наказания зависит в первую очередь от целей воздействия. Основная цель наказания это недопущение действий, которые могут принести вред фирме. При наказании сотрудника обязательно наличие объяснения, за что и зачем применяется наказание. Наказание обязательно должно соответствовать проступку.
- Денежные выплаты за выполнение поставленных целей наиболее распространенный тип мотивации. Такие выплаты осуществляются при соответствии работника некоторым заранее установленным критериям. Среди них могут быть экономические показатели, показатели качества, оценка сотрудника другими лицами. Каждая компания устанавливает собственные критерии такого рода.
- Выплаты к заработной плате для стимулирования здорового образа жизни работников. Это выплаты в виде денежного вознаграждения за отказ от курения, сотрудникам, не пропустившим ни одного рабочего дня в течение года по причине болезни, работникам, постоянно занимающимся спортом.
- Специальные индивидуальные вознаграждения это специальные премии, выплачиваемые за владение навыками, необходимыми компании в данный момент.
- Социальная политика организации также важнейший инструмент экономического стимулирования:
Во-первых, в организации реализуются льготы и гарантии в рамках социальной защиты работников (социальное страхование по старости, по случаю временной нетрудоспособности, безработицы и другие), установленные на государственном или региональном уровне.
Во-вторых, организации предоставляют своим работникам и членам их семей дополнительные льготы, относящиеся к элементам материального стимулирования, за счет выделенных на эти цели средств из фондов социального развития организации.
6. Совершенствование системы организации труда и управления. Улучшение координации и взаимодействия между сотрудниками организации, правильное распределение служебных обязанностей, четкая система продвижения по службе, утверждение духа взаимопомощи и поддержки, совершенствование отношений между руководителями и подчиненными все это способствует повышению эффективности, производительности и мотивации труда.
7. Нематериальные стимулы, не касающиеся каких-либо расходов работодателя. Особенно актуальны данные инструменты для организаций с ограниченными материальными ресурсами стимулирования, например государственные организации (в том числе в органах власти и местного самоуправления). К нематериальным стимулам можно отнести:
- вознаграждения-признательности. К подобным вознаграждениям можно отнести переходящие вымпелы, дипломы, звания «лучший по профессии», «руководитель года», «менеджер года» с вручением значка и ценного подарка, письменная благодарность руководства компании, занесенная в трудовую книжку. Даже комплимент сотруднику можно рассматривать как одну из форм поощрения;
- вознаграждения, связанные с высокой оценкой статуса сотрудника, приглашение сотрудника в качестве лектора, советника и пр.
Таким образом методы мотивирования персонала могут быть самыми разнообразными и зависят от проработанности системы мотивирования на предприятии, общей системы управления и особенностей деятельности самого предприятия.
Подводя итог, можно сказать, что система мотивации персонала может быть основана на самых разнообразных методах, выбор которых зависит от проработанности системы стимулирования на предприятии, общей системы управления и особенностей деятельности самого предприятия.
Управление персоналом включает многие составляющие. Среди них: кадровая политика, взаимоотношения в коллективе, социально-психологические аспекты управления. Ни одна система управления не станет эффективно функционировать, если не будет разработана эффективная модель мотивации, так как мотивация побуждает конкретного индивида и коллектив в целом к достижению личных и коллективных целей. Эволюция применения различных моделей мотивации показала как положительные, так и отрицательные аспекты их применения, и это естественный процесс, так как в теории и практике управления нет идеальной модели стимулирования, которая отвечала бы разнообразным требованиям.
Глава 2. Анализ мотивации на примере ОАО «Сбербанк»
2.1 Общая характеристика организации
16Сбербанк России является крупнейшим банком Российской Федерации и стран СНГ. Учредителем и основным акционером Сбербанка России является Центральный банк Российской Федерации, владеющий 50% уставного капитала плюс одна голосующая акция. Другими акционерами Банка являются международные и российские инвесторы. Обыкновенные и привилегированные акции Банка котируются на российских биржевых площадках с 1996 года. Американские депозитарные расписки (АДР) котируются на Лондонской фондовой бирже, допущены к торгам на Франкфуртской фондовой бирже и на внебиржевом рынке в США.
Основанный в 1841 году, Сбербанк России сегодня лидер российского банковского сектора по общему объему активов. Банк является основным кредитором российской экономики и занимает крупнейшую долю на рынке вкладов. По состоянию на 1 января 2013 года на долю Сбербанка приходится 28,9% совокупных банковских активов, 45,7% депозитов физических лиц, 33,6% корпоративных кредитов и 32,7% розничных кредитов. Капитал Сбербанка составляет 1,7 трлн рублей, что соответствует 27,4% совокупного капитала российской банковской системы.
