Методы анализа и прогноза конъюнктуры рынка телепродукции на примере деятельности ЗАО «Сеть телевизионных станций»
Министерство культуры Российской Федерации
Федеральное государственное бюджетное образовательное учреждение
Высшего профессионального образования
«Санкт-Петербургский государственный
Университет кино и телевидения»
Институт управления, экономики и медиакоммуникаций
Кафедра продюсерства
КУРСОВАЯ РАБОТА
по дисциплине «Маркетинг»
на тему «Методы анализа и прогноза конъюнктуры рынка телепродукции
на примере деятельности ЗАО «Сеть телевизионных станций»
Выполнил:
Руководитель:
Кандидат экономических наук,
Доцент кафедры продюсерства
Сахарова И.Н.
Санкт-Петербург
2014
Содержание
Введение…………………………………………………………….…………..…3
Глава 1. Теоретические основы рыночной конъюнктуры и элементов телевизионного программирования ………………………………………………5
Конъюнктура рынка: методика анализа и прогноза..…….………….…..5
Основы телевизионного контента………………..……...………………..8
Глава 2. Анализ деятельности ЗАО «Сеть телевизионных станций»..…………………………………………….…………………………..14
2.1. Анализ изменения контента ЗАО «Сеть телевизионных станций»...........14
2.2. Анализ текущего положения дел в ЗАО «Сеть телевизионных станций»………………………………………………………………………….17
Глава 3. Прогноз развития и пути совершенствования деятельности ЗАО «Сеть телевизионных станций»………………….....………………………….22
3.1. Прогноз развития деятельности ЗАО «Сеть телевизионных станций»...22
3.2. Пути совершенствования деятельности ЗАО «Сеть телевизионных станций»………………………………………………………………..………...26
Заключение……………………………………………………………….………32
Список использованных источников…………………………..……………….34
Введение
Каждый день миллионы людей собираются перед экранами телевизоров или мониторами компьютеров, что посмотреть свежие серии любимых сериалов и телепрограмм. Прошли времена универсальных каналов, пытающихся удовлетворить потребности всех групп зрителей, в настоящее время телевизионный рынок напоминает огромный магазин, где каждая группа товаров находится на отдельном прилавке. Сужая свои ниши, телебоссы четко формулируют бренды своих каналов, направленность их вещания и особенности целевой аудитории, как возрастные, так и психографические.
Актуальность данной работы состоит в том, что несмотря на то, что телеканалы продолжают являться одним из наиболее привлекательных сегментов СМИ для рекламодателей, телевизионным менеджерам приходится бороться не только с каналами-конкурентами, но и с Интернетом, который перетягивает к себе активную часть зрителей, которые не хотят подстраиваться под расписание каналов и могут смотреть интересующие их сериалы и шоу онлайн.
Объектом нашего исследования является закрытое акционерное общество «Сеть телевизионных станций», известное как федеральный телеканал СТС, первым среди общенациональных каналов избравший себе четкую нишу развлекательного телевидения для молодых зрителей, то есть тех, кто все чаще предпочитает «Всемирную паутину» просмотру телевизора.
Предметом нашего исследования является контент телеканала, его история, развитие и дальнейшие его изменения.
Целью курсовой работы является разработка прогноза развития контента ЗАО «Сеть телевизионных станций» и способов совершенствования его деятельности.
Задачи курсовой работы:
- Рассмотреть теоретическое понятие конъюнктуры рынка, основы методики анализа и прогноза.
- Разобрать основы телевизионного контента.
- Проанализировать изменения контента, выходящего в эфире ЗАО «Сеть телевизионных станций».
- Проанализировать текущее положение дел в ЗАО «Сеть телевизионных станций».
- Разработать прогноз развития деятельности ЗАО «Сеть телевизионных станций».
- Разработать пути совершенствования деятельности ЗАО «Сеть телевизионных станций».
Глава 1. Теоретические основы рыночной конъюнктуры и элементов телевизионного программирования
- Конъюнктура рынка: методика анализа и прогноза
Ни одна фирма, занимающаяся куплей-продажей товаров, крупная или малая, не сумеет успешно функционировать без оценки положения на рынке. Любое долгосрочное или оперативное решение в бизнесе принимается на базе конъюнктурных оценок.
Термин «конъюнктура» происходит от средневекового латинского conjuncture (лат. conjungo - связываю, соединяю) и означает сложившуюся обстановку, создавшееся положение, временную ситуацию в какой-либо области общественной жизни, например «международная конъюнктура». Конъюнктура экономическая - конкретные условия процесса воспроизводства на каждый данный момент. В основе формирования и изменения конъюнктуры лежат главным образом факторы, определяющие движение цен, ценных бумаг, размеров производства, занятости и др.[9]
Aлeкcaндр Алекceeвич Cyэтин, доктор экономических наук, определил конъюнктуру рынка как конкретную экономическую ситуацию, сложившуюся на рынке на данный момент или ограниченный отрезок времени.[17]
Понятие рыночной ситуации включает:
- степень сбалансированности рынка (соотношение спроса и предложения);
- сформировавшиеся, наметившиеся или изменившиеся тенденции развития рынка;
- уровень устойчивости или колебаний основных параметров рынка;
- масштабы рыночных операций и степень деловой активности;
- уровень коммерческого (рыночного) риска;
- силу и размах конкурентной борьбы;
положение рынка в определенной точке экономического или сезонного цикла.[1]
Организация работы по изучению общехозяйственной и товарной конъюнктуры и, в частности, проведение анализа и прогнозирования конъюнктуры состоит из последовательных стадий:
- определение объекта исследования;
- накопление исходных данных и других материалов;
- осуществление анализа конъюнктуры;
- разработка прогноза развития конъюнктуры.
Организационные и методологические принципы одинаковы при изучении общехозяйственной и товарной конъюнктуры.
1. Определение объекта исследования. Задача исследователя состоит в том, чтобы определить сферу анализа конъюнктуры: общехозяйственная конъюнктура экономики в целом; общехозяйственная конъюнктура группы стран или отдельной страны; конъюнктура отдельной отрасли экономики или товарного рынка в мировом масштабе или по группе стран или отдельной страны, конъюнктура мирового рынка и т.д.
2. Накопление исходных данных и других материалов. Прежде чем приступить к накоплению материалов и сбору показателей развития конъюнктуры для ее анализа и прогноза, необходимо уточнить следующие исходные положения.[11]
Если речь идет об общехозяйственной конъюнктуре отдельной страны, то исследователь должен располагать сведениями о структуре экономики страны, конъюнктуру которой намечается изучить, с тем чтобы определить круг показателей конъюнктуры. Для этого необходимо знать характер и особенности структуры экономики страны, ее важнейшие отрасли хозяйства. Необходимо определить период времени (месяц, квартал, год), который будет подвергаться анализу и прогнозу при исследовании конъюнктуры. Это особенно важно при накоплении материалов для определения не только круга показателей, но и детализации данных по каждому из показателей.
На стадии накопления исходных данных производятся следующие операции:
- определение круга основных показателей конъюнктуры;
- выявление и подбор источников показателей конъюнктуры;
- накопление данных о конъюнктуре по основным показателям.
