Разработка силового двухобмоточного трансформатора типа ТМ, применяемого на цеховых трансформаторных подстанциях в системах электроснабжения промышленных предприятий
СОДЕРЖАНИЕ
Задание на курсовое проектирование 3
Введение 4
Технические требования, предъявляемые к трансформаторам 5
Расчёт основных электрических величин 6
Расчёт основных размеров трансформатора 11
Расчёт обмотки НН 11
Расчёт обмотки ВН 14
Определение парметров короткого замыкания 18
Расчёт потерь и тока холостого хода 20
Оценка эксплуатационных свойств трансформатора 25
Заключение 36
Литература 37
ВВЕДЕНИЕ
Трансформатором называется статическое электромагнитное устройство, имеющее две или более индуктивно связанные обмотки и предназначенное для преобразования посредством электромагнитной индукции одной или нескольких систем переменного тока в одну или несколько других систем переменного тока.
Назначение силовых трансформаторов состоит в преобразовании электроэнергии в электрических сетях и установках, предназначенных для приема и использования электроэнергии.
Силовой трансформатор является одним из важнейших элементов современной электрической сети во многом определяющим эффективность ее работы. Коэффициент полезного действия трансформаторов достаточно велик и для большинства из них составляет 98-99 %. Однако, вследствие многократной трансформации электроэнергии и размещения в системах электроснабжения трансформаторов с общей мощностью, в несколько раз превышающей мощность генераторов, общие потери энергии во всем парке трансформаторов достигают существенных значений. Поэтому одной из важнейших задач, стоящих в настоящее время перед разработчиками трансформаторов, является задача существенного уменьшения потерь энергии, т.е. потерь холостого хода и короткого замыкания. Не менее актуальной является задача снижения стоимости разрабатываемых и изготовляемых трансформаторов, решаемая за счет выбора рациональной конструкции и экономии основных используемых материалов.
В курсовом проекте предусматривается разработка силового двухобмоточного трансформатора типа ТМ, применяемого на цеховых трансформаторных подстанциях в системах электроснабжения промышленных предприятий.
ТЕХНИЧЕСКИЕ ТРЕБОВАНИЯ, ПРЕДЪЯВЛЯЕМЫЕ К ПРОЕКТИРУЕМОМУ ТРАНСФОРМАТОРУ
В данном курсовом проекте требуется рассчитать силовой понижающий трансформатор, отвечающий всем требованиям
ГОСТ 11677-85 и ГОСТ 12022-76.
ТЕХНИЧЕСКИЕ ТРЕБОВАНИЯ ПО ГОСТ 11677-85
1. Потери холостого хода не должны превышать заданных более чем на +7,5%.
2. Ток холостого хода не должен превышать заданного более чем на +15%.
3. Потери короткого замыкания не должны превышать заданного значения более чем на +5%.
4. Напряжение короткого замыкания не должно отклоняться от заданного значения более чем на 5%.
5. Плотность тока в обмотках не должна превышать 3,5 МА/м2.
6. Механические напряжения в проводах должны быть меньше 60 МПа.
7. Ограничение превышение температуры частей трансформатора сверх температуры окружающей среды:
- Обмотки не более 65 0С,
- Масла в верхних слоях не более 60 0С.
-
РАСЧЕТ ОСНОВНЫХ ЭЛЕКТРИЧЕСКИХ ВЕЛИЧИН И ИЗОЛЯЦИОННЫХ РАССТОЯНИЙ
Расчет проводим для трехфазного трансформатора стержневого типа.
Весь расчет трансформатора ведется по методике, изложенной в [1].
Мощность одной фазы и одного стержня:

Номинальные (линейные) токи на сторонах:
ВН:

НН:

Выбираем схему и группу соединения обмоток Y/Y0-0. Данная схема предусмотрена стандартом и предназначена для трехфазных двухобмоточных трансформаторов. Фазные токи равны линейным.
Фазные напряжения обмоток при выбранной схеме соединения обмоток:
ВН:

НН:

Выбираем испытательные напряжения обмоток по таблице 4.1: для обмотки ВН Uисп = 35 кВ; для обмотки НН Uисп = 5 кВ.
Согласно рекомендациям §1.1, в целях экономии материла обмоток обычно выбирается алюминий. Для проектирования данного трансформатора выбирается материал обмоток медь для снижения потерь короткого замыкания.
По таблице 5.8 выбираем тип обмоток:
ВН при напряжении 10 кВ и токе 1,4 А цилиндрическая многослойная из круглого медного провода;
НН при напряжении 0,23 кВ и токе 62,8 А цилиндрическая одно- и двухслойная из прямоугольного медного провода.
Для испытательного напряжения обмотки ВН Uисп = 35 кВ по таблице 4.5 находим изоляционные расстояния: а12 = 27 мм, l02 = 20 мм; 12 = 2,5 мм; а22 = 8 мм; lц2 = 10 мм.
Для испытательного напряжения обмотки НН Uисп = 5 кВ по таблице 4.4 находим изоляционные расстояния: а01 = 5 мм; l01 = 15 мм; 01 = 2 мм.
Расположение главной изоляции обмоток ВН и НН представлено на рисунке 1.