Сбербанк современный универсальный коммерческий банк, удовлетворяющий потребности различных групп клиентов в широком спектре банковских услуг. Сбербанк России обслуживает физических и юридических лиц, в том числе крупные корпорации, предприятия малого и среднего бизнеса, а также государственные предприятия, субъекты РФ и муниципалитеты. Услугами Сбербанка пользуются более 100 млн физических лиц (более 70% населения России) и около 1 млн предприятий (из 4,5 млн зарегистрированных юридических лиц в России).
Сбербанк предоставляет розничным клиентам широкий спектр банковских услуг, включая депозиты, различные виды кредитования (потребительские кредиты, автокредиты и ипотеку), а также банковские карты, денежные переводы, банковское страхование и брокерские услуги. Все розничные кредиты выдаются по технологии «Кредитная фабрика», созданной для эффективной оценки кредитных рисков и обеспечения высокого качества кредитного портфеля. Сбербанк является крупнейшим эмитентом дебетовых и кредитных карт. Совместный банк, созданный Сбербанком и BNP Paribas, занимается POS-кредитованием под брендом Cetelem, используя концепцию «ответственного кредитования».
Сбербанк России обслуживает все группы корпоративных клиентов, причем на долю малых и средних компаний приходится более 20% корпоративного кредитного портфеля Банка, оставшаяся часть это кредитование крупных и крупнейших корпоративных клиентов. Банк также предоставляет депозиты, расчетные услуги, проектное, торговое и экспортное финансирование, услуги по управлению денежными средствами и прочие основные банковские продукты. Интеграция бизнеса «Тройки Диалог», переименованной в Sberbank Corporate & Investment Banking (Sberbank CIB), позволила Сбербанку предложить клиентам высокопрофессиональное финансовое консультирование и выбор инвестиционных стратегий, в том числе сложноструктурированные инвестиционно-банковские продукты, ECM, DCM, M&A, а также операции на глобальных рынках.
Сбербанк России предоставляет банковские услуги во всех 83 субъектах Российской Федерации, располагая уникальной филиальной сетью, которая состоит из 17 территориальных банков и насчитывает более 18 400 подразделений. Кроме того, Банк оказывает услуги через удаленные каналы обслуживания одну из крупнейших в мире сетей банкоматов и терминалов самообслуживания (порядка 68 тыс. устройств). Сбербанк также активно развивает свои приложения «Мобильный банк» и «Сбербанк Онл@йн» с внушительной клиентской базой, насчитывающей более 9,4 млн и 5,4 млн активных пользователей соответственно.
В последние годы Сбербанк существенно расширил свое международное присутствие. Помимо стран СНГ (Казахстан, Украина и Беларусь), Сбербанк представлен в девяти странах Центральной и Восточной Европы (Sberbank Europe AG, бывший VBI) и в Турции (DenizBank). Сделка по покупке DenizBank была завершена в сентябре 2012 года и стала крупнейшим приобретением за 170-тилетнюю историю Банка. Сбербанк России также имеет представительства в Германии и Китае, филиал в Индии, управляет Sberbank Switzerland AG.
Органы управления Сбербанка:
Общее собрание акционеров высший руководящий орган Сбербанка России. На Общем собрании акционеров принимаются решения по основным вопросам деятельности Банка.
Наблюдательный совет Банка состоит из 17 директоров, среди которых 6 представителей Банка России, 2 представителя Сбербанка России, 1 внешний и 8 независимых директоров.
Правление Банка состоит из 13 членов. Возглавляет Правление Банка Президент, Председатель Правления Банка.
Миссия Банка:
Мы даем людям уверенность и надежность, мы делаем их жизнь лучше, помогая реализовывать устремления и мечты.
Мы строим одну из лучших в мире финансовых компаний, успех которой основан на профессионализме и ощущении гармонии и счастья ее сотрудников.
Ценности:
Порядочность
Стремление к совершенству
Уважение к традициям
Доверие и ответственность
Взвешенность и профессионализм
Инициативность и креативность
Командность и результативность
Открытость и доброжелательность
Здоровый образ жизни (тело, дух и разум)
Правила Банка:
Быть больше, чем просто банк.
Проявлять внимание к каждому клиенту, приоритет его потребностей.
Строить отношения, а не продавать продукт.
Ежедневно улучшать себя и свое окружение
Не использовать слабости наших клиентов.
