Формирование бизнес-плана кинопроекта «Каникулы в деревне»
МИНИСТЕРСТВО КУЛЬТУРЫ РОССИЙСКОЙ ФЕДЕРАЦИИ
ФЕДЕРАЛЬНОЕ ГОСУДАРСТВЕННОЕ БЮДЖЕТНОЕ ОБРАЗОВАТЕЛЬНОЕ УЧРЕЖДЕНИЕ ВЫСШЕГО ОБРАЗОВАНИЯ
«САНКТ-ПЕТЕРБУРГСКИЙ ГОСУДАРСТВЕННЫЙ ИНСТИТУТ КИНО И ТЕЛЕВИДЕНИЯ»
Факультет продюсирования, экономики и управления
Кафедра продюсирования и управления в социально-культурной сфере
ДИПЛОМНЫЙ ПРОЕКТ
Студента Керимова Юрия Олеговича
На тему «Формирование бизнес-плана кинопроекта «Каникулы в деревне»
Работа допущена к защите в ГАК
Заведующий кафедрой ________________________ /А.Д. Евменов/
д.э.н., профессор
Руководитель ________________________________ /А.С. Губченкова/
к.э.н., доц.
Студент __________________________________/Ю.О. Керимов/
Санкт-Петербург
2015
Федеральное государственное бюджетное образовательное учреждение высшего образования «Санкт-Петербургский государственный институт кино и телевидения»
Факультет продюсирования, экономики и управления
Кафедра продюсирования и управления в социально-культурной сфере
Специальность 080507 Менеджмент организации
УТВЕРЖДАЮ
Зав. кафедрой ПУСКС
д.э.н., проф. ____________А.Д. Евменов
“ ”_____________________2015.г.
З А Д А Н И Е
НА ВЫПОЛНЕНИЕ ДИПЛОМНОГО ПРОЕКТА
Студенту Керимову Юрию Олеговичу
Тема работы «Формирование бизнес-плана кинопроекта «Каникулы в деревне»
Утверждена приказом ректора Института №325 от 15.12.2014 г.
Срок сдачи студентом законченного проекта (работы)__29.05.2015 года__
Исходные данные к работе (учебные пособия, статистические данные, научные издания, периодические издания, методические указания, интернет-ресурсы).
Содержание расчетно-пояснительной записки:
Глава 1. Теоретические основы создания бизнес-плана и ключевые аспекты существования российского кинематографа
Глава 2. Анализ современного российского кинематографа и проблем его распространения
Глава 3. Разработка проекта кинофильма «Каникулы в деревне»
Перечень графического материала:
Таблица 2.1. Российские кинофильмы 2014 года
Таблица 2.2. Российские фильмы 2014 года, собравшие меньше 1 миллиона долларов
Таблица 2.3. Российские фильмы 2014 года со сборами от 1 до 5 миллионов долларов
Таблица 2.4. Российские фильмы 2014 года со сборами от 5 до 10 миллионов долларов
Таблица 2.5. Российские фильмы 2014 года со сборами от 10 миллионов долларов
Рис. 2.1. Доли фильмов по степени успешности в кинопрокате
Рис. 2.2. Число выходящих российских кинофильмов в 2010-2014 гг.
Таблица 2.6. Таблица для расчета параметров уравнения прямой
Таблица 2.7. Таблица для расчета параметров уравнения прямой
Таблица 3.1. Кассовые сборы фильмов, снятых по сценариям Николая Куликова
Таблица 3.2. Кассовые сборы фильмов, снятых Дмитрием Дьяченко
Таблица 3.3. Кассовые сборы фильмов с участием Данилы Козловского в России
Таблица 3.4. Кассовые сборы фильмов с участием Михаила Галустяна в России
Таблица 3.5. Кассовые сборы фильмов с участием Павла Прилучного в России
Таблица 3.6. Кассовые сборы фильмов с участием Кристины Асмус в России
Таблица 3.7. Кассовые сборы фильмов с участием Дмитрия Нагиева в России
Таблица 3.8. Кассовые сборы фильмов с участием Андрея Федорцова в России
Таблица 3.9. Кассовые сборы фильмов с участием Федора Бондарчука в России
Таблица 3.10. Кассовые сборы фильмов с участием Юрия Стоянова в России
Таблица 3.11. Российские кинокомедии 2014 года
Таблица 3.12. Сегментация рынка кинокомпаний
Таблица 3.13. Оценка сильных и слабых сторон предприятия
Таблица 3.14. Коммерческие расходы на продвижение фильма «Каникулы в деревне»
Таблица 3.15. Сметная стоимость кинофильма «Каникулы в деревне»
Таблица 3.16. Совокупная стоимость проекта
Таблица 3.17. Организационный план
Таблица 3.18. Численность работающих, затраты на оплату труда и отчисления на социальные нужды
Таблица 3.19. Риски и страхование
Таблица 3.20. Источники средств для реализации проекта
Таблица 3.21. Затраты по годам реализации проекта
Таблица 3.22. Финансовые результаты по годам реализации проекта
Таблица 3.23. Оценка экономических результатов ООО «Каникулы Продакшн»
Дата выдачи задания ___17.01.15_______________________________________________
Руководитель _______________________________________/А.С. Губченкова/
к.э.н., доцент
Задание принял к исполнению студент _________________________ /Ю.О. Керимов/
КАЛЕНДАРНЫЙ ПЛАН выполнения ДИПЛОМНОГО ПРОЕКТА
|
№ п/п |
Наименования этапов работы |
Срок выполнения этапов работы |
|
1 |
2 |
3 |
|
1 |
Запись на кафедру ПУСКС |
до 01.12.14 |
|
2 |
Распределение дипломников по преподавателям руководителям дипломных проектов |
10.03-15.03 |
|
3 |
Консультации студентов с руководителями дипломных проектов по выбору темы |
17.03-22.03. |
|
4 |
Государственный междисциплинарный экзамен по направлению |
28.04 |
|
5 |
Утверждение темы дипломного проекта |
01.02.-30.05 |
|
6 |
Выдача руководителями заданий на преддипломную практику |
- |
|
7 |
Составление плана и введения дипломного проекта |
17.03-22.03 |
|
8 |
Сбор и обработка методических, теоретических и статистических материалов по 1 главе, ее написание |
22.03-13.04 |
|
9 |
Сдача отчетов по преддипломной практике |
- |
|
10 |
Сбор, систематизация и обработка материалов по 2 главе, ее написание |
14.04-30.04 |
|
11 |
Сбор, обработка и анализ материалов по 3 главе, ее написание, подготовка заключения выполненного дипломного проекта |
01.05-20.05 |
|
12 |
Оформление дипломного проекта, раздаточного материала, текста выступления |
21.05 27.05 |
|
14 |
Предварительная защита дипломных проектов на кафедре ПУСКС ( по желанию руководителей) |
25.05 |
|
15 |
Запись на защиту у секретаря ГАК |
до 31.05 |
|
16 |
Получение рецензии и отзыва на дипломный проект |
до 06.06 |
|
17 |
Защита дипломных проектов перед государственной аттестационной комиссией |
03.06-08.06 |
Руководитель ______________________________________ /А.С. Губченкова/
к.э.н., доцент
Студент _______________________________________ /Ю.О. Керимов/
Содержание
Введение………………………………………………………………………..…5
Глава 1. Теоретические основы создания бизнес-плана и ключевые аспекты существования российского кинематографа ……………………………….…..6
- Теоретические основы бизнес-плана……………………………………..6
- Теоретические основы российского кинематографа ……………….….14
- Теоретические основы распространения кинопродукции ..………..….19
Глава 2. Анализ современного российского кинематографа и проблем его распространения………………………………………………………………....23
2.1. Текущее состояние российского кинематографа ..…………………….....23
2.2. Проблемы распространения российского кино……....………………...…32
2.3. Прогнозирование числа выходящих российских кинофильмов…………35
Глава 3. Разработка проекта кинофильма «Каникулы в деревне» ..................43
Заключение……………………………………………………………….………87
Список использованных источников…………………………..……………….89
Введение
Как говорил В.И. Ленин: «Важнейшим из искусств для нас является кино». Данная фраза не потеряла своей актуальности. Не смотря на развитие телевидения с его программами и сериалами, Интернета с короткими видео, по-прежнему большое количество людей продолжают ходить в кинотеатры. Другое дело, что чаще всего они ходят на зарубежные кинофильмы, а фильмы, сделанные нашими соотечественниками, в Российской Федерации они зачастую считают не интересными, в подавляющем большинстве случаев эти картины выходят в ограниченный прокат. Пока американские и европейские продюсеры окупают производственные бюджеты не только за счет кинотеатрального показа, но и прочих рынков распространения кинопродукции (Интернет-порталы, телевизионные каналы, DVD и Blu-Ray), российские кинематографисты продолжают борьбу за повышение конкурентоспособности на первичном рынке, почти не обращая внимания на дополнительные возможности дистрибьюции фильма.
Актуальность данной работы состоит в том, что поскольку кинобизнес может при правильном стечении обстоятельств оказывать положительное влияние и в финансовом и репутационном плане, нужно немедленно выяснить, что нужно изменить в политике продюсерских компаний и киностудий, чтобы сделать российское кино интересным для зрителей и монетизировать его за счет показа в кинотеатре.
Объектом нашего исследования является российский кинематограф как многофункциональная система, у которой есть большой потенциал как бизнес-системы, а не только творческой площадки.
Предметом нашего исследования является функционирующая в российском кинематографе система вывода фильмов на окупаемость и получение прибыли.
Целью дипломной работы является разработка бизнес-плана кинопроекта «Каникулы в деревне», способного стать коммерчески успешным и дать возможность создавать и реализовывать другие кинопроекты.
Задачи дипломной работы:
- Изучить теоретические основы бизнес-плана.
- Изучить теоретические основы российского кинематографа.
- Разобрать ключевые теоретические основы распространения кинопродукции.
- Проанализировать текущее состояние кинематографа Российской Федерации.
- Сформулировать основные проблемы распространения кинематографа Российской Федерации и выявить тенденции его развития.
- Спрогнозировать число российских кинофильмов на 2015-2016 годы.
- Разработать бизнес-план кинопроекта «Каникулы в деревне».
Глава 1. Теоретические основы создания бизнес-плана и ключевые аспекты существования российского кинематографа
1.1. Теоретические основы бизнес-плана
Бизнес-план это план осуществления бизнес-операций, действий фирмы, содержащая сведения о фирме, товаре, его производстве, рынках сбыта, маркетинге, организации операций и их эффективности.[48]
Бизнес-план представляет собой результат исследований и организационной работы, имеющей целью изучение конкретного направления деятельности фирмы (продукта или услуг) на определенном рынке в сложившихся организационно-экономических условиях. Он опирается на:
- конкретный проект оказания новых услуг (особенности удовлетворения потребностей и т.д.);
- всесторонний анализ производственно-хозяйственной и коммерческой деятельности, целью которого является выделение его сильных и слабых сторон, специфики и отличий от других аналогичных фирм;
- изучение конкретных финансовых, технико-экономических и организационных механизмов, используемых в экономике для реализации конкретных задач.[19]
Существует две формы бизнес-планирования деятельности фирмы:
- планирование деятельности фирмы на рынке;
- внутрифирменное планирование.[65]
Как правило, эти аспекты планирования взаимосвязаны.
Необходимо отметить, что по-настоящему планирование может быть рациональным только тогда, когда отношения фирмы с контрагентами на рынке носят не случайный и разовый характер, а приобретают устойчивый и долговременный характер.
Цель разработки бизнес-плана спланировать хозяйственную деятельность фирмы на ближайший и отдаленный периоды в соответствии с потребностями рынка и возможностями получения необходимых ресурсов.[6]
Задачами бизнес-плана являются:
- сформулировать долговременные и краткосрочные цели фирмы, стратегию и тактику их достижения;
- определить конкретные направления деятельности фирмы, целевые рынки и место фирмы на этих рынках;
- выбрать ассортимент и определить показатели товаров и услуг, которые будут предложены фирмой потребителям;
- оценить производственные и непроизводственные издержки;
- определить состав маркетинговых мероприятий по изучению рынка, стимулированию продаж, ценообразованию и т.п.;
- оценить финансовое положение фирмы и соответствие имеющихся финансовых и материальных ресурсов возможностям достижения поставленных целей и т.д.[96]
Бизнес-план выполняет следующие основные функции:
- является инструментом, с помощью которого организация может спрогнозировать и оценить фактические результаты деятельности за определенный период;
- используется для разработки концепции бизнеса в перспективе;
- является инструментом обоснования эффективности инвестиций;
- представляет собой инструмент реализации стратегии предприятия.[1]
Бизнес-план является не только внутренним документом фирмы, но и может быть использован для привлечения инвесторов и кредиторов.
Не существует жесткого регламентированной формы и структуры бизнес-плана. Структура и состав зависят от сути того чем будет заниматься компания: инвестиционный проект (лизинговые операции) или планирование деятельности при создании или бизнес-план под реализацию одного из проектов компании с привлечением заемных средств.[25]
Необходимо отметить, что при разработке бизнес-плана на каждом шаге производят анализ и определение возможностей сокращения риска, затрат и сроков реализации проекта.
Непосредственно начать разработку необходимо с описания продукции, уделяя особое внимание конкурентоспособности и патентно-лицензионным вопросам.
Затем разрабатываются разделы маркетинга и продаж с определением рынка и объемов сбыта. Эти разделы являются ключевыми. Необходимо уделить достаточное количество времени на первичный сбор и анализ информации. Также очень важно учитывать эффективность реализации проекта, возможные риски и гарантии возврата инвестиций.
Единой универсальной структуры бизнес-плана не существует. Однако выделяют все же основные разделы бизнес-плана, которые содержат информацию, направленную на реализацию целей бизнес-планирования.
Основными элементами бизнес-плана являются:
1.вводная часть (резюме);
2.содержательный раздел (описание, сущность проекта);
3. разделы внутрифирменного планирования (деятельность и структура компании, маркетинг, планирование отделов и персоналп, технологии, товарооборот и т.п.)
4.финаново-аналитический раздел (планирование финансовых показателей их анализ и оценка);
5. оценка рисков бизнес-плана.[2]
Резюме это сжатый, быстро читаемый обзор информации о намечаемом бизнесе и целях, которые ставит перед собой предприятие, начиная свое дело или развивая имеющееся. По сути, резюме является сокращенной версией самого бизнес-плана.[7]
В резюме могут быть отражены следующие основные моменты:
- возможности для бизнеса;
- привлекательность бизнеса;
- необходимые финансовые ресурсы (собственные или заемные);
- условия инвестирования;
- ожидаемая прибыль и ее распределение и т.д.[84]
Порядок изложения резюме является достаточно свободным, однако его необходимо начинать с главной цели предлагаемого бизнеса (как правило, получение прибыли) и назначения разрабатываемого бизнес-плана.
Резюме составляется в конце написания бизнес-плана, однако находится в начале документа.
Концепция бизнеса раздел, в котором излагается вид деятельности, способы получения прибыли, направленность бизнеса.[37]
Также здесь необходимо отметить, важность товара для потребителей, его уникальность. Желательно охарактеризовать функциональные возможности и особенности продукции.
Завершает раздел, описание ключевых факторов, которые должны определить успех предлагаемого бизнеса.
Далее в сжатой форме приводится основная информация о предприятии организационно-правовая форма, учредители, юридический адрес и т.п.
Производственный план отражает производственный процесс. Если отдельные операции поручаются субподрядчику, то это должно быть указано.
Целесообразно представить производственный процесс с указанием его структуры по трудоемкости.
Необходимо отразить потребность в производственных помещениях и их площадь, а также производственную площадь предприятия. Необходимо указать потребность в дополнительном оборудовании и материальных ресурсах.[28]
По возможности здесь описывается система охраны окружающей среды, утилизации отходов, обеспечения безопасности жизнедеятельности.
Раздел заканчивается расчетом издержек производства и себестоимости производимой продукции.
План маркетинга это план мероприятий по достижению намечаемого объема продаж и получению максимальной прибыли путем удовлетворения рыночных потребностей. В этом разделе необходимо отразить маркетинговую стратегию развития предприятия.[10]
Разрабатывая эту стратегию, целесообразно учесть влияние внешнего окружения (тенденции изменения технологий, запросов и мотивации потребителей и т.д.) в целях адаптации предприятия к меняющимся рыночным условиям путем разработки комплекса маркетинга, включающего товарную, ценовую, сбытовую политику и сервисное обслуживание.
Финансовый план является важной частью практически любого бизнес-плана. Цель финансового плана определить эффективность предлагаемого бизнеса.[91]
Этот раздел бизнес-плана должен дать возможность оценить способность проекта обеспечивать поступление денежных средств в объеме, достаточном для обслуживания долга (или выплаты дивидендов, когда речь идет об инвестициях).
Следует подробным образом описать потребность в финансовых ресурсах, предполагаемые источники и схемы финансирования, ответственность заемщиков и систему гарантий. Особое значение следует уделить описанию текущего и прогнозируемого состояния окружающей экономической среды. Должны быть отражены труднопрогнозируемые факторы, их альтернативные значения для различных вариантов развития событий.[19]
Требуется четкая разбивка расходов по проекту и использования средств.
Должны быть описаны условия всех остальных относящихся к проекту или уже находящихся на балансе кредитов. Необходимо четко показать, как и кем (самим предприятием или независимым подрядчиком) составлялась смета расходов; предполагаемая степень четкости сметы. Должны быть описаны условия, оценки и предположения, базируясь на которых, рассчитывались финансовые результаты проекта.
В данном разделе необходимо отразить:
- общую потребность в инвестициях;
- источники финансирования;
- план доходов и расходов;
- баланс денежных расходов и поступлений;
- потребность в оборотном капитале;
- срок окупаемости проекта;
- отчет по прибыли;
- расчет точки безубыточности, а также необходимые финансовые показатели.[93]
Если разрабатывается план финансового оздоровления, то в этом разделе необходимо рассчитать показатели финансово-хозяйственной деятельности предприятия.