3. Осуществление анализа конъюнктуры. После завершения работы по накоплению материалов о положении в экономике соответствующей страны можно приступать к анализу конъюнктуры. Анализ конъюнктуры нужно проводить не на базе произвольно подобранных фактов,подтверждающих ту или другую точку зрения, а на базе фактов, которые отражают всю совокупность противоречивых тенденций, процессов и явлений.
Процесс анализа конъюнктуры состоит из следующих стадий. Начинают с классификации факторов и показателей состояния конъюнктуры. Обязательным является построение динамических рядов, по каждому из факторов, статистических показателей и оценок конъюнктуры. Каждый из показателей должен иметь динамический ряд, отражающий действие соответствующего конъюнктурообразующего фактора в прошлом, настоящем и будущем (имеющиеся оценки и прогнозы).
Следующей стадией анализа развития конъюнктуры является определение силы и направления действия соответствующих основных конъюнктурообразующих факторов. Анализ ведется в историческом аспекте с использованием динамических рядов.[11]
Заключительная стадия анализа состоит, в интеграции, объединений, и рассмотрении во всей совокупности и взаимной связи всех важнейших конъюнктурообразующих факторов как единого целого. Результат анализа конъюнктуры обеспечивает определение места и роли каждого из основных факторов в формировании конъюнктуры за анализируемый период.
4. Разработка прогноза развития конъюнктуры. Это наиболее сложный и важный этап работы. Прогноз развития конъюнктуры - это главная цель и конечный результат осуществляемого анализа конъюнктуры. Прогноз служит основой для формирования торговой политики.
Качество прогноза развития конъюнктуры, его точность и достоверность зависят от правильности выявления важнейших факторов формирования конъюнктуры.
Использование исторического принципа в процессе прогнозирования не означает применения метода экстраполяции. Конъюнктура никогда не повторяется в точности. Новые явления, факторы и тенденции, изменение силы и направленности действия основных конъюнктурообразующих факторов постоянно вносят специфику в развитие конъюнктуры.
Возможен альтернативный характер прогнозов. Исследователь определяет вероятную направленность развития конъюнктуры, но вместе с тем указывает на возможность альтернативного хода развития конъюнктуры.
Прогноз развития общехозяйственной и отраслевой конъюнктуры представляет собой синтез экономических, научно-технических и социально-политических прогнозов.
Таким образом, нами были рассмотрены ключевые этапы анализа и прогноза конъюнктуры рынка: определение объекта исследования, накопление исходных данных и других материалов, осуществление анализа конъюнктуры, разработка прогноза развития конъюнктуры.
- Основы телевизионного контента
Основными элементами телевизионного программирования являются программы и сериалы.[4]
Три основных вида телевизионных программ это новости, развлекательные программы и интервью.
Новости это самый официальный вид телепрограмм, который предназначен для объективной подачи информации. В новостях специально подготовленный ведущий, излагает только лишь факты, не приписывая рядом свое субъективное мнение. В России новости на трех основных федеральных каналах («Первый канал», «Россия-1», НТВ) идут раз в три часа, чтобы не пересекаться в эфирной сетке: так, например, «Новости» «Первого канала выходят в 09:00, 12:00, 15:00, 18:00 и итоговый выпуск (программа «Время») в 21:00 (не считая новостных блоков в утреннем и ночном эфире). Соответственно, информационная программа НТВ «Сегодня» транслируется в 10:00, 13:00, 16:00, 19:00, а на «России-1» в 11:00, 14:00, 17:00 и 20:00.
Спрос на новости повышается во время глобальных изменений в мировой политической ситуации. Как отмечает генеральный директор канала «Перец» Дмитрий Троицкий, на фоне присоединения Крыма к Российской Федерации и санкций США по отношению к РФ растет доля аудитории информационных программ и, соответственно, каналов, на которых они выходят, по этой причине развлекательные каналы без информационного вещания (СТС, ТНТ, «Перец», «Пятница!», «Ю») начинают терять аудиторию, в частности, аудитория «Перца» в феврале-марте 2014 года уменьшилась на 10 %.[22]
Развлекательные программы тоже могут нести некую информационную нагрузку. Но, как правило, строятся в легкой демократичной форме, чтобы зритель мог, не напрягаясь, получать информацию либо музыкального, либо познавательного характера. Разновидностей таких программ существует также немало: скетчкомы («6 кадров», «Даешь молодежь!»), инфотейнмент («Галилео», «Чудо техники»), реалити-шоу («Дом-2: Город любви», «Каникулы в Мексике»), life-style программы («Модный приговор», «Орел и решка»), конкурсы («Минута славы», «Голос»). Формат такого рода телепередач сам по себе представляет свободную форму подачи материала, чем и пользуются редакторы и авторы.
Особенности интервью на телевидении могут быть весьма разнообразны. Так как этот формат очень распространен на телеканалах, как инструмент для создания самых разных видов телепрограмм. Это может быть и социологический опрос, и интервью в формате развлекательного ток-шоу, и деловой разговор с политическим деятелем, которое будет показано в новостной программе. Одним из самых уважаемых интервьюеров страны является Владимир Познер, ведущий программы «Познер» на «Первом канале».
По мнению кинопродюсера, в 2002-2008 гг. генерального директора канала СТС Александра Роднянского рейтинг-мейкерами телеканалов являются сериалы, а программы являют собой лишь наполнение эфира.[10]
Сериалы телевизионные фильмы с продолжением появились в мире в начале телевизионной эпохи, став развитием идеи радиосериалов. В Советском Союзе первым отечественным телесериалом стала 4-серийная военная приключенческая драма «Вызываем огонь на себя» (1964), первым зарубежным сериалом показанная Центральным телевидением СССР в 1971 году 26-серийная британская теленовелла «Сага о Форсайтах» (1967).
В перестроечные годы страна познакомилась с латиноамериканскими и американскими «мыльными операми». В 1990-е годы российский зритель начал проявлять настойчивый интерес к показу отечественной действительности, и телеэкраны наполнили вначале адаптированные, а затем и оригинальные российские телепостановки разных жанров и продолжительности.[15]
Рынок сериалов в России стремительно рос вплоть до второй половины 2000-х годов, к российским продюсерским компаниям и некоторым (немногим) сериалам проявили интерес зарубежные рынки. Ведущим трендом российского сериала 2000-х годов стало упрощенчество, что с неудовлетворением отмечали сами кинопроизводители. Во второй половине 2000-х годов российский рынок телесериалов достиг пика и замедлил рост. Процессы стагнации усилил экономический кризис 20082009 годов.
