Расчет радиотехнического устройства (передатчика)
PAGE \* MERGEFORMAT 2
Содержание:
Введение………………………………………………………………………3
Структурная схема устройства……………………………………………....4
Расчет мощности структурной схемы……………………………………….4
Частотный план структурной схемы………………………………………...5
Работа с Simulink……………………………………………………………...6
Усилитель звуковых частот………………………………………………..…11
Генератор опорной частоты…………………………………………...……..13
Балансный модулятор №1…………..……….……………………………….16
Полосовой фильтр №1……………………………………………………..…17
Балансный модулятор №2………………………………………...………….17
Генератор несущей частоты……………………………………………….…18
Полосовой фильтр №2………………………………………………………..21
Усилитель мощности…………………………………………………………22
Трансформатор………………………………………………………………..34
Принципиальная схема……………………………………………………….35
Заключение…………………………………………………………………….36
Использованная литература…………………………………………………..37
Введение
Основная цель работы получение необходимых навыков практического расчета радиотехнического устройства (передатчика), обобщение полученных теоретических навыков и формализация методов расчета отдельных компонентов электрических схем.
Передатчики используются во всех областях современной техники и народного хозяйства: в автомобилях, самолетах, диспетчерских станциях и т.д. Передатчики так же активно проектируются начинающими радиотехниками, как одно из простых, но в то же время очень эффективных устройств.
Рассматривается в рамках работы амплитудная модуляция с одной боковой полосой, особенностью которой является то, что без всякого ущерба для передаваемой информации можно исключить из спектра сигнала несущую и одну из боковых полос, и расходовать всю мощность передатчика для излучения только информативного сигнала. Сигнал с однополосной модуляцией занимает в радиоэфире полосу частот вдвое уже, чем амплитудно-модулированный, что позволяет более эффективно использовать частотный ресурс и повысить дальность связи. Кроме того, когда на близких частотах работают несколько станций с ОМ, они не создают друг другу помех в виде биений, что происходит при применении амплитудной модуляции с неподавленной несущей частотой.
Устройство, рассматриваемое в данной работе, может широко применяться на практике.
Основаня часть.
Выбор структурной схемы передатчика.

Рис.1 Структурная схема передатчика.
Где М микрофон,
УЗЧ усилитель звуковых частот,
БМ балансный модулятор,
ГОЧ генератор опорной частоты,
ПФ полосовой фильтр,
ГНЧ генератор несущей частоты,
УМ усилитель мощности,
А антенна.
Расчет мощности структурной схемы.

Рис.2 Структурная схема мощностей
Мною было принято решение поэтапного усиления сигнала с помощью трехкаскадного усилителя мощности. Согласно техническому заданию, необходимо обеспечить мощность передачи 50 Вт, а так же оговорено, что КПД антенны 60%. Значит, минимальная необходимая мощность оконечного каскада должна быть равна:
Рок.каск=Рвых/
Рок.каск=50Вт/0.6=84,3Вт
Для обеспечения надежности и защиты транзистора от работы на максимальном уровне, что приводит к выходу его из строя, я решил установить запас выходной мощности, т.е.:
Рок.каск=97,4Вт.
Построение частотного плана структурной схемы

Рис.3 Частотный план структурной схемы.
С микрофона полезный сигнал (речь) шириной спектра 3кГц подается на балансный модулятор, в котором происходит смешивание ее с частотой генератора опорной частоты, который генерирует стабильную частоту в 500кГц. Спектр полученного сигнала, после модуляции, переместится на 500 кГц, где займет полосу от 500кГц до 503кГц. После этого сигнал подается на полосовой фильтр, где будет подавлена нижняя боковая и несущая частоты. Сигнал подается на второй балансный модулятор, где происходит перенос спектра в полосу (7,0-7,1)МГц, после этого сигнал фильтруется полосовым фильтром, где подавляются нижняя боковая и несущая частоты, сигнал подается на усилитель мощности и транслируется в эфир с помощью антенны.
Построение структурной схемы в пакете Simulink.
С помощью встроенного в Matlab приложения Simulink была построена структурная схема передатчика для проверки правильности построенного в разделе 2.3 частотного плана передатчика. Во время проектирования из структурной схемы были исключены усилитель мощности и антенна.