Соблюдать не только букву, но и дух требований закона.
Каждый сотрудник лицо Банка.
Преданность Банку, работа в команде, общий успех успех каждого.
Как любая современная и развивающаяся организация Сбербанк большое внимание уделяет своим сотрудникам, в частности вопросу мотивации.
2.2 Анализ состояния мотивации труда персонала ОАО «Сбербанк»
Прежде чем привести систему мотивирования ОАО «Сбербанк», хотелось бы показать общественное мнение о Банке, как работодателе. По результат опроса, проведенного ВЦИОМ17, «Газпром», «Роснефть» и Сбербанк лидируют в рейтинге привлекательности работодателей. Респондентов попросили выбрать из 16 крупнейших компаний, действующих на российском рынке, те, работа в которых им кажется наиболее привлекательной.
Эта тенденция объясняется тем, что госкомпании сейчас укрепляют свои позиции на рынке, а частному бизнесу живется сложнее. «Крупная компания вселяет больше уверенности. Тем более госкомпании сохранили свои социальные программы, тогда как частные сокращают издержки на персонал», говорит генеральный директор ВЦИОМ Валерий Федоров.
По его мнению, немаловажную роль играет позиционирование и реклама компании. «После ребрендинга и реформ в Сбербанке клиенты видят позитивные изменения и готовы рассматривать банк как работодателя», добавляет г-н Федоров. 18
Какого же состояние мотивации труда персонала ОАО «Сбербанк»?
Ежегодное исследование вовлеченности сотрудников Сбербанка в 2011 году в нем приняли участие более 100 тыс. сотрудников показало значительную положительную динамику по удовлетворенности системой поощрения и вознаграждения.19
Такой результат был достигнут в первую очередь благодаря внедрению новых принципов мотивации персонала:
- внутренняя справедливость в области оплаты труда реализована через построение разрядной системы на основе анализа и оценки должностей по международно признанной методологии;
- внешняя конкурентоспособность заработных плат сотрудников обеспечена тщательным сравнением с рыночными уровнями оплаты труда по должностям и регионам;
- возможность влиять на размер своего дохода предоставлена через систему управления эффективностью деятельности, устанавливающую непосредственную взаимосвязь между вознаграждением и результатами труда.
Разрядная система оплаты труда
Разряд-атрибут должности. Поэтому увеличение разряда может быть связано только с «наполнением» должности: расширением функционала, значительным увеличением сложности работ или границ ответственности. 20


Инструменты оценки персонала (оценочные центры, деловые игры, конференции, гайд-интервью) строятся на основе ключевых компетенций. 21
Работа руководителей от начальника отдела до топ-менеджмента оценивается по системе «Приоритетных проектов», включающей процесс постановки, мониторинга и оценки выполнения поставленных перед руководителем задач. Одним из важнейших принципов этой системы является ее каскадность, то есть цели, согласованные со Стратегией Сбербанка, устанавливаются сначала топ-менеджерам Банка, а затем каскадируются на более низкие уровни, разветвляясь на под-проекты. В будущем Банк планирует разработать профессиональные тесты для оценки руководителей при назначениях и ротациях, а также осуществить оценку команд структурных подразделений и предоставить рекомендации по оптимизации их деятельности.
Для рядовых сотрудников действует система оценки личной эффективности «5+», в рамках которой оценка деятельности производится по пяти критериям: личная результативность, совершенствование профессиональных знаний, инновации и оптимизация рабочего процесса, работа в команде и клиентоориентированность. Оценка используется при перераспределении премиального фонда подразделения, величина которого зависит от выполнения им групповых показателей.
В 2011 году в Банке была разработана и утверждена Политика льгот и привилегий, распространяемая на всех сотрудников Банка и определяющая основные принципы и элементы Системы льгот и привилегий. Данная система включает в себя: целевые корпоративные программы, программы социальной направленности и статусные льготы.
В дополнение к оплате труда и премированию Банк предлагает сотрудникам социальный пакет, который включает ряд гарантий и компенсаций, например, предоставление материальной помощи в связи с важными жизненными обстоятельствами, доплаты к пенсиям неработающим пенсионерам, различные доплаты и компенсации тем, кто работает в условиях Крайнего Севера, и т.д. 22
Программа пенсионного обеспечения определяет общие для всех работников принципы формирования пенсионных накоплений и условия для назначения негосударственной пенсии. Под действие программы попадают сотрудники со стажем работы в Сбербанке не менее трех лет (ежегодно в пользу них производится резервирование средств), а при достижении семилетнего стажа накопленные средства переводятся на именной пенсионный счет сотрудника в НПФ Сбербанка. Корпоративная пенсионная программа распространяется на сотрудников, которым осталось более пяти лет до пенсии. Для сотрудников, которым до пенсии осталось менее пяти лет, коэффициент замещения за счет корпоративной части составляет от 2,5 до 5 % от оклада.