Раздел, описывающий потенциальные риски особенно важен, так как фактор риска оказывает большое влияние на финансово-хозяйственную деятельность предприятия.
Следует учитывать, как минимум, следующие виды рисков:
- производственные, связанные с различными нарушениями в производственном процессе или процессе поставок сырья, материалов и комплектующих;
- коммерческие, связанные с реализацией продукции на рынке не в полном объеме;
- финансовые риски, которые вызываются инфляционными процессами, неплатежами, колебаниями валютных курсов и т.п.;
- риски, связанные с форс-мажорными обстоятельствами, которые могут быть вызваны непредвиденными обстоятельствами (от смены политического курса до стихийных бедствий).[24]
Методы снижения влияния рисков различны, однако наиболее действенным является коммерческое страхования, создание резервного фонда и функционирование предприятия с большим запасом финансовой прочности.
Ключевые моменты бизнес-планирования это оценка инициаторами проекта:
1.возможности, необходимости и объема выпуска продукции (услуг);
2.потенциальных потребителей;
3.конкурентоспособности продукта на внутреннем и внешнем рынках;
своего сегмента рынка;
4.показателей различных видов эффективности (коммерческой, региональной, бюджетной);
5.достаточности капитала у инициатора бизнес-идеи и возможных источников финансирования.[35]
Из перечисленного выше можно сделать вывод, что бизнес-план это:
1.изложение системы доказательств, убеждающих инвестора в выгодности проекта;
2.определение степени жизнеспособности и будущей устойчивости предприятия;
3.предвидение рисков предпринимательской деятельности;
4.конкретизация перспективы бизнеса в виде системы количественных и качественных показателей развития;
5.развитие перспективного (стратегического) взгляда на компанию и ее рабочую среду путем получения ценного опыта планирования.[27]
Таким образом, мы рассмотрели основные нюансы написания бизнес-плана, то есть плана осуществления бизнес-операций, действий фирмы, содержащего сведения о фирме, товаре, его производстве, рынках сбыта, маркетинге, организации операций и их эффективности. Задачи бизнес-плана: сформулировать долговременные и краткосрочные цели фирмы, стратегию и тактику их достижения; определить конкретные направления деятельности фирмы, целевые рынки и место фирмы на этих рынках; выбрать ассортимент и определить показатели товаров и услуг, которые будут предложены фирмой потребителям; оценить производственные и непроизводственные издержки; определить состав маркетинговых мероприятий по изучению рынка, стимулированию продаж, ценообразованию и т.п.; оценить финансовое положение фирмы и соответствие имеющихся финансовых и материальных ресурсов возможностям достижения поставленных целей и т.д.
1.2. Теоретические основы российского кинематографа
Кинематограф отрасль человеческой деятельности, заключающаяся в создании движущихся изображений. Иногда также упоминается как синематограф и кинематография. Кинематограф был изобретён в конце XIX века и стал крайне популярен в XX веке.[15]
В понятие кинематографа входят киноискусство вид современного изобразительного искусства, произведения которого создаются при помощи движущихся изображений, и киноиндустрия (кинопромышленность) отрасль экономики, производящая кинофильмы, спецэффекты для кинофильмов, мультипликацию, и демонстрирующая эти произведения для зрителей. Произведения киноискусства создаются при помощи кинотехники. Изучением кинематографа занимается наука киноведение. Сами кинофильмы могут сниматься в различных жанрах игрового и документального кино.
Кинематограф занимает значительную часть современной культуры многих стран. Во многих странах киноиндустрия является значимой отраслью экономики. Производство кинофильмов сосредоточено на киностудиях. Фильмы демонстрируются в кинотеатрах, по телевидению, распространяются «на видео» в форме видеокассет и видеодисков, а с появлением скоростного интернета стало доступным скачивание кинофильмов в форме видеофайлов на специализированных сайтах или посредством пиринговых сетей (что может нарушать права правообладателей кинофильма).[8]
Российское кино - киноискусство и киноиндустрия Российской Федерации. В начале 1990-х наступило затишье российского кинематографа. Но в последние годы Эпохи 90-х все сегменты отрасли кинематографии Российской Федерации демонстрируют постоянный рост, что вызывает интерес к российскому рынку со стороны как отечественных, так и зарубежных инвесторов, профильных и непрофильных. Эти процессы являются естественным результатом последовательного возрождения различных отраслей кинематографии в России кинопоказа, кинопроката, кинопроизводства.[21]
Первым этапом стало открытие в 1996 году первого кинотеатра западного типа «Кодак-Киномир» в Москве; с тех пор киносеть России серьезно увеличилась, появились качественные площадки для кинопроката. В 1998-м оживилась отрасль кинодистрибьюции, доказавшая (благодаря выходу фильма «Титаник», собиравшему полные залы во всех, даже несовременных, кинотеатрах страны) возможность пробуждения интереса к кино у российских зрителей.[33] В 2004-м отечественные кинопродюсеры смогли переориентироваться на производство коммерческих блокбастеров, которые благодаря широким рекламным кампаниям и поддержке со стороны ведущих федеральных телеканалов привлекли в кинозалы большую аудиторию (самым громким таким проектом стал фильм «Ночной дозор»). А в 2005 году инвестиции потекли и в отрасль кинопроизводственного сервиса: начался процесс восстановления инфраструктуры, и к 2008 году острый дефицит павильонных площадей, кинооборудования и услуг монтажно-тонировочного периода был устранен.[14]
Мировой финансово-экономический кризис 2009-го оказал негативное воздействие на все сферы киноиндустрии в России: снизился объем производства кино- и телефильмов, как финансировавшихся за счет федерального бюджета, так и частными инвесторами и телеканалами; начали происходить процессы укрупнения игроков в сфере кинопроизводства (продюсерских компаний) и кинопроката (в том числе появились и новые вертикально интегрированные структуры); остановились проекты строительства новых киностудийных комплексов на территории страны; замедлился рост рынка кинопоказа, произошел переход от интенсивных методов развития киносетей (направленных на открытие кинотеатров в новых регионах и городах) к экстенсивным (прежде всего за счет установки цифровых кинопроекторов в уже действующих кинотеатрах).[103]
Однако все эти процессы расцениваются отечественными специалистами в сфере кинематографии неоднозначно. Многие говорят о благотворном влиянии кризиса, который позволяет оздоровить индустрию. С рынка ушли слабые игроки, а также лишние непрофильные инвестиции, в последние годы способствовавшие постоянному росту себестоимости как кинопроизводства в России, так и цены лицензии на прокат фильмов, приобретаемой российскими компаниями на международных кинорынках. Рост рынка кинопоказа в России также происходил за счет открытия кинотеатров в крупных городах, что привело к чрезмерной конкуренции в городах-миллионниках при сохранении дефицита в более мелких населенных пунктах.[11]
Рассмотрим краткие характеристики конкретных ветвей отрасли кинематографии в России.
Все действующие на рынке кинопроизводства РФ кинокомпании можно разделить на несколько категорий, в зависимости от реализуемых ими функций: кинопроизводящие компании; киностудийные комплексы (обладают собственными киносъемочными павильонами); компании, предоставляющие кинооборудование в аренду съемочным группам; центры по оказанию монтажно-тонировочных услуг.[22]
Производящие компании (продюсерские центры, имеющие собственные кинопрокатные подразделения; продюсерские компании; государственные и частные киностудии; телеканалы, а также голливудские студии-мейджоры) за период с 01.01.2006 по 01.07.2009 инвестировали в кино- и телепроизводство более 61 млрд руб. (около 17,5 млрд руб. в год в среднем), большая часть которых была вложена в создание игровых телефильмов и телесериалов (52%), а также в производство кинофильмов (около 40%).[12]
Пик производства полнометражных теле- и кинофильмов был достигнут в 2008 году (158 и 106 наименований соответственно).[100]
Лидером киноиндустрии по объему инвестиций в России остается рынок телесериалов и телефильмов (объем инвестиций за последние 3,5 года составил 32 млрд руб., при этом было произведено более 9 000 эпизодов телесериалов и более 450 телефильмов), что связано с ростом себестоимости производства в этом секторе (порядка 30% в год до кризиса 2009-го), а также с ростом в 20072008 годах числа производимых телефильмов. Однако в 2009 году проявилась нехарактерная для рынка тенденция: число производимых кинофильмов превысило число телефильмов, поскольку телевидение оказалось более подвержено воздействию финансово-экономического кризиса по причине меньшей продолжительности производственного цикла и большей чувствительности к заказам на запуск производства со стороны телеканалов.[56] По мнению продюсера Сергея Жигунова («Три мушкетера», «Королева Марго»), возможности телеэкрана более широкие, чем у кинотеатров, в плане возможности рассказывать зрителю более масштабные и умные истории, не востребованные юными посетителями кинотеатров.[103] Другой кинодеятель Сергей Урсуляк, режиссер знаменитого телесериала «Ликвидация» (2007), несмотря на успехи своих проектов считает, что в телевизионном производстве наблюдается тенденция по производству в режиме количество в урон качеству.[97] На наш взгляд, в данном вопросе следует опираться на позицию Жигунова, поскольку телевизионные каналы начинают постепенно отказываться от долгоиграющих «мыльных опер» с полезным хронометражом отснятого материала в день в количестве 40 минут (что является слишком большой цифрой, для сравнения в полнометражном кино в день снимают 3-7 минут полезного материала) в пользу 4-20-серийных проектов, на съемку каждой серии которых уходит 3-8 дней. Примером для подражания в таком случае являются снимающиеся по кинотехнологии зарубежные сериалы США (каналы HBO, Fox, Showtime), Великобритании (BBC, Channel 4) и других стран.
Рынок игрового кино занимает второе место по объему инвестиций (около 25 млрд руб. за последние 3,5 года). Производство большинства фильмов осуществляется в России во многом на безвозвратные вложения и в первую очередь на средства Министерства культуры РФ (из 341 произведенного фильма за период с 01.01.2006 по 01.07.2009 господдержку получили 198; при этом в 2009 году в производство не был запущен ни один фильм, получивший государственную поддержку, а все бюджетное финансирование было направлено на завершение проектов). Государственная поддержка игровых фильмов составляла в среднем 19 млн руб. на один фильм. В период с 2006 года в стране наблюдается устойчивая тенденция роста количества создаваемых кинофильмов; в среднем ежегодно в России производится 100 полнометражных игровых картин, при этом в кинотеатральный кинопрокат выходит в среднем 72 фильма.[99] Рост кинопроизводства в период 20062008 годов также спровоцировал и рост себестоимости производства преимущественно за счет увеличения заработной платы членов съемочных групп, поскольку многие специалисты в России оказывались дефицитными. Завышенные производственные бюджеты и нередко слабые кассовые сборы кинопроката отечественных кинокартин привели к тому, что большинство российских фильмов не окупилось по результатам кинотеатрального проката, а продюсерские компании понесли убытки.[98] Хотя до 2009 года многие из них могли получить высокие дополнительные доходы из других источников от продажи прав на издание фильма на DVD, показ по телевидению, выпуск компьютерных игр и других сопутствующих товаров. Разразившийся финансово-экономический кризис снизил все дополнительные доходы продюсеров как за счет сократившихся объемов закупок таких прав, так и за счет падения цен на этих рынках.
Таким образом, нами были изучены основы российского кинематографа и накопленная информация поможет нам выявить причины существующего в настоящий момент отношения зрителей к российскому кино и понять, как эти проблемы решить.
1.3. Теоретические основы распространения кинопродукции
Главным местом сбыта кинопродукции является кинотеатр. Продюсерская компания, выпускающая фильм, подписывает контракт с дистрибьютором, который будет продвигать фильм на кинорынках, чтобы фильмом заинтересовались кинотеатры и киносети, тем самым обеспечив максимально широкую роспись.[94]
Все действующие на российском рынке кинопроката дистрибьюторы могут быть разделены на группы, в зависимости от характера контента, с которым они работают:
иностранные компании - прямые представительства голливудских студий-мейджоров на российском рынке («Universal Pictures International», «Walt Disney Sony Pictures Releasing», «20 век Фокс-СНГ»);
российские компании - официальные представители голливудских мейджоров («Каро Премьер» - представитель «Warner Bros.», «Централ Партнершип» - «Paramount»);
независимые компании-дистрибьюторы, работающие на рынке преимущественно с фильмами для широкой аудитории (мейнстрим): «Парадиз», «West», «Люксор», «Тор Film Distribution», « Каскад», «Вольга», «Наше кино», «Каропрокат», «Р And I Films»;
независимые кинопрокатчики, работающие с узким целевым контентом («Саravella DDC/Другое кино», «Р Аnd I Films», «Premium Film», «Панорама»), артхаусом («Кино без границ», «Русский репортаж», «Синема Престиж», «Rusciсо») и альтернативным контентом («Невафильм Emotion», «СооlСоnnections»);
кинопроизводители (некоторые отечественные продюсеры, самостоятельно представляющие и прокатывающие свои фильмы на рынке, -часто они специально создают новую прокатную компанию для одной кинокартины);
региональные киновидеопрокатные организации (КВО) сохранившиеся со времен СССР местные органы управления кинематографии, утратившие большинство своих функций и являющиеся в настоящее время хранителями фильмофондов и обеспечивающие их прокат в региональной сети, преимущественно в несовременных кинотеатрах, в сельских клубах и домах культуры, кинопередвижках и киноустановках.[22]
На сегодня можно выделить одну большую и самую главную проблему, которая существует в российском кинопрокате и дистрибуции. Это количество современных кинозалов, которое, конечно же, до сих пор не удовлетворяет тем требованиям, которые предъявляет сегодня современный кинопоказ и современный кинопрокат. Как верно заметил генеральный директор «Каропрокат» Алексей Рязанцев, отсюда масса проблем, связанных с «толкотней» на датах, причем уже не просто на датах «вкусных», а практически на всех.[103] И речь идет даже не столько о самих современных кинозалах, сколько, прежде всего, о многозальных кинотеатрах, с количеством в них залов от восьми и выше. Потому что только при таком программировании экранов создается нормальное положение дел, когда фильм может «играть» и, как это у нас в стране принято сегодня: две недели проката и всё дальше он «умирает», потому что даже если он и зарабатывает, то он переводится на минимальное количество сеансов, потому что должен освободить место для других стартующих картин. Даже если, они потенциально коммерчески не так привлекательны, как те, которые еще идут в конкретном кинотеатре.
Вторая проблема, это отсутствие единой электронной системы отчетности. Многие продюсеры склонны винить руководства кинотеатров в утаивании прибыли от проданных билетов.[87]
Третий вопрос, который волнует всех дистрибуторов, правообладателей и продюсеров это вопрос о пиратстве. Большинство выходящих в прокат фильмов появляются на торрент-трекерах уже через день-два после премьеры.[72]
После того, как фильм прошел в прокате, через какое-то время он появляется на DVD и Интернет-порталах (now.ru, ivi.ru, megogo.net и др.) и уже затем в эфире телевизионных каналов. Зачастую российские продюсеры «ломают» данную схему. Например, многие российские фильмы одновременно с прокатом в кинотеатрах появляются и на платных порталах в режиме онлайн в частности, в таком режиме вышли «Легенда №17» и «Географ глобус пропил». Несмотря на то, что видеопиратам удалось скачать видеопоток и выложить его на торрент-трекеры, фильмам удалось собрать внушительную кассу.[100] Другой яркий пример фильм Андрея Звягинцева «Елена», который шел в ограниченном прокате. На волне информационной волны о триумфе фильма на различных кинофестивалях, репутации режиссера как создателя резонансных фильмов и высоких рейтингов предыдущих картин режиссера в телевизионном эфире компания-производитель фильма «Нон-стоп Продакшн» продала права на показ каналу «Россия-1», где его премьера состоялась уже через неделю после начала проката. Ожидания продюсеров фильма и руководства канала превзошли все ожидания: арт-хаус, вышедший в тайм-слоте (воскресенье, 21-00), в котором обычно выходили мелодрамы для целевой аудитории «женщины 55+», стал самым популярной программой, выходившей в данный промежуток времени, обогнав «Воскресное время» и «Мульт личности» на «Первом канале» и концерт группы «На-на» на НТВ.[72]
Подведем итоги. Мы рассмотрели ключевые теоретические аспекты бизнес-планирования и функционирования российского кинематографа. Бизнес-план представляет собой результат исследований и организационной работы, имеющей целью изучение конкретного направления деятельности фирмы (продукта или услуг) на определенном рынке в сложившихся организационно-экономических условиях. Основные составляющие бизнес-плана: вводная часть (резюме); содержательный раздел (описание, сущность проекта); разделы внутрифирменного планирования (деятельность и структура компании, маркетинг, планирование отделов и персоналп, технологии, товарооборот и т.п.); финаново-аналитический раздел (планирование финансовых показателей их анализ и оценка); оценка рисков бизнес-плана. Кинобизнес как процесс представляет собой ряд последовательных этапов от разработки проекта до выпуска его в массовый кинопрокат и вторичный прокат на видеоносителях и телевизионную трансляцию. Кинопроизводство процесс, находящийся на грани творчества и бизнеса, и по этой причине для успешного функционирования руководители кинокомпаний должны уметь составлять бизнес-планы кинопроектов, чтобы обосновать коммерческий потенциал перед предполагаемыми инвесторами картины.