Рис.4 Структурная схема в Simulink.
На схеме обозначены, генераторы Sin Wave 1 - генератор, имитирующий человеческую речь, Sin Wave 2 генератор опорной частоты, Sin Wave 3 генератор несущей частоты.
Примечание: в Sin Wave 3 рассматривается генератор одной частоты, без перестройки, т.к. задача этой части работы - понимание процесса модуляции и проверка правильности выбора частот и порядка блоков.
Выбранные параметры генераторов:
Sin Wave 1 частота 3кГц;
Sin Wave 2 частота 500кГц;
Sin Wave 3 частота 6,5МГц.
Product 1 и Product 2 перемножители, выполняющие функцию балансных модуляторов.
Analog Filter Design 1 и 2 полосовые фильтры, для выделения верхней боковой частоты.
Выбранные параметры фильтров:
Analog Filter Design 1 полоса пропускания (500-503)кГц, порядок - 2.
Analog Filter Design 2 полоса пропускания (7,0-7,1)МГц, порядок 2.
Параметры модуляции:
Длительность модуляции 10 периодов сигнала,
Максимальная длительность шага модуляции 10-7 секунд.
Примечание: под термином «модуляция» понимается не процесс модуляции в понимании радиотехники, а как процесс имитации прохождения сигнала в программе Simulink.
Установив все необходимые параметры, запускаем процесс модуляции. Результаты модуляции представлены на рисунке ниже:

Рис.5 Результат модуляции
На рисунке представлено 3 осциллограммы.
Первая осциллограмма исходный сигнал, генерируемый генератором Sin Wave 1 (полезный сигнал).
Вторая осциллограмма сигнал, снятый осциллографом после балансной модуляции.
Третья осциллограмма сигнал, подаваемый на антенну для трансляции.
Для проверки правильности схемы можно собрать детектор, который восстанавливает несущую частоту. Этот детектор представляет собой балансный модулятор, ФНЧ, настроенный на частоту 3кГц и генератор гармонического колебания в 7Мгц.
Примечание: выбирается значение 7МГц, т.к. в генераторе несущей частоты мы выбрали фиксированное значение частоты в 6,5МГц.
С выхода полосового фильтра подается сигнал на балансный модулятор (перемножитель), где он смешивается с сигналом восстановленной несущей, далее сигнал подается на ФНЧ и восстанавливается изначальный информационный сигнал. Схема устройства представлена ниже.

Рис.6 Структурная схема передатчика с детектором.
Запустив процесс модуляции, получаем:

Рис.7 Осциллограммы с детектором.
На четвертой осциллограмме видно, что после детектирования мы получили тот же самый информационный сигнал, что означает, что структурная схема была построена правильно и частоты генераторов выбраны тоже верно. Не мгновенное получение исходного сигнала обусловлено тем, что в фильтрах происходят переходные процессы, во время которых амплитуда сигнала не может установиться мгновенно.
Выбор усилителя звуковых частот.
С внешнего микрофона речевой сигнал подается в устройство.
В техническом задании установлено значение ширины передаваемого спектра информационного сигнала в 3 кГц (100 Гц-3100Гц). Мною для компактности и простоты проектирования схемы был выбран усилитель звуковых частот на двух микросхемах («Аналоговые интегральные схемы» Справочник А.Л.Булычев 1993-600M, стр 141). Схема усилителя представлена ниже.

Рис. 8 Усилитель звуковых частот, электрическая схема
Элементы, используемые в схеме.
Рассмотрим назначение выводов микросхемы КТ174УН3:
Вывод 2-выход микросхемы,
Вывод 6-обратная связь,
Вывод 7-питание,
Вывод 8-эмиттер,
Вывод 9 и 13-выоды,
Вывод 10-вход,
Вывод 14-общая.
Рассмотрим назначение выводов микросхемы КТ174УН4:
Вывод 6-вывод,
Вывод 2-обратная связь,
Вывод 4-вход,
Вывод 7-питание,
Вывод 8-выход,
Вывод 9-общая.
Обе микросхемы используют элемент питания на 12 вольт.
Список элементов:
С1-10 мкФ R1-47кОм
С2-330мкФ R2-47кОм
С3-10мкФ R3-10кОм
С4-10мкФ R4-1кОм
С5-10мкФ R5-3,3кОм
С6-10мкФ R6-820Ом
С7-1мкФ R7-100кОм
С8-50мкФ R8-68кОм
С9-1мкФ R9-1кОм
С10-1000мкФ R10-1,8кОм
R11-1кОм
Мною выбран способ модуляции, заключающийся в том, что модуляция будет проходить в два этапа: первый этап-модулирование информационного сигнала сигналом опорной частоты, второй этап-модулирование сигнала перестраиваемым генератором несущей частоты в соответствие с техническим заданием. Это увеличивает стабильность частоты.
Генератор опорной частоты