Программа реализуется совместно с Негосударственным пенсионным фондом Сбербанка, учрежденным в 1995 году. Фонд входит в ТОП-10 НПФ Российской Федерации и имеет рейтинг наивысшей надежности (А++) «Эксперт РА» и максимальной надежности (ААА) Национального рейтингового агентства. 23

В целях комплексной модернизации и развития обучения внутри Банка решено создать корпоративный университет, в основу которого положены принципы и опыт лучших бизнес-школ мира. В 2011 году различные программы обучения прошли более 260 тыс. сотрудников. Средняя продолжительность обучения 114 часов.
Сбербанк активно развивает дистанционные технологии обучения: система видеоконференцсвязи, развернутая по всей стране, является инструментом, без которого не обходится ни один крупный проект по обучению персонала. Отработаны технологии быстрого распространения знаний на систему через видеолекции, деловые игры, мастер-классы для тренеров, электронные дистанционные курсы и тесты. 24


Для перспективных сотрудников эксперты по карьерному развитию разрабатывают индивидуальные планы, позволяющие максимально раскрыть их потенциал и занять должность в соответствии со своими личностными особенностями и интересами.
Проекты кадрового резерва ключевые составляющие системы развития персонала Банка. Продвижение перспективных сотрудников по карьерной лестнице не только позволяет удовлетворить потребность Банка в квалифицированном персонале за счет внутренних ресурсов, но и наглядно демонстрирует другим сотрудникам возможности профессионального роста.
Для молодых сотрудников существует проект «Лига Талантов», дающий победителям право быть включенными в состав команд, которые занимаются решением приоритетных бизнес-задач. Проекты «Галактика» и «Галактика-2» предназначены для формирования преемников на позиции членов Правления и управляющих отделениями территориальных банков. Программа «Государство» формирует резерв на позиции руководителей точек обслуживания.25
В Банке существуют давние традиции проведения профессиональных конкурсов и награждения лучших сотрудников. В 2011 году в дополнение к уже существующим наградам были учреждены три новые: медаль «За заслуги», нагрудный знак «Отличник Сбербанка» и благодарственное письмо. 26

Конкурс «Лучший по профессии»
Ежегодный профессиональный общебанковский конкурс «Лучший по профессии» стал нашей доброй традицией, в 2011 году он проводился в третий раз.
Проведение конкурса нацелено на усиление мотивации работников Банка к совершенствованию профессиональных знаний, навыков и умений, развитию творческой инициативы, а также предполагает презентацию опыта работы лучших работников.
Конкурс проводится по установленным номинациям (в 2011 году их было 9) в два этапа региональный и общебанковский. По итогам регионального этапа выбираются лучшие сотрудники в регионах. Победителям общебанковского этапа присваивается звание «Лучший специалист» Банка.
В 2011 году победители и призеры общебанковского конкурса представляли 12 территориальных банков. Это говорит о том, что география конкурса широка и максимальное количество сотрудников вовлечено в процессы развития Банка.
Торжественное награждение победителей и призеров конкурса проводится Президентом Банка.
Победителям конкурса предоставляются широкие возможности для творческого развития и карьерного роста.
Так же в Сбербанке регулярно проводятся различные корпоративные мероприятия, нацеленные на поддержание корпоративного духа и традиций. Празднования в честь 8 Марта, Нового года, Дня работника Сбербанка, Дня Победы позволяют создать атмосферу доверия и взаимопонимания внутри Банка, ощущение сопричастности к общей цели. Кроме того, Банк проводит праздники для детей сотрудников и конкурсы детского рисунка, а также организует детский оздоровительный отдых. 27
Исходя из всего вышесказанного, можно сделать вывод о том, что система мотивации в ОАО «Сбербанк России» на данный момент находится на достаточно высоком уровне, однако внутренние дела требуют внесения поправок и существенных перемен, которые помогут ОАО «Сбербанк» увеличить производительность и прибыль.
Глава 3. Рекомендации по улучшению мотивации в ОАО «Сбербанк»
3.1 Основные рекомендуемые мероприятия
На основе проведенного исследования системы стимулирования персонала ОАО "Сбербанк России" можно сделать вывод, что система стимулирования персонала в банке нуждается в совершенствовании с учетом новых подходов и тенденций кадрового менеджмента.