Рисунок 1 Главная изоляция обмоток ВН и НН
Ширина приведенного канала рассеяния ар:

k = 0,63 по таблице 3.3.
Активная составляющая напряжения короткого замыкания:

Реактивная составляющая напряжения короткого замыкания:

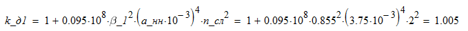
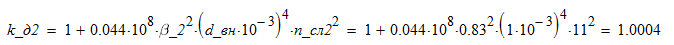
Согласно указаниям §2.3 выбираем трехфазную стержневую шихтованную магнитную систему с шестью косыми стыками. План шихтовки представлен на рисунке 2. Материал магнитной системы холоднокатаная текстурованная рулонная сталь марки 3405 толщиной 0,30 мм.

Рисунок 2 - План шихтовки магнитной системы
Индукция в стержне Вс = 1, 6 Тл согласно данным таблицы 2.4.
В сечении стержня шесть ступеней, коэффициент заполнения круга kкр = 0,89, согласно таблицы 2.5; изоляция пластин нагревостойкое изоляционное покрытие; коэффициент заполнения сечения стержня сталью kз = 0,96, по таблице 2.2.
Коэффициент заполнения сталью:

Ярмо многоступенчатое, число ступеней пять, коэффициент усиления ярма kя = 1,025, по таблице 2.8.
Индукция в ярме: Тл.
Число зазоров в магнитной системе: на косом стыке четыре, на прямом три. Индукция в зазоре на прямом стыке: Тл; на косом стыке Тл.
По таблице 8.10 удельные потери в стали: pс = 1,15 Вт/кг; pя =1,074 Вт/кг.
По таблице 8.17 удельные намагничивающие мощности: в стержнях qс = 1,526 ВА/кг; в ярмах qя = 1,383 ВА/кг; для зазоров на прямых стыках q//з = 19200 ВА/м2; на косых стыках q/з = 2100 ВА/м2.
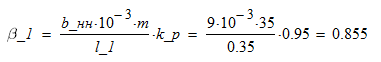
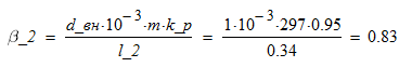
По таблице 3.6 находим коэффициент, учитывающий отношение основных потерь в обмотках к потерям короткого замыкания kд = 0,97 и по таблицам 3.4 и 3.5 постоянные коэффициенты для алюминиевых обмоток:

Принимаем коэффициент Роговского kр = 0,95 (коэффициент приведения идеализированного поля рассеяния к реальному).
2. РАСЧЕТ ОСНОВНЫХ КОЭФФИЦИЕНТОВ
По формулам (3.30), (3.36), (3.43), (3.44), (3.52), (3.65) находим коэффициенты:









В современных экономических условиях определяющими факторами оптимизации трансформаторов являются снижение относительной массы, уменьшение габаритов, затрат материалов и повышение энергетических показателей. Ввиду дороговизны всех используемых материалов минимальная стоимость активной части перестает быть адекватно-определяющим фактором, поэтому определение основных размеров трансформатора проведем по ускоренному методу.
По таблице 2.5 принимаем рекомендованный диаметр стержня d = 0,09 м.


Значение не лежит в рекомендованном пределе 1,2…3.
Значение можно регулировать только изменением диаметра стержня и индукции
Для трансформатора мощностью 25 кВА рекомендуемое значение диаметра стержня 0,09 м. При использовании большего диаметра, значение напряжения короткого замыкания получается очень большим и выходит из допустимых пределов. Значение индукции принято наибольшее из возможных для данной мощности. Таким образом данное значение является единственно возможным.
Масса стержней магнитной системы:

Масса ярм магнитной системы:

Масса магнитной системы:

Масса одного угла магнитной системы по формуле (3.45):

Активное сечение стержня по формуле (3.59):

Площадь зазора: на прямом стыке
на косом стыке

Для выбранной магнитной системы (рисунок 2) потери холостого хода по формуле (8.33):