Рис.9 Генератор опорной частоты, электрическая схема
Расчет генератора опорной частоты:
1. Выбираем транзистор малой мощности КТ331 с граничной частотой ft =250 МГц. Его паспортные данные: Ск=5 пФ; Сэ =8 пФ; ос =120 пс; uотс=0,6 В; uк доп=15 В; iк доп=20 мА; uб доп=3В; Рдоп=15МВт; Sгр=20 мА/В. Считаем, что средний коэффициент усиления тока В=20.
Граничные частоты: f=ft/B=12,5 МГц, f=ft+f=262,5 МГц
Активная часть коллекторной емкости Ска=Ск /2=2,5 пФ и сопротивление потерь в базе rб=ос/Ска=48 Ом.
Из стандартного ряда сопротивлений выбираем Rкор=22 Ом .
2. Расчет электрического режима. Выбираем iк max =0,8 iк доп =16мА; Uк0=0,3 uк доп=4,5 В; Кос=1; =60°, тогда 0=0.218; 1=0,391; 0=0,109; cos =0,5.
Рассчитаем основные параметры генератора:
Ik1=1*ik max=6,3 мА; Ik0= 0*ik max=3,5 мА; Uб1==0,7 В;
Uк1 = Uб1/Кос=0,7 В, Rk=Uk1/Ik1=110 Ом; P1=0,5Uk1*Ik1=22мВт;
P0=Uk0*Ik0=157,5 мВт; Pрас=P0-P1=135,5 мВт
=P1/P0=13,9%; Есм=uотс-Uб1*cos=0,25 В; =Uk1/Uk0=0,16;
гр==0,82
Условие <0,5*гр выполняется
3.Для стабилизации частоты генерирования используется кварцевый резонатор ZQ 500кГц, паспортные характеристики которого:
Lкв = 0,05 Гн; Cкв=0, 1пФ; rкв=50Ом; С0= 40пФ.
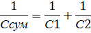
Определим значения C1 и С2.
Определим Cсум=С1*С2/(С1+С2) из соотношения wр*Lкв=1/(wр*Cсум)
Ссум=1/(wр2*Lкв)=80 нФ
Из Ссум найдем значение С2, приняв значение С1=100нФ.




С2=400нФ
Определим значения делителя напряжения(источника смещения) R1-R2, а так же значение R3:
Iб=Ik0/=0,175 мА
Iд=10*Iб=1,75 мА
Для эффективной термостабилизации падение напряжения на Rэ должно быть порядка 3-5В. Возьмём Uэ=5В.
R1=(Еп-Uэ-0,7)/(Iд+Iб)=3,2кОм
R2=(Uэ+0,7)/Iд=3,25кОм
R3=Uэ/Ik0=1428 Ом
Балансный модулятор 1
Следующий шаг-сигнал поступает на первый балансный модулятор, где модулируется сигналом с генератора опорной частоты. В течение одного полупериода несущей в точке А схемы создается положительное напряжение, а в точке В - отрицательное, что приводит к смещению всех четырех диодов. При этом обмотки трансформаторов, подключенных к диодному мосту, замыкаются накоротко, и на выходе мы получаем нулевое напряжение. В течение второго полупериода диоды смещаются в обратном направлении, т.е закрываются; диодный мост размыкается, и модулирующий сигнал проходит на выход схемы. Выходной сигнал эквивалентен произведению модулирующего сигнала на положительный период высокочастотной несущей.

