Линейный однокаскадный усилитель сигнала звуковой частоты
PAGE 13
Национальный исследовательский университет <<МЭИ>>
Институт автоматики и вычислительной техники
___________________________________________________________________________
Кафедра электрофизика информационных систем
Курсовой проект
Линейный однокаскадный усилитель сигнала звуковой частоты
Выполнил
Студент : Папета В.А.
Группа : А-01-13
Дата : _________
Принял
Преподаватель : Лагутина С.В.
Оценка : ____
Дата : _________
Дано:
- вид каскада: ОЭ
- рекомендуемый тип транзистора : КТ315б
- максимальное напряжение на нагрузке : 4.4 В
- сопротивление Rн : 3 кОм
- емкость Cн нагрузки : 0.7 нФ
- сопротивление генератора Rг : 0.1 кОм
- коэффициент усиления каскада Kе0 4.3
- полоса пропускания каскада: fн 400 Гц и fв 40 кГц).
Свойства транзистора:
- тип транзистора: n-p-n
- технологический диапазон параметра : 50…350
- предельные (максимальные) параметры
Iк доп : 100 мА
Uкэ доп : 20 В
Pдоп : 150 мВт
- емкости коллекторного и эмиттерного переходов
Скп : 7пФ
Сэп,: 7пФ
- частотные параметры транзистора:
- fт : 250 Гц
Определение напряжения источника питания и рабочего режима транзистора (рабочей точки).
Запас напряжения, связанный с нелинейностью выходных вольт-амперных характеристик транзистора Uнел = 1В;
Запас для ухода рабочей точки из-за термонестабильности Uт = 1В;
Амплитуда неискаженного выходного сигнала UВЫХ = 4.4В;
UA = Uвых + Uт + Uнел = 6.4В;
Источник питания источник ЭДС с напряжением Eп = 20В;
Iко=1мА(тепловой ток)
IA > I~ + Iк0 IA= 0.021(A)
Расчет резисторов
Определение сопротивлений выходной части каскада:
R= = =647.61(Ом)
Rэ+Rк=620 (Ом)
- Rк = (3..4) Rэ
Rэ=155 (Ом) Rк=465 (Ом)
- URэ = 2..6 (В),
Rэ= (2..6) /0.021 =95..285
Rк= R= Rэ.
Итого: Rэ=150 (Ом) Rк=470 (Ом)
R~=Rк || Rн=406(Ом)
IA R~= 8.53(В)
Определение сопротивлений резисторов входной цепи.
Iк доп = 1.54 (мА)
RЭ, где IбА = IА /=0.11*10-3(А)
-150=1715(Ом) Rб = 700(Ом)
3888(Ом)\
=853(Ом)
|
Резисторы |
||
|
Резистор |
Расчет, Ом |
Округление до ряда Е12, Ом |
|
Rэ |
155 |
150 |
|
R1 |
3888 |
3900 |
|
R2 |
853 |
1000 |
Расчет рабочего режима каскада
NAME Q_Q1
MODEL KT315B
IB 7.19E-03
IC -1.16E-02
VBE -8.12E+00
VBC 8.35E-01
VCE -8.96E+00
BETADC -1.61E+00
GM -1.69E-01
RPI 2.11E+14
RX 1.50E+01
RO 5.90E+00
CBE 8.15E-12
CBC 5.15E-08
CJS 0.00E+00
BETAAC -3.57E+13
CBX/CBX2 0.00E+00
FT/FT2 -5.23E+05 
Схема каскада по постоянному
току
Rб = R1 || R2=3900*1000/(3900+1000)=795Ом
Rсм = Rб + Rэ (1+)=700+155*150=23800Ом
Eсм = -Eп =-15*1000/(1000+3900)=-3.06В
Eсм = Uбэ + Iб Rсм
Iб=(3.06-0,7)/ 23800=98мкА
Iк = Iб=185*96*10^-6=8.1мА
Eп= Uкэ + Iк R=
Uкэ=0,0081*647-15=7.6B
Расчет возможного ухода рабочего тока
= =150/(150+795)=0.15
Iк1 = / =0.3мА
Iк2 ==0.4мА
Iк = Iк1 + Iк2=0.7мА
UТ = Iк R==0.42В
Графический расчет усилительного каскада.

rвх = 79 Ом
Iб =0.000403А Uбэ =0.75В

Iк = 6.7мА Uкэ = 8.1В
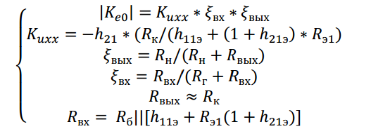
Определение основных параметров каскада.

x =
= * *= 4.3
x =27812Ом
Далее из Х находим Rэ1, затем Rэ2
Rэ1=108 Ом
Rэ2=37 Ом
|
Резистор |
Расчет, Ом |
Округление до ряда Е24, Ом |
|
Rэ1 |
108 |
110 |
|
Rэ2 |
37 |
39 |
=960 Ом
RВЫХ RК=1000Ом
= -9.028
=0.905
=0.75
Ke0= Ku хх ,= -6.12
Расчет конденсаторов.
=0.000397
,
,
Cэ=2.62мкФ
Cp1=0.52мкФ
Cp2=0.14мкФ
|
Конденсатор |
Расчет, мкФ |
Округление до ряда Е6, мкФ |
|
Сэ |
2.62 |
2.2 |
|
Ср1 |
0.52 |
0.47 |
|
Ср2 |
0.14 |
0.15 |
Определение верхней границы полосы пропускания каскада
Свх= Сэ + Ск
вх= Свх(Rвх||Rг) 8.75*10^-8
вых= Сн экв(Rн||Rвых)9.7*10^-8
Сн экв = Сн + Ск13нФ
Т = / (2fт (1+))=4.77*10^-7
=4.26*10^-7
= 37.4КГц < 40 КГц
Вероятна ошибка из-за погрешности измерения
Спецификация элементов