Анализ формирования и распределения прибыли предприятия ОАО «Роснефть»
СОДЕРЖАНИЕ
|
ВВЕДЕНИЕ……………………………………………………………………….. |
4 |
|
1. Теоретические аспекты анализа формирования и распределения прибыли предприятия………………………………………………….…………................. |
6 |
|
1.1 Сущность, принципы и формы прибыли предприятия……………..….. |
6 |
|
1.2 Особенности формирования и распределения прибыли предприятия……………………………………………………………………. |
13 |
|
2. Анализ основных фондов предприятия ОАО «Роснефть»…………………………………………………………………….. |
33 |
|
2.1 Анализ структуры и динамики основных фондов предприятия ОАО «Роснефть»……………………………………………………………………….. |
33 |
|
2.2 Расчет показателей эффективности использования основных фондов предприятия ОАО «Роснефть»…………………………………………………. |
42 |
|
2.3 Анализ динамики коэффициентов эффективности фондов предприятия ОАО «Роснефть»………………………………………………………………… |
43 |
|
3. Анализ оборотных средств предприятия ОАО «Роснефть»………………………………………………………………………. |
48 |
|
3.1 Анализ структуры и динамики оборотных средств предприятия ОАО «Роснефть»………………………………………………………………………. |
48 |
|
3.2 Расчет показателей эффективности оборотных средств предприятия ОАО «Роснефть»………………………………………………………………. |
51 |
|
3.3 Анализ динамики показателей эффективности оборотных средств предприятия ОАО «Роснефть»……………………………………………….. |
52 |
|
4. Анализ рентабельности и безубыточности предприятия ОАО «Роснефть»………………………………………………………………………… |
55 |
|
4.1 Расчет и анализ показателей рентабельности предприятия ОАО «Роснефть»……………………………………………………………………….. |
55 |
|
4.2 Анализ безубыточности предприятия ОАО «Роснефть»……………….. |
58 |
|
5. Рекомендации по повышению эффективности формирования и распределения прибыли предприятия ОАО «Роснефть»……………………….. |
60 |
|
ЗАКЛЮЧЕНИЕ ………………………………………………………………….. |
62 |
|
СПИСОК ИСПОЛЬЗУЕМОЙ ЛИТЕРАТУРЫ…………………………………. |
64 |
|
ПРИЛОЖЕНИЯ…………………………………………………………………… |
66 |
Аннотация
ФИО Анализ формирования и распределения прибыли предприятия ОАО «Роснефть» Челябинск: ЧелГУ, 2014 г. 65 стр. Библиографический список 27 наименований.
Таблиц 7, рисунков 24
В теоретической части курсовой работы рассмотрены аспекты формирования и распределения прибыли предприятия. Проведен анализ сущности, форм и принципов анализа прибыли предприятия, выявлены особенности анализа формирования и распределения прибыли предприятия.
В практической части курсовой работы проанализированы основные фонды, оборотные средства, рентабельность и безубыточность предприятия ОАО «Роснефть». Разработаны рекомендации по повышению эффективности формирования и распределения прибыли на предприятии ОАО «Роснефть».
ВВЕДЕНИЕ
Актуальность темы исследования. Финансовый результат деятельности предприятия выражается в изменении величины его собственного капитала за отчетный период. Способность предприятия обеспечить неуклонный рост собственного капитала может быть оценена системой показателей финансовых результатов.
Показатели финансовых результатов (прибыли) характеризуют абсолютную эффективность хозяйствования предприятия по всем направлениям его деятельности: производственной, сбытовой, снабженческой, финансовой и инвестиционной. Они составляют основу экономического развития предприятия и укрепления его финансовых отношений со всеми участниками коммерческого дела.
Рост прибыли создает финансовую базу для самофинансирования, расширенного воспроизводства, решения проблем социального и материального поощрения персонала. Прибыль является также важнейшим источником формирования доходов бюджета и погашения долговых обязательств организации перед банками, другими кредиторами и инвесторами. Таким образом, показатели прибыли являются важнейшими в системе оценки результативности и деловых качеств предприятия, степени его надежности и финансового благополучия как партнера.
Объектом исследования в курсовой работе прибыль предприятия.
Предмет исследования формирование и распределение прибыли на предприятии.
Целью курсовой работы является анализ формирования и распределения прибыли предприятия ОАО «Роснефть».
Для достижения цели, необходимо решить следующие задачи:
- проанализировать сущность, формы и принципы прибыли предприятия;
- выявить особенности формирования и распределения прибыли предприятия;
- провести анализ структуры и динамики основных фондов предприятия ОАО «Роснефть»;
- провести расчет показателей эффективности использования основных фондов предприятия ОАО «Роснефть»;
- провести анализ динамики коэффициентов эффективности фондов предприятия ОАО «Роснефть»;
- проанализировать структуру и динамику оборотных средств предприятия ОАО «Роснефть»;
- провести расчет показателей эффективности оборотных средств предприятия ОАО «Роснефть»;
- проанализировать динамику показателей эффективности оборотных средств предприятия ОАО «Роснефть»;
- провести расчет и анализ показателей рентабельности предприятия ОАО «Роснефть»;
- провести анализ безубыточности предприятия ОАО «Роснефть»;
- разработать рекомендации по повышению формирования и распределения прибыли на предприятии ОАО «Роснефть».
В работе использована теория и методология по проблеме: анализ формирования и распределения прибыли предприятия, факторы ее роста, изложенная в монографиях и статьях российских и зарубежных авторов, нормативных документах, источниках сети Internet, и прочих документах.
1. Теоретические аспекты анализа формирования и распределения прибыли предприятия
1.1 Сущность, принципы и формы прибыли предприятия
Функционирование предприятия в условиях рынка зависит от его способности получать доход или прибыль.
Прибыль это конечный финансовый результат деятельности предприятия, характеризующий его эффективность. В условиях рыночной экономики прибыль выступает важнейшим фактором стимулирования производственной и предпринимательской деятельности. Налог на прибыль становится одним из основных источников формирования бюджета. За счет прибыли погашаются долговые обязательства предприятия перед банком и инвесторами. Сумма прибыли определяется объемом продаж, качеством, ассортиментом и конкурентоспособностью продукции на внутреннем и внешнем рынках, уровнем затрат и инфляционными процессами.
Прибыль до налогообложения отражает общий финансовый результат производственно-хозяйственной деятельности организации в отчетном периоде с учетом всех ее сторон, и важнейшей составляющей этого показателя является прибыль от продажи товаров. Прибыль от продаж в общем случае изменяется под воздействием множества факторов, таких как изменение объема продажи, структуры продукции, продажных цен, цен на сырье, материалы, топливо, тарифов на энергию и перевозки, уровня затрат материальных и трудовых ресурсов.
Обобщающая оценка финансового состояния предприятия достигается на основе таких результативных показателей, как прибыль и рентабельность.
Величина прибыли, уровень рентабельности зависят от производственной, снабженческой, сбытовой и коммерческой деятельности предприятия, иначе говоря, эти показатели характеризуют все стороны хозяйствования.
С экономической точки зрения прибыль это разность между денежными поступлениями и выплатами, а с хозяйственной это разность между имущественным состоянием предприятия на конец и начало периода. Прибыль, исчисленная в бухгалтерском учете, не отражает действительного результата хозяйственной деятельности. Это привело к разграничению понятий бухгалтерской и экономической прибыли.
Первая (бухгалтерская прибыль) есть результат реализации товаров и услуг, вторая (экономическая прибыль) результат работы капитала. Данная идея принадлежит Давиду Соломону, который исходил из предпосылки, что концепция прибыли нужна для:
1) исчисления налогов;
2) защиты кредиторов;
3) для выбора инвестиционной политики.
Бухгалтерская трактовка прибыли приемлема для первой цели и неприемлема для третей. Формула Д. Соломона выглядит следующим образом:
Экономическая прибыль = Бухгалтерская прибыль + Внереализационные изменения стоимости (оценки) активов в течение отчетного периода - Внереализационные изменения стоимости (оценки) активов в прошлые периоды + Внереализационные изменения стоимости активов в будущие периоды.
Этот подход предполагает ежеквартальное определение гуд-вилла (нематериальный актив, отражающий деловую репутацию фирмы) и его колебаний.
Прибыль выполняет следующие основные функции:
- является показателем эффективности деятельности предприятия;
- обладает стимулирующей функцией, т.к. выступает основным элементом финансовых ресурсов предприятия;
- является источником формирования бюджетов различного уровня.
В российской практике употребляются следующие понятия прибыли.
Валовая прибыль сумма прибыли (убытка) от реализации продукции (работ, услуг), основных фондов (включая земельные участки), иного имущества предприятия и доходов от внереализационных операций, уменьшенных на сумму расходов по этим операциям.
Прибыль (убыток) от реализации продукции (работ, услуг) определяется как разница между выручкой от реализации без НДС, акцизов и затратами на производство и реализацию, включаемыми в себестоимость.
Формирование выручки связано с особенностями выполняемых работ и применяемыми формами расчетов. Например, в строительных организациях выручка отражает стоимость законченных объектов строительства или работ выполненных по договорам подряда и субподряда. Для определения прибыли используется фактическая себестоимость сданных работ. В торговле, снабженческих и сбытовых организациях выручка соответствует валовому доходу от продажи товаров. Валовый доход исчисляется как разница между продажной и покупной стоимостью реализованных товаров. Для определения прибыли из него исключаются издержки обращения торговых, снабженческих, сбытовых организаций. На транспорте и связи выручка отражает средства, полученные за предоставляемые услуги по действующим тарифам. В качестве себестоимости выступает показатель эксплуатационных расходов предприятий транспорта и связи с учетом расходов по экспедиционным и погрузочно-разгрузочным работам.