Основными направлениями развития системы стимулирования персонала в сложившихся условиях может стать применение новых стимулирующих форм оплаты труда.
Для повышения экономического стимулирования существующая в банке сегодня система оплаты труда должна быть дополнена построением управления персоналом по целям, на основании достижения которых будет оцениваться эффективность труда каждого работника (управление по целям является одним из наиболее объективных способов показать, насколько эффективен сотрудник на своем рабочем месте.) Для внедрения системы участия работников в прибыли отделения банка можно предложить норматив отчислений в фонд участия работников в прибылях от выручки в размере 4,68%. Разделение создаваемого премиального фонда должно осуществляться по нормативам, разрабатываемым с участием работников, чтобы быть понятными им.
Так же имеет смысл как альтернативу стандартному социальному пакету ввести систему кафетерия (cafeteria plan). Вместо стандартного набора социальных льгот работнику предоставляют широкий выбор и право выбрать на определенную сумму то, что нужно именно ему. При этом «кафетерий» задействует как материальную, так и нематериальную мотивацию: человек получает не только набор благ, но и свободу выбора, что само по себе является льготой. Необходимо установить «правила обслуживания». Например, категорически нельзя «взять деньгами», нужны «обязательные статьи», такие как обучение и страхование. Меню надо разбивать на категории, какие-то открытые, какие-то закрытые. Превышение лимита сотруднику не компенсируется.
Ежегодно устанавливается перечень программ, включенных в социальный пакет, и лимит средств, выделяемых на финансирование этих программ.
Кроме этого, на мой взгляд, необходимо провести мероприятия, направленные на снижение текучести кадров. Используя анкетирование или иные методы коммуникации с персоналом нужно изучить причины неудовлетворенности сотрудников их рабочими местами, провести мероприятия по нивелированию полученных причин и повышению лояльности к организации.
3.2 Оценка предполагаемого эффекта от реализации предложенных рекомендаций.
Следование организацией предложенным рекомендациям может принести следующий эффект.
Так как задачей MBO (Management Buy Objectives или Управление по целям) является создание такой системы мотивации, при которой заработная плата в значительной степени будет зависеть от того насколько сотрудник справится с поставленными задачами, важно, что бы переменная часть заработной платы составляла не менее 40%.
Для оценки эффективности выполнения плановых показателей, формируется матрица MBO с указанием задач и цифровыми показателями (см. таблица 1.)
Менеджер по продажам
Постоянная часть заработной платы (оклад): 15000 рублей
Базовая премиальная часть: 15000 рублей
|
|
Цель |
Удельный вес, % |
Цифровые показатели№ |
Сумма фактическая тыс руб |
Процент выполнения % |
Показатель эффективности |
Премия к выплате, Руб |
|
1. |
Объем продаж, тыс руб |
30% |
10000.00 |
12000.00 |
120% |
105,5% |
14430 |
|
2. |
Возврат денег, тыс руб |
30% |
10000.00 |
9000.00 |
90% |
||
|
3. |
Прирост активной клиентской базы, клиентов |
15% |
10 |
12 |
120% |
||
|
4. |
Продажи брендов, производимых компанией |
25% |
4000.00 |
3900.00 |
98% |
||
|
Итого |
29430 |
Таблица 1. Матрица МВО
Премиальная часть рассчитывается по формуле:
ПР = (ПБ *УВ1*ПВ1)+(ПБ*УВ2*ПВ2)+(ПБ*УВ3*ПВ3)+(ПБ*УВ4*ПВ4)
где ПБ - премия базовая, УВ1,2… - удельный вес показателя в общей премии, ПВ1,2… -фактический процент выполнения показателя.
При этом начисляемая заработная плата составляет:
ЗП= ОЧ+ПР
где ОЧ постоянная часть (оклад).
Основными показателями эффективности для руководителя служит процент выполнения каждой из задач, а также общий показатель эффективности, рассчитываемый по формуле:
ПЭ= УВ*(ПВ/100)
Исходя из этого, можно заключить, что система МВО является, как способом оценки персонала, позволяющим выявить не только сильные и слабые профессиональные навыки работника, но и обладает эффективным мотивирующим эффектом, стимулируя, к повышению эффективности и выполнению задач поставленных руководством.