В России второго десятилетия XXI века специалисты ожидают увеличения доли зарубежных фильмов, роста так называемых «вертикальных показов» (одна серия-фильм показывается в определённое время определённого дня единожды в неделю), появления качественных по содержанию и исполнению сериалов. Ожидается также, что продюсерские центры и телеканалы в процессе пополнения собственных библиотек прав на показ телеконтента не смогут избежать споров. В целом же спрос на телесериалы в России не изменится.[10]
Процесс работы над сериалом идёт по одному из трёх основных бизнес-сценариев. Во-первых, сериал может создаваться по заказу телекомпании. Так работают, например, «Студия 2В» и «Story First Production». Во-вторых, для создания сериала продюсерская компания может нанимать производителей-подрядчиков. Так работают «Централ Партнершип» и «Профит». В-третьих, продюсерская компания может самостоятельно создать сериал, причём такие сериалы, как показывает практика, становятся наиболее рейтинговыми. По этому производственному сценарию работают «Леан-М», «Амедиа» и «Феникс-фильм».[21]
«Леан-М», например, начинает работу подготовкой индивидуального по цене, содержанию и качеству исполнения предложения для каждого телеканала, обсуждает его с телеканалом, а затем совместно с ним воплощает проект. Генеральный директор канала «РБК», в прошлом первый заместитель гендиректора телеканала «Россия» Александр Любимов указывает, что технология производства телесериала подразумевает совместную работу телеканала и компании-производителя: производитель создаёт продукт, а каналы поставляют данные об аудитории.[15] Основными действующими лицами в процессе создании современного российского сериала являются продюсер, сценарист, режиссёр, актёры и зритель.[5]
По мнению продюсера кинокомпании «СТВ» Сергея Сельянова, процесс сериального производства стал в России продюсерским не режиссёр несёт идею продюсеру, а продюсер под собственную идею ищет режиссёра.[20] При этом популярность сюжетов, по словам главы «Амедиа» Александра Акопова, хотя и подвержена моде, но «сюжеты актуальны всегда и все».[19] На практике дело оказывается не в количестве сюжетов, а в их содержании, качестве. Так, в работе телеканала «Россия» постоянно находятся 23 тысячи идей, из них оригинальными, по словам Александра Любимова, оказываются около 20.[15] Телеканал СТС ежегодно рассматривает около 300500 сценариев сериалов всех жанров. Для сравнения, в Голливуд ежегодно поступает около 10 тыс. новых сериальных сценариев, причём до стадии прочитывания доходит лишь около тысячи.
Основной проблемой для сценаристов стали требуемые продюсерами сжатые сроки подготовки сценариев, что породило упрощенчество продюсеры желают и получают более простые, более «серые», по выражению сценариста и режиссера Михаила Угарова («Черчилль», «Любовь на районе»), тексты.[14] Для сравнения, в США, как рассказывает исполнительный продюсер СТС Константин Наумочкин, пилотные сценарии пишутся 23 месяца за круглым столом несколькими авторами, с обсуждением всех деталей.[10] В России один автор пишет сценарии для 23 телепроектов, в дополнение подрабатывая редакторством, ведением блогов и написанием статей для СМИ.
Другая проблема для сценариста фактическое завершение своей работы над фильмом после сдачи готового сценария, в то время как, например, в США драматург контролирует идею вплоть до завершения съёмочного процесса, что и рождает детальную скрупулёзность, а как следствие и достаточно высокое качество телесериала.
Современные режиссёры телесериалов профессиональны с точки зрения технологии создания фильма, но, по мнению продюсера Сергея Сельянова, им не хватает жизненного опыта.[14] Сериал, по мнению сценариста Елены Греминой («Петербургские тайны», «Тридцатилетние»), больше похож на театр.[21] Если в кино можно снимать эпизоды в любой последовательности, то в сериале так не происходит. А в соответствии с американской моделью съёмки телесериал вообще может сниматься параллельно с эфиром. Так, например, снималась «Бедная Настя». Начиная со студенчества во ВГИКе, молодых режиссёров начинают привлекать к съёмкам сериалов, и соглашающиеся на это молодые люди становятся успешными профессионалами-технологами, однако уже не способны стать режиссёрами игрового художественного кино.[19]
В отличие от кино, в телефильмах зритель ищет прежде всего привычные лица, конкретных знакомых актёров, поэтому в сериалы приглашают тех, кто уже стал известным и полюбившимся лицедеем. Однако в силу того, что в России нет разделения (и, соответственно, обучения) профессий кино- и телеактёра, многие исполнители ощущают неудовлетворённость от игры в телесериалах. Чтобы предотвратить вызываемую потоковой съёмкой профессиональную выхолощенность и, в конечном итоге, творческую гибель, многие киноактёры либо сразу отказываются сниматься в телесериалах, либо находят в себе силы вовремя остановиться.
Аудитория каждого сериала конкретна, её можно описать и измерить. Как правило, каждый сериал ориентирован на социальную группу зрителей определённого пола, возраста, рода занятий, стиля жизни. Зритель должен легко частично или более-менее полно отождествлять себя с героями сериала, в свою очередь являющими собой типичного стереотипного зрителя, участника целевой аудитории. Аудиторию, зрителя придумывают себе продюсер вместе с телеканалом. По опыту Александра Акопова, создание имиджа зрительской аудитории представляет собой творческий процесс, результат которого выражается одним словом «попал» или «не попал».[19]
Таким образом, мы подробно изучили, что представляют собой программы и сериалы, почему такой жанр находит отклик у массовой аудитории, и по каким причинам сериал может стать успешным и получить большие рейтинги и серьезные награды, а в других случаях сериал может показаться зрителю неудобоваримым произведением, не достойным внимания.
Глава 2. Анализ деятельности ЗАО «Сеть телевизионных станций»
2.1. Анализ изменения контента ЗАО «Сеть телевизионных станций»
ЗАО «Сеть телевизионных станций» была основана 1 декабря 1996 года. Основной вид деятельности выпуск в эфир телеканала СТС. Является частью холдинга «СТС-Медиа» (в который помимо СТС входят телеканалы «Домашний», «Перец» и «СТС Love» в России, «Перец International» в Белоруссии, «TV Dixi» в Молдавии, «31 канал» в Казахстане, продюсерская компания «Story First Production» и Интернет-портал «Видеоморе»). Генеральный директор канала Вячеслав Муругов.[18] В его подчинении заместитель генерального директора, дирекция производства телепрограмм, дирекция производства сериалов, дирекция кинопоказа, дирекция оформления эфира, техническая дирекция, бухгалтерия. В штате канала трудятся 200 человек.
В 1990-х годах каналу под руководством бывшего главного маркетолога «Mars» Романа Петренко и под контролем американских акционеров (в числе которых были банк «Morgan Stanley» и кинокомпания «Universal») удалось завоевать популярность благодаря показу американских ситкомов и «мыльных опер» («Альф», «Беверли Хиллз 90210», «Зена королева воинов», «Квантовый скачок»). На тот момент лидером развлекательного вещания был канал «ТВ6 Москва», который помимо зарубежной продукции активно занимался собственным производством, развивая самые разные форматы от ток-шоу («Я сама», «Акулы пера») до юмористических программ («ОСП-студия», «33 квадратных метра»). На фоне его успеха появление СТС могли бы и не заметить, если бы канал «ТВ6» не выкупил олигарх Борис Березовский для использования в качестве инструмента политического влияния. В связи с таким резким переформатированием целевая аудитория негативно восприняла изменения в сетке вещания, и в 2001 году доли СТС и «ТВ6» сравнялись.