Рис. 10 Кольцевой балансный модулятор, электрическая схема.
Выводы слева - информационный сигнал, справа - результирующие колебания, снизу сигнал с генератора опорной частоты.
Выбор диодов был произведен по двум показателям допустимая мощность и максимальная частота.
Допустимая мощность 0,02 Вт, частота 500 кГц. Этим условиям удовлетворяет маломощный выпрямительный диод АД110А.
Полосовой фильтр 1
Следующий шаг работы - фильтрация сигнала после модулирования. Т.к. необходима очень высокая стабильность, то у меня было два варианта решения проблемы стабильности - кварцевый фильтр и электромеханический фильтр.
Мною был выбран способ решения с помощью электромеханического фильтра.
Электромеханический фильтр (ЭМФ) это фильтр, который обычно используется вместо электронного фильтра радиочастот, и назначение у него такое же: пропускать нужные спектры частот и подавлять остальные. В фильтре используются механические колебания, аналогичные подаваемому электрическому сигналу (это один из типов аналоговых фильтров). На входе и на выходе фильтра стоят электромеханические преобразователи, которые преобразуют электрические колебания сигнала в механические колебания рабочего тела фильтра и обратно.
Выбран фильтр ФЭМ-034Н-500-3,1
Полоса частот с (500 - 503,1)кГц.
Балансный модулятор 2
После фильтрации, где будет подавлена несущая частота, сигнал проходит ко второму балансному модулятору (схема представлена выше), который промодулирует пришедший сигнал сигналом с генератора несущей частоты. Диоды, выбранные в качестве моста модулятора, должны удовлетворять условиям: допустимая мощность 0,02 Вт, частота 7,1 МГц. Этим условиям удовлетворяет маломощный выпрямительный диод 2Д401А.
Генератор несущей частоты

Рис. 11 Генератор несущей частоты, электрическая схема.
Расчет генератора несущей частоты:
Примечание: транзистор, а, следовательно, расчет аналогичен генератору опорной частоты, т.к. данный транзистор удовлетворяет условиям использования для данной цели.
1. Выбираем транзистор малой мощности КТ331 с граничной частотой ft =250 МГц. Его паспортные данные: Ск=5 пФ; Сэ =8 пФ; ос =120 пс; uотс=0,6 В; uк доп=15 В; iк доп=20 мА; uб доп=3В; Рдоп=15МВт; Sгр=20 мА/В. Считаем, что средний коэффициент усиления тока В=20.
Граничные частоты: f=ft/B=12,5 МГц, f=ft+f=262,5 МГц
Активная часть коллекторной емкости Ска=Ск /2=2,5 пФ и сопротивление потерь в базе rб=ос/Ска=48 Ом.
2. Расчет корректирующей цепочки:
Rкор==34 Ом
Rэ==80Ом
Скор==18пФ
Rкор==23Ом
Из стандартного ряда сопротивлений выбираем Rкор=22 Ом .
3. Расчет электрического режима. Выбираем iк max =0,8 iк доп =16мА; Uк0=0,3 uк доп=4,5 В; Кос=1; =60°, тогда 0=0.218; 1=0,391; 0=0,109; cos =0,5.
Рассчитаем основные параметры генератора:
Ik1=1*ik max=6,3 мА; Ik0= 0*ik max=3,5 мА; Uб1==0,7 В;
Uк1 = Uб1/Кос=0,7 В, Rk=Uk1/Ik1=110 Ом; P1=0,5Uk1*Ik1=22мВт;
P0=Uk0*Ik0=157,5 мВт; Pрас=P0-P1=135,5 мВт
=P1/P0=13,9%; Есм=uотс-Uб1*cos=0,25 В; =Uk1/Uk0=0,16;
гр==0,82
Условие <0,5*гр выполняется
4. Расчет резонатора:
Примем индукцию колебательной системы L=1,25 мкГн.
В генераторе частота изменяется в пределах от 6,5 до 6,6 МГц, это означает, что необходимо получить два значения Cсум: для нижнего значения диапазона и для верхнего.
Найдем значения элементов для частоты 6,5 МГц:



Из соображений удобства перестройки колебательной системы, выберем один из конденсаторов подстроечным, оставляя два других постоянными:
С1=5000пФ
С2=5000пФ
Найдем С3:

Найдем значения элементов для частоты 6,6 МГц:



Найдем С3:

Расчет делителя напряжения:
Iд=10*Iб=1,75 мА
Iб=Iко/B=0,175 мА
Rб1=(Еп-Urэ-0,7)/(Iд+Iб)=2495Ом
Rб2=(Urэ+0,7)/Iд=3257Ом
После модуляции вторым балансным модулятором, сигнал проходит через второй полосовой фильтр, где подавляется несущая частота.
Полосовой фильтр 2