Глава 2. Анализ современного российского кинематографа и проблем его распространения
- Текущее состояние российского кинематографа
Чтобы адекватно рассуждать о российском кинематографе, уровне его популярности и тенденциях его развития, рассмотрим предыдущий киногод по вышедшим фильмам и реакции на них зрителей, выражающейся в покупательной способности билетов на фильмы(табл. 2.1):
Таблица 2.1
Российские кинофильмы 2014 года
|
Номер фильма в порядке выхода в прокат |
Дата начала проката |
Название фильма |
Кассовые сборы в РФ, долл. США |
|
1 |
2 |
3 |
4 |
|
1 |
01.01.2014 |
Любовь в большом городе-3 |
15 884 284 |
|
2 |
01.01.2014 |
Друзья друзей |
8 237 134 |
|
3 |
01.01.2014 |
Быстрее, чем кролики |
5 378 969 |
|
4 |
09.09.2014 |
Тетушки |
28 368 |
|
5 |
16.01.2014 |
Роман с кокаином |
11 562 |
|
6 |
23.01.2014 |
Чемпионы |
5 388 526 |
|
7 |
30.01.2014 |
Вий |
34 592 118 |
|
8 |
06.02.2014 |
В спорте только девушки |
7 216 781 |
|
9 |
06.02.2014 |
Белка и Стрелка: Лунные приключения |
5 923 290 |
|
10 |
13.02.2014 |
Нереальная любовь |
894 088 |
|
11 |
13.02.2014 |
Золото |
26 275 |
|
12 |
20.02.2014 |
Зимний путь |
15 654 |
|
13 |
20.02.2014 |
Жажда |
10 130 |
|
14 |
27.02.2014 |
Легок на помине |
5 490 509 |
|
15 |
27.02.2014 |
Спираль |
1 637 432 |
|
16 |
27.02.2014 |
Трудно быть Богом |
1 282 065 |
|
17 |
06.03.2014 |
С 8 марта, мужчины! |
2 577 104 |
|
18 |
06.03.2014 |
Дубровский |
1 677 946 |
|
19 |
13.03.2014 |
Владение 18 |
320 395 |
|
20 |
20.03.2014 |
Залетчики |
429 098 |
|
21 |
20.03.2014 |
Иуда |
20 502 |
|
22 |
03.04.2014 |
Стартап |
168 604 |
|
23 |
03.04.2014 |
Питер. Лето. Любовь |
160 272 |
|
24 |
03.04.2014 |
Шагал-Малевич |
137 047 |
|
25 |
10.04.2014 |
Авантюристы |
1 409 260 |
|
26 |
10.04.2014 |
Это твой день |
28 116 |
|
27 |
17.04.2014 |
Скорый «Москва-Россия» |
5 163 833 |
|
28 |
17.04.2014 |
Черная роза |
887 615 |
|
29 |
17.04.2014 |
Небо падших |
3 086 |
|
30 |
24.04.2014 |
Газгольдер: Фильм |
1 782 801 |
|
31 |
24.04.2014 |
Зеркала |
77 143 |
|
32 |
24.04.2014 |
Диалоги |
7 543 |
|
33 |
01.05.2014 |
Кухня в Париже |
13 969 785 |
|
34 |
08.05.2014 |
22 минуты |
669 601 |
|
35 |
08.05.2014 |
Восьмерка |
299 668 |
|
36 |
22.05.2014 |
Подарок с характером |
4 100 000 |
|
37 |
29.05.2014 |
Неправильные копы |
6 543 |
|
38 |
05.06.2014 |
Все и сразу |
3 442 454 |
|
39 |
05.06.2014 |
Чебурашка |
60 000 |
|
40 |
12.06.2014 |
Форт Росс: В поисках приключений |
150 395 |
|
41 |
12.06.2014 |
Я не вернусь |
14 371 |
|
42 |
19.06.2014 |
Собачий рай |
2 371 |
|
43 |
26.06.2014 |
Да и да |
31 429 |
|
44 |
10.07.2014 |
Поддубный |
6 175 475 |
|
45 |
10.07.2014 |
Арктика великая. Часть первая. Почитание духа огня |
3 229 |
|
46 |
07.08.2014 |
Здрасьте, я ваш папа! |
486 |
|
47 |
14.08.2014 |
Тайна четырех принцесс |
1 269 914 |
|
48 |
21.08.2014 |
Кавказская пленница! |
179 843 |
|
49 |
28.08.2014 |
Весёлые ребята;) |
157 143 |
|
50 |
04.09.2014 |
Виктор |
129 356 |
|
51 |
11.09.2014 |
Велкам хом |
19 000 |
|
52 |
18.09.2014 |
Корпоратив |
4 825 046 |
|
53 |
18.09.2014 |
Испытание |
10 478 |
|
54 |
18.09.2014 |
Еще |
14 612 |
|
55 |
25.09.2014 |
Класс коррекции |
140 494 |
|
56 |
25.09.2014 |
Беглецы |
29 147 |
|
57 |
02.10.2014 |
Смешанные чувства |
2 456 123 |
|
58 |
02.10.2014 |
9 дней и одно утро |
10 773 |
|
59 |
02.10.2014 |
Белый ягель |
4 114 |
|
60 |
09.10.2014 |
Выпускной |
4 252 271 |
|
61 |
09.10.2014 |
Солнечный удар |
1 693 797 |
|
62 |
09.10.2014 |
Кино про Алексеева |
61 583 |
|
63 |
16.10.2014 |
Weekend |
83 515 |
|
64 |
23.10.2014 |
Горько!-2 |
13 422 611 |
|
65 |
30.10.2014 |
Дневник мамы первоклассника |
74 286 |
|
66 |
30.10.2014 |
Тайна темной комнаты |
72 222 |
|
67 |
30.10.2014 |
Приключения маленьких итальянцев |
41 667 |
|
68 |
13.11.2014 |
День дурака |
1 720 614 |
|
69 |
20.11.2014 |
Здорово и вечно |
40 051 |
|
70 |
20.11.2014 |
Sex, кофе, сигареты |
108 452 |
|
71 |
20.11.2014 |
Не бойся, я с тобой! 1919 |
4 486 |
|
72 |
20.11.2014 |
Сын |
4 694 |
|
73 |
27.11.2014 |
Как меня зовут |
55 359 |
|
74 |
04.12.2014 |
Любит не любит |
2 342 423 |
|
75 |
04.12.2014 |
Василиса |
301 940 |
|
76 |
04.12.2014 |
Звезда |
92 500 |
|
77 |
11.12.2014 |
Дурак |
15 554 |
|
78 |
18.12.2014 |
Вычислитель |
442 819 |
|
79 |
25.12.2014 |
Елки 1914 |
12 848 123 |
|
80 |
25.12.2014 |
Мамы-3 |
2 752 064 |
Нетрудно заметить, что вышло 80 фильмов.[101] Это лучший результат за последние шесть лет. Для сравнения, предыдущий рекорд был установлен в 2008-2009 годах: по 78 в каждом. В 2010 году произошел спад: вышло 69 фильмов, в 2011 63, в 2012 году 68, в 2013 62.
В совокупности 80 российских фильмов заработали в общей сумме долларов.
Рассмотрим, насколько прибыльны и популярны российские фильмы. С учетом нынешней системы кинопроката, когда правообладатели картины вынуждены отдавать 50 % сборов кинотеатрам, и еще 15 % прокатчикам фильма, фильм при среднем бюджете в 2 миллиона долларов должен заработать минимум 8 миллионов только, чтобы выйти в ноль.[103] Очевидно, что фильмы со сборами менее миллиона долларов являются абсолютными провалами с экономической точки зрения. В 2014 году таких фильмов вышел 51(табл. 2.2):
Таблица 2.2
Российские фильмы 2014 года, собравшие меньше 1 миллиона долларов
|
Дата начала проката |
Название фильма |
Кассовые сборы в РФ, долл. США |
|
1 |
2 |
3 |
|
09.09.2014 |
Тетушки |
28 368 |
|
16.01.2014 |
Роман с кокаином |
11 562 |
|
13.02.2014 |
Нереальная любовь |
894 088 |
|
13.02.2014 |
Золото |
26 275 |
|
20.02.2014 |
Зимний путь |
15 654 |
|
20.02.2014 |
Жажда |
10 130 |
|
13.03.2014 |
Владение 18 |
320 395 |
|
20.03.2014 |
Залетчики |
429 098 |
|
20.03.2014 |
Иуда |
20 502 |
|
03.04.2014 |
Стартап |
168 604 |
|
03.04.2014 |
Питер. Лето. Любовь |
160 272 |
|
03.04.2014 |
Шагал-Малевич |
137 047 |
|
10.04.2014 |
Это твой день |
28 116 |
|
17.04.2014 |
Черная роза |
887 615 |
|
17.04.2014 |
Небо падших |
3 086 |
|
24.04.2014 |
Зеркала |
77 143 |
|
24.04.2014 |
Диалоги |
7 543 |
|
08.05.2014 |
22 минуты |
669 601 |
|
08.05.2014 |
Восьмерка |
299 668 |
|
29.05.2014 |
Неправильные копы |
6 543 |
|
05.06.2014 |
Чебурашка |
60 000 |
|
12.06.2014 |
Форт Росс: В поисках приключений |
150 395 |
|
12.06.2014 |
Я не вернусь |
14 371 |
|
19.06.2014 |
Собачий рай |
2 371 |
|
26.06.2014 |
Да и да |
31 429 |
|
10.07.2014 |
Арктика великая. Часть первая. Почитание духа огня |
3 229 |
|
07.08.2014 |
Здрасьте, я ваш папа! |
486 |
|
21.08.2014 |
Кавказская пленница! |
179 843 |
|
28.08.2014 |
Весёлые ребята;) |
157 143 |
|
04.09.2014 |
Виктор |
129 356 |
|
11.09.2014 |
Велкам хом |
19 000 |
|
18.09.2014 |
Испытание |
10 478 |
|
18.09.2014 |
Еще |
14 612 |
|
25.09.2014 |
Класс коррекции |
140 494 |
|
25.09.2014 |
Беглецы |
29 147 |
|
02.10.2014 |
9 дней и одно утро |
10 773 |
|
02.10.2014 |
Белый ягель |
4 114 |
|
09.10.2014 |
Кино про Алексеева |
61 583 |
|
16.10.2014 |
Weekend |
83 515 |
|
30.10.2014 |
Дневник мамы первоклассника |
74 286 |
|
30.10.2014 |
Тайна темной комнаты |
72 222 |
|
30.10.2014 |
Приключения маленьких итальянцев |
41 667 |
|
20.11.2014 |
Здорово и вечно |
40 051 |
|
20.11.2014 |
Sex, кофе, сигареты |
108 452 |
|
20.11.2014 |
Не бойся, я с тобой! 1919 |
4 486 |
|
20.11.2014 |
Сын |
4 694 |
|
27.11.2014 |
Как меня зовут |
55 359 |
|
04.12.2014 |
Василиса |
301 940 |
|
04.12.2014 |
Звезда |
92 500 |
|
11.12.2014 |
Дурак |
15 554 |
|
18.12.2014 |
Вычислитель |
442 819 |
По меркам Сергея Сельянова, продюсера и основателя кинокомпании «СТВ», если российскому фильму удалось собрать более миллиона долларов, его можно назвать успешным.[6] На наш взгляд, это утверждение верно в случаях, касающихся малобюджетных, авторских фильмов. Учитывая факт, что для выхода «в ноль» фильму нужно собрать в три раза больше совокупных затрат на производство и маркетинг, с экономической точки зрения успешными фильмы со сборами от 1 до 5 миллионов долларов назвать нельзя (табл. 2.3):
Таблица 2.3
Российские фильмы 2014 года со сборами от 1 до 5 миллионов долларов
|
Дата начала проката |
Название фильма |
Кассовые сборы в РФ, долл. США |
|
1 |
2 |
3 |
|
27.02.2014 |
Спираль |
1 637 432 |
|
27.02.2014 |
Трудно быть Богом |
1 282 065 |
|
06.03.2014 |
С 8 марта, мужчины! |
2 577 104 |
|
06.03.2014 |
Дубровский |
1 677 946 |
|
10.04.2014 |
Авантюристы |
1 409 260 |
|
24.04.2014 |
Газгольдер: Фильм |
1 782 801 |
|
22.05.2014 |
Подарок с характером |
4 100 000 |
|
05.06.2014 |
Все и сразу |
3 442 454 |
|
14.08.2014 |
Тайна четырех принцесс |
1 269 914 |
|
18.09.2014 |
Корпоратив |
4 825 046 |
|
02.10.2014 |
Смешанные чувства |
2 456 123 |
|
09.10.2014 |
Выпускной |
4 252 271 |
|
09.10.2014 |
Солнечный удар |
1 693 797 |
|
13.11.2014 |
День дурака |
1 720 614 |
|
04.12.2014 |
Любит не любит |
2 342 423 |
|
25.12.2014 |
Мамы-3 |
Сборы в размере 5-10 миллионов долларов вполне достаточная сумма для окупаемости малобюджетных комедий (табл. 2.4):
Таблица 2.4
Российские фильмы 2014 года со сборами от 5 до 10 миллионов долларов
|
Дата начала проката |
Название фильма |
Кассовые сборы в РФ, долл. США |
|
1 |
2 |
3 |
|
01.01.2014 |
Друзья друзей |
8 237 134 |
|
01.01.2014 |
Быстрее, чем кролики |
5 378 969 |
|
23.01.2014 |
Чемпионы |
5 388 526 |
|
06.02.2014 |
В спорте только девушки |
7 216 781 |
|
06.02.2014 |
Белка и Стрелка: Лунные приключения |
5 923 290 |
|
27.02.2014 |
Легок на помине |
5 490 509 |
|
17.04.2014 |
Скорый «Москва-Россия» |
5 163 833 |
|
10.07.2014 |
Поддубный |
6 175 475 |
Сборы более 10 миллионов долларов можно назвать неплохим результатом для фильма, позволяющим принести прибыль создателям (табл. 2.5):
Таблица 2.5
Российские фильмы 2014 года со сборами от 10 миллионов долларов
|
Дата начала проката |
Название фильма |
Кассовые сборы в РФ, долл. США |
|
1 |
2 |
3 |
|
01.01.2014 |
Любовь в большом городе-3 |
15 884 284 |
|
30.01.2014 |
Вий |
34 592 118 |
|
01.05.2014 |
Кухня в Париже |
13 969 785 |
|
23.10.2014 |
Горько!-2 |
13 422 611 |
|
25.12.2014 |
Елки 1914 |
На основе указанных данных можно построить диаграмму (рис. 2.1):

Рис. 2.1. Доли фильмов по степени успешности в кинопрокате
Под цифрой 1 скрываются фильмы, собравшие меньше миллиона долларов. Таковых 51. То есть 64 %.
2 фильмы со сборами от 1 до 5 миллионов долларов. Их 16. 20 % от общего числа.
3 сборы от 5 до 10 миллионов долларов. 8 фильмов, 10 %.
4 сборы от 10 миллионов долларов. 5 фильмов. 6 %.
Подводя итоги, можно сказать, что как минимум половина фильмов убыточна, а другая половина чаще всего ограничивается лишь выходом в ноль, можно сделать вывод, что на данном этапе в массе своей российское кино целевой аудитории кинотеатров (молодежь от 13 до 25 лет) не интересно.
2.2. Проблемы и тенденции развития российского кинематографа
К сожалению, в большинстве случаев российская кинопродукция неконкурентоспособна. Ей не удается обогнать по сборам американские блокбастеры, в телевизионном эфире она терпит сокрушительное поражение по цифрам уже при первой трансляции и в дальнейшем может надеяться лишь на показы в раннее утро на каналах с аудиторией меньше 100 тысяч человек, а про продажи на DVD и размещение на платных Интернет-порталах и говорить не приходится. А ведь еще каких-то тридцать лет назад ежегодно зрители всей страны спешили в кинозалы на просмотр нашего кино, которое до сих пор обгоняет по цифрам голливудские блокбастеры.
В 2014 году отметку в 10 миллионов долларов смогли преодолеть только фильмы «Вий» (самый кассовый российский фильм 2014 года), «Любовь в большом городе-3», «Елки 1914», «Кухня в Париже» и «Горько!-2». Следует оговориться, что только «Вий» является оригинальным фильмом, другие же картины являются сиквелами: «Любовь в большом городе-3» и «Горько!-2» - продолжения хитов прошлых лет, «Елки 1914» - историческая фантазия, являющаяся ответвлением проекта «Елки», «Кухня в Париже» же является полнометражным продолжением сериала «Кухня» на канале СТС. Более 50 картин остались без внимания и не смогли окупить даже мизерную часть своих производственных затрат. «Фонд кино», студии-лидеры и небольшие кинокомпании задаются одним и тем же вопросом: как сделать российское кино конкурентоспособным. 99 % всех аналитиков и самих участников рынка уверены, что выдвигаемая депутатами идея ввести квоты на российские кино и заставлять кинотеатры его показывать (то есть по сути перенос на отечественную почву схемы, работающей во Франции) бесперспективна, на данном этапе киносети в силу своего опыта и профессионализма с точностью определяют, какие проекты какие сборы принесут, и любые силовые воздействия на данный бизнес уничтожат бизнес кинотеатров.
На наш взгляд, одна из основных проблем отсутствие системного подхода в российском кинорынке. Если бы студии-лидеры вместе бы обсуждали идеи будущих проектов, возможно они бы задумались о том, что можно было бы найти каждому узкую, но глубокую специализацию: например, одним из лидеров 2012 года по сборам стала компания «Enjoy Movies», работающая без финансовой господдержки и тем не менее выпускающая комедии, которые окупаются в первые 1,5 недели проката: «Мамы», «Тот еще Карлосон», «Беременный» и другие. В том же сегменте рынка работают «Среда» («В спорте только девушки», «Zолушка»), «Квартет И» («О чем говорят мужчины», «О чем еще говорят мужчины», «День радио», «Быстрее, чем кролики»), «Comedy club production» («Наша Russia: Яйца судьбы», «Самый лучший фильм-1,2,3»), «Леополис» («Гитлер Капут!», «Любовь в большом городе»), «Лунапарк» («Горько!», «Выпускной»), «Квартал-95» («Служебный роман: Наше время», «8 первых свиданий», «Ржевский против Наполеона»), «Fresh Films» («Подарок с характером», «Одной левой»). Четкое понимание целевой аудитории и активное сотрудничество с телеканалами при продвижении фильма при невысоких производственных бюджетах представляют собой весьма устойчивую бизнес-модель. Комедия является самым монетизируемым жанром и в кинематографе, и на телевидении. В отличие от боевиков и приключенческих фильмов, комедия может выдержать гораздо большее число повторов в телеэфире.
