Основные методы синтеза пиразалодиазепинов
Контрольная работа
Основные методы синтеза пиразалодиазепинов
Содержание
1 Биологическая активность пиразолодиазепинов
2 Синтез 2,3,3,6-тетрагидро-пиразоло[3,4-d][1,2]диазепина и его производных
3 Циклоконденсации на основе - , непредельных кетонов.
4 Новые методы синтеза производных пиразолодиазепинов.
5 Новые рециклизации ведущие к образованию пиразолодиазепинов.
Литература
ВСТУПЛЕНИЕ
Химия гетероциклических соединений представляет собой широкую и важную область исследований интересную для научных, а также для промышленных, фармацевтических и фитофармацевтической областей. Разработка новых стратегий синтеза представляет значительный интерес.
Важной задачей физико-органической химии остается синтез новых веществ, которые проявляли биологическую активность и в дальнейшем могли бы применяться в виде лекарственных веществ. В последние годы стремительно развивается применение специальных химических препаратов ограниченного диапазона действия для лечения психических заболеваний, а также для прекращения стрессов и стимуляции нервной деятельности. Для лечения выше приведенных болезней в наше время используют лекарственные препараты на основе бензодиазепинов, которые проявляют действие транквилизаторов, психостимуляторов, антидепрессантов, психодизлептиков. Поэтому основной задачей является создание веществ подобных бензодиазепинам, например, производных пиразолодиазепинов, которые проявляли такие же свойства, но действуют более специфически на отдельные рецепторы. Систематические и обобщающие исследования синтеза производных пиразолодиазепинов не проводились, некоторые вопросы остаются незатронутыми, спорными или до конца неразрешёнными.
Цель работы: разработка методики синтеза пиразол[3,4-d] [1,2]диазепина и
пирано[3,4-c]пиразола и их производных: определение условий проведения стадий синтеза, температур плавления промежуточных и конечных соединений.
1 Биологическая активность
Производные пиразолодиазепинов соединений с антидепрессантной активностью [1,2], проявляют высокую фармакологическую активность, свидетельством чему является наличие среди них препаратов рипазепама, золазепама [3]. В их ряду найдены агонисты рецепторов окситоцина [4] и селективные ингибиторы фосфодиэстеразы (РDЕ4), которые могут быть использованы для лечения обструктивной пневмонии, астмы, бронхита и псориаза [5], дизамещенные пиразолобензодиазепины, используются в качестве ингибиторов CDK2 и ангиогенеза, а также для лечения злокачественных новообразований молочной железы , толстого кишечника, лёгкого и предстательной железы [6], препаратов для подавления аппетита[7].
С одной стороны исследование этих соединений играет важную роль в решении фундаментальных проблем строения, реакционной способности и таутомерии органических веществ, а также механизмов и регионаправленности реакций. С другой стороны, широчайший спектр химических превращений, характерный для данных соединений, обусловил их применение как важных строительных блоков в гетероциклическом синтезе.
2 Синтез 2,3,3,6-тетрагидро-пиразоло[3,4-d][1,2]диазепина и его производных.
Систематические и обобщающие исследования синтеза производных пиразолодиазепинов не проводились, некоторые вопросы остаются незатронутыми, спорными или до конца неразрешёнными. Такие важные аспекты, как селективность и выбор подходящих условий реакций, обсуждение механизмов превращений, региостроение, таутомерия и дальнейшие модификации полученных соединений практически неосвещены в литературе. Исследован разносторонне лишь синтез 2,3,3,6-тетрагидро-пиразоло[3,4-d][1,2]диазепин производных.
Французкие ученые исследовали химиоспецифичность и региоселективность в реакциях циклоприсоединения диазоалканов к 1Н-1,2-диазепинам.

Синтез и реакции некоторых 2,3,3, 6 -Тетрагидро-пиразоло [3,4- d] [1,2] диазепинов изучали Джонатан Р. Фрост и Жак Стреиз. Они добились синтеза стабильных 2,3,3,6-тетрагидро-пиразоло[3,4-D] [1, 2] диазепин производных. Эти соединения являются потенциальными тетра-аза-азулен прекурсорами. [8]. Были исследованы их превращения, которые отражены на схеме 1.1
Схема 1.1

3 Циклоконденсации на основе - , непредельных кетонов.
К числу наиболее используемых подходов к синтезу азагетероциклических систем относятся циклоконденсации на основе - , непредельных кетонов. Популярность данного типа гетероциклизаций вызвана высокой реакционной способностью бифункциональных еноновых систем при существенных различиях в электрофильных свойствах альтернативных реакционных центров. Как следствие - высокая региоселективность реакций выгодно отличает , -ненасыщенные кетоны, например, от их синтонных аналогов -дикарбонильных соединений, взаимодействие несимметричных представителей которых с бинуклеофильными частицами, чаще всего, приводит к образованию смеси региоизомерных гетероциклических продуктов реакции.
Особое место в ряду гетероциклизаций ненасыщенных карбонильных соединений занимает циклоконденсации на основе ароматических 1,2-диаминов. Эти реакции характеризуются многообразием направлений формирования нового гетероцикла, приводящим к различным, подчас неожиданным, структурам. Данная особенность связана с тем, что, во-первых, продукты "нормального" взаимодействия непредельного кетона с о-диамином - дигидрированные ди- и триазепиновые системы - весьма химически лабильны и способны к дальнейшим превращениям. Во-вторых, при наличии альтернативы, процесс образования
семичленных гетероциклов термодинамически заметно менее выгоден, чем шести- и пятичленных структур (особенно гетороароматических).
И как следствие, распространенными явлениями при взаимодействии
о-диаминов с халконами являются наложение на процесс конденсации вторичных химических побочных реакций. Такая неоднозначность нашла свое отражение в литературных дискуссиях по строению образующихся продуктов: достаточно отметить, что некоторым из них последовательно приписывалось по три и более различных структур.
В последние годы в качестве компонентов конденсации с
,-непредельными кетонами интенсивно изучали диамины гетероциклического ряда производные пиразола [9].
Так в работах [10, 11] приведены достоверные данные об образовании дигидродиазепиновых систем при взаимодействии 5-метил-2-фенил-2Н-пиразол-3,4-диамина с халконами и диарилиденацетонами:
Схема 1.2

4 Новые методы синтеза производных пиразолодиазепинов.
Под методом синтеза понимается более или менее стандартизованная процедура, в результате которой удается безотказно осуществить строго определенное преобразование структуры исходных реагентов, независимо от частных особенностей их строения . В таком случае под новыми методами нужно подразумевать такие, которые невозможно было спланировать или предвидеть заранее, поскольку в существующей практике органического синтеза отсутствуют очевидные аналогии, пригодные в качестве образца для подражания.
Новые методы синтеза все еще выявляются в процессе изучения различных полифункциональных соединений. Поведение сложных молекул, конечно же, определяется во многом их внутримолекулярными электронными и стерическими взаимодействиями, но они не всегда очевидны с позиций существующих знаний и их проявление может быть установлено в ходе эксперимента как бы совершенно случайно.
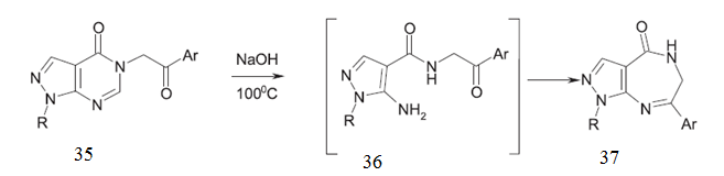
Новый подход к синтезу пиразоло [3,4-е][1,4]диазепин-4(1Н)-онов (19, 21) основан на внутримолекулярной циклизации амидов 5-амино-4-пиразолокарбоновых кислот(18,20). Разработан метод селективного восстановления соединений (19.21), что позволило получить ранее неизвестные перспективные скафолды (22,23.24): для рационального поиска новых фармацевтических препаратов.
Схема 1.3

В литературе имеется единичные примеры синтеза конденсированных систем производных 2,3-бензодиазепина базирующихся на реакциях пристройки диазепинового кольца к гетероциклическим системам. Так, греческими авторами описана весьма необычная термическая рециклизация илидов (25) в производные пиразоло[4,3-d][2,3]бензодиазепинов (26). [14]
Схема 1.4

Рассмотренные дальше необычные циклоконденсации изучены на сериях реагентов, установлена пригодность их использования в качестве достаточно общих методов синтеза.
Разработаны методы синтеза 2,3-дигидро-1Н-бензо-, пиразол [4,5-b] - и пиримидо [4,5- b] [1,5]-диазепины в реакциях 4- нитро-о-фенилендиамина, 4,5-диамино-3-метил-1-(п-R-фенил)пиразола и 4-гидрокси-5,6-диамино-пиримидина с ненасыщенными кетонами. Установлено, что в случае различной нуклеофильности аминогрупп в условиях кислотного катализа реакция проходит через стадию 1,2-нуклеофильного присоединения к еноновой системы более нуклеофильного из них. [15]
Большой интерес представляют превращения (Гет)ароилпиро-виноградной кислоты (Г)АП (27) с динуклеофилами, поскольку эти реакции служат основой для синтеза различных гетероциклических систем.
|
|
При этом взаимодействие может происходить либо по либо по -дикарбонильному фрагменту. В реакциях с -динуклеофилами (гидразины, гидроксиламин) во взаимодействие вовлекается - дикарбонильная часть (Г)АП, а с большинством других нуклеофилов предпочтительным является присоединение по -дикарбонильному остатку. В большинстве случаев эти процессы идут регио- и хемоселективно, что позволяет использовать (Г)АП для целенаправленного синтеза гетероциклов.
Реакции с гетероциклическими диаминами. Для (Г)АП (27)известны реакции с гетероароматическими орто-диаминами, в ходе которых в зависимости от природы реагентов могут быть получены аннелированные производные пиразин-2-она или -аннелированные1,4-диазепины. С несимметричными диаминами эти реакции протекают региоселективно.
Направление реакций (Г)АП с 4,5-диамино-3-метил-фенилпиразолом (28) зависит от условий их проведения и природы ,-трикарбонильного соединения. В метаноле при 200С в присутствии каталитических количеств HCl (Г)АП присоединяет диамин (28) по -дикарбонильному фрагменту, образуя 7-арил-5-карбокси(метоксикарбонил)-3-метил-1-фенил-6Н-пиразоло-[5,4-]-1,4-диазепины(29). [16]
Схема 1.5

5 Новые рециклизации ведущие к образованию пиразолодиазепинов.
Рециклизации представляют собой процессы образования циклических соединений, которые протекают в результате перестройки остова других циклов [17]. Ценность рециклизации - в возможности получения функционализованных продуктов, причем с таким взаиморасположением структурных фрагментов, которого трудно достичь при использовании других препаративных методов. Считается, что эти преобразования имеют узкие возможности для синтеза новых соединений из-за значительных препаративных ограничений. Они, как правило, требуют жестких условий реакции или наличие заместителей, дестабилизирующих исходную гетероциклическую систему. Эти реакции, в том числе ведущие к образованию пиразолов, бурно развиваются в последние время, что отражено целой лавиной обзорной информации [18-27]. Термин «гидразинолизная рециклизация» был введен в научную литературу недавно [28.29] и обозначает рециклизации, родственные гидразинолизу, то есть такие, в которых, перестройка цикла начинается в результате нуклеофильной атаки аминогруппой гидразина или гидразона по электрофильному центру, расположенному в цикле. Тем не менее, недавно удалось выявить несколько принципиально новых способов рециклизации, отличающихся по сравнению с известными либо новым направлением, либо последующим каскадным превращением, либо связанных с перестройкой особо прочных углерод-углеродных связей, либо простыми способами инициирования труднопроходящих превращений или же фиксирования образования их продуктов.
Продукты рециклизации общего строения (30) имеют полифункциональный характер, благодаря чему способны к некоторым интересным превращениям (Схема 1.2). Так, при нагревании они могут циклизоваться с образованием 1-(5-пиразолил)бензимидазолов (31)[30]. Соединения (30), содержащие цианэтильную группировку у атома азо-
та пиразольного кольца и трифторацетильную группировку у анилинового атома азота(R=(CH2)2CN,R"=СF3), при кипячении с соляной кислотой претерпевают циклоконденсацию с образованием производных новой полигетероциклической системы - пиразоло[5',1:2,3]пиримидо[1,6-]бензимидазола (32) [31]. Кроме того, соединения (30) с трифторацетаминовой группировкой (R"=СР3) легко подвергаются гидразинолизу с образованием аминосоединений (33) [32-34], из которых при циклоконденсации с ароматическими альдегидами образуются ранее неизвестные 4-арил-1,4,5,10-тетрагидропиразоло[3,4-d][1,5]бензодиазепины (34) [12].
Схема 1.6

Реакция гидролитического расщепления пиримидинового цикла в конденсированных азолопиримидинах занимает надлежащее место при разработке методологии построения новых азолодиазепинових систем. Недавно [35,36] было показано, что продукты щелочной фрагментации замещенных пиразол [3,4-d]пиримидин-4-онов могут быть использованы для синтеза производных пиразол [3,4-е] [1,4]диазепинов. При этом оказалось, что амиды 5-амино-N-ароилметилпиразоло-4-карбоновой кислоты уже в реакционных условиях подвергаются внутримолекулярной конденсации до 1,7-дизамещенных 5,6-дигидропиразоло [3,4-е] [1,4] диазепины-4(5Н)-онов. [37] (Схема 1.7).
Схема 1.7

СПИСОК ЛИТЕРАТУРЫ
- Fray M.J., Bull D., Cooper K., et al., J. Med. Chem. 1995 38 3524.
- Nazarinia M., Sharifian A., Shafiee A., J. Heterocycl. Chem. 1995 32 (2) 223.
- De Wald H. A. J.Med. Chem. - 19S1 -Vol. 24 - P. 982-987.
- Bioorganic & Medicinal Chemistry Letters 14 (2004) 4585-4589
- Патент № US2009 0054413 Al. 2009
- Патент РФ № 2394826, 2000
- Патент FR № 005071,2001
- P. Geseke, F. Klinger, W. Mller, J. Streith. H. Strub und R. Susimann. Chem. Вег. 118, 4682-4706 (1985). Chemospezifitt und Regioselektivitt bei der Cycloaddition von Diazoalkanen an 1//-1,2-Diazepine
- Десенко С.М.,Чебанов В.А.. Колос H.H.. Орлов В.Д. Циклокондесация ароматических и гетероароматических 1.2-диаминов с ,-непредельнымп карбонильными соединениями. Избранные методы синтеза и модификации гетероциклов.Под ред. В.Г. Карцева. - М.: IBS PRESS том 1, 2003
- Орлов В.Д, Кирога Х.С.Колос Н.Н. //ХГС. - 1987. - №3. - С. 363.
- Орлов В.Д, Кирога Х.С.Марруго А.А. //ХГС. - 1987. - №11. - С. 1563.
- Дзвинчук И.Б., Туров АЛ, Лозинский М.О. 2-фенацил-1н-бензимидазолы и их структурные аналоги в классических и новых методах синтеза. //ХГС - 2006. - №6. - С. 913-918.
- Дзвинчук И.Л, Лозинский М.О. 2-фенацил-1н-бензимидазолы и их структурные аналоги в классических и новых методах синтеза.//ЖОФХ. - 2006. -Т. 4, №4 (16).- С. 25-28.
- Laskos E., Pygmalion S. Lianis A., Rodios N. Unexpected Pyrazolo[4,3-d][2,3]benzodiazepine Synthesis from 1-(N,N- Diaroyl)amino-4-phenyl-[ 1,2,3]triazol-5-yl-mcthyllriphenylphosphonium bromide via Tandem Phosphorylide Formation and Subsequent Dimroth-like Rearrangement of the Triazole Ring // Tetrahedron Lett.-1995.Vol. 31,-P. 5737-5740.
- Колос Н.М. Гетероциклізації за участю єнонових систем та азотовмісних бінуклеофілів. Рукопис. Дисертація на здобуття наукового ступеня доктора хімічних наук за спеціальністю 02.00.03 органічна хімія. Харківський національний університет ім. В.Н.Каразіна, Харків, 2003.
- .Перевалов С.Г, Бургарт Я.В., Салоутин В.И., Чупахин О.Н. (Гет)ароилпировиноградные кислоты и их производные как перспективные «строительные блоки» для органического синтеза. Успехи химии 70(11) 2001. Российская академия наук. Отделение общей и технической химии Российской академии наук.
- Опейда Й., Швайка О.П., Ніколаєвський А.М. Тлумачний термінологічний словник з хімічної кінетики. Донецьк: Вид-во Донецького ун-ту, 1995. - 263 с.
- Kost A.N., Grandberg I.I. Advances in heterocyclic chemistry / Ed. A.R.Katritzky. - N.Y., London: Academic Press, 1966. - Vol. 6.-P. 347-429.
- Elguero J. Comprehensive Heterocyclic Chemistry /Eds. A.R.Katritzky, C.W.Rees, K.T.Potts. - Oxford-New York-Toronto-Sydney-Paris-Frankfurt: Pergamon Press, 1984. - Vol. 5. - P. 167-304.
- Швайка О.П., Артемов ВН. //ЖОХ. - 1972. - Т. 41, вып. 10. - С. 1788-1823.
- Van der Plas Н.С. Ring transformatios ofheterocycles: In 2 Vol. - London-New York: Academic Press, 1973. Бабаев E.B., Зефиров Н.С. //ХГС. -1996. - №11/12. - С. 1564-1580.
- Fusco R. The Chemistry of Heterocyclic Compounds / Eds. A. Weissberger, R.H. Wiley - New York-Iondon-Sydney: Wiley & Sons, 1967.- Vol. 22. - P. 3-174.
- Звездина ЭЛ., Жданова М.П., Дорофеенко Г.Н. //Усп. химии. - 1982. - Т. 51, вып. 5. - С. 817-847. Nishivaki Т. //Synthesis. - 1975. - №1. - Р. 20-37.
- Takagi К, Hubert-Habart М. //]. Heterocycl. Chem. - 1996. - Vol. 33, №4. - P. 1003-1015. Фрасинюк M.C, Хиля В.П. //ХГС. - 1999. - №1. - С. 3-23.
- Vivona N., Buscemi S., Frenna V., Gusmano G. //Adv. Heterocycl. Chem. - 1993. - Vol. 56. - P. 49-154.
- Hajos C, Riedl I., Kollenz G. //Eur. J. Org. Chem. - 2001. - Vol. 18. - P. 3405-3414.
- Журавель І.О., Коваленко С.М., Черних В.П., Русанова С.В. //ЖОФХ. - 2003. - Т. 1, №3-4. - С. 21-25.
- Дзвинчук И.Б., Лозинский М.О. //ХГС. - 2001. - №4. - С. 507-510.
- Дзвинчук И.Б., Выпирайленко A.B., Лозинский М.О. //Изв. АН, сер. хим. - 2005. - №3. - С. 513-518.
- Дзвинчук И.Б., Туров A.B., Лозинский М.О. //ЖОФХ. - 2004. -Т. 2, №3 (7).- С. 41-46.
- Дзвинчук И.Б., Выпирайленко A.B., Лозинский М.О. //ЖОХ. - 1998. - Т. 34, вып. 5. - С. 327-729.
- Дзвинчук И.Б., Лозинский М.О. //ХГС. - 2005. - №7. - С. 1002-1006.
- Дзвинчук И.Б., Лозинский М.О. // ХГС. - 2005. - №11. - С. 1685-1690.
- Пат. 75942 (2006) Україна. //Б. В. - 2006. - №6.
- Больбут А.В.,Лищинский А.А, Вовк М.В.//ЖОФХ.-2007.-т.5,вып.3.-с.64-66
- Больбут А.В.,Лищинский А.А,Мельничук И.М.,, Вовк М.В.//ЖОФХ.-2010.-Т.8,вып.1.-С.54-57.
- Больбут А.В., Кемський С.В., Толмачова В.С., Вовк М.В. Конденсовані піримідинові системи. Синтез і гідролітичне розщеплення 5-ароїлметилізоксалоло[5,4-d]піримідин-4(5Н)-онів и 6-ароїлметил-7H-1,2,3-триазоло[4,5-d]піримідин-7-онів. Журнал органічної та фармацевтичної хімії. - 2012. -Т. 10, вип. 4 (40)
