Разработка программного обеспечения для расчета термодинамических свойств газов
PAGE \* MERGEFORMAT2
Министерство образования и науки Российской Федерации
Российский Химико-Технологический Университет им. Д.И. Менделеева
Факультет информационных технологий и управления
Кафедра информационных и компьютерных технологий
РАСЧЕТНО-ПОЯСНИТЕЛЬНАЯ ЗАПИСКА
К ДИПЛОМНОЙ РАБОТЕ
На тему:
«Разработка программного обеспечения для расчета термодинамических свойств газов»
Москва
2015 год
Содержание
ВВЕДЕНИЕ..............................................................................................................4
1. ЛИТЕРАТУРНЫЙ ОБЗОР.................................................................................5
1.1. Уравнение состояния идеального газа и уравнения реальных газов.....5
1.2. Уравнение Бенедикта-Вебба-Рубина........................................................7
1.2.1. Температурные модификации...........................................................8
1.2.2. Обобщенные модификации..............................................................11
1.3. Уравнение Редлиха-Квонга......................................................................14
1.4. Уравнение Барнера-Адлера......................................................................16
1.5. Уравнение Суги-Лю..................................................................................19
1.6. Уравнение Ли-Эрбара-Эдмистера............................................................22
1.7. Фактор ацентричности..............................................................................24
1.8. Безразмерные температуры и давления, критические давления и температуры и методы их расчетов...............................................................26
1.9. Вязкость.....................................................................................................28
2. ТЕОРЕТИЧЕСКАЯ ЧАСТЬ..............................................................................31
2.1. Расчет фактора сжимаемости...................................................................31
2.2. Расчет вязкостей компонентов при низких давлениях..........................32
2.2.1. Метод Голубева.................................................................................32
2.2.2. Метод Тодоса.....................................................................................33
2.2.3. Метод Райхенберга............................................................................34
2.2.4. Метод Чэпмена..................................................................................35
2.3. Описание программы................................................................................36
3. РАСЧЕТНО-ПРАКТИЧЕСКАЯ ЧАСТЬ.........................................................42
СПИСОК ОБОЗНАЧЕНИЙ..................................................................................55
СПИСОК ИСПОЛЬЗОВАННОЙ ЛИТЕРАТУРЫ.............................................56
ВВЕДЕНИЕ
В настоящее время существует довольно разнообразный набор программного обеспечения для расчёта физико-химических свойств газов. Однако, большинство из программных продуктов, либо являются узкоспециализированными приложениями, рассчитанными на определённые вещества или смеси (чаще всего это различные комбинации углеводородов), либо являются коммерческими разработками, стоимость которых весьма значительна. Кроме того, такие коммерческие продукты имеют тот недостаток, что их достаточно сложно встроить в состав разрабатываемого программного обеспечения для моделирования химико-технологических процессов, поскольку они имеют довольно большой объём и требования к оборудованию.
Цель работы:
Создание программного комплекса по расчету ряда термодинамических свойств газов при повышенных давлениях.
Задачи:
1) Расчет сжимаемости газов.
2) Расчет вязкости газов.
3) Сравнение точности используемых методов с литературными данными.
В связи с этим, нами на языке С++ был создан достаточно простой в работе программный комплекс для расчёта сжимаемости и вязкости газов.
- ЛИТЕРАТУРНЫЙ ОБЗОР
- Уравнение состояния идеального газа и уравнения реальных газов
Механическое состояние вещества в отличие от термического или термодинамического можно описать при наличии известных величин давления, температуры и объема. Поскольку эти параметры связаны между собой посредством, так называемого уравнения состояния f(P, V, Т) = 0, только два из них независимы. Основные уравнения термодинамики также представляют собой соотношения определенных трех параметров, на основе которых можно найти все прочие термодинамические свойства, включая соотношение Р-V-Т. И напротив, данные о соотношении Р-V-Т в сочетании с известной теплоемкостью идеального газа как функцией температуры также составляют одно из основных уравнений термодинамики. Само же уравнение состояния соответствующего вида может применяться для оценки многих важных свойств чистых веществ и их смесей, например, для оценки:
1) плотности жидкой и паровой фаз,
2) давления пара,
3) критических свойств смесей,
4) равновесных отношений между паром и жидкостью,
5) отклонения энтальпии от идеального состояния,
6) отклонения энтропии от идеального состояния.
В настоящее время не существует такого уравнения состояния, которое было бы в равной степени применимо для оценки всех этих свойств какой-либо обширной группы веществ. В то же время работа в этом направлении дала множество положительных результатов, имеющих ограниченную сферу применимости, о чем будет рассказано позднее. В данной же главе будет представлено описание ряда уравнений состояния. Некоторые из этих уравнений представляют только исторический интерес, однако большинство из них имеет как теоретическую, так и практическую ценность.
В 1834 г. французский физик Б. Клапейрон, работавший длительное время в Петербурге, вывел уравнение состояния идеального газа для постоянной массы газа. В 1874 г. Д. И. Менделеев вывел уравнение для произвольного числа молекул.
PV = nRT, (1.1)
Где n число молей газа,
P давление газа,
V объем газа,
T температура газа, K,
R газовая постоянная.
Для определения свойств газовых смесей используют уравнения состояния, которые устанавливают связь между температурой, объемом и давлением системы. Термодинамические свойства природных и нефтяных газов и их компонентов значительно отличаются от свойств идеальных газов, особенно при низких температурах и высоких давлениях поэтому уравнение состояния идеальных газов не может быть использовано для определения этих свойств. Для описания поведения реальных газов разработан ряд уравнений состояния. Наибольшее применение для углеводородных систем получили уравнения Бенедикта-Вебба-Рубина и Редлиха-Квонга и их модификации.
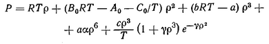
- Уравнение Бенедикта-Вебба-Рубина
Уравнение Бенедикта-Вебба-Рубина имеет вид [1]:
(1.2)
где
P давление газа, Па,
T абсолютная температура, K,
R газовая постоянная, 0,0821 л·атм/моль·K,
мольная плотность, моль/м.
B0, A0, C0, b, a, c, , коэффициенты уравнения, не зависящие от давления, температуры и плотности и постоянные для определенного вещества. Числовые значения коэффициентов являются справочными величинами.
Это уравнение часто используется при расчете таких физико-химических свойств углеводородных смесей, как плотность, вязкость, теплоемкость и др.
Уравнение состояния Бенедикта-Вебба-Рубина является наиболее точным из известных способов определения термодинамических свойств легких углеводородов. Это уравнение слишком сложно, чтобы применять его для непосредственных расчетов равновесия пар - жидкость; для каждой данной серии условий необходимо решать методом последовательных приближений систему нелинейных уравнений. На этих графиках для ряда постоянных давлений приводятся два коэффициента в виде функции температуры и среднемольной температуры кипения паровой и жидкой фаз.
В первоначальном виде уравнение Бенедикта-Вебба-Рубина было выведено для расчета термодинамических свойств и фазового равновесия 12 углеводородов от метана до н-гептана. В последующем область применения уравнения была расширена до 33 углеводородов и 9 неуглеводородных веществ [2].
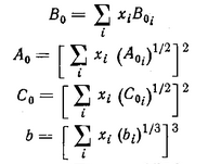
Уравнение состояния Бенедикта-Вебба-Рубина применимо и для расчета термодинамических свойств легких углеводородов. В этом случае коэффициенты уравнения БВР для смеси находят по известным коэффициентам чистых компонентов, используя правила смешения [2]:

(1.3)
Популярность этого уравнения привела к появлению его различных модификаций.
1.2.1. Температурные модификации
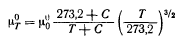
В ходе обработки экспериментальных данных, некоторые авторы [3, 4] отметили, что при температурах ниже нормальной точки кипения коэффициент С уравнения Бенедикта-Вебба-Рубина лучше заменить на функцию температуры, для того чтобы уравнение более точно описывало давление паров.
Модификация Кауфмана
Кауфман предложил аппроксимацию вида:
(1.4)
где Ai константы, зависящие от свойств вещества.
Также Кауфман опубликовал константы уравнения состояния Бенедикта - Вебба-Рубина для - 1-бутена, цис-2-бутена, 1-пентена, метилацетилена и 1,3-бутадиена.
Модификация Орая
Наиболее тщательный количественный анализ проблемы зависимости С(Т) был выполнен Ораем [5]. Он предложил следующую температурную зависимость для С:
C1 / 2(T) = C1 / 2(T0) C1 / 2(T), (1.5)
где C(T0) значение константы С, а величина C1 / 2(T) является полиномом 5-ой степени.
C1 / 2(T) = Q12 + Q23 + Q34 + Q45, (1.6)
где = (T0 T) / T0 безразмерный комплекс температуры, Т0 реперная температура.
Константу А0 из уравнения Бенедикта-Вебба-Рубина Орай выражает как:
(1.7)
По простому правилу, впервые предложенному Бенедиктом
(1.8)
Уравнение (1.2.6) будет идентично (1.2.7), если Mij = 2 для всех ij пар (i j). Орай ослабил это ограничение, сделав Mij настраиваемым параметром, зависящим от температуры, но не зависящим от плотности и состава.
Модификация Старлинга
Старлинг предложил [6, 7] модифицировать уравнение Бенедикта-Вебба-Рубина таким образом, чтобы от температуры зависел не только коэффициент C, но и коэффициент a, получив тем самым уравнение состояния Бенедикта-Вебба-Рубина-Старлинга с одиннадцатью параметрами

(1.9)
Уравнения Бенедикта-Вебба-Рубина и Бенедикта-Рубина-Старлинга нашли широкое применение в практической деятельности. Они более эффективны, чем кубические, например, для любых термодинамических расчетов, особенно для криогенных систем [8]. Соперничать с ними по степени точности расчетов могут разве что уравнения Ли-Кеслера и подобные им. В то же время усложненность формы затрудняет их использование при расчетах дистилляционных процессов в тех случаях, когда необходимо выполнить многократную оценку величин фугитивности, объема и энтальпии, поэтому в перечисленных случаях часто применяют кубические уравнения. Однако ряд ученых не придает большого значения этому ограничению.
1.2.2. Обобщенные модификации
Успешное использование оригинала уравнения Бенедикта-Вебба-Рубина при расчетах волюметрических и термодинамических свойств чистых газов и жидкостей обусловило появление ряда работ, в которых это уравнение или его модификация приводится к обобщенной форме, применимой ко многим типам соединений [9, 10].
Модификация Ли-Кесслера
Ли и Кеслер разработали [11] модифицированное уравнение состояния Бенедикта-Вебба-Рубина, используя трёхпараметрическую корреляцию Питцера [12]. По их методу коэффициент сжимаемости реального вещества связывается со свойствами простого вещества, для которого = 0, и н-октана, выбранного в качестве эталона. Для того чтобы рассчитать коэффициент сжимаемости вещества при некоторых значениях температуры и давления, используя критические свойства этого вещества, сначала следует определить приведённые параметры Tr и Pr. Затем рассчитывается идеальный приведённый объём простого вещества по уравнению (1.2.9) (??):
(1.10)
где Vr(0) = PkV(0) / RTk идеальный приведенный объем простого вещества;
V(0) мольный объем простого вещества, м3/моль;
Pr = P / Pk - приведённое давление;
Pk критическое давление, Па;
R= 82,057… м3*атм/(моль*К).универсальная газовая постоянная



коэффициенты [13].