Потери холостого хода, рассчитанные предварительно, получились меньше заданных (125 Вт), что удовлетворяет техническим требованиям, предъявляемым к трансформаторам (расчётные потери холостого хода не должны превышать заданные, боле чем на 7,5%).
Намагничивающая мощность по формуле (8.44):




Ток холостого хода:

Расчётное значение тока холостого хода получился меньше заданного (3,2%), что удовлетворяет техническим требованиям, предъявляемым к трансформаторам (расчётное значение тока холостого хода не должно превышать заданное, более чем на 15%).
Рассчитанные по предварительным формулам ток холостого хода и мощность холостого хода лежат в допустимых пределах, предъявляемых к трансформаторам.
Плотность тока:

где масса металла обмоток

Механические напряжения в обмотках:

что меньше 25 МПа.
3. РАСЧЕТ ОСНОВНЫХ РАЗМЕРОВ ТРАНСФОРМАТОРА
Диаметр стержня м.
Активное сечение стержня

Средний диаметр обмоток

Высота обмоток

Высота стержня

Расстояние между стержнями

Электродвижущая сила одного витка

ВЫВОД: выбраны материалы магнитной системы и обмоток, произведен выбор диаметра стержня магнитной системы и расчет основных размеров трансформатора.
Предварительные расчетные значения потерь и тока холостого хода удовлетворяют техническим требованиям, предъявляемым к трансформаторам.
4. РАСЧЕТ ОБМОТКИ НН
Число витков на одну фазу обмотки НН

Принимаем витков. Данное значение принимается для обеспечения напряжения КЗ в заданных пределах.
Уточняем:
- напряжение одного витка

- действительную индукцию в стержне

Значение индукции находиться в заданном пределе Вс = 1,55…1,6 Тл по таблице 2.4.
Средняя плотность тока в обмотках по формуле 5.4

Данное значение плотности тока не удовлетворяет рекомендованному интервалу таблицы 5.7.
Для соответствия требованиям таблицы 5.7 и обеспечения значения потерь короткого замыкания в допустимых пределах снизим среднюю плотность тока в обмотках. Принимаем:

Сечение витка ориентировочно

По таблице 5.8 по мощности 25 кВА, току на один стержень 62,755 А, номинальному напряжению обмотки 230 В и сечению витка подтверждаем выбор конструкции цилиндрической двухслойной обмотки из прямоугольного медного провода. Обмотку НН принимаем из двух слоев. Тогда число витков в одном слое

Ориентировочный осевой размер витка

где м.
Выбирается способ намотки плашмя.
Принимается число параллельных проводов, равное 1, т.е. nв1 = 1.
По полученным ориентировочным значениям П/в1 и b по таблице 5.2 подбираем сечение витка из одного провода с сечением элементарного проводника П//1 = 32,9 мм2. Эскиз витка обмотки НН приведен на рисунке 3.

Рисунок 3 - Сечение витка обмотки НН
Полное сечение витка

Плотность тока

Отличие от среднего значения тока

Высота обмотки

Радиальный размер обмотки


Внутренний диаметр обмотки

Внешний диаметр обмотки

Поверхность охлаждения

Масса металла обмотки

где

Коэффициент добавочных потерь

где


Плотность теплового потока на поверхности обмотки по формуле (7.19)

где потери основные

Масса провода по таблице 5.5

Плотность теплового потока q1 = 171,638 Вт/м2 не превышает предельно допустимое значение, равное 1200Вт/м2.
Вывод: Для уменьшения напряжения короткого замыкания длина обмотки была увеличена на (0,35/0,3251)*100 = 8%, что является допустимым при коррекции напряжения короткого замыкания /2, стр. 25/.
5. РАСЧЕТ ОБМОТКИ ВН
Выбираем схему регулирования по рисунку 4 [1] с выводом концов всех трех фаз обмотки к одному трехфазному переключателю. Контакты переключателя рассчитываются на рабочий ток 1,4 А. Наибольшее напряжение между контактами переключателя в одной фазе: рабочее 10/3%U2, т.е. 577 В; испытательное 210/3%U2, т.е. 1544 В.