В валовую прибыль включено также превышение выручки от реализации основных фондов и иного имущества, что, прежде всего, означает прирост капитала. Прибыль (убыток) от реализации основных средств, их прочего выбытия, реализации иного имущества это финансовый результат не связанный с основными видами деятельности предприятия. Он отражает прибыли (убытки) по прочей реализации, к которой относится продажа на сторону различных видов имущества, числящегося на балансе хозяйствующего субъекта. Предприятие вправе списывать, продавать, ликвидировать, передавать свое имущество: здания, сооружения, оборудование, транспортные сродства, материальные ценности и другие виды имущества.
Финансовый же результат имеет место только при продаже перечисленных видов. Он определяется как разница между выручкой от реализации имущества (за вычетом НДС, спецналога) и их остаточной стоимостью с учетом понесенных расходов по реализации, скорректированной на коэффициент инфляции. Под иным имуществом понимаются сырье, материалы, топливо, запчасти, нематериальные активы (патенты, лицензии, торговые марки, программные продукты), валютные ценности (валюта, ценные бумаги в валюте, драгоценные металлы и камни), ценные бумаги.
Влияние на величину валовой прибыли оказывают и доходы, и расходы от внереализационных операций. Финансовые результаты от внереализационных операций это прибыль (убыток) по операциям различного характера, не относящимся к основной деятельности предприятия и не связанных с реализацией продукции, основных фондов, иного имущества, выполнением работ и услуг. Финансовый результат определяется как доходы за минусом расходов по внереализационным операциям.
К доходам по внереализационным операциям относят:
- доходы, подученные на территории РФ и за пределами от долевого участия в деятельности других предприятий (т.е. часть прибыли, поступающая учредителю в оговоренном размере или дивиденды по акциям пакетом которых владеет предприятие);
- дивиденды по акциям, доходы по облигациям и другим ценным бумагам;
- доходы от сдачи имущества в аренду;
- доходы от дооценки производственных запасов и готовой продукции;
- присужденные или признанные должником штрафы, пени, неустойки и другие санкции, а также доходы от возмещения убытков;
- прибыль прошлых лет выявленная в отчетном году (суммы, поступившие от поставщиков по перерасчетам за услуги и материальные ценности, полученные и израсходованные в прошлом году; суммы полученные от покупателей по перерасчетам за реализованную продукцию);
- положительные курсовые разницы по валютным счетам и операциям с валютой;
- проценты по денежным средствам, числящимся на счетах предприятия.
К расходам по внереализационным операциям относят:
- затраты по аннулированным производственным заказам, а также на производство не давшее продукции, исключая потери возмещаемые заказчиками;
- затраты на содержание законсервированных мощностей, за исключением затрат возмещаемых из других источников;
- не компенсируемые виновниками потери от простоев по внешним причинам;
- потери от уценки производственных запасов и готовой продукции;
- убытки по операциям с тарой;
- судебные издержки и арбитражные сборы;
- признанные предприятием штрафы, пени, неустойки и возмещение причиненных убытков;
- суммы сомнительных долгов по расчетам с другими предприятиями, отдельными лицами, подлежащие резервированию в соответствии с законодательством;
- убытки, по операциям прошлых лет выявленные в отчетном году, убытки от Списания безнадежной дебиторской задолженности;
- некомпенсируемые потери от стихийных бедствий, включая затраты связанные с предотвращением или ликвидацией их последствий;
- некомпенсируемые убытки в результате пожаров, аварий и других экстремальных условий;
- убытки от хищений, виновники которых не установлены;
- отрицательные курсовые разницы по валютным счетам, а также по операциям с валютой.
Так как валовая прибыль хотя и установлена законодательно, но не отражается в балансе целесообразно использовать тождественное (до принятия соответствующего нормативного документа) понятие балансовой прибыли. Балансовая прибыль конечный финансовый результат, отражаемый в балансе предприятия и выявленный на основании бухгалтерского учета всех его хозяйственных операций и оценки статей баланса.
Балансовая прибыль используется для оценки эффективности производства, выявления динамики ее роста и определения общей рентабельности деятельности. Валовая же прибыль используется для целей налогообложения прибыли, для чего состав внереализационных доходов и убытков корректируется на величину штрафов, пени перечисленных в бюджет.
Чистой прибылью называют прибыль, остающуюся на предприятии после уплаты всех налогов и используемую на развитие производства и социальные нужды.
Объектом распределения на предприятии является балансовая прибыль. Под ее распределением понимается направление прибыли в бюджет и по статьям использования на предприятии. Законодательно регулируется только часть прибыли, поступающая в бюджет. Определение направлений расходования прибыли остающейся в распоряжении предприятия находится в его компетенции. Таким образом, прибыль распределяется между государством, предприятием и собственниками.
Налоговые платежи не должны влиять на заинтересованность предприятия в результатах деятельности. Распределение между предприятием и собственниками должно учитывать не только современное положение предприятия, но и перспективы его развития.
Формирование фондов и резервов вышестоящих организаций (холдингов, консорциумов) за счет прибыли входящих в них предприятий осуществляется по нормативам, устанавливаемым вышестоящим органом управления. Эти нормативы носят индивидуальный характер и зависят от финансового положения хозяйствующего субъекта.
На предприятии распределению подлежит чистая прибыль, из которой также возможны некоторые налоговые отчисления в местные бюджеты и финансовые санкции.
Государство напрямую не вмешивается в процесс распределения чистой прибыли, но посредством предоставления налоговых льгот может стимулировать направление ресурсов на капитальные вложения, на благотворительные цели, финансирование природоохранных мероприятий, на проведение научно-исследовательских работ. Законодательно установлен размер резервного капитала для акционерных обществ, регулируется порядок создания резерва по сомнительным долгам.
Распределение прибыли регламентируется в уставных документах предприятия. В соответствии с уставом создаются фонды: потребления, накопления, социальной сферы. Если фонды не создаются, то в целях планового расходования средств составляются соответствующие сметы на развитие производства, социальные нужды, материальное поощрение работников, благотворительные цели.
К расходам связанным с развитием производства относятся расходы на научно-исследовательские, проектные, опытно-конструкторские и технологические работы, финансирование разработок и освоение новой продукции и технологических процессов, затраты связанные о техническим перевооружением производства, расширением предприятия, проведением природоохранных мероприятий, расходы по погашению долгосрочных кредитов. Накопленная прибыль может быть направлена в уставные капиталы других предприятий, долгосрочные и краткосрочные финансовые вложения, а также может перечисляться вышестоящим организациям, концернам, ассоциациям, союзам.
Распределение на социальные нужды включает расходы по эксплуатации социально-бытовых объектов, финансирование строительства объектов непроизводственного назначения, проведение оздоровительных и культурно-массовых мероприятий.
К материальным поощрениям относятся выплаты премий работникам за достижения в труде, оказание материальной помощи, единовременные пособия, компенсация стоимости питания.
Очевидно, что вся прибыль, остающаяся в распоряжении предприятия, разделяется на прибыль увеличивающую стоимость имущества (т.е. участвующую в накоплении) и прибыль, направляемую на потребление (не увеличивающую стоимость имущества). Если прибыль не расходуется она остается как нераспределенная прибыль прошлых лет и увеличивает размер собственного капитала. Наличие такой прибыли свидетельствует о наличии источника для дальнейшего развития предприятия.
1.2 Особенности формирования и распределения прибыли предприятия
Анализ формирования и распределения прибыли предполагает следующие этапы:
1. Анализ состава и динамики балансовой прибыли.
2. Анализ финансовых результатов от обычных видов деятельности.
3. Анализ уровня среднереализационных цен.
4. Анализ финансовых результатов от прочих видов деятельности.
5. Анализ рентабельности деятельности предприятия.
6. Анализ распределения и использования прибыли.
Источники информации: накладные на отгрузку продукции, данные аналитического бухгалтерского учета по счету продаж и счетам «Прибыли и убытки», «Нераспределенная прибыль, непокрытый убыток», форма бухгалтерской отчетности №2 «Отчет о прибылях и убытках», данные финансового плана.
В анализе используются следующие показатели прибыли: балансовая прибыль, налогооблагаемая прибыль, чистая прибыль.
Балансовая прибыль включает в себя прибыль от обычных видов деятельности, финансовые результаты от операционных и внереализационных операций и чрезвычайных обстоятельств. Схема формирования балансовой прибыли представлена на рис. 1.1.