Осенью 2001 года в эфире канала начался постепенный переход на трансляцию отечечственного контента российских сериалов, прошедших в эфире других каналов, а также развлекательных программ, созданных по заказу канала («Осторожно, Модерн!-2», «Добрый вечер с Игорем Угольниковым», «Первое свидание», «Окна»). Основу прайм-тайма выходного дня стали низкобюджетные юмористические шоу набиравшего популярность украинского телеканала «1+1» («КВН. Высшая украинская лига», «СВ-шоу», «Частная милиция»), благодаря успеху которых акционеры приняли решение пригласить на канал Александра Роднянского. На наш взгляд, данная ситуация идеально иллюстрирует, что на телевидении важен не столько качественный контент, а те творческие и административные кадры, которые его создают.
С приходом команды Александра Роднянского в 2002 году канал (на фоне растущего в стране спроса на российские сериалы) переориентировался на трансляцию контента собственного производства, представляющего собой в большинстве своем адаптацию прошедших успешно за рубежом проектов («Моя прекрасная няня», «Не родись красивой», «Кто в доме хозяин?», «Самый умный», «Слава Богу, ты пришел!»). Среди других отличительных особенностей стиля Роднянского ставка на лица канала (ведущие программ, звезды сериалов) с целью сформировать облик канала, отражавшего, по его мнению, мировоззрение возникающего в России среднего класса. Успешные сериалы повысили среднесуточную долю аудитории канала с 6.6 % в 2002 году до 10.4 % в 2006 году.[10]
Появившийся на канале в качестве директора департамента развлекательных сериалов в 2005 году и поднявшийся по карьерной лестнице до генерального продюсера всего холдинга «СТС-Медиа» в 2008 году Вячеслав Муругов расширил количество выпускаемых сериалов и программ, снятых по оригинальным идеям, а не по лицензии: «Кадетство», «Папины дочки», «Ранетки», а также сократил количество зарубежных сериалов в эфире до минимума по причине их неконкурентоспособности в телеэфире из-за распространения сериалов в Интернете практически сразу же после выхода сериала за рубежом.[20] Кроме того, на фоне постепенного перехода на СТС на трансляцию подростковых сериалов, повлекшего за собой закономерное сужение аудитории, усилились позиции канала ТНТ, благодаря стремительному росту аудитории не сразу достигших популярности проектов «Comedy Club» и «Наша Russia». Причина успеха ТНТ, на наш взгляд, в его хулиганском и неформальном содержании. СТС же, который изначально стремился быть «каналом для всех» (с целевой аудиторией «все 4+») и даже на каком-то этапе хотел обогнать НТВ по рейтингам (в 2006 году каналу это удалось благодаря успеху сериала «Не родись красивой»), в 2007 году после ряда провальных проектов («Петя Великолепный», «Тридцатилетние», «Папа на все руки»), начал ориентироваться на молодую аудиторию, как мы писали ранее. Причина проста: на фоне общего падения доли канала СТС (с 10.4 % в 2006 году до 9 % в 2007 году в целевой аудитории «4+»), в эфире канала достигли успеха молодежные сериалы «Папины дочки» и «Кадетство», и потому пошел уклон на проекты, ориентированные на студентов и школьников, таким образом хит сезона может не только задавать тон каналу, но и вгонять его в определенные рамки. Тем самым, одинаковые изменения в программной политике (ориентация на молодежную аудиторию), для СТС обернувшиеся уменьшением доли аудитории, на ТНТ обернулись успехом. К слову, в 2005 году Александр Цекало, на тот момент выступавший генеральным продюсером СТС, вел переговоры по поводу показа на СТС шоу «Comedy Club», но Александр Роднянский посчитал проект слишком опасным для показа в эфире бесконфликтного СТС. По нашему мнению, с точки зрения концепции канала «Comedy Club» вместе с молодежными сериалами СТС мог вполне составить уникальное предложение на рынке, став лидером развлекательного вещания в стране, однако, упущенная возможность СТС помогла ТНТ стать конкурентоспособным и обогнать по популярности СТС.
Таким образом, мы рассмотрели причины взлета популярности канала СТС и спада интереса зрителей к каналу.
2.2. Анализ текущего положения дел в ЗАО «Сеть телевизионных станций»
Целевая аудитория канала в настоящее время мужчины и женщины в возрасте от 10 до 45 лет (ядро аудитории зрители 25-35 лет, с точки зрения психографической сегментации молодые взрослые, разделяющие семейные ценности), направленность канала семейный, развлекательный. Канал ориентирован на показ сериалов и программ собственного производства. Наиболее популярные проекты канала в настоящее время комедийные сериалы «Кухня», «Два отца и два сына», юмористическое шоу «Уральские пельмени», драмеди «Молодежка», «Корабль», скетчком «6 кадров» и ситком «Воронины».[14]
Среднесуточная доля канала в целевой аудитории в 2013 году составила 11.3 %, на 0.3 % больше, чем в 2012 году[18] (рис. 2.1):

Рис. 2.1. Доли каналов в аудитории «м/ж 10-45 лет» в 2012-2013 гг.
Как показывает рисунок, разрыв между СТС и каналом ТНТ, ориентирующимся на ту же целевую аудиторию, составляет почти 2 %.
В 2012 году топ-менеджмент СТС посчитал, что ориентация на молодежную аудиторию школьников и студентов (ядро аудитории СТС в 2008-2011 годах) не особо эффективна, так как при концепции семейного телевидения значительную часть аудитории СТС оттягивают упомянутые ранее молодежные проекты на ТНТ, востребованные у активной молодежи, и новый канал «Disney» с ситкомами для дошкольной и школьной аудитории, которые более точно удовлетворяют потребности молодежной и подростковой аудитории соответственно. Тем самым эффективная на протяжении 2002-2006 годов концепция универсального развлекательного телевидения без четкой ориентации на конкретный срез зрителей исчерпала себя на фоне стремительного развития нишевых каналов с узкой целевой аудиторией.
По этой причине было решено сместить ядро аудитории в сегмент «м/ж 25-35 лет», как наиболее платежеспособный с точки зрения рекламодателей и эффективный с точки зрения восприятия контента семейной направленности. На наш взгляд, каналу удалось быстро и без серьезных потерь (падение доли с 12.1 % в 2011 году до 11 % в 2012 году в аудитории «м/ж 10-45 лет») пересегментироваться благодаря деятельности Валерии Шульженко, с 2012 года работающей на СТС программным директором: правильный подбор контента, отказ от молодежных проектов в прайм-тайм и несколько эффективных программных решений (в особенности дневные марафоны сериала «Воронины» и шоу «Уральские пельмени» в будни и показ голливудского кино в режиме нон-стоп в выходные) позволили каналу достичь поставленных целей, пока большинство проектов для нового ядра аудитории еще находятся в стадии производства.
Максимальное совпадение зрителей канала с заявленной целевой аудиторией помогает каналу оставаться привлекательным в глазах рекламодателей и тем самым успешно монетизировать аудиторию[22] (рис. 2.2.):

Рис. 2.2. Рейтинг каналов по монетизации аудитории в 2012-2013 гг.
