Рынок труда. Статистический анализ занятости и безработицы в России
Курсовая работа
Тема: «Рынок труда. Статистический анализ занятости и безработицы в России»
Профессор кафедры экономической теории доктор экономических наук *****************.
Доцент Кафедры статистики кандидат экономических наук
*****************.
Содержание
|
Введение |
|||
|
1. |
Рынок труда |
||
|
1.1 |
Сущность, структура и функции рынка труда |
||
|
1.2 |
Классификация и теории рынков труда |
||
|
1.3 |
Механизм функционирования рынка труда |
||
|
1.4 |
Специфика рынка труда |
||
|
1.5 |
Особенности современного рынка труда |
||
|
2. |
Сущность, виды и формы занятости |
||
|
2.1 |
Занятость: социально-экономическая сущность, основные характеристики |
||
|
2.2 |
Виды и формы занятости |
||
|
3. |
Сущность, формы и виды безработицы |
||
|
4. |
Политика на рынке труда |
||
|
5. |
Современное состояние рынка труда в России, проблемы безработицы |
||
|
6. |
Статистика рынка труда |
||
|
6.1 |
Статистика трудовых ресурсов |
||
|
6.2 |
Статистика занятости и безработицы |
||
|
6.2.1 |
Динамика общей численности безработных по полу, динамика безработицы среди городского и сельского населения |
||
|
6.2.2 |
Распределение численности безработных по возрастным группам |
||
|
6.2.3 |
Среднегодовая численность занятых в экономике по отраслям |
||
|
6.2.4 |
Распределение численности безработных по уровню образования |
||
|
Заключение |
|||
|
Список использованных источников |
|||
|
Приложение |
Введение
В данной работе рассмотрена характеристика рынка труда.
На данный момент времени это очень актуальная тема, так как рынок труда это важнейший элемент рыночной экономики. В связи со спадом производства в 90-х годах в целом по России положение на рынке труда стало напряженным и неустойчивым. Так в нашей жизни появилось такое негативное явление, как безработица. Безработица имеет серьезные социальные последствия, поскольку работа это, с одной стороны, источник доходов, а с другой средство самоутверждения человека в обществе. Этим объясняется актуальность выбранной темы.
Целью работы является анализ рынка труда, а также проблем безработицы и путей их решения.
Объектом исследования является Россия (российский рынок труда).
Предметом исследования являются показатели, характеризующие состояние рынка труда.
В соответствии с целью были поставлены и решены следующие задачи:
- Рассмотреть теоретические аспекты сущности, структуры и функций рынка труда, его специфику и особенности на современном этапе;
- Выделить факторы, влияющие на рост безработицы среди определенных групп населения;
- Оценить состояние рынка труда в России на сегодняшний день.
В работе были использованы труды К. Маркса, Дж. Кейнса, А. Пигу и П. Хейне, а также статистические данные с сервера Федеральной службы государственной статистики.
Курсовая работа состоит из введения, двух глав, заключения, списка использованных источников и приложения.
1. Рынок труда.
1.1. Сущность, структура и функции рынка труда.
В самом общем виде рынок - система экономических отношений между продавцами и покупателями товаров и услуг. Рынок можно рассматривать также как экономическое и географическое пространство, на котором происходит процесс товарного обращения, обмена товаров на деньги и, соответственно, денег на товары. Рынок понимается и как механизм, сводящий вместе продавцов и покупателей товаров и услуг.
Каждое из названных определений (система отношений, пространство, механизм) дает сущностную характеристику одной из сторон многогранного понятия «рынок». Различают рынки сырья, материалов, топлива, готовой продукции, ценных бумаг, кредитов и др. Функционирование каждого из них имеет свои особенности, связанные со спецификой товара, выступающего объектом купли-продажи на данном рынке.
Среди рынков особое место занимает рынок труда, являющийся фундаментом рыночных отношений, поскольку управление экономикой предполагает прежде всего управление трудовой деятельностью. Рынок труда является органической составляющей любой рыночной экономики, выполняющей функции механизма распределения и перераспределения общественного труда по сферам и отраслям хозяйства, видам и формам занятости, по критериям эффективности труда и производства в соответствии со структурой общественных потребностей и форм собственности.
Существует несколько научных определений рынка труда, например:
Рынок труда это совокупность экономических и юридических процедур, позволяющих людям обменять свои трудовые услуги на заработную плату и другие выгоды, которые фирмы согласны им предоставить в обмен на эти услуги. [4, 244]
Рынок труда это сфера контактов между продавцами и покупателями, трудовых услуг, в результате которых устанавливаются уровень цен и распределение услуг труда. Он включает широкий спектр трудовых отношений и вовлеченных в них лиц. Через рынок труда большинство работающего населения получает работу и доходы. [6, 137]
Выведем одно, наиболее обобщающее понятие. Итак, рынок труда это социально-экономическая система, включающая в себя совокупность общественных отношений, связанных с куплей и продажей рабочей силы; это также экономическое пространство сфера трудоустройства, в которой взаимодействуют покупатели и продавцы рабочей силы; наконец, это механизм, обеспечивающий согласование цены и условий труда между работодателями и наемными работниками. [3, 54]
Рынок труда можно рассматривать широко как совокупный рынок труда, охватывающий все совокупное предложение (все экономически активное население) и совокупный спрос (общую потребность экономики в рабочей силе). В узком смысле принято говорить о текущем рынке труда как составной части совокупного рынка труда основными характеристиками которого являются предложение рабочей силы, т.е. контингент незанятого населения, ищущего работу, и спрос на рабочую силу или неукомплектованные рабочие местa, отражающие неудовлетворенную часть общей потребности экономики в кадрах.
Текущий рынок труда состоит из отдельных элементов:
- открытый рынок труда это экономически активное население, ищущее работу и нуждающееся в подготовке и переподготовке, а также все вакантные рабочие места во всех секторах экономики;
- скрытый рынок труда это лица, которые формально заняты в экономике, но в то же время в связи с сокращением производства или же с изменением его структуры могут быть высвобождены без ущерба для производства.
Оба рынка имеют официальную (зарегистрированную) и неофициальную части.
Функционирование рынка труда имеет ряд следующих особенностей, связанных с характером и спецификой воспроизводства рабочей силы:
1. Неотделимость прав собственности на товар рабочую силу от владельца. На рынке труда продается и покупается не сам труд, а услуги труда [10, 245], поэтому покупатель (работодатель) приобретает только право использования и частичного распоряжения способностью к труду (рабочей силой), функционирующей в течение определенного времени.
2. Значительная продолжительность по времени контакта продавца и покупателя рабочей силы, что накладывает свой отпечаток на их взаимоотношения и играет немаловажную роль в обеспечении жизнеспособности организации.
3. Наличие большого числа институциональных структур особого рода (разветвленной системы законодательства, социально-экономических программ, служб занятости и т.д.).
4. Высокая степень индивидуализации сделок, связанная с различным профессионально-квалификационным уровнем рабочей силы, разнообразием технологий и организации труда и т.д.
5. Своеобразие в обмене рабочей силы по сравнению с обменом любого другого, вещного товара. Первый обмен начинается и сфере обращении товара рабочей силы, т.е. на рынке труда, продолжается в сфере производства и заканчивается в сфере обращения жизненных благ, т.е. на рынке товаров и услуг. Второй начинается и заканчивается в сфере обращения вещного товара.
6. Значимость для работника неденежных аспектов сделки: содержания и условий труда, микроклимата в коллективе, возможности продвижения по службе и т.д.
Рынок труда как система включает следующие элементы: субъекты рынка труда: правовые акты и документы, регламентирующие отношения субъектов рынка труда; конъюнктура рынка труда; инфраструктура рынка труда.
Основными субъектами рынка труда являются наемные работники и их объединения профсоюзы, работодатели (предприниматели) и их союзы, государство.
Для нормального функционирования рынка труда необходимы законодательные акты, нормы, правила, регулирующие взаимоотношения между субъектами рынка, четко определяющие их права, создающие равные возможности для реализации способностей к труду всех участников рыночных отношений, предусматривающие социальное страхование на случай потери работы и т.д. Такие нормы определены в Конституции Российской Федерации, в Законе РФ «О занятости населения в Российской Федерации», других законах. Они конкретизируются в указах Президента РФ, решениях правительства, в генеральном, региональных и отраслевых соглашениях, в коллективных договорах предприятий.
Конъюнктура рынка труда это соотношение спроса и предложения рабочей силы. Она может быть трех типов:
• трудодефицитной, когда рынок труда испытывает недостаток предложения рабочей силы;
• трудоизбыточной, когда на рынке труда имеется большое число безработных и, соответственно, избыток предложения рабочей силы;
• равновесной, когда спрос на рабочую силу соответствует ее предложению.
Инфраструктура рынка труда это система институтов, учреждений и организаций, занимающихся проблемами движения рабочей силы и обеспечивающих функционирование рынка труда (государственные учреждения, биржи труда, негосударственные структуры содействия занятости, кадровые службы предприятий, общественные организации, фонды, банки данных о рабочих местах, статистическая информация и др.).
Наличие и взаимодействие всех элементов рынка труда необходимы для его нормального функционирования, под которым понимается положение, когда созданы все условия для выполнения функций рынка труда. К таким функциям относятся:
• организация встречи продавцов и покупателей рабочей силы;
• обеспечение конкурентной среды внутри каждой из сторон рыночного взаимодействия;
• установление равновесных ставок заработной платы;
• содействие решению вопросов занятости населения;
• осуществление социальной поддержки безработных.
1.2. Классификация и теории рынков труда.
Для регулирования рынка труда важное значение имеет классификация рынков труда по различным критериям (см. приложение 1).
1. По критериям пространственной протяженности и административно-территориальной зависимости можно различать международный рынок труда; национальный рынок труда, действующий на территории страны; региональный рынок труда, охватывающий территорию отдельного региона (республики, края, области, района) страны; внутрифирменный рынок труда рынок труда внутри конкретной организации.
2. По критерию временных параметров можно различать текущий (реальный), перспективный, потенциальный и прогнозируемый рынки труда.
3. По степени эластичности можно выделить жесткий рынок труда, основанный на строгой регламентации рабочего времени и стандартных формах занятости, и гибкий рынок труда, быстро приспосабливающийся к изменяющимся условиям хозяйствования, как количественно (за счет количества занятых, уровня заработной платы), так и функционально (за счет использования гибких режимов занятости, изменения систем оплаты труда).
4. В зависимости от степени конкуренции на рынке труда и взаимодействия продавцов и покупателей рабочей силы можно выделить несколько моделей: чисто конкурентный рынок труда, монопсонистический рынок труда, модель при участии профсоюзов, модель двусторонней монополии.
Чисто конкурентный рынок труда характеризуется следующими чертами: 1) большое число организаций конкурируют друг с другом при найме работников конкретного вида труда; 2) многочисленные квалифицированные работники, имеющие одинаковую квалификацию, независимо друг от друга, предлагают данный вид труда; 3) ни организации, ни работники не контролируют и не диктуют ставки заработной платы.
Модель монопсонии (т.е. монополии одного покупателя) характеризуется следующими чертами: 1) количество занятых в данной организации составляет основную часть занятых каким-то конкретным видом труда; 2) данный вид труда является относительно не мобильным в силу географических или профессионально-квалификационных факторов, когда работники не могут найти другое рабочее место без смены специальности и квалификации; 3) организация диктует заработную плату, т.е. ставка заработной платы находится в прямой зависимости от количества нанимаемых работников.
Монопсонистические условия на рынке труда складываются, как правило, в малых городах и отдаленных районах при наличии там одного крупного предприятия, являющегося единственным источником занятости для населения. Если монопсонию на рынке труда держит небольшое число предприятий, то в этом случае имеет место олигопсония.
В тех случаях, когда на рынке труда профсоюзы представляют интересы работников и от их имени ведут переговоры с нанимателями, имеет место модель рынка труда с учетом действия профсоюзов.
Модель двусторонней монополии характерна для условий монопсонистического рынка труда, на котором действуют сильные профсоюзы, таким образом, на рынке труда действуют монополистический продавец труда в лице профсоюза, контролирующий предложение труда и влияющий на ставки заработной платы, и монополистический наниматель, который тоже может воздействовать на заработную плату путем изменения занятости.
5. В разных странах рынок труда приобретает свои специфические национальные модели, например, выделяют японскую, американскую, шведскую модели рынка труда.
Для японской модели характерна система трудовых отношений, основанная на принципе «пожизненного найма», при котором гарантируется занятость постоянного работника на предприятии до достижения им возраста 5560 лет, повышение размеров заработной платы, премиальных и социальных выплат в прямой зависимости от числа проработанных лет, плановое последовательное повышение квалификации и служебно-профессиональный рост. Японская модель рынка труда способствует формированию рациональной занятости при наиболее полном учете потребностей производства, интересов работодателей и наемных работников.
Модель рынка труда США характеризуется децентрализацией законодательства о занятости и помощи безработным, которое принимается каждым штатом отдельно. На предприятиях действует жесткое отношение к работникам, которые при изменении конъюнктуры рынка могут быть уволены, причем работники не информируются об увольнении заблаговременно. Коллективными договорами охвачена только четверть работников. Недостаточно внимания уделяется внутрифирменной подготовке персонала, за исключением подготовки по специфическим для фирмы работам. Подобная политика фирм ведет к высокой географической и профессиональной мобильности работников.
Шведская модель характеризуется активной политикой государства в области занятости, делающей упор на меры по предупреждению безработицы, а не на содействие уже потерявшим работу, в результате чего уровень безработицы в этой стране минимальный. Политика занятости включает в себя четыре основные элемента: 1) ограничительную фискальную политику, которая направлена на поддержку менее прибыльных предприятий и сдерживание прибыли высокодоходных компаний для снижения инфляционной конкуренции между ними в повышении заработной платы; 2) политику «солидарности» в заработной плате, которая преследует цель достижения равной оплаты за равный труд независимо от финансового положения предпринимателя или отраслевой принадлежности фирмы; 3) стимулирование создания новых рабочих мест, а также центров по подготовке и переобучению кадров: 4) селективную (выборочную) поддержку в секторах экономики, имеющих низкие экономические показатели, но при этом обеспечивающих решение важных социальных задач.
6. В зависимости от степени развития рыночных отношений рынок труда может быть фрагментарным (частичным), регулируемым, организованным и теневым (нерегулируемым).
Фрагментарный рынок труда предполагает ограниченное действие фактора спроса и предложения рабочей силы на основе нормативного регулирования труда (трудовое законодательство, регулирующее вопросы найма и увольнения работника, условия труда, его оплату и т.п.).
Регулируемый рынок труда создает правовые основы поведения субъектов, выступающих на рынке труда, и предполагает наряду с законодательным регулированием экономических, социальных и трудовых отношений широко развитую систему коллективных договоров как источника нормативного регулирования.
Организованный рынок труда высшая степень развитости рынка труда предполагает, во-первых, развитую инфраструктуру, включающую комплекс организаций и учреждений, обеспечивающих функционирование рынка труда; а во-вторых, тесное взаимодействие политики занятости с другими направлениями социально-экономической и технической политики (научно-техническая политика, политика структурных изменений в экономике, в области образования, пенсионного обеспечения, семейная политика и др.).
Теневой (нерегулируемый) рынок труда включает в себя нерегулируемые формы занятости, проявляющиеся в уклонении от налогов и статистического учета, несоблюдении трудового законодательства и условий коллективных договоров и включающие самые разнообразные виды трудовой деятельности: нелегальный труд на предприятиях, работа по совместительству, подряды, надомничество, кооперативы и т.д., но только в том случае, когда они не контролируются государственными органами и профсоюзами.
7. В зависимости от контингента работников, занятых по определенным профессиям и работам в отдельных отраслях промышленности или сферах экономики, складывается рынок труда по критериям сегментации. Сегментация рынка труда это разделение его на устойчивые замкнутые сегменты (субрынки), лимитирующие движение работников своими границами. Для проведения сегментации рынка труда используются такие факторы, как географическое положение (регион, город, район и т.д.), экономические показатели (распределение покупателей рабочей силы по формам собственности, их финансовому положению; распределение продавцов рабочей силы по уровню материальной обеспеченности и степени нуждаемости в средствах существования и др.), демографические (половозрастной и семейный состав населения), социально-экономические (уровень образования, профессионально-квалификационный состав, стаж работы, национальность и др.), психографические (личностные качества работников), поведенческие (мотивация занятости и др.) характеристики.
8. В зависимости от политики занятости, проводимой в различных странах, можно говорить о двух основных моделях рынка труда по критерию моделирования среды внешнем и внутреннем. Слагаемыми формирования модели рынка труда являются системы профподготовки, методы повышения профессионального и квалификационного уровня, практика продвижения работников и заполнения вакантных рабочих мест, особенности регулирования кадровой политики организаций на основе коллективных договоров. Каждой модели рынка труда соответствуют и свои системы производственных отношений.
Внешний рынок труда предполагает географическую и профессиональную мобильность рабочей силы между организациями. В рамках такого рынка они комплектуются кадрами со стороны, подбирают готовых работников, рассчитывая на их подготовку вне предприятия. Основная же форма подготовки на таких предприятиях ученичество.
Внутренний рынок труда основывается на внутрифирменном профессиональном движении работников. Профессии работников, замкнутые внутренним рынком труда, сложнее использовать в других организациях, так как они носят специфический, присущий данной фирме характер. Кроме того, и система производственных отношений на внутреннем рынке труда, где гарантии занятости и материальное положение работника (уровень заработной платы, объем социальных выплат и льгот) зависят от стажа работы на данном предприятии, препятствуют переходу работника в другие организации.
Различный уровень гарантий занятости у разных категории работников на внешнем и внутреннем рынках труда привел к образованию так называемого дуального (двойственного) рынка труда, который предполагает деление работников на тех, у кого сильные гарантии занятости, высокая заработная плата, социальные льготы, иначе говоря высокое качество трудовой жизни, и на тех, у кого слабые гарантии занятости. Дуальный рынок труда может существовать как в экономике в целом, так и в отдельных отраслях и на предприятиях, разделяя всех занятых на первичный и вторичный рынки труда.
9. Другим важным видом структуризации рынка труда является структуризация по демографическим признакам отдельных категорий и групп трудоспособного населения.
По демографическим признакам различаются рынки труда молодежи, женщин, инвалидов, пожилых трудящихся, отличающиеся различной степенью мобильности рабочей силы, уровнем трудоспособности и активности на рынке труда и другими характеристиками.
10. По профессиональным признакам можно выделить: рынок труда инженеров, рынок труда ученых, рынок труда учителей, рынок труда врачей и т.д. На профессиональных рынках труда работников объединяют профессиональные интересы, выходящие за рамки предприятий, где они заняты. За рубежом для специалистов высшей и средней квалификации нередки случаи объединения в профессиональные организации, общества или ассоциации инженеров, врачей и т.п.
Структуризация рынка труда по различным признакам позволяет проводить дифференцированную политику на рынке труда.
Существуют различные теоретические подходы к изучению занятости и механизма функционирования рынка труда. Как правило, в экономической литературе выделяются четыре концептуальных подхода: классический, неоклассический, кейнсианский и монетаристский. Основные характеристики названных подходов представлены в табл. 1.2.1.
Таблица 1.2.1.
Характеристика основных теорий рынка труда
|
Теория рынка труда |
Сторонники теории |
Основные положения теории |
|
Классическая |
Д. Рикардо, Дж.С. Милль, А. Маршалл |
• Общее перепроизводство невозможно, поскольку предложение порождает свой собственный спрос; • Не может быть недостаточного уровня расходов для закупки продукции, произведенной при полной занятости; • Если уровень общих расходов и окажется недостаточным, то довольно быстро включатся такие рычаги регулирования, как цена и заработная плата, в результате чего снижение общих расходов не повлечет за собой сокращения реального объема производства, занятости и реальных доходов; • Конкуренция на рынке труда исключает вынужденную безработицу. Любой желающий работать по определяемой рынком ставке заработной платы может легко найти работу; • Такие рычаги рыночного регулирования, как колебания ставки процента и эластичность соотношения цен и заработной платы, способны поддерживать полную занятость в экономике, они превращают полную занятость в неизбежность; • Помощь государства в функционировании экономики является излишней и вредной. |
|
Марксистская |
К. Маркс |
• Рынок труда отличает от других рынков разница товара «рабочая сила» и физического капитала; • Если рабочая сила в процессе труда создает стоимость, то все прочие виды ресурсов лишь переносятся на новую стоимость самим трудом; • Рынок рабочей силы, хотя и подчиняется общим рыночным закономерностям, имеет существенные особенности, поскольку сама рабочая сила как субъективный фактор производства, будучи товаром, может в то же время активно влиять на соотношение спроса и предложения. |
|
Неоклассическая |
Дж. Перри, М. Фелдстайн, Р. Холл |
• С помощью цены труда, или заработной платы, регулируются спрос на рабочую силу и ее предложение поддерживается их равновесие; • Цена на рабочую силу гибко реагирует на потребности рынка, увеличиваясь или уменьшаясь в зависимости от спроса и предложения; • Безработица невозможна, если на рынке труда существует равновесие; • Безработица носит добровольный характер; • Причиной безработицы является отказ рабочих трудиться за меньшую заработную плату; • Поиск рабочего места это явление, вызывающее нестабильность рынка труда; • Влияние профсоюзов, установление государством минимальных ставок заработной платы, отсутствие информации о вакансиях и свободной рабочей силе свидетельствуют о "несовершенстве" рынка труда. |
|
Кейнсианская |
Дж. Кейнс, Р. Гордон |
• В экономике не существует никакого механизма, гарантирующего полную занятость; • Полная занятость скорее случайна, чем закономерна; • Воздействовать на рынок труда при помощи колебания ставок процента и эластичности соотношения цен и заработной платы невозможно; • Цена рабочей силы жестко фиксирована и практически не меняется, особенно в сторону уменьшения; • Цена рабочей силы не является регулятором рынка труда; • Роль регулятора рынка труда должно выполнять государство, которое, уменьшая или увеличивая совокупный спрос, может ликвидировать неравновесие на рынке труда; • Спрос на рабочую силу регулируется не колебаниями рыночных цен на труд, а совокупным спросом или объемом производства; • Безработица носит вынужденный характер, хотя в некоторой части может быть и добровольной. |
|
Монетаристская |
М. Фридмен, Ф. Кеген, Д. Майзельман, К. Бруннер, А. Мольцер |
• Рыночное хозяйство в силу внутренних тенденций стремится к стабильности, самоналаживанию; • Если имеются диспропорции, нарушения рыночного хозяйства, то они возникают прежде всего в результате внешнего вмешательства; • Государственное вмешательство ведет к нарушению нормального хода хозяйственного развития; • Число государственных регуляторов необходимо сократить до минимума, исключая налоговое и бюджетное регулирование; • Установление государством минимального уровня заработной платы, сильные позиции профсоюзов, отсутствие информации о наличии вакансий и резервной рабочей силы усиливают рыночное неравновесие и являются негативными факторами рынка труда; • Для уравновешивания рынка труда целесообразно использовать такие рычаги, как учетная ставка центрального банка, размеры обязательных резервов коммерческих банков на счетах центрального банка. |
|
Институционалистская |
Дж. Данлоп, Л. Ульман |
• Основное внимание уделяется анализу профессиональных и отраслевых различий в структуре рабочей силы и соответствующих уровней заработной платы; • Прослеживается отход от макроэкономического анализа и попытка объяснить характер рынка особенностями динамики отдельных отраслей, профессиональных демографических групп. |
Ни один из перечисленных выше подходов не дает полной и адекватной картины механизма функционирования рынка рабочей силы, хотя они и отражают отдельные его элементы.
Как видно из таблицы, каждая из названных теорий имеет свои достоинства и недостатки. В современной практике того или иного государства можно проследить тяготение или к кейнсианству, или к монетаризму. Так, российское правительство проводит свою экономическую политику, опираясь преимущественно на монетаристскую теорию.
1.3. Механизм функционирования рынка труда.
Важнейшим компонентом рынка труда является механизм функционирования рынка труда, который представляет собой взаимодействие и согласование социально различных интересов разнообразных групп работодателей и трудоспособного населения, нуждающегося в работе и желающего работать по найму. Механизм рынка труда имеет определенную структуру, которая включает следующие элементы: цена рабочей силы, спрос на рабочую силу, предложение рабочей силы, конкуренция. Взаимодействие указанных элементов получило название механизма спроса и предложения, или ценового механизма.
Цена рабочей силы это цена жизненных средств, которые необходимы для нормального воспроизводства рабочей силы. Но она не автоматически выплачивается наемным работникам, а является предметом договора (торга) между ними и работодателями. В результате, каждый из них выступает со своей ценой. Наемный работник (продавец) старается подороже продать, а работодатель (покупатель) стремится подешевле купить. В итоге договорная заработная плата устанавливается на уровне ниже цены продавца но выше цены покупателя.
Спрос на рабочую силу отражает потребность экономики в определенном количестве работников на каждый данный момент времени. Общин спрос количественно должен быть равен численности занятых плюс имеющиеся вакансии. На изменение спроса на рынке труда влияют различные факторы: цена на рабочую силу (заработная плата), спрос на продукт, объем производства, используемые технологии.
Рассмотрим зависимость спроса на рабочую силу от его цены. Допустим, что в некоторой отрасли промышленности выросла заработная плата при неизменных технологии, используемом оборудовании и других факторах. В результате возрастут себестоимость продукции и, как следствие, цена на эту продукцию. Покупатель реагирует на более высокие цены тем, что покупает меньше, и производитель продукции вынужден сократить ее выпуск, а следовательно, спрос на работников. Таким образом, в результате повышения заработной платы (при всех прочих равных условиях) сокращается занятость. Такое изменение занятости называется эффектом масштаба.
Возможен другой вариант: производители, повысив заработную плату, будут искать пути снижения себестоимости продукции через капиталоемкое производство, трудосберегающие технологии, в результате применения которых также уменьшится занятость работников. Подобное сокращение занятости называют эффектом замещения, гак как в процессе производства капитал заменяет рабочую силу.
Взаимосвязь между заработной платой и занятостью может быть представлена кривой спроса (рис. 1.3.1).