Рис. 12 Полосовой RC фильтр, электрическая схема.
Фильтр представлен последовательно соединенными фильтром верхних и нижних частот.
Расчет фильтра:
Нижняя частота пропускания-7,0 МГц
Верхняя частота пропускания-7,1 МГц
R1=1,5 кОм
R2=3,3 кОм
С1=
С2=
Усилитель мощности
1. Определение числа каскадов
Так как на одном каскаде невозможно реализовать усиление 36,9дБ, то для того, чтобы обеспечить такой коэффициент усиления, используем сложение каскадов. Считаем, что каждый каскад в среднем даёт 13,3дБ, и так как необходимо получить36,9, то:
Таким образом, число каскадов равно трем.
2. Распределение искажений на ВЧ
По заданию, допустимые искажения АЧХ, вносимые данным устройством, равны 4дБ. Так как используем 3 каскада, то допустимые искажения АЧХ, вносимые одним каскадом, равны 1,33дБ.
3. Расчёт оконечного каскада
3.1. Расчет рабочей точки
1). Возьмём сопротивление коллектора равное сопротивлению нагрузки (Rк=Rн).
Согласно закону Ома:
Uвых=IвыхRн (1)
Отсюда найдём ток на выходе каскада:
Iвых= Uвых /Rн=5/10=0,5 А. (2)
Выходная мощность: Вт
Рис.13 Схема оконечного некорректированного каскада.
Ток на коллекторе транзистора определяется из выражения:
А (3)
Вместо сопротивления коллектора поставим дроссель
В данном случае Еп=Uкэ0=12 В, так как на коллекторе нет активного сопротивления.
Iк0Rн=0,5510=5,5 В.
Рассчитаем мощность:
Pпотр=0,5512=6,6 Вт
Pрас=0,5512=6,6 Вт.
3.2. Выбор транзистора
Выбор транзистора осуществляется исходя из условий:
Iк.доп >1,2Iк0
Uкэ.доп >1,2Uкэ0
Pк.доп >1,2Pк0
fт310fв ,
где индекс “доп” означает максимально допустимое значение,
Iк ток коллектора,
Uкэ напряжение между коллектором и эмиттером,
Pк мощность, рассеиваемая на коллекторе,
fв верхняя частота.
Подставим численные значения:
Iк.доп >0,66 А
Uкэ.доп >14,4 В
Pк.доп >7,92 Вт
fт32,533 МГц
Исходя из этих требований, выберем в качестве выходного транзистора транзистор КТ973А. Электрические параметры транзистора КТ973А:
Статический коэффициент передачи тока в схеме с ОЭ (типовое значение):
=113
Граничная частота коэффициента передачи тока в схеме с ОЭ при Uкэ=36В, Iк=600мА:
fТ=200МГц
Ёмкость коллекторного перехода при Uкб=12В:
СUкэ=3,9пФ
Постоянная времени цепи ОС на ВЧ при Uк=20В, Iэ=45мА, f=40МГц:
с=4,6пФ
Предельные эксплуатационные данные транзистора КТ973А:
Постоянная рассеиваемая мощность коллектора
Рк=4Вт
Рабочая точка:
Iк0=0,55 А
Uкэ0=12 В
Eп=12 В
3.3. Расчёт эквивалентных схем транзистора
В данном пункте рассчитывается эквивалентная схема транзистора, низкочастотная - схема Джиаколетто.
1). Схема Джиаколетто [2]
а). Сначала найдём Сu кэ , чтобы найти Rб.
Ф.
Теперь найдём Rб по формуле:
(4)
Подставим численные значения:
Ом.
Ом -1.
б). Сопротивление эмиттера
Ом. (5)
Здесь Iэ в мА.
в). Проводимость база-эмиттер
Ом -1. (6)
г). Ёмкость эмиттерного перехода
Ф. (7)
д). Крутизна
(8)
(9)
е). Проводимость
Ом. (10)
ж). Емкость коллектора
Ф.
Элементы схемы Джиаколетто:
gб=Ом-1
gбэ=Ом-1
gi=3,310-3 Ом-1
Cэ=4,5 нФ
Ск=3,9 пФ
Рис.14 Эквивалентная схема Джиаколетто
3.4. Расчет цепей питания и термостабилизации
1). Эмиттерная термостабилизация [4]
Найдём мощность, рассеиваемую на Rэ:
Рабочая точка: Iк0=0,55 А
Uкэ0=12 В
Для эффективной термостабилизации падение напряжения на Rэ должно быть порядка 3-5В. Возьмём Uэ=5В. Тогда мощность, рассеиваемая на Rэ определяемая выражением (2.16), равна:
PRэ=Iк0Uэ=0,555=2,75 Вт. (11)
Рис.15 Схема оконечного каскада с эмиттерной термостабилизацией
Найдём необходимое Еп для данной схемы:
Еп=URэ+ Uкэ0+ URк=5+12+0=17 В. (12)
Рассчитаем Rэ, Rб1, Rб2:
Ом, (13)
мА, (14)
ток базового делителя:
Iд=10Iб=48 мА, (15)
Ом, (16)
Ом. (17)
Найдём Lк, исходя из условий, что на нижней частоте полосы пропускания её сопротивление много больше сопротивления нагрузки. В нашем случае:
мкГн. (18)
3.5. Расчёт выходной корректирующей цепи
Рис.16 Выходная корректирующая цепь
Нормировка элементов производится по формулам (19):
, (19)
где Rнор и wнор сопротивление и частота, относительно которых производится нормировка,
L, C, R значения нормируемых элементов
Lн, Cн, Rн нормированные значения.
Нормируем Свых (относительно Rн и wв) в соответствии с (19)