Рисунок 4 Схема регулирования напряжения обмотки ВН
Число витков в обмотке ВН при номинальном напряжении

Принимается число витков

Число витков на одной ступени регулирования

где В.
Для пяти ступеней:
Напряжение, В Число витков на ответвлениях
Ориентировочная плотность тока

Ориентировочное сечение витка

По таблице 5.8 подтверждаем выбор цилиндрической многослойной обмотки из круглого медного провода.
Так как по таблице 5.1 /1/ минимальный сортамент обмоточного провода марки ПБ равен 1.18 мм с сечением 1,094 мм2, то выбирается провод марки ПБО (провод медный изолирован одним слоем хлопчатобумажной пряжи; выпускаются диаметрами 0,20,1 /3/). По ориентировочному сечению витка по таблице /4, табл. В/ выбирается круглый провод с сечение 0,785 мм2. При диаметре провода марки ПБО диметром 11,45 мм, двухсторонняя изоляция равна 0,14 мм /4, табл. Б/.
При использовании алюминиевого провода ориентировочное сечение витка получается несколько выше, но алюминиевые провода выпускаются больших диаметров, чем медные. Таким образом, в данном случае при использовании алюминиевого провода плотность тока в обмотке ВН будет очень низкой.

Рисунок 5 Сечение витка
Число параллельных проводов nв2 = 1, мм2.
Полное сечение витка определяется по формуле

Плотность тока в обмотке ВН

Отличие от среднего значения плотности тока

что является допустимым (не более 10%)
Высота обмотки

Число витков в слое

принимается

Число слоёв в обмотке

Число слоёв в обмотке округляется до ближайшего большего значения, т.е. nсл2 = 11.
Определяется рабочее напряжение двух слоёв

Междуслойная изоляция по таблице 4.7 кабельная бумага марки К-120 по ГОСТ23436-83Е, 2 слоя, выступ изоляции 10 мм с каждого торца обмотки.
Общая толщина междуслойной изоляции мм.
Обмотки наматываются в 10 слоев. Всего 1919 витков. Обмотка разделяется на две концентрические катушки внутреннюю (не более 1/3…2/5) В в 3 слоя и внешнюю Г в 7 слоев. Между катушками осевой охлаждающий канал шириной 5 мм.
Радиальный размер обмотки

Внутренний диаметр обмотки

Внешний диаметр обмотки

Масса металла обмотки

где

Основные потери

Коэффициент добавочных потерь

где


Плотность теплового потока на поверхности обмотки по формуле (7.19)

меньше 1200 Вт/м2.
Поверхность охлаждения

Масса провода по таблице 5.4

Масса металла двух обмоток

Масса провода двух обмоток

ВЫВОД: окончательно выбрали конструкции обмоток НН и ВН, подобрали сечения проводов и оценили тепловое состояние спроектированных обмоток. У обеих обмоток расчетные значения плотностей теплового потока не превышают предельно допустимого значения в 1200 Вт/м2, значит обмотки спроектированы верно.
6. РАСЧЕТ ПАРАМЕТРОВ КОРОТКОГО ЗАМЫКАНИЯ
Потери короткого замыкания определяются согласно §7.1. Основные потери, рассчитанные ранее.
Основные потери в отводах. Длина отводов определяется приближенно по формуле (7.21)


Масса отводов НН

Потери в отводах НН

Масса отводов ВН

Потери в отводах ВН

Потери в стенках бака и других элементах конструкции определяем приближенно по формуле (7.25)

Полные потери короткого замыкания


Расчётные значения потерь короткого замыкания получились меньше заданных (600 Вт), что удовлетворяет техническим требованиям, предъявляемым к трансформаторам (расчётные значения потерь короткого замыкания не должны превышать заданные более, чем на 5%).
Напряжение короткого замыкания рассчитывается согласно §7.2.
Активная составляющая

Реактивная составляющая по формуле (7.32)

где





Напряжение короткого замыкания

Отличие от заданного значения напряжения короткого замыкания

Расчетное значение напряжения короткого замыкания отличается от заданного на 1,76% что удовлетворяет техническим требованиям, предъявляемым к трансформаторам (расчётное значение напряжения короткого замыкания не должно отличаться от заданного более чем на ±5%).
Расчётные значения потерь короткого замыкания и напряжения короткого замыкания находятся в допустимых пределах, поэтому можно сделать вывод о правильности выполненных решений.
7. РАСЧЕТ ПОТЕРЬ И ТОКА ХОЛОСТОГО ХОДА
Для расчета потерь и тока холостого хода нужны уточненные массы стали, которые определяются согласно §8.2, 8.3.
Принята конструкция трехфазной плоской шихтованной магнитной системы, собираемой из пластин холоднокатаной текстурованной стали марки 3404 толщиной 0,30 мм. Стержни магнитной системы скрепляются бандажами из стеклоленты, ярма прессуются ярмовыми балками. Размеры пакетов выбираются по таблице 8.3 для стержня диаметром d = 0,09 м без прессующей пластины. Число ступеней в сечении стержня 5, в сечении ярма 4. Сечение стержня, ярма и основные размеры магнитной системы приведены на рисунке 6.
Выбирается шихтовка магнитной системы по рисунку 2.17 в (сочетание косых стыков с комбинированными).