Как видно из этого графика, кривая спроса снижающаяся. Она показывает, что по мере роста заработной платы спрос на рабочую силу уменьшается, а также каким образом численность работников меняется в связи с изменением стоимости рабочей силы при прочих неизменных факторах, влияющих на спрос. При этом, когда меняется заработная плата, спрос на рабочую силу движется вдоль кривой.
Проследим, как влияют на изменение спроса другие факторы. Предположим, что происходит увеличение спроса на продукт, при этом прочие факторы остаются неизменными. Тогда очевидно, что уровень производства будет расти и это повысит спрос на рабочую силу при любой ставке заработной платы. Эффекта замены в данном случае не возникает, так как цены на рабочую силу и капитал не меняются. Произошедшее изменение иллюстрирует кривая спроса на рабочую силу, которая в целом сдвигается вправо (рис. 1.3.1). Данный сдвиг указывает, что при любой возможной ставке заработной платы число требующихся работников растет. Если же происходит падение цены капитала, то возникает два противодействующих эффекта. С одной стороны, эффект масштаба (цена капитала и себестоимость падают, стимулируется рост производства и повышается уровень занятости) смещает кривую спроса на рабочую силу вправо. С другой стороны, эффект замещения (используются капиталоемкие технологии, снижается потребность в рабочей силе) смещает кривую спроса влево. Повышение цены капитала ведет к такой же неопределенности в спросе на рабочую силу, но в этом случае эффект масштаба сдвигает кривую спроса на рабочую силу влево, а эффект замещения вправо. Таким образом, экономическая теория не дает абсолютно точного ответа на вопрос о том, как модификация цены капитала изменяет спрос на рабочую силу.
Можно сделать следующие выводы: если меняется заработная плата, то спрос на рабочую силу движется вдоль кривой вверх или вниз, а если действуют другие факторы, такие, как спрос на продукт, изменение объемов производства, цена капитала, то тогда сдвигается сама кривая спроса на рабочую силу.
Предложение рабочей силы это потребность различных групп трудоспособного населения в получении работы по найму и на этой основе источника средств существования. Предложение рабочей силы обусловливается следующими факторами:
- численностью населения, прежде всего трудоспособного;
- средним количеством рабочих часов за определенное время (неделя, месяц, год);
- количественным составом населения, его квалификационным уровнем, соответствующей структурой.
Рассмотрим механизм предложения на рынке труда на примере отдельной должности. При росте заработной платы по какой-либо должности (при этом заработная плата по другим должностям остается неизменной) следует ожидать, что появится больше людей, желающих работать на такой должности, и наоборот, при низкой заработной плате никто не захочет этого. Таким образом, предложение рабочей силы на каком-то определенном рынке должностей прямым образом связано со ставками заработной платы, доминирующими на этом рынке. Зависимость предложения рабочей силы от ее цены представлена на рис. 1.3.2.