Выше указанные данные показывают, что СТС монетизирует аудиторию гораздо эффективнее, чем его ближайшие конкуренты ТНТ и «Первый канал», что позволяет получать дополнительный доход за счет привлечения спонсоров к проектам канала, развития направлений мерчендайзинга, монетизации контента в Интернете, создания трансмедийных проектов, а также расширения числа продюсерских компаний, обращающихся на СТС за рекламной поддержкой их фильмов (например, такие фильмы как «Горько!», «Быстрее, чем кролики», «Легок на помине», «Авантюристы», «Скорый «Москва-Россия» выбрали своим информационным партнером СТС).
По данным Федерального агентства по печати и коммуникациям, прибыль компании в 2013 году составила 6533 миллиона рублей, что является лучшим результатом среди федеральных телеканалов[18] (табл. 2.1.):
Таблица 2.1
Операционные показатели предприятий-учредителей федеральных телеканалов в 2013 году
|
Предприятие |
Выручка (млн. руб.) |
Прирост (%) |
Прибыль/ убыток (млн. руб.) |
Прирост (%) |
|
1 |
2 |
3 |
4 |
5 |
|
ОАО «Первый канал» |
24 482 |
11.5 |
- 1 336 |
-51.5 |
|
ФГУП «Всероссийская государственная телевизионная и радиовещательная компания» (телеканал «Россия-1») |
20 174 |
8.6 |
-7 294 |
-46.5 |
|
ОАО «Телекомпания НТВ» |
16 195 |
36.5 |
3 831 |
248.6 |
|
ЗАО «Сеть телевизионных станций» (телеканал СТС) |
13 675 |
14.6 |
6 533 |
9.1 |
|
ОАО «Телерадиокомпания Петербург» («Пятый канал») |
3 701 |
135.1 |
274 |
127.5 |
|
ЗАО «Новый канал» (телеканал «Домашний») |
2 368 |
27.5 |
773 |
36.1 |
|
ОАО «ТВ Центр» (телеканал ТВЦ) |
2 250 |
28.2 |
- 3 087 |
-3.1 |
|
ЗАО «ТВ Дарьял» (телеканал «Перец») |
1 761 |
12.6 |
393 |
-32.6 |
|
ЗАО «Телекомпания РЕН ТВ» |
727 |
-13.4 |
81 |
20.9 |
|
ОАО «Телерадиокомпания вооруженных сил Российской Федерации «Звезда» |
525 |
205.5 |
-1 252 |
-32.6 |
Как видно из данных, СТС приносит солидный доход на фоне убытка большинства других телеканалов, хотя сложно объективно оценивать данные, в которых нет информации относительно прибыли ТНТ, которую акционеры «Газпром-Медиа» отказались выкладывать в открытый доступ.
Таким образом, мы проанализировали историю и развитие телеканала СТС от ретранслятора американской сериальной продукции до ориентированного на оригинальный контент канала для молодых взрослых, который, на наш взгляд, имеет больше шансов завоевать лидерство, ориентируясь на ядро аудитории «м/ж 25-35 лет», чем в периоды 2007-2011 гг., когда он по стечению обстоятельств стал конкурентом ТНТ в борьбе за молодежную часть зрителей.
Глава 3. Прогноз развития и пути совершенствования деятельности ЗАО «Сеть телевизионных станций»
3.1. Прогноз развития деятельности ЗАО «Сеть телевизионных станций»
Как показал анализ деятельности канала, СТС на протяжении своего существования неоднократно менялся в первую очередь, из-за роста конкуренции на телевизионном рынке.
В 1990-х годах, когда было всего лишь несколько телевизионных каналов (ОРТ, РТР, НТВ, СТС, «ТВ-6 Москва», ТНТ, «Рен-ТВ»), которые не имели между собой существенных отличий в предлагаемом зрителю контенте (новости, латиноамериканские сериалы, телеигры), кинотеатральный рынок почти не действовал, а новинки мирового кино выходили на пиратских видеокассетах с одноголосым переводом, канал СТС, который показывал американские фильмовые и сериальные новинки в закадровом переводе и дубляже, без проблем завоевал популярность. В настоящий же момент, когда практически любой новый иностранный фильм или сериал зритель может без труда посмотреть в Интернете в любое время суток, телеканалам приходится придумывать новые способы воздействия на зрителя. Статистика говорит сама за себя: количество активных пользователей Интернета превышает 40 % россиян, в отдельные дни «Яндекс» обгоняет центральные каналы по количеству просмотров, а доля аудитории самого массового вещателя страны «Первого канала» сократилась с 30 % в 2005 году до 14 % в аудитории «все 4+». К тому же большую угрозу для каналов-лидеров представляют тематические каналы с укзонаправленным контентом, одним из хитрых приемов которых является дневное программирование новинок, в то время как большинство каналов (в том числе СТС) ставят в дневной эфир повторы.
Есть разные взгляды на дальнейшее функционирование телевидения. По мнению медиаменеджера Романа Петренко, в течение 10-15 лет телевидение по расписанию исчезнет, останутся Интернет-порталы с 7-8 хитами, которые и будут формировать канал. Гендиректор СТС Вячеслав Муругов не отрицает такого развития событий, что подтверждают его активные по развитию канала в Интернете (портал «Videomore» для контента каналов «СТС-Медиа», трансмедийный проект «Настоящая любовь», каналы сериалов и шоу СТС на портале «YouTube»), однако, просмотр телевидения на экранах телевизора все равно будет занимать ведущую роль. На наш взгляд, аудитория СТС, равно как и зрители других каналов для молодежи и молодых взрослых, будут постепенно отказываться от пассивного телесмотрения, предпочитая формировать свой режим просмотров самостоятельно.
По нашему мнению, тот факт, что практически все руководители телевизионных каналов в России во главе с гендиректором «Первого канала» Константином Эрнстом и гендиректором «Газпром-Медиа Холдинга» Михаилом Лесиным включились в работу по созданию новой системы телевизионных измерений взамен «TNS Gallup Media», имеющей существенные недостатки (являясь монополистом в сфере измерения данных об аудитории каналов и программ, она учитывает только домашнее семейное телесмотрение на кинескопных телевизорах), дает все основания полагать, что новая система будет учитывать также просмотры в кафе, барах, ресторанах, кроме того, будет учитывать просмотры в Интернете. К примеру, создатели выше упомянутого проекта СТС «Настоящая любовь», собравшего 30 миллионов телеаудитории и еще 23 миллиона зрителей в Интернете (на порталах «Videomore», «ctc.ru», «domashniy.ru» и в социальных сетях «ВКонтакте» и «Одноклассники»), при проведении переговоров с потенциальными спонсорами будут ориентироваться не только на данные телеэфира как сейчас, а на совокупные данные об аудитории ТВ и Интернета. Также известно, что сериал «Молодежка», который в совокупности на нескольких легальных платформах посмотрели 35 миллионов человек, на монетизации в Интернете заработал чуть более 1 миллиона долларов. То есть в среднем, каждая из 40 серий принесла 750 000 рублей дополнительной прибыли благодаря Интернету. Эти цифры несопоставимы с прибылью от рекламы в телеэфире (с учетом стоимости минуты рекламы на СТС 14 000 000 рублей, каждая серия приносила 112 000 000 рублей). Говорить о победе Интернета над телевидением можно будет лишь тогда, когда стоимость рекламы в Интернете сравняется со стоимостью на телевидении. Такой момент настанет, когда в Интернете будет достаточное количество качественного профессионального контента, пользующегося спросом. В любом случае, СТС необходимо продолжать развивать монетизацию и в телеэфире и в Интернете, в том числе и благодаря приложениям для «Iphone», «SmartTV» и «Вконтакте». Тем самым, когда настанет точка невозврата, и телеканалы для стабилизации финансового положения будут судорожно искать пути взаимодействия с Интернет-аудиторией, у СТС уже будут и лояльная аудитория, и конкурентоспособный контент, и раскрученные площадки для его размещения, и устойчивые связи с рекламодателями.