Рисунок 6 а) сечение стержня и ярма; б) основные размеры магнитной системы.
Общая толщина пакетов стержня (ширина ярма)
м.
Площадь ступенчатой фигуры определяется по таблице 8.7
- стержня

- ярма

Объем угла магнитной системы

Активное сечение стержня

Активное сечение ярма

Объем угла стали магнитной системы

где kз коэффициент заполнения сечения стержня сталью.
Длина стержня

Расстояние между осями стержней

Масса стали стержней

где



Масса стали ярм

где


Общая масса стали

Индукция в стержне

Значение индукции находиться в заданном пределе Вс = 1,55…1,6 Тл по таблице 2.4.
Индукция в ярме

Индукция на косом стыке

Площади сечения немагнитных зазоров на прямом стыке среднего стержня равны соответственно активным сечениям стержня и ярма.
Площадь сечения стержня на косом стыке

Удельные потери для стержней, ярм и стыков по таблице 8.10 для стали марки 3404 толщиной 0,30 мм при шихтовке в две пластины (для упрощения технологии изготовления):
при Вс = 1,57 Тл с = 1,112 Вт/кг; з = 630 Вт/м2;
при Вя = 1,53 Тл я = 1,038 Вт/кг; з = 600 Вт/м2;
при Вкос = 1,1 Тл кос = 430 Вт/м2.
Выбирается магнитная система с шестью косыми стыками. Для плоской магнитной с многоступенчатым ярмом, без отверстий для шпилек, с отжигом пластин после резки стали и с удалением заусенцев для определения потерь холостого хода принимаем формулу.
На основании таблицы 8.12 принимаем:
kп,р = 1,05 коэффициент, учитывающий влияние техпроцесса резки;
kп,з = 1 коэффициент, учитывающий удаление заусенцев;
kп,я = 1 коэффициент, учитывающий форму сечения ярма;
kп,п = 1,03 коэффициент, учитывающий влияние прессовки;
kп,ш = 1,01 коэффициент, учитывающий перешихтовку верхнего ярма остова при установке обмоток.
По таблице 8.13 находим коэффициент kп,у = 8,85, учитывающий общее увеличение удельных потерь в углах магнитной системы.
Потери холостого хода


Отклонение от заданного значения потерь холостого хода

Расчётное значение потерь холостого хода получилось больше заданного на 3,73%, что удовлетворяет техническим требованиям, предъявляемым к трансформаторам (расчётное значение потерь холостого хода не должно превышать заданное более, чем на 7,5%).
Удельные намагничивающие мощности находим по таблице 8.17:
при Вс = 1,57 Тл qс = 1,449 ВA/кг; qс,з = 18000 ВА/м2;
при Вя = 1,53 Тл qя = 1,321 ВA/кг; qя,з = 15720 ВА/м2;
при Вкос = 1,1 Тл qкос = 3700 ВА/м2.
Для принятой конструкции магнитной системы и технологии ее изготовления используем формулу (8.43). Согласно таблицам 8.12 и 8.21 принимаем коэффициенты:
kт,р = 1,18 коэффициент, учитывающий влияние резки полосы рулона на пластины;
kт,з = 1 коэффициент, учитывающий влияние срезания заусенцев;
kт,пл = 1,5 коэффициент, учитывающий ширину пластин в углах магнитной системы;
kт,я = 1 коэффициент, учитывающий форму сечения ярма;
kт,п = 1,045 коэффициент, учитывающий прессовку магнитной системы;
т,ш = 1,01 коэффициент, учитывающий перешихтовку верхнего ярма.
По таблице 8.20 находим коэффициент kт,у = 27,95 - учитывающий форму стыков в стержнях магнитной системы.
Намагничивающая мощность холостого хода


Ток холостого хода

Расчётное значение тока холостого хода получилось меньше заданного (3,2%), что удовлетворяет техническим требованиям, предъявляемым к трансформаторам (расчётное значение тока холостого хода не должно превышать заданного, более чем на 15%).
ВЫВОД: Расчётные значения тока холостого хода и потерь холостого хода лежат в допустимых пределах, поэтому можно сделать вывод о правильности выполненных решений.
8. ОЦЕНКА ЭКСПЛУАТАЦИОННЫХ СВОЙСТВ ТРАНСФОРМАТОРОВ
8.1. ВНЕШНИЕ ХАРАКТЕРИСТИКИ ТРАНСФОРМАТОРА
Зависимости UНН=f(kнг), рассчитываем при питании обмотки ВН понижающего трансформатора номинальным напряжением, номинальной частоты при изменении величины симметричной нагрузки и заданном значении cos2=const активно-индуктивной и активно-емкостной нагрузок.
Согласно заданному варианту при активно-индуктивной нагрузке cos2=0,7 и при активно-емкостной нагрузке cos(-2)=0,8.
При коэффициенте нагрузки трансформатора kнг = 1,0:
- для активно-индуктивной нагрузки изменение напряжения трансформатора