Еще одна важная проблема отсутствие кадров. Как ни пародоксально, в большинстве новых компаний должности продюсеров и сценаристов занимают бывшие КВНщики без профильного образования, а выпускники ВГИКа и СПБГИКиТа сидят годами без работы. Как заявил Валерий Федорович, заместитель генерального продюсера ТНТ, проблема в том, что в упомнятых вузах учат искусству, а не профессии, студенты живут в вымышленном мире, иллюзии, что они будут творить как Тарковский и искренне удивляется, что им придется потом минимум три года заниматься всем подряд на съемках скетчкомов и милицейских сериалов. Еще зачастую на просторах Интернета студенты могут найти более точную и достоверную информацию, чем та, которую им предоставляют не всегда компетентные и не всегда профпригодные преподаватаели. А студенты продолжают сидеть и мечтать как будут сразу создателями внезапно кассовых авторских картин и внедрять системы «Пиксара» и прочих. А на самом деле будут по 3 месяца работать бесплатно и делать так как удобно начальству, как дешевле. Не все готовы смириться с такой эклектикой существования. А самые напористые понимают: систему не сломать, нужно давать зрителю то, чего он хочет, при этом соблюдая нормы качества и при этом не пытаться воспитать зрителя.
Как можно заметить из выше приведенных данных, российские кинопроизводители испытывают большие трудности с выводом фильмов на основную площадку для распространения кинотеатры, и кассовый провал в большинстве случаев отрицательно повлияет на выход на другие каналы сбыта (DVD, ТВ, Интернет-порталы). Рынок DVD умирает из-за развития Интернета, телеканалы постепенно отказываются от покупок готового кино, предпочитая производить свое, рассчитанное строго на предпочтения своей целевой аудитории, зато расширяются возможности для монетизации в Интернете.
На наш взгляд, будущее только за теми кинопроизводителями, которые смогут построить четкие схемы распространения своей продукции в Интернете, причем сделав это сообща, объединившись по жанрам их продукции. Так, например, если Федор Бондарчук («Обитаемый остров», «Сталинград») и Тимур Бекмамбетов («Ночной дозор», «Особо опасны») номинально являются конкурентами, работая в одной и той же нише масштабных экшн-фильмов со спецэффектами, они могли бы объединить усилия для совместного развития данного направления, придумать способы минимизации затрат, использовать накопленные у обоих связи с зарубежными дистрибьюторами и вместе же бороться с видеопиратами и налаживать связь с ключевыми видео-порталами, чтобы их проекты могли конкурировать в сети Интернет и приносить дополнительную прибыль.
Подведем итоги. Несмотря на редкие кассовые хиты кинематографа, которым удается собрать большую аудиторию, в целом российский кинематограф мало интересен зрителям. Продюсерам следует объединить усилия для создания успешно работающего конвейера, а не штучного производства, которое в подавляющем большинстве случаев не находит отклик у массовой аудитории, что мешает рынку развиваться.
2.3. Прогнозирование числа выходящих российских кинофильмов
Как видно из полученного анализа, российский зритель в целом не особо активно смотрит отечественное кино, успешные рентабельные фильмы являются скорее исключениями из правила. На наш взгляд, так происходит по той причине, что указанные фильмы-хиты либо являются фильмами-событиями, способными привлечь в кинозалы даже тех, кто в кино не ходит, либо речь идет о кинопроектах, способными конкурировать за зрителя с голливудскими блокбастерами.
По мнению генерального продюсера студии «СТВ» Сергея Сельянова, российскому кинематографу не хватает рядовых фильмов, не блокбастеров и не арт-хаусных экспериментов, а жанровых среднебюджетных картин, способных окупиться в прокате. Приблизительно такой же позиции придерживаются чиновники «Фонда кино», регулярно озвучивающие мысли о том, что необходимо увеличить количество выпускаемых кинофильмов в год.
Для того, чтобы спрогнозировать методом экстраполяции, сколько составит число выходящих кинофильмов в ближайшие несколько лет на основании данных за последние пять лет, которые мы представляли в предыдущей главе, нам следует выполнить следующие действия:
1. Построение графика, отражающего тенденцию изменения числа выходящих кинофильмов во времени по исходным данным. Во-первых, напомним исходные данные: в 2010 году в кинотеатрах эфире вышло в совокупности 69 российских фильмов, в 2011 году 63, в 2012 68, в 2013 62, а в 2014 году 80 российских кинофильмов. Для построения графика необходимо каждому году присвоить порядковый номер: 2010 1, 2011 2, 2012 3, 2013 4, 2014 5(рис. 2.2):

Рис. 2.2. Число выходящих российских кинофильмов в 2010-2014 гг.
Анализ графика позволяет прийти к выводу, что общие условия, определяющие тенденцию изменения числа выходящих кинофильмов в прошлом, не претерпевают существенных изменений в будущем.
Вид кривой свидетельствует о линейной зависимости переменных тенденция изменения числа выходящих кинофильмов характеризуется аналитическим уравнением прямой. Таким образом, выполняются оба условия для возможности применения метода экстраполяции динамического (временного) ряда при выполнении прогноза о количестве российских фильмов на 2015-2020 годы.
2. Расчет параметров уравнения прямой.
Кривая числа выходящих кинофильмов по годам близка к линейной зависимости, которая выражается уравнением прямой по формуле:
у=а+bх, (1)
где у- количество выходящих кинофильмов;
х - порядковый номер года;
а - параметр, характеризующий влияние основных факторов на выход кинофильмов (бюджет кинофильма, зрительские ожидания);
b - параметр, характеризующий влияние вспомогательных факторов на выход фильмов (моды, сезонности и др.).
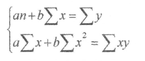
Для нахождения параметров уравнения прямой необходимо составить
и решить систему уравнений по формуле:
(2)
Для решения системы уравнений необходимо провести дополнительные расчеты(табл. 2.6).
Таблица 2.6
Таблица для расчета параметров уравнения прямой
|
Порядковый номер года, х |
Число выходящих в прокат российских к/ф (шт.), у |
ху |
х2 |
|
1 |
2 |
3 |
4 |
|
1 |
69 |
69 |
1 |
|
2 |
63 |
126 |
4 |
|
3 |
68 |
204 |
9 |
|
4 |
62 |
248 |
16 |
|
5 |
80 |
400 |
25 |
|
Итого: 15 |
342 |
1047 |
55 |
5a + 15b = 342
15a + 55b = 69+126+204+248+400
5a + 15b = 342 |*3
15a + 55b = 1047
15a + 45b = 1026
15a + 55b = 1047
10b = 21
b = 2.1
5a + 15*(2.1) = 342
a + 3*(2.1) = 68.4
a + 6.3 = 68.4
a = 62.1, b = 2.1
y(2015) = 62.1 + 2.1*6 = 62.1 + 12.6 = 74.7 75 фильмов
y(2016) = 62.1 + 2.1*7 = 62.1 + 14.7 = 76.8 77 фильмов
y(2017) = 62.1 + 2.1*8 = 62.1 + 16.8 = 78.9 79 фильмов
y(2018) = 62.1 + 2.1*9 = 62.1 + 18.9 = 81 81 фильм
y(2019) = 62.1 + 2.1*10 = 62.1 + 21 = 83.1 83 фильма
y(2020) = 62.1 + 2.1*11 = 62.1 + 23.1 = 85.2 85 фильмов
Как видно из наших расчетов, мы видим положительную динамику выхода российских кинофильмов на экраны кинотеатров.
С помощью метода экстраполяции нам удалось спрогнозировать количество выходящих в прокат фильмов на 2015-2020 годы. Количество выпускаемых фильмов увеличивается, но, к сожалению, подавляющее число лент проваливается в прокате. Вполне возможно, что тенденция увеличения количества фильмов однажды будет символизировать переход от количества к качеству, мы же настаиваем на системности, без поступательного введения которой и речи не идет о создании конкурентоспособной, интересной зрителю киноиндустрии.
Для расчета прогнозируемого числа выходящих российских фильмов в ближайшие несколько лет методом наименьших квадратов нам следует выполнить следующие действия:
1. Расчет параметров уравнения прямой.
Для удобства выполнения расчетов составим и заполним табл. 2.7.
Таблица 2.7
Таблица для расчета параметров уравнения прямой
|
Годы |
Условные обозначения периодов, х |
Х2 |
Число выходящих кинофильмов (шт), у |
Ух |
|
1 |
2 |
3 |
4 |
5 |
|
2010 |
-2 |
4 |
69 |
-138 |
|
2011 |
-1 |
1 |
63 |
-69 |
|
2012 |
0 |
0 |
68 |
0 |
|
2013 |
1 |
1 |
62 |
62 |
|
2014 |
2 |
4 |
80 |
160 |
|
Итого |
0 |
10 |
340 |
15 |
1.1. Столбец 4 содержит исходные данные: в 2010 году в кинотеатрах эфире вышло в совокупности 69 российских фильмов, в 2011 году 63, в 2012 68, в 2013 62, а в 2014 году 80 российских кинофильмов.
1.2. Столбец 2 условные обозначения периодов, х.
Число уровней (значений) ряда динамики с 2010 до 2014 гг. содержит 5 уровней. При нечетном количестве, уровень, находящийся в середине ряда (2012 год), принимается за условное начало отсчета времени (этому периоду или моменту времени придается нулевое значение). Даты времени, стоящего выше этого уровня, обозначаются натуральными числами со знаком минус, например, 2011 году соответствует условное обозначение «-1», 2010 году- «-2»; а ниже - натуральными числами со знаком плюс, например, 2013 году соответствует условное обозначение «1», 2014 году «+2».
1.3. Заполнение столбца 3 осуществляется последовательным возведением в квадрат значений условных обозначений периодов х. В 2-ом примере для 2011 года: х2 = (-1)2 = 1. Требуется вычислить строку «Итого»: 10.
1.4. Столбец 1 содержит года, за которые идет учет количества выходящих на киноэкраны российских фильмов.
1.5. Заполнение столбца 5 осуществляется последовательным переумножением значений столбцов «Число выходящих кинофильмов» (шт), У и «Условные обозначения периодов», Х (столбцы 4 и 2 соответственно). Допустим, для 2014 года:
у * Х = 80*2 = 160.
Требуется вычислить строку «Итого»: 15.
1.6. Решая систему, для О-го варианта задания получаем следующие значения параметров уравнения прямой:
a = 342/5= 68.4
b = 15/10 = 1.5
Зная значение параметров, получаем уравнение тренда уравнение прямой ряда динамики, характеризующего динамику изменения числа выходящих кинофильмов с 2010 года по 2014 год:
^у= 68.4 + 1.5х (3)
2. Используя уравнение прямой (формула 3), выполним прогноз изменения числа выходящих кинофильмов в 2015-2020 годах.
Прогноз: объем кинофильмов в 2015 году по методу наименьших квадратов составит:
^y3 = 68.4 + 1.5*3 = 68.4 + 4.5 = 72.9 73 фильма в 2015 году
^y4= 68.4 + 1.5*4 = 68.4 + 6 = 74.4 74 фильма в 2016 году
^y5=68.4 + 1.5*5 = 68.4 + 7.5 = 75.9 76 фильмов в 2017 году
^y6=68.4 + 1.5*6 = 68.4 + 9 = 77.4 77 фильмов в 2018 году
^y7=68.4 + 1.5*7 = 68.4 + 10.5 = 78.9 79 фильмов в 2019 году
^y8=68.4 + 1.5*8 = 68.4 + 12 = 80.4 80 фильмов в 2020 году
Подведем итоги. Полученные в результате прогноза данные оказались приближены тем данным, которые мы получили, пользуясь методом экстраполяции. Таким образом, видна тенденция к увеличению количества фильмов. Несмотря на тяжелую финансовую ситуацию, государство в лице Министерства культуры и Фонда кино активно финансируют отечественное кино, стимулируя увеличение выпускаемых в прокат лент. При этом ни о какой самоокупаемости и речи не идет: прибыль получают не более 6 % фильмов, большая часть кинопроектов нерентабельна. Для того, чтобы вернуть к экранам зрителя, нужно заинтересовать его кинопродукцией, которая вызовет у него интерес. И это должен быть не разовый спецпроект, а регулярная вереница качественных конкурентоспособных проектов. И если в силу отличия российской экономики от экономики США российские продюсеры не могут позволить бюджеты уровня блокбастеров вроде «Трансформеров», но хотя бы на уровне режиссуры, драматургии и актерской игрой фильм должен быть сделан качественно и при этом быть понятен для аудитории кинотеатров. И именно такие цели должны себе ставить кинематографисты, а не желание выпустить как можно больше фильмов. Потому что калейдоскоп странных и несуразных фильмов на фоне невероятно успешных «Вия» и «Кухни в Париже» индустрией не является и ни о какой полноценной конкурентоспособности речи быть не может.
Глава 3. Разработка проекта кинофильма «Каникулы в деревне»
На основании проведенного анализа текущего положения дел в российском кинематографе, можно сформулировать ключевые характеристики фильма, который будет способен принести прибыль благодаря точному пониманию запросам современных зрителей кинотеатров.
Во-первых, производственный бюджет фильма должен быть не более двух миллионов долларов, примерно такая же сумма уйдет на продвижение фильма. При таком подходе фильм должен заработать в прокате не менее десяти миллионов долларов, чтобы выйти в ноль, так как 50 % сборов уйдут кинотеатрам, а 15-20 % - прокатчикам фильма. Для того, чтобы минимизировать риски, можно воспользоваться опытом компании «Enjoy Movies», которые производят и выпускают фильмы в сотрудничестве с «Каропрокатом», у которых в свою очередь есть собственная сеть кинотеатров «Каро Фильм». Такой подход позволяет не только сохранить большую часть прибыли фильма, но и минимизировать затраты на продвижение, используя ресурсы киносети.
Во-вторых, жанр фильма должен быть максимально востребован аудиторией. Так как производство фантастического блокбастера является слишком рисковой задачей, практичнее будет выбрать жанр комедии.
В-третьих, креативную разработку сценария и его написание и реализацию следует поручить максимально опытным в этом деле людям. Как было сказано ранее, такими людьми как правило, оказываются выпускники Клуба Веселых и Находчивых, имевшие опыт создания успешных комедийных шоу и сериалов на телевидении. Чаще всего приглашают авторов «Comedy club», «Нашей Russia», «Универа», «6 кадров», «Даешь молодежь!» и прочих проектов.
В-четвертых, в картине обязательно должны быть задействованы медийные лица. Несмотря на то, что в России нет института звезд (то есть нет ни одного актера, у которого бы каждый фильм, несмотря на содержание, стабильно бы собирал определенный уровень кассовых сборов), присутствие знаменитостей в кадре считается своеобразным манком для привлечения зрителя. Как правило, приглашаются либо актеры, чьи фильмы стали хитами проката: например, после успеха фильмов «Духless» и «Легенда №17» увеличилось количество предложений о сотрудничестве у актера Данилы Козловского. Как отмечал кинопродюсер и председатель Экспертного совета «Фонда кино» Леонид Верещагин, практически каждый второй проект фильма, который представлялся различными продюсерами, предполагал участие Козловского в центральной роли. При этом вышедшие в прокат в 2013-2014 годах фильмы «Привычка расставаться» и «Дубровский» с участием Козловского тем не менее провалились, собрав 450 196 $ и 1 677 946 $ соответственно. В 2014 году, в рамках Первого Международного МедиаФорума «Кино Экспо» в Санкт-Петербурге представлялись новые кинопроекты, лидером по участию в которых стал Петр Федоров, снявшийся в главной роли в самом кассовом российском фильме 2013 года «Сталинград». Кроме того, поскольку аудитория кинотеатров совпадает с целевой аудиторией развлекательных каналов СТС и ТНТ, привлечь дополнительное внимание к кинопроекту могут звезды программ и сериалов этих каналов, например, Дмитрий Нагиев («Кухня», «Физрук», «Два отца и два сына»), Михаил Галустян («Наша Russia», «Comedy Баттл»), Кристина Асмус («Интерны», «Нереальная история»), Гарик Харламов («ХБ», «Comedy club»), Николай Наумов («Реальные пацаны»), Сергей Светлаков («Наша Russia», «Шоу «Уральских пельменей») и другие.
В-пятых, фильм должен быть народным и отражать российские реалии. Успех фильма «Горько!» показал, что зрителям конфликт гламура и провинции, замаскированный под конфликт поколений, оказался интересен, и в итоге первый фильм дилогии в кинотеатрах посмотрели четыре с половиной миллиона зрителей, а сиквел 2,3 миллиона зрителей.
На основании вышеуказанных критериев потенциально успешной кинокартины нами был разработан синопсис полнометражной комедии «Каникулы в деревне».