Для расчёта индекса удовлетворенности рабочим местом рекомендуется создать анкету, которая должна включать два вопроса с перечнем факторов трудовой жизни, которые определяются для каждой компании индивидуально в зависимости от её особенностей. Первый вопрос выявляет степень влияния различных факторов на общую удовлетворенность сотрудника трудом. Второй вопрос определяет собственно удовлетворенность каждым из факторов.
1. От чего зависит Ваша удовлетворенность трудом? Оцените, насколько перечисленные ниже факторы влияют на вашу удовлетворенность? В каждой строке отметьте любым знаком (галочкой, крестиком) ваш выбор.
|
№ |
Факторы трудовой жизни |
Влияние на удовлетворенность |
|||
|
Сильно влияет |
Влияет, но в меньшей степени |
Не влияет |
Затрудняюсь ответить |
||
|
1 |
Условия труда |
|
|
|
|
|
2 |
Режим труда, график работы |
|
|
|
|
|
3 |
Содержание труда, сама работа |
|
|
|
|
|
4 |
Уровень заработной платы |
|
|
|
|
|
5 |
Зависимость оплаты труда от результатов работы |
|
|
|
|
|
6 |
Моральная мотивация |
|
|
|
|
|
7 |
Соблюдение работодателем социальных гарантий, предусмотренных законодательством |
|
|
|
|
|
8 |
Социальный пакет |
|
|
|
|
|
9 |
Транспортная доступность, удаленность от дома |
|
|
|
|
|
10 |
Отношение непосредственного руководства |
|
|
|
|
|
11 |
Атмосфера в коллективе, отношение с коллегами |
|
|
|
|
|
12 |
Возможность карьерного роста |
|
|
|
|
|
13 |
Возможность пройти обучение |
|
|
|
|
|
14 |
Престижность работы в компании, ее имидж |
|
|
|
|
|
15 |
Корпоративная культура в компании |
|
|
|
|
|
16 |
Политика, идеология, стратегия компании |
|
|
|
|
|
17 |
Другое (укажите, что именно): |
|
|
|
|
2. Оцените, насколько вы удовлетворены основными факторами трудовой жизни?
|
№ |
Факторы трудовой жизни |
Удовлетворен |
Скорее удовлетворен |
Скорее не удовлетворен |
Не удовлетворен |
Затрудняюсь ответить |
|
1 |
Условия труда |
|
|
|
|
|
|
2 |
Режим труда, график работы |
|
|
|
|
|
|
3 |
Содержание труда, сама работа |
|
|
|
|
|
|
4 |
Уровень заработной платы |
|
|
|
|
|
|
5 |
Зависимость оплаты труда от результатов работы |
|
|
|
|
|
|
6 |
Моральная мотивация |
|
|
|
|
|
|
7 |
Соблюдение работодателем социальных гарантий, предусмотренных законодательством |
|
|
|
|
|
|
8 |
Социальный пакет |
|
|
|
|
|
|
9 |
Транспортная доступность, удаленность от дома |
|
|
|
|
|
|
10 |
Отношение непосредственного руководства |
|
|
|
|
|
|
11 |
Атмосфера в коллективе, отношение с коллегами |
|
|
|
|
|
|
12 |
Возможность карьерного роста |
|
|
|
|
|
|
13 |
Возможность пройти обучение |
|
|
|
|
|
|
14 |
Престижность работы в компании, ее имидж |
|
|
|
|
|
|
15 |
Корпоративная культура в компании |
|
|
|
|
|
|
16 |
Политика, идеология, стратегия компании |
|
|
|
|
|
|
17 |
Другое (укажите, что именно): |
|
|
|
|
|
Данный подход обусловлен тем, что факторы, которые не влияют или слабо влияют на удовлетворенность человека (другими словами малозначимы для него, неважны) не могут в полной мере участвовать в определении общего уровня удовлетворенности. Поэтому вес таких факторов снижается, что делает расчёт более обоснованным.
Обработка результатов осуществляется по следующему алгоритму:
1.Ответ на вопрос анкеты «Оцените, насколько нижеперечисленные факторы влияют на Вашу удовлетворенность?» позволяет ввести понижающий коэффициент (m)
В случае ответа «не влияет на удовлетворенность» или ответа «затрудняюсь ответить» ставится буква «з», эти факторы не учитываются в оценке удовлетворенности,
В случае если ответ «сильно влияет на удовлетворенность» ставим «0»
В случае ответа «влияет на удовлетворенность в меньшей степени» - «1»
2.Ответ на вопрос анкеты «Оцените, насколько Вы удовлетворенны основными факторами трудовой жизни?» назовем коэффициентом удовлетворенности (k)
k=3, если ответ «удовлетворен»
k=2, если ответ «скорее удовлетворен»
k=1, если ответ «скорее не удовлетворен»
k=0, если ответ «не удовлетворен»
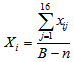
Если респондент затрудняется ответить, этот пункт в общей удовлетворенности не учитывается. Оценка удовлетворенности по каждому пункту. (хij -удовлетворенность i-го респондента по j-му фактору).