где uа, uр расчетные значения активной и реактивной составляющих напряжения короткого замыкания, %;
при cos2 = 0,7; sin2 = 1-cos22 = 1-0,72 = 0,714.
Фазное (линейное) напряжение обмотки НН

- для активно-емкостной нагрузки изменение напряжения трансформатора

где при cos(-2) = 0,8 => sin(-2) = - 1-cos(-2)2 = - 1-0,82 = -0,6.
Фазное (линейное) напряжение обмотки НН

Результаты расчета значения kнг=01,25 обоих характеров нагрузки приведены в таблице1.
Таблица 1 Результаты расчетов внешних характеристик трансформатора
|
kнг |
0 |
0,25 |
0,50 |
0,75 |
1,00 |
1,25 |
|
|
Активно-индуктивная сos2 = 0,7 |
U,% |
0.000 |
1.068 |
2.136 |
3.204 |
4.272 |
5.340 |
|
UНН,% |
100.000 |
98.932 |
97.864 |
96.796 |
95.728 |
94.660 |
|
|
Активно-емкостная сos(-2) = 0,8 |
U,% |
0.000 |
-0.142 |
-0.283 |
-0.425 |
-0.567 |
-0.709 |
|
UНН,% |
100.000 |
100.142 |
100.283 |
100.425 |
100.567 |
100.709 |
По результатам расчетов построим внешние характеристики трансформатора в одних осях координат (рисунок 7).

Рисунок 7 - Внешние характеристики трансформатора
ВЫВОД: изменение вторичного напряжения U зависит от величины нагрузки и от характера этой нагрузки. Отрицательные значения U при работе трансформатора с емкостной нагрузкой соответствует повышению напряжения с увеличением коэффициента нагрузки. Наибольшее изменение напряжения U = 4,272 % соответствует активно-индуктивной нагрузке при cos2 = 0,7 и коэффициенту нагрузки kнг = 1, т.к. длительная перегрузка трансформатора недопустима.
8.2. ЗАВИСИМОСТИ U=f(2)
Зависимости отклонения напряжения на клеммах вторичной обмотки от характера нагрузки при симметричной нагрузке двух заданных величин - U=f(2), рассчитываем при питании со стороны обмотки ВН номинальным напряжением номинальной частоты. Трансформатор работает при симметричной нагрузке неизменной величины. Расчет ведем для двух значений коэффициента нагрузки kнг = 0,5; 1,0.
При коэффициенте нагрузки трансформатора kнг = 0,5:
- при угле 2 = -300 < 0; cos2 = 0,866, sin2 = -0,5

- при угле 2 = 300 > 0; cos2 = 0,866, sin2 = 0,5

Результаты расчетов приведены в таблице 2.
Таблица 2 Результаты расчетов зависимостей U=f(2)
|
U=f(2) |
|||||||
|
2, град |
-90 |
-75 |
-60 |
-45 |
-30 |
-15 |
0 |
|
kнг = 0,5 |
-1.924 |
-1.576 |
-1.122 |
-0.591 |
-0.019 |
0.554 |
1.089 |
|
kнг = 1,0 |
-3.848 |
-3.153 |
-2.244 |
-1.181 |
-0.038 |
1.107 |
2.177 |
|
2, град |
90 |
75 |
60 |
45 |
30 |
15 |
0 |
|
kнг = 0,5 |
1.924 |
2.14 |
2.21 |
2.13 |
1.905 |
1.549 |
1.089 |
|
kнг = 1,0 |
3.848 |
4.28 |
4.421 |
4.26 |
3.809 |
3.099 |
2.177 |
По результатам расчетов построим зависимости U=f(2) в одних осях координат (рисунок 8).