По мнению гендиректора СТС Вячеслава Муругова, подавляющую часть стратегических решений, от которых будет зависеть дальнейшая деятельность канала, следует принимать на основании опыта и интуиции, поскольку на фоне растущей сегментации телерынка и усиления позиций Интернет-ресурсов математически спрогнозировать будущее канала и холдинга в целом. Например, в 2006 году на волне успеха «Не родись красивой» рекламные возможности канала были проданы на год вперед, но, как было сказано ранее, доля канала упала, и ожидания рекламодателей не были оправданы. Тем не менее можно спрогнозировать методом экстраполяции чистую прибыль холдинга «СТС-Медиа», 80 % которой стабильно составляет прибыль от деятельности канала СТС, а именно его прайм-таймовой продукции.
Для того, чтобы спрогнозировать методом экстраполяции, сколько составит чистая прибыль холдинга «СТС-Медиа» в ближайшие несколько лет на основании данных за последние пять лет, ежегодно публикуемых холдингом, нам следует выполнить следующие действия[12]:
1. Во-первых, сопоставить исходные данные: в 2009 году 100389, в 2010 145731, в 2011 53118, в 2012 году 93063, в 2013 году 111134 тысячи долларов. Необходимо каждому году присвоить порядковый номер: 2009 - 1, 2010 2, 2011 3, 2012 4, 2013 5.
2. Расчет параметров уравнения прямой.
Кривая объема продаж по годам близка к линейной зависимости, которая выражается уравнением прямой по формуле:
у=а+bх, (1)
где у- количество чистой прибыли холдинга «СТС-Медиа» (тыс. долл.);
х - порядковый номер года;
а - параметр, характеризующий влияние основных факторов на чистую прибыль холдинга «СТС-Медиа» (рейтинги каналов, бюджет проектов каналов и их рентабельность и др.);
b - параметр, характеризующий влияние вспомогательных факторов на чистую прибыль холдинга «СТС-Медиа» (моды, сезонности и др.).
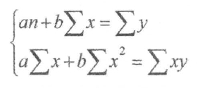
Для нахождения параметров уравнения прямой необходимо составить и решить систему уравнений по формуле :
(2)
Для решения системы уравнений необходимо провести дополнительные расчеты(таблица 3.1).
Таблица 3.1
Таблица для расчета параметров уравнения прямой
|
Порядковый номер года, х |
Чистая прибыль холдинга «СТС-Медиа», у (тыс. долл.) |
ху |
х2 |
|
1 |
2 |
3 |
4 |
|
1 |
100389 |
100389 |
1 |
|
2 |
145731 |
291462 |
4 |
|
3 |
53118 |
159354 |
9 |
|
4 |
93063 |
372252 |
16 |
|
5 |
111134 |
555670 |
25 |
|
Итого: 15 |
503435 |
1479127 |
55 |
5a + 15b = 503435, 15a + 55b = 1479127
a = 110040,4; b = -3117,8
у = 110040,4 - 3117,8х
у(2014) = 110040,4 - 3117,8*6 = 91333,6
у(2015) = 88215,8
Как показывают расчеты по методу экстраполяции, чистая прибыль холдинга сократится до 88215,8 тысяч долларов в 2015 году. Эти данные не отражают изменений в программной политике каналов (например, появление суперхитов в эфире других каналов и их влияние на рейтинги СТС), рост Интернет-площадок (на наш взгляд, доля прибыли портала «Videomore» в общем объеме полученных средств холдингом будет увеличиваться), а также политическую ситуацию в мире (например, из-за событий в Крыму и присутствия владельца банка «Россия» Юрия Ковальчука среди акционеров СТС акции компании в 2014 году подешевели на 36 %, по сравнению с 2013 годом).
Таким образом, несмотря на то, что телевидение теряет свои позиции, у СТС есть все шансы остаться прибыльной компанией за счет постоянной работы по усилению позиций канала в Интернете.
3.2. Пути совершенствования деятельности ЗАО «Сеть телевизионных станций»
На основе разработанного нами прогноза развития телеканала СТС можно приступить к разработке путей совершенствования деятельности канала, чтобы усилить позиции канала в Интернете и завоевать лидерские позиции в аудитории «мужчины и женщины 10-45 лет».
В первую очередь, следует расширить прайм-таймовую линейку канала. В настоящее время, прайм-тайм канала выглядит следующим образом: с 20-00 до 21-00 выходят получасовые комедийные сериалы (свежая серия в 20-30, повтор предыдущей в 20-00), в 21-00 выходят сериалы жанра «драмеди» (с повтором предыдущей серии в 19-00), в 22-00 начинается кино, по окончании которого показывают нарезки скетчей программы «6 кадров». В тех случаях, когда сериал проваливается (как, например, стартовавший в начале марта сериал «Неформат»), он убирается из эфира, а дыру в эфирной сетке закрывают повторами «6 кадров» и «Ворониных». То есть, зрителю показывают 1,5 часа премьерного сериального контента в прайм-тайм. Но, как показывают исследования зрительской аудитории, зритель способен проводить перед экраном телевизора больше времени 2,5 часа, с учетом того, что ему будет представлено не более 3 разных телепроектов. Учитывая тот факт, что кино перестало быть уникальным предложением для аудитории канала и уже не приносит таких же высоких рейтинговых показателей, как пять лет назад, его можно было бы заменить в сетке на приключенческие, фантастические и мистические сериалы, которые смогут благодаря качеству съемки, оригинальности идеи и разножанровости конкурировать с «ТНТ-комедиями». Показанный в ноябре 2013 года фантастический сериал «Выжить после» (в тайм-слоте «понедельник-четверг, 22:00-00:00») в среднем собирал на 5 % аудитории больше, чем обычно собирает голливудское кино. На наш взгляд, замена кино на оригинальные сериалы будет эффективной, особенно с учетом ужесточения политики студий-мейджоров в отношении продажи прав на пакетный показ фильмов.
Во-вторых, дополнительный доход каналу может принести производство фильмов для кинопроката, продолжающих сюжет наиболее рейтинговых сериалов канала. Известно, что адаптировать хиты СТС в формат полного метра руководители канала собирались с середины 2000-х годов, однако, обещанные киноверсии «Моей прекрасной няни», «Кадетства» и «Папиных дочек» так и не вышли по причине того, что к моменту подготовки проекта к съемкам выше указанные форматы изжили себя в телевизионном эфире. На наш взгляд, помимо планируемого к выходу в мае 2014 года фильма «Кухня в Париже» (продолжение сериала «Кухня») такие проекты как «Молодежка» и «Закрытая школа» тоже могли бы удачно подойти для показа в кино. При съемке фильмов за 1,5-2 миллиона долларов и при максимальном использовании ресурсов «СТС-Медиа» для продвижения фильма вполне можно было бы получить итоговые кассовые сборы в размере 8-10 миллионов долларов и впоследствии продолжить монетизацию данных фильмов как в Интернете, продавая возможность просмотра онлайн, так и в телевизионном эфире, за счет неоднократного повтора.
В-третьих, следует поддерживать тех кинопроизводителей, аудитории проектов которых психографически совпадают с аудиторией СТС, как например, комедии студии «Enjoy Movies» («Легок на помине», «Мамы»), мультфильмы студии «СТВ» («Иван Царевич и Серый Волк», «Алеша Попович и Тугарин Змей»), фантастические фильмы компании «Базелевс» («Черная молния», «Дневной дозор»). Причем можно присоединяться к проекту как на стадии продвижения фильма, в обмен на рекламное время в эфире канала получая долю от прокатных сборов фильма, права на первый показ фильма в телевизионном эфире, так и участвуя в непосредственном создании фильма и обеспечивая ему всестороннюю финансовую и информационную поддержку в обмен на переход прав на фильм в библиотеку канала.
В-четвертых, следует решить проблему наполнения дневного эфира канала. Как мы ранее писали, тематические каналы переманивают аудиторию за счет выпуска премьер в дневное время, а лояльный зритель СТС рано или поздно перестанет по 6 часов подряд смотреть повторы сериала «Воронины». В 1990-е и 2000-е годы дневной эфир заполнялся показом американских мультфильмов и молодежных сериалов. Эти две ниши уже заняли канал «2х2» и Интернет-порталы. Предпринятая же в сентябре 2012 года попытка заполнить дневной эфир повторами миниатюр КВН («КВН на бис»), любительскими видео с юмористическими комментариями («Животный смех») и сериалами других каналов («Карамель», ТВ-3) успехом не увенчалась. При учете того, что минута рекламы на канале в дневное время стоит примерно два миллиона рублей, то доход от часового эфира трансляции днем принесет 500 000 долларов. В связи с этим мы бы рекомендовали каналу начать производство дневных комедийных сериалов с бюджетом 100 000 долларов за получасовой эпизод. В свое время за такие деньги снимались вечерние ситкомы с закадровым смехом («Папины дочки», «Моя прекрасная няня»), но усиление конкуренции с со стороны ТНТ, начавшего снимать сериалы в кинокачестве (однокамерная съемка, камера «Red», натурные площадки, цветокоррекция изображения, приглашение актеров первой величины) заставило СТС производить контент, который бы соответствовал той планке, которую подняли ТНТ. Зато для дневного эфира недорогие и более простые и быстрые в производстве ситкомы могли бы оказаться весьма кстати.
В-пятых, возможности канала расширило бы вертикальное программирование сериалов: показ эпизода сериала строго раз в неделю в конкретный день недели, как в США и Великобритании, позволит производить более качественный прайм-таймовый продукт благодаря уменьшению количества эпизодов (до 20 в год) и возможности снимать новую серию еженедельно, реагируя на реакцию публики. Позитивный опыт ТНТ с вертикальным показом сериалов «Интерны» и «Моими глазами» в 2013 году можно применить и на СТС, например, поставив сериалы в сетке в субботнем эфире после стабильно рейтинговых «Уральских пельменей» вместо киносеанса в 21-00. Экспериментировать с вертикальным программированием в будни не стоит, поскольку опыт «Первого канала» с показом сериала «Побег» удачных результатов не принес.
В-шестых, следует перевести канал в HD-формат вещания с разрешением кадра 16:9 и при этом выкладывать свежие и архивные эпизоды сериалов в Интернет в HD-качестве. Рост популярности домашних кинотеатров и плазменных панелей среди платежеспособной аудитории должен учитываться каналом СТС.
В-седьмых, мы рекомендуем СТС создать оригинальный платный контент в Интернете. На волне успеха американского портала «Netflix», первым начавшим выпускать премьерные сериалы в платном режиме («Лиллехаммер», «Карточный домик») можно попробовать повторить данный трюк в рамках портала «Videomore», предложив зрителям первый эпизод посмотреть бесплатно, а следующие за деньги. В таком случае, качество съемки сериала и его драматургии должно быть максимальным, чтобы заставить аудиторию, привыкшую скачивать сериалы бесплатно с торрент-трекеров, платить за достойный контент. В случае провала эксперимента затраты на сериал можно будет возместить, показав сериал традиционным способом в телевизионном эфире. Для того, чтобы окупить сериал стоимостью 400 000 $ за серию, продавая возможность просмотра серии за 50 рублей, выйти в ноль удастся, собрав 280 000 просмотров. С учетом того, что отдельные хиты СТС, как «Молодежка» собирают в Интернете до 35 000 000 просмотров, то вполне вероятно, из числа этих людей 0,8 % из них готовы платить за качественный контент.
В-восьмых, завоевать лидерство в Интернете невозможно, если не замечать успехи ведущих Интернет-блоггеров и не привлекать их в качестве сценаристов, креативных продюсеров и ведущих в качестве новых Интернет-проектов «СТС-Медиа». На наш взгляд, блоги в Интернете в скором времени могут усиливать влияние на телеэкран и сместить КВН с лидерской позиции по созданию новых креативных кадров для ТВ.
В-девятых, мы считаем, что те средства, которые канал активно направляет на наружную рекламу (так, например, реклама в вагоне московского метро в течение месяца может стоит от 20 до 40 тысяч рублей), можно направить на рекламу в социальных сетях: «Twitter», «Facebook» и, особенно, «ВКонтакте», так как создавая группы новых проектов, можно ускорить действие сарафанного радио и повысить популярность проекта мгновенно за счет размещения в группе свежих эпизодов сериала.
В-десятых, с учетом роста конкуренции, постоянной нехватки профессиональных креативных и административных кадров и профессиональной непригодности выпускников специализированных творческих вузов, было бы разумно открыть при каком-либо из киновузов платное специальное отделение «Школа СТС», в которой студентов будут обучать ведущие специалисты СТС сценаристы, режиссеры, продюсеры основам создания развлекательных форматов (ситкомы, драмеди, скетчкомы) и давать им возможность сразу же применять полученные навыки, работая на проектах канала. Тем самым, будет не только решена проблема с поиском новых талантливых специалистов, способных удовлетворять растущие потребности зрителей СТС, но и проблема безработицы выпускников ВГИКа и СПбГУКиТ.
Подведем итоги. Нами был предложен прогноз развития деятельности СТС, согласно которому роль Интернета усилится и телеканалу придется расширять способы взаимодействия с аудиторией «Всемирной паутины», а также были разработаны десять идей для совершенствования деятельности СТС, которые помогут каналу прогрессировать и динамично развиваться, оставаясь интересным и ярким брендом для аудитории канала как на ТВ, так и в Интернете и на экранах кинотеатров.
Заключение
С распадом СССР, во времена которого существовало три канала без особых различий, которые продвигали идеи одной единственной функционировавшей политической партии, российский федеральный эфир далеко не сразу разделился на непохожие друг на друга и нацеленные на разные аудитории каналы. С развитием телерынка и увеличением каналов появилась необходимость еще более точно сформулировать особенности каналов, чтобы выделяться среди конкурентов.
Перед тем, как приступить к анализу деятельности телеканала СТС, нами были подробно рассмотрены теоретические основы понятия «конъюнктура рынка», которая представляет собой конкретную экономическую ситуацию, сложившуюся на рынке на данный момент или ограниченный отрезок времени.
Кроме того, мы рассмотрели отличия ключевых элементов телевизионного программирования программ и сериалов, выяснили, что сериалы являются более выгодным и востребованным телепродуктом, а также рассмотрели их развитие и изменения под воздействием растущих запросов телезрителя.
Нами была рассмотрена деятельность канала СТС (ЗАО «Сеть телевизионных станций»), его трансформации от ретранслятора зарубежных сериалов без четкой целевой аудитории до нацеленного на разделяющих семейные ценности зрителей 10-45 лет (ядро аудитории «м/ж 25-35 лет») развлекательного канала с программами и сериалами собственного производства. Мы разработали ряд действий, которые помогут каналу поддерживать конкурентоспособность и быть актуальным для зрителей, которые ушли из телевизора в Интернет:
Расширить прайм-таймовую линейку канала, заменив киносеанс в 22-00 на высокобюджетные сериалы востребованных аудиторией жанров.
Производить фильмы для кинопроката, преимущественно по мотивам наиболее рейтинговых проектов канала.
Поддерживать лидирующие кинокомпании-производители развлекательного кино как финансово, так и обеспечивая эфирное время для рекламы их новинок в обмен на долю от проката, права на телевизионный показ и монетизацию в Интернете.
Начать производство дневных ситкомов и драмеди стоимостью не более 100 000 $ за эпизод с целью выдерживать конкуренцию с тематическими каналами.
Внедрить вертикальное программирование сериалов в эфир выходного дня.
Перевести канал в HD-формат и широкоэкранный режим изображения.
Начать производство сериалов для Интернета, стоимостью 400 000 $ за эпизод, и продавать их на портале «Videomore» по цене 50 рублей за просмотр серии. Если желающих смотреть сериал будет более 280 000, проект можно счтитать успешным.
Привлекать Интернет-блоггеров к креативному участию в работе канала.
Сделать уклон на рекламу в социальных сетях.
Открыть «Школу СТС» для обучения и практики новых специалистов канала.
Выполнение данных задач приведет к усилению возможностей канала, повысит его конкурентоспособность в телевизионном эфире, поможет усилить влияние на платежеспособную аудиторию и закрепить позиции в Интернете, тем самым усилив бренд канала в глазах рекламодателей.
Список использованных источников
- Алексунин В.А. Маркетинг. М.: Экономика, 2008 215 с.
- Евменов А.Д., Данилов П.В., Какосьян Э.К. Организация производства на предприятиях социально-культурной сферы (в кинематографии и на телевидении): Учебное пособие. СПб.: Изд. СПбГУКиТ, 2009. 97 с.
- Завьялов П.С. Маркетинг в схемах, рисунках, таблицах: учебное пособие. М.: ИНФРА-М, 2006. 496 с.
- Исследование процессов сегментации потребителей услуг в сфере шоу-бизнеса // Проблемы управления развитием социально-экономических систем. Сборник научных трудов. СПб.: СПбГУКИТ, 2007. 99 с.
- Огурчиков П.А. Мастерство продюсера кино и телевидения. М.: Юнити, 2007. 864 с.
- Океанова З.К. Маркетинг. М.: Проспект, 2007. 243 с.
- Падейский В.В. Проектирование телепрограмм: Учеб. пособие для студентов вузов. М.: ЮНИТИ-ДАНА, 2004. 488 с.
- Писарева О.М. Базовые методы прогнозирования: Учебное пособие. - М.: Эксмо, 2005. - 416 с.
- Разработка комплекса маркетинга в сфере бизнеса // Проблемы управления развитием социально-экономических систем. Сборник научных трудов. СПб.: СПбГУКИТ, 2006. 116 с.
- Роднянский А.Е. Выходит продюсер. М.: Манн, Иванов и Фербер, 2013. 288 с.
- Романов А.Н. Маркетинг. - М.: ЮНИТИ, 2005. - 183 с.
- Феоктистов А.Г. Теоретические аспекты прогнозирования экономической деятельности. - СПб: Проспект, 2005. - 305 с.
- Хасси Д. Менеджмент. Стратегия и планирование: руководство менеджера. М.: Вильямс, 2005. 407 с.
- В начале было «мыло» [Электронный ресурс] // Русский пионер: [сайт]. URL: http://www.ruspioner.ru/cool/m/single/3471 (16.04.2014)
- Всенародное мыло [Электронный ресурс] // Русские новости: [сайт]. URL: http://www.russianews.ru/newspaper/17001/17054 (16.04.2014)
- Иван Ургант и Александр Цекало: «Слава у ведущего, деньги у продюсера» [Электронный ресурс] // Первый канал: [сайт]. URL: http://www.1tv.ru/public/pi=17122 (16.04.2014)
- Конъюнктура рынка: методика анализа и прогноза [Электронный ресурс] // Advertology: [сайт]. URL: http://www.advertology.ru/article92058.htm (16.04.2014)
- О канале [Электронный ресурс] // СТС: [сайт]. URL: http://ctc.ru/ (16.04.2014)
- Особенности российского производства телесериалов [Электронный ресурс] // memoid: [сайт]. URL: http://www.memoid.ru/node/Osobennosti_rossijskogo_proizvodstva_teleserialov (16.04.2014)
- Сериалы это своего рода проповеди [Электронный ресурс] // TimeOut: [сайт]. URL: http://www.timeout.ru/msk/feature/32187 (16.04.2014)
- Страсти по сериалам [Электронный ресурс] // Ъ Секрет фирмы: [сайт]. URL: http://kommersant.ru/doc/858267 (16.04.2014)
- Телеканалы: кто лучше всех продает самого себя? [Электронный ресурс] // Блог о телевизионном бизнесе: [сайт]. URL: http://blogotv.ru/?p=1619 (16.04.2014)
- Телеканалы отказываются от зарубежных сериалов [Электронный ресурс] // TV ITOP [сайт]. URL: http://tv.itop.net/node/5794 (16.04.2014)
Методы анализа и прогноза конъюнктуры рынка телепродукции на примере деятельности ЗАО «Сеть телевизионных станций»