Жанр фильма комедия. Время событий наши дни. Место событий деревня и Москва. Главный герой фильма популярный российский актер Данила, любимец публики, купающийся в роскоши. Он готовится к свадьбе со своей поклонницей Анной. Данила вместе со своими друзьями актерами Павлом и Михаилом (такими же, как и он, представителями богемы) едут в родные края Анны, чтобы просить благословения на свадьбу у ее отца Алексея. Алексей встречает Данилу и его друзей в штыки, считая их прожигателями жизни, сидящих на шее у налогоплательщиков. Алексей сообщает Даниле, что разрешит Анне выйти замуж за Данилу только если тот докажет, что является настоящим мужчиной, выполнив ряд заданий, причем с условием, что помогать ему будут Паша и Миша. Паша и Миша сперва решили отказаться, но Данила слезно умолял их помочь ему, а взамен пообещал, что замолвит за них словечко перед Никитой Михалковым, чтобы они снялись в его новом фильме. В конце концов, Паша и Миша соглашаются. Герои ложатся спать. На следующий день Алексей вынуждает героев встать в 5 утра и приступить к работе наколоть дрова, вымыть хлев, подоить коров и починить забор. Уставшие, измученные и грязные герои завтракают на поляне, в этот момент Алексей, довольный тем, как работают ребята, предлагает им сделать самое большое дело их жизни спасти от тюрьмы брата Алексея Егора, несправедливо обвиненного в воровстве имущества колхоза. Данила, Паша и Миша узнав о таком беспределе немедленно отправляются в местное отделение полиции, где сидит Егор. По дороге в полицию они успевают получить физические увечия от деревенских пацанов, которые не понимают творчества мужчин. В полиции мужчины попытались решить проблему самым простым для них методом пообещав выступить вечером перед полицейскими. Но главный полицейский майор Смолин категорически отказывается от их предложения, обзывает, выгоняет и обещает, что сделает все, чтобы Егор как можно дольше сидел в тюрьме. Опечаленные герои решаются на отчаянный шаг похитить Егора из тюрьмы. Прежде всего, они идут в местный клуб, где спрашивают у местного рубахи-парня, где найти архитектора, спроектировавшего здание тюрьмы. Найдя архитектора, которым оказывается старичок лет 60-ти по имени Стас, они узнают от него, что наиболее быстрый и безопасный способ сбежать из тюрьмы это уйти оттуда по канализационной трубе, которая ведет в лес. Поскольку у ребят нет способов сообщить Егору об этом, к тому же вся деревня воспринимает их как врагов, ребята решают заслать в тюрьму к Егору своего человека Данилу. Тот нарочно устраивает драку с местными алкоголиками, за что попадает в ту же тюремную камеру, что и Егор (поскольку в этой деревне только одна камера, где сидит один лишь Егор). Пока Данила и Егор осуществляют побег, Паша и Миша едут в Москву и связываются с адвокатами. Те, изучив материалы уголовного дела, сразу понимают, что на самом деле колхоз ограбил председатель, заручившись поддержкой майора Смолина, а доброго и честного Егора выбрали козлом отпущения, на которого свалили преступление. Тем временем, слух о том, что кинозвезда сбежала из местной тюрьмы, произвел сенсацию в деревне, и сделал Данилу любимцем жителей деревни, которые поверили в Данилу и поняли, что он может быть героем не только на экране. Став кумиром доярок и дровосеков, Данила призывает людей понять и простить его и его друзей за гламурное прожигание жизни, а также поверить в то, что Егор не виноват. Шокированный всем этим, майор Смолин решает бороться с Данилой и Егором, но, к счастью, в это время в деревню возвращаются Паша и Миша вместе с полицейскими из Москвы, которые отправляют Смолина и председателя колхоза в тюрьму. Счастливые жители деревни обнимают ребят. Данила узнает, что ребята привезли с собой еще и Анну, которая восхищена храбростью и доблестью Данилы. Алексей признает Данилу настоящим мужчиной. Фильм кончается свадьбой Данилы и Анны, их поцелуем и последующими танцами под совместное пение Паши и Миши.
На наш взгляд, проект фильма обладает большим кассовым потенциалом, так как раскрывает актуальную проблему пропасти между столичными и деревенскими жителями. Среди проектов подобного формата ранее были сняты уже упомянутые «Горько!» (сборы 25 505 814 $), а также вышедшие в 1995 году «Особенности национальной охоты». Учитывая тот факт, что на волне успеха «Горько!» ряд российских кинематографистов стал использовать схему праздничного кино, выпустив такие проекты, как «Выпускной» (сборы 4 252 271 $) и «Корпоратив» (сборы 4 825 046 $), которые не вызвали такой же бурной реакции как и «Горько!», можно предположить, что основой успеха фильма стало не бурное русское веселье, а именно конфликт людей из разных сред обитания, вынужденных вместе сосуществовать. История конфликта деревни и столицы также востребована и на телевидении, что подтверждают высокие рейтинги (доля аудитории более 30 %) сериала «Сваты» на телеканале «Россия-1». Таким образом, у проекта «Каникулы в деревне» при правильном позиционировании есть все возможности стать суперхитом.
Для того, чтобы указанный замысел можно было воплотить в жизнь, необходимо получить финансирование. Только имея денежные возможности, можно будет приступать к отбору творческой и технической съемочной группы, а также запускать проект в производство. В соответствии с изученными правилами написания бизнес-плана можно приступить к созданию бизнес-плана продюсерской компании, созданной для подготовки и производства кинофильма «Каникулы в деревне». При удачном стечении обстоятельств в будущем компания сможет реализовывать и другие проекты как кинофильмы, так и музыкальные видеоклипы и телевизионные развлекательные сериалы.
Исходя из четкой задачи выпустить кинофильм, который должен стать событием и принести солидную финансовую прибыль, будут разрабатываться варианты достижения максимальной прибыли, как за счет приглашения к созданию фильма опытных, имеющих за плечами успешные проекты, так и за счет правильного продвижения, которое поможет найти контакт с целевой аудиторией.
Предприятие_ООО «Каникулы продакшн»________________________
Адрес _ 115088, г. Москва, ул. Новоостаповская, 5/3________________
Телефон _ (495) 744-17-17_, факс _ 744-17-17_, e-mail kanikylyfilm@yandex.ru___________________________________________________
Конфиденциально
просьба вернуть, если Вас
не заинтересовал проект
Кому_Прохорову Михаилу Дмитриевичу_
Краткое название проекта (до 20-30 знаков)
|
Кинокомпания «Каникулы продакшн» |
Полное наименование проекта___________________________________ Кинокомпания «Каникулы продакшн»_________________________________
Руководитель предприятия______________________________________
Милованов Антон Валерович____________________________________
Тел. 79213738333______________________________________________
Проект подготовил_____________________________________________
Керимов Юрий Олегович_______________________________________
Тел. _79112532888_____________________________________________
Дата начала реализации проекта «_1_» _февраля_ _2016_г.
Продолжительность проекта _2_ лет
Период времени от даты, на которую актуальны исходные данные, до начала проекта _12_ мес.
Дата составления «_29_» _ноября_ 2014_г.
РЕЗЮМЕ ПРОЕКТА
Настоящий проект представляет собой план создания кинокомпании «Каникулы продакшн».
Руководитель проекта_ Милованов Антон Валерович_______________
Идея проекта:
Идея создания кинокомпании преследует три цели:
1. Создание высокорентабельного предприятия.
2. Получение прибыли.
3. Удовлетворение потребительского рынка в предоставлении услуг развлекательного кинематографа.
Финансирование проекта: Осуществляется путем использования собственных средств в размере 24 904 056 рублей и средств инвестора Прохорова Михаила Дмитриевича в размере 20 000 000 рублей.
Характер предприятия: предприятие, осуществляющее создание полнометражного кинофильма «Каникулы в деревне».
Стоимость проекта: 44 919 056 рублей.
Доход инициатора проекта составит 72 131 542,5 рублей.
Доход инвестора проекта составит 72 131 542,5 рублей.
Возврат заемных средств начинается с момента выхода кинофильма «Каникулы в деревне» на экраны кинотеатров.
Условный жизненный цикл проекта 2 года.
ОПИСАНИЕ ПРЕДПРИЯТИЯ
«Каникулы продакшн» - новая кинокомпания, ориентирующаяся на производство высокорентабельных развлекательных кинофильмов в жанре комедии. Компания названа в честь первого проекта компании комедии «Каникулы в деревне».
Главная задача компании удовлетворение потребностей посетителей кинотеатров в ярком и интересном отечественном кино, которое ничем не хуже, чем то, что предлагают американские производители.
Миссия компании дарить радость любителям веселого, не обременяющего мозг кино.
Направления работы компании:
- производство фильмов для кинопроката
- производство музыкальных клипов
- производство сериалов и развлекательных программ для ТВ-каналов
Визитной карточкой компании и своебразным пропуском в нишу развлекательного кино станет кинофильм «Каникулы в деревне» - позитивная комедийная история с элементами экшна о трех кинозвездах, волею судьбы вынужденных проводить время в обычной российской деревне.
Написание сценария фильма «Каникулы в деревне», на наш взгляд, следует поручить Николаю Куликову, одному из авторов сценария фильма «Горько!». В его багаже не только опыт написания сценария к комедиям (среди которых также есть фильм «Обстоятельства» Павла Руминова) и юмористическим программам (Куликов выступал сценаристом программы «Вечерний Ургант» на «Первом канале», а также выступал в качестве stand-up комика в проектах «Центральный микрофон» и «Ленинградский Stand-Up» на канале СТС), но и к драматическим фильмам («Легенда №17», «Шпион»), что позволит сделать историю более достоверной и захватывающей. Рассмотрим кассовые сборы кинофильмов, созданных по сценариям Николая Куликова(табл. 3.1):
Таблица 3.1
Кассовые сборы фильмов, снятых по сценариям Николая Куликова
|
Название фильма |
Год выхода |
Прокатчик |
Кассовые сборы |
|
1 |
2 |
3 |
4 |
|
Горько! |
2013 |
Bazelevs Distribution |
25 505 814 $ |
|
Легенда №17 |
2013 |
Централ Партнершип |
29 523 237 $ |
|
Шпион |
2012 |
Централ Партнершип |
4 588 176 $ |
|
Обстоятельства |
2009 |
Аргумент Кино |
54 032 $ |
|
Сборы фильмов в среднем за весь прокат |
14 917 815 $ |
Как видно, из указанных данных, из четырех фильмов, снятых по сценариям Куликова, два стали хитами и заработали более 20 миллионов долларов. В среднем, каждый фильм заработал 14 917 815 $ долларов.
Режиссуру проекта следует поручить Дмитрию Дьяченко, приложившему руку к ряду успешных телевизионных («Кухня», «Большая разница») и кинопроектов («О чем говорят мужчины», «Кухня в Париже»). Рассмотрим кассовые сборы кинофильмов, снятых им в качестве режиссера(табл. 3.2):
Таблица 3.2
Кассовые сборы фильмов, снятых Дмитрием Дьяченко
|
Название фильма |
Год выхода |
Прокатчик |
Кассовые сборы |
|
1 |
2 |
3 |
4 |
|
Кухня в Париже |
2014 |
Централ Партнершип |
13 969 785 $ |
|
Быстрее, чем кролики |
2014 |
DreamTeam |
5 378 969 $ |
|
О чем еще говорят мужчины |
2011 |
Централ Партнершип |
17 808 683 $ |
|
О чем говорят мужчины |
2010 |
Централ Партнершип |
12 060 112 $ |
|
День радио |
2008 |
Централ Партнершип |
5 731 700 $ |
|
Сборы фильмов в среднем за весь прокат |
10 989 850 $ |
Не менее важен актерский состав. Как мы ранее говорили, в фильме должны сниматься звезды первой величины, которые не раз доказывали свою популярность участием в фильмах, которые впоследствии показывали высокие кассовые сборы.
В главной роли популярного актера, влюбившегося в свою поклонницу, должен предстать Данила Козловский. На его счету есть несколько суперхитов («Легенда №17», «Духless», «Мы из будущего»), к тому же, учитывая тот факт, что он довольно редко снимается в комедиях, зрителю будет интересно увидеть его в неожиданном для него самоироничном образе, особенно если учесть, что судя по низким кассовым сборам фильмов «Дубровский» и «Академия вампиров», зритель устал от его амплуа немного печального цинично-романтичного героя(табл. 3.3):
Таблица 3.3
Кассовые сборы фильмов с участием Данилы Козловского в России
|
Название фильма |
Год выхода |
Прокатчик |
Кассовые сборы |
|
1 |
2 |
3 |
4 |
|
Дубровский |
2014 |
DreamTeam |
1 677 946 $ |
|
Академия вампиров |
2014 |
West |
1 818 457 $ |
|
Распутин |
2013 |
WDSSPR |
1 674 168 $ |
|
Привычка расставаться |
2013 |
Bazelevs Distribution |
450 196 $ |
|
Легенда №17 |
2013 |
Централ Партнершип |
29 523 237 $ |
|
Духless |
2012 |
UPI |
13 283 001 $ |
|
Шпион |
2012 |
Централ Партнершип |
4 588 176 $ |
|
Пять невест |
2011 |
Централ Партнершип |
1 997 859 $ |
|
Мишень |
2011 |
Интерсинема |
73 153 $ |
|
Москва, я люблю тебя! |
2010 |
Централ Партнершип |
1 169 809 $ |
|
Весельчаки |
2009 |
Наше кино |
171 047 $ |
|
Мы из будущего |
2008 |
Наше кино |
8 228 500 $ |
|
Преступление и погода |
2007 |
Twister |
39 800 $ |
|
Garpastum |
2005 |
Интерсинема-Арт |
155 000 $ |
|
Сборы фильмов в среднем за весь прокат |
4 632 168 $ |
На роль друга главного героя Миши следует пригласить Михаила Галустяна. Благодаря ролям в КВН и скетчкоме «Наша Russia» Галустян стал одним из самых популярных комедийных актеров страны, что подтверждают стабильно высокие сборы картин с его участием(табл. 3.4):
Таблица 3.4
Кассовые сборы фильмов с участием Михаила Галустяна в России
|
Название фильма |
Год выхода |
Прокатчик |
Кассовые сборы |
|
1 |
2 |
3 |
4 |
|
Подарок с характером |
2014 |
Каропрокат |
4 100 000 $ |
|
Билет на Vegas |
2013 |
Парадиз |
6 634 643 $ |
|
Няньки |
2012 |
Каропрокат |
5 741 208 $ |
|
Тот еще Карлосон! |
2012 |
Каропрокат |
10 353 078 $ |
|
Ржевский против Наполеона |
2012 |
Централ Партнершип |
7 805 333 $ |
|
Беременный |
2011 |
Каропрокат |
7 597 980 $ |
|
Наша Russia: Яйца судьбы |
2010 |
Централ Партнершип |
22 213 287 $ |
|
Самый лучший фильм-2 |
2009 |
BVSPR Sony |
12 845 918 $ |
|
Гитлер капут! |
2008 |
Централ Партнершип |
9 713 500 $ |
|
Самый лучший фильм |
2008 |
Каропрокат |
27 587 535 $ |
|
Сборы фильмов в среднем за весь прокат |
11 459 248 $ |
На роль второго друга следует позвать Павла Прилучного. Будучи звездой сериалов «Закрытая школа» и «Геймеры» на СТС, он будет своеобразной приманкой для зрителей школьного возраста, в отличие от Козловского и Галустяна, которые любимы у студентов и молодых взрослых. С другой стороны, сыграв главную роль в прошедшем в декабре 2014 года сериале «Мажор» на «Первом канале», который показал долю 27.4 при рейтинге 9, актер серьезно расширил узнаваемость и среди более взрослой аудитории. В среднем же каждый кинопрокатный проект, где актер принимал участие, собирал более 2 миллионов долларов (табл. 3.5):
Таблица 3.5
Кассовые сборы фильмов с участием Павла Прилучного в России
|
Название фильма |
Год выхода |
Прокатчик |
Кассовые сборы |
|
1 |
2 |
3 |
4 |
|
Темный мир: Равновесие |
2013 |
Централ Партнершип |
2 158 330 $ |
|
Соловей-Разбойник |
2012 |
Парадиз |
5 216 913 $ |
|
Самоубийцы |
2012 |
Парадиз |
1 979 000 $ |
|
Моя безумная семья |
2012 |
Двадцатый век Фокс СНГ |
2 707 096 $ |
|
Детям до 16… |
2010 |
Наше кино |
808 035 $ |
|
На игре-2. Новый уровень |
2010 |
Каропрокат |
2 298 594 $ |
|
На игре |
2009 |
Каропрокат |
3 704 408 $ |
|
Любовь.ru |
2009 |
Парадиз |
39 929 $ |
|
Сборы фильмов в среднем за весь прокат |
2 364 038 $ |
На главную женскую роль возлюбленной главного героя следует позвать Кристину Асмус, звезду главного комедийного сериала ТНТ «Интерны», при этом имеющую большой опыт съемок в полнометражном кино(табл. 3.6):
Таблица 3.6
Кассовые сборы фильмов с участием Кристины Асмус в России
|
Название фильма |
Год выхода |
Прокатчик |
Кассовые сборы |
|
1 |
2 |
3 |
4 |
|
Легок на помине |
2014 |
Каропрокат |
5 490 509 $ |
|
Что творят мужчины! |
2013 |
Каропрокат |
9 924 904 $ |
|
Дублер |
2013 |
Каропрокат |
6 552 275 $ |
|
Zолушка |
2012 |
Централ Партнершип |
5 169 134 $ |
|
Иван Царевич и Серый Волк |
2011 |
Наше кино |
24 830 497 $ |
|
Елки |
2010 |
Bazelevs Distribution |
22 772 019 $ |
|
Сборы фильмов в среднем за весь прокат |
12 456 556 $ |
Роль отца главной героини, немолодого старомодного деревенского мужчины, можно отдать Дмитрию Нагиеву, который имеет большой опыт перевоплощения в разного рода персонажей, в частности в программе «Осторожно, Модерн!», которая с долей аудитории 9.2 % входит в десятку самых рейтинговых программ за всю историю существования телеканала СТС. Умение примерять на себя необычные образы с помощью пластического грима и париков актер показал и в фильмах «Мужчина с гарантией» и «Что творят мужчины!», собравших 4 297 576 $ и 9 924 904 $ соответственно(табл. 3.7):
Таблица 3.7
Кассовые сборы фильмов с участием Дмитрия Нагиева в России
|
Название фильма |
Год выхода |
Прокатчик |
Кассовые сборы |
|
1 |
2 |
3 |
4 |
|
Кухня в Париже |
2014 |
Централ Партнершип |
13 969 785 $ |
|
Полярный рейс |
2013 |
Top Film Distribution |
431 709 $ |
|
Курьер из «Рая» |
2013 |
WDSSPR |
5 506 950 $ |
|
Что творят мужчины! |
2013 |
Каропрокат |
9 924 904 $ |
|
Снежная королева |
2012 |
Bazelevs Distribution |
7 650 774 $ |
|
Мужчина с гарантией |
2012 |
Каропрокат |
4 297 576 $ |
|
Если бы да кабы |
2012 |
Парадиз |
2 527 $ |
|
Муж моей вдовы |
2010 |
Top Film Distribution |
121 953 $ |
|
ЛОпуХИ |
2009 |
Парадиз |
4 133 544 $ |
|
Возвращение мушкетеров |
2009 |
Централ Партнершип |
2 535 164 $ |
|
Самый лучший фильм-2 |
2009 |
BVSPR Sony |
12 845 918 $ |
|
Самый лучший фильм |
2008 |
Каропрокат |
27 587 535 $ |
|
Скалолазка и последний из седьмой колыбели |
2007 |
Каропрокат |
1 334 500 $ |
|
Нулевой километр |
2007 |
Каскад |
3 245 500 $ |
|
Сборы фильмов в среднем за весь прокат |
6 684 953 $ |
На роль брата отца невесты главного героя следует пригласить Андрея Федорцова, прославившегося ролью Васи Рогова в сериале «Убойная сила» и ныне практически в каждой второй комедии снимающегося в эпизодических ролях(табл. 3.8):
Таблица 3.8
Кассовые сборы фильмов с участием Андрея Федорцова в России
|
Название фильма |
Год выхода |
Прокатчик |
Кассовые сборы |
|
1 |
2 |
3 |
4 |
|
Корпоратив |
2014 |
WDSSPR |
4 825 046 $ |
|
Тайна четырех принцесс |
2014 |
Каропрокат |
1 269 914 $ |
|
Легок на помине |
2014 |
Каропрокат |
5 490 509 $ |
|
Чемпионы |
2014 |
Каропрокат |
5 388 526 $ |
|
Что творят мужчины! |
2013 |
Каропрокат |
9 924 904 $ |
|
Мужчина с гарантией |
2012 |
Каропрокат |
4 297 576 $ |
|
Тот еще Карлосон! |
2012 |
Каропрокат |
10 353 078 $ |
|
Мамы |
2012 |
Каропрокат |
7 787 355 $ |
|
Пять невест |
2011 |
Централ Партнершип |
1 997 859 $ |
|
Укрощение строптивых |
2009 |
Каропрокат |
2 106 545 $ |
|
Александр. Невская битва |
2008 |
Каропрокат |
2 907 500 $ |
|
Четыре таксиста и собака-2 |
2006 |
Парадиз |
13 000 $ |
|
О любви в плохую погоду |
2004 |
Роскинопрокат |
50 000 $ |
|
Четыре таксиста и собака |
2004 |
Гельварс |
115 000 $ |
|
Егерь |
2004 |
Роскинопрокат |
310 000 $ |
|
Сборы фильмов в среднем за весь прокат |
3 789 121 $ |
Роль антагониста Данилы майора Смолина будет отдана Федору Бондарчуку, который имеет большой опыт создания на экране образов злодеев в фильмах «Обитаемый остров», «Тиски», «Одноклассники.ru: НаCLICKай удачу» и «ПираМММида»(табл. 3.9):
Таблица 3.9
Кассовые сборы фильмов с участием Федора Бондарчука в России
|
Название фильма |
Год выхода |
Прокатчик |
Кассовые сборы |
|
1 |
2 |
3 |
4 |
|
Подарок с характером |
2014 |
Каропрокат |
4 100 000 $ |
|
Одноклассники.ru: НаCLICKай удачу |
2013 |
A Company/ Двадцатый век Фокс СНГ |
3 625 000 $ |
|
Три богатыря на дальних берегах |
2012 |
Наше кино |
31 505 876 $ |
|
Шпион |
2012 |
Централ Партнершип |
4 588 176 $ |
|
Два дня |
2011 |
Централ Партнершип |
615 913 $ |
|
Восемь с половиной долларов 3D |
2011 |
Art Pictures |
6 962 $ |
|
Свадьба по обмену |
2011 |
Централ Партнершип |
2 573 695 $ |
|
ПираМММида |
2011 |
UPI |
1 172 420 $ |
|
Про любoff |
2010 |
Наше кино |
1 268 793 $ |
|
Москва, я люблю тебя! |
2010 |
Централ Партнершип |
1 169 809 $ |
|
Обитаемый остров: Схватка |
2009 |
Каропрокат |
6 070 654 $ |
|
Самый лучший фильм-2 |
2009 |
BVSPR Sony |
12 845 918 $ |
|
Обитаемый остров |
2009 |
Каропрокат |
21 838 109 $ |
|
Адмиралъ |
2008 |
Двадцатый век Фокс СНГ |
34 518 207 $ |
|
18-14 |
2007 |
Каропрокат |
2 490 500 $ |
|
Тиски |
2007 |
Каскад |
1 420 586 $ |
|
Артистка |
2007 |
Фокс/Гемини |
883 400 $ |
|
Я остаюсь |
2007 |
Централ Партнершип |
783 606 $ |
|
Семь кабинок |
2007 |
Каропрокат |
597 831 $ |
|
ЖАRА |
2006 |
Фокс/Гемини |
15 710 000 $ |
|
Продается дача |
2005 |
Каро Премьер |
70 000 $ |
|
9 рота |
2005 |
Гемини |
25 555 809 $ |
|
Мама не горюй-2 |
2005 |
Наше кино |
820 000 $ |
|
Статский советник |
2005 |
Гемини Киномир |
7 445 000 $ |
|
От 180 и выше |
2005 |
Гемини Киномир |
1 331 000 $ |
|
Свои |
2004 |
Кинобюрю №1 |
120 000 $ |
|
В движении |
2002 |
Панорама |
289 397 $ |
|
Сборы фильмов в среднем за весь прокат |
6 793 210 $ |
Роль «правой руки» злодея председателя колхоза Иванова подойдет Юрию Стоянову, который стал знаменит благодаря программе «Городок» и часто играет персонажей из народа в полнометражных комедиях(табл. 3.10):
Таблица 3.10
Кассовые сборы фильмов с участием Юрия Стоянова в России
|
Название фильма |
Год выхода |
Прокатчик |
Кассовые сборы |
|
1 |
2 |
3 |
4 |
|
Скорый «Москва-Россия» |
2014 |
Наше кино |
5 163 833 $ |
|
Друзья друзей |
2014 |
Каропрокат |
8 237 134 $ |
|
Снежная королева |
2012 |
Bazelevs Distribution |
7 650 774 $ |
|
Похождения бравого солдата Швейка |
2012 |
Панорама Кино |
34 402 $ |
|
Zолушка |
2012 |
Централ Партнершип |
5 169 134 $ |
|
Кукарача 3D |
2011 |
Парадиз |
2 057 759 $ |
|
Смерть в пенсне, или Наш Чехов |
2010 |
Парадиз |
38 326 $ |
|
Очень русский детектив |
2008 |
Каропрокат |
3 080 800 $ |
|
Гитлер капут! |
2008 |
Централ Партнершип |
9 713 500 $ |
|
Мираж |
2008 |
Централ Партнершип |
917 600 $ |
|
Шекспиру и не снилось |
2007 |
Каропрокат |
330 703 $ |
|
12 |
2007 |
Каропрокат |
6 820 000 $ |
|
Заяц над бездной |
2006 |
Централ Партнершип |
300 000 $ |
|
Сборы фильмов в среднем за весь прокат |
3 808 767 $ |
Перейдем к анализу конъюнктуры рынка.
Поскольку компании предстоит выходить на рынок кинопоказа с фильмом комедийного жанра, для начала следует изучить долю комедий в российском кинопрокате.
По этой причине необходимо из 80 фильмов, вышедших в 2014 году, выделить комедии(табл. 3.11):
Таблица 3.11
Российские кинокомедии 2014 года
|
Дата начала проката |
Название фильма |
Кассовые сборы в РФ, долл. США |
|
1 |
2 |
3 |
|
01.01.2014 |
Любовь в большом городе-3 |
15 884 284 |
|
01.01.2014 |
Друзья друзей |
8 237 134 |
|
01.01.2014 |
Быстрее, чем кролики |
5 378 969 |
|
09.09.2014 |
Тетушки |
28 368 |
|
06.02.2014 |
В спорте только девушки |
7 216 781 |
|
13.02.2014 |
Нереальная любовь |
894 088 |
|
27.02.2014 |
Легок на помине |
5 490 509 |
|
06.03.2014 |
С 8 марта, мужчины! |
2 577 104 |
|
20.03.2014 |
Залетчики |
429 098 |
|
17.04.2014 |
Скорый «Москва-Россия» |
5 163 833 |
|
01.05.2014 |
Кухня в Париже |
13 969 785 |
|
22.05.2014 |
Подарок с характером |
4 100 000 |
|
29.05.2014 |
Неправильные копы |
6 543 |
|
05.06.2014 |
Все и сразу |
3 442 454 |
|
07.08.2014 |
Здрасьте, я ваш папа! |
486 |
|
21.08.2014 |
Кавказская пленница! |
179 843 |
|
28.08.2014 |
Весёлые ребята;) |
157 143 |
|
18.09.2014 |
Корпоратив |
4 825 046 |
|
02.10.2014 |
Смешанные чувства |
2 456 123 |
|
09.10.2014 |
Выпускной |
4 252 271 |
|
23.10.2014 |
Горько!-2 |
13 422 611 |
|
13.11.2014 |
День дурака |
1 720 614 |
|
20.11.2014 |
Sex, кофе, сигареты |
108 452 |
|
04.12.2014 |
Любит не любит |
2 342 423 |
|
04.12.2014 |
Звезда |
92 500 |
|
25.12.2014 |
Елки 1914 |
|
|
25.12.2014 |
Мамы-3 |
Таким образом, из 80 российских фильмов, вышедших в 2014 году, 27 являются комедиями. Таким образом, комедии составляют 34 % от общего числа отечественных картин.
В совокупности российские кинокомедии собрали долларов. Если учесть, что общий бокс-офис российских кинолент составил долларов, получается, что комедии составили % всего бокс-офиса при 34 % доле картин в прокате. Подобная статистика доказывает высокое влияние комедийного жанра на зрителя, которое в совокупности с высокой рентабельности позволяет минимизировать риск провала.
Проведем сегментацию кинокомпаний, чтобы четко понимать с какой аудиторий нам предстоит работать(табл. 3.12):
Таблица 3.12
Сегментация рынка кинокомпаний
|
Параметры сегментации |
Сегмент рынка по основным группам потребителей |
Сегмент рынка по основным группам потребителей |
Сегмент рынка по основным группам потребителей |
|
|
Пол |
Женский |
Мужской |
||
|
Возраст |
0-5 |
6-11 |
12-17 |
18+ |
|
Уровень дохода |
Менее 15 000 |
15-30 000 |
30-50 000 |
Более 50 000 |
|
Принадлежность к социальной группе |
Школьник |
Студент |
Средний класс (молодой взрослый) |
Домохозяйка, пенсионер, безработный |
|
Мотивы покупки билетов на фильм |
Желание увидеть умное духовное кино |
Желание посмеяться и получить позитивные эмоции |
Встреча с друзьями/ свидание с девушкой |
Захотелось увидеть звезд кино и ТВ в нелепых самоироничных образах |
Проведем оценку сильных и слабых сторон «Каникулы Продакшн» (табл. 3.13):
Таблица 3.13
Оценка сильных и слабых сторон предприятия
|
Сильные стороны |
Слабые стороны |
|
1 |
2 |
|
Система производства |
|
|
1.Анализ потребностей потребителей кинопродукции |
1.Недостаточный собственный опыт в кинопроизводстве; 2.Необходимость риска |
|
Предоставляемые услуги |
|
|
1.Возможность самостоятельно разработать план продвижения фильма |
1.Отсутствие возможности влиять на киносети при росписи кинофильма |
|
Имидж компании |
|
|
1.Умение рационально использовать финансовые возможности |
1.Отсутствие возможности работать с большими бюджетами, что отражается на качестве |
Перейдем к составлению маркетингового плана.
Фильм «Каникулы в деревне» будет продвигаться на телевидении, в Интернете и в печатных изданиях.
На каждом канале реклама будет отличаться с учетом психографических различий в аудитории каналов. Например, на канале СТС, аудитория которого разделяет семейные ценности, уклон будет делаться на конфликт поколений и на любовную линию главных героев. В трейлерах для «Первого канала» ключевая ставка будет делаться на злоключения героев в деревне, что позволит заинтересовать зрителей канала в регионах и провинции. Трейлеры, посвященные мужской дружбе героев, выйдут на ТНТ и канале «Пятница!». В рамках же рекламного сотрудничества с телеканалом «Ю» будет большое интервью Кристины Асмус в новостях этого канала.
Также в рамках телевизионного продвижения планируется приход актеров фильма в программы «Вечерний Ургант» («Первый канал»), «Кино в деталях» (СТС), «Comedy club», «Такое кино!» (ТНТ) и «Пятница! News» («Пятница!»). Помимо этого в ночном эфире канала СТС будет показан фильм о фильме, который впоследствии будет размещен на портале «YouTube».
Также планируется массированная реклама в печатных изданиях газетах «Теленеделя» и «Телесемь», журналах «Maxim», «Cosmopolitan», «7 дней».
Кроме того, фильм будут продвигать баннеры на сайте «Кинопоиск» и реклама в паблике «MDK» в социальной сети «Вконтакте».
Также будет наружная реклама фильма в Москве, Санкт-Петербурге, Екатеринбурге и Казани (основные регионы, приносящие доход от кинопоказа), рекламные стенды в кинотеатрах сети «Каро Фильм».
Трейлеры фильма будут прикреплены к релизам кинопрокатчика «Каропрокат», а также ко всем фильмам в сети «Каро Фильм» за неделю до премьеры фильма.
Такой подход позволит максимально широко разрекламировать фильм и привлечь максимальное число зрителей в том числе среди тех, кто редко ходит в кинотеатр. Как известно, чем больше продюсеры тратят на рекламу, тем больше шансов, что фильм принесет прибыль.
Рассчитаем коммерческие расходы на продвижение проекта(табл. 3.14):
Таблица 3.14
Коммерческие расходы на продвижение фильма «Каникулы в деревне»
|
Мероприятия |
Сроки реализации |
Исполнители |
Затраты |
|
Реклама на телевидении Реклама в Интернете Реклама в печатных СМИ Наружная реклама |
21 декабря 2016 г. 11 января 2017 г. 7-31 декабря 2016 г. 14-31 декабря 2016 г. 1-31 декабря 2016 г. |
«Первый канал», СТС, ТНТ, «Пятница!», «Ю» «Кинопоиск», «MDK» «Теленеделя», «Телесемь», «Maxim», «Cosmopolitan», «7 дней» Рекламное агентство «Престиж» (изготовление и согласование наружной и видео-рекламы)
|
50 000 000 рублей 8 000 000 рублей 6 000 000 рублей 4 000 000 рублей |
|
Итого |
68 000 000 рублей |
Кинофильм «Каникулы в деревне» планируется выпустить в канун Нового года, а именно 25 декабря 2016 года. Действие картины будет проходить зимой, и виды зимней деревни создадут у зрителя новогоднее настроение.
Выход в новогодние праздники в совокупности с удачным концептом, массированной и таргетированной рекламой позволят заработать более 20 миллионов долларов. Из них компании достанутся 35 % (50 % уйдут кинотеатрам, 15 % - прокатчику фильма компании «Каропрокат»), то есть 7 миллионов долларов. За 1 миллион долларов будут проданы права на показ на телевидении. За 1,5 миллиона долларов права на DVD-дистрибьюцию компании «Мистерия звука». За 1 миллион долларов будут проданы права онлайн-кинотеатру «ivi.ru». Таким образом, фильм заработает 10,5 миллионов долларов или 409 500 000 рублей.
В течении подготовительного периода необходимо арендовать офис на 100 м2 у ООО «Амедиа Продакшн»). Стоимость аренды 130 000 рублей в месяц.
Также необходимо договориться с ООО «Киностудия Слово» о производстве картины. Имея все необходимые производственные ресурсы и опыт создания фильмов для различных компаний (например, ООО «Киностудия Слово» организовывала съемки фильма «Духless» по заказу компании «Art Pictures», сериала «Обратная сторона Луны» по заказу ООО «Продюсерская компания «Среда» и других проектов) под контролем компании и ее линейного продюсера в частности будет осуществлять съемочный и монтажно-тонировочный процессы создания фильма. Под контролем исполнительного продюсера ООО «Каникулы Продакшн» будет находиться бюджет фильма, за распределением которого он будет следить, координируя работу ООО «Киностудия Слово».
ООО «Киностудия Слово» получит 10 % от бюджета фильма за организацию производства. Данные расходы уже включены в смету кинофильма(табл. 3.15):
Таблица 3.15
Сметная стоимость кинофильма «Каникулы в деревне»
|
№ |
Статья затрат |
Ед. измер. |
Кол.- во |
Стоимость за ед. |
Сумма, руб. |
|
1 |
2 |
3 |
4 |
5 |
6 |
|
1. |
Авторские и смежные права |
||||
|
Приобретение прав |
|||||
|
Литературный сценарий |
аккорд |
1 |
1 000 000 |
1 000 000 |
|
|
Музыка |
аккорд |
500 000 |
500 000 |
||
|
Другие произведения: футаж |
|||||
|
Итого по 1 разделу: |
1 500 000 |
||||
|
2. |
Затраты на оплату труда |
||||
|
Режиссер-постановщик |
аккорд |
1 500 000 |
|||
|
Второй режиссер |
з/п (нед.) |
5 недель |
100 000 |
500 000 |
|
|
Ассистент режиссера по реквизиту |
з/п (мес.) |
5 недель |
80 000 |
100 000 |
|
|
Кастинг-директор |
з/п (мес.) |
2 недели |
80 000 |
100 000 |
|
|
Помощник режиссера |
з/п (мес.) |
5 неделя |
25 000 |
25 000 |
|
|
ИТОГО |
2 225 000 |
||||
|
Операторская группа |
|||||
|
Оператор-постановщик |
понедельно |
5 недель |
100 000 |
500 000 |
|
|
Второй оператор |
смена |
24 см. |
6 000 |
144 000 |
|
|
Супермеханик |
смена |
24 см. |
5 000 |
120 000 |
|
|
Дольщик |
смена |
24 см. |
4 000 |
96 000 |
|
|
Гаффер |
смена |
24 см. |
6 000 |
144 000 |
|
|
Осветитель (3 чел.) |
смена |
24 см.*3 |
4 500 |
621 000 |
|
|
Плейбэк |
з/п |
1 мес. |
25 000 |
25 000 |
|
|
Итого |
1 650 000 |
||||
|
Художники и ассистенты |
|||||
|
Художник-постановщик |
з/п |
1,5 мес. |
250 000 |
375 000 |
|
|
Реквизитор |
з/п |
1,5 мес. |
60 000 |
90 000 |
|
|
Художник по костюмам |
з/п |
1,5 мес. |
60 000 |
90 000 |
|
|
Костюмер (2 чел.) |
з/п |
1,5 мес.*2 |
40 000 |
120 000 |
|
|
Художник по гриму |
з/п |
1,5 мес.*2 |
60 000 |
180 000 |
|
|
Пластический гример |
смена |
6 см. |
20 000 |
120 000 |
|
|
Итого |
975 000 |
||||
|
Звукооператоры, звукорежиссеры и ассистенты |
|||||
|
Звукорежиссер |
з/п |
3 мес. |
80 000 |
240 000 |
|
|
Звукооператор |
смена |
24 см. |
5 000 |
120 000 |
|
|
Итого |
360 000 |
||||
|
Актеры первого и второго плана |
|||||
|
Данила Козловский |
смена |
20 см. |
150 000 |
3 000 000 |
|
|
Павел Прилучный |
смена |
15 см. |
100 000 |
1 500 000 |
|
|
Михаил Галустян |
смена |
15 см. |
200 000 |
3 000 000 |
|
|
Кристина Асмус |
смена |
12 см. |
130 000 |
1 560 000 |
|
|
Дмитрий Нагиев |
смена |
8 см. |
400 000 |
3 200 000 |
|
|
Андрей Федорцов |
смена |
4 см. |
80 000 |
320 000 |
|
|
Федор Бондарчук |
смена |
5 см. |
300 000 |
1 500 000 |
|
|
Юрий Стоянов |
смена |
5 см. |
250 000 |
1 250 000 |
|
|
Массовка |
смена |
10 см.*30 чел. |
2 000 |
600 000 |
|
|
Итого |
15 930 000 |
||||
|
Группа post-production |
|||||
|
Режиссер монтажа |
смена |
20 см. |
5 000 |
100 000 |
|
|
Монтажер |
смена |
20 см. |
3 000 |
60 000 |
|
|
Шумооформитель |
Час |
100 ч |
1500 |
150 000 |
|
|
Монтажер звука |
Час |
200 ч |
300 |
60 000 |
|
|
Специалист ProTools |
Час |
200 ч |
500 |
100 000 |
|
|
Звукорежиссер перезаписи |
Час |
50 ч |
1500 |
75 000 |
|
|
Итого |
545 000 |
||||
|
Административная группа ООО «Киностудия Слово» |
|||||
|
Директор |
з/п |
2 мес. |
80 000 |
160 000 |
|
|
Администратор (2 чел.) |
смена |
24 см.*2 |
3500 |
168 000 |
|
|
Бухгалтер |
з/п |
2 мес. |
50 000 |
100 000 |
|
|
Итого: |
428 000 |
||||
|
Производственные рабочие |
|||||
|
Рабочие (10 чел.) |
смена |
24 см.*10 |
1000 |
240 000 |
|
|
Итого: |
240 000 |
||||
|
Музыкальное оформление |
|||||
|
Дирижер оркестра |
смена |
1 см. |
150 000 |
150 000 |
|
|
Музыкант (35 чел.) |
смена |
1 см.*35 |
3 000 |
105 000 |
|
|
Звукорежиссер перезаписи |
Час |
6 ч |
1 500 |
9 000 |
|
|
Ассистент ProTools |
Час |
6 ч |
500 |
3 000 |
|
|
Итого: |
267 000 |
||||
|
Буфетчица |
смена |
24 см. |
1000 |
24 000 |
|
|
Итого по 2 разделу: |
22 644 000 |
||||
|
3. |
Отчисления на социальные нужды (30,2 %) |
6 838 488 |
|||
|
Итого по 3 разделу: |
6 838 488 |
||||
|
4. |
Материальные затраты |
||||
|
Жесткие диски, флэш память, HD кассеты, Blu-ray -жесткие диски 1тб |
Шт. |
30 |
5 000 |
150 000 |
|
|
Комплектующие и расходные материалы для офисной и компьютерной техники |
10 000 |
||||
|
Видеоносители |
|||||
|
Диски DVD |
Шт. |
20 |
20 |
400 |
|
|
Digital Betacam |
Шт. |
3 |
3 000 |
9 000 |
|
|
Фотоматериалы |
5 000 |
||||
|
Канцелярские материалы |
5 000 |
||||
|
Итого по 4 разделу: |
179 400 |
||||
|
5. |
Аренда павильонов |
смена |
30 см. |
25 000 |
750 000 |
|
Постройка и разборка декораций в павильоне |
800 000 |
||||
|
Постройка и разборка декораций на натуре |
400 000 |
||||
|
Декорирование интерьеров и натурных объектов |
700 000 |
||||
|
Обстановка и оформление декораций, включая мебель и драпировки |
600 000 |
||||
|
Аренда натурных объектов и интерьеров |
100 000 |
||||
|
Итого: |
3 350 000 |
||||
|
Реквизит в аренду |
330 000 |
||||
|
Исходящий реквизит |
50 000 |
||||
|
Итого: |
380 000 |
||||
|
Съемочное оборудование |
|||||
|
Комплект камеры |
смена |
24 см. |
3 000 |
72 000 |
|
|
Световое оборудование |
смена |
24 см. |
10 000 |
240 000 |
|
|
Звукозапись (чист. Звук) |
смена |
24 см. |
1500 |
36 000 |
|
|
Итого: |
348 000 |
||||
|
Костюмы, обувь, головные уборы |
200 000 |
||||
|
Гримерно-пастижерские изделия |
300 000 |
||||
|
Итого: |
400 000 |
||||
|
Автотранспорт |
|||||
|
Камерваген |
смена |
24 см. |
4 000 |
96 000 |
|
|
Светобаза |
смена |
24 см. |
5 000 |
120 000 |
|
|
Актерский трейлер |
смена |
24 см.*9 |
7 000 |
1 512 000 |
|
|
Автобус группы |
смена |
24 см. |
4 000 |
96 000 |
|
|
Итого: |
1 824 000 |
||||
|
Монтажно-тонировочные работы |
|||||
|
Монтажная комната |
1 мес. |
2 см. |
70 000 |
140 000 |
|
|
Титры, внутрикадровые надписи |
300 000 |
||||
|
Аренда зала записи музыкального оформления |
Час |
6 |
3 000 |
18 000 |
|
|
Аренда студии речевого озвучания |
Час |
300 |
2000 |
600 000 |
|
|
Цветокоррекция |
1 080 000 |
||||
|
Итого по 5 разделу: |
8 440 000 |
||||
|
6 |
Экспедиции - |
600 000 |
|||
|
Итого по 6 разделу: |
600 000 |
||||
|
7 |
Прочие прямые расходы |
||||
|
Интернет |
6 000 |
||||
|
Мобильная связь |
30 000 |
||||
|
Итого по 7 разделу: |
36 000 |
||||
|
8 |
Промежуточный итог семи предыдущих статей и разделов |
40 237 888 |
|||
|
9 |
Непредвиденные расходы 1% |
402 379 |
|||
|
10 |
Обще студийные расходы 10% |
4 023 789 |
|||
|
Сметная стоимость фильма |
44 664 056 |
Таким образом, совокупная стоимость проекта составит(табл. 3.16):
Таблица 3.16
Совокупная стоимость проекта
|
Сметная стоимость фильма «Каникулы в деревне» |
44 664 056 рублей |
|
Аренда здания (на 1 мес., апрель 2015 г.) |
130 000 рублей |
|
Компьютеры (основные средства) |
90 000 рублей |
|
Канцелярские принадлежности (основные средства) |
20 000 рублей |
|
ИТОГО |
44 904 056 рублей |
Перейдем к разработке организационного плана(табл. 3.17):
Таблица 3.17
Организационный план
|
Название должности |
Тип персонала |
Количество штатных единиц |
Примечание (график работы, сдельная/повременная оплата труда) |
|
1 |
2 |
3 |
4 |
|
Директор |
АУП |
1 |
Пн-пт, 10:00-18:00 (повременная) 200 000 руб/мес |
|
Заместитель директора по маркетингу |
АУП |
1 |
Пн-пт, 10:00-18:00 (повременная) 60 000 руб/мес |
|
Генеральный продюсер |
АУП |
1 |
Пн-пт, 10:00-18:00 (повременная) 150 000 руб/мес |
|
Директор отдела продаж |
АУП |
1 |
Пн-пт, 10:00-18:00 (повременная) 80 000 руб/мес |
|
Руководитель юридического отдела |
АУП |
1 |
Пн-пт, 10:00-18:00 (повременная) 100 000 руб/мес |
|
Юрист |
служащие, не занятые непосредственно производством продукции /услуг |
2 |
Пн-пт, 10:00-18:00 (повременная) 45 000 руб/мес*2 90 000 руб/мес |
|
Редактор |
служащие, не занятые непосредственно производством продукции /услуг |
1 |
Пн-пт, 10:00-18:00 (повременная) 40 000 руб/мес |
|
Исполнительный продюсер |
служащие, не занятые непосредственно производством продукции /услуг |
1 |
Пн-пт, 10:00-18:00 (повременная) 60 000 руб/мес |
|
Креативный продюсер |
служащие, не занятые непосредственно производством продукции /услуг |
1 |
Пн-пт, 10:00-18:00 (повременная) 50 000 руб/мес |
|
Линейный продюсер |
служащие, не занятые непосредственно производством продукции /услуг |
2 |
Пн-пт, 10:00-18:00 (повременная) 40 000 руб/мес*2 80 000 руб/мес |
|
Менеджер по продажам |
служащие, не занятые непосредственно производством продукции /услуг |
3 |
Пн-пт, 10:00-18:00 (повременная) 35 000 руб/мес*3 95 000 руб/мес |
|
Уборщица |
служащие, не занятые непосредственно производством продукции /услуг |
1 |
Пн-пт, 10:00-18:00 (повременная) 15 000 руб/месс |
|
Бухгалтер |
служащие, не занятые непосредственно производством продукции /услуг |
1 |
Пн-пт, 10:00-18:00 (повременная) 40 000 руб/мес |
Как видно из таблицы, в компании «Каникулы Продакшн» весьма небольшой штат сотрудников, так как большая часть деятельности будет отдаваться на аутсорс, при этом ключевые решения относительно продажи прав будут приниматься исключительно в рамках компании.
Рассчитаем затраты на оплату труда аппарата управления и других служащих компании(табл. 3.18):
Таблица 3.18
Численность работающих, затраты на оплату труда и отчисления на социальные нужды
|
Показатели |
Ед. изм. |
2016 год |
2017 год |
||||
|
Всего |
по кварталам |
Всего |
|||||
|
I |
II |
III |
IV |
||||
|
1 |
2 |
3 |
4 |
5 |
6 |
7 |
8 |
|
Численность работающих по проекту, всего |
Чел. |
17 |
17 |
17 |
17 |
17 |
17 |
|
Рабочие, не занятые непосредственно производством продукции/услуги |
Чел. |
12 |
12 |
12 |
12 |
12 |
12 |
|
Служащие, сотрудники аппарата управления (АУП) |
Чел. |
5 |
5 |
5 |
5 |
5 |
5 |
|
Затраты на оплату труда, всего |
Руб. |
16 040 640 |
2 916 480 |
4 374 920 |
4 374 920 |
4 374 920 |
17 498 880 |
|
Затраты на оплату труда рабочих, не занятых непосредственно производством продукции/услуги |
Руб. |
5 170 000 |
940 000 |
1 410 000 |
1 410 000 |
1 410 000 |
5 640 000 |
|
Отчисления на социальные нужды (30,2 %) от оплаты труда рабочих, не занятых непосредственно производством продукции/услуги |
Руб. |
1 561 340 |
283 880 |
425 820 |
425 820 |
425 820 |
1 703 280 |
|
Затраты на оплату труда служащих, сотрудников аппарата управления (АУП) |
Руб. |
7 150 000 |
1 300 000 |
1 950 000 |
1 950 000 |
1 950 000 |
7 800 000 |
|
Отчисления на социальные нужды (30,2 %) от оплаты труда служащих, сотрудников аппарата управления (АУП) |
Руб. |
2 159 300 |
392 600 |
588 900 |
588 900 |
588 900 |
2 355 600 |
Далее необходимо выявить ключевые риски и сформулировать способы их преодоления(табл. 3.19):
Таблица 3.19
Риски и страхование
|
Риски |
Характеристика и меры преодоления |
|
Коммерческие риски |
Необходимо проанализировать деятельность конкурентов, чьи фильмы будут стоять на той же дате, что и «Каникулы в деревне». При наличии проектов со схожими концептами придется прибегнуть к «вирусной рекламе», иначе использовать рекламные договоренности с ТВ- и Интернет-партнерами |
|
Организационные риски |
Для снижения организационных рисков компания будет сотрудничать только с проверенными участниками кинорынка |
|
Внешние риски |
Экономическая нестабильность в России может снизить количество людей, готовых заплатить за билет, в таком случае можно устраивать специальные «дешевые» сеансы |
|
Риски, связанные с форс-мажорными обстоятельствами |
Это риски, обусловленные непредвиденными обстоятельствами. Мерой по их снижению служит работа предприятия с достаточным запасом финансовой прочности. Непредвиденные расходы заложены в сметную стоимость кинофильма «Каникулы в деревне» |
Перейдем к составлению финансового плана проекта «Каникулы Продакшн».
Затраты на запуск проекта: 44 904 056 рублей.
Проект будет финансироваться из собственных средств в размере 24 904 056 рублей и независимого инвестора Прохорова Михаила Дмитриевича, ранее проспонсировавшего кинопроекты «12» (компания «ТРИТЭ» Никиты Михалкова) и «Zолушка» («Продюсерская компания «Среда» Александра Цекало). М.Д. Прохоров вкладывает в проект 20 000 000 рублей в обмен на 50 % прибыли от деятельности проекта(табл. 3.20):
Таблица 3.20
Источники средств для реализации проекта
|
Источники финансирования |
Величина средств, необходимая для реализации проекта |
|
Собственные средства Уставной капитал |
24 904 056 рублей 15 000 рублей |
|
Заемные и привлеченные средства |
20 000 000 рублей (средства М.Д. Прохорова) |
|
Итого |
44 919 056 рублей |
Распределим затраты по годам реализации проекта. Коммерческие расходы расходы на маркетинг проекта (в 4 квартале 2016 года).
Плата за аренду ежегодно увеличивается на 10 %.
Плата за электроэнергию ежегодно увеличивается на 10 %.
Основные средства 110 000 рублей.
Полученные данные отражены в таблице 3.21.
Таблица 3.21
Затраты по годам реализации проекта
|
Показатели |
Ед. изм. |
2016 год |
2017 год |
||||
|
Всего |
По кварталам |
Всего |
|||||
|
I |
II |
III |
IV |
||||
|
Управленческие расходы |
Руб. |
16 040 640 |
2 916 480 |
4 374 920 |
4 374 920 |
4 374 920 |
17 498 880 |
|
Коммерческие расходы |
Руб. |
68 000 000 |
0 |
0 |
0 |
68 000 000 |
0 |
|
Аренда здания |
Руб. |
1 430 000 |
260 000 |
390 000 |
390 000 |
390 000 |
1 716 000 |
|
Оплата электроэнергии (3 000 руб./мес.) |
Руб. |
33 000 |
6 000 |
9 000 |
9 000 |
9 000 |
39 600 |
|
Налог на имущество (основные средства 2,2 %) |
Руб. |
26 620 |
4 840 |
7 260 |
7 260 |
7 260 |
29 040 |
|
ИТОГО |
Руб. |
85 530 260 |
3 187 320 |
4 781 180 |
4 781 180 |
72 781 180 |
19 283 520 |
Сопоставляя расходы и доходы, можно сосчитать чистую прибыль проекта(табл. 3.22):
Таблица 3.22
Финансовые результаты по годам реализации проекта
|
Показатели |
Ед. изм. |
2016 год |
2017 год |
|
1 |
2 |
3 |
4 |
|
Доходы |
Руб. |
0 |
409 500 000 |
|
Расходы |
Руб. |
85 530 260 |
19 283 520 |
|
Прибыль/убыток |
Руб. |
-85 530 260 |
390 216 480 |
|
Налог на прибыль (20 %) |
Руб. |
78 043 296 |
|
|
Чистая прибыль/убыток |
Руб. |
-85 530 260 |
312 173 184 |
Проведем оценку экономической целесообразности проекта «Каникулы Продакшн». Чтобы оценить экономическую целесообразность разработанного нами проекта компании-правообладателя фильма «Каникулы в деревне», рассчитаем чистый денежный поток и чистый дисконтированный доход (ЧДД).
Чистый денежный поток (Net Cash Flow, NCF) это разница между положительным денежным потоком (поступление денежных средств) и отрицательным денежным потоком (расходование денежных средств) в рассматриваемом периоде времени в разрезе отдельных его интервалов. Чистый дисконтированный доход, ЧДД (Net Present Value, NPV) при оценке эффективности инвестиционных проектов сумма годовых текущих эффектов капитальных вложений в проект, приведенная к начальному шагу по каждому шагу расчетов. Чем больше ЧДД, тем эффективнее проект; если же показатель будет отрицательным, то инвестор понесет убытки, т. е. проект неэффективен(табл. 3.23):
Таблица 3.23
Оценка экономических результатов ООО «Каникулы Продакшн»
|
0 |
1 |
2 |
|
|
Первоначальные вложения |
- 44 919 056 |
||
|
Прибыль |
-85 530 260 |
312 173 184 |
|
|
DF |
1 |
0,93 |
0,88 |
|
NCF |
- 85 530 260 |
274 712 401 |
|
|
NPV |
144 263 085 |
||
R = 7 % = 0,7 (7 % инфляция)
DF:
DF = 1 / (1+0,07)n, где n порядковый номер года
DF1 = 1/(1+0,07)1 = 1/1,07 = 0,93
DF2 = 1/(1+0,07)2 = 1/1,14 = 0,88
Чистый денежный поток NCF:
NCF = Прибыль*DF
NCF2 = 312 173 184*0,88 = 274 712 401
NPV = NCF1 + NCF2 первоначальные вложения
NPV = - 85 530 260 + 274 712 401 - 44 919 056 = 144 263 085
Доход инициатора проекта составит 50 % = 72 131 542,5 рублей (при вложении 24 904 056 рублей).
Доход инвестора М.Д. Прохорова составит 72 131 542,5 рублей (при вложении 20 000 000 рублей).
Таким образом, проект кинофильма является прибыльным. Следует заметить, что кино это долгосрочные инвестиции, которые возвращаются только после того, когда фильм выйдет в прокат, а на создание фильма может уйти год, а иногда и более, по этой причине инвестору необходимо не только вложить средства в проект, но и помочь производителю покрывать затраты на маркетинг и содержание компании. Впоследствии успех картины позволит создавать новые проекты, используя как собственные средства компании, так и государственные инвестиции «Фонда кино», которые призван финансировать коммерчески успешные проекты, тем самым развивая киноотрасль в целом.
Заключение
Главной целью кинематографа является его демонстрация зрителю, что позволит заработать достаточное количество средств для возмещения затрат, выделенных на производство частным или, что чаще, государственным инвесторам. Ключевым местом распространения кинопродукции является кинотеатр, не следует забывать о набирающем обороты рынке Интернет-порталов и теряющих былую мощь по этой же причине рынках ТВ и DVD.
Как показывает практика, прибыльными становятся лишь считанные российские фильмы, другие же картины в большинстве случаев проваливаются в прокате, а некоторые картины и вовсе не попадают в прокат, сразу же попадая в эфир спутниковых киноканалов. Российский кинематограф выпускает преимущественно авторское и экспериментальное кино, в перспективы которого закономерно не верят представители кинотеатральных сетей. Как результат, студии не может нормально развиваться и функционировать, и если бы не финансовая поддержка Министерства культуры Российской Федерации, которое на безвозмездной основе выделяет средства на производство проектов, большая часть кинокомпаний страны давно бы обанкротилась.
Тем не менее, ряд кинокомпаний страны осознали, что комедия это единственный жанр, в котором можно снимать фильмы без ущерба для качества и средств инвесторов. Компании «Enjoy Movies», «Квартет И», «Лунапарк» и многие другие, выпускающие малобюджетные комедийные проекты, действительно умеют зарабатывать деньги на российском кино. Для них это не столько творчество, сколько деньги.
Нами была сформулирована формула успеха комедийного российского фильма: звезды телевидения кино на главных ролях, не обременяющий мозг сюжет, придуманный либо выходцами Клуба Веселых и Находчивых, либо авторами успешных юмористических телепрограмм, а также умелый режиссер, способный работать не только с материалом небольшого хронометража 3-24 минут, как на телевидении в скетчкомах и ситкомах, но и с полнометражным кино.
На основе данных разработок нами был написан бизнес-план кинофильма «Каникулы в деревне» о приключениях трех звезд шоу-бизнеса в российской деревне.
При вложении 44 919 056 рублей фильм принесет по 72 131 542,5 рублей инициаторам проекта и инвестору в лице М.Д. Прохорова. Следует отметить, что в отличие от других видов производства кино не сразу и не всегда приносит прибыль. По этой причине нужно быть готовым к тому, что помимо вложенных в проект средств нужно будет найти деньги на содержание персонала компании и продвижение проекта, так как прибыль появится только после выхода картины в прокат и только в случае коммерческого успеха.
Список использованных источников
- Азоев Г.Л. Конкуренция: анализ, стратегия и практика. М.: Е & М, 1996. 556 с.
- Акофф Р. Планирование будущего корпорации. М.: Прогресс, 1985. - 234 с.
- Алешина И.В. Поведение потребителей. М.: Эксмо, 2007. 194 с.
- Амблер Т. Практический маркетинг. М.: Профит, 2006 169 с.
- Аналоуи Ф., Карами А. Стратегический менеджмент малых и средних предприятий. М.: Юнити, 2005. 422 с.
- Артеменко В.Г., Беллендир М.В. Финансовый анализ. М.: ДИС, 2006. 310 с.
- Арустамов Э.А., Пахомкин А.Н., Платонов А.П., Рыкова И.В. Организация предпринимательства. М.: ИКЦ «Маркетинг», 2004. 355 с.
- Астрахан Д.Х. 90-е. Кино, которое мы потеряли. М.: Зебра-Е, 2007. 272 с.
- Бабич А.М. Экономика и финансирование социально-культурной сферы. К.: КГУ, 1996. 358 с.
- Бабич Т.Н., Козьева И.А., Вертакова Ю.В., Кузьбожев Э.Н. Прогнозирование и планирование в условиях рынка. М.: Инфра-М, 2012 336 с.
- Базен А. Что такое кино? М.: Искусство, 1972. 216 с.
- Бернстайн Л.А. Анализ финансовой отчетности. М.: Финансы и статистика, 2006. 210 с.
- Буров В.П., Морошкин О.К. Бизнес-план. Методика составления. М: ЦИПКК, 2005. 201 с.
- Вайсфельд И.В. Кино как вид искусства. М.: ВГИК, 1983. 302 с.
- Венжер С.Я. Кинематограф: шаги к рынку. М.: Созинформкино, 1990. 428 с.
- Веснин В.Р. Основы менеджмента. Учебник М.: Триада, 2000. 114 с.
- Галуцкий Г.М. Основы финансов и финансирование культурной деятельности. М.: Аскид, 1996. 440 с.
- Гальперина В.М. Теория фирмы. СПб.: Экономическая школа,1995. 372 с.
- Глин Дж., Маркова В., Перкинс Д. Стратегия бизнеса. Новосибирск: ИЭиОПП СО РАН, 1996. 447 с.
- Гойхман М.М. Деловые игры по рыночной экономике и бизнесу. М.: СОМШТЭК, 1992. 239 с.
- Голутва А.А. Теоретические основы процесса управления предприятиями кинематографии в современных условиях хозяйствования. СПбГУКиТ, 2002. 246 с.
- Данилов П.В. Принципы функционирования систем продюсирования. СПб.: СПбГУКиТ, 2009. 78 с.
- Дафт Р.Л. Менеджмент. СПб.: Питер, 2001. 175 с.
- Дашевская Н.С., Клейникова Е.А. Методы стратегического планирования (зарубежный опыт). М.: Парламент, 1992. 317 с.
- Джакубова Т.Н. Бизнес-план. Расчеты по шагам. М.: Финансы и статистика, 2014. 96 с.
- Добренькова И.А., Захаров С.М. Особенности маркетинга андеграундной кинопродукции // Неделя науки и творчества: материалы Межвуз. науч.-практ. студ. форума 21-25 апр. 2014 г. Ч. 2 / редкол.: А.Д. Евменов (отв. ред.) [и др.] СПб.: СПбГУКиТ, 2014. С. 178-179.
- Добротворский С. Кино на ощупь. СПб.: Сеанс, 2001. 196 с.
- Долгов А.И., Прокопенко Е.А. Стратегический менеджмент. М.: Флинта, 2008. 280 с.
- Друкер П.Ф. Рынок: как выйти в лидеры: Практика и принципы: Пер. с англ. М., 1992. 193 с.
- Евменов А.Д., Глухов В.В. Методологические положения развития кинематографии при совершенствовании механизма государственной поддержки. СПб.: СПбГУКиТ, 2005. 64 с.
- Евменов А.Д., Данилов П.В., Какосьян Э.К. Организация производства на предприятиях социально-культурной сферы (в кинематографии и на телевидении): Учебное пособие. СПб.: Изд. СПбГУКиТ, 2009. 97 с.
- Евменов А.Д., Сегеди И.Б. Современные стратегии управления сферой культуры. СПб.: СПбГУКиТ, 2005. 226 с.
- Евменов А.Д., Фирова И.П. Менеджмент в организации. СПб.: СПбГУКиТ, 2000. 324 с.
- Еременко Е.Д. Новый век российского кино: конфликт мнений, диалог поколений. СПб: Первый класс, 2011. 240 с.
- Ермилова Н.Б. Деталь в кино. Выразительные возможности использования пластического образа в литературе и кинематографии. СПбГУКиТ, 2006. 354 с.
- Зайцева А.Н. Менеджмент в социально-культурном сервисе и туризме. М.: Академия, 2006. 425 с.
- Закревский Ю.А. Наше родное кино. М.: ИТРК, 2004. 208 с.
- Захаров С.М., Добренькова И.А. Кассовые сборы российского драматического кино в 2010-2014 гг. // Молодой ученый. 2015. № 14 (94). С. 248-253.
- Захаров С.М., Добренькова И.А. Проблемы монетизации драматического кино // Экономика, управление, финансы: материалы V междунар. науч. конф. (г. Краснодар, август 2015 г.). Краснодар: Новация, 2015. С. 27-31.
- Зигель Э.С. Шульц Л.А. Составление бизнес-плана. М: Финансы и статистика, 2006. 632 с.
- Исследование процессов сегментации потребителей услуг в сфере шоу-бизнеса // Проблемы управления развитием социально-экономических систем. Сборник научных трудов. СПб.: СПбГУКиТ, 2000. 256 с.
- Казин А.Л. Россия и мировая культура. СПб.: СПбГУКиТ, 2004. 132 с.
- Каленов И.Е. Организационно-экономический механизм повышения конкурентоспособности организаций кинематографии. СПб.: СПбГУКиТ, 2005. 142 с.
- Каленов И.Е. Основы формирования стратегической направленности развития конкурентоспособного потенциала кинематографии. СПб.: СПбГУКиТ, 2003. 98 с.
- Карабанов Б.М., Федосеев А.С. Битва за эффективность. М.: Альпина Паблишер, 2013. 288 с.
- Карлоф Б. Деловая стратегия. М.: Экономика, 1991. 219 с.
- Карцева Е. Сделано в Голливуде. М.: Искусство, 1964. 260 с.
- Кокарев И.Е. Кино как бизнес и политика. М.: Аспект Пресс, 2009. 344 с.
- Кончаловский А.С. 9 глав о кино и т.д. М.: Эксмо, 2013. 176 с.
- Кукаркин А., Бояджиев Г., Шнеерсон Г., Чегодаев А. Кино, театр, музыка, живопись в США. М.: Знание, 1964. 346 с.
- Кукушкин С.Н., Поздняков В.Я., Васильева Е.С. Планирование деятельности на предприятии. М.: Юрайт, 2012. 352 с.
- Липсиц И.В. Бизнес-план основы успеха. М: Машиностроение, 2005. 300 с.
- Макки Р. История на миллион долларов. Мастер-класс для сценаристов, писателей и не только. М.: Альпина нон-фикшн, 2013. 464 с.
- Малышев А.В. Совершенствование системы управления сферой культуры. СПб.: СПбГУКиТ, 2002. 198 с.
- Маркетинговые особенности деятельности организаций в сфере шоу-бизнеса // Проблемы управления развитием социально-экономических систем. Сборник научных трудов. СПб.: СПбГУКиТ, 1999. 264 с.
- Маркетинг шоу-бизнеса // Маркетинговые исследования товарных рынков. Под ред. Г.Л. Багиева, В.В. Томилова. СПб.: СПбГУЭФ, 1998. 198 с.
- Маховикова Г.А., Кантор Е.Л., Дрогомирецкий И.И. Планирование на предприятии. М.: Юрайт, 2010. 144 с.
- Мельников В.В. Жизнь. Кино. СПб: БХВ-Петербург, 2011. 416 с.
- Михалков Н.С. Публичное одиночество. М.: Эксмо, 2014. 944 с.
- Новицкий Н.И., Пашуто В.П. Организация, планирование и управление производством. М.: Финансы и статистика, 2007. 576 с.
- Огарков А.А. Управление организацией. М.: Эксмо, 2006. 288 с.
- Огурчиков П.А. Мастерство продюсера кино и телевидения. М.: Юнити, 2007. 864 с.
- Остервальдер А., Пинье И. Построение бизнес-моделей. М.: Альпина Паблишер, 2014. 288 с.
- Падейский В.В. Проектирование телепрограмм: Учеб. пособие для студентов вузов. М.: ЮНИТИ-ДАНА, 2004. 488 с.
- Парфенов Л.Г. Зворыкин Муромец. М.: КоЛибри, Азбука-Аттикус, 2011. 160 с.
- Пелих А.С. Бизнес-план или как организовать собственный бизнес. М.: Ось-89, 2004. 362 с.
- Петров К.Н. Как разработать бизнес-план. Практическое пособие с примерами и шаблонами. М.: Вильямс, 2014. 320 с.
- Попов А.В. Теория организации управления. М.: Бек, 2005. 312 с.
- Попов В.И., Ляпунов С.И., Воронова Т.А., Криночкин И.Ю. Руководитель: управление, планирование, стратегия. М.: Кнорус, 2009. 440 с.
- Раздорожный А.А. Управление организацией (предприятием). М.: Экзамен, 2006. 207 с.
- Разлогов К.Э. Мировое кино. История искусства экрана. М.: Эксмо, 2013. 730 с.
- Разработка комплекса маркетинга в сфере бизнеса // Проблемы управления развитием социально-экономических систем. Сборник научных трудов. СПб.: СПбГУКиТ, 2006. 116 с.
- Райс Э.М., Траут Д.М, Капшуревский Ю.Н. Позиционирование: учебное пособие. СПб.: Питер, 2005. 120 с.
- Рапопорт В.Ш. Диагностика управления: практический опыт и рекомендации. М.: Экономика, 1988. 221 с.
- Роднянский А.Е. Выходит продюсер. М.: Манн, Иванов и Фербер, 2013. 288 с.
- Роднянский А.Е. Мастер-класс-01. Мастерство продюсера. М.: Мир искусства, 2010. 92 с.
- Саак А.Э., Пшеничных Ю.А. Менеджмент в социально-культурном сервисе и туризме. СПб.: Питер, 2007. 404 с.
- Сазонова Е.В., Чеснова О.А,, Сорвина Т.А., Благова И.Ю., Лавров В.В., Ефремова Н.А. Методические указания по выполнению расчетной части дипломной работы для студентов факультета управления специальностей 080502 «Экономика и управление на предприятии (социально-культурной сферы)», 080507 «Менеджмент организации» СПб.: СПбГУКиТ, 2013. 37 с.
- Сельянов С.М. Динамика развития продюсирования на телевидении. СПб.: СПбГУКиТ, 2007. 156 с.
- Сельянов С.М. Стратегическое планирование и регулирование развития сферы культуры. СПб.: СПбГУКиТ, 2007. 171 с.
- Сидоренко В.И., Огурчиков П.А. Профессия продюсер кино и телевидения. Практические подходы. М.: Юнити-Дана, 2010. 712 с.
- Смелянский Д.Я. Авантюрист поневоле, или Беседы о том, как я стал продюсером. М.: Книжный клуб, 2010. 268 с.
- Смирнов А.Ю. Управление сферой культуры в регионах России. СПб.: Диалог, 2005. 304 с.
- Стоун Ф. Бизнес-план. М.: Гиппо, 2004. 112 с.
- Тульчинский Г.Л., Шекова Е.Л. Маркетинг в сфере культуры. СПб.: Планета музыки, 2009. 496 с.
- Тульчинский Г.Л., Шекова Е.Л. Менеджмент в сфере культуры. СПб.: Лань, 2009. 528 с.
- Уэйнтрауб Д., Ричард К. Уроки убеждения от известного голливудского продюсера. М.: Эксмо, 2011. 304 с.
- Фатова С.А., Холодкова К.С. Методические указания по выполнению курсовой работы «Бизнес-план предприятия социально-культурной сферы». СПб.: СПбГУКиТ, 2012. 34 с.
- Черныш Е.А., Молчанова Н.П., Новикова А.А., Салтыкова Т.А. Прогнозирование и планирование. М.: Приор, 2000. 208 с.
- Черняк В.З. Бизнес-планирование. М.: Юнити-Дана, 2003. 470 с.
- Шапрон Ж., Жессати П. Принципы и механизмы финансирования французского кино. М.: КоЛибри, Азбука-Аттикус, 2011. 96 с.
- Шведенко В.В., Тяжов А.И. Маркетинговая концепция. М.: Эссе, 2007 326 с.
- Шевчук Д. Бизнес-планирование: как составить бизнес-план. М.: АСТ, 2012. 89 с.
- Шекова Е.Л. Управление учреждениями культуры в современных условиях. СПб.: Планета музыки, 2014. 416 с.
- Эпштейн Э.Д. Экономика Голливуда. На чем на самом деле зарабатывает киноиндустрия. М.: Альпина Паблишер, 2011. 216 с.
Формирование бизнес-плана кинопроекта «Каникулы в деревне»