Удовлетворённость каждого человека определяется как среднее арифметическое от удовлетворённостей по каждому пункту, т.е.

где n количество факторов удовлетворенности, по которым удовлетворённость респондента определяется как «з», B общее число факторов трудовой жизни, используемых в анкете (пунктов в вопросах об удовлетворенности)

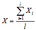
Общая удовлетворённость определяется как среднее арифметическое от удовлетворённостей всех респондентов, т.е. где l количество респондентов.
Для проведения анкетирования затраты будут минимальными (и равными стоимости 1 рабочего дня офиса), в то время как знание приоритетных для работников направлений позволит сократить расходы на мотивацию на 5-10%, а так же повысить лояльность сотрудников к организации.
В целом можно сделать вывод, что внедрение предложенных мероприятий в сочетании с совершенствованием иных методов управления позволит повысить заинтересованность сотрудников в результатах своего труда и эффективность всей системы управления в ОАО «Сбербанк России».
Заключение
Подводя итог данной работе можно сделать следующие выводы.
Мотивация труда - это стремление работника удовлетворить потребности (получить определенные блага) посредством трудовой деятельности.
Процесс мотивации начинается с какой-либо ощущаемой неудовлетворенной потребности, нужды. Затем определяется цель, которая предполагает, что для удовлетворения потребности требуется некое направление действий, посредством которых может быть достигнута цель и начаться удовлетворение потребности.
Мотивы играют важную роль в трудовой деятельности человека. Без них трудовая деятельность вообще не может осуществляться целесообразно. Но мотивы бывают разные и могут воздействовать с различной силой, вызывая направленную или ненаправленную активность человека.
Исходя из этого, важнейшая цель управления персоналом - использование личностного потенциала каждого работника, который представляет собой комплексную характеристику способности работника выступать в роли субъекта производственной деятельности. Практическая функция мотивации состоит в подборе различных способов и методов эффективного воздействия на персонал в целях его ориентации на результативную деятельность с учетом мотивационных установок работников и их профессионального и личностного потенциала.
Но в современном динамичном мире не существует единых методов мотивации персонала, эффективных в все времена и при любых обстоятельствах. Однако, любой метод ,применяемый руководителем основан на выбранной фирмой стратегии управления человеческими ресурсами. Это означает, что выбор конкретного метода мотивации должна, в первую очередь, определять общая стратегия управления персоналом, которой следовала или желает следовать фирма.
Изучив такую часть менеджмента, как мотивация персонала, мы установили, что эффективная, правильно организованная мотивация в организации существенно повышает производительность труда, что, соответственно, влечёт и увеличение прибыли.
Мы рассмотрели систему мотивации в ОАО «Сбербанк», провели анализ применения на практике методов мотивации в вышеуказанной организации. В работе были сделаны практически значимые, на мой взгляд, выводы и рекомендации по наиболее эффективному мотивированию персонала организации.
Функционирование систем мотивации, их разработка преимущественно зависят от работников аппарата управления, от их квалификации, деловых качеств и других качественных характеристик.
Вместе с тем как в период до перехода России к рыночным отношениям, так и в настоящее время, проблема мотивации остается самой актуальной и, к сожалению, самой неразрешенной в практическом плане проблемой
Список литературы
- Психологический словарь. / Под ред. В.П. Зинченко, Б.Г. Мещерякова. 2-е изд. М.: Педагогика-Пресс, 1996.-870 с.
- Психологические тесты для деловых людей. / Литвинцева Н.А. - М.: Интел-Синтез, 2004. 184 с.
3. Экономика и социология труда. / Генкин, Б. М. - М.: Норма, 2007.
4. Управление персоналом/ В.М. Цветаев. СПб: Питер, 2002 563 с.
5. Энциклопедический социологический словарь/ Под ред. В. Осипова. М., 1995. 625 с.
6. Основы менеджмента: учебник для вузов/ В.В. Глухов. - С._Петербург.: «Спец.литература», 1995.
7. Практический менеджмент персонала/ В.Р. Веснин. М., Юристъ. 1998.