Рисунок 1.1 Схема факторного анализа прибыли
Налогооблагаемая прибыль представляет собой разность между прибылью от обычной деятельности и суммой льгот по налогу на прибыль.
Чистая прибыль это та часть прибыли, которая остается в распоряжении предприятия после уплаты налога на прибыль.
Анализ состава и динамики балансовой прибыли
В процессе анализа необходимо изучить состав прибыли от обычной деятельности, ее структуру, динамику и выполнение плана за отчетный год. При изучении динамики прибыли необходимо учитывать инфляционные факторы изменения ее суммы. Для этого выручку необходимо скорректировать на средневзвешенный рост цен на продукцию предприятия в среднем по отрасли, а себестоимость товаров, продукции (работ, услуг) уменьшить на их прирост в результате повышения цен на потребленные ресурсы за анализируемый период.
Анализ финансовых результатов от обычных видов деятельности.
Основную часть прибыли предприятия получают от обычных видов деятельности, к которой относят прибыль от продаж продукции (работ, услуг).
Прибыль от продаж продукции в целом по предприятию зависит от четырех факторов первого уровня соподчиненности: объема продаж продукции (VРП); ее структуры (УДi); себестоимости (Зi) и уровня среднереализационных цен (Цi).
Объем продаж продукции может оказывать положительное и отрицательное влияние на сумму прибыли. Увеличение объема продаж рентабельной продукции приводит к пропорциональному увеличению прибыли. Если же продукция является убыточной, то при увеличении объема продаж происходит уменьшение суммы прибыли.
Структура товарной продукции может оказывать как положительное, так и отрицательное влияние на сумму прибыли. Если увеличится доля более рентабельных видов продукции в общем объеме ее реализации, то сумма прибыли возрастет, и, наоборот, при увеличении удельного веса низкорентабельной или убыточной продукции общая сумма прибыли уменьшится.
Себестоимость продукции и прибыль находятся в обратно пропорциональной зависимости: при увеличении уровня цен сумма прибыли возрастает и наоборот.
Расчет влияния этих факторов на сумму прибыли можно выполнить способом цепных подстановок, последовательно заменяя плановую величину каждого фактора фактической величиной (табл.1.1).
Таблица 1.1
Расчет влияния факторов на сумму прибыли способом цепных подстановок
|
Показатель |
Условия расчета |
Порядок расчета |
|||
|
объем реализации |
структура товарной продукции |
цена |
себестоимость |
||
|
План |
План |
План |
План |
План |
|
|
Усл 1 |
Факт |
План |
План |
План |
|
|
Усл 2 |
Факт |
Факт |
План |
План |
|
|
Усл 3 |
Факт |
Факт |
Факт |
План |
|
|
Факт |
Факт |
Факт |
Факт |
Факт |
|
Изменение суммы прибыли за счет:
объема реализации продукции
(1.1)
структуры товарной продукции
(1.2)
средних цен реализации
(1.3)
себестоимости реализуемой продукции
(1.4)
Сначала необходимо найти сумму прибыли при фактическом объеме продаж и плановой величине остальных факторов. Для этого следует рассчитать процент выполнения плана по объему продаж продукции, а затем плановую сумму прибыли скорректировать на этот процент.
Выполнение плана по объему продаж исчисляют сопоставлением фактического объема реализации с плановым в натуральном (если продукция однородна), условно-натуральном и в стоимостном выражении (если продукция неоднородна по своему составу), для чего желательно использовать базовый (плановый) уровень себестоимости отдельных изделий, так как себестоимость меньше подвержена влиянию структурного фактора, нежели выручка.
Затем следует определить сумму прибыли при фактическом объеме и структуре реализованной продукции, но при плановой себестоимости и плановых ценах. Для этого необходимо от условной выручки вычесть условную сумму затрат:
(1.5)
Нужно подсчитать также, сколько прибыли предприятие могло бы получить при фактическом объеме продукции. Для этого от фактической суммы выручки следует вычесть условную сумму затрат:
(1.6)
Если предприятие производит неоднородные виды продукции, тогда структура реализованной продукции определяется отношением каждого вида продукции в оценке по плановой себестоимости к общему объему продаж продукции в той же оценке. В этой ситуации для расчета влияния структурного фактора на изменение общей суммы прибыли используется модель:
(1.7)
где Riпл плановая рентабельность i-х видов продукции (отношение суммы прибыли к полной себестоимости реализованной продукции).
Следует проанализировать также выполнение плана и динамику прибыли от реализации отдельных видов продукции, величина которой зависит от трех факторов первого порядка: объема продажи продукции (VРПi), себестоимости (Зедi) и среднереализационных цен (Цi).
Факторная модель прибыли от реализации отдельных видов продукции имеет вид:
. (1.8)
Анализ уровня среднереализационных цен
Среднереализационная цена единицы продукции рассчитывается путем деления выручки от реализации соответствующего изделия на объем продаж. На изменение ее уровня оказывают влияние следующие факторы: качество реализуемой продукции, рынки сбыта, конъюнктура рынка, инфляционные процессы.
Качество товарной продукции один из основных факторов, от которого зависит уровень средней цены реализации. За более высокое качество продукции устанавливаются более высокие цены и наоборот.
Изменение среднего уровня цены изделия за счет его качества (DЦкач) можно определить следующим образом:
(1.9)
где Цн и Цп соответственно цена изделия нового и прежнего качества;
VРПн объем реализации продукции нового качества;
VРПобщ общий объем продаж i-го вида за отчетный период.
Расчет влияния сортности продукции на изменение средней цены можно выполнить способом абсолютных разниц.
Для этого отклонение фактического удельного веса от планового по каждому сорту умножаем на плановую цену единицы продукции соответствующего сорта, результаты суммируем и делим на 100:
(1.10)
По такой же методике рассчитывается изменение средней цены реализации в зависимости от рынков сбыта продукции.
Если на протяжении года произошло изменение отпускных цен на продукцию по сравнению с плановыми в связи с инфляцией, то изменение цены по каждому виду продукции умножается на объем ее реализации по новым ценам и делится на общее количество реализованной продукции за отчетный период.
Анализ финансовых результатов от прочих видов деятельности
Выполнение плана по прибыли в значительной степени зависит от финансовых результатов деятельности, не связанных с реализацией продукции. Это финансовые результаты, полученные от операционных, внереализационных операций и чрезвычайных обстоятельств.
Анализ сводится в основном к изучению динамики и причин полученных убытков и прибыли по каждому конкретному случаю. Убытки от выплаты штрафов возникают в связи с нарушением отдельными службами договоров с другими предприятиями, организациями и учреждениями. При анализе устанавливаются причины невыполненных обязательств, принимаются меры для предотвращения допущенных ошибок.
Изменение суммы полученных штрафов может произойти не только в результате нарушения договорных обязательств поставщиками и подрядчиками, но и по причине ослабления финансового контроля в отношении их. Поэтому при анализе данного показателя следует проверить, во всех ли случаях нарушения договорных обязательств были предъявлены поставщикам соответствующие санкции.
Убытки от списания безнадежной дебиторской задолженности возникают обычно на тех предприятиях, где постановка учета и контроля за состоянием расчетов находится на низком уровне. Прибыли (убытки) прошлых лет, выявленные в текущем году, также свидетельствуют о недостатках бухгалтерского учета.
Особого внимания заслуживают доходы по ценным бумагам (акциям, облигациям, векселям, сертификатам и т.д.). Предприятия-держатели ценных бумаг получают определенные доходы в виде дивидендов. В процессе анализа изучается динамика дивидендов, курса акций, чистой прибыли, приходящейся на одну акцию, устанавливаются темпы их роста или снижения.
В заключение анализа разрабатываются конкретные мероприятия, направленные на предупреждение и сокращение убытков и потерь от данных видов деятельности.
Анализ рентабельности продукции
Показатели рентабельности более полно, чем прибыль, характеризуют окончательные результаты хозяйствования, потому что их величина показывает соотношение эффекта с наличными или использованными ресурсами. Их применяют для оценки деятельности предприятия и как инструмент инвестиционной политике и ценообразовании.
Показатели рентабельности можно объединить в несколько групп:
показатели, характеризующие рентабельность (окупаемость) издержек производства и инвестиционных проектов;
показатели, характеризующие рентабельность продаж;
показатели, характеризующие доходность капитала и его частей.
Все эти показатели могут рассчитываться на основе балансовой прибыли, прибыли от реализации продукции и чистой прибыли.
Рентабельность производственной деятельности (окупаемость издержек) (R3) исчисляется путем отношения балансовой (Пб) или чистой прибыли (Пч) к сумме затрат по реализованной или произведенной продукции (З):
(1.11)
или
(1.12)
Она показывает, сколько предприятие имеет прибыли с каждого рубля, затраченного на производство и реализацию продукции. Может рассчитываться в целом по предприятию, отдельным его подразделениям и видам продукции.
Рентабельность продаж (Rn) рассчитывается делением прибыли от реализации продукции, работ и услуг или чистой прибыли на сумму полученной выручки (РП). Характеризует эффективность предпринимательской деятельности - сколько прибыли имеет предприятие с рубля продаж. Широкое применение этот показатель получил в рыночной экономике. Рассчитывается в целом по предприятию и отдельным видам продукции.
(1.13)
или (1.14)
Рентабельность (доходность) капитала (Rк) исчисляется отношением балансовой (чистой) прибыли к среднегодовой стоимости всего инвестированного капитала (
) или отдельных его слагаемых:собственного (акционерного), заемного, основного, оборотного, производственного капитала и т.д.
В процессе анализа следует изучить динамику перечисленных показателей рентабельности, выполнение плана по их уровню и провести межхозяйственные сравнения с предприятиями-конкурентами.
Уровень рентабельности производственной деятельности (окупаемость затрат), исчисленный в целом по предприятию (R), зависит от трех основных факторов первого порядка: изменения структуры реализованной продукции, ее себестоимости и средних цен реализации.
Факторная модель этого показателя имеет вид:
(1.15)
Расчет влияния факторов первого порядка на изменение уровня рентабельности в целом по предприятию можно выполнить способом цепных подстановок.
Затем следует сделать факторный анализ рентабельности по каждому виду продукции. Уровень рентабельности отдельных видов продукции зависит от изменения средних реализационных цен и себестоимости единицы продукции:
(1.16)
(1.17)
Таким же образом производится факторный анализ рентабельности продаж. Детерминированная факторная модель этого показателя, исчисленного в целом по предприятию, имеет следующий вид:
(1.18)
Уровень рентабельности продаж отдельных видов продукции зависит от среднего уровня цены и себестоимости изделия:
(1.19)
Аналогично осуществляется факторный анализ рентабельности инвестированного капитала. Балансовая сумма прибыли зависит от объема реализованной продукции (VРП), ее структуры (УДi), себестоимости (Зед), среднего уровня цен (Цi) и финансовых результатов от прочих видов деятельности, не связанных с реализацией продукции и услуг (ВФР).
Среднегодовая сумма основного и оборотного капитала (
) зависит от объема продаж и скорости оборота капитала (коэффициента оборачиваемости Коб), который определяется отношением суммы оборота к среднегодовой сумме основного и оборотного капитала.
Чем быстрее оборачивается капитал на предприятии, тем меньше его требуется для обеспечения запланированного объема продаж.
И наоборот, замедление оборачиваемости капитала требует дополнительного привлечения средств для обеспечения того же объема производства и реализации продукции. Таким образом, объем продаж сам по себе не оказывает влияния на уровень рентабельности, т.к. с его изменением пропорционально увеличиваются или уменьшаются сумма прибыли и сумма основного и оборотного капитала при условии неизменности остальных факторов.
Взаимосвязь названных факторов с уровнем рентабельности капитала можно записать в виде
(1.20)
Резервы увеличения суммы прибыли определяются по каждому виду товарной продукции. Основными их источниками является увеличение объема реализации продукции, снижение ее себестоимости, повышение качества товарной продукции, реализация ее на более выгодных рынках сбыта и т.д. (рис. 1.2)