СвыхН=СвыхRнwв=5,110-124027,1106=22,74*10-6
В таблице 7.1 [4] находим нормированные значения L1 и С1, соответствующие найденному СвыхН. Ближайшее значение СвыхН=0,285, ему соответствуют:
С1Н=0,3
L1Н=0,547
=1,002.
Денормирование элементов производится по следующим формулам:
(20)
По (20) разнормируем С1Н и L1Н :
мкГн,
пФ.
Найдём ощущаемое сопротивление транзистора:
Rощ=Rн/=10/1,002=9,98 Ом (21)
Найдём коэффициент усиления выходного каскада:
(22)
где Rвх.н входное сопротивление оконечного транзистора, нормированное относительно выходного сопротивления предоконечного транзистора,
Gном12 коэффициент усиления транзистора, находится по формуле (2.41)
, (23)
fмах максимальная частота транзистора,
fв верхняя частота заданной полосы пропускания.
Подставим в формулу (2.40), и получим:
раз = 11дБ.
4. Выбор предоконечного транзистора
Электрические параметры транзистора КТ973А:
Коэффициент усиления по мощности при Uкэ=28В, Тк40С, на частоте f=200 МГц при Рвых=20Вт:
Gном1,2=2
Статический коэффициент передачи тока в схеме с ОЭ при Uкэ=5В, Iэ=200мА (типовое значение):
=40
Граничная частота коэффициента передачи тока в схеме с ОЭ при Uкэ=12В, Iк=55мА:
fТ=200МГц
Ёмкость коллекторного перехода при Uкб=28В:
СUкэ=3,9пФ
Подставив в формулу (23) справочные значения коэффициента усиления и верхней частоты транзистора, найдём максимальную частоту:
,
где fвТР граничная частота транзистора.
Таким образом fмах=200106=282 МГц
Подставив в формулу (23) найденное значение максимальной частоты и верхнюю частоту заданной полосы, найдём усиление:
Найдём выходное сопротивление транзистора (Rвых):
Uкб=55 В, Iк=400 мА
Ом.
5. Расчёт предоконечного каскада
5.1. Расчёт рабочей точки
Рабочая точка для этого транзистора имеет такое же напряжение, но ток меньше, чем у предоконечного каскада в коэффициент усиления оконечного каскада раз.
Uкэ0=12 В,
мА.
Таким образом рабочая точка: Iк0=43 мА
Uкэ0=12 В
, Ом
.
5.2. Эмиттерная термостабилизация
Возьмём напряжение на эмиттере равным Uэ=2 В.
В соответствии с формулой (11), мощность, рассеиваемая на Rэ равна
PRэ=43
2=86 мВт.
По формулам (13)-(17) рассчитаем Rэ, Rб1, Rб2:
Ом,
мкА,
ток базового делителя: Iд=10Iб=110 мкА,
Ом,
Ом.
Аналогично, как и для предыдущего каскада найдём Lк:
мкГн.
раз=17,3дБ
6. Выбор входного транзистора
Электрические параметры транзистора 2Т205:
Коэффициент усиления по мощности при Uкэ=250В, Тк40С, на частоте f=20 МГц при Рвых=20Вт:
Gном1,2=2
Статический коэффициент передачи тока в схеме с ОЭ при Uкэ=5В, Iэ=5,5мА (типовое значение):
=40
Граничная частота коэффициента передачи тока в схеме с ОЭ при Uкэ=12В, Iк=55мА:
fТ=20МГц
Подставив в формулу (23) справочные значения коэффициента усиления и верхней частоты транзистора, найдём максимальную частоту:
,
где fвТР граничная частота транзистора.
Таким образом fмах=20106=28,2 МГц
Подставив в формулу (23) найденное значение максимальной частоты и верхнюю частоту заданной полосы, найдём усиление:
Найдём выходное сопротивление транзистора (Rвых):
Uкб=55 В, Iк=400 мА
Ом.
6* Расчёт входного каскада
6.1. Расчёт рабочей точки
Рабочая точка для этого транзистора имеет такое же напряжение, но ток меньше, чем у предоконечного каскада в коэффициент усиления предоконечного каскада раз.
Uкэ0=12 В,
мА.
Таким образом рабочая точка: Iк0=0,1 А
Uкэ0=12 В
, Ом
.
6.2. Эмиттерная термостабилизация
Возьмём напряжение на эмиттере равным Uэ=2 В.
В соответствии с формулой (11), мощность, рассеиваемая на Rэ равна
PRэ=1
2=2 мВт.
По формулам (13)-(17) рассчитаем Rэ, Rб1, Rб2:
Ом,
мА,
ток базового делителя: Iд=10Iб=0,028 мА,
Ом,
Ом.
Аналогично, как и для предыдущего каскада найдём Lк:
мкГн.
раз=9,23дБ.
7. Расчёт блокировочных конденсаторов
Найдём искажения, вносимые разделительными и блокировочными конденсаторами [4]:
дБ=1,1 раз.
Искажения, вносимые каждым конденсатором:
По заданным искажениям найдём блокировочные конденсаторы (в нашем случае Сэi), исходя из формулы:
, (24)
где S крутизна соответствующего транзистора,
Rэi сопротивление эмиттера (схема термостабилизации) для соответствующего транзистора.
Подставляя численные значения в (2.45), получим:
мкФ,
нФ,
нФ.
Коэффициент усиления всего усилителя:
раз = 37,5дБ.