8. Менеджмент: Учебник. / Виханский О.С., Наумов А. И. 3-е изд. М.: Гардарики, 2003. 528с.
9. Менеджмент / Кохно П.А., Микрюков В.А.. М.: Центр, 2000. 224 с.
10.. Премии в ассортименте. / Бодрова О Справочник по управлению персоналом. №1.2006.
11. Управление карьерой менеджера: необходимость и основное содержание / В. Ю. Иванов // Менеджмент в России и за рубежом. - 2004. - № 5.
12. Современные методы организации и оплаты труда. / Иванов Ю.А. М.: ООО «Журнал «Горячая линия бухгалтера», 2006.
13. Мотивация на работе / Коротков В. // http://www.hr-zone.net.
14. Деятельность. Сознание. Личность. / Леонтьев А. Н. М., Смысл, Академия, 2005. 352 с
15. Оптимизация системы оплаты труда и материального стимулирования. / Сперанский А.А., Драгункина Н.В. М.: Альфа-пресс, 2006.
16. Управление персоналом. / Егоршин А.П. Н. Новгород, 2001. 202с.
17. http://infomanagement.ru/lekciya/Teorii_motivacii
18. http://www.elitarium.ru/2010/08/09/metody_motivacii_personala.html
19. http://report-sberbank.ru/reports/sberbank/annual/2011/gb/Russian/10604040.html
20. http://report-sberbank.ru/reports/sberbank/annual/2011/gb/Russian/10604090.html
21. http://report-sberbank.ru/reports/sberbank/annual/2011/gb/Russian/10604030.html
22. http://www.slideshare.net/AnnaNinikina/ss-9521825
23. http://sberbank.ru/moscow/ru/about/philanthropy/staff/302520/
24. http://www.hr-journal.ru/news/events/events_2923.html
25. http://ru.wikipedia.org/wiki/%CC%EE%F2%E8%E2%E0%F6%E8%FF
1 См.: В.П. Зинченко, Б.Г. Мещерякова Психологический словарь. М., 1996- С. 426
2 См.:Литвинцева Н.А. Психологические тесты для деловых людей. - М., 2004. С. 84
3 См.: Литвинцева Н.А. Психологические тесты для деловых людей. - М., 2004. С. 86
4 См.: Генкин, Б. М. Экономика и социология труда. - М., 2007.
5 См.: Цветаев В.М. Управление персоналом СПб., 2002 С. 400.
6 См.: В. Осипова Энциклопедический социологический словарь М., 1995. С.500
7 См.: Глухов В.В. Основы менеджмента: учебник для вузов СПб., 1995.
8 См.: Веснин В.Р. Практический менеджмент персонала М., 1998.
9 См.: Виханский О.С., Наумов А. И. Менеджмент: Учебник. М., 2003. С. 528
10 См.: http://infomanagement.ru/lekciya/Teorii_motivacii
11 См.: Кохно П.А., Микрюков В.А. Менеджмент. М., 2000. С. 362
12 Бодрова О. Премии в ассортименте. Справочник по управлению персоналом. №1.2006, С. 53
13 Егоршин А.П. Управление персоналом. Н., 2001, С. 202
14 Бодрова О. Премии в ассортименте. Справочник по управлению персоналом. №1.2006, С. 7778
15 См.: http://www.elitarium.ru/2010/08/09/metody_motivacii_personala.html
16 См.: http://www.sbrf.ru/tver/ru/about/today/
17 http://www.hr-journal.ru/news/events/events_2923.html
18 http://www.hr-journal.ru/news/events/events_2923.html
19 http://report-sberbank.ru/reports/sberbank/annual/2011/gb/Russian/10604040.html
20 http://www.slideshare.net/AnnaNinikina/ss-9521825
21 http://sberbank.ru/moscow/ru/about/philanthropy/staff/302520/
22 http://sberbank.ru/moscow/ru/about/philanthropy/staff/302520/
23 http://report-sberbank.ru/reports/sberbank/annual/2011/gb/Russian/10604040.html
24 http://report-sberbank.ru/reports/sberbank/annual/2011/gb/Russian/10604030.html
25 http://sberbank.ru/moscow/ru/about/philanthropy/staff/302520/
26 http://report-sberbank.ru/reports/sberbank/annual/2011/gb/Russian/10604040.html
27 http://report-sberbank.ru/reports/sberbank/annual/2011/gb/Russian/10604090.html
PAGE \* MERGEFORMAT 43
екомендации по улучшению мотивации в ОАО «Сбербанк»