Современные методы экспериментального изучения строительных материалов. Определение предела прочности при сжатии. Рентгеновский фазовый анализ порошковых материалов
Министерство образования и науки РФ
Федеральное государственное бюджетное образовательное учреждение высшего профессионального образования «Казанский государственный архитектурно-строительный университет»
Реферат на тему:
«Современные методы экспериментального изучения строительных материалов. ОПРЕДЕЛЕНИЕ ПРЕДЕЛА ПРОЧНОСТИ ПРИ СЖАТИИ. РЕНТГЕНОВСКИЙ ФАЗОВЫЙ АНАЛИЗ ПОРОШКОВЫХ МАТЕРИАЛОВ»
Выполнил: студент гр. 4СМ-107
Кайс Хамзан А.М.
Проверил: д.т.н., профессор
Абдрахманова Л.А.
Казань 2014
Содержание
Первый часть
ПОДГОТОВКА К ПРОВЕДЕНИЮ ИСПЫТАНИЙ ……………………
ОПРЕДЕЛЕНИЕ ПРЕДЕЛА ПРОЧНОСТИ ПРИ СЖАТИИ……………
ОПРЕДЕЛЕНИЕ КОНЦА СХВАТЫВАНИЯ…………………………….
ОПРЕДЕЛЕНИЕ ВОДОСТОЙКОСТИ…………………………………….
ОПРЕДЕЛЕНИЕ РАСШИРЕНИЯ ОБРАЗЦОВ-ЦИЛИНДРОВ…………..
Второй часть
РЕНТГЕНОВСКИЙ ФАЗОВЫЙ АНАЛИЗ ПОРОШКОВЫХ МАТЕРИАЛОВ………………………………………………………………..
Сущность метода рентгеновского фазового анализа……………………….
Рентгеновские трубки…………………………………………………………
Рентгеновские аппараты……………………………………………………….
Приготовление образцов……………………………………………………….
Расчет порошковых рентгенограмм…………………………………………..
Качественный рентгеновский фазовый анализ……………………………….
ПОРЯДОК РАБОТЫ НА РЕНТГЕНОВСКОМ ДИФРАКТОМЕТРЕ
ДРОН-З……………………………………………………………………………
Указания по технике безопасности………………………………………………
Список литературы…………………………………………………………………
ОПРЕДЕЛЕНИЕ ПРЕДЕЛА ПРОЧНОСТИ ПРИ СЖАТИИ
1 ПОДГОТОВКА К ПРОВЕДЕНИЮ ИСПЫТАНИЙ
1.1 Общие положения
1.1.1 Испытания следует проводить в помещениях с температурой воздуха (20
) °С и относительной влажностью не менее 50%.
1.1.2 Перед испытанием материалы и воду выдерживают до принятия ими температуры помещения.
1.1.3 Для изготовления и хранения образцов применяют питьевую воду по ГОСТ 2874.
1.1.4 При проведении испытаний следует применять сосуды, приборы и инструменты, изготовленные из материалов, не реагирующих с цементом, цементным раствором и реактивами.
1.1.5 Погрешность средств контроля не должна превышать:
1 г - при взвешивании материалов;
0,5 г - при взвешивании воды;
0,5
- при отмеривании воды.
3.2 Подготовка материалов
1.2.1 Для проведения испытаний используют среднюю лабораторную пробу.
Пробу добавки массой 6 кг высушивают в сушильном шкафу при температуре (105
5) °С до постоянной массы и измельчают в лабораторной мельнице до такой тонкости помола, чтобы остаток на сите с сеткой № 008 составлял не менее 13 и не более 15 % массы просеиваемой пробы.
У добавок, обладающих высокой исходной дисперсностью, остаток на сите с сеткой № 008 может быть менее 13 % массы просеиваемой пробы.
1.2.2 Измельченную пробу добавки делят на две части. Одну часть используют для испытаний в соответствии с разделом 4.
Вторую часть дополнительно измельчают до остатка на сите с сеткой № 008 не менее 4 и не более 6% массы просеиваемой пробы и используют для испытаний в соответствии с разделами 5-7.\
1.2.3 Подготовленные пробы добавки хранят до испытаний в закрытой таре.
1.2.4 Портландцементный клинкер, используемый для испытаний, стандартный песок по ГОСТ 6139 и гипсовый камень по ГОСТ 4013 раздельно измельчают в лабораторной мельнице до такой тонкости помола, чтобы остаток на сите с сеткой № 008 составлял:\
- не менее 13 и не более 15% массы пробы - для портландцементного клинкера и стандартного песка;
- не менее 4 и не более 6% массы пробы - для гипсового камня.
2ОПРЕДЕЛЕНИЕ ПРЕДЕЛА ПРОЧНОСТИ ПРИ СЖАТИИ
2.1 Средства контроля
Мешалка для перемешивания цементного раствора, столик встряхивающий, форма-конус, штыковка, формы разъемные для изготовления образцов-балочек, насадка к формам, площадка вибрационная, прибор для испытаний на изгиб, пресс для определения предела прочности при сжатии, пластинки для передачи нагрузки по ГОСТ 310.4.
Чаша и лопатка по ГОСТ 310.3.
Камера пропарочная любой конструкции, обеспечивающая подъем температуры, изотермический прогрев и остывание образцов по заданному режиму.
Мельница лабораторная для смешивания материалов с мелющими телами, не вызывающими дополнительного измельчения материалов (резиновые шарики, пробки и т.п.).
Весы.
Емкость для воды
2.2 Материалы
Клинкер портландцементный по 3.2.4.
Песок стандартный по ГОСТ 6139.
Песок стандартный по 3.2.4.
Добавка по 3.2.1.
Камень гипсовый по 3.2.4.
2.2 Проведение испытания
4.3.1 Из материалов по 4.2 готовят в лабораторной мельнице перемешиванием в течение 2 ч смеси вяжущих следующих составов:
- 600 г портландцементного клинкера, 1400 г добавки, 100 г гипсового камня в пересчете на
;
- 600 г портландцементного клинкера, 1400 г песка, подготовленного по 3.2.4, 100 г гипсового камня в пересчете на
.
4.3.2 Из смесей вяжущих, полученных по 4.3.1, готовят по ГОСТ 310.4 соответственно растворы 1 и 2.
Определяют консистенцию растворов по ГОСТ 310.4. При необходимости корректируют водоцементное отношение.
2.3.3 Из каждого раствора изготавливают по ГОСТ 310.4 шесть образцов балочек.
2.3.4 Формы с образцами закрывают крышкой и помещают в пропарочную камеру
Режим выдержки и пропарки образцов по ГОСТ 310.4.
2.3.5 Испытания образцов на сжатие проводят по ГОСТ 310.4 через (24
2) ч с момента их изготовления.
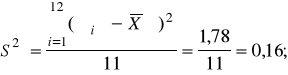
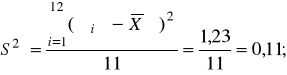
2.4 Обработка результатов
2.4.1 Предел прочности при сжатии отдельного образца вычисляют в мегапаскалях как частное от деления разрушающей нагрузки в ньютонах на рабочую площадь пластинки в квадратных миллиметрах, т.е. на 2500мм2.
4.4.2 Предел прочности при сжатии в мегапаскалях вычисляют как среднее арифметическое результатов испытаний 12 образцов (12 половинок образцов балочек).
2.4.3 Активность минеральной добавки по прочности определяют статистической оценкой значимости различий прочности при сжатии образцов с добавкой и образцов с песком (12 результатов испытаний для каждого раствора).
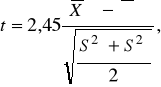
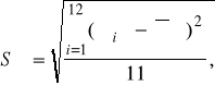
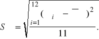
Рассчитывают по пределу прочности при сжатии критерий Стьюдента (
-критерий) и сравнивают рассчитанное значение
критерия с табличным, равным 2,07.
2.4.4 При
менее 2,07 добавка считается не выдержавшей испытания, а при
свыше 2,07 - выдержавшей испытания на активность по прочности.
При
более 15,00 допускается не проводить испытание до6авки по определению конца схватывания и водостойкости.
2.4.5 Значение
-критерия вычисляют по формуле
(1)
где
и
- средние арифметические пределов прочности при сжатии образцов, изготовленных соответственно из растворов 1 и 2;
- среднее квадратическое отклонение предела прочности при сжатии образцов, изготовленных соответственно из растворов 1 и 2.
Средние арифметические пределов прочность при сжатии образцов вычисляют по формулам:
(2)
(3)
где
,
- единичное значение предела прочности при сжатии образца, изготовленного соответственно из раствора 1 и 2.
Средние квадратические отклонения пределов прочности при сжатии образцов вычисляют по формулам:
(4)
(5)
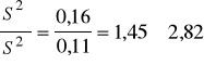
2.4.6 Значение
-критерия следует вычислять при выполнении следующих условий:
МПа.
Условие
считают выполненным, если
или
, при этом в числителе помещают большую из двух величин
или
;
2,82 - табличное значение критерия Фишера (
-критерия) при 5%-ном уровне значимости и 11 степенях свободы для обеих дисперсий.
Если хотя бы одно из условий не выполняется, то следует считать, что испытания выполнены неудовлетворительно и их следует повторить.
Пример расчета
-критерия приведен в приложении А.
3 ОПРЕДЕЛЕНИЕ КОНЦА СХВАТЫВАНИЯ
3.1 Средства контроля
Прибор Вика для определения сроков схватывания с пестиком (рисунок 1), два кольца к прибору Вика, четыре пластинки, мешалка для приготовления теста, чаша и лопатка (в случае приготовления теста вручную), ванна с гидравлическим затвором или шкаф, обеспечивающий влажность воздуха не менее 90%-по ГОСТ 310.3.
Мельница лабораторная по 4.1.
Весы.

Рисунок 1 - Пестик к прибору Вика
3.2 Материалы
Добавка по 3.2.2.
Камень гипсовый по 3.2.4.
Известь гидратная без добавок 1 или 2-го сорта по ГОСТ 9179.
3.3 Проведение испытания
3.3.1 Готовят смесь из 1600 г добавки, 400 г гидратной извести и 57 г гипсового камня в пересчете на
, смешивают компоненты в течение 2 ч в лабораторной мельнице.
3.3.2 Из смеси готовят по ГОСТ 310.3 тесто нормальной густоты.
3.3.3 Двумя последовательными замесами теста нормальной густоты заполняют два кольца прибора Вика, выравнивают ножом поверхность, покрывают пластинками для предотвращения карбонизации теста углекислотой воздуха и ставят в ванну с гидравлическим затвором или шкаф, обеспечивающий влажность воздуха не менее 90 %.
3.3.4 Через (24
2) ч после затворения одно кольцо извлекают из ванны, снимают верхнюю пластинку, выполняют первый замер на приборе и опять помещают кольцо в ванну. Последующие замеры производят один раз в сутки.
3.3.5 За результат испытаний принимают время в сутках от начала затворения до очередного замера, при котором пестик не погружается в тесто.
4 ОПРЕДЕЛЕНИЕ ВОДОСТОЙКОСТИ
4.1 Средства контроля
Средства контроля - по 3.1.
Емкость для воды.
4.2 Материалы
Материалы - по 3.2.
4.3 Проведение испытания
4.3.1 Второй образец, приготовленный по 3.3.3, после наступления схватывания, определенного на первом образце по 3.3.5, вынимают из кольца и вновь помещают в ванну с гидравлическим затвором, или шкаф, обеспечивающий относительную влажность воздуха не менее 90 %, где хранят 7 сут с момента затворения.
По истечении указанного срока образец помещают в емкость с водой так, чтобы он был полностью погружен в воду.
4.3.2 Через 3 сут выдерживания в воде образец вынимают и визуально определяют его состояние.
Добавку считают выдержавшей испытание, если не обнаруживается размывание образца и сохраняется четкость его краев.
5 ОПРЕДЕЛЕНИЕ РАСШИРЕНИЯ ОБРАЗЦОВ-ЦИЛИНДРОВ
Сущность метода заключается в определении расширения образца, приготовленного из расчета, что весь оксид алюминия добавки расходуется на синтез эттрингита (
) в условиях сульфатной агрессии, с целью определения пригодности добавки для производства сульфатостойких цементов.
5.1 Средства контроля
Ванна с гидравлическим затвором по ГОСТ 310.3.
Три кольца Ле-Шателье (рисунок 2). Кольцо представляет собой разрезанный по образующей цилиндр из листовой латуни. Края цилиндра у места разреза должны сходиться встык. К краям прорези припаяны стрелки. Для проверки цилиндра одну из стрелок зажимают в тиски по возможности ближе к месту пайки так, чтобы вторая стрелка находилась под ней в горизонтальном положении. К месту, где вторая стрелка припаяна к форме, подвешивают груз массой 0,3 кг, при этом острие стрелки должно отклоняться от своего первоначального положения не менее чем на 15 и не более чем на 20 мм.
Чаша и лопатка по ГОСТ 310.3.
Мельница лабораторная по 3.1.
Линейка металлическая с погрешностью не более 1 мм по ГОСТ 427.
Пластинка стеклянная, размеры которой позволяют полностью установить три кольца Ле-Шателье.
Весы.

Рисунок 2 - Кольцо Ле-Шателье
5.2 Материалы
Добавка по 1.2.2.
Камень гипсовый по1.2.4.
Известь гидратная без добавок 1 и 2-го сорта по ГОСТ 9179.
5.3 Проведение испытания
5.3.1 Готовят в лабораторной мельнице смесь массой 1500 г из добавки, гидратной извести и гипсового камня из расчета, что соотношение по массе
должно быть 1 : 2,18 : 5,06.
5.3.2 Из смеси готовят по ГОСТ 310.3 тесто нормальной густоты.
5.3.3 Три кольца Ле-Шателье устанавливают на стеклянную пластинку, покрытую фильтровальной бумагой, концы которой должны быть опущены в воду для обеспечения постоянного подсоса воды к образцу.
Кольца заполняют тестом нормальной густоты, тщательно выравнивают поверхность, измеряют расстояние между концами стрелок каждого кольца, после чего помещают их в ванну с гидравлическим затвором.
5.3.4 Через 15 сут кольца извлекают из ванны и измеряют расстояние между концами стрелок каждого кольца.
5.4 Обработка результатов
5.4.1 Вычисляют разность между значениями конечного и начального замера для каждого кольца.
5.4.2 За расширение образцов-цилиндров в миллиметрах принимают среднее арифметическое результатов двух наибольших вычисленных по 7.4.1 значений.
ПРИЛОЖЕНИЕ А
(справочное)
Пример расчета
-критерия для двух сравнительных смесей
"клинкер + добавка (зола)" и "клинкер + песок"
Таблица А.1
|
Номер образца (соответственно смеси) |
|
|
|
|
|
|
|
1 |
10,5 |
0,2 |
0,04 |
8,1 |
0,1 |
0,01 |
|
2 |
9,8 |
0,5 |
0,25 |
7,3 |
0,7 |
0,49 |
|
3 |
11,0 |
0,7 |
0,49 |
7,7 |
0,3 |
0,09 |
|
4 |
9,9 |
0,4 |
0,16 |
8,1 |
0,1 |
0,01 |
|
5 |
10,5 |
0,2 |
0,04 |
7,7 |
0,3 |
0,09 |
|
6 |
10,7 |
0,4 |
0,16 |
8,4 |
0,4 |
0,16 |
|
7 |
9,9 |
0,4 |
0,16 |
8,1 |
0,1 |
0,01 |
|
8 |
10,4 |
0,1 |
0,01 |
8,1 |
0,1 |
0,01 |
|
9 |
10,2 |
0,1 |
0,01 |
8,1 |
0,1 |
0,01 |
|
10 |
10,6 |
0,3 |
0,09 |
8,1 |
0,1 |
0,01 |
|
11 |
9,7 |
0,6 |
0,36 |
7,7 |
0,3 |
0,09 |
|
12 |
10,4 |
0,1 |
0,01 |
8,5 |
0,5 |
0,25 |
|
|
123,6 |
1,78 |
95,9 |
1,23 |






Проверяем выполнение условий
МПа, при этом
должно быть
.

МПа.
Так как условия выполнены, можно перейти к расчету
-критерия

По результатам расчета
-критерия можно сделать вывод, что добавка выдержала испытание на активность по прочности.
РЕНТГЕНОВСКИЙ ФАЗОВЫЙ АНАЛИЗ ПОРОШКОВЫХ МАТЕРИАЛОВ.
1. ТЕОРЕТИЧЕСКИЙ РАЗДЕЛ
Во многих природных и синтезированных, технически важных материалах кристаллическое вещество находится в виде поликристалла и важно иметь возможность изучить его структуру и свойства именно в таком состоянии. Поликристаллический материал состоит из множества мелких кристалликов. Это может быть или агрегат плотно сцепленных между собой мелких кристаллов (например, металлы, сплавы, многие минералы, керамические материалы), или измельченный порошок данного вещества. Поликристаллическое вещество может состоять из кристалликов различных фаз.
С помощью рентгенографии на поликристаллических образцах можно решать следующие задачи:
- структурный анализ несложных структур;
- определение элементарной ячейки неизвестного вещества;
- исследование фазовых переходов, изучение состояния твердого тела (кристаллическое, аморфное, аморфное с кристаллическими включениями);
- исследование фазового состава вещества (качественный и количественный анализы):
качественный - идентификация кристаллических фаз на основе присущих им значений межплоскостных расстояний dhkl и интенсивности линий Ihkl рентгеновского спектра;
количественный - определение количества тех или иных фаз в смеси:
- определение средних размеров кристаллов, зерен в образце, функции распределения их по размерам, по анализу профиля линий;
- изучение внутренних напряжений: проводят анализ профиля дифракционных линий и сдвига положения этих линий;
- изучение текстур, т.е. характера преимущественной ориентации кристаллитов.
Количественный рентгеновский фазовый анализ основан на зависимости интенсивности дифракционного отражения от содержания Xi соответствующей фазы. Сравнивая экспериментальные значения Ihkl с эталонными и вводя необходимые поправки на поглощение, можно определять содержание фазы Xi .
В данной работе проводится изучение качественного метода рентгеновского фазового анализа, который основан на том, что порошковая рентгенограмма данной фазы характеризуется своим набором межплоскостных расстояний dhkl и интенсивности линий Ihkl , а рентгенограмма многофазного образца представляет собой наложение рентгенограмм отдельных фаз. Для фазового анализа необходимо иметь эталонные данные значений dhkl и Ihkl каждой фазы. Эти параметры собраны в специальных справочниках.
Наиболее полно рентгеновские данные приведены в порошковой рентгенометрической картотеке (ASTM), издаваемой Объединенным комитетом по порошковым дифракционным стандартам. В настоящее время в этой картотеке приведены данные более чем на 40000 неорганических соединений. Существует несколько разработок информационных систем на основе ЭВМ для автоматического проведения качественного фазового анализа. В работе используется программа ДРОН, разработанная в НПО "Буревестник" (Санкт-Петербург).
1.Сущность метода рентгеновского фазового анализа
В методе РФА используется явление дифракции рентгеновских лучей на кристаллической решетке, применяется излучение с длиной волны порядка величины межатомных расстояний в кристалле. Если любая точка (узел) кристаллической решетки способна рассеивать падающее рентгеновское излучение, то при определенных условиях между волнами, рассеянными отдельными электронами за счет разнести фаз, возникает суммарная амплитуда рассеяния атомами. При этом считается, что:
- электроны атома рассеивают как свободные электроны, т.е. связь с ядром слабая;
- период движения электрона по орбите намного больше периода колебаний падающего излучения, т.е. рассеяние происходит на неподвижном электроне.
Интерпретировать дифракционную картину, получаемую с помощью рентгеновских лучей на трехмерной кристаллический решетке можно двояко:
- кристалл рассматривают как совокупность атомных рядов, в этом случае дифракцию рентгеновских лучей описывают уравнениями Лауэ (трехмерная решетка):
(1)
(2)
(3)
где o, o, o - углы между осями X, Y,Z и направлением первичного пучка; p, q,r- углы между осями X,Y,Z и направлением дифрагированного пучка; а,b,с - периоды решетки вдоль осей X,Y,Z, p,q,r - целые числа; - длина волны;
- кристалл представляют как пространственную структуру, состоящую из параллельных, равноотстоящих друг от друга плоскостей (hkl). В соответствии с расположением атомов в кристаллической решетке систему параллельных плоскостей можно проводить различным образом, при этом будут различными расстояния dhkl между соседними плоскостями (hkl). Возьмем одну из таких атомных плоскостей (hkl) и предположим, что на нее падает под углом рентгеновский луч. Он будет свободно проходить через одноатомный слой, но по принципу Гюйгенса одновременно имеет место и частичное отражение луча под тем же углом . Распространим это рассуждение на случай двух параллельных друг другу атомных плоскостей P1и P2 . При заданной величине dhkl разность хода между верхним и нижним лучом составляет

Оба отраженных луча будут усиливать друг друга максимальным образом только в том случае, когда разность хода составляет целое число волн, то есть при условии
(4)
где - длина волны, n - целое число.
Уравнение (4) называется уравнением Вульфа-Брэгга, а угол - брэгговским углом.
2. Сплошное и характеристическое рентгеновское излучение
При бомбардировке вещества быстролетящими электронами (или другими заряженными частицами) возникает электромагнитное излучение длиной волны от 10-4 до 800 ангстрем. Такое излучение называется рентгеновским. Рентгеновское излучение невидимо для глаз человека. Регистрируется оно благодаря способности засвечивать светочувствительные материалы (фотографическая регистрация), вызывать свечение вещества (люминесцентные экраны, сцинтилляционные счетчики). Распространяются рентгеновские лучи, как все электромагнитные волны, прямолинейно, не отклоняясь электрическими и магнитными полями. На границе сред они преломляются.
|
|
Спектр рентгеновских лучей содержит два налагающихся друг на друга излучения: сплошное с непрерывной полосой различных длин волн и характеристическое, состоящее из отдельных линий определенных длин волн (рис.11).
С точки зрения классической электродинамики возникает сплошной спектр при резком торможении электронов в поле ядер атомов анода.
Характеристическое излучение объясняется на основе квантовой механики. Если падающий электрон обладает значительной энергией, то оно может "выбить" электрон с одной из внутренних оболочек атома зеркала анода. Вакантное место занимает электрон с более высокого энергетического уровня, а избыток энергии реализуется в виде излучения (рис.12)

Значения длин волн характеристического рентгеновского излучения для различных типов рентгеновских трубок приведены в таблице 1
Таблица 1
Длины волн рентгеновского излучения для различных анодов
рентгеновской трубки
|
Анод Рентгеновской трубки |
К, |
К1 ,, |
К2 , |
К , |
|
Cr |
2.29092 |
2.2862 |
2.29531 |
2.08480 |
|
Fe |
1.93728 |
1.93527. |
1.93991 |
1.75653 |
|
Co |
1.79021 |
1.78892 |
1.79728 |
1.62075 |
|
Ni |
1.62912 |
1.65784 |
1.66169 |
1.50010 |
|
Cu |
1.54178 |
1.54051 |
1.54433 |
1.39217 |
|
Mo |
0.71069 |
0.70926 |
0.71354 |
0.63255 |
|
Ag |
0.56083 |
0.55936 |
0.56378 |
0.49701 |
3. Рентгеновские трубки
В рентгеноструктурном анализе широкое распространение получили откаченные трубки (с вакуумом 10-5- 10-6 мм рт.ст.)-
Катод трубки - вольфрамовая нить накала, расположенная на расстоянии 5-10 мм от анода. Для фокусировки электронного пучка ее помещают на дне металлического колпачка, который соединен с нитью и имеет отрицательный по отношению к аноду потенциал. Ток накала 3,2- 4,0 А. В трубках с круглым фокусным пятном нить накала изготовлена в виде плоской спирали, в трубках с линейным фокусом- в виде цилиндрической. Плохой вакуум в трубке вызывает быстрое перегорание катода.
Анод Вылетевшие в результате термоэлектронной эмиссии электроны образуют вокруг нити накала "электронное облако". Под действием приложенного высокого напряжения электроны двигаются к аноду. При торможении электронов на поверхности анода их кинетическая энергия переходит в тепловую энергию и рентгеновское излучение. При напряжениях на трубке 20-80 кВ энергия рентгеновских лучей составляет не более 1-2% затраченной энергии. Вследствие этого анод изготавливают из меди и стали и охлаждают проточной водой. Прекращение подачи воды приводит к расплавлению зеркала анода и порче трубки. В рентгеновских аппаратах имеется реле, автоматически выключающее высокое напряжение при уменьшении напора воды ниже заданного значения. Удельную нагрузку на единицу поверхности фокального пятна на аноде можно повысить за счет уменьшения размеров пятна (острофокусные трубки). Значительное увеличение мощности трубки достигается применением вращающегося анода.
На основание анода напаивают тонкую металлическую пластинку. Эта часть анода, обращенная к катоду, называется зеркалом анода. Выбор материала пластинки определяется как техническими yсловиями (высокая температура плавления, малая распыляемость), так и длиной волны излучения, которое нужно получить в трубке. Пластинки изготавливают из металлов, для которых длины волн рентгеновского излучения лежат в пределах от 2,29 до 0,71 ангстрем (W, Сг, Fe, Си, Ni, Co, Mo, Ag). Элементы с меньшими атомными номерами не используют, так как их излучение сильно поглощается стенками трубки и воздуха. Элементы более тяжелые, чем Мо, в качестве источника монохроматического излучения неудобны, т.к. они дают слишком интенсивное «белое» излучение, которое создает на рентгенограммах нежелательный фон.
Окна для выхода рентгеновских лучей делают из вакуумно-плотного металлического бериллия или литий-бор-бериллиевого стекла, которое мало поглощает рентгеновские лучи. Трубки с линейным фокусом имеют два окна, с круглым фокусом - четыре.
Система обозначений, например, трубки 0,7 БСВ - 2 - Fe:
0,7 - длительная мощность трубки 0,7 кВт;
Б - трубка для работы в защитном кожухе, с защитой от рентгеновских лучей и электрически безопасная;
С - трубка для структурного анализа;
В - водяное охлаждение;
2 - количество окон;
Fe - трубка с железным анодом.
4. Рентгеновские аппараты
Рентгенограммы с исследуемых объектов могут быть получен рентгеновских установках с фотографической регистрацией (установки УРС-2,0; УРС-60 и т.д.) и с регистрацией дифракционной картины с помощью счетчиков (ионизационная регистрация) и с выводом информации на диаграммную ленту (дифрактометры рентгеновские общего назначения ДРОН-2; ДРОН-З и т.д.).
Если исследуемый объект представлен в виде порошка, то для получения дифракционной картины можно использовать как установку фотометода, так и дифрактометр. Если же образец находится в виде плоского образца или шлифа, то предпочтительнее использовать дифрактометр.
Применение дифрактометров сокращает продолжительность исследования, повышает чувствительность и точность измерения, позволяет исключить фотографическую и денситометрическую обработку пленки. Однако линии очень малой интенсивности визуально более успешно можно обнаружить при фотографической регистрации спектра.
Счетчик фиксирует интенсивность дифракции в узком угловом интервале в каждый момент времени. Дифракционная картина регистрируется не одновременно, как в фотометоде, а последовательно. Поэтому интенсивность первичного пучка должна быть стабильной во времени, а схема съемки - фокусирующей для увеличения интенсивности в каждой точке регистрации.
Основные части рентгеновского аппарата:
- рентгеновская трубка;
- генераторное устройство, обеспечивающее подачу на трубку выпрямленного высокого напряжения;
- система стабилизации напряжения на трубке, анодного тока и тока накала;
- питание цепей накала трубки и кенотрона;
- система охлаждения рентгеновской трубки;
- система регулирования, контроля и обеспечения безопасности работы;
- блок установки образцов (гониометр);
-блок регистрации спектров (самописец).
В дифрактометрах применяют фокусировку от плоского образца по методу Брэгга-Брентано, которая допускает вращение образца в собственной плоскости. Источник излучения F и щель Sсчетчика располагаются на окружности R, в центре которой находится плоский образец. При фокусировке плоскость образца касается фокусирующей окружности, для этого чего плоскость образца при =0 устанавливают вдоль первичного пучка, а при изменении положения счетчика поворачивают образец на угол , в два раза меньший угла поворота счетчика. Связь 1:2 между валами держателя образца и счетчика осуществляется с помощью зубчатой передачи. Источник излучения, лежащий на фокусирующей окружности, - проекция фокуса трубки. Расходимость первичного пучка в горизонтальной и вертикальных плоскостях ограничивается установкой сменных щелей.
Все детали, определяющие геометрию съемки, а также держатель образца и детектор устанавливают на гониометрическом устройстве. Держатель образца и счетчик приводят в движение синхронным электродвигателем для съемки рентгенограммы при помощи самописца. Скорость вращения образца и счетчика устанавливают с помощью редуктора. Для синхронизации лентопротяжного устройства с вращением образца и счетчика ( , 2) через заданные угловые интервалы из гониометра на самописец подаются сигналы (штрихи-отметчики). Держатель образца вставляют в специальную приставку, за счет которой во время съемки образец может вращаться относительно нормали к отражающей плоскости.
Интенсивность рентгеновских лучей, попадающих в счетчик, измеряется скоростью счета импульсов n = N/T, где N- число импульсов, зарегистрированных за время Т. Чем выше интенсивность или больше время измерения, тем выше точность. Мерой искажения профиля пиков служит произведение RC: RC - постоянная времени регистрирующего прибора. - скорость съемки. Получение точных значений углов 2 и максимально возможной светосилы достигается тщательной юстировкой прибора.
-излучение устраняют за счет применения соответствующих фильтров. При РФА съемка спектров производится на К-излучении.
Правильность работы дифрактометра определяют периодической съемкой спектров эталонного образца (например, порошок -кварца). При этом контролируют положение и интенсивность дифракционных пиков, а также уровень фона.
5. Приготовление образцов
Количество порошка фуллерена или фуллерено-содержащей сажи , необходимое для исследования на дифрактометре, - 0.3-0.5 г, размер частиц не должен превышать 1-5 мкм.Для других материалов необходимое количество вещества 3-5г. Измельчение порошка производится в агатовой или чугунной ступке.
В методе РФА поликристаллов используют плоский препарат. Это может быть:
- порошок, нанесенный на плоскость держателя;
- таблетка, спрессованная из порошка;
- срез массивного поликристаллического агрегата, например, металла (шлиф).
Поверхность образца должна быть строго параллельна каемке кюветы. Плоский образец может быть произвольной формы, но размером не менее 8х8 мм, должен вписываться в окружность диаметром 25 мм, толщина образца не должна превышать 10 мм. После приготовления образца путем механической обработки производят стравливание наклепанного слоя на глубину 0,15 - 0,2 мм химическим травлением.
Порошковый образец насыпают в рентгеновскую кювету и перемешивают с каким-либо связующим материалом. Можно использовать вазелин, но в очень малых количествах. Обычно готовят "кашицу" из порошка со спиртом, затем прессуют, чтобы порошок не высыпался из кюветы. За счет прессования в препарате может возникнуть нежелательная текстура по плоскостям спайности или граням кристаллитов, которая является помехой при измерении положения пиков. Следует помнить об этом при выравнивании поверхности порошка в кювете.
Если образец плоский, то его прикрепляют минимальным количеством пластилина по центру кюветы.
Для совмещения поверхности образца с плоскостью фокусировки рентгеновской трубки кювету с образцом привинчивают к держателю, находящемуся на гониометрическом устройстве. Вращение образца приводит к увеличению эффективного объема, участвующего в формировании дифракционной картины и уменьшению влияния текстуры.
6. Расчет порошковых рентгенограмм
На ленте самописца в дифрактометре фиксируется кривая зависимости интенсивности дифракционной картины от угла отражения 2 (рис. 13).


Рис. 13. Рентгеновский спектр фуллереносодержащей сажи и фуллерена С60
Расчет рентгенограммы состоит из следующих этапов:
1. Нумерация всех линий на рентгенограмме. Фиксируются линии, у которых отношение Iсигн/Iшум больше 2.
2. Определение в градусах 2 положения максимума интенсивности каждой линии. Например, положение в углах 2 максимума линии № 3 равно 73,55°. Положение пиков измеряют от ближайшего штриха с точностью Д=0.01°. Штрихи-отметчики автоматически фиксируются на рентгенограмме и указывают значение брэгговского угла 2. Большая величина Д может привести к значительным ошибкам в определении фазового состава образца.
3. Определение интенсивности I линий. I измеряется по линейке в мм, отсчет ведется от шумовой дорожки спектра.
4.Определение относительной интенсивности I/Iо линий. Интенсивность самого сильного пика принимают за 100, интенсивность остальных пиков оценивают в долях от него.
7. Качественный рентгеновский фазовый анализ
Каждая фаза обладает своей кристаллической решеткой и характеризуется только ей присущим набором межплоскостных расстояний d hkl ,которые определяются по формуле (4):
(5)
Рентгенограмма многофазной системы представляет собой результат наложения линий различных фаз. Определение фазового состава изучаемого вещества производят путем сравнения экспериментального набора значений 2 ,( dhkl l) и I/Iо, найденных из рентгеновских спектров, с табличными значениями dhkl и I/Iо , которые представлены в картотеке ASTM.
Вид информационной карты ASTM для графита
23-64
Международным союзом кристаллографов было принято, что две линии совпадают, если отвечающие им значения dhkl не отличаются друг от друга более, чем на 0.03 ангстрема. При проведении качественного РФА интенсивность используется как второй параметр.
Прежде чем приступить к поиску и идентификации фаз, нужно определить, с группой соединений какого элемента начать поиск. Для этого необходимо знать, с каким материалом проводят исследование, иметь данные о химическом составе, условиях получения, легирующих элементах, режиме термообработки и т.д.
Начальную информацию о состоянии вещества можно получить из внешнего вида рентгеновских спектров. Так, хорошо окристаллизованный и однородный по параметрам решетки материал дает узкие и высокие дифракционные пики, плохо окристаллизованный неоднородный материал - широкие и низкие. Рентгенограмма аморфного образца имеет характерный вид - это широкая линия (гало), угловая ширина 2 = 10-20° (рис. 14) Следует иметь в виду, что многофазные системы лучше снимать в "мягком" излучении, т.е. с большой длиной волны. При этом достигается максимальное разрешение линий на рентгенограмме.

Для установления типа фаз, присутствующих в исследуемой системе, из общего ряда полученных значений межплоскостных расстояний dhkl следует выделить ряды, характерные для каждой из фаз системы в отдельности, путем сопоставления их с табличными значениями. При этом должна сохраняться пропорциональность интенсивностей соответствующих линий (табличных и анализируемых для каждой фазы). Если же пропорциональность где-то нарушается, то это дает основание предположить возможность наложения линий различных фаз, что случается довольно часто. На величину интенсивности влияют также статистические флуктуации, вызванные крупными кристаллитами, текстура образца, дрейф аппарата и счетчика, абсорбционный фактор. Вопрос о влиянии того или иного фактора решается в каждом конкретном случае на основе анализа.
Поиск и идентификация фаз начинается с самой сильной линии рентгенограммы. Определив предположительно принадлежность ее к какой-то определенной фазе (по совпадению межплоскостного расстояния), определяют принадлежность к этой фазе других линий рентгенограммы путем сравнения с табличными данными. Анализ ведут по мере уменьшения интенсивности линии. Если межплоскостные расстояния совпадают и соотношения интенсивностей для исследуемой и табличной рентгенограмм пропорциональны, значит фаза идентифицирована верно. Точно так же поступают с остальными линиями рентгенограммы.
Вещество может быть принято в качестве вероятной фазы, если его наиболее сильные линии совпали с линиями образца. Различия в измеренных и табличных межплоскостных расстояниях (за пределами ошибки) могут быть следствием отклонения состава от стехиометрического, образованием твердого раствора на основе данного соединения и т.д. Допустимые в таких случаях различия между dhkl исследователь устанавливает на основе дополнительных данных или кристаллохимических расчетов.
Программа ДРОН позволяет проводить качественный РФА. Для этого в ЭВМ вносят значения 2и I всех линий рентгенограммы, длина волны, используемая при записи рентгенограммы, и химические элементы, которые обязательно входят или не могут не входить в состав образца и по которым нужно вести поиск кристаллических фаз.
Программа выдает список фаз, в котором присутствуют не только истинные фазы смеси, но и все фазы, спектры которых похожи на спектры фаз смеси, а также фазы, совпадающие с заданной точностью со спектром многофазного образца. Проводя анализ различных вариантов, полученных на ЭВМ, выбирают вариант максимального совпадения экспериментальных и табличных данных dhkl и I. Процедура фазового анализа считается законченной, если остаются не идентифицированными не более 2 - 3 линий.
Окончательное заключение о составе можно дать только с привлечением дополнительной информации.
II. ПОРЯДОК РАБОТЫ НА РЕНТГЕНОВСКОМ ДИФРАКТОМЕТРЕ ДРОН-З
Последовательность включения и выключения аппарата
1. Переключатели грубой регулировки высокого напряжения и тока трубки должны стоять в положении 1.
2. Ручки тонкой регулировки высокого напряжения и токов трубки вывернуть в крайнее левое положение.
3. Тумблер ограничения верхнего предела должен находиться в рабочем положении.
4. Нажать кнопку СЕТЬ на источнике питания и отрегулировать напор воды в системе водяного охлаждения до выключения звуковой сигнализации.
5. После включения лампочки ГОТОВ К ПУСКУ аппарат готов для включения высокого напряжения.
6. Поставить переключатель СЕТЬ на электронно-вычислительном устройстве УЭВУ-МТ-2 и на блоке автоматического режима в положение ВКЛ.
7. Установить режим работы трубки 50 KV и 49 mA .
8. Включить подсветку шкалы гониометра нажатием кнопки СЕТЬ.
9. Установить на стойке РЕЖИМ РАБОТЫ
- интегральный режим;
- уровень скорости счета;
- постоянную времени;
- скорость детектора;
- скорость движения диаграммной ленты;
- отметку через 1 град.
Работа в режиме НЕПРЕРЫВНОЙ ЗАПИСИ с отметкой
10. Включить аппарат. Прогреть 40 мин.
11. Включить тумблер СЕТЬ на потенциометре КСП-4.
12. Установить переключатель УПРАВЛЕНИЕ в положение РУЧНОЕ (кнопка нажата).
13. Установить метод измерения ПВ (постоянное время, кнопка в отжатом положении).
14. Установить режим измерения ДИАГРАММА переключателем на нанести БАУ.
15. Считать со шкалы ГУРа, набрать переключателем НАЧАЛЬНЫЙ, КОНЕЧНЫЙ УГОЛ и занести кнопкой ЗАПИСЬ в память значение начального угла. Должен загореться светодиод НАЧАЛЬНЫЙ УГОЛ. Проконтролировать занесенное значение по табло УЭВУ-М1-2, поставить переключатель КАНАЛ ИНДИКАЦИИ в положение 2.
16. Установить значение конечного угла на переключателе НАЧАЛЬНЫЙ, КОНЕЧНЫЙ УГОЛ, переключатель КАНАЛ ИНДИКАЦИИ поставить в положение 1.
17. Величина интервала отметки задается равной 0.1° или 1° на переключателе ШАГ В ГРАДУСАХ.
18. Для включения вращения образца в собственной плоскости нажать кнопку ПРИСТАВКА ВКЛ на БАУ. Вращение производить только во время измерения.
19. Перед нажатием кнопки ПУСК включить протяжку диаграммной ленты на КСП-4.
20. Нажать и отпустить кнопку СБРОС, а затем кнопку ПУСК.
21. Для измерения направления движения детектора необходимо использовать кнопку РЕВЕРС-ПРЯМО.
Работа в режиме ИНТЕГРАЛЬНЫЙ
22. Установить переключатель УПРАВЛЕНИЕ в положение РУЧНОЕ (кнопка нажата).
23. Установить метод измерения ПВ (кнопка в отжатом положении) или ПМ.
24. Установить необходимое число импульсов в зависимости от метода измерения.
25. Установить переключателем ШАГ В ГРАДУСАХ значение угла сканирования.
26. Включить вращение образца кнопкой ПРИСТАВКА ВКЛ на БАУ.
27. Нажать и отпустить СБРОС и ПУСК. Стойка должна отработать алгоритм.
Указания по технике безопасности
1. Получить инструктаж преподавателя о правилах техники безопасности при работе в рентгеновской лаборатории.
2. В помещении, где находится рентгеновский аппарат, не должно находиться одновременно свыше трех человек.
3. Перед установкой рентгеновской кюветы с образцом на гониометр необходимо убедиться, что окно рентгеновской трубки закрыто защитной шторкой.
4. Наблюдение за образцом вести через свинцовое окно.
5. Выполнять все указания руководителя съемкой.
Список литературы
- http://sibsauktf.ru/courses/fulleren/g2.htm
- ГОСТ «ДОБАВКИ АКТИВНЫЕ МИНЕРАЛЬНЫЕ ДЛЯ ЦЕМЕНТОВ»







