Расчет количественных характеристик надежности
Волжский университет им. В.Н. Татищева
Факультет информатики и телекоммуникации
Кафедра промышленной информатики
Контрольная работа
по дисциплине: Надежность систем
тема: Расчет количественных характеристик надежности
Тольятти
2009
Задание №1
На испытание поставлено
изделий. За время t час вышло из строя n(t) штук изделий. За последующий интервал времени
вышло из строя
изделий. Необходимо вычислить вероятность безотказной работы
за время t, частоту отказов
и интенсивность отказов
на интервале
. Исходные данные для решения задачи приведены в таблице 1.
Таблица 1. Исходные данные для задачи 1
|
№ вар |
N0 |
t, час |
|
n( |
|
10 |
45 |
75 |
5 |
1 |
Решение
Вероятность безотказной работы
:
=(45-5)/45=0,888888889
Частота отказов
на интервале
:
=5/(45*5)= 0,022222222
Интенсивность отказов
на интервале
:
=0,022222222/0,888888889=0,0250000
Задание №2
Изделие состоит из N элементов, средняя интенсивность отказов которых
. Требуется вычислить вероятность безотказной работы в течение времени t и среднюю наработку до первого отказа. Исходные данные для решения задачи приведены в таблице 2.
Таблица 2. Исходные данные для задачи 2
|
№ вар |
N |
|
t, час |
|
10 |
1000 |
0,5*10-3 |
0,5 |
Решение
Вероятность безотказной работы P( t ):
P( t ) = e-с*t ,
Где, с средняя интенсивность отказов;
с = N*cp ,
с = 1000*0,5*10-3= ;
P( t ) = е -0,2646*2 = 0,589076.
Средняя наработка до первого отказа Тср:
Тср = 1 / с
Тср = 1 / 0,2646= 3,779289.
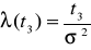
Задание №3
Пусть время работы элемента до отказа подчинено экспоненциальному закону распределения с параметром
. Требуется вычислить количественные характеристики надежности элемента
при значение t. Построить графики зависимости
от t. Исходные данные для решения задачи приведены в таблице 3.
Таблица 3. Исходные данные для задачи 3
|
№ варианта |
|
|
|
|
|
10 |
0,05*10-3 |
230 |
460 |
690 |
Решение
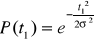
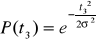
Вероятность безотказной работы P( t ):
P( t ) = e-*t
P( t1 ) = е 0,0000014*230 = 0,000322;
P( t2 ) = е 0,0000014*460 = 0,000644;
P( t3 ) = е 0,0000014*690 = 0,0,000966.
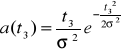
Число отказов a( t ):
a( t ) = * e - * t
a( t1 ) = * е 0,0000014*400 =;
a( t2 ) = * е 0,0000014*500 = ;
a( t3 ) = * е 0,0000014*600 = .
Средняя наработка до первого отказа Tcp:
Tcp = 1 /
Tcp = 1 / 0,0000014 = 714285,7143.
Задание №4
Время работы изделия до отказа подчиняется закону распределения Релея. Требуется вычислить количественные характеристики
для t час, если параметр распределения час. Исходные данные для решения задачи приведены в таблице 5.
Таблица 5. Исходные данные для задачи 4 (вариант 11-20)
|
№ варианта |
|
|
|
|
|
10 |
900 |
230 |
460 |
690 |
Решение
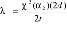
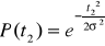
Вероятность безотказной работы Р(t):
= 0,8352702114;
= 0,8095716487;
= 0,7827045382.
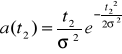
Частота отказов (плотность распределения) а(t):
= 0,0005011621;
= 0,0005262216;
= 0,0005478932.
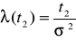
Интенсивность отказов (t):
= 0,00060;
= 0,00065;
= 0,00070.
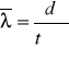
Средняя наработка до первого отказа Тср:
= 1253,296.
Задание №5
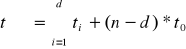
За время испытаний по плану [n, Б, t0] отказало d устройств, причем отказавшие устройства проработали до выхода из строя соответственно t1-tn час. Требуется определить оценку
и двусторонний доверительный интервал для
. Исходные данные для решения задачи приведены в таблице 8.
Таблица 8. Исходные данные для задачи 5 (вариант 11-20)
|
№ варианта |
n |
t1-tn |
|
|
10 |
19 |
30, 60, 80, 100, 150, 180, 210, 250, 260, 270, 290, 300, 350, 400, 450, 480, 500, 510, 550 |
0,95 |
Решение
Суммарная наработка
:
= 33950;
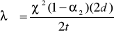
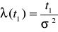
Оценка интенсивности отказов
:
= 0,000147275;
Верхняя граница
:
0,000268041;
Нижняя граница
:
= 0,00013947.
Двусторонний доверительный интервал: [0,00013947; 0,000268041].
Список литературы
- Голинкевич Т.А. Прикладная теория надежности. Учебник для вузов. - М.: Высшая школа, 1985.
- Боэм Б., Браун Дж., Каспар Х. И др. Характеристики качества программного обеспечения/Пер. с англ. Е. К. Масловского.- М.: Мир, 1981 208 с., ил.
- Надежность и эффективность АСУ. Заренин Ю. Г., Збырко М. Д., Креденцер Б. П., Свистельник А. А., Яценко В. П. “Техника”, 1975, 368 стр.
,час
)
, 1/час