Кривая предложения показывает, сколько работников может выйти на рынок труда соответственно каждому уровню ставки заработной платы. Как и кривая спроса на рабочую силу, кривая предложения здесь построена без учета прочих факторов. Допустим, что заработная плата по другой должности увеличится при неизменности прочих факторов. Тогда, скорее всего, часть работников изменят свое намерение работать на предыдущей должности, а выберут для себя ту должность, по которой повысилась заработная плата. Это приведет к смещению кривой предложения влево, что показано на рис. 1.3.2.
Механизм взаимодействия спроса и предложения на рынке труда графически представлен на рис. 1.3.3.

Точка пересечения кривых (согласно классической теории, «крест Маршалла») отражает совпадение спроса и предложения, а заработная плата, которая соответствует этому пересечению, называется заработной платой рыночного равновесия (We). Все стороны удовлетворены, рынок находится в равновесии.
Если же рыночная заработная плата устанавливается в точке W1 (заработная плата ниже рыночного равновесия), то спрос будет высоким (точка D1), а предложение низким (точка S1) и спрос будет превышать предложение. В таких условиях работодатели будут конкурировать та работников, что может привести к определенному увеличению заработной платы на рынке. При этом возможны два варианта:
1) большее число работников решает выйти на рынок и приступить к поиску работы (т.е. движение будет вдоль кривой предложения);
2) возросшая заработная плата заставляет работодателей ограничить прием числа работников (т.е. движение будет вдоль кривой спроса).
Если заработная плата повысится до точки W2 (заработная плата выше рыночного равновесия), то предложение превысит спрос (точка D2), образуется избыток работников и у работодателей появится возможность нанять квалифицированных людей за более низкую заработную плату, причем в большем количестве. Некоторые из получивших работу (например, безработные) будут рады, другие же станут искать работу в новых местах. Таким образом, когда заработная плата пойдет вниз с уровня точки W2, спрос и предложение будут приближаться к равновесию. Заработная плата рыночного равновесия (Wе) обычно превалирует на рынке труда и становится общепринятой заработной платой, что должны учитывать как работодатели, так и работники.
Наиболее существенным фактором, влияющим на спрос и предложение на рынке труда, является уровень жизни (населения и конкретного индивида), воздействующий определенным образом на решение человека о предложении своего труда. Для совокупности индивидов на рынке труда в целом зависимость предложения от ставки вознаграждения будет иметь классический вид, поскольку уровень заработной платы, за которым следует эффект дохода, сугубо индивидуален (рис. 1.3.4).

