Диэлектрическая стержневая антенна
Содержание
Задание на курсовую работу………………………………...…….…………3
Введение…………………………………………………………….…………4
1. Расчет параметров и размеров антенны……………………….…..…...…7
2. Эксплуатация антенно-фидерного устройства…………………………..15
Приложение 1…………………………………………………………………16
Список используемой литературы…………………………………..………22
Задание на курсовую работу
Вариант 89
Данные для расчёта:
Диэлектрическая стержневая антенна
Диапазон рабочих частот
, МГц = 350…500.
Излучаемая мощность
, кВт = 0,90.
Ширина диаграммы направленности = 40…45.
Диэлектрическая проницаемость = 3,1.
Введение
В диапазоне СВЧ широко применяются антенны, возбуждаемые поверхностными волнами. Достоинством антенн поверхностных волн (АПВ) является их диапазонность, простота конструкции, небольшие размеры.
Хорошие аэродинамические качества АПВ позволяют использовать их в качестве маловыступающих антенн для подвижных объектов. АПВ состоит из двух частей: возбудителя электромагнитных волн (ЭМВ) и излучающей поверхности. Излучающая часть антенны представляет замедляющую структуру, что способствует увеличению направленности излучения по сравнению с первичным полем возбудителя. В зависимости от типа направляющей поверхности различают плоские, стержневые и дисковые АПВ.
Наибольшее распространение получили стержневые АПВ из диэлектрика, а также в виде металлических стержней с диэлектрической оболочкой.
Диэлектрические стержневые антенны относятся к антеннам бегущей волны с замедленной фазовой скоростью (ф < с). Они применяются на границе сантиметрового и дециметрового диапазонов волн в полосе частот от 2 до 10 ГГц.
Hа рис. 1 приведена наиболее типичная схема диэлектрической стержневой антенны. Она представляет собой диэлектрический стержень 1, возбуждаемый круглым волноводом 2 с возбудителем 3 и питающим фидером 4.
В зависимости от требований, предъявляемых к антенне, поперечное сечение стержня, возбудитель и его питание могут изменяться. Наиболее часто используются цилиндрические и конические стержни.
Экспериментальные исследования показывают, что конические стержни позволяют получить большее ослабление боковых лепестков диаграммы направленности, чем цилиндрические стержни. Однако длина конических стержней при одинаковой ширине диаграммы направленности больше, чем длина цилиндрических.

Рис 1. Схема диэлектрической стержневой антенны
Диэлектрический стержень антенны можно рассматривать как отрезок диэлектрического волновода. Из теории диэлектрических волноводов известно, что в них могут распространяться как симметричные, так и несимметричные волны. Волны симметричного типа, как правило, не используются в диэлектрических стержневых антеннах, так как вследствие осевой симметрии они не излучают мощность вдоль оси стержня. Основной волной, используемой с этой целью, является несимметричная волна типа HЕ11, по своей структуре схожая с основной волной круглого металлического волновода H11. Отличие лишь в том, что поле HЕ11 существует и во внешнем пространстве.
С помощью одного стержня удается формировать диаграммы направленности шириной 20,5° > 20°…25°. Для получения более узких диаграмм направленности используются решетки, в которых диэлектрические стержневые антенны являются отдельными излучателями. С учетом направленных свойств излучателей, взаимосвязь между ними и влияние решений на входное сопротивление слабее, чем в решетках, состоящих из вибраторов и щелей, что облегчает настройку и управление решеткой.
Скорость распространения волны вдоль диэлектрического стержня мало зависит от длины волны. Поэтому диэлектрические стержневые антенны широкополосные и их полоса пропускания ограничивается, в основном, диапазонными свойствами возбуждающего устройства. При широкополосном возбудителе она может достигать 40-50% от fср.
Преимуществом диэлектрических антенн является простота конструкции и малые поперечные размеры. Как и у всех антенн типа бегущей волны с замедленной фазовой скоростью, их особенностью является то, что сужение диаграммы направленности происходит за счет увеличения не поперечных размеров антенны, а продольных размеров при малом поперечном. Эта особенность определяет их применение, в частности, в авиационных радиоустройствах.
Недостатком диэлектрических стержневых антенн является сравнительно малая пропускаемая мощность и малая направленность излучения.
- Расчет параметров и размеров антенны
1.1. Выбор материала диэлектрика
Для изготовления излучателя выберем полистирол, параметры которого имеют следующие значения:
|
- диэлектрическая проницаемость ; |
|
|
- тангенс диэлектрических потерь . 1.2. Определение диаметра стержня Чтобы обеспечить преобразование большей части энергии в поверхностную волну, стержень у возбудителя делают толстым, а затем плавно уменьшают, чтобы приблизить фазовую скорость ф к скорости света. Рекомендуется выполнять стержни диаметром:
|
При МГц м, значит:
м
м
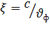
1.3. Расчет коэффициента замедления
По выбранному значению () и по графику из методической литературы (2, стр 41) находим коэффициент замедления, он равен:

При 0.83 1.205
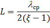
1.4. Расчет длины стержня антенны
Длина диэлектрического стержня выбирается исходя из заданной ширины диаграммы направленности антенны.
Приближенно можно считать, что ширина диаграммы направленности определяется выражением

При =40…45 соответственно L1.588…1.255 м.
С другой стороны, максимальный коэффициент направленного действия антенны достигается при длине стержня, равной

Отсюда L=1.723м.
Из этих выражений выбираем оптимальную длину стержня: L м
1.5. Рассчет КНД антенны
Коэффициент направленного действия определяется по формуле:
D0
D0
1.6. Расчет диаграмм направленности
При расчете диаграммы направленности конической диэлектрической антенны используют выражения для расчёта диаграммы направленности цилиндрической антенны среднего диаметра, при этом предполагается, что волной в стержне, бегущей с постоянным замедлением вдоль его длины и отражением от конца стержня пренебрегают, тогда выражение для расчета диаграммы направленности получается как у линейной антенны с непрерывным распределением излучающих элементов, в которых распределение токов по длине соответствует закону бегущей волны.
Характеристику направленности можно рассчитать по формуле:
,
где волновое число, - угол между осью антенны и направлением в точку наблюдения.

Рис 2. Диаграмма направленности конической
диэлектрической стержневой антенны в декартовой системе координат
Рис 3. Диаграмма направленности конической
диэлектрической стержневой антенны в полярной системе координат
1.7. Расчет согласующего устройства
Для передачи с наименьшими потерями энергии в коаксиальном кабеле, следует создать режим бегущей волны. Чтобы получить режим бегущей волны, надо обеспечить равенство нагрузочного сопротивления и волнового сопротивления линии т.е. согласовать линию с нагрузкой. Однако такое согласование, при котором коэффициент бегущей волны (КБВ = 1) получить трудно. Практически уже хорошо, если КБВ = 0,8 0,9. При этом ухудшение работы линии незначительно.
Для согласования волнового сопротивления коаксиального кабеля Wф с входным сопротивлением антенны необходимо найти нужную величину действующей высоты возбудителя (штыря) hд, при которой Rвх=W.
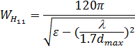
Расстояние от закорачивающей стенки до оси штыря z1, выбирается равным в/4, где в длина волны в волноводе с волной Н11 при наличии диэлектрика
,
а волновое сопротивление круглого волновода, заполненного диэлектриком для волны H11, равно

417.034 Ом, отсюда 0.781 м и z1 0.195 м
Тогда действующая высота штыря может быть найдена из выражения:

Возьмем для расчета коаксиальный кабель с внешним проводником из круглых проволок в ПЭ оболочке РК 50-33-17 с максимально допустимой мощностью на частотах 100 МГц и 1 ГГц 5 кВт и 0.9 кВт соответственно. Его волновое сопротивления 50 Ом, то 0.059 м
Геометрическая высота находится из соотношения:

0.121 м
Длина круглого волновода от вибратора до его раскрыва z2 выбирается из условий обеспечения необходимого затухания высших типов волн. Обычно считают, что ослабление поля ближайшей высшей волны Е01 должно быть не менее 10…20 дБ (100 раз по мощности). Если принять величину ослабления равную 20 дБ, тогда

где
При расчетах оказалось, что под корнем отрицательное число, это означает, что волна находится в докритическом режиме и не затухает. В этом случае надо исключить возможность ее возбуждения, для этого длину возбудителя примем 0.75 0.206. При этом закритическое затухание необходимо обеспечить для следующей волны высшего типа с , тогда м
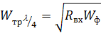
Для согласования излучателя с питающим фидером следует применить четвертьволновый согласующий трансформатор с волновым сопротивлением равным

144.401 Ом
1.8. Расчет максимального напряжения в питающем фидере
При выборе коаксиального кабеля следует учесть не только коэффициент затухания на максимальной рабочей частоте, но и на надёжность его на электрический пробой. С этой целью производится его проверка по допустимости максимального рабочего напряжения с максимально допустимым напряжением для данной марки кабеля.
Для проверки надежности работы с точки зрения электрического пробоя коаксиального кабеля определим

КБВ можно принять равным (0.5…0.7), примем КБВ = 0.5, тогда
424.264 В
Напряжение короны коаксиального кабеля РК 50-33-17 кВ, то 4250 В, значит условие выполняется .
1.9. Расчет КПД фидерной линии
Расчет производится по формуле:

Длина фидерной линии выбирается из конструктивных соображений (10…100 м), примем l = 10 м
Коэффициент затухания фидера, дБ/м, находится из справочных значений
,
где 0.03 дБ на частоте 100 МГц, значит 0.062 дБ/м.
Значение коэффициента затухания подставляются в Нп/м из формулы
,
значит = 0.007
Модуль коэффициента отражения от конца цилиндрического стержня может быть оценен по формуле

Для конического стержня коэффициент отражения значительно меньше (обычно в 2…5 раза), примем 0.068. Тогда расчетное КПД по приведенной выше формуле составляет 0.868.
1.10. Расчет КПД антенно-фидерного устройства
Расчет производится по формуле:

КПД антенны определяется в основном потерями в диэлектрике и составляют примерно 0.5…0.7. Примем 0.7, тогда 0.521
Сделаем еще несколько замечаний, относящихся к КПД диэлектрической стержневой антенны.
Во-первых, отметим, что диэлектрические стержневые антенны сами по себе не имеют резонансных элементов и в этом смысле являются широкополосными (если только коэффициент замедления не выходит за пределы допустимых значений). Ширина рабочей полосы частот в диэлектрической антенне обусловливается резонансными свойствами возбуждающего элемента, т, е. вибратора в металлическом волноводе.
Во-вторых, диэлектрик антенны должен иметь малые потери, в противном случае КПД будет низок. Кроме того, возбуждающий вибратор в металлическом волноводе должен располагаться вне диэлектрика. Это приводит к повышению КПД вследствие того, что возбуждаемые вибратором высшие типы волн затухают вблизи него и не проникают в диэлектрическую среду.
1.11 Конструкция антенны
Конструкция антенны соответствует Рис 1, диэлектрический стержень изготавливается конусообразный, выбираются рассчитанные геометрические размеры и принятые для расчета материалы.
Рис 4. Чертеж рассчитанной конической диэлектрической
стержневой антенны
- Эксплуатация антенно-фидерного устройства
Диэлектрическая стержневая антенна имеет высокий уровень бокового и заднего излучения. Диаграммы направленности таких антенн имеют достаточно широкие главные лепестки, поэтому их относят к классу слабонаправленных антенн. Поэтому чаще всего диэлектрические стержневые антенны применяют в качестве облучателей зеркальных антенн и коллиматоров.
Диэлектрическая стержневая антенна является широкополосной, такой режим требует определенных соотношений между размерами антенны и длиной волны. Эти размеры должны быть точно выдержаны, в целях обеспечения широкополосного режима.
Установка антенны должна производиться согласно паспорта на изделие, а так же различных нормативных документов на антенны, работающие в УКВ диапазоне. Для нормального режима необходимо обеспечить целостность механических частей антенны: жесткость крепления излучателя в волноводе и крепления коаксиального кабеля. Повреждение элементов ведет к ухудшению работы, снижению качества приемапередачи, ухудшению свойств широкополостности и увеличению коэффициента отражения.
Генератор, обеспечивающий питание антенны, должен работать стабильно, не снижая своего напряжения на выходе, чтобы не допустить уменьшение мощности излучения. Так же должно происходить перенапряжения, электрические свойства антенны не должны быть нарушены.
Эксплуатация антенны производится согласно нормативной документации, в которой оговорены сроки проведения регламентных работ. Регламентные работы представляют собой список необходимых действий для проверки точности работы антенны и ее параметров, а так же механических и электрических свойств.
Внешний осмотр необходимо проводить постоянно на наличие механических и электрических повреждений. Регулярно проводить чистку антенны от грязи и пыли, проверку фидерного тракта.
Приложение 1
Таблица расчета диаграммы направленности в декартовой системе координат
|
град |
f() |
град |
f() |
град |
f() |
град |
f() |
|
-180 -179 -178 -177 -176 -175 -174 -173 -172 -171 -170 -169 -168 -167 -166 -165 -164 -163 -162 -161 -160 -159 -158 -157 -156 -155 -154 -153 -152 -151 -150 -149 -148 -147 -146 -145 -144 -143 -142 |
0.057 0.057 0.057 0.057 0.057 0.058 0.058 0.059 0.059 0.06 0.061 0.061 0.062 0.063 0.064 0.065 0.066 0.066 0.067 0.068 0.069 0.069 0.07 0.07 0.071 0.071 0.071 0.071 0.07 0.07 0.069 0.068 0.066 0.065 0.062 0.06 0.057 0.054 0.051 |
-141 -140 -139 -138 -137 -136 -135 -134 -133 -132 -131 -130 -129 -128 -127 -126 -125 -124 -123 -122 -121 -120 -119 -118 -117 -116 -115 -114 -113 -112 -111 -110 -109 -108 -107 -106 -105 -104 -103 |
0.047 0.042 0.038 0.033 0.027 0.021 0.015 8.996e-3 2.366e-3 -4.482e-3 -0.012 -0.019 -0.026 -0.033 -0.04 -0.047 -0.054 -0.06 -0.066 -0.072 -0.077 -0.081 -0.085 -0.088 -0.09 -0.091 -0.091 -0.09 -0.088 -0.085 -0.081 -0.076 -0.07 -0.062 -0.054 -0.045 -0.035 -0.024 -0.013 |
-102 -101 -100 -99 -98 -97 -96 -95 -94 -93 -92 -91 -90 -89 -88 -87 -86 -85 -84 -83 -82 -81 -80 -79 -78 -77 -76 -75 -74 -73 -72 -71 -70 -69 -68 -67 -66 -65 -64 |
-6.84e-4 0.012 0.024 0.036 0.049 0.061 0.072 0.083 0.093 0.102 0.11 0.117 0.122 0.126 0.128 0.128 0.127 0.124 0.119 0.112 0.104 0.094 0.082 0.069 0.055 0.039 0.022 5.098e-3 -0.013 -0.031 -0.05 -0.068 -0.087 -0.105 -0.122 -0.138 -0.153 -0.167 -0.18 |
-63 -62 -61 -60 -59 -58 -57 -56 -55 -54 -53 -52 -51 -50 -49 -48 -47 -46 -45 -44 -43 -42 -41 -40 -39 -38 -37 -36 -35 -34 -33 -32 -31 -30 -29 -28 -27 -26 -25 |
-0.191 -0.2 -0.207 -0.213 -0.216 -0.217 -0.216 -0.213 -0.208 -0.201 -0.192 -0.181 -0.168 -0.153 -0.136 -0.118 -0.098 -0.077 -0.054 -0.031 -6.077e-3 0.019 0.045 0.072 0.099 0.126 0.154 0.181 0.209 0.236 0.263 0.289 0.315 0.341 0.366 0.39 0.413 0.436 0.458 |
|
град |
f() |
град |
f() |
град |
f() |
град |
f() |
|
-24 -23 -22 -21 -20 -19 -18 -17 -16 -15 -14 -13 -12 -11 -10 -9 -8 -7 -6 -5 -24 -23 -22 -21 -20 -19 -18 -17 -16 -15 -14 -13 -12 -11 -10 -9 -8 -7 -6 |
0.479 0.499 0.518 0.536 0.554 0.57 0.586 0.6 0.614 0.627 0.639 0.65 0.66 0.669 0.677 0.685 0.691 0.697 0.702 0.707 0.479 0.499 0.518 0.536 0.554 0.57 0.586 0.6 0.614 0.627 0.639 0.65 0.66 0.669 0.677 0.685 0.691 0.697 0.702 |
-5 -4 -3 -2 -1 0 1 2 3 4 5 6 7 8 9 10 11 12 13 14 15 16 17 18 19 20 21 22 23 24 25 26 27 28 29 30 31 32 33 |
0.707 0.71 0.713 0.715 0.716 0.716 0.716 0.715 0.713 0.71 0.707 0.702 0.697 0.691 0.685 0.677 0.669 0.66 0.65 0.639 0.627 0.614 0.6 0.586 0.57 0.554 0.536 0.518 0.499 0.479 0.458 0.436 0.413 0.39 0.366 0.341 0.315 0.289 0.263 |
34 35 36 37 38 39 40 41 42 43 44 45 46 47 48 49 50 51 52 53 54 55 56 57 58 59 60 61 62 63 64 65 66 67 68 69 70 71 72 |
0.236 0.209 0.181 0.154 0.126 0.099 0.072 0.045 0.019 -6.077e-3 -0.031 -0.054 -0.077 -0.098 -0.118 -0.136 -0.153 -0.168 -0.181 -0.192 -0.201 -0.208 -0.213 -0.216 -0.217 -0.216 -0.213 -0.207 -0.2 -0.191 -0.18 -0.167 -0.153 -0.138 -0.122 -0.105 -0.087 -0.068 -0.05 |
73 74 75 76 77 78 79 80 81 82 83 84 85 86 87 88 89 90 91 92 93 94 95 96 97 98 99 100 101 102 103 104 105 106 107 108 109 110 111 |
-0.031 -0.013 5.098e-3 0.022 0.039 0.055 0.069 0.082 0.094 0.104 0.112 0.119 0.124 0.127 0.128 0.128 0.126 0.122 0.117 0.11 0.102 0.093 0.083 0.072 0.061 0.049 0.036 0.024 0.012 -6.84e-4 -0.013 -0.024 -0.035 -0.045 -0.054 -0.062 -0.07 -0.076 -0.081 |
|
град |
f() |
град |
f() |
град |
f() |
град |
f() |
|
112 113 114 115 116 117 118 119 120 121 122 123 124 125 126 127 128 129 130 |
-0.085 -0.088 -0.09 -0.091 -0.091 -0.09 -0.088 -0.085 -0.081 -0.077 -0.072 -0.066 -0.06 -0.054 -0.047 -0.04 -0.033 -0.026 -0.019 |
131 132 133 134 135 136 137 138 139 140 141 142 143 144 145 146 147 148 149 |
-0.012 -4.482e-3 2.366e-3 8.996e-3 0.015 0.021 0.027 0.033 0.038 0.042 0.047 0.051 0.054 0.057 0.06 0.062 0.065 0.066 0.068 |
150 151 152 153 154 155 156 157 158 159 160 161 162 163 164 165 166 167 168 |
0.069 0.07 0.07 0.071 0.071 0.071 0.071 0.07 0.07 0.069 0.069 0.068 0.067 0.066 0.066 0.065 0.064 0.063 0.062 |
169 170 171 172 173 174 175 176 177 178 179 180 |
0.061 0.061 0.06 0.059 0.059 0.058 0.058 0.057 0.057 0.057 0.057 0.057 |
Таблица расчета диаграммы направленности в полярной системе координат
|
град |
f() |
град |
f() |
град |
f() |
град |
f() |
|
-180 -179 -178 -177 -176 -175 -174 -173 -172 -171 -170 -169 -168 -167 -166 -165 -164 -163 -162 -161 -160 -159 -158 -157 -156 -155 -154 -153 -152 -151 -150 -149 -148 -147 -146 -145 -144 -143 -142 |
-0.042 0.057 -0.086 -0.205 0.71 -0.194 -0.079 0.062 0.015 0.048 0.549 0.153 0.09 0.07 0.07 0.095 0.167 0.54 0.056 0.018 0.063 -0.076 -0.189 0.708 -0.201 -0.085 0.057 -0.045 -0.105 0.663 -0.069 -0.012 0.069 0.052 0.125 0.392 0.356 0.128 0.057 |
-141 -140 -139 -138 -137 -136 -135 -134 -133 -132 -131 -130 -129 -128 -127 -126 -125 -124 -123 -122 -121 -120 -119 -118 -117 -116 -115 -114 -113 -112 -111 -110 -109 -108 -107 -106 -105 -104 -103 |
0.07 6.506e-3 -0.033 0.648 -0.078 -0.035 0.058 -0.089 -0.211 0.713 -0.203 -0.084 0.062 8.081e-3 0.032 0.566 0.126 0.08 0.071 0.069 0.104 0.195 0.522 0.07 0.024 0.064 -0.07 -0.177 0.704 -0.192 -0.081 0.057 -0.052 -0.123 0.672 -0.091 -0.023 0.068 0.049 |
-102 -101 -100 -99 -98 -97 -96 -95 -94 -93 -92 -91 -90 -89 -88 -87 -86 -85 -84 -83 -82 -81 -80 -79 -78 -77 -76 -75 -74 -73 -72 -71 -70 -69 -68 -67 -66 -65 -64 |
0.12 0.416 0.33 0.128 0.06 0.07 0.019 -8.547e-3 0.636 -0.059 -0.027 0.058 -0.091 -0.215 0.715 -0.21 -0.087 0.061 1.321e-3 0.015 0.582 0.098 0.068 0.071 0.068 0.112 0.223 0.502 0.083 0.029 0.064 -0.062 -0.164 0.7 -0.181 -0.076 0.057 -0.059 -0.139 |
-63 -62 -61 -60 -59 -58 -57 -56 -55 -54 -53 -52 -51 -50 -49 -48 -47 -46 -45 -44 -43 -42 -41 -40 -39 -38 -37 -36 -35 -34 -33 -32 -31 -30 -29 -28 -27 -26 -25 |
0.68 -0.111 -0.034 0.067 0.044 0.113 0.439 0.304 0.127 0.062 0.071 0.032 0.017 0.624 -0.04 -0.02 0.059 -0.091 -0.217 0.716 -0.215 -0.09 0.06 -5.656e-3 -3.198e-3 0.597 0.07 0.057 0.071 0.066 0.118 0.25 0.482 0.095 0.035 0.065 -0.054 -0.148 0.694 |
|
град |
f() |
град |
f() |
град |
f() |
град |
f() |
|
-24 -23 -22 -21 -20 -19 -18 -17 -16 -15 -14 -13 -12 -11 -10 -9 -8 -7 -6 -5 -24 -23 -22 -21 -20 -19 -18 -17 -16 -15 -14 -13 -12 -11 -10 -9 -8 -7 -6 |
-0.168 -0.071 0.057 -0.065 -0.154 0.687 -0.13 -0.045 0.066 0.04 0.105 0.461 0.277 0.123 0.065 0.071 0.044 0.043 0.611 -0.022 -0.168 -0.071 0.057 -0.065 -0.154 0.687 -0.13 -0.045 0.066 0.04 0.105 0.461 0.277 0.123 0.065 0.071 0.044 0.043 0.611 |
-5 -4 -3 -2 -1 0 1 2 3 4 5 6 7 8 9 10 11 12 13 14 15 16 17 18 19 20 21 22 23 24 25 26 27 28 29 30 31 32 33 |
-0.022 -0.013 0.059 -0.091 -0.217 0.716 -0.217 -0.091 0.059 -0.013 -0.022 0.611 0.043 0.044 0.071 0.065 0.123 0.277 0.461 0.105 0.04 0.066 -0.045 -0.13 0.687 -0.154 -0.065 0.057 -0.071 -0.168 0.694 -0.148 -0.054 0.065 0.035 0.095 0.482 0.25 0.118 |
34 35 36 37 38 39 40 41 42 43 44 45 46 47 48 49 50 51 52 53 54 55 56 57 58 59 60 61 62 63 64 65 66 67 68 69 70 71 72 |
0.066 0.071 0.057 0.07 0.597 -3.198e-3 -5.656e-3 0.06 -0.09 -0.215 0.716 -0.217 -0.091 0.059 -0.02 -0.04 0.624 0.017 0.032 0.071 0.062 0.127 0.304 0.439 0.113 0.044 0.067 -0.034 -0.111 0.68 -0.139 -0.059 0.057 -0.076 -0.181 0.7 -0.164 -0.062 0.064 |
73 74 75 76 77 78 79 80 81 82 83 84 85 86 87 88 89 90 91 92 93 94 95 96 97 98 99 100 101 102 103 104 105 106 107 108 109 110 111 |
0.029 0.083 0.502 0.223 0.112 0.068 0.071 0.068 0.098 0.582 0.015 1.321e-3 0.061 -0.087 -0.21 0.715 -0.215 -0.091 0.058 -0.027 -0.059 0.636 -8.547e-3 0.019 0.07 0.06 0.128 0.33 0.416 0.12 0.049 0.068 -0.023 -0.091 0.672 -0.123 -0.052 0.057 -0.081 |
|
град |
f() |
град |
f() |
град |
f() |
град |
f() |
|
112 113 114 115 116 117 118 119 120 121 122 123 124 125 126 127 128 129 130 |
-0.192 0.704 -0.177 -0.07 0.064 0.024 0.07 0.522 0.195 0.104 0.069 0.071 0.08 0.126 0.566 0.032 8.081e-3 0.062 -0.084 |
131 132 133 134 135 136 137 138 139 140 141 142 143 144 145 146 147 148 149 |
-0.203 0.713 -0.211 -0.089 0.058 -0.035 -0.078 0.648 -0.033 6.506e-3 0.07 0.057 0.128 0.356 0.392 0.125 0.052 0.069 -0.012 |
150 151 152 153 154 155 156 157 158 159 160 161 162 163 164 165 166 167 168 |
-0.069 0.663 -0.105 -0.045 0.057 -0.085 -0.201 0.708 -0.189 -0.076 0.063 0.018 0.056 0.54 0.167 0.095 0.07 0.07 0.09 |
169 170 171 172 173 174 175 176 177 178 179 180 |
0.153 0.549 0.048 0.015 0.062 -0.079 -0.194 0.71 -0.205 -0.086 0.057 -0.042 |
Список используемой литературы
1. Сазонов Д.М. «Антенны и устройства СВЧ». М.: Высшая школа, 1988 г
2. Нечаев Е.Е. Методические указания и задания для выполнения курсовой работы по дисциплине «Антенны и распространения радиоволн» . М.: МГТУ ГА, 1996г
3. «Антенны и устройства СВЧ». Под ред. Д.И. Воскресенского. М.: Радиотехника, 2006г
4. Гончаренко В.М., Каменев В.Г. «Проектирование антенн СВЧ». Учебное пособие. - М., 2006г
5. Ефимов И.Е., Шермина Г.А. «Волноводные линии передачи». М.: Связь, 1979г
6. Белоруссов Н.И. «Электрические кабели, провода и шнуры».Изд.5. Справочник. М.: Энергоатомиздат, 1988г
Диэлектрическая стержневая антенна