Рис. 17 Усилитель мощности, электрическая схема
Трансформатор
Т.к. во время расчета усилителя мощности Rн было приянто 10 Ом, а сопротивление антенны 50 Ом, то необходимо согласование сопротивлений. С этой целью в схему добавлен трансформатор:
Найдем необходимое количество витков.
Rвх=10 Ом
Rвых=50 Ом
N=
Т.е. к-т трансформации 0,44. Это означает, что на входной катушке необходимо взять 440 витков, на выходной- 1000 витков.

Заключение
В результате выполненной курсовой работы получена схема электрическая принципиальная усилителя-корректора. Известны топология элементов и их номиналы. Поставленная задача решена в полном объеме, однако для практического производства устройства данных недостаточно. Необходимая информация может быть получена в результате дополнительных исследований, необходимость которых в техническом задании настоящего курсового проекта не указывается.
Таким образом, в данной курсовой работе был разработан передатчик с перестраиваемой частотой передачи в переделах от 7 МГц до 7,1 МГц, с ОБП модуляцией
Список использованной литературы
1. Шеболков В.В. Проектирование радиопередающих устройств - Кисловодск, 2005, 111с
2. Мамонкин И.Г. Усилительные устройства: учебное пособие для вузов. М.: Связь, 1977г.
3. А.А. Титов, Л.И. Бабак, М.В. Черкашин. Электронная техника. сер. СВ техника. Вып. 1 (475), 2000
4. Титов А.А. Расчет корректирующих цепей широкополосных усилительных каскадов на биполярных транзисторах
5. А.Л.Булычев Аналоговые интегральные схемы Справочник 1993г 600M
6. Семенов В.В. Курсовой проект по схемотехнике аналоговых электронных устройств - КГТИ, 2014, 31с
7. Полупроводниковые приборы : Транзисторы. П53 Справочник / В.Л. Аронов, А.В. Баюков, А.А. Зайцев и др. Под общ. ред. Н.Н. Гарюнова. 2-е изд., перераб. М.: Энергоатомиздат, 1985 904 c., ил.
Расчет радиотехнического устройства (передатчика)