Неотъемлемой частью механизма рынка труда является конкуренция. Конкуренция это соперничество, борьба за достижение наивысших выгод, преимуществ. Конкуренция на рынке труда есть соперничество между независимыми покупателями и между продавцами рабочей силы. Она может быть различных видов: за привлечение работников, за замещение вакантных должностей, за изменение условий труда и т.д.
1.4. Специфика рынка труда.
Представляется, что рассматриваемые концепции, дополняя друг друга, дают общую картину функционирования рынка труда. В то же время вряд ли можно согласиться с теми из них, которые исходят из посылки о полной сопоставимости рынка рабочей силы со всеми другими рынками ресурсов, например о заданности и неизменности ряда параметров рабочей силы, приходящей на рынок труда. Полагают, в частности, что квалификация работника всегда приобретается до прихода его на рынок труда, а это далеко не всегда верно, так как во многих случаях работник получает квалификацию уже на производстве, т. е. после приема на работу. Это значит, что оценить на рынке его потенциал достаточно сложно.
Другой постулат гласит, что производительность труда человека заранее известна. Но и это не так, поскольку существует множество методов мотивации, способных поднять производительность труда. Очевидно также, что не только заработная плата служит для работника достаточной оценкой его труда и отражением степени его удовлетворенности своим положением на производстве и на рынке труда. Это также ставит под сомнение упрощенный рыночно-ценовой подход к человеку. Весьма нелегко оценить потенциал человека на рынке труда еще и потому, что в процессе труда основной вклад в производство в большинстве случаев достигается путем не индивидуальных, а коллективных усилий.
Таким образом, рынок труда, подчиняясь в целом законам спроса и предложения, по многим принципам механизма своего функционирования представляет собой специфический рынок, имеющий ряд существенных отличий от других товарных рынков. Здесь регуляторами являются факторы не только макро- и микроэкономические, но и социальные и социально-психологические, отнюдь не всегда имеющие отношение к цене рабочей силы заработной плате.
1.5. Особенности современного рынка труда.
Одной из принципиальных особенностей современного западного рынка труда является значительная распространенность предпринимательской деятельности. Примерно каждый десятый работающий в США, Франции, Великобритании, каждый седьмой в Японии, каждый пятый в Италии является предпринимателем. Почти 2/3 из них возглавляют средние и мелкие предприятия, а каждый четвертый ведет дело, в котором занято 20 и менее человек.
Труд в условиях частной собственности, когда она является не враждебным и противостоящим человеку понятием, а полным или частичным личным достоянием, формирует особо важные качества рабочей силы, которые высоко ценятся на рынке труда и быстрее всего закрепляются в людях, облаченных ответственностью предпринимателя.
Чрезвычайно благоприятно на рынке труда сказывается развитие другого важного процесса увеличение предприятий с коллективной формой собственности. В США, к примеру, в конце 80-х годов на таких предприятиях, в материальном производстве и услугах было занято 8-10% трудящихся. Подобные производственные коллективы успешнее участвуют в конкурентной борьбе и устойчивее в периоды конъюнктурных рыночных колебаний.
2. Сущность, виды и формы занятости.
2.1. Занятость: социально-экономическая сущность, основные характеристики.
Проблема занятости населения является одной из важнейших социально-экономических проблем. Занятость неразрывно связана как с людьми и их трудовой деятельностью, так и с производством, распределением, присвоением и потреблением материальных благ. В силу этого категория занятости представляет собой всеобщую экономическую категорию, характерную для всех общественно-экономических формаций. Характеристики занятости, использования трудового потенциала общества представляют не только экономический интерес, они являются и основными показателями, отражающими политику государства в сфере труда, отношение к человеку и как к главной производительной силе общества, и как к личности.
Существуют теоретическая и практическая трактовки занятости. Теоретически занятость это общественно полезная деятельность граждан, связанная с удовлетворением личных и общественных потребностей и приносящая, как правило, заработок или трудовой доход. Практически занятость это соотношение между числом трудоспособного населения и числом занятых, характеризующее степень использования трудовых ресурсов общества и ситуацию на рынке труда. Однако обе трактовки не учитывают глубинные процессы, свойственные занятости. Занятость имеет ярко выраженный социальный характер. Она отражает потребность людей не только в доходах, но и в самовыражении посредством общественно полезной деятельности, а также степень удовлетворения этой потребности при определенном уровне социально-экономического развития общества.
Современная ситуация в сфере занятости неадекватна требованиям рыночной экономики, следовательно, выход российской экономики из кризиса и дальнейший прогресс общества возможны в том случае, если экономика сможет отражать интересы человека в сфере труда. [8, 44]
В России 19 апреля 1991 г. был принят Закон «О занятости населения в Российской Федерации» (с последующими дополнениями и изменениями), в котором сформулированы основные принципы занятости, придающие отношениям занятости рыночный характер:
• Первый принцип обеспечение свободы в труде и занятости, запрещение принудительного, обязательного труда. Человеку принадлежит приоритетное право выбора: участвовать или не участвовать в общественном труде.
• Второй принцип создание государством условий для обеспечения права на труд, на защиту от безработицы, на помощь в трудоустройстве и материальной поддержке при безработице в соответствии с Конституцией РФ.
Согласно законодательству сейчас к занятому населению наряду со всеми работающими по найму, учащимися, военнослужащими отнесены также граждане, самостоятельно обеспечивающие себя работой, и граждане, занимающиеся предпринимательской деятельностью.
К незанятому населению относятся две группы граждан:
1) добровольно незанятые граждане, живущие на средства одного из супругов, родителей и др.;
2) вынужденно не занятые граждане, которые, в свою очередь, подразделяются на: а) ищущих работу самостоятельно; б) ищущих работу с помощью служб занятости; в) безработных граждан, имеющих официальный статус и получающих пособие по безработице. Важно определить статус занятости для экономически активного населения, включая и безработных. Обычно различают пять статусов.
1. Наемные работники - это лица, работающие по заключенному письменному контракту (договору) либо по устному соглашению с руководством предприятия об условиях трудовой деятельности, за которую они получают оговоренную при найме оплату.
2. Работающие на индивидуальной основе - лица, самостоятельно осуществляющие деятельность приносящую им доход, не использующие либо использующие наемных работников только на короткий срок.
3. Работодатели - лица, управляющие собственным предприятием либо уполномоченные управлять акционерным обществом, хозяйственным товариществом и т.п. Работодатель может полностью или частично делегировать свои функции наемному управляющему, оставляя за собой ответственность за благополучие предприятия.
4. Неоплачиваемые работники семейных предприятий - лица, работающие без оплаты на семейном предприятии, владельцем которого является их родственник.
5. Лица, не поддающиеся классификации по статусу занятости, - это безработные, не занимавшиеся ранее трудовой деятельностью, приносившей им доход. Сюда относятся и лица, которых затруднительно отнести к тому или иному статусу занятости.
По степени количественного и качественного соответствия между потребностью экономики в рабочей силе и потребностью населения в рабочих местах выделяют занятость полную, продуктивную, свободно избранную, рациональную, эффективную и оптимальную.
Полная занятость это состояние, при котором обеспечены работой все нуждающиеся в ней и желающие работать, что соответствует наличию сбалансированности между спросом и предложением рабочей силы.
Продуктивная занятость это занятость, которая отвечает интересам повышения эффективности производства, внедрения достижений научно-технического прогресса, роста производительности труда. По определению Международной организации труда (МОТ), продуктивная занятость это занятость тех, чей продукт труда принимается и оплачивается обществом.
Свободно избранная занятость предполагает, что право распоряжаться собственной способностью к труду (рабочей силой) принадлежит исключительно ее владельцу, т.е. самому работнику. Этот принцип гарантирует право каждого работника на выбор между занятостью и незанятостью, запрещая любое административное привлечение к труду.
Рациональная занятость - это занятость, обоснованная с точки зрения процессов формирования, распределения (перераспределения) и использования трудовых ресурсов с учетом их половозрастной и образовательной структуры, режимов воспроизводства трудоспособного населения и его размещения на территории страны. Рациональную занятость характеризует доля продуктивно занятых в общей численности экономически активного населения.
Рациональная занятость определяется по формуле:

где Зпр продуктивная занятость; Зп полная занятость.
Эффективная занятость предполагает способность общественного управления воспроизводить социально-экономические условия развития работников, диктуемые критериями образа жизни на данном этапе развития общества. Эффективный характер занятости предполагает занятие общественно-полезной деятельностью, которая обеспечивает достойный доход, здоровье, возвышение личности, рост образовательного и профессионального уровня для каждого члена общества на основе роста общественной производительности труда, а также экономическую и социальную целесообразность рабочих мест.
Социально полезная занятость определяется числом трудоспособных людей, занятых как в общественном производстве, на военной службе, в органах МВД, так и обучающихся очно, ведущих домашнее хозяйство (ухаживающих за детьми, престарелыми, больными родственниками). [8, 45]
2.2. Виды и формы занятости.
Практическая потребность учета населения вызывает необходимость выделения видов (структуры) занятости распределения активной части трудовых ресурсов по сферам и отраслям экономики.
Выделяют также различные формы занятости организационно-правовые способы, условия трудоиспользования, группировка которых по отдельным признакам представлена в приложении 2. Кратко охарактеризуем отдельные формы занятости.
По способу участия в общественном труде занятость населения можно подразделить на занятость по найму и самостоятельную занятость.
Занятость по найму представляет собой отношения, возникающие между собственниками средств производства и работниками, не имеющими средств производства и продающими свою рабочую силу в обмен на определенную стоимость в форме заработной платы. Самостоятельная занятость (self-employment) для России является относительно новой формой занятости населения. Это отношения (экономические, правовые и т.д.), в которые вступают люди по поводу участия в общественно-полезном труде и которые основаны на личной инициативе, самостоятельности и ответственности, направлены, как правило, на получение трудового дохода и обусловливают самореализацию и самоутверждение личности.
По режиму рабочего времени принято выделять занятость с режимом полного рабочего времени и неполную (частичную) занятость. Занятость с режимом полного рабочего времени основывается на регламентированной продолжительности полного рабочего дня, которая в настоящее время составляет 40 часов в неделю.
По регулярности трудовой деятельности занятость подразделяется на постоянную, временную, сезонную и случайную. Постоянная (регулярная) занятость предполагает, что работник должен работать определенное число часов каждую неделю, реже каждый месяц; временная занятость имеет две разновидности: занятость на определенный срок (фиксированный срок трудового договора) и командировочная занятость (через посредничество определенных фирм); сезонная занятость предполагает работу в течение определенного сезона, и, наконец, случайная занятость означает выполнение различных по характеру непродолжительных работ с целью получения материального вознаграждения без заключения трудового договора.
По легитимности трудоустройства занятость подразделяется на формальную и неформальную. Формальная занятость это занятость, зарегистрированная в официальной экономике. Неформальная занятость занятость, не зарегистрированная в официальной экономике, имеющая источником рабочих мест неформальный сектор экономики и отдельные его виды.
По условиям организации трудовых процессов занятость подразделяется на стандартную и нестандартную. В основе такого деления лежит специфика организации трудового процесса, которая принимает различные формы. Стандартная (типичная) занятость - это занятость, предполагающая постоянную работу наемного работника у одного работодателя в его производственном помещении при стандартной нагрузке в течение дня, недели, года. Нестандартная (гибкая) занятость выходит за эти рамки и включает следующие формы:
- занятость, связанная с нестандартными режимами рабочего времени, такими, как гибкий рабочий год, сжатая рабочая неделя, гибкие графики рабочего времени и др.;
- занятость, связанная с социальным статусом работников: самостоятельные работники, помогающие им члены семьи;
- занятость на работах с нестандартными рабочими местами и организацией труда: надомный труд, «работники по вызовам», вахтово-экспедиционная занятость;
- занятость по нестандартным организационным формам: временные работники, совместительство.
3. Сущность, формы и виды безработицы.
Вообще, проблема безработицы присуща рыночной экономике. Если в середине XIX века западные идеологи объясняли наличие безработных “плохим поведением” самих рабочих, то в новых условиях они заговорили о “несовершенствах” и этим объясняли возникновение и существования “избыточного” населения.
Одним из самых сложных явлений социально-трудовой сферы, органически связанным с рынком труда и занятостью населения, является, как отмечалось выше, безработица - социально-экономическое явление, выступающее как отсутствие занятости у определенной, большей или меньшей части экономически активного населения, способной и желающей трудиться,
В соответствии с положением МОТ безработным признается человек, не имеющий занятия, приносящего доход, готовый работать и ищущий работу.
В России статус безработного определен более жестко: согласно Закону «О занятости населения в Российской Федерации» «безработными признаются трудоспособные граждане, которые не имели работы и заработка, зарегистрированы в органах службы занятости в целях поиска подходящей работы, ищут работу и готовы приступить к ней»; кроме того, законом определено, что безработными не могут быть признаны граждане, не достигшие 16 лет, и пенсионеры по возрасту.
Довольно тщательно исследовал безработицу К. Маркс в "Капитале" (вторая половина 19 века). Он отметил, что с техническим прогрессом растет количество и стоимость средств производства, приходящихся на одного работника. Это приводит к относительному отставанию спроса на труд от темпов накопления капитала, и в этом кроется причина безработицы. Такая трактовка математически не вполне корректна, т.к. если спрос на рабочую силу растет, то безработица исчезает, или хотя бы рассасывается, несмотря на то, что рост капитала происходит еще более высокими темпами. Маркс допускал и другие причины, в частности, цикличность развития рыночного хозяйства, что делает ее постоянным спутником развития рыночного хозяйства. Выведение безработицы из циклического развития экономики стало после Маркса устойчивой традицией в экономической теории.
В современной экономике безработица рассматривается как естественная и неотъемлемая часть рыночного хозяйства. Она способствует:
• улучшению качественной структуры рабочей силы, ее конкурентоспособности как товара;
• формированию нового мотивационного механизма и соответствующего отношения к труду;
• повышению самоценности рабочего места и укреплению связи человека с трудом;
• наличию трудового резерва на случай необходимости быстрого развертывания нового производства.
В этой связи большой интерес представляет классификация форм безработицы по различным критериям (табл. 3.1).
Таблица 3.1.
Формы безработицы и их характеристика
|
Критерии классификации |
Форма безработицы |
Характеристика |
|
1. Причины возникновения безработицы |
Фрикционная Институциональная Добровольная Структурная Технологическая Конверсионная Циклическая Региональная Экономическая Сезонная Маргинальная |
Связана с добровольной сменой работы в связи с различными причинами: поиском более высокого заработка или более престижной работы, с более благоприятными условиями труда и пр. Порождается самим устройством рынка рабочей силы, факторами, влияющими на спрос и предложение рабочей силы Возникает, когда часть трудоспособного населения по тем или иным причинам просто не желает работать Вызывается изменениями в структуре общественного производства под влиянием научно-технического прогресса и совершенствования организации производства Связана с переходом к новым поколениям техники и технологии, механизацией автоматизацией ручного труда, когда для данного производственного процесса часть рабочей силы оказывается либо ненужной либо требует нового, более высокого уровня квалификации или перепрофилирования Разновидность структурной безработицы связана с высвобождением работников из отраслей военной промышленности, а также из армии Возникает при общем резком падении спроса на рабочую силу в период спада производства и деловой активности, вызываемом экономическим кризисом Имеет региональное происхождение и формируется под воздействием сложной комбинации исторических, демографических, социально-психологических обстоятельств Вызывается конъюнктурой рынка, поражением части товаропроизводителей в конкурентной борьбе Вызывается сезонным характером деятельности в отдельных отраслях Безработица среди слабо защищенных слоев населения |
|
2. Продолжительность безработицы |
Краткосрочная Продолжительная Длительная Застойная |
До 4 месяцев 48 месяцев 818 месяцев Более 18 месяцев |
|
3. Внешняя форма проявления безработицы |
Открытая Скрытая |
Включает всех незанятых граждан, ищущих работу Включает работников, фактически занятых в экономике, но в действительности являющихся «лишними» |
Логическим продолжением предложенной классификации форм безработицы является ее структуризация по следующим половозрастным, профессионально-квалификационным и социальным признакам:
• по полу, с выделением наименее защищенных в социальном отношении безработных женщин;
• по возрасту, с выделением молодежной безработицы и безработицы лиц предпенсионного возраста;
• по социальным группам (рабочие, интеллигенция, служащие, технические исполнители);
• по уровню образования;
• по профессиональным и стажевым группам;
• по уровню доходов и обеспеченности;
• по причинам увольнения;
• по ментальным группам.
При решении проблем безработицы считается целесообразным достижение естественной нормы (естественного уровня) безработицы - оптимального для экономики резерва рабочей силы способного достаточно быстро совершать межотраслевые и межрегиональные перемещения в зависимости от колебаний спроса и обусловленных ими потребностей производства.
Абсолютное отсутствие безработицы считается невозможным в рыночной экономике. Фрикционная и структурная безработицы, по сути, неизбежны. Они и образуют естественный уровень безработицы. Естественный уровень безработицы в экономически развитых странах с 1980-х гг. оценивают в 7%.
Безработица влечет за собой серьезные экономические и социальные издержки. Среди экономических последствий безработицы можно назвать следующие:
• недовыпуск продукции, недоиспользование производственных возможностей общества. Зависимость между уровнем безработицы и отставанием объема ВНП нашла выражение в законе Оукена (Okun's law): превышение на 1% фактического уровня безработицы над естественным ведет к отставанию фактического объема ВНП на 2,5% от потенциального;
• значительное снижение уровня жизни людей, оказавшихся безработными, поскольку работа является для них основным источником средств существования;
• снижение уровня заработной платы занятых в результате возникающей конкуренции на рынке труда;
• увеличение налоговой нагрузки на занятых из-за необходимости социальной поддержки безработных, выплат пособий и компенсаций и т.д.
Помимо чисто экономических издержек безработица имеет и значительные социальные и психологические последствия, зачастую менее очевидные, но более серьезные, чем экономические. Основные среди них следующие:
• усиление политической нестабильности и социальной напряженности в обществе;
• обострение криминогенной ситуации, рост преступности, поскольку значительное число правонарушений и преступлении совершается неработающими лицами;
• повышение числа самоубийств, психических и сердечно-сосудистых заболеваний, смертности от алкоголизма, в целом объема девиантного поведения;
• деформация личности безработного и его социальных связей, выражающаяся в появлении жизненной депрессии у вынужденно незанятых граждан, потере ими квалификации и практических навыков; обострении семейных отношений и распадах семей сокращении внешних социальных связей безработного. Последствия безработицы носят долговременный характер. Бывший безработный и после трудоустройства характеризуется пониженной трудовой активностью, конформностью поведения, что требует значительных усилий по реабилитации безработных.
Экономические и социально-психологические последствия безработицы свидетельствуют о том, что это достаточно опасное для общества и для личности явление, требующее проведения активной политики занятости, нацеленной не только на ликвидацию последствий безработицы, но и на профилактику и предупреждение ее неконтролируемого роста сверх минимально допустимого уровня.
4. Политика на рынке труда
Экономисты, политики и общественность в целом много дискутируют по поводу возможности и обязанности правительства сокращать уровень безработицы. Расхождение во мнениях в основном происходит из-за того, что мы на самом деле не знаем последствий той или иной политики. Еще одна причина споров это то, что правительственная политика очень редко вообще приводит к каким-либо результатам.
Многие сходятся на том, что правительству удастся снизить безработицу, если оно сможет предотвратить или снизить колебания экономического роста, которые мы называем экономическими циклами. Вопрос в том, есть ли возможность и даже желание у правительственных чиновников стабилизировать темпы экономического роста.
Многие также соглашаются с тем, что правительство может снизить уровень безработицы с помощью соответствующей политики на рынке труда. Но гораздо меньше согласия наблюдается по поводу того, какой должна быть эта политика. Все поддерживают программы профессионального обучения, которые помогают уволенным работникам приобрести новые навыки, чтобы найти новую работу. К сожалению, очень мало программ, воистину успешных в этом, т.е. тех, которые действительно помогли трудоустроить много людей, в противном случае так и оставшихся безработными.
Было бы логичным предположить, что правительство могло бы снизить уровень безработицы, ликвидировав выплаты по безработице. Это повысило бы затраты уволенных работников по поиску новой работы и таким образом сократило бы период поисков. Вы можете привести собственные политические и этические аргументы против такого шага. Экономический аргумент против такого способа заключается в том, что слишком короткий поиск работы будет такой же бесполезной тратой ценных ресурсов, как и слишком долгий поиск.
Поскольку безработица, и особенно безработица во время спада, большей частью объясняется следствием ошибочных ожиданий, правительство могло бы сократить уровень безработицы, улучшив качество информации, доступной лицам, принимающим экономические решения. Но разве это сильно отличается от нашего утверждения о том, что мы могли бы повысить количество людей с высшим образованием, увеличив качество высшего образования? Возможно, это и не совсем одно и то же особенно учитывая, что изменчивая и непредсказуемая правительственная политика сама по себе будет основным источником неуверенности, с которой сталкиваются лица, принимающие экономические решения. Даже если мы решим вопрос, как удержать правительство, которое ожидает новых выборов, от изменчивой и непредсказуемой политики.
Так называемая "политика на рынке труда" крайне отличается в разных странах. И то же самое можно сказать об уровнях безработицы, даже с учетом корректировок из-за разных способов подсчета. Уровень безработицы в Испании, подсчитанный примерно так же, как мы ведем подсчеты в Соединенных Штатах Америки, составлял 24% в 1994 году. Частично это было результатом спада 1991-1992 годов. Но большей частью это было результатом правительственной политики, которая, например, почти полностью отбила желание у работодателей нанимать новых работников, поскольку уволить кого-то было практически невозможно. Политика на рынке труда, которая обеспечивает высокие зарплаты, длинные отпуска и щедрые пособия работникам в Германии и Франции, находит искреннюю поддержку со стороны избирателей. Если бы кто-то согласился, что неизменно высокий уровень безработицы в этих странах стал следствием такой политики, которая, несомненно, сокращает величину спроса на рабочую силу со стороны немецких и французских работодателей, то можно было бы провести конструктивную дискуссию о выгодах и издержках такой политики. Но на самом деле очень немногие экономические противоречия можно уладить. Это не должно вас удивлять, как только вы поймете, что любой вопрос, который можно решить, несомненно, породит существенные разногласия.
5. Современное состояние рынка труда в России, проблемы безработицы.
По оценкам МВД, в 2003 г. численность профессиональной теневой активности составляла примерно 9 млн. человек, или около 14% всех занятых в экономике России. Российский рынок труда характеризуется низким уровнем цены рабочей силы и ее большим отрывом от стоимости.
Рынки труда в России весьма существенно различаются в разных регионах.
Российский рынок труда не сбалансирован: с одной стороны, он избыточен по объему, а с другой стороны, является трудодефицитным по своей структуре, т.е. происходит перенакопление рабочей силы на предприятиях, аккумуляция избыточной численности работников, при этом повышение спроса на рабочую силу приводит к трудодефициту.
Рынок труда в России слабо связан с рынком капитала. Все это вызывает необходимость вырабатывать соответствующую российскую политику занятости, а также стратегии и тактики механизма регулирования российского рынка труда.
В этом году на российском рынке труда продолжилась тенденция значительного роста спроса на персонал. Такой «бум», по мнению экспертов, продолжится еще четыре-пять лет. Особенно хорошо обстоят дела в Москве и Санкт-Петербурге. Эксперты в один голос утверждают, что пока экономика растет, рынок труда также будет «раздуваться». Более того, по прогнозам кадровиков, через пять-шесть лет на рынке может возникнуть острый дефицит молодых специалистов.
По оценкам разных специалистов, Рынок труда в России в этом году вырос на 20-40%. «Бум на рынке труда продолжился и в этом году, особенно это касается Москвы и Санкт-Петербурга, говорит RBC daily региональный директор по Центральной России Kelly Services CIS Татьяна Мойса, также мы отметили, что очень высок был спрос в регионах на «топовые» должности, причем компании предпочитают не растить таких специалистов у себя, а импортировать из столицы». По данным рекрутинговой компании АНКОР, в первом полугодии этого года рост запросов на персонал по сравнению с аналогичным периодом предыдущего составил 44%. Наибольший рост был отмечен в секторе профессиональных услуг (74%), промышленного производства (62%), продажи товаров повышенного спроса (47%) и фармацевтической отрасли (31%). Зато снизилась потребность в ИТ-специалистах на 14% по сравнению с прошлым годом, а наибольший спад наблюдался на рынке страхования падение на 29%. Интересно, что еще в 2003 г. то же страхование, напротив, показало 50-ти процентный рост, зато спрос на фармацевтов и медиков упал тогда аж на 36%. Словом, рынок развивается волнообразно, отмечают рекрутеры, и дать какие-либо прогнозы и рекомендации студентам вузов крайне затруднительно. Версии самые разнообразные. По мнению представителей столичного департамента занятости, через пять-шесть лет будут в цене специалисты сферы услуг, социальные психологи и кадровики. Представители Центра исследования населения Института экономики РАН отмечают тенденцию увеличения спроса на «технарей», причем высокой квалификации.
Что касается прогнозов на ближайшее будущее, то практически все эксперты сходятся в одном: пока экономика страны на подъеме, недостатка в рабочих местах не будет. «До тех пор, пока в стране происходит экономический рост, «бум» на рынке труда продолжится практически во всех отраслях», уверена Татьяна Мойса. «Структура спроса по типу позиций в следующем году сохранится приблизительно такой же, как и в этом, добавляет директор департамента маркетинга АНКОР Елена Клековкина. Практически равное количество запросов придется на технических специалистов и специалистов продаж, в сумме эти категории составят около 55% всего объема запросов, около 15% придется на финансовых специалистов, еще 10% на маркетологов и пиарщиков и около 20% рынка это администраторы, специалисты в области логистики, IT и юристы». Однако, несмотря на столь радужную картину, в среднесрочной перспективе российский рынок труда столкнется с серьезными сложностями. Уже сейчас менеджеры по персоналу отмечают тот факт, что работодатели начинают обращать меньшее внимание на наличие у соискателя опыта работы (исключая «топовые» должности) и все больше ориентируются на студентов-старшекурсников и выпускников вузов. [11]
В конце марта 2006г 5,6 млн. человек, или 7,6% экономически активного населения, классифицировались как безработные (в соответствии с методологией Международной Организации Труда), в органах государственной службы занятости в качестве безработных было зарегистрировано 1,9 млн.человек, в том числе 317,6 тыс.человек в Чеченской Республике.
6. Статистика рынка труда.
При всей значимости материальных ресурсов основной производительной силой общества, решающим фактором экономической деятельности выступает труд. Труд источник всякого богатство и главное условие самой человеческой жизни. И чем лучше труд оснащен технически и обеспечен ресурсами, тем эффективнее он выполняет эту роль.
Статистика рынка труда относится к числу наиболее развитых в международной статистике, где в основном сосредоточена в Международной организации труда (МОТ). Под эгидой МОТ с 1923 г. регулярно проводятся международные конференции статистиков труда. В настоящее время отечественная статистика рынка труда в основном перешла на международные стандарты, и начала с того, что признала само это понятие. Под рынком труда понимается система экономических, социальных, организационных и правовых мер и институтов, координирующих и регулирующих распределение и использование рабочей силы. Товаром на этом рынке выступает рабочая сила, против чего так резко выступала советская политическая экономия.
Статистика рынка труда включает три аспекта: статистику трудовых ресурсов и экономически активного населения, статистику производительности труда и статистику оплаты труда, последовательно рассматривая показатели количества, качества и оплаты труда по его количеству и качеству.
6.1. Статистика трудовых ресурсов
Статистика использует следующие показатели для изучения трудовых ресурсов и структуры всего населения на макроуровне: общая численность трудовых ресурсов, их состав и отраслевая структура; динамика (абсолютный прирост, темпы роста и прироста с выделением естественного и механического движения ресурсов), интенсивность их воспроизводства (соотношение абсолютного прироста трудовых ресурсов за год к средней годовой их численности); коэффициенты общей (демографической) и пенсионной нагрузки населения в трудоспособном возрасте; коэффициенты трудоспособности всего населения и населения в трудоспособном возрасте; коэффициенты занятости всего населения и трудоспособного населения. Можно определить и прогнозную численность трудовых ресурсов на небольшой срок, используя следующую статистическую модель:

где Н0 численность населения на начало исходного года;
Ке коэффициент естественного изменения населения;
t число лет в прогнозируемом периоде;
dтв доля трудоспособного населения в общей численности всего населения;
Кттв коэффициент трудоспособности населения в трудоспособном возрасте.
В экономической теории и практике разработана система показателей, которая отражает эффективность занятости. Обычно применяются четыре группы показателей:
• первая группа это пропорции распределения трудовых ресурсов общества по характеру их участия в общественно полезной деятельности;
• вторая группа уровень занятости трудоспособного населения в общественном хозяйстве. Экономически этот показатель отражает, с одной стороны, потребность общественного хозяйства в работниках, а с другой потребность населения в рабочих местах;
• третья группа структура распределения работающих по отраслям народного хозяйства;
• четвертая группа это профессионально-квалификационная структура работающих. Она показывает распределение работающего населения по профессионально-квалификационным группам и отражает степень сбалансированности системы подготовки кадров с потребностью экономики в квалифицированных работниках.
6.2. Статистика занятости и безработицы
Занятость - одна из важнейших социально-экономических проблем рыночной экономики. Ее статистическое отражение неоднократно обсуждалось на международных конференциях статистиков труда (1949, 1957, 1982, 1993 гг.), проводимых Международным бюро труда (г. Женева) - основным рабочим органом Международной организации труда (МОТ).
Перед статистикой занятости и безработицы стоят следующие задачи:
- сбор данных о численности занятых и безработных как составных частях рабочей силы;
- измерение уровня занятости и безработицы с целью изучения состояния, тенденций на рынке труда;
- изучение трудоустройства населения для оценки ситуации на рынке труда и ее прогнозирования;
- изучение состава занятых и безработных с тем, чтобы разработать программу занятости;
- измерение взаимосвязи между занятостью, доходом, содержанием и другими мотивациями труда с целью разработки программы занятости.
Выполнение этих задач создает условия для измерения предложения рабочей силы и ее фактического использования. Их решение основывается на сочетании ряда источников информации.
Ситуация на рынке труда оценивается не только через абсолютную численность занятых и безработных, но и через уровень безработицы и уровень занятости, которые определяются как удельный вес соответствующей категории рабочей силы в численности экономически активного населения на начало (конец) периода.
Количественно занятость характеризуется показателем уровня занятости. Он может рассчитываться двумя способами.
Доля занятых в общей численности населения:

2. Доля занятых в экономически активном населении:

В международной статистике исходным показателем для анализа занятости является уровень экономической активности населения, т.е. доля численности экономически активного населения в общей численности населения:

где Чз численность занятых; Чн общая численность населения; Чб численность безработных. [3, 72]
Безработица характеризуется показателями ее уровня, частоты и длительности.
Уровень безработицы определяется в процентах как отношение числа безработных к числу занятых и безработных по формуле:

где Чз число занятых; Чб число безработных.
Рассчитаем уровень занятости по России (двумя способами), уровень экономической активности населения и уровень безработицы за 2004 год:




результаты расчета для остальных годов представлены в табл. 6.2.1.
В методике зарубежных стран среднемесячный уровень безработицы в течение данного года рассчитывается по формуле:

Таблица 6.2.1.
Численность экономически активного населения, занятых и безработных
(тысяч человек)
|
1992 |
1995 |
1996 |
1997 |
1998 |
1999 |
2000 |
2001 |
2002 |
2003 |
2004 |
|
|
Общая численность населения |
148500 |
148400 |
148300 |
148000 |
147800 |
147500 |
146900 |
146300 |
145200 |
145000 |
144200 |
|
Численность экономически активного населения - всего |
74946 |
70861 |
69660 |
68079 |
67339 |
72175 |
71464 |
70968 |
72127 |
73198 |
73359 |
|
в том числе: |
|||||||||||
|
занятые в экономике - всего |
71068 |
64149 |
62928 |
60021 |
58437 |
63082 |
64465 |
64664 |
65858 |
67247 |
67244 |
|
безработные - всего |
3877 |
6712 |
6732 |
8058 |
8902 |
9094 |
6999 |
6303 |
6268 |
5951 |
6116 |
|
Результаты расчетов |
|||||||||||
|
Уровень занятости (Уз1), % |
47,857 |
43,227 |
42,433 |
40,555 |
39,538 |
42,767 |
43,884 |
44,2 |
45,357 |
46,377 |
46,632 |
|
Уровень занятости (Уз2), % |
94,827 |
90,528 |
90,336 |
88,164 |
86,78 |
87,4 |
90,206 |
91,118 |
91,31 |
91,87 |
91,663 |
|
Уровень экономической активности (Уэа), % |
50,468 |
47,75 |
46,972 |
45,999 |
45,561 |
48,933 |
48,648 |
48,508 |
49,674 |
50,481 |
50,874 |
|
Уровень безработицы (Уб), % |
5,1731 |
9,4721 |
9,6641 |
11,836 |
13,22 |
12,6 |
9,7937 |
8,8816 |
8,6903 |
8,13 |
8,337 |
Расчет показывает, что уровень безработицы в России с 1995 по 2004 год превышал естественный уровень (7%), причем наиболее высокого уровня этот показатель достиг в 1998 году, но к настоящему моменту его значение существенно уменьшилось, однако, до сих пор безработица не снизилась до естественного уровня.
Рис. 6.2.1. Уровни занятости, безработицы, экономической активности населения.
Как видно из рисунка 6.2.1., уровень занятости в 2004 году по сравнению с 2003 имеет тенденцию к понижению, при этом, соответственно, уровень безработицы возрос. Если в 2003 году уровень безработицы был равен 8,13%, то к 2004 году этот показатель увеличился до 8,337%. Однако уровень экономической активности населения с 2001 года имеет ярко выраженную тенденцию к росту. В 2003 году этот показатель превысил свое значение в 1992 году на 0,013%, а в 2004 уже на 0,406%.
Численность экономически активного населения к концу марта 2006г. составила, по оценке, 73,9 млн.человек, или около 51% от общей численности населения страны, что свидетельствует о продолжающейся тенденции к росту экономической активности населения.
Проведем регрессионный анализ динамики численности безработных по данным приложения 4.
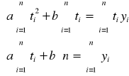
Предположим линейную зависимость динамики численности безработного населения от времени. Для предположения прогнозной численности безработных следует найти уравнение прямой, описывающей эту зависимость. Прямая имеет вид: yt= b+at, при этом параметры a и b находятся при помощи следующей системы:

где ti порядковый номер периода времени;
yi численность безработных за данный период;
n количество периодов.
Таблица 6.2.2.
|
Год |
ti |
Месяц |
Численность безработных (yi), тыс.чел. |
ti |
tiyi |
|
2005 |
1 |
Январь |
6080 |
1 |
6080 |
|
2 |
Февраль |
6056 |
4 |
12112 |
|
|
3 |
Март |
5820 |
9 |
17460 |
|
|
4 |
Апрель |
5610 |
16 |
22440 |
|
|
5 |
Май |
5406 |
25 |
27030 |
|
|
6 |
Июнь |
5400 |
36 |
32400 |
|
|
7 |
Июль |
5397 |
49 |
37779 |
|
|
8 |
Август |
5395 |
64 |
43160 |
|
|
9 |
Сентябрь |
5444 |
81 |
48996 |
|
|
10 |
Октябрь |
5491 |
100 |
54910 |
|
|
11 |
Ноябрь |
5543 |
121 |
60973 |
|
|
12 |
Декабрь |
5605 |
144 |
67260 |
|
|
2006 |
13 |
Январь |
5665 |
169 |
73645 |
|
14 |
Февраль |
5727 |
196 |
80178 |
|
|
15 |
Март |
5601 |
225 |
84015 |
|
|
120 |
84240 |
1240 |
668438 |

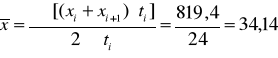
Таким образом, теоретическая прямая имеет вид: y= 5772,629 19,579t.
Коэффициент a отрицателен, следовательно, динамика численности безработных за 2005-начало 2006 гг. имеет тенденцию к снижению.
Рассчитаем прогноз численности безработного населения на декабрь 2006 года и на начало 2008 года. Порядковые номера вышеназванных периодов соответственно равны 24 и 36:
5772,629-19,579 ( 24 = 5302,733 тыс.чел.
5772,629-19,579 ( 36 = 5067,785 тыс.чел.
Таблица 6.2.3.
|
Год |
ti |
Месяц |
Прогнозная численность безработных, тыс.чел. |
|
2006 |
16 |
Апрель |
5459,365 |
|
17 |
Май |
5439,786 |
|
|
18 |
Июнь |
5420,207 |
|
|
19 |
Июль |
5400,628 |
|
|
20 |
Август |
5381,049 |
|
|
21 |
Сентябрь |
5361,47 |
|
|
22 |
Октябрь |
5341,891 |
|
|
23 |
Ноябрь |
5322,312 |
|
|
24 |
Декабрь |
5302,733 |
|
|
2007 |
25 |
Январь |
5283,154 |
|
26 |
Февраль |
5263,575 |
|
|
27 |
Март |
5243,996 |
|
|
28 |
Апрель |
5224,417 |
|
|
29 |
Май |
5204,838 |
|
|
30 |
Июнь |
5185,259 |
|
|
31 |
Июль |
5165,68 |
|
|
32 |
Август |
5146,101 |
|
|
33 |
Сентябрь |
5126,522 |
|
|
34 |
Октябрь |
5106,943 |
|
|
35 |
Ноябрь |
5087,364 |
|
|
36 |
Декабрь |
5067,785 |
Если предположить, что изменение численности безработных будет описываться тем же уравнением вплоть до 2008 года, то прогнозная численность безработного населения в декабре 2006 года будет приблизительно равна 5302,733 тысяч человек, а к началу 2008 года составит 5067,785 тысяч человек.
Поскольку численность экономически активного населения, численность занятых и безработных связаны аддитивно, динамика этих показателей характеризуется следующим образом:

где Кэ коэффициент роста численности экономически активного населения;
Кз и Кб коэффициенты роста численности занятых и безработных;
Уз0 и Уб0 уровни занятости и безработицы в базисном периоде.
По России имеется следующая информация, приведенная в табл.6.2.4.
Таблица 6.2.4.
Динамика численности занятых, безработных и экономически активного населения России
|
Период |
Численность, тыс. человек |
Уровень, % |
|||
|
занятых |
безработных |
экономически активных |
безработицы |
занятости |
|
|
Базисный год (2003) |
67247 |
5951 |
73198 |
8,13 |
91,87 |
|
Отчетный год (2004) |
67244 |
6116 |
73359 |
8,337 |
91,663 |
|
Коэффициент роста |
0,999955 |
1,0277 |
1,0022 |
1,0255 |
0,9977 |
В соответствии с приведенным ранее равенством получим:
0,999955(0,9187+1,0277(0,0813=1,0022
Таким образом, общий темп динамики численности экономически активного населения 100,22% определяется темпами роста численности занятых (99,9955%) и безработных (102,77%).
Рассчитаем коэффициент роста, темпы роста и прироста динамики численности безработных.



Результаты расчета представлены в табл. 6.5.2.
Таблица 6.2.5.
Коэффициент роста, темпы роста и прироста числа безработных за 2005-2006 гг.
|
Исходные данные |
Результаты расчетов |
||||
|
Год |
Месяц |
Число безработных yi, тыс.чел. |
Коэффициент роста Кр |
Темп роста Тр, % |
Темп прироста Тпр, % |
|
2005 |
Январь |
6080 |
## |
## |
## |
|
Февраль |
6056 |
0,996052632 |
99,60526316 |
-0,394736842 |
|
|
Март |
5820 |
0,961030383 |
96,10303831 |
-3,896961691 |
|
|
Апрель |
5610 |
0,963917526 |
96,39175258 |
-3,608247423 |
|
|
Май |
5406 |
0,963636364 |
96,36363636 |
-3,636363636 |
|
|
Июнь |
5400 |
0,998890122 |
99,88901221 |
-0,110987791 |
|
|
Июль |
5397 |
0,999444444 |
99,94444444 |
-0,055555556 |
|
|
Август |
5395 |
0,999629424 |
99,96294238 |
-0,037057625 |
|
|
Сентябрь |
5444 |
1,009082484 |
100,9082484 |
0,908248378 |
|
|
Октябрь |
5491 |
1,008633358 |
100,8633358 |
0,863335783 |
|
|
Ноябрь |
5543 |
1,009470042 |
100,9470042 |
0,947004189 |
|
|
Декабрь |
5605 |
1,011185279 |
101,1185279 |
1,118527873 |
|
|
2006 |
Январь |
5665 |
1,010704728 |
101,0704728 |
1,070472792 |
|
Февраль |
5727 |
1,010944395 |
101,0944395 |
1,094439541 |
|
|
Март |
5601 |
0,977998952 |
97,79989523 |
-2,200104767 |
|
|
Среднемесячное значение |
0,994155749 |
99,41557486 |
-0,584425144 |
Коэффициент роста, а следовательно, и темп роста с сентября 2005 года до февраля 2006 превышает 100%, что указывает на постоянное увеличение числа безработных в течение данного периода. Однако к марту 2006 года показатель темпа роста снизился по сравнению со своим значением в феврале того же года на 3,29%, что означает сокращение числа безработных.
Рассчитаем средний коэффициент роста, среднемесячные темпы роста и прироста.



В итоге среднемесячный коэффициент роста за январь 2005 март 2006 года составил 0,994, среднемесячный темп роста 99,42%, а среднемесячный темп прироста -0,58%.
Используя найденное значение среднемесячного коэффициента роста, составим прогноз изменения численности безработного населения до декабря 2006 года.


Таблица 6.2.6.
Прогноз численности безработных до декабря 2006г.
|
Год |
Месяц |
Прогнозное число безработных, тыс.чел. |
|
2006 |
апрель |
5568,266348 |
|
май |
5535,723999 |
|
|
июнь |
5503,371836 |
|
|
июль |
5471,208747 |
|
|
август |
5439,233628 |
|
|
сентябрь |
5407,445379 |
|
|
октябрь |
5375,842908 |
|
|
ноябрь |
5344,425131 |
|
|
декабрь |
5313,190966 |
По прогнозу на конец текущего года численность безработных должна снизиться до 5313,19 тыс. человек, т.е. сократиться на 287,8 тыс. человек по сравнению с мартом того же года.
Расхождение значений прогнозов, составленных с помощью регрессионного анализа и среднемесячного коэффициента роста, составляет около 10.457 человек. Надежность прогноза может быть установлена исключительно практическим путем.
6.2.1. Динамика общей численности безработных по полу, динамика безработицы среди городского и сельского населения.
Таблица 6.2.1.1.
Динамика общей численности безработных по полу (тыс. чел)
По данным обследований населения по проблемам занятости
|
Год |
Всего |
Из их числа |
|||
|
мужчин |
женщин |
городское |
сельское |
||
|
2000 |
6999,1 |
3780,5 |
3218,6 |
5142,7 |
1856,4 |
|
2001 |
6303,4 |
3410,8 |
2892,6 |
4460 |
1843,4 |
|
2002 |
6153,5 |
3322,2 |
2831,3 |
4214,9 |
1938,6 |
|
2003 |
5683,3 |
3007,4 |
2675,9 |
3812,4 |
1870,9 |
|
2004 |
5775,2 |
2902 |
2873,2 |
3898,6 |
1876,6 |
|
2005 |
5263,0 |
2725 |
2538 |
3389 |
1874 |
Удельный вес женщин в общей численности безработных к 2005г. составил 48,22%, он вырос по сравнению со своим значением в 2000 году на 2,23%. В среднем за каждый исследуемый год данный показатель увеличивался на 0,45%, что указывает на постоянно увеличивающееся количество безработных женщин.
Доля безработного городского населения превышает долю безработного сельского населения более, чем в 2 раза. Однако по сравнению с 2000 годом количество безработных городских жителей уменьшилось почти на 9% (9,08%).
6.2.2. Распределение численности безработных по возрастным группам.
Структура численности безработных по возрастным группам представлена в приложении 5.
Расчет показывает, что тенденция к увеличению числа безработных прослеживается в возрастных группах до 20 лет и 45-72 лет, причем наиболее заметен этом процесс среди людей, принадлежащих группе 45-49 лет. Здесь этот показатель за 12 лет увеличился на 7%. В возрастной группе до 20 лет число безработных стало увеличиваться только начиная с 2000 года, в период 2000-2004 года этот показатель увеличился на 3,4%, однако, по сравнению с 1992 годом он уменьшился на 6,4%. Таким образом, за рассматриваемые 12 лет в этой возрастной группе прослеживается наиболее интенсивное сокращение безработицы.
По данным на 2004 год, наибольшее количество безработных приходится на возрастную группу 20-24 лет, наименьшее 60-72 лет (см. приложение 5).
Как показано на рис. 6.2.2.1, с 1992 по 1999 год средний возраст безработных имел ярко выраженную тенденцию к росту. С 1999 по 2004 год этот показатель не имеет какой-либо определенной тенденции, однако, по сравнению с 1999 годом он снизился на 0,5 года, а по сравнению с 1992 увеличился на 2,2 года. Средний возраст безработных за 12 лет составил:
года.
6.2.3. Среднегодовая численность занятых в экономике по отраслям.
Исходные данные представлены в приложении 6.
Для сравнения структуры занятости по отраслям приведены две диаграммы, отражающие долевой состав занятых в 1995 и 2004 годах (см. приложение 6). Структура занятости населения по отраслям практически не изменилась за исследуемые 9 лет: наибольший процент занятости принадлежит промышленности, ее доля в структуре занятости увеличилась на 2%. Доля занятых в лесном хозяйстве остается наименьшей около 0,4% к общему итогу. Наибольшее сокращение числа занятых получила отрасль сельского хозяйства (-5%). Наибольший прирост оптовая и розничная торговля, общественное питание (+7%).
6.2.4. Распределение численности безработных по уровню образования.
Данные по структуре безработного населения по уровню образования представлены в приложении 7.
Гистограмма показывает, что наибольшее количество людей, занятых в российской экономике, имеют среднее (полное) общее образование, причем эта тенденция прослеживается на протяжении всего исследуемого периода (1992-2004 гг.). Следует отметить, что по сравнению с 2003 годом, число людей с высшим профессиональным образованием сократилось на 0,3%. На данный момент увеличивается количество специалистов с начальным профессиональным образованием, за счет этого уменьшается доля всех остальных категорий.
Заключение
Рынок труда является одним из элементов рыночной экономики. Он представляет собой систему общественных отношений в согласовании интересов работодателей и наемной рабочей силы.
В настоящее время российский рынок труда не сбалансирован, о чем свидетельствуют серьезные структурные перекосы как со стороны спроса, так и со стороны предложения.
Важнейшим показателем состояния рынка труда является уровень безработицы.
Единственный фактор, сдерживающий рост безработицы с точки зрения динамических потоков на рынке труда существенное увеличение доли безработных, перешедших в состав экономически неактивного населения (например, женщины заняты ведением домашнего хозяйства).
По мнению большинства экономистов, полная занятость понятие абстрактное, не совместимое с идеей развитого рыночного хозяйства. Однако все же безработица должна быть поставлена в определенные рамки, в пределах которых достигаются режим эффективного роста и состояние экономической стабильности.
Формирование рынка труда в России, его прогнозирование, является неотъемлемой частью становления рыночного механизма. Основными направлениями его регулирования должны стать: борьба против дальнейшего спада производства; недопущение массовой безработицы; принятие мер по повышению уровня жизни населения и др.
На данный момент уровень безработицы в России превышает принятый на западе уровень естественной безработицы на 0,6% и составляет 7,6%, однако, в целом в течение последних 10 лет суммарное число безработных постепенно сокращается. При этом наименее занятой является группа 20-24 лет (выпускники ВУЗов), средний возраст безработных уменьшается. Количество безработных женщин по-прежнему меньше количества безработных мужчин, однако, из года в год доля безработного женского населения растет. Наибольшее количество безработных в нашей стране имеют среднее (полное) общее образование.
Главный путь решения проблемы безработицы на рынке труда, по моему мнению, экономический рост производства (восстановление законсервированных производственных мощностей), что приведет к увеличению темпа роста числа занятых в экономике.
В Росси идет формирование конкретных механизмов государственного регулирования рынка трудовых ресурсов. Определенные шаги здесь уже сделаны: принят Закон о занятости, создана государственная служба занятости, развертывается система переподготовки кадров, официально устанавливаются прожиточный минимум и минимальная заработная плата. Впрочем, пока два последних индикатора являются в России (в отличие от высокоразвитых стран с рыночной экономикой) лишь условными показателями. Дело в том, что минимальная заработная плата установлена на столь низком уровне, что любая даже откровенно грабительская ставка легко укладывается в этот норматив.
Список использованных источников
- Закон «О занятости населения в Российской Федерации» (с последующими дополнениями и изменениями) от 19 апреля 1991г. и от 11 апреля 1996г.
- Кейнс Дж.М. «Общая теория занятости, процента и денег». М.: Гелиос АРВ, 2002. 352с.
- Кибанов А.Я. «Экономика и социология труда: Учебник». М.: ИНФРА-М, 2003. 584с.
- Липсиц И.В. «Экономика: учебник для вузов». М.: Омега-Л, 2006. 656с. (Высшее экономическое образование).
- Маркс К. «Капитал: Том II, III». М.: Государственное издательство политической литературы, 1954. 530с., 932с.
- Николаева И.П. «Экономика в вопросах и ответах: учеб. пособие». М.: ТК Велби, Изд-во Проспект, 2006. 336с.
- Октябрьский П.Я. «Статистика: Учебник». М.: ТК Велби, Изд-во Проспект, 2005.-328с.
- Остапенко Ю.М. «Экономика труда: Учеб. пособие». М.: ИНФРА-М, 2006 268с. (Высшее образование).
- Хейне П., Боуттке П., Причитко Д. «Экономический образ мышления», 10-е издание / пер. с англ. Гуреш Т.А. М.: Изд. дом «Вильямс», 2005. 544 с.
- Чепурин М.Н., Киселева Е.А. «Курс экономической теории: учебник». 5-е исправленное, дополненное и переработанное издание Киров: «АСА», 2005. 832с.
- http://www.ancor.ru/ Бендина Н. «Российский рынок труда готовится к шторму», RBC, 10 ноября 2004г.
- http://www.meo.ru/
- http://www.severinform.ru/ Информационное агентство "СеверИнформ"// Статьи// Капелюшников Р. «Российский рынок труда: проблемы безработицы» от 26.04.2006г.
Приложение
Приложение 1.
Классификация рынков труда

Приложение 2
Классификация форм занятости
Приложение 3.

Приложение 4.
Динамика численности безработных
|
Общая численность безработных |
Численность официально зарегистрированных безработных, тыс.чел. |
|||||
|
тыс.чел. |
в % к |
тыс.чел. |
в % к |
|||
|
соответствующему периоду предыдущего года |
предыдущему периоду |
соответствующему периоду предыдущего года |
предыдущему периоду |
|||
|
2005г. |
||||||
|
Январь |
6080 |
91,9 |
99,5 |
1938 |
118,2 |
100,9 |
|
Февраль |
6056 |
87,5 |
99,6 |
2019 |
120,9 |
104,2 |
|
Март |
5820 |
89,9 |
96,1 |
1997 |
120,1 |
98,9 |
|
I квартал (в среднем за месяц) |
5985 |
89,7 |
98,9 |
1984 |
119,7 |
108,8 |
|
Апрель |
5610 |
93,1 |
96,4 |
1972 |
119,9 |
98,8 |
|
Май |
5406 |
96,8 |
96,4 |
1882 |
118,1 |
95,4 |
|
Июнь |
5400 |
97,7 |
99,9 |
1816 |
116,7 |
96,5 |
|
II квартал(в среднем за месяц) |
5472 |
95,8 |
91,4 |
1890 |
118,3 |
95,3 |
|
Июль |
5397 |
98,8 |
99,9 |
1799 |
114,5 |
99 |
|
Август |
5395 |
99,5 |
99,9 |
1766 |
110,8 |
98,2 |
|
Сентябрь |
5444 |
96 |
100,9 |
1715 |
105 |
97,1 |
|
III квартал(в среднем за месяц) |
5412 |
98,1 |
98,9 |
1760 |
110 |
93,1 |
|
Октябрь |
5491 |
93,1 |
100,9 |
1690 |
98,8 |
98,6 |
|
Ноябрь |
5543 |
90,3 |
100,9 |
1740 |
94,5 |
102,9 |
|
Декабрь |
5605 |
91,7 |
101,1 |
1830 |
95,3 |
105,2 |
|
IV квартал(в среднем за месяц) |
5546 |
91,7 |
102,5 |
1753 |
96,1 |
99,6 |
|
Год (в среднем за месяц) |
5604 |
93,6 |
1847 |
110,6 |
||
|
2006г. |
||||||
|
Январь |
5665 |
93,2 |
101,1 |
1839 |
94,9 |
100,5 |
|
Февраль |
5727 |
94,6 |
101,1 |
1906 |
94,4 |
103,7 |
|
Март |
5601 |
96,2 |
97,8 |
1905 |
95,4 |
100 |
|
I квартал (в среднем за месяц) |
5664 |
94,6 |
102,1 |
1883 |
94,9 |
107,4 |
Приложение 5.
Распределение численности безработных по возрастным группам
(в процентах к итогу)

Приложение 6.
Среднегодовая численность занятых в экономике по отраслям
(тыс. человек)
|
1995 |
1996 |
1997 |
1998 |
1999 |
2000 |
2001 |
2002 |
2003 |
2004 |
|
|
Всего в экономике |
66409 |
65950 |
64693 |
63812 |
63963 |
64327 |
64710 |
65359 |
65666 |
66407 |
|
Промышленность |
17161 |
16366 |
14905 |
14162 |
14297 |
14543 |
14692 |
14534 |
14345 |
14301 |
|
Сельское хозяйство |
9744 |
9261 |
8592 |
8724 |
8495 |
8370 |
7936 |
7683 |
7208 |
6891 |
|
Лесное хозяйство |
259 |
247 |
240 |
239 |
243 |
239 |
264 |
264 |
272 |
276 |
|
Строительство |
6208 |
5875 |
5664 |
5094 |
5083 |
5002 |
5015 |
4982 |
5080 |
5216 |
|
Транспорт |
4375 |
4351 |
4279 |
4013 |
4060 |
4139 |
4115 |
4137 |
4234 |
4405 |
|
Связь |
875 |
869 |
845 |
839 |
859 |
872 |
899 |
882 |
905 |
919 |
|
Оптовая и розничная торговля, общественное питание |
6676 |
6795 |
8725 |
9312 |
9320 |
9421 |
9997 |
10837 |
11055 |
11431 |
|
Жилищно-коммунальное хозяйство, непроизводственные виды бытового обслуживания населения |
2979 |
3203 |
3356 |
3405 |
3361 |
3317 |
3263 |
3208 |
3241 |
3183 |
|
Здравоохранение, физическая культура и социальное обеспечение |
4443 |
4531 |
4420 |
4458 |
4496 |
4503 |
4531 |
4591 |
4672 |
4698 |
|
Образование |
6179 |
6191 |
6019 |
5919 |
5935 |
5871 |
5857 |
5887 |
5941 |
5958 |
|
Культура и искусство |
1136 |
1122 |
1125 |
1116 |
1129 |
1144 |
1160 |
1200 |
1249 |
1274 |
|
Наука и научное обслуживание |
1688 |
1514 |
1431 |
1302 |
1209 |
1201 |
1187 |
1181 |
1217 |
1165 |
|
Финансы, кредит, страхование |
820 |
799 |
778 |
736 |
744 |
742 |
787 |
816 |
865 |
934 |
|
Управление |
1893 |
2655 |
2581 |
2777 |
2858 |
2925 |
2880 |
2965 |
3061 |
3211 |
|
Другие отрасли |
1973 |
2171 |
1733 |
1716 |
1874 |
2038 |
2127 |
2192 |
2321 |
2545 |
Приложение 7.
Распределение численности безработных по уровню образования
(в процентах к итогу)


|
Безработные - всего |
в том числе имеют образование |
|||||||
|
высшее профессиональное |
неполное высшее профессиональное |
среднее профессиональное |
начальное профессиональное |
среднее (полное) общее |
основное общее |
начальное общее, не имеют начального общего образования |
||
|
Всего |
||||||||
|
1992 |
100 |
10 |
3,5 |
27,3 |
... |
38,1 |
18,6 |
2,4 |
|
1995 |
100 |
9,2 |
2,2 |
28,6 |
... |
41,8 |
16,9 |
1,3 |
|
1996 |
100 |
8,2 |
2,3 |
29,3 |
... |
41,4 |
17,5 |
1,2 |
|
1997 |
100 |
9 |
2,3 |
27,7 |
8,7 |
32,8 |
16,3 |
3,3 |
|
1998 |
100 |
10,2 |
2,4 |
28,2 |
10,1 |
31,7 |
14,7 |
2,7 |
|
1999 |
100 |
10,8 |
2,7 |
27 |
11,1 |
31,2 |
13,5 |
3,8 |
|
2000 |
100 |
11,1 |
4,1 |
22,5 |
12,9 |
32,9 |
14,1 |
2,4 |
|
2001 |
100 |
11,1 |
3,2 |
25,2 |
13,2 |
33,3 |
12,9 |
1,1 |
|
2002 |
100 |
10,4 |
2,7 |
24,6 |
12,6 |
34,6 |
13,9 |
1,2 |
|
2003 |
100 |
11,2 |
2,7 |
20,7 |
16,2 |
33,7 |
14,1 |
1,4 |
|
2004 |
100 |
10,9 |
2,7 |
20,5 |
18,3 |
33,1 |
13,5 |
1,1 |
Приложение 8.