Рисунок .1.2 Схема подсчета резервов увеличения прибыли от реализации продукции.
Анализ распределения и использования прибыли предприятия
После уплаты налогов прибыль распределяется следующим образом: одна часть используется на расширение производства (фонд накопления), другая - на капитальные вложения в социальную сферу (фонд социальной сферы), третья - на материальное поощрение работников предприятия (фонд потребления). Создается также резервный фонд предприятия.
Для повышения эффективности производства очень важно, чтобы при распределении прибыли была достигнута оптимальность в удовлетворении интересов государства, предприятия и работников. Государство заинтересовано получить как можно больше прибыли в бюджет. Руководство предприятия стремится направить большую сумму прибыли на расширенное воспроизводство. Работники заинтересованы в повышении оплаты труда.
В процессе анализа необходимо изучить динамику доли прибыли, которая идет на самофинансирование предприятия и материальное стимулирование работников и таких показателей, как сумма самофинансирования и сумма капитальных вложений на одного работника, сумма зарплаты и выплат на одного работника. Причем изучать их надо в тесной связи с уровнем рентабельности, суммой прибыли на одного работника, и на один рубль основных производственных фондов. Если эти показатели выше, чем на других предприятиях, или выше нормативных для данной отрасли производства, то имеются перспективы для развития предприятия.
Кроме того, в процессе анализа необходимо изучить выполнение плана по использованию прибыли, для чего фактические данные об использовании прибыли по всем направлениям сравниваются с данными плана и выясняются причины отклонения от плана по каждому направлению использования прибыли.
Основными факторами, определяющими размер отчислений в фонды накопления и потребления, могут быть изменения суммы чистой прибыли (Пч) и коэффициента отчислений прибыли в соответствующие фонды (Кi).
Сумма отчислений прибыли в фонды предприятия равна произведению двух факторов:
Фi = Пч · Кi. (1.21)
Затем надо рассчитать влияние факторов изменения чистой прибыли на размер отчислений в фонды предприятия. Для этого прирост чистой прибыли за счет каждого фактора умножим на плановый коэффициент отчислений в соответствующий фонд:
(1.22)
Важной задачей анализа является изучение вопросов использования средств фондов накопления и потребления. Средства этих фондов имеют целевое назначение и расходуются согласно утвержденным сметам.
Фонд накопления используется в основном для финансирования затрат на расширение производства, его техническое перевооружение, внедрение новых технологий и т.д.
Фонд социальной сферы может использоваться на коллективные нужды (расходы на содержание объектов культуры и здравоохранения, проведение оздоровительных и культурно-массовых мероприятий), фонд потребления на индивидуальные (вознаграждение по итогам работы за год, материальная помощь, стоимость путевок в санатории и дома отдыха, стипендии студентам, частичная оплата питания и проезда, пособия по выходу на пенсию и т.д.).
В процессе анализа устанавливается соответствие фактических расходов расходам, предусмотренным сметой, выясняются причины отклонений от сметы по каждой статье, изучается эффективность мероприятий, проводимых за счет средств этих фондов. При анализе использования средств фонда накопления следует изучить полноту финансирования всех запланированных мероприятий, своевременность их выполнения и полученный эффект.
Методики анализа и оценки динамики прибыли предприятия
Главное предназначение прибыли в современных условиях хозяйствования - отражение эффекта производственно-сбытовой деятельности предприятия. Это обусловлено тем, что в величине прибыли должно находить отражение соответствие индивидуальных затрат предприятия, связанных с производством и реализацией своей продукции и выступающих в форме себестоимости, общественно необходимых затрат, косвенным выражением которых должна явиться цена изделия. Увеличение прибыли в условиях стабильности оптовых цен свидетельствуют о снижении индивидуальных затрат предприятия на производство и реализацию продукции.
Прибыль играет решающую роль в стимулировании дальнейшего повышения эффективности производства, усиления материальной заинтересованности работников в достижении высоких результатов деятельности предприятия. Дальнейшее усиление распределительной и стимулирующей роли прибыли связано с совершенствованием механизма ее распределения.
Общий финансовый результат деятельности организации, бухгалтерская прибыль или убыток, представляет собой алгебраическую сумму результата (прибыли или убытка) от реализации продукции, товаров (работ, услуг), результата (прибыли или убытка) от финансовой деятельности (процентов полученных и уплаченных), операционной деятельности (доходов и расходов), доходов и расходов от прочих внереализационных операций. Общий финансовый результат деятельности организации рассчитывается по формуле :
(1.23)
где бухгалтерская прибыль или убыток;
результат от реализации продукции, товаров (работ, услуг);
результат от операционной и финансовой деятельности;
результат (доходы и расходы от прочих внереализационных операций.
Финансовые результаты деятельности организации характеризуются также показателями выручки (валового дохода) от реализации продукции. Выручка от реализации товаров и продукции свидетельствует о завершении производственного цикла организации, возврате авансированных на производство средств организации в денежную наличность и начале нового витка в обороте средств. После вычета из выручки от реализации товаров и продукции, а также коммерческих и управленческих расходов получим чистый результат (прибыль или убыток) от реализации. Прибыль от реализации может быть рассчитана по формуле:
(1.24)
где финансовый результат от реализации продукции;
выручка (валовой доход от реализации продукции, товаров (работ, услуг);
полная себестоимость реализованной продукции, товаров (работ, услуг).
Показатели финансовых результатов характеризуют абсолютную эффективность хозяйствования организации. Наряду с абсолютной оценкой рассчитывают также относительную эффективность хозяйствования показатели рентабельности. Рентабельность продукции определяется как отношение прибыли от реализации продукции к выручке от реализации продукции. Рассчитывают также множество других показателей рентабельности, меняя числитель и знаменатель общей формулы расчета рентабельности.
Прибыль важнейший показатель эффективности работы организации, источник ее жизнедеятельности. Рост прибыли создает финансовую основу для самофинансирования деятельности организации, осуществления расширенного воспроизводства и удовлетворения растущих социальных и материальных потребностей трудовых коллективов. За счет прибыли выполняются также обязательства организации перед бюджетом, банками и другими организациями. Поэтому анализ прибыли должен охватывать факторы, как ее формирования, так и распределения.
Бухгалтерская прибыль отражает общий финансовый результат производственно-хозяйственной деятельности организации в отчетном периоде с учетом всех ее сторон. Важнейшая составляющая этого показателя прибыль от реализации продукции связана с факторами производства и реализации продукции. Поэтому основное внимание аналитики должно быть сконцентрировано на исследовании причин и факторов изменений по данному показателю. Прибыль от реализации продукции в общем случае изменяется под воздействием таких факторов, как: объем реализации; структура продукции; продажные цены; цены на сырье, материалы, топливо, тарифы на энергию и перевозки; уровень затрат материальных и трудовых ресурсов. Приведем методику формализованного расчета факторных влияний на прибыль от реализации продукции.
1. Расчет общего изменения прибыли (Р) от реализации продукции представлен формулой:
, (1.25)
где Р1 прибыль отчетного года;
Р0 прибыль базисного года.
2. Расчет влияния на прибыль изменений продажных цен (Р1) определяется по формуле:
, (1.26)
Где. реализация в отчетном году в ценах отчетного года
(р цена изделия; q количество изделий);
реализация в отчетном году в ценах базисного года.
3. Расчет влияния на прибыль изменений в объеме продукции (Р2) (собственно объема продукции в оценке по базовой себестоимости) определяется по формуле:
, (1.27)
где Р0 прибыль базисного года;
К1 коэффициент роста объема реализации продукции по базовой себестоимости рассчитывается по формуле (1.30);
(1.28)
где S1,0 фактическая себестоимость реализованной продукции за отчетный период в ценах и тарифах базисного периода;
S0 себестоимость базисного года (периода).
4. Расчет влияния на прибыль изменений в объеме продукции, обусловленных изменениями в структуре продукции (Р3) рассчитывается по формуле (1.29):
, (1.29)
где К2 коэффициент роста объема реализации в оценке по продажным ценам;
N1,0 реализация в отчетном периоде по ценам базисного периода;
N0 реализация в базисном периоде.
5. Расчет влияния на прибыль изменений себестоимости за счет структурных сдвигов в составе продукции (Р4) представлен формулой (1.30):
, (1.30)
где S1,0 себестоимость реализованной продукции отчетного периода в ценах и условиях базисного периода;
S1 фактическая себестоимость реализованной продукции отчетного периода.
6. Расчет влияния на прибыль изменений себестоимости за счет структурных сдвигов в составе затрат (Р5) производится по формуле (1.31):
(1.31)
Отдельным расчетом по данным бухгалтерского учета определяется влияние на прибыль изменений цен на материалы и тарифов на услуги (Р6), а также экономии, вызванной нарушениями хозяйственной дисциплины (Р7). Сумма факторных отклонений дает общее изменение прибыли от реализации за отчетный период (Р), что выражается формулой:
(1.32)
Общее изменения прибыли от реализации за отчетный период (Р) за счет суммы факторных изменений также может быть выражено формулой:
, (1.33)
где Р общее изменение прибыли;
Рi изменение прибыли за счет i-го фактора.
Прибыль и рентабельность в условиях формирования рыночной экономики являются важнейшими показателями хозяйственной деятельности торгующих организаций и предприятий. Эти показатели отражают все стороны деятельности предприятий торговли: объем и структуру розничного товарооборота, рациональность использования ресурсов, осуществление мероприятий по совершенствованию организаций и технологий торговых процессов.
В зарубежных странах для обеспечения системного подхода при изучении факторов изменения прибыли, и прогнозирования ее величины используют маржинальный анализ, в основе которого лежит маржинальный доход.
Маржинальный доход (МД) это прибыль в сумме с постоянными затратами (А):
МД=П+А, (1.34)
откуда П=МД-А. (1.35)
С помощью формулы можно рассчитать сумму прибыли, если известны величины маржинального дохода и постоянных затрат.
Очень часто при определении суммы прибыли вместо маржинального дохода используется выручка (РП) и удельный вес маржинального дохода в ней (Ду).
Поскольку
, (1.36)
. (1.37)
Данная формула успешно применяется тогда, когда необходимо проанализировать прибыль от реализации нескольких видов продукции.
При анализе прибыли от реализации одного вида продукции можно применять модифицированную формулу определения прибыли, если известно количество проданной продукции и ставка маржинального дохода (Дс) в цене за единицу продукции:
(1.38)
П = РП (Ц В) А (1.39)
где В переменные затраты за единицу продукции.
Последняя формула (1.39) позволяет определить изменение суммы прибыли за счет количества реализованной продукции, цены и уровня переменных и постоянных затрат.
Методика анализа прибыли несколько усложняется в условиях многономенклатурного производства, когда кроме перечисленных факторов необходимо учитывать и влияние структуры реализованной продукции.
В зарубежных странах для изучения влияния факторов на изменение суммы прибыли при многономенклатурном производстве используется модель:
. (1.40)
Средняя доля маржинального дохода в выручке (
) в свою очередь зависит от удельного веса каждого вида продукции в общей сумме выручки (УДi) и доли маржинального дохода в выручке по каждому изделию (отношение ставки маржинального дохода к цене):
(1.41)
; (1.42)
. (1.43)
После этого факторная модель прибыли от реализации продукции будет иметь вид:
(1.44)
Она позволяет установить изменение прибыли за счет количества (объема) реализованной продукции, ее структуры, отпускных цен, удельных переменных издержек и постоянных расходов предприятия.
Методика анализа рентабельности по системе «директ-кост» будет осуществляться с использованием следующей факторной модели
(1.45)
Для анализа рентабельности издержек в целом по предприятию используем следующую факторную модель:
(1.46)
Последовательно заменяя плановый (базисный) уровень каждого факторного показателя на фактический и сравнивая результат расчета до и после замены каждого фактора, можно определить изменение уровня рентабельности за счет объема реализованной продукции РПобщ, ее структуры (УДi), цены (Ц), удельных переменных расходов (В) и суммы постоянных затрат (А).
Аналогичным образом производится анализ рентабельности продаж (предпринимательской деятельности):
(1.47)
Анализ рентабельности инвестированного капитала производится по следующей факторной модели:
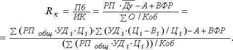
(1.48)
где Пб балансовая сумма прибыли;
ИК среднегодовая сумма инвестиционного капитала;
Коб коэффициент оборачиваемости капитала (отношение суммы оборота к среднегодовой сумме капитала);
ВФР внереализационные финансовые результаты.
Аналогичным образом производится анализ рентабельности и в том случае, если коэффициент оборачиваемости капитала рассчитан не по дебетовому, а по кредитовому обороту сч.46, т.е. по выручке. Тогда факторная модель рентабельности инвестиционного капитала будет иметь вид
(1.49)
Преимущество рассмотренной методики анализа показателей прибыли рентабельности состоит в том, что при ее использовании учитывается взаимосвязь элементов модели, в частности объема продаж, издержек и прибыли. Это обеспечивает более точное исчисление влияния факторов и, как следствие, более высокий уровень планирования и прогнозирования финансовых результатов. Использование этого метода в финансовом менеджменте отечественных предприятий позволит более эффективно управлять процессом формирования финансовых результатов. Однако это станет возможным только при условии организации планирования и учета издержек предприятий по системе «директ-костинг», т.е. их группировки на постоянные и переменные.
2. Анализ основных фондов предприятия ОАО «Роснефть»
2.1 Анализ структуры и динамики основных фондов предприятия ОАО «Роснефть»
Первые упоминания о компаниях, ныне входящих в состав, «Роснефти» датируются концом 19-го века. В 1889 году началась разведка русскими предпринимателями нефтяных месторождений на Сахалине.
Государственное предприятие по добыче и переработке нефти «Роснефть» было создано в апреле 1993 года. Новому госпредприятию в доверительное управление были переданы свыше 250 предприятий и объединений отрасли, нефтяных и газовых месторождений, образованных в советский период. Предприятия топливно-энергетического комплекса и связанные с ними предприятия государственного сектора экономики были объединены в вертикально интегрированные компании по образцу крупнейших мировых корпораций. В открытое акционерное общество предприятие «Роснефть» было преобразовано постановлением Правительства РФ № 971 от 29 сентября 1995 года.
Кризис 1998 года принес НК «Роснефть» серьезные финансовые и операционные испытания: падение добычи вследствие высокой истощенности ресурсной базы, крайне низкий уровень загрузки перерабатывающих мощностей, сокращение объемов розничной реализации. Развитию «Роснефти» также препятствовали сильно изношенное оборудование и устаревшая технологическая база.
Однако уже в 2000 году (впервые с момента экономического кризиса 1998 г.) «Роснефти» удалось добиться роста добычи. Несмотря на снижение мировых и внутренних цен на нефть и нефтепродукты в 2001 году, Компания существенно улучшила свою операционную эффективность. Годовой прирост объемов добычи нефти превысил 10%. Советом директоров Компании принята Стратегия развития НК «Роснефть», предусматривающая наращивание объемов геологоразведочных работ и добычи углеводородного сырья, развитие нефтеперерабатывающих мощностей и выход на новые рынки. Обнаружены коммерческие запасы углеводородов в рамках проекта Сахалин-1. «Роснефть» первой (после финансового кризиса 1998 г.) среди российских компаний провела размещение еврооблигаций. Но дальнейшие перспективы развития компании выглядели неоднозначно, так как увеличивать добычу и переработку за счет имеющихся месторождений и НПЗ было невозможно.
В 2002 2004 годах Компания наращивала активы и расширяла географию деятельности. В 2002 году приобретена лицензия на освоение Кайганско-Васюканского участка (проект «Сахалин-5»). В 2003 году получена лицензия на Венинский участок (проект «Сахалин-3»). Приобретена нефтяная компания ОАО «Северная нефть», что значительно укрепило позиции «Роснефти» в Тимано-Печоре. Приобретена Англо-Сибирская нефтяная компания, владеющая лицензией на разработку Ванкорского месторождения в Восточной Сибири
В 2004 году Совет директоров Компании возглавил Игорь Сечин, что стало поворотной точкой в истории «Роснефти». Благодаря поддержке Председателя Совета директоров и слаженного взаимодействия с основным акционером государством Компания за короткий период существенно повысила эффективность корпоративного управления, провела серьезную работу по консолидации нефтедобывающих и перерабатывающих активов, повысила финансовую дисциплину. Все это позволило «Роснефти» уже в 2005 году занять лидирующие позиции среди нефтяных компаний России по объемам добычи нефти и газа и, как следствие в июле 2006 года провести первичное размещение акций на Лондонской фондовой бирже (IPO). Общая сумма размещения составила 10,7 млрд. долл. это пятое крупнейшее IPO в мире и крупнейшее за всю историю нефтегазовой отрасли, а также - среди российских компаний. Доверие Компании оказали такие глобальные энергетические игроки, как BP, Petronas и CNPC, купив крупные пакеты акций. Также акционерами ОАО НК «Роснефть» стали около 150 тыс. российских физических лиц.
В 2009 году введено в промышленную эксплуатацию крупнейшее месторождение Восточной Сибири Ванкорское. Успешное освоение месторождения сделало Ванкор крупнейшим добывающим проектом в современной истории российской нефтяной отрасли и позволило ему войти в первую десятку аналогичных проектов в мире.
«Роснефть» заняла первое место среди российских компаний в исследовании информационной прозрачности агентства Standard & Poors и продемонстрировала высокую устойчивость в условиях мирового финансового кризиса и, сохраняя объем финансирования стратегических проектов, продолжила генерировать свободный денежный поток и сокращать чистый долг.
В 2010 году запущена работа над новыми проектами в секторе переработки (нефтехимическое предприятие на Дальнем Востоке и Тяньцзинский НПЗ в Китае). Приобретены доли в четырех НПЗ на территории Германии, благодаря чему суммарная переработка компании выросла более чем на 20% - до 61,6 млн. тонн. Сохранены позиции лидера по росту добычи нефти среди российских и иностранных конкурентов. Достигнуты высокие финансовые результаты, чистый долг Компании сократился до уровня конца 2006 года. По результатам года получен самый высокий показатель абсолютного прироста добычи нефти среди российских компаний. «Ванкорнефть» стала второй крупнейшей добывающей компанией группы «Роснефть».
В 2011 году Компания продолжает активное восполнение ресурсной базы. В частности, получены 2 лицензии по факту открытия месторождений, на Байкаловский участок в Красноярском крае и на Бузеровский участок в Самарской области и два свидетельства об установлении факта открытия месторождений им. Н.Лисовского и Санарское в Иркутской области. Еще одно месторождение в регионе открыто на Даниловском лицензионном участке на скважине №71 получен фонтанный приток легкой нефти. Открытие месторождений в чрезвычайно сложных геологических условиях стало возможным благодаря применению инновационных методов и модернизации технологии геологоразведочных работ.
Еще одной приоритетной стратегией Компании стала работа по повышению коэффициента извлечения нефти на стареющих месторождениях, а также на месторождениях с тяжелой трудно-извлекаемой нефтью. В частности разрабатывается комплексная программа геологоразведки и восполнения сырьевой базы стареющих месторождений «Краснодарнефтегаза», «Ставропольнефтегаза», «Грознефтегаза». По состоянию на середину 2011 года проектный коэффициент извлечения нефти в Компании составил 38 %, что существенно выше среднего показателя по отрасли.
В 2012 года стратегическими задачами Компании были объявлены повышение экологической и промышленной безопасности предприятий, модернизация перерабатывающего блока, разработка месторождений и увеличение добычи нефти.
Ключевым событием для ОАО «Роснефть» в 2012 году стало достижение окончательных договоренностей по приобретению 100 % доли в ТНК-ВР.
Отдельным направлением развития НК «Роснефть» становятся соглашения с ведущими мировыми энергетическими компаниями по освоению шельфа.
В 2012 году рамках стратегического сотрудничества с ExxonMobil заключено соглашение об опытной разработке трудноизвлекаемых запасов баженовской и ачимовской свит в Западной Сибири. ExxonMobil предоставит финансирование в размере до 300 млн. долл. Компании также заключили соглашение по вхождению Exxon Mobil в Арктический научно-проектный центр шельфовых разработок.
Подписаны соглашения с компанией Statoil по созданию совместного предприятия (СП) для работы на участках «Роснефти» в Охотском и Баренцевом морях, а также совместной оценке трудноизвлекаемых запасов нефти месторождений Компании в Западной Сибири и Ставропольском крае.
Заключено соглашение с Eni о создании СП для освоения лицензионных участков российского шельфа в Баренцевом и Черном морях. Eni полностью профинансирует геологоразведочные работы и компенсирует основную часть исторических затрат.
Завершена сделка по созданию СП на базе ООО «НГК «Итера» в области добычи и реализации газа. Консолидированные доказанные и вероятные запасы СП по классификации PRMS составляют 427 млрд. куб. м газа и 25,8 млн. т жидких углеводородов.
Общее собрание акционеров приняло решение о выплате 78,5 млрд. руб. (25 % от чистой прибыли по МСФО) в качестве дивидендов по итогам 2011 г. Суммарный размер дивиденда на одну акцию составил 7,53 руб., что превышает уровень 2010 г. почти в 3 раза.
На XVII Петербургском международном экономическом форуме, по сложившейся практике собравшем представителей мировой политической и бизнес-элиты, НК «Роснефть» подписала рекордное количество соглашений, экономически значимых как для Компании, так и для страны в целом.
2013 год стал рекордным и поворотным в истории ОАО «НК «Роснефть»как с точки зрения достижения высоких производственных и финансовых показателей, так и с позиции реализации стратегических инициатив, которые задают динамику развития Компании и отрасли в целом на десятилетия вперед. Компания завершила ряд ключевых приобретений, синергетический эффект от которых составил более 27 млрд. рублей. Проведена большая работа по успешной интеграции в периметр ОАО «НК «Роснефть» приобретенных активов ТНК-ВР, ООО «НГК «ИТЕРА», ОАО «Сибнефтегаз». По результатам этой деятельности «Роснефть» стала крупнейшей публичной нефтегазовой компанией в мире.
За 2013 год «Роснефть» заметно увеличила свою активность в зарубежных проектах, активно развивала экспортное направление, в том числе используя такие передовые формы развития бизнеса, как долгосрочные контракты с предоплатой. Заключенное в 2013 году долгосрочное соглашение с Китайской национальной нефтегазовой корпорацией о поставке нефти сроком на 25 лет на общую сумму 270 млрд. долларов США стало беспрецедентным для мирового бизнеса.
Были проведены эффективные геологоразведочные работы, инвестиции в которые в 2013 году составили 38 млрд рублей. В результате выполненного комплекса геологоразведочных работ было открыто 6 месторождений и 70 новых залежей. При рекордной добыче жидких углеводородов в объеме 4 196 тыс. барр./сут. прирост запасов углеводородов за счет эффективных геологоразведочных работ составил около 250 млн тонн, при этом операционные затраты на добычу углеводородов составили 4,3 долл. США за баррель, что является лучшим удельным показателем среди мировых публичных нефтяных компаний. Добыча газа на фоне расширения присутствия Компании на газовом рынке выросла более чем в два раза. По итогам отчетного периода «Роснефть» стала третьим крупнейшим производителем газа в России.
Кроме того, «Роснефть» совместно со стратегическими партнерами компаниями ExxonMobil, Eni, Statoil выполнила беспрецедентную программу работ на шельфах арктических морей. Речь идет прежде всего о целом комплексе научных гидрологических и метеорологических исследований, анализе ледовой обстановки, геологоразведочных работах.
По итогам 2013 года «Роснефть» продемонстрировала рекордные финансовые показатели, несмотря на ухудшение макроэкономических условий. Свободный денежный поток увеличивается за 2013 год в 4,7 раза. Размер дивидендов, выплаченных в 2013 году, был увеличен до 85 млрд рублей, в бюджет Российской Федерации перечислено 2,7 трлн руб., что вновь подтвердило статус Компании как крупнейшего налогоплательщика страны.
Основные фонды промышленного предприятия представляют собой совокупность материально-вещественных ценностей, созданных общественным трудом, длительно участвующих в процессе производства в неизменной натуральной форме и переносящие свою стоимость на изготовленную продукцию по частям по мере износа.
Цель анализа основных фондов, прежде всего, состоит в оценке уровня технической оснащенности производства, а также в определении путей повышения эффективности использования основных производственных фондов и, прежде всего, технического характера. Совокупность основных фондов, которые непосредственно воздействуют на предметы труда называются активной частью основных производственных фондов.
Необходимо провести анализ структуры основных фондов предприятия ОАО «Роснефть», данные анализа представлены в таблице 2.1.
Таблица 2.1
Анализ структуры основных фондов предприятия ОАО «Роснефть»
|
Основные фонды предприятия |
Стоимость, тыс.руб. |
||||
|
2010 |
2011 |
2012 |
2013 |
2014 |
|
|
Здания |
820000 |
898195 |
1093525 |
1337682 |
1335427 |
|
Машины и оборудование, транспортные средства |
165000 |
201865 |
291781 |
351655 |
392016 |
|
Другие виды основных средств |
55000 |
56642 |
58593 |
61736 |
79618 |
|
Итого |
1040000 |
1156702 |
1443899 |
1751073 |
1807061 |
Таким образом, данные представленные в таблице 2.1 свидетельствуют о том, что анализируемом предприятии наибольшую долю структуры основных фондов занимают здания, максимальное значение данного основного фонда достигнуто в 2014 году, и составило 1335427 тыс.руб. На втором месте находятся машины и оборудования, транспортные средства, максимальное значение данного основного фонда достигнуто так же в 2014 году, и составило 392016 тыс.руб. третье место другие виды основных фондов, их максимальное значение достигнуто в 2014 году, и составило 79618 тыс. руб.
Все основные фонды исследуемого предприятия имеют положительную динамику. Для более выразительного представления полученных данных, представим их графически.
Изменение значения основных фондов зданий предприятия ОАО «Роснефть» представлено на рисунке 2.1.

Рисунок 2.1 Изменение значения основных фондов зданий предприятия ОАО «Роснефть», тыс.руб.
Изменение значения основных фондов зданий предприятия ОАО «Роснефть» имеет тенденцию к увеличению, максимальное значение данного показателя 1335427 тыс.руб. Оно достигнуто в 2014 году.
Изменение значения основных фондов машин и оборудования, транспортных средств предприятия ОАО «Роснефть» представлено на рисунке 2.2.

Рисунок 2.2 Изменение значения основных фондов машин и оборудования, транспортных средств предприятия ОАО «Роснефть», тыс.руб.
Изменение значения основных фондов машин и оборудования, транспортных средств предприятия ОАО «Роснефть» имеет тенденцию к увеличению, максимальное значение данного показателя 392016 тыс.руб. Оно достигнуто в 2014 году.
Изменение значения основных фондов других видов основных средств предприятия ОАО «Роснефть» представлено на рисунке 2.3.

Рисунок 2.3 Изменение значения основных фондов других видов основных средств предприятия ОАО «Роснефть», тыс.руб.
Изменение значения основных фондов других видов основных средств предприятия ОАО «Роснефть» имеет тенденцию к увеличению, максимальное значение данного показателя 79618 тыс.руб. Оно достигнуто в 2014 году.
Изменение значения основных фондов предприятия ОАО «Роснефть» представлено на рисунке 2.4.

Рисунок 2.4 Изменение значения основных фондов предприятия ОАО «Роснефть», тыс. руб.
Изменение значения основных фондов предприятия ОАО «Роснефть» имеет тенденцию к увеличению, максимальное значение данного показателя 1807061 тыс.руб. Оно достигнуто в 2014 году.
Таким образом, можем сделать вывод, что основные фонды предприятия ОАО «ТрансНефть» за 2010 2014 гг. имеют положительную динамику, с каждым годом увеличиваются.
2.2 Расчет показателей эффективности использования основных фондов предприятия ОАО «Роснефть»
Для эффективного анализа предприятия ОАО «Роснефть» необходимо рассчитать показатели эффективности использования его основных фондов.
Проведем расчет показателей эффективности использования основных фондов предприятия ОАО «Роснефть», все полученные данные сведены в таблицу 2.2.
Таблица 2.2
Расчет показателей эффективности использования основных фондов предприятия ОАО «Роснефть»
|
Коэффициент |
2012 |
2013 |
2014 |
|
Фондоемкость |
2,4 |
2,3 |
2,2 |
|
Фондоотдача |
4,2 |
4,3 |
4,6 |
|
Фондовооруженность |
5,23 |
5,78 |
6,94 |
|
Коэффициент износа |
0,2 |
0,2 |
0,3 |
|
Коэффициент годности фондов |
0,79 |
0,8 |
0,71 |
|
Рентабельность основных фондов |
4,5 |
5,1 |
5,3 |
Таким образом, за анализируемый период 2012 2014 гг. на предприятии ОАО «Роснефть» техническое состояние основных фондов несколько улучшилось за счет более интенсивного их обновления.
Коэффициент износа в 2013 году составлял 20 %, как и в 2012 году. В 2014 году он увеличился на 13 % и составил 30 %, а это свидетельствует об ухудшении состояния основных фондов ОАО «Роснефть».
Коэффициент годности основных в 2013 году увеличился на 1 % и это свидетельствует об увеличении производственной способности основных фондов. В 2014 году значение данного коэффициента снизилось до 71 %, что рассматривается как отрицательная динамика.
2.3 Анализ динамики коэффициентов эффективности фондов предприятия ОАО «Роснефть»
Анализ динамики коэффициентов эффективности использования основных фондов предприятия ОАО «Роснефть» наилучшим образом может быть представлен графически.
Коэффициент износа основных фондов предприятия ОАО «Роснефть», представлен на рисунке 2.5.

Рисунок 2.5 Коэффициент износа основных фондов предприятия ОАО «Роснефть», %.
Данный показатель предприятия ОАО «Роснефть» увеличился в 2014 году по сравнению с 2013годом, что свидетельствует о старении оборудования на предприятии.
Коэффициент годности основных фондов предприятия ОАО «Роснефть», представлен на рисунке 2.6.

Рисунок 2.6 Коэффициент годности основных фондов предприятия ОАО «Роснефть», %.
Коэффициент годности предприятия ОАО «Роснефть» в 2014 году в сравнении с 2013 годом снизился, так, что свидетельствует о понижении технического состояния предприятия.
Рентабельность основных фондов предприятия ОАО «Роснефть», представлен на рисунке 2.7.

Рисунок 2.7 Рентабельность основных фондов предприятия ОАО «Роснефть», %.
Рентабельность основных фондов предприятия ОАО «Роснефть» из года в год за весь анализируемый период увеличивается, это можно рассматривать как положительный фактор для предприятия.
Фондоотдача основных фондов предприятия ОАО «Роснефть», представлена на рисунке 2.8.

Рисунок 2.8 Фондоотдача основных фондов предприятия ОАО «Роснефть», %
Фондоотдача анализируемого предприятия в 2014 году по сравнению с предыдущим годом увеличилась, что свидетельствует о рациональном использовании производственных мощностей, что, безусловно, является положительной тенденцией для ОАО «Роснефть».
Фондоёмкость основных фондов предприятия ОАО «Роснефть», представлена на рисунке 2.9.

Рисунок 2.9 Фондоёмкость основных фондов предприятия ОАО «Роснефть», %
В 2014 году по сравнению с 2013 годом фондоемкость предприятия ОАО «Роснефть» снизилась, что является положительным фактором и говорит о том, что производственные мощности используются рационально, и их загруженность полная.
Фондовооруженность основных фондов предприятия ОАО «Роснефть», представлена на рисунке 2.10.

Рисунок 2.10 Фондовооруженность основных фондов предприятия ОАО «Роснефть», %
Таким образом, при анализе динамики, структуры, основных фондов ОАО «Роснефть» было выявлено, что за рассматриваемый период стоимостные характеристики основных фондов имеют динамику увеличения.
Анализ эффективности использования основных фондов ОАО «Роснефть» показал повышение фондоотдачи основных фондов, данное повышение можно рассматривать как положительный момент для предприятия. Фондоёмкость основных фондов снизилась, а снижение данного показателя это положительный момент для предприятия.
3. Анализ оборотных средств предприятия ОАО «Роснефть»
3.1 Анализ структуры и динамики оборотных средств предприятия ОАО «Роснефть»
Данные проведенного анализ структуры оборотных средств предприятия ОАО «Роснефть» представлены в таблице 3.1.
Таблица 3.1
Анализ структуры оборотных средств предприятия ОАО «Роснефть», %
|
Наименование |
2010 |
2011 |
2012 |
2013 |
2014 |
|
Запасы |
39,96 |
37,57 |
39,23 |
37,97 |
39,86 |
|
НДС по приобретенным ценностям |
18,07 |
12,86 |
14,19 |
12,26 |
11,21 |
|
Дебиторская задолженность (краткосрочная) |
14,5 |
12,0 |
22,76 |
22,27 |
29,01 |
|
Краткосрочные финансовые вложения |
0,08 |
0,01 |
0,08 |
0,01 |
0,01 |
|
Денежные средства |
1,71 |
11,27 |
1,74 |
11,26 |
6,92 |
|
Прочие оборотные средства |
0 |
0 |
0 |
0 |
0 |
|
Итого оборотных активов |
100 |
100 |
100 |
100 |
100 |
Полученные данные представим графически. Анализ структуры оборотных средств предприятия ОАО «Роснефть» за 2010 2014 гг., представлен на рисунках 3.1 3.6.

Рисунок 3.1 Анализ динамики запасов предприятия ОАО «Роснефть», %
Анализ динамики запасов предприятия ОАО «Роснефть» имеет разбросанную динамику, максимальное значение данного показателя было в 2010 году 39,96%, в 2014 году запасы предприятия составили 39,86%.

Рисунок 3.2 Анализ динамики НДС по приобретенным ценностям предприятия ОАО «Роснефть», %
НДС по приобретенным ценностям предприятия ОАО «Роснефть», имеет динамику понижения, в 2014 году данный показатель составил 11,21%.

Рисунок 3.3 Анализ динамики дебиторской задолженности предприятия ОАО «Роснефть», %
Дебиторская задолженность предприятия ОАО «Роснефть» с каждым годом увеличивается, что влияет отрицательно на финансовое состояние предприятия, поскольку задержки в оплате за продукцию, не дают возможности воспользоваться во время этими средствами.

Рисунок 3.4 Анализ динамики краткосрочных финансовых вложений предприятия ОАО «Роснефть», %

Рисунок 3.5 Анализ динамики денежных средств предприятия ОАО «Роснефть», %
3.2 Расчет показателей эффективности оборотных средств предприятия ОАО «Роснефть»
Для расчета эффективности оборотных средств предприятия ОАО «Роснефть» необходимо рассчитать коэффициенты оборачиваемости.
Коэффициент оборачиваемости денежных средств рассчитывается по формуле:
(3.1)
Коэффициент оборачиваемости кредиторской задолженности рассчитывается по формуле:
(3.2)
Коэффициент оборачиваемости запасов рассчитывается по формуле:
(3.3)
Данные расчета эффективности оборотных средств предприятия ОАО «Роснефть», представлены в таблице 3.2.
Таблица 3.2
Расчет эффективности оборотных средств предприятия ОАО «Роснефть», в об.
|
2010 |
2011 |
2012 |
2013 |
2014 |
|
|
Оборачиваемость средств |
0,37 |
0,41 |
0,43 |
0,46 |
0,49 |
|
Оборачиваемость запасов в оборотах |
4,73 |
5,08 |
5,19 |
6,56 |
6,63 |
|
Оборачиваемость кредиторской задолженности |
45,69 |
43,94 |
27,56 |
18,66 |
8,29 |
По полученным результатам проведенного расчета эффективности оборотных средств предприятия ОАО «Роснефть» можно сделать вывод, что оно находится в стабильном финансовом состоянии.
3.3 Анализ динамики показателей эффективности оборотных средств предприятия ОАО «Роснефть»
Оборотные средства занимают важное место в имуществе торгового предприятия. Они представляют собой часть средств, вложенных в текущие активы.
Повышение эффективности использования основных средств важная задача на предприятии.
Представим полученные данные графически на рисунках 3.6 3.8.

Рисунок 3.6 Анализ динамики оборачиваемости средств предприятия ОАО «Роснефть», %
Анализ динамики оборачиваемости средств предприятия ОАО «Роснефть» за анализируемый период имеет тенденцию к увеличению, что можно рассматривать как положительную тенденцию.

Рисунок 3.7 Анализ динамики оборачиваемости запасов в оборотах предприятия ОАО «Роснефть», %
Анализ динамики оборачиваемости запасов в оборотах предприятия ОАО «Роснефть» за анализируемый период имеет тенденцию к увеличению, максимальное значение достигнуто в 2014 году 66,3%.

Рисунок 3.8 Анализ динамики оборачиваемости дебиторской задолженности предприятия ОАО «Роснефть», %
Анализ динамики оборачиваемости дебиторской задолженности предприятия ОАО «Роснефть» имеет тенденцию к снижению, что можно рассматривать как отрицательную тенденцию, поскольку кредитные средства взятые предприятием не работают в полной мере.
4. Анализ рентабельности и безубыточности предприятия ОАО «Роснефть»
4.1 Расчет и анализ показателей рентабельности предприятия ОАО «Роснефть»
Проведем расчет показателей рентабельности предприятия ОАО «Роснефть»
Рентабельность собственного капитала рассчитывается по формуле:
, (4.1)
где, ЧП чистая прибыль,
СК собственный капитал.
Рентабельность продаж рассчитывается по формуле:
, (4.2)
Рентабельность затрат рассчитывается по формуле:
, (4.3)
где, З общие затраты;
Проведем расчет показателей рентабельности предприятия ОАО «Роснефть», все данные представлены в таблице 4.1.
Таблица 4.1
Диагностика коэффициентов рентабельности предприятия ОАО «Роснефть»
|
Коэффициент рентабельности |
2012 |
2013 |
2014 |
|
Рентабельность активов (РА) |
0,29 |
0,35 |
0,43 |
|
Рентабельности собственного капитала (РСК) |
1,3 |
1,8 |
1,96 |
|
Рентабельности продаж (РП) |
0,01 |
0,03 |
0,09 |
|
Рентабельности текущих затрат (РЗ) |
0,01 |
0,11 |
0,19 |
Для проведения анализа финансовых показателей не достаточно только абсолютных показателей прибыли, поэтому используют систему относительных аналитических показателей рентабельности работы предприятия.
Результативность деятельности торгового предприятия, выполнение плана прибыли, динамику чистой прибыли и прибыли от основной деятельности можно проследить на основе абсолютных показателей прибыли. Однако в современных условиях, характеризующихся инфляционными процессами, абсолютные показатели не дают возможности объективной оценки финансовых результатов.
Именно поэтому следует оценивать результативность и эффективности хозяйственной деятельности с помощью относительных показателей, практически не подверженных инфляции.
Рентабельность это относительный показатель интенсивности производства, характеризующий уровень прибыльности соответствующих слагаемых процесса производства или совокупных затрат предприятия.
Диагностика коэффициентов рентабельности предприятия ОАО «Роснефть» представлена на рисунках 4.1 4.4.

Рисунок 4.1 Диагностика коэффициента рентабельности активов предприятия ОАО «Роснефть», %

Рисунок 4.2 Диагностика коэффициента рентабельности собственного капитала предприятия ОАО «Роснефть», %

Рисунок 4.3 Диагностика коэффициента рентабельности продаж предприятия ОАО «Роснефть», %
Рисунок 4.4 Диагностика коэффициента рентабельности текущих затрат предприятия ОАО «Роснефть», %
Таким образом, проведя анализ показателей рентабельности, видим, что все показатели данной категории имеют тенденцию к увеличению на протяжении всего анализируемого периода. Что говорит об интенсивности производства, характеризующей уровень прибыльности соответствующих слагаемых процесса производства или совокупных затрат предприятия
4.2 Анализ безубыточности предприятия ОАО «Роснефть»
Анализ безубыточности или анализ издержек, прибыли и объема производства, как его иногда называют - это аналитический подход к изучению взаимосвязи между издержками и доходам при различных уровнях производства.
Анализ безубыточности используется не только для текущего управления, но и для целей инвестиционного проектирования, так как он обеспечивает информацией для принятия решения путем анализа влияния изменений в цене продукции, производстве и объемах продаж и издержках, а так же прогнозирования прибылей, убытков и потоков денежных средств.
Дополнительные данные для анализа безубыточности предприятия ОАО «Роснефть» представлены в таблице 4.2.
Таблица 4.2
Дополнительные данные
|
Показатель |
Плановый период |
Отчетный период |
|
Цена продукции за1 м3, руб. |
240000 |
275000 |
|
Объем реализации продукции, м3 |
120080 |
177080 |
|
Себестоимость продукции 1 м3, руб. |
20622 |
24978 |
|
Переменные затраты, тыс. руб. |
1485840 |
2654024 |
|
Постоянные затраты, тыс. руб. |
990560 |
1769330 |
|
Переменные затраты на 1 м3 продукции, руб. |
123730 |
149870 |
Рассчитаем маржинальную прибыль предприятия по формуле:
(4.4)
Рассчитаем маржинальную прибыль предприятия ОАО «Роснефть»:

Вывод: Предприятие способно покрыть постоянные затраты и получить прибыль от своей деятельности.
Рассчитаем маржу покрытия на единицу продукции по формуле:
(4.5)
Рассчитаем маржу покрытия на единицу продукции ОАО «Роснефть»:
Вывод: Предприятие имеет только одно основное направление деятельности, каждая дополнительная единица продукции приносит организации 12512,894 руб. маржинальной прибыли, являющейся источником генерирования прибыли.
Рассчитаем критический объем продаж в количественном выражении по формуле:
(4.6)
Рассчитаем критический объем продаж предприятия ОАО «Роснефть»в количественном выражении:
Рассчитаем критический объем продаж в стоимостном выражении по формуле:
(4.7)
Рассчитаем критический объем продаж предприятия ОАО «Роснефть» в стоимостном выражении:
Объем реализации продукции и выполненных работ не может быть меньше 14,2 тыс. м3 или 388865,05 тыс. руб., иначе предприятие ОАО «Роснефть» не сможет покрыть своих постоянных издержек и получить прибыль от реализации своей деятельности.
5. Рекомендации по повышению эффективности формирования и распределения прибыли предприятия ОАО «Роснефть»
Эффективное использование прибыли, возможно, лишь при согласованности действий системы экономических рычагов. При этом первостепенное значение имеет реализация продукции.
При разработке учетной политики службам, осуществляющим планирование деятельности предприятия, совместно с бухгалтерией следует правильно выбрать базу для распределения косвенных расходов между объектами калькулирования либо выбрать метод отнесения косвенных расходов на себестоимость реализованной продукции.
Руководителю необходимо так планировать распределение прибыли, чтобы не нанести ущерба ни одной стороне, и в тоже время обеспечить благосостояние предприятия.
Наиболее целесообразным представляется вложение прибыли в расширение и модернизацию производства, повышение его технической оснащенности и производство более качественной и конкурентоспособной продукции.
Помимо этого, необходимо создать организационные предпосылки, экономические и социальные мотивации для творческого труда работников. Коренные преобразования в технике и технологии, мобилизация всех, не только технических, но и организационных, экономических и социальных факторов создают предпосылки для значительного повышения производительности труда. Предстоит обеспечить внедрение новейшей техники и технологии, широко применять на производстве прогрессивные формы научной организации труда, совершенствовать его нормирование, добиваться роста культуры производства, укрепления порядка, дисциплины, стабильности трудовых коллективов.
Инвестиции имеют большое значение не только для будущего положения предприятия, но и для экономики страны в целом. С их помощью осуществляется расширенное воспроизводство основных средств