Рисунок 8 - Зависимости U = f(2)
ВЫВОДЫ: При 2 > 0 зависимости U = f(2) соответствуют смешанной активно-индуктивной нагрузке, а при 2 < 0 активно-емкостной. При активно-индуктивной нагрузке вторичное напряжение трансформатора падает, а в случае активно-емкостной нагрузки при 2>0 оно повышается. Это обусловлено тем, что при протекании через индуктивное сопротивление индуктивный ток вызывает понижение напряжения, а емкостной ток повышение.
8.3. ЗАВИСИМОСТИ =f(kнг)
Зависимости коэффициента полезного действия от величины симметричной нагрузки рассчитываем при питании со стороны обмотки ВН номинальным напряжение номинальной частоты, при заданном коэффициенте мощности (cos2 = const) активно-индуктивного и активно-емкостного характера нагрузки.
Согласно заданному варианту при активно-индуктивной нагрузке cos2 = 0,7 и при активно-емкостной нагрузке cos(-2) = 0,8.
Трансформатор работает с максимальным коэффициентом полезного действия при коэффициенте нагрузки

Коэффициент полезного действия определяем по формуле
,
где Рх расчетное значение потерь холостого хода, кВт;
Рк расчетное значение потерь короткого замыкания, кВт.
Рассчитаем максимальное значение коэффициента полезного действия при kнг = 0,487
- активно-индуктивная нагрузка


- активно-емкостная нагрузка


Результаты расчетов приведены в таблице 3.
Таблица 3 Результаты расчетов зависимостей = f(kнг)
|
kнг |
0 |
0,25 |
0,488 |
0,50 |
0,75 |
1,00 |
1,25 |
|
|
активно-индуктивная нагрузка cos2 = 0,7 |
Рх, кВт |
0.130 |
0.130 |
0.130 |
0.130 |
0.130 |
0.130 |
0.130 |
|
kнг2Рк |
0.000 |
0.034 |
0.130 |
0.136 |
0.306 |
0.544 |
0.850 |
|
|
kнгSнсos2 |
0.000 |
4.375 |
8.542 |
8.750 |
13.125 |
17.500 |
21.875 |
|
|
,о.е. |
0.000 |
0.964 |
0.971 |
0.971 |
0.968 |
0.963 |
0.957 |
|
|
активно-емкостная нагрузка cos(-2) = 0,8 |
Рх, кВт |
0.130 |
0.130 |
0.130 |
0.130 |
0.130 |
0.130 |
0.130 |
|
kнг2Рк |
0.000 |
0.034 |
0.130 |
0.136 |
0.306 |
0.544 |
0.850 |
|
|
kнгSнсos2 |
0.000 |
5.000 |
9.762 |
10.000 |
15.000 |
20.000 |
25.000 |
|
|
,о.е. |
0.000 |
0.968 |
0.974 |
0.974 |
0.972 |
0.967 |
0.962 |
По результатам расчетов построим зависимости =f(kнг) в одних осях координат (рисунок 9).

Рисунок 9 - Зависимости = f(kнг)
Для большей наглядности, построим второй график.

Рисунок 9 - Зависимости = f(kнг)
ВЫВОД: Коэффициент полезного действия трансформатора зависит от величины и от характера нагрузки. Чем больше активная составляющая нагрузки, тем больше коэффициент полезного действия. Максимальное значение коэффициента полезного действия соответствует коэффициенту нагрузки kнг = 0,488.
8.4. ПАРАЛЛЕЛЬНАЯ РАБОТА ДВУХ ТРАНСФОРМАТОРОВ
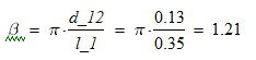
Нагруженность уравнительным током двух одинаковых трансформаторов одинаковой мощности при параллельной работе оценим при заданном характере нагрузки (cos2 = 0,7 = const) для двух случаев: когда один из трансформаторов включен на ответвление обмотки ВН, соответствующее номинальному коэффициенту трансформации, а другой на два из остальных четырех ответвлений + 2,5% и + 5%.
Т.е. коэффициенты трансформации будут отличаться на + 2,5% и + 5%.
Коэффициент трансформации первого трансформатора равен отношению числа витков обмотки высокого напряжения к числу витков обмотки низкого напряжения

Тогда если k1 = k, то k2 = 1,025k и 1,05k.
Рассчитаем параметры схемы замещения короткого замыкания:
Полное сопротивление короткого замыкания

где uк расчетное значение напряжения короткого замыкания, %;
UфВН фазное напряжение обмотки ВН, В;
IВН номинальное значение фазного тока обмотки ВН, А.
Активное сопротивление короткого замыкания

где Рк расчетное значение потерь короткого замыкания, Вт.
Индуктивное сопротивление короткого замыкания

Фазовый угол уравнительного тока относительно U

Угол нагрузки о.
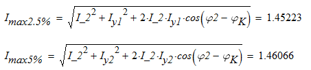
При параллельной работе двух трансформаторов одинаковой мощности, когда второй трансформатор включен на ответвление + 2,5%, уравнительный ток равен
А.
При параллельной работе двух трансформаторов одинаковой мощности, когда второй трансформатор включен на ответвление + 5,0%, уравнительный ток равен
А.
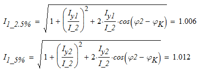
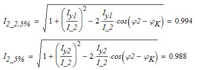
Уравнительный ток дополнительно нагружает трансформатор с меньшим коэффициентом трансформации

Трансформатор с большим коэффициентом трансформации разгружает

Определяем меру нагруженности трансформаторов при наличии уравнительного тока по следующим выражениям:


ВЫВОД: Степень нагруженности позволяет обосновать уменьшение нагрузки трансформатора на 0,006 о.е. при различии коэффициентов трансформации на 2,5% и на 0,012 о.е. при различии коэффициентов трансформации на 5%, чтобы первый трансформатор работал при номинальной нагрузке, т.к. он нагружен больше.
8.5. ДОПУСТИМАЯ НАГРУЗКА ТРАНСФОРМАТОРА ПРИ ПАРАЛЛЕЛЬНОЙ РАБОТЕ
Допустимую нагрузку трансформатора при параллельной работе с другим трансформатором предельно допустимой большей мощности рассчитаем при заданном характере нагрузки (cos2 = 0,7).
ГОСТом допускается включение на параллельную работу трансформаторы, отличающиеся по номинальной мощности не более чем в 3 раза. Тогда номинальные мощности трансформаторов кВА; кВА.
% табличное значение напряжения короткого замыкания трансформатора предельной мощности.
Если uк1 uк2, то при повышении нагрузки трансформатор с наименьшим напряжением короткого замыкания первым достигнет номинальной мощности.
Нагрузка каждого из параллельно работающих трансформаторов



ВЫВОД: Наибольшее значение из Si* позволяет обосновать уменьшение суммарной нагрузки трансформаторов на конкретную величину, равную 0.319 кВА для исключения перегрузки самого нагруженного трансформатора.
ЗАКЛЮЧЕНИЕ
В курсовом проекте произведен расчет активной части силового трансформатора типа ТМ. Разработанная активная часть имеет магнитопровод стержневой конструкции, набранный из листов холоднокатаной электротехнической стали марки 3405 с толщиной листа 0,3 мм.
В качестве проводникового материала в обмотках использована медь. Конструктивное исполнение обмоток: НН цилиндрическая двухслойная из прямоугольного провода; ВН цилиндрическая многослойная из круглого провода. Для изготовления активной части необходимо 93,425 кг электротехнической стали и 60,421 кг меди.
Расчетные значения потерь короткого замыкания Рк = 544,27 Вт и холостого хода Рх = 129,662 Вт получились в пределах, требуемых ГОСТом.
Расчётное значение потерь короткого замыкания не должно превышать +5 % от заданного значения (Pкз = 600 Вт).
Расчётное значение потерь холостого хода не должно превышать +7,5 % от заданного значения (Pхх = 125 Вт).
Полученные величины потерь можно считать удовлетворительными, так как зависящие от них параметры трансформатора находятся в допустимых пределах:
- плотность теплового потока на поверхности обмоток q1 = 171,638 Вт/м2 и q2 = 228,248 Вт/м2 не превышает допустимого для трансформаторов с естественным масляным охлаждением интервала Вт/м2;
Расчетный ток холостого тока Iх меньше заданного значения, является допустимым. Расчетное значение напряжения короткого замыкания Uк = 4,421% меньше заданного Uкз = 4,5% на 1,76%, что не превышает допустимого отклонения .
Приведенный выше анализ результатов расчета позволяет сделать вывод о том, что разработанная активная часть трансформатора удовлетворяет заданным техническим условиям и требованиям ГОСТ.
СПИСОК ИСПОЛЬЗОВАННОЙ ЛИТЕРАТУРЫ
1. Тихомиров П. М. Расчет трансформаторов: Учеб. Пособие для ВУЗов 6е изд., стереотипное. Издательский дом Альянс, 2009. 528с.: ил.
2. Расчет активной части и оценка эксплуатационных свойств силового трансформатора: учебное пособие / В. М. Игнатович, Т. В. Усачева; Томский политехнический университет. Томск: Изд-во Томского политехнического университета, 2011. 84с.
3. http://forca.ru/knigi/arhivy/elektrotehnicheskie-materialy-dlya-remonta-elektricheskih-mashin-i-transformatorov-11.html
4. http://www.induction.ru/library/book_008/pril.html
PAGE 42
Разработка силового двухобмоточного трансформатора типа ТМ, применяемого на цеховых трансформаторных подстанциях в системах электроснабжения промышленных предприятий