После определения V(0), рассчитывается коэффициент сжимаемости простого вещества:
(1.11)
Далее, используя те же приведенные параметры, определенные ранее, снова решается первое уравнение, относительно Vr(0), но уже с константами для эталонного вещества. После этого находят коэффициент сжимаемости эталонного вещества:
(1.12)
где Z(R) коэффициент сжимаемости эталонного вещества;
Vr(R) приведенный объем эталонного вещества.
Коэффициент сжимаемости Z интересующего нас вещества определяется из уравнения:
(1.13)
где фактор ацентричности Питцера исследуемого вещества,
(R) = 0,3978 фактор ацентричности Питцера эталонного вещества (октана).
Уравнение применяется, в основном, для углеводородов в интервалах значений 0,3 Tr 4,0 и 0 Pr 10 для паровой и жидкой фазы, где средняя погрешность составляет менее 2%. [13]
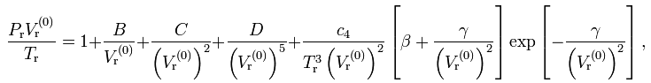
Модификация Нишиуми
По утверждению Хопке [14], как уравнение Бенедикта-Вебба-Рубина, так и уравнение Бенедикта-Вебба-Рубина-Старлинга не дают возможность получить достаточно точные параметры для большинства полярных жидкостей и воды, в частности.
Чтобы устранить этот недостаток Нишиуми разработал [15, 16] обобщающую модификацию уравнения Бенедикта-Вебба-Рубина и привёл данные для 92-х веществ, в том числе воды.
Уравнение Нишиуми для коэффициента сжимаемости Z имеет вид:



(1.14)
где r = / k приведенная плотность, k кинетическая плотность. Все пятнадцать коэффициентов, отмеченные «звездочками», являются функциями коэффициента ацентричности , величины
и
выражают воздействие полярности на свойства паров и жидкостей соответственно.
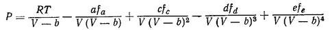
- Уравнение Редлиха-Квонга
Уравнение Редлиха-Квонга [17, 18] имеет вид:
(1.15)
где P давление, Па;
T абсолютная температура, К;
V мольный объём, м/моль;
универсальная газовая постоянная, Дж/(моль·К);
a и b - некоторые константы, зависящие от конкретного вещества.
Уравнение состояния Редлиха-Квонга значительно проще большинства известных уравнений. Точность данного уравнения в целом соответствует точности определения состава и свойств остатка пластовых смесей [19].
Первоначально уравнение состояния Редлиха-Квонга использовали для определения термодинамических и физических свойств газовых смесей. Применение этого уравнения для расчета свойств жидких углеводородных смесей приводит к большим погрешностям [20].
В практике расчета равновесий широкую известность получили уравнения состояния Редлиха-Квонга, Соаве, Пенга-Робинсона, Бенедикта-Вебба-Рубина, позволяющие рассчитывать равновесие жидкость-пар в однокомпонентных, бинарных и многокомпонентных системах в весьма широком интервале внешних условий. Смеси неполярных веществ обычно с удовлетворительной точностью описывают только на основе данных о чистых компонентах. Параметры уравнений для смесей при этом находят с помощью определенных комбинационных правил на основе констант, характеризующих индивидуальные вещества. В более сложных случаях необходима оценка некоторых бинарных параметров по экспериментальным данным для смесей [21].
Летучесть компонента смеси в газовой фазе рассчитывают по уравнению состояния Редлиха-Квонга, а коэффициент активности по выражению из теории регулярных растворов Гильденбранта. В это выражение входят молярный объем компонента в жидком состоянии и параметр растворимости, который вычисляют по энтальпии испарения компонента смеси [22].
Метод Чао и Сидера рекомендуется использовать в расчетах процессов стабилизации и дебутанизации насыщенного конденсата, а также сепарации природных газоконденсатных смесей при давлениях примерно до 10 МПа и температуре не ниже 263 К - чтобы расширить пределы применимости этого метода, предпринимались попытки его модификации, основанные на использовании различных модификаций уравнения состояния Редлиха-Квонга и теории жидких растворов.
Робинсон и Чао коэффициент летучести компонента в газовой фазе вычисляют по уравнению состояния Редлиха-Квонга с использованием обобщенных коэффициентов Чу и Прауснитца. Для определения летучести чистого вещества подобраны эмпирические выражения, отличающиеся от выражений Чао, Сидера и Шелтона. Коэффициент активности рассчитывают с помощью уравнения Гильдебранта и Скотта, учитывающего отклонение поведения жидких растворов от поведения регулярных растворов.
Особенно эффективной оказалось модификация, предложенная Соаве, которая часто дает хорошие результаты при расчетах равновесия пар-жидкость в углеводородных смесях. Это объясняется, по крайней мере частично, использованием для определения констант уравнения данных по давлениям паров чистых компонентов. В результате уравнение Соаве, надежное почти всегда при расчете констант равновесия К, обычно дает неправильные значения плотности жидкости [23].
В заключение следует отметить, что, несмотря на простоту, осуществленная Соаве модификация уравнения Редлиха-Квонга явилась очень эффективной и позволила улучшить моделирование свойств не только паровой (газовой) фазы, но и газированной жидкой фазы. И все же, свойства паровой фазы моделируются модификациями уравнения состояния Редлиха-Квонга значительно более точно, чем свойства жидкой фазы. Для точного описания фазового равновесия необходимо правильно определять свойства обеих сосуществующих фаз.
- Уравнение Барнера-Адлера
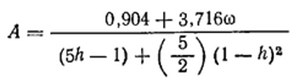
Барнер и Адлер модифицировали уравнение состояния Иоффе [24, 25], чтобы получить P V T соотношение, которое является наиболее точным для области насыщенного или слегка перегретого пара. Диапазон применимости уравнения соответствует значениям Vr > 0,6 и Tr < 1,5. [13]
(1.16)


















Чтобы использовать его для смесей, необходимо связать Рсm, Тсm и m с составом. Для этого рекомендуются следующие уравнения:


(1.17)
Величины Тсm и Рсm определяются прямым расчетом, если известны значения k*ij для всех возможных пар. Эти параметры k*ij характеризуют бинарное взаимодействие компонентов i-j, а не сами компоненты i или j по отдельности.
Для учета взаимодействия пар простых компонентов k*ij может быть приближенно скоррелировано с отношением критических объемов чистых i и j. Величина k*ij предполагается независимой от давления, температуры и состава.
- Уравнение Суги-Лю
В 1971 г. Суги и Лю [26] предложили уравнение состояния, подобное уравнению Барнера-Адлера и применимое в пределах того же диапазона, т. е. для области насыщенного или слегка перегретого пара. Точность этого соотношения превосходит точность метода Барнера-Адлера. Кроме того, оно дает удивительно хорошие результаты при расчетах объемов насыщенной жидкости.
(1.18)
где
давление, Па;
абсолютная температура, К;
молярный объём, м/моль;
универсальная газовая постоянная, Дж/(моль·К);























критическая температура, К;
критическое давление, Па;
фактор ацентричности Питцера;
критический коэффициент сжимаемости;
критический объём, м/моль.
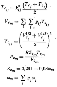
Для этого уравнения состояния предложены следующие правила для определения Тсm, сm и Zсm:
(1.19)



Параметром бинарного взаимодействия в этом случае является kij, значение которого обычно близко к нулю. Связь его с параметром k*ij в уравнении Барнера-Адлера далеко не проста. Значений kij практически не имеется, и эту величину следует либо принимать равной нулю, либо определять по экспериментальным данным. Если kij предполагается равным нулю, то правила для псевдокритических температуры и давления сводятся к соответствующим правилам для уравнения Редлиха-Квонга в оригинальном виде [13].
- Уравнение Ли-Эрбара-Эдмистера
Ли, Эрбар и Эдмистер в 1972-73 годах вывели трехпараметрическое уравнение состояния углеводородных систем [27, 28]. Уравнение разработано таким образом, чтобы определять энтальпии и константы фазового равноавесия углеводородных смесей, а не волюметрических свойств. Данное уравнение является доработанным уравнением состояния, которое было выведено в 1971 году Ли и Эдмистером [29, 30].
Уравнение Ли-Эрбара-Эдмистера имеет вид:
(1.20)
где a = [(0,246105 + 0,02869) (0,037472 + 0,149687)Tr + (0,16406 + 0,023727)Tr1 + (0,04937 + 0,132433)Tr2]R2Tk2/Pk;
b = (0,086313 + 0,002)RTk/Pk;
c = [(0,451169 + 0,00948)Tr1/2 + (0,387082 + 0,078842)Tr2]R2Tk2/Pk;
давление, Па;
абсолютная температура, К;
молярный объём, м/моль;
универсальная газовая постоянная, Дж/(моль·К);
критическая температура, К;
критическое давление, Па;
фактор ацентричности Питцера;
Tr = T/Tk
Метод Ли-Эрбара-Эдмистера рекомендуется для области температур от 158 до 262 °С и давлений, не превышающих 0,8 критического давления смесей. Метод применим для смесей углеводородов (парафиновых, ароматических, нафтеновых) с примесью азота, диоксида углерода и сероводорода. Этот метод не рекомендуется для систем, содержащих 50% или более неуглеводородных газов в жидкой фазе и компоненты, критическая температура которых значительно ниже температуры системы. Среднее отклонение расчетных значений констант фазового равновесия от экспериментальных составляет 6%. [2]
- Фактор ацентричности
Американский физико-химик Питцер установил, что различия между веществами можно установить из анализа температурной зависимости давления насыщенного пара, если ее представить в безразмерной форме, т.е. откладывая по оси абсцисс приведенную температуру, а по оси ординат - приведенное давление.
Оказалось, что для фиксированной приведенной температуры величина приведенного давления связана с геометрической формой молекулы. Для инертных газов, у которых форма молекулы близка к сферической:
- lg Pпр = 1 при Тпр = 0.7
Поэтому для таких веществ параметр, определяемый соотношением
(1.21)
близок к нулю. Для других веществ расчеты по этому уравнению дают величину , отличную от нуля, причем, чем больше форма молекулы отклоняется от сферической, тем больше величина . В связи с эти параметр , характеризующий не сферичность, асимметрию молекулы, получил наименование фактора ацентричности.
Чтобы получить значение , необходимо знать давление паров при Tr = T / Tc = 0,7, а также критическое давление. Сначала эта константа была предложена для описания ацентричности или несферичности молекулы. Для одноатомных газов фактор ацентричности, следовательно, близок к нулю. Для метана он все еще мал. Однако для углеводородов с высокой молекулярной массой значение возрастает и резко увеличивается с полярностью. В настоящее время фактор ацентричности широко используется в качестве параметра, который в известной степени характеризует сложность молекулы как в отношении ее геометрии, так и полярности. Применимость корреляций, включающих фактор ацентричности, должна ограничиваться нормальными газами и жидкостями. Не следует использовать такие корреляции для H2, He, Ne, а также для сильно полярных веществ и соединений с водородными связями. [13]
Методы расчета фактора ацентричности
Метод Эдмистера:
По методу Эдмистера расчет фактора ацентричности [31] производится по формуле:
(1.22)
Метод Ли-Кеслера:
По методу Ли-Кеслера расчет фактора ацентричности производится по формуле:

(1.23)
По критическому коэффициенту сжимаемости:
Между фактором ацентричности и критическим коэффициентом Риделя ac существует следующая зависимость:
(1.24)
По критическому коэффициенту Риделя:
Между фактором ацентричности и критическим коэффициентом Риделя существует следующее соотношение:
(1.25)
|
Обозначения |
||
|
c |
- фактор ацентричности |
|
|
= Tb/Tc |
- нормированная температура кипения |
|
|
Tb |
- нормальная температура кипения |
[К] |
|
Tc |
- критическая температура |
[К] |
|
Pc |
- критическое давление |
[атм] |
|
Zc |
- критический фактор сжимаемости |
- Безразмерные температуры и давления, критические давления и температуры и методы их расчетов
Газы могут быть превращены в жидкость сжатием при условии, что температура не превышает определенного для каждого газа значения.
Температура, при которой и выше которой данный газ не может быть сжижен никаким повышением давления, называется критической Ткр.
Давление, при котором и выше которого повышением температуры нельзя испарить жидкость, называется критическим Ркр.
Объем газа, соответствующий критической температуре, называется критическим Vкр, а состояние газа, отвечающее критической температуре, критическому давлению и критическому объему, критическим состоянием газа. [32, 33]
При изменении величины давления или температуры все газы могут быть превращены в жидкость или из жидкости в пар. Для каждого газа существует определенная температура, выше которой, несмотря на применение любого высокого давления, он не может быть переведен в жидкое состояние. Эта температура называется критической, а давление, необходимое для сжижения газа при этой температуре, критическим.
Иными словами, критическая температура чистых веществ - это та максимальная температура, при которой жидкая и паровая фазы еще могут существовать в равновесии. Давление паров при этой температуре называется критическим давлением, а объем единицы плотности вещества критическим объемом.
Понятие о критической температуре впервые было предложено в 1861 г. Д. И. Менделеевым, который понимал под ней температуру, при которой исчезают силы сцепления между молекулами жидкости, и она, независимо от давления, превращается в газ.
Приведенные выше определения критических параметров справедливы для индивидуальных газов. Технические газы в большинстве случаев представляют собой сложные смеси, критическая температура которых всегда выше критической температуры самого низкокипящего компонента и ниже критической температуры высококипящих компонентов.
Температуру, при превышении которой данный газ не может быть сжижен никаким повышением давления, называют критической температурой газа.
Объем газа, соответствующий критической температуре, называют критическим объемом (F p), а состояние газа, определяемое критическими температурой, давлением и объемом, критическим состоянием газа. Плотность пара над жидкостью при критическом состоянии становится равной плотности жидкости.
Приведенные критические параметры и закон соответственных состояний.
Отношения параметров газа р, Т и V, характеризующих его состояние, к их критическим значениям, называются приведенными.
Под приведенной температурой понимается отношение абсолютной температуры газа к его критической температуре Tc:
Tr = T / Tc. (1.26)
Приведенным давлением называется отношение абсолютного давления газа к его абсолютному критическому давлению Pc:
Pr = P / Pc. (1.27)
Если параметры газа выразить в безразмерных приведенных величинах, можно установить, что для газов существует так называемое общее уравнение состояния, лишенное величин, характеризующих данный газ:
f (Pr, Тr, Vr) = 0 (1.28)
Состояние, отвечающее этому условию, называется законом соответственных состояний, по которому два газа будут иметь один и тот же приведенный объем, если у них равны приведенные давление и температура. Значение закона соответственных состояний заключается в том, что он позволяет с достаточной точностью определять коэффициенты сжимаемости газов и другие параметры по графикам для других газов, построенным в приведенных параметрах.
- Вязкость
Вязкость, или внутреннее трение, - это свойство всех текучих тел (жидкостей или газов) оказывать сопротивление перемещению одной их части относительно другой. Молекулярно-кинетическая теория объясняет вязкость тепловым движением и взаимодействием молекул.
Два соприкасающихся элемента жидкости, двигающиеся в одном и том же направлении, но с разными скоростями, воздействуют друг на друга. Сила взаимодействия ускоряет медленно движущийся слой жидкости и замедляет более быстрый. Ньютон предположил, что величина этой силы, называемой силой внутреннего трения, пропорциональна изменению скорости течения жидкости v в направлении, перпендикулярном ее движению, и зависит от площади S соприкосновения слоев жидкости [34]
(1.29)
Коэффициент пропорциональности называется коэффициентом динамической вязкости.
Величина dv/dy называется градиентом скорости течения жидкости, или быстротой изменения скорости, на единицу длины в направлении, перпендикулярном скорости упорядоченного движения ее слоев.
Теория вязкости газов основывается на кинетической теории газов, которая, в отличие от теории вязкости жидкости, изучена и разработана достаточно подробно. Однако, при повышенных давлениях методы, основанные на теории вязкости, не дают удовлетворительной точности значений коэффициента динамической вязкости. Поэтому в инженерных расчетах эти методы практически не используются. Широкое распространение в математических расчетах получили графические и полуэмпирические методы, предполагающие незначительное влияние давления на значения коэффициентов вязкости. В большинстве случаев при выполнении гидравлических расчетов влиянием давления на величину значения динамической вязкости пренебрегают. Для нахождения вязкости углеводородных газов, а также природных газовых смесей применяют принцип соответственных состояний. Теоретической основой данного принципа является то, что зависимости свойств различных веществ от безразмерных величин, называемых «приведенными параметрами», одинаковы. Отсюда следует, что когда приведенные параметры сравниваемых веществ равны, то и их свойства тоже равны. При определении приведенных параметров соответствующие размерные комплексы данного вещества (такие как, давление, температура и т.д.) относят к их значению в каком-либо характерном соответственном состоянии этого вещества (состоянии сравнения).
Расчет вязкости при умеренных давлениях
Для определения зависимости динамического коэффициента вязкости газа от температуры в области умеренных давлений чаще всего применяется формула Сатерленда:
(1.30)
где T0 - вязкость газа при температуре T K;
00 - вязкость газа при температуре 0 С;
С постоянная Сатерленда, характерная для данного газа.
Уравнение Сатерленда обычно дает точные результаты, как это видно из сравнения расчетных и экспериментальных значений вязкости этилена:
Таблица 1.2.
Значения вязкости этилена по уравнению Сатерленда

- ТЕОРЕТИЧЕСКАЯ ЧАСТЬ
- Расчет фактора сжимаемости
Фактор сжимаемости учитывает отклонения реального газа от уравнения состояния идеального газа (уравнение Менделеева - Клапейрона) и представляет собой функцию температуры и давления, или функцию приведенных температуры и давления, а для смесей - функцию псевдоприведенной температуры и давления. Для идеальных газов, в которых отсутствует взаимодействие между молекулами, справедлив закон Клайперона, который обобщает законы Бойля-Мариотта и Гей-Люссака:
(P · V) / T = (P0 · V0) / T0 = R, (2.1)
где R универсальная газовая постоянная.
Для реальных газов произведение объема на давление (P · V) при постоянной температуре не является постоянной величиной. С ростом давления, это произведение вначале уменьшается до определенного предела, а затем с увеличением давления увеличивается. При практических расчетах для оценки степени указанных отклонений в уравнение Клайперона вводится поправочный коэффициент Z. Уравнение Клайперона Менделеева с учетом коэффициента сжимаемости имеет вид
PV = ZNRT, (2.2)
где Р абсолютное давление,
V объем, занимаемый газом (газоконденсатной смесью) при определенных давлении и температуре,
R универсальная газовая постоянная,
N число молей газа.
Для расчета коэффициента сжимаемости, интересующего нас вещества, используем уравнение (по модификации Ли-Кеслера):
(2.3)
Где Z(0) коэффициент простого вещества и рассчитывается по формуле:
(2.4)
А Z(R) коэффициент эталонного вещества:
(2.5)
- Расчет вязкостей компонентов при низких давлениях
- Метод Голубева
Метод Голубева, основанный на преобразовании Трауца:

Размерность искомой величины мкПас.
В этом выражении kr* определяется по выражению:

где M молекулярная масса; Pkr критическое давление, МПа; Tkr критическая температура, К.
Расчет SO2 (для T = 317.16 К (40 oC))
Рассчитанная величина 138,241 мкП
Литературные данные 135 мкП
Погрешность 2,40%
- Метод Тодоса
Соотношение Тодоса для неполярных газов:

Для полярных газов с водородной связью (Tr < 2,0):

Для полярных газов, не образующих водородную связь (Tr < 2,5):

где

Расчет SO2 (для T = 317.16 К (40 oC))
Рассчитанная величина 135,196 мкП
Литературные данные 135 мкП
Погрешность 0,14%
- Метод Райхенберга
Райхенберг предложил другое соотношение, основанное на использовании принципа соответственных состояний:

Также, для органических соединений Райхенберг рекомендует использовать

Расчет ацетилена (для T = 374.16 К (101 oC))
Рассчитанная величина 126,927 мкП
Литературные данные 126 мкП
Погрешность 0,74%
- Метод Чэпмена
Существующие методики расчета вязкости газа, при давлениях близких к атмосферным, в большинстве случаев, базируются или на теории Чэпмена-Энскога, или на принципе соответственных состояний.
Уравнение Чэпмена-Энскога для вязкости имеет вид:

где M молекулярная масса; T температура, K; параметр потенциала Леннарда-Джонса, ; интеграл столкновений.
Чтобы использовать его для расчета вязкостей, необходимо найти параметр потенциала Леннарда-Джонса и интеграл столкновений.
Параметр потенциала Леннарда- Джонса определяется из уравнения (для неполярных газов):

где фактор ацентричности; Pkr критическое давление, МПа; Tkr критическая температура, K;
Интеграл столкновений для неполярных газов определяется по выражению Нойфельда:

Для нахождения сначала вычисляют величину:

где соотношение / k определяется по выражению Ти, Готоха и Стьюарта:

где фактор ацентричности; параметр потенциала Леннарда-Джонса, эрг; k = 1,380510-16, эрг/K постоянная Больцмана.
- Описание программы
Комплекс создан по модульному принципу и позволяет в будущем расширить его функционал за счёт присоединения дополнительных модулей для расчёта других свойств (теплоёмкость, теплопроводность и пр.), а также модифицировать его для расчёта свойств газовых смесей.
Следует отметить, что модули могут работать, как индивидуально, так и группами, в зависимости от поставленной задачи. Например, для расчёта вязкости компонентов при атмосферном давлении не требуется расчёт факторов сжимаемости, и данный модуль подключается в случае необходимости.
Для расчёта факторов сжимаемости в данном программном комплексе используется уравнение состояния Бенедикта-Вебба-Рубина в модификации Ли-Кесслера. Данное уравнение состояния демонстрирует хорошие результаты, как для неполярных, так и для полярных веществ. Также его можно применять для смесей газов. Выбор именно данного уравнения состояния обусловлен, в частности, и спецификой дальнейшего применения рассчитываемого с его помощью фактора сжимаемости и его составляющих Z(0) и Z(1) для расчёта прочих термодинамических параметров реальных газов. Также учитывались возможности по дальнейшему развитию данного метода. 
Рис. 2.1. Принципиальная схема организации программного комплекса
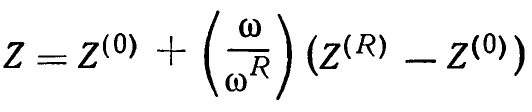
Фактор сжимаемости Z интересующего нас i-го компонента рассчитывается по уравнению (2.3.1):
Zi = Z(0) + (/R)(Z(R) Z(0)) = Z(0) + Z(1) , (2.3.1)
где фактор ацентричности эталонного вещества (н-октана) R = 0,3978.
Фактор ацентричности простого вещества равен нулю. Помимо исходными данными для расчёта являются температура, давление и критические параметры (Pc, Tc, Vc). Необходимые параметры уравнения состояния для простого и эталонного веществ брались из [13, табл. 3.9].
В ходе выполнения расчётов требовалось найти решения нелинейного уравнения, имеющего пять корней. Из всех корней выбирается либо минимальный, либо максимальный корень в зависимости от агрегатного состояния вещества. Для паровой фазы применяется наибольший корень.
Для расчёта динамической вязкости при повышенных давлениях использовались метод Райхенберга (МР) и метод ДжоссиСтилаТодоса (ДСТ). Первый из них требует наличие критических параметров Tc, Pc и дипольного момента p для каждого вещества. Второй же в свою очередь Vc и Z. Что позволяет применять данный модуль отдельно, либо в связке с модулем расчёта сжимаемости. Кроме того, оба метода требуют знания величины вязкости при нормальном давлении ( 0), которая рассчитывалась по одному из четырёх методов: Голубева, Тодоса, Райхенберга, Чепмена. Выбор конкретного метода расчёта производится пользователем с учётом особенностей нужного компонента.
Точность расчёта факторов сжимаемости проверялась на основании данных по плотности или удельному объёму газов. Эти величины легко получить из обобщённого уравнения МенделееваКлапейрона для 1 моль газа (PVm=ZRT).
Программа состоит из двух расчетных модулей и интерфейса взаимодействия с пользователем.
Первый модуль модуль расчета фактора сжимаемости. Главная расчетная функция называется Z_Calc.
Входные данные:
Nt,Np-Точек по температуре и давлению
Tr0,Pr0-Массивы температур, давлений (безразм.)
Выходные данные:
Z0,Z1-Коэффициенты фактора сжимаемости Z=Z0+Omega*Z1
Fx(2)-Отклонение от 0 при решении нелинейного уравнения (критерий правильности решения)
Err-Ошибка в расчетах
Второй модуль модуль расчета вязкости компонентов. В нем содержатся 2 основных функции расчета:
1. Subst_Viscosity0
Ее задача - вычисление вязкостей компонентов при низких давлениях
Входные данные:
Nm-Номер метода 1-4
Варианты:
1-Метод Голубева ур 9.4.14-16
2-Метод Тодоса ур. 9.4.17-20
3-Метод Райхенберга ур 9.4.21-22
4-Метод Чепмена
M- молярная масса г/моль
Tc-критическая температура, К
Pc-критическое давление, атм
Zc-Критический фактор сжимаемости (Тодос)
Т - Температура, К
FlH-Образует ли полярный компонент водородную связь (Только для метода Тодоса)
Dm - Дипольный момент, Дб (Тодос)
SumNC-Сумма групповых составляющих Ci для уравнения Райхенберга
EpsDm-критерий полярности молекулы Если Delta<EpsDm, то молекула неполярна Delta определяется по формуле 9.4.6
Om-фактор ацентричности (Чепман)
Sig,e_k - параметры потенциала Леннарда Джонса (Чепман)
FlLD - Вычислять ли параметры потенциала Леннарда Джонса или принять табличные
Выходные данные:
Mu0 - Искомая вязкость, мкП
Polar- Считается ли молекула полярной
Err - Ошибка
2. Subst_Viscosity
Ее задача - Расчёт вязкости чистых компонентов по формулам Джосси, Стила и Тодоса или Райхенберга
Входные данные:
Nm-Номер метода 1-Джосси, Стила и Тодоса ,2-Райхенберга
Tc,Pc,Vc-критические параметры
Z-Фактор сжимаемости
Mu0-Вязкость рпи нормальном давлении и той же температуре
T,P-Температура, К, Давление атм
FlC-флаг продолжения расчётов даже если метод неприменим
M-Молекулярная масса, кг/кмоль
Polar-Полярный ли компонент
Mp-дипольный момент, Дб
Cf-коэффициент (5%) допуска при применимости формулы 1 метода
Выходные данные
Mu-Искомая вязкость
Err-Сообщения об ошибке
- РАСЧЕТНО-ПРАКТИЧЕСКАЯ ЧАСТЬ
В рамках тестирования программного комплекса были проведены расчеты для нескольких веществ:
1) Вода, H2O
Таблица 3.1.
Сравнение расчётных и экспериментальных значений для мольных объёмов воды
|
Эксперимент, м3/кг [35] |
Расчётные значения, м3/кг |
|D|, % |
||||||||||||||
|
P, бар |
50,00 |
100,00 |
210,00 |
300,00 |
600,00 |
50,00 |
100,00 |
210,00 |
300,00 |
600,00 |
50,00 |
100,00 |
210,00 |
300,00 |
600,00 |
|
|
P, атм |
50,66 |
101,33 |
212,78 |
303,98 |
607,95 |
50,66 |
101,33 |
212,78 |
303,98 |
607,95 |
50,66 |
101,33 |
212,78 |
303,98 |
607,95 |
|
|
T,К |
400 |
0,057810 |
0,026450 |
0,009100 |
0,002830 |
0,001638 |
0,055972 |
0,025452 |
0,008610 |
0,003127 |
0,002039 |
3,2 |
3,8 |
5,4 |
10,5 |
24,5 |
|
600 |
0,078700 |
0,038370 |
0,017190 |
0,011440 |
0,004828 |
0,076527 |
0,037280 |
0,016745 |
0,011179 |
0,004986 |
2,8 |
2,8 |
2,6 |
2,3 |
3,3 |
|
|
800 |
0,098030 |
0,048560 |
0,022660 |
0,015620 |
0,007464 |
0,095707 |
0,047490 |
0,022280 |
0,015442 |
0,007603 |
2,4 |
2,2 |
1,7 |
1,1 |
1,9 |
|
|
1000 |
0,117000 |
0,058290 |
0,027560 |
0,019190 |
0,009522 |
0,114381 |
0,057171 |
0,027244 |
0,019110 |
0,009707 |
2,2 |
1,9 |
1,1 |
0,4 |
1,9 |
Таблица 3.2.
Сравнение расчётных и экспериментальных значений для вязкости воды при низких давлениях
|
Эксперимент, мкП |
Расчётные значения, мкП |
|D|, % |
|||||||
|
T,К |
[35] |
1 |
2 |
3 |
4 |
1 |
2 |
3 |
4 |
|
400 |
243±7 |
190 |
241 |
- |
241 |
21,8 |
3,7 |
- |
3,6 |
|
500 |
284±8 |
217 |
279 |
- |
280 |
23,8 |
3,4 |
- |
3,2 |
|
600 |
325±10 |
241 |
318 |
- |
318 |
25,8 |
3,5 |
- |
3,4 |
|
700 |
365±11 |
264 |
356 |
- |
356 |
27,6 |
3,5 |
- |
3,7 |
- Метод Голубева
- Метод Тодоса
- Метод Райхенберга (неприменим для воды)
- Метод Чепмена
Таблица 3.3.
Сравнение расчётных и экспериментальных значений для вязкости воды при различных давлениях
|
Эксперимент [35], мкП |
Расчётные значения*, мкП |
|D|, % |
||||||||||||||
|
P, бар |
50,00 |
100,00 |
210,00 |
300,00 |
600,00 |
50,00 |
100,00 |
210,00 |
300,00 |
600,00 |
50,00 |
100,00 |
210,00 |
300,00 |
600,00 |
|
|
P, атм |
50,66 |
101,33 |
212,78 |
303,98 |
607,95 |
50,66 |
101,33 |
212,78 |
303,98 |
607,95 |
50,66 |
101,33 |
212,78 |
303,98 |
607,95 |
|
|
T,К |
400 |
250 |
258 |
286 |
458 |
736 |
246 |
253 |
282 |
457 |
741 |
1,8 |
2,1 |
1,4 |
0,2 |
0,7 |
|
600 |
289 |
295 |
311 |
334 |
485 |
283 |
288 |
303 |
328 |
476 |
2,0 |
2,2 |
2,4 |
1,9 |
1,9 |
|
|
800 |
329 |
334 |
346 |
361 |
428 |
321 |
325 |
336 |
351 |
420 |
2,4 |
2,6 |
2,8 |
2,8 |
1,8 |
|
|
1000 |
369 |
374 |
384 |
395 |
458 |
359 |
363 |
371 |
382 |
427 |
2,7 |
3,0 |
3,3 |
3,2 |
6,7 |
расчёт вязкости при нормальном давлении производился по методу Тодоса (Метод Чепмена в данном случае даёт практически идентичные результаты). Расчёт при повышенных давлениях по методу Райхенберга.
Таблица 3.4.
Сравнение расчётных и экспериментальных значений для вязкости воды при различных давлениях
|
Эксперимент [35], мкП |
Расчётные значения*, мкП |
|D|, % |
||||||||||||||
|
P, бар |
50,00 |
100,00 |
210,00 |
300,00 |
600,00 |
50,00 |
100,00 |
210,00 |
300,00 |
600,00 |
50,00 |
100,00 |
210,00 |
300,00 |
600,00 |
|
|
P, атм |
50,66 |
101,33 |
212,78 |
303,98 |
607,95 |
50,66 |
101,33 |
212,78 |
303,98 |
607,95 |
50,66 |
101,33 |
212,78 |
303,98 |
607,95 |
|
|
T,К |
400 |
250 |
258 |
286 |
458 |
736 |
244 |
249 |
270 |
406 |
660 |
2,4 |
3,5 |
5,6 |
11,4 |
10,3 |
|
600 |
289 |
295 |
311 |
334 |
485 |
282 |
286 |
296 |
314 |
428 |
2,4 |
3,2 |
4,9 |
6,0 |
11,7 |
|
|
800 |
329 |
334 |
346 |
361 |
428 |
320 |
323 |
330 |
341 |
395 |
2,7 |
3,3 |
4,6 |
5,6 |
7,8 |
|
|
1000 |
369 |
374 |
384 |
395 |
458 |
358 |
361 |
366 |
374 |
409 |
3,0 |
3,6 |
4,6 |
5,3 |
10,8 |
* расчёт вязкости при нормальном давлении производился по методу Тодоса. Расчёт при повышенных давлениях по методу Джосси, Стила и Тодоса (ДСТ).
2) Азот, N2
Таблица 3.5.
Сравнение расчётных и экспериментальных значений для мольных объёмов азота
|
Эксперимент [36], дм3/кг |
Расчётные значения, дм3/кг |
|D|, % |
||||||||||||||
|
P, бар |
3 |
5 |
10 |
20 |
40 |
3 |
5 |
10 |
20 |
40 |
3 |
5 |
10 |
20 |
40 |
|
|
P, атм |
3,04 |
5,07 |
10,13 |
20,27 |
40,53 |
3,04 |
5,07 |
10,13 |
20,27 |
40,53 |
3,04 |
5,07 |
10,13 |
20,27 |
40,53 |
|
|
T,К |
330 |
326,5 |
195,9 |
97,97 |
49,02 |
24,58 |
318,0 |
190,8 |
95,4 |
47,7 |
23,9 |
2,6 |
2,6 |
2,6 |
2,6 |
2,7 |
|
425 |
420,8 |
252,7 |
126,5 |
63,49 |
31,98 |
409,9 |
246,1 |
123,2 |
61,8 |
31,1 |
2,6 |
2,6 |
2,6 |
2,6 |
2,7 |
|
|
600 |
594,3 |
356,9 |
178,8 |
89,79 |
45,29 |
578,8 |
347,6 |
174,1 |
87,4 |
44,1 |
2,6 |
2,6 |
2,6 |
2,6 |
2,6 |
|
|
1000 |
990,2 |
594,5 |
297,8 |
149,4 |
75,21 |
964,5 |
579,1 |
290,1 |
145,5 |
73,3 |
2,6 |
2,6 |
2,6 |
2,6 |
2,6 |
Таблица 3.6.
Сравнение расчётных и экспериментальных значений для сжимаемости азота
|
Эксперимент [38] |
Расчётные значения |
|D|, % |
||||||||||||||
|
P, МПа |
3 |
5 |
10 |
20 |
40 |
3 |
5 |
10 |
20 |
40 |
3 |
5 |
10 |
20 |
40 |
|
|
P, атм |
29,61 |
49,35 |
98,69 |
197,38 |
394,77 |
29,61 |
49,35 |
98,69 |
197,38 |
394,77 |
29,61 |
49,35 |
98,69 |
197,38 |
394,77 |
|
|
T,К |
350 |
1,0048 |
1,0098 |
1,0273 |
1,0816 |
1,2450 |
1,0042 |
1,0090 |
1,0270 |
1,0850 |
1,2512 |
0,06 |
0,08 |
0,03 |
0,31 |
0,50 |
|
450 |
1,0114 |
1,0198 |
1,0431 |
1,0973 |
1,2298 |
1,0104 |
1,0185 |
1,0419 |
1,0997 |
1,2401 |
0,09 |
0,13 |
0,12 |
0,22 |
0,83 |
|
|
600 |
1,0130 |
1,0220 |
1,0453 |
1,0946 |
1,2014 |
1,0122 |
1,0208 |
1,0441 |
1,0961 |
1,2123 |
0,08 |
0,12 |
0,11 |
0,14 |
0,91 |
|
|
1000 |
1,0105 |
1,0175 |
1,0353 |
1,0711 |
1,1433 |
1,0102 |
1,0171 |
1,0350 |
1,0726 |
1,1518 |
0,03 |
0,04 |
0,03 |
0,14 |
0,74 |
Таблица 3.7.
Сравнение расчётных и экспериментальных значений для вязкости азота при низких давлениях
|
Эксперимент [37], мкП |
Расчётные значения, мкП |
|D|, % |
|||||||
|
T,К |
[37] |
1 |
2 |
3 |
4 |
1 |
2 |
3 |
4 |
|
323,15 |
188,0 |
186,4 |
189,0 |
|
186,5 |
0,86 |
0,53 |
|
0,78 |
|
348,15 |
198,5 |
196,6 |
199,9 |
|
196,5 |
0,98 |
0,70 |
|
0,99 |
|
423,15 |
228,0 |
225,3 |
230,4 |
|
224,6 |
1,19 |
1,07 |
|
1,48 |
|
523,15 |
264,0 |
260,6 |
267,3 |
|
258,8 |
1,30 |
1,24 |
|
1,97 |
- Метод Голубева
- Метод Тодоса
- Метод Райхенберга (неприменим)
- Метод Чепмена
Таблица 3.8.
Сравнение расчётных и экспериментальных значений для вязкости азота при различных давлениях
|
Эксперимент, мкП [37] |
Расчётные значения*, мкП |
|D|, % |
||||||||||||||
|
P, атм |
20 |
50 |
100 |
150 |
300 |
20 |
50 |
100 |
150 |
300 |
20 |
50 |
100 |
150 |
300 |
|
|
T,К |
323,15 |
190,5 |
195,5 |
206,0 |
218,0 |
264,5 |
190,4 |
194,7 |
205,3 |
218,8 |
269,1 |
0,0 |
0,4 |
0,4 |
0,4 |
1,7 |
|
348,15 |
201,0 |
205,0 |
214,5 |
224,5 |
265,5 |
201,1 |
204,8 |
213,8 |
225,3 |
267,8 |
0,1 |
0,1 |
0,3 |
0,4 |
0,9 |
|
|
423,15 |
230,0 |
234,0 |
240,0 |
247,5 |
276,0 |
231,3 |
233,9 |
240,0 |
247,7 |
276,2 |
0,6 |
0,1 |
0,0 |
0,1 |
0,1 |
|
|
523,15 |
265,5 |
268,0 |
273,0 |
278,0 |
298,0 |
267,9 |
269,6 |
273,9 |
279,2 |
298,6 |
0,9 |
0,6 |
0,3 |
0,4 |
0,2 |
* расчёт вязкости при нормальном давлении производился по методу Тодоса. Расчёт при повышенных давлениях по методу Райхенберга.
Таблица 3.9.
Сравнение расчётных и экспериментальных значений для вязкости азота при различных давлениях
|
Эксперимент, мкП [37] |
Расчётные значения*, мкП |
|D|, % |
||||||||||||||
|
P, атм |
20 |
50 |
100 |
150 |
300 |
20 |
50 |
100 |
150 |
300 |
20 |
50 |
100 |
150 |
300 |
|
|
T,К |
323,15 |
190,5 |
195,5 |
206,0 |
218,0 |
264,5 |
193,3 |
197,5 |
207,6 |
221,2 |
274,9 |
1,48 |
1,01 |
0,75 |
1,46 |
3,94 |
|
348,15 |
201,0 |
205,0 |
214,5 |
224,5 |
265,5 |
204,0 |
207,8 |
216,5 |
228,2 |
274,6 |
1,51 |
1,34 |
0,94 |
1,64 |
3,41 |
|
|
423,15 |
230,0 |
234,0 |
240,0 |
247,5 |
276,0 |
234,2 |
237,0 |
243,3 |
251,4 |
283,4 |
1,84 |
1,30 |
1,37 |
1,56 |
2,68 |
|
|
523,15 |
265,5 |
268,0 |
273,0 |
278,0 |
298,0 |
270,7 |
272,9 |
277,4 |
283,0 |
305,0 |
1,98 |
1,81 |
1,60 |
1,79 |
2,36 |
* расчёт вязкости при нормальном давлении производился по методу Тодоса. Расчёт при повышенных давлениях по методу ДСТ.
3) Метанол, CH3OH
Таблица 3.10.
Сравнение расчётных и экспериментальных значений для мольных объёмов метанола
|
Эксперимент*, м3/кг [39] |
Расчётные значения, м3/кг |
|D|, % |
|||||||||||
|
P, бар |
25,00 |
74,00 |
90,00 |
100,00 |
25,00 |
74,00 |
90,00 |
100,00 |
25,00 |
74,00 |
90,00 |
100,00 |
|
|
P, атм |
25,33 |
74,98 |
91,19 |
101,33 |
25,33 |
74,98 |
91,19 |
101,33 |
25,33 |
74,98 |
91,19 |
101,33 |
|
|
T,К |
463,15 |
- |
- |
0,001674 |
0,001668 |
- |
- |
0,00192 |
0,00191 |
- |
- |
14,4 |
14,6 |
|
493,15 |
0,016160 |
- |
0,001911 |
0,001892 |
0,01583 |
- |
0,00219 |
0,00217 |
2,1 |
- |
14,5 |
14,9 |
|
|
513,15 |
0,019680 |
0,008899 |
0,002384 |
0,002275 |
0,01856 |
0,00823 |
0,00270 |
0,00260 |
5,7 |
7,5 |
13,1 |
14,4 |
|
|
573,15 |
0,025410 |
0,015740 |
0,012080 |
0,010990 |
0,02440 |
0,01484 |
0,01127 |
0,01024 |
4,0 |
5,7 |
6,7 |
6,9 |
Таблица 3.11.
Сравнение расчётных и экспериментальных значений для вязкости метанола при низких давлениях
|
Эксперимент [39], мкП |
Расчётные значения, мкП |
|D|, % |
|||||||
|
T,К |
1 |
2 |
3 |
4 |
1 |
2 |
3 |
4 |
|
|
463,15 |
129,3 |
100,57 |
126,23 |
132,38 |
129,81 |
22,2 |
2,4 |
2,4 |
0,4 |
|
493,15 |
152,8 |
117,80 |
151,07 |
155,05 |
153,57 |
22,9 |
1,1 |
1,5 |
0,5 |
|
513,15 |
162,7 |
125,16 |
161,71 |
164,57 |
163,58 |
23,1 |
0,6 |
1,2 |
0,5 |
|
573,15 |
169,2 |
130,06 |
168,80 |
170,85 |
170,17 |
23,1 |
0,2 |
1,0 |
0,6 |
- Метод Голубева
- Метод Тодоса
- Метод Райхенберга (неприменим)
- Метод Чепмена
Таблица 3.12.
Сравнение расчётных и экспериментальных значений для вязкости метанола при различных давлениях
|
Эксперимент, мкП [39] |
Расчётные значения*, мкП |
|D|, % |
||||||||||||||
|
P, бар |
50,00 |
75,00 |
100,00 |
200,00 |
400,00 |
50,00 |
75,00 |
100,00 |
200,00 |
400,00 |
50,00 |
75,00 |
100,00 |
200,00 |
400,00 |
|
|
P, атм |
50,66 |
75,99 |
101,33 |
202,65 |
405,30 |
50,66 |
75,99 |
101,33 |
202,65 |
405,30 |
50,66 |
75,99 |
101,33 |
202,65 |
405,30 |
|
|
T,К |
423,15 |
ж |
ж |
1562 |
1700 |
1931 |
|
|
1033 |
1075 |
1151 |
|
|
33,9 |
36,8 |
40,4 |
|
473,15 |
ж |
ж |
958 |
1108 |
1333 |
|
|
740 |
802 |
898 |
|
|
22,8 |
27,6 |
32,6 |
|
|
523,15 |
179 |
197 |
368 |
710 |
943 |
188 |
209 |
366 |
573 |
707 |
4,9 |
6,1 |
0,6 |
19,3 |
25,1 |
|
|
543,15 |
185 |
191 |
220 |
580 |
827 |
193 |
207 |
238 |
488 |
644 |
4,1 |
8,2 |
8,0 |
15,9 |
22,2 |
* расчёт вязкости при нормальном давлении производился по методу Тодоса. Расчёт при повышенных давлениях по методу Райхенберга.
Таблица 3.13.
Сравнение расчётных и экспериментальных значений для вязкости метанола при различных давлениях
|
Эксперимент, мкП [39] |
Расчётные значения*, мкП |
|D|, % |
||||||||||||||
|
P, бар |
50,00 |
75,00 |
100,00 |
200,00 |
400,00 |
50,00 |
75,00 |
100,00 |
200,00 |
400,00 |
50,00 |
75,00 |
100,00 |
200,00 |
400,00 |
|
|
P, атм |
50,66 |
75,99 |
101,33 |
202,65 |
405,30 |
50,66 |
75,99 |
101,33 |
202,65 |
405,30 |
50,66 |
75,99 |
101,33 |
202,65 |
405,30 |
|
|
T,К |
423,15 |
ж |
ж |
1562 |
1700 |
1931 |
|
|
927 |
963 |
1031 |
|
|
40,6 |
43,3 |
46,6 |
|
473,15 |
ж |
ж |
958 |
1108 |
1333 |
|
|
666 |
723 |
810 |
|
|
30,5 |
34,7 |
39,2 |
|
|
523,15 |
179 |
197 |
368 |
710 |
943 |
183 |
199 |
323 |
513 |
637 |
2,3 |
1,0 |
12,2 |
27,8 |
32,5 |
|
|
543,15 |
185 |
191 |
220 |
580 |
827 |
189 |
199 |
223 |
433 |
579 |
1,9 |
4,0 |
1,3 |
25,3 |
30,0 |
* расчёт вязкости при нормальном давлении производился по методу Тодоса. Расчёт при повышенных давлениях по методу ДСТ.
4) Оксид углерода, CO
Таблица 3.14.
Сравнение расчётных и экспериментальных значений для плотности оксида углерода при различных давлениях
|
Эксперимент [36], кг/м3 |
Расчётные значения, кг/м3 |
|D|, % |
|||||||||||
|
P, бар |
10,00 |
40,00 |
70,00 |
100,00 |
10,00 |
40,00 |
70,00 |
100,00 |
10,00 |
40,00 |
70,00 |
100,00 |
|
|
P, атм |
10,13 |
40,53 |
70,93 |
101,33 |
10,13 |
40,53 |
70,93 |
101,33 |
10,13 |
40,53 |
70,93 |
101,33 |
|
|
T,К |
463,15 |
11,2640 |
45,34 |
79,43 |
113,00 |
11,563 |
46,496 |
81,359 |
115,584 |
2,7 |
2,6 |
2,4 |
2,3 |
|
493,15 |
8,4020 |
33,31 |
57,67 |
81,33 |
8,628 |
34,227 |
59,249 |
83,535 |
2,7 |
2,8 |
2,7 |
2,7 |
|
|
513,15 |
4,7910 |
18,91 |
32,64 |
45,99 |
4,921 |
19,442 |
33,584 |
47,339 |
2,7 |
2,8 |
2,9 |
2,9 |
|
|
573,15 |
3,3558 |
13,27 |
22,96 |
32,43 |
3,447 |
13,640 |
23,612 |
33,362 |
2,7 |
2,8 |
2,8 |
2,9 |
Таблица 3.15.
Сравнение расчётных и экспериментальных значений для вязкости оксида углерода при низких давлениях
|
Эксперимент [36], мкП |
Расчётные значения, мкП |
|D|, % |
|||||||
|
T,К |
1 |
2 |
3 |
4 |
1 |
2 |
3 |
4 |
|
|
373,15 |
207 |
201 |
205 |
|
208 |
2,8 |
1,1 |
|
0,3 |
|
573,15 |
279 |
271 |
278 |
|
280 |
3,0 |
0,5 |
|
0,2 |
|
773,15 |
337 |
331 |
339 |
|
341 |
1,7 |
0,5 |
|
1,1 |
|
1273,15 |
453 |
463 |
464 |
|
471 |
2,2 |
2,5 |
|
4,0 |
- Метод Голубева
- Метод Тодоса
- Метод Райхенберга (неприменим)
- Метод Чепмена
Таблица 3.16.
Сравнение расчётных и экспериментальных значений для вязкости оксида углерода при различных давлениях
|
Эксперимент [36], мкП |
Расчётные значения, мкП |
|D|, % |
|||||||||||
|
P, атм |
20,00 |
50,00 |
100,00 |
150,00 |
20,00 |
50,00 |
100,00 |
150,00 |
20,00 |
50,00 |
100,00 |
150,00 |
|
|
T,К |
373,15 |
210,5 |
214,5 |
222,5 |
232,0 |
205,9 |
209,4 |
217,7 |
228,4 |
2,2 |
2,4 |
2,2 |
1,6 |
|
423,15 |
229,0 |
232,0 |
238,5 |
246,5 |
225,4 |
228,1 |
234,6 |
242,9 |
1,6 |
1,7 |
1,6 |
1,5 |
|
|
473,15 |
247,0 |
250,0 |
256,0 |
263,0 |
243,9 |
246,1 |
251,4 |
258,0 |
1,3 |
1,6 |
1,8 |
1,9 |
|
|
523,15 |
264,5 |
267,0 |
271,5 |
277,0 |
261,4 |
263,3 |
267,7 |
273,3 |
1,2 |
1,4 |
1,4 |
1,3 |
Расчёт вязкости при нормальном давлении производился по методу Тодоса. Расчёт при повышенных давлениях по методу Райхенберга.
Таблица 3.17.
Сравнение расчётных и экспериментальных значений для вязкости оксида углерода при различных давлениях
|
Эксперимент [36], мкП |
Расчётные значения, мкП |
|D|, % |
|||||||||||
|
P, атм |
20,00 |
50,00 |
100,00 |
150,00 |
20,00 |
50,00 |
100,00 |
150,00 |
20,00 |
50,00 |
100,00 |
150,00 |
|
|
T,К |
373,15 |
210,5 |
214,5 |
222,5 |
232,0 |
208,9 |
212,5 |
220,9 |
232,1 |
0,8 |
0,9 |
0,7 |
0,0 |
|
423,15 |
229,0 |
232,0 |
238,5 |
246,5 |
228,4 |
231,4 |
238,2 |
246,9 |
0,3 |
0,3 |
0,1 |
0,2 |
|
|
473,15 |
247,0 |
250,0 |
256,0 |
263,0 |
246,8 |
249,4 |
255,0 |
262,2 |
0,1 |
0,2 |
0,4 |
0,3 |
|
|
523,15 |
264,5 |
267,0 |
271,5 |
277,0 |
264,3 |
266,6 |
271,4 |
277,5 |
0,1 |
0,2 |
0,0 |
0,2 |
Расчёт вязкости при нормальном давлении производился по методу Тодоса. Расчёт при повышенных давлениях по методу ДСТ.
5) Диоксид углерода, CO2
Таблица 3.18.
Сравнение расчётных и экспериментальных значений для мольных объёмов диоксида углерода
|
Эксперимент [36], дм3/кг |
Расчётные значения, дм3/кг |
|D|, % |
||||||||||||||
|
P, бар |
10,00 |
40,00 |
70,00 |
100,00 |
200,00 |
10,00 |
40,00 |
70,00 |
100,00 |
200,00 |
10,00 |
40,00 |
70,00 |
100,00 |
200,00 |
|
|
P, атм |
10,13 |
40,53 |
70,93 |
101,33 |
202,65 |
10,13 |
40,53 |
70,93 |
101,33 |
202,65 |
10,13 |
40,53 |
70,93 |
101,33 |
202,65 |
|
|
T,К |
400 |
74,18 |
17,500 |
9,404 |
6,181 |
2,625 |
72,286 |
17,068 |
9,175 |
6,027 |
2,581 |
2,6 |
2,5 |
2,4 |
2,5 |
1,7 |
|
600 |
113,10 |
28,100 |
15,960 |
11,130 |
5,543 |
110,217 |
27,435 |
15,630 |
10,924 |
5,492 |
2,5 |
2,4 |
2,1 |
1,8 |
0,9 |
|
|
800 |
151,30 |
37,970 |
21,800 |
15,320 |
7,810 |
147,465 |
37,074 |
21,318 |
15,026 |
7,717 |
2,5 |
2,4 |
2,2 |
1,9 |
1,2 |
|
|
1000 |
189,30 |
47,610 |
27,380 |
19,290 |
9,980 |
184,506 |
46,507 |
26,803 |
18,928 |
9,761 |
2,5 |
2,3 |
2,1 |
1,9 |
2,2 |
Таблица 3.19.
Сравнение расчётных и экспериментальных значений для вязкости диоксида углерода при низких давлениях
|
Эксперимент [36], мкП |
Расчётные значения, мкП |
|D|, % |
|||||||
|
T,К |
1 |
2 |
3 |
4 |
1 |
2 |
3 |
4 |
|
|
500 |
236,8 |
242,5 |
240,6 |
|
234,6 |
2,4 |
1,6 |
|
0,9 |
|
600 |
273,3 |
279,4 |
279,8 |
|
270,4 |
2,2 |
2,4 |
|
1,1 |
|
800 |
338,2 |
345,0 |
350,3 |
|
334,6 |
2,0 |
3,6 |
|
1,1 |
|
1000 |
395,1 |
403,6 |
412,7 |
|
391,5 |
2,2 |
4,4 |
|
0,9 |
- Метод Голубева
- Метод Тодоса
- Метод Райхенберга (неприменим)
- Метод Чепмена
Таблица 3.20.
Сравнение расчётных и экспериментальных значений для вязкости диоксида углерода при различных давлениях
|
Эксперимент [36], мкП |
Расчётные значения, мкП |
|D|, % |
||||||||||||||
|
P, бар |
10,00 |
40,00 |
80,00 |
100,00 |
200,00 |
10,00 |
40,00 |
80,00 |
100,00 |
200,00 |
10,00 |
40,00 |
80,00 |
100,00 |
200,00 |
|
|
P, атм |
10,13 |
40,53 |
81,06 |
101,33 |
202,65 |
10,13 |
40,53 |
81,06 |
101,33 |
202,65 |
10,13 |
40,53 |
81,06 |
101,33 |
202,65 |
|
|
T,К |
373,15 |
184,0 |
191,1 |
210,3 |
224,3 |
371,8 |
185,9 |
197,0 |
221,3 |
238,3 |
384,2 |
1,1 |
3,1 |
5,2 |
6,3 |
3,3 |
|
473,15 |
225,7 |
230,8 |
240,6 |
246,2 |
291,7 |
225,4 |
231,4 |
244,2 |
252,4 |
312,0 |
0,1 |
0,2 |
1,5 |
2,5 |
7,0 |
|
|
673,15 |
298,9 |
302,9 |
307,0 |
310,2 |
329,3 |
295,3 |
297,9 |
303,5 |
307,0 |
330,0 |
1,2 |
1,6 |
1,1 |
1,0 |
0,2 |
|
|
1073,15 |
415,6 |
417,3 |
420,0 |
421,5 |
430,6 |
411,1 |
412,1 |
414,4 |
415,8 |
424,5 |
1,1 |
1,2 |
1,3 |
1,4 |
1,4 |
Расчёт вязкости при нормальном давлении производился по методу Тодоса. Расчёт при повышенных давлениях по методу Райхенберга.
Таблица 3.21.
Сравнение расчётных и экспериментальных значений для вязкости диоксида углерода при различных давлениях
|
Эксперимент[36], мкП |
Расчётные значения, мкП |
|D|, % |
||||||||||||||
|
P, бар |
10,00 |
40,00 |
80,00 |
100,00 |
200,00 |
10,00 |
40,00 |
80,00 |
100,00 |
200,00 |
10,00 |
40,00 |
80,00 |
100,00 |
200,00 |
|
|
P, атм |
10,13 |
40,53 |
81,06 |
101,33 |
202,65 |
10,13 |
40,53 |
81,06 |
101,33 |
202,65 |
10,13 |
40,53 |
81,06 |
101,33 |
202,65 |
|
|
T,К |
373,15 |
184,0 |
191,1 |
210,3 |
224,3 |
371,8 |
190,1 |
197,1 |
215,3 |
230,8 |
397,2 |
3,3 |
3,2 |
2,4 |
2,9 |
6,8 |
|
473,15 |
225,7 |
230,8 |
240,6 |
246,2 |
291,7 |
229,9 |
234,6 |
243,8 |
249,9 |
297,7 |
1,9 |
1,6 |
1,3 |
1,5 |
2,1 |
|
|
673,15 |
298,9 |
302,9 |
307,0 |
310,2 |
329,3 |
299,9 |
302,8 |
307,7 |
310,6 |
329,3 |
0,3 |
0,0 |
0,2 |
0,1 |
0,0 |
|
|
1073,15 |
415,6 |
417,3 |
420,0 |
421,5 |
430,6 |
415,7 |
417,3 |
419,8 |
421,3 |
429,6 |
0,0 |
0,0 |
0,0 |
0,1 |
0,2 |
Расчёт вязкости при нормальном давлении производился по методу Тодоса. Расчёт при повышенных давлениях по методу ДСТ.
По результатам расчетов были сделаны следующие выводы:
Для воды:
1) Несмотря на то, что вода полярное вещество, требуемая точность в заданных диапазонах температур и давлений в основном достигается, за исключением очень высоких давлений при сравнительно низких температурах.
2) Методы Тодоса и Чепмана обеспечивают практически одинаковую точность. Метод Голубева неприменим в рассмотренных диапазонах температур и давлений.
3) При относительно низких давлениях методы Райхенберга и ДСТ примерно равнозначны, но при более высоких, метод Райхенберга предпочтительнее.
Для азота:
1) Для сжимаемости азота достигнута удовлетворительная точность во всём рассматриваемом диапазоне температур и давлений.
2) Все три метода достаточно точны. Можно полагать метод Тодоса чуть более точным в рассмотренных диапазонах температур.
3) Оба метода обеспечивают достаточную точность, но метод Райхенберга в рассмотренных диапазонах температур и давлений предпочтительнее.
Для метанола:
1) Данный метод обеспечивает довольно приближённые значения в области низких температур и высоких давлений, однако вполне применим для других регионов.
2) Три из четырёх методов достаточно точны. Можно полагать метод Чепмена чуть более точным в рассмотренных диапазонах температур.
3) Оба метода (Райхенберга и ДСТ) работают только в области сравнительно небольших давлений. Метод ДСТ в данном случае немного предпочтительней.
Для оксида углерода:
1) Данный метод позволяет рассчитать плотность оксида углерода с достаточной точностью.
2) Все три метода достаточно точны. Можно полагать метод Тодоса чуть более точным в рассмотренных диапазонах температур.
3) Хотя оба метода довольно точны, метод ДСТ несколько более точен в выбранном интервале температур и давлений.
Для диоксида углерода:
1) Данный метод позволяет рассчитать объём диоксида углерода с достаточной точностью.
2) Все три метода достаточно точны. Можно полагать метод Чепмена чуть более точным в рассмотренных диапазонах температур.
3) Хотя оба метода довольно точны, метод ДСТ несколько более точен в выбранном интервале температур и давлений.
Выводы:
1) В результате выполнения работы был создан программный комплекс по расчету сжимаемости и вязкости газов при повышенных давлениях.
2) Были проведены расчеты сжимаемости и вязкости для ряда веществ.
3) Проведено сравнение точности используемых методов
с литературными данными.
4) Подтверждена необходимость использования более совершенного уравнения для расчета сжимаемости полярных веществ.
СПИСОК ОБОЗНАЧЕНИЙ
М молярная масса, кг/кмоль;
P давление, атм;
R универсальная газовая постоянная 82,0578 атмсм3/(мольК);
T температура, К;
V объём, см3/моль;
Z коэффициент сжимаемости;
mp дипольный момент (Дб);
r плотность, кг/м3;
фактор ацентричности.
Индексы:
(0) простое вещество;
(1) усреднённая величина между простым и эталонным веществами;
(R) эталонное вещество (н-октан);
0 при нормальном давлении;
c критический параметр;
i номер компонента;
m мольный.
СПИСОК ИСПОЛЬЗОВАННОЙ ЛИТЕРАТУРЫ
1. Намиот А. Ю. Фазовые равновесия легких углеводородов (сборник статей из иностранных журналов). М.: Государственное научно-техническое издательство нефтяной и горно-топливной литературы, 1958. 162 с.
2. Берлин М. А. Гореченков В. Г., Волков Н. П. Переработка природных и нефтяных газов. М.: Химия, 1981. 472 с.
3. Kaufman T. G. Method for Phase Equilibrium Calculations Based on Generalized Benedict Webb Rubin Constants // Industrial and Engineering Chemistry Fundamentals. 1968. V. 7. № 1. P. 115120.
4. Lin M. S., Naphtali L. M. Prediction of vapor-liquid equilibria with the Benedict Webb Rubin equation of state // The American Institute of Chemical Engineers Journal. 1963. V. 9. № 5. P. 580584.
5. Orye R. V. Prediction and Correlation of Phase Equilibria and Thermal Properties with the BWR Equation of State // Industrial & Engineering Chemistry Process Design and Development. 1969. V. 8. № 4. P. 579588.
6. Starling К. E. Thermo data refined for LPG. Part 1. Equation of state and computer prediction // Hydrocarbon Processing. 1971. V. 50. № 3. P. 101.
7. Starling К. E. Fluid Thermodynamic Properties for Light Petroleum Systems // Gulf Publishing Company 1973. P 111.
8. Уейлес С. Фазовые равновесия в химической технологии: В 2-х ч. Ч. 1. Пер. с англ. М.: Мир, 1989 304 с.
9. Edmister W. C., Vairogs J., Klekers A. J. A generalized BWR equation of state // The American Institute of Chemical Engineers Journal. 1968. V. 14. № 3. P. 479.
10. Opfell J. B., Sage B. H., Pitzer K. S. Application of Benedict Equation to Theorem of Corresponding States // Industrial and Engineering Chemistry. 1956. V. 48. № 11. P. 20692076.
11. Lee B. I., Kesler M. G. A generalized thermodynamic correlation based on three-parameter corresponding states // The American Institute of Chemical Engineers Journal. 1975. V. 21. № 3. P. 510527.
12. Pitzer К. S., Curl R. F. Volumetric and Thermodynamic Properties of FluidsEnthalpy, Free Energy, and Entropy // Industrial and Engineering Chemistry. 1958. V. 50. P. 265274.
13. Рид Р., Праусниц Дж., Шервуд Т. Свойства газов и жидкостей: Справочное пособие. Пер. с англ. под ред. Соколова Б.И. 3-е изд., перер. и доп. Л.: Химия, 1982. 592 c.
14. Hopke S. W. Application of equations of state in Exxon's production operations // ACS Symposium Series. 1977. V. 60. P. 221223.
15. Nishiumi H. Thermodynamic property prediction of C10 to C20 paraffins and their mixtures by the generalized BWR equation of state // Journal of Chemical Engineering of Japan. 1980. V. 13. № 1. P. 7476.
16. Nishiumi H. An improved generalized BWR equation of state with three polar parameters applicable to polar substances. // Journal of Chemical Engineering of Japan. 1980. V. 13. № 3. P. 178183.
17. Redlich O., Kwong J. N. S. On the Thermodynamics of Solutions. V. An Equation of State. Fugacities of Gaseous Solutions // Chemical Reviews. 1949. V. 44. № 1. P. 233244.
18. Redlich O. On the Three-Parameter Representation of the Equation of State // Industrial and Engineering Chemistry Fundamentals. 1975. V. 14. № 3. P. 257260.
19. Сборник Н.Т. Разработка нефтяных и газовых месторождений. М.: Недра, 1978. 156 с.
20. Коротаев Ю.П. Добыча, транспорт и подземное хранение газа. М.: Недра, 1984. C. 248250.
21. Морачевский А.Г. Термодинамика равновесия жидкость-пар. Л.: Химия, 1989 С. 158160.
22. Маргулов Р.Д. Добыча, подготовка и транспорт природного газа и конденсата. М.: Недра, 1984 Т. 1. С. 5657.
23. Брусиловский А.И. Фазовые превращения при разработке нефти и газа. М.: Грааль, 2002 С. 131141.
24. Joffe J. Chemical Engineering Progress. 1949. V. 45. P. 160.
25. Joffe J. A New Equation of State for Gases // Journal of the American Chemical Society. 1947. V. 69. № 3. P. 540542.
26. Sugie H., Lu B. C.-Y. Generalized equation of state for vapors and liquids // The American Institute of Chemical Engineers Journal. 1971. V. 17. № 5. P. 10681074.
27. Lee B.-I., Erbar J. H., Edmister W. C. Chemical Engineering Progress. 1972. V. 68. № 9. P. 83.
28. Lee B.-I., Erbar J. H., Edmister W. C. Prediction of thermodynamic properties for low temperature hydrocarbon process calculations // The American Institute of Chemical Engineers Journal. 1973. V. 19. № 2. P. 349356.
29. Lee B.-I., Edmister W. C. A generalized method for predicting vapor-liquid equilibrium // The American Institute of Chemical Engineers Journal. 1971. V. 17. № 6. P. 14121418.
30. Lee B.-I., Edmister W. C. New Three-Parameter Equation of State // Industrial and Engineering Chemistry Fundamentals. 1971. V. 11. № 1. P. 3235.
31. Бретшнайдер Ст. Свойства газов и жидкостей. М. Л.: Химия, 1966. 535 с.
32. Вяхирев Р.И. Теория и опыт добычи газа. М.: Недра, 1998. С. 3536.
33. Ширковский А.И. Разработка и эксплуатация газовых и газоконденсатных месторождений. М.: Недра, 1979. С. 3435.
34. Захарченко В.Н. Коллоидная химия: Учеб. для медико-биолог. спец. вузов. 2-е изд., перераб. и доп. М.: Высш. шк., 1989. С. 119120.
35. Вукалович М.П. Теплофизические свойства воды и водяного пара. М.: Машиностроение, 1967. 160 с.
36. Варгафтик Н.Б. Справочник по теплофизическим свойствам газов и жидкостей. М.: Наука, 1972. 720 с.
37. Голубев И.Ф. Вязкость газов и газовых смесей: Справочное руководство. М.: Государственное издательство физико-математической литературы, 1959. C. 121, табл. 13.
38. Сычев В.В., Вассерман А.А., Козлов А.Д. Термодинамические свойства азота. М.: Издательство стандартов, 1977. 352 c.
39. Зубарев В.Н., Прусаков П.Г., Сергеева Л.В. Теплофизические свойства метилового спирта: Справочник. М.: Издательство стандартов, 1973. 203 с.
40. Кузнецов А.А., Судаков Е.Н. Расчеты основных процессов и аппаратов переработки углеводородных газов. М.: Химия, 1983. 224 с.
41. Глумов Д.Н., Стрекалов А.В. Способ расчета динамической вязкости газов в широком диапазоне давлений. // Электронный научный журнал «Нефтегазовое дело» 2011. №1
42. Wu G. Z. A., Stiel L. I. A generalized equation of state for the thermodynamic properties of polar fluids // AIChE J. 1985. V. 31. № 10. P. 16321644.
43. Poling B. E., Prausnitz J. M., OConnell J. P. The properties of gases and liquids. 5th. ed. // N.Y., McGraw-Hill, 2001. P. 768.
44. Жуков Н.П, Быченок В.И., Черепинников И.А., Кузьмин С.Н. К расчету критических параметров нефтепродуктов. Химия и технология топлив и масел, №4, 1993. С. 2932.
45. Попов С.С. Транспорт нефти, нефтепродуктов и газа. Госполитиздат, 1952 358 с.
Разработка программного обеспечения для расчета термодинамических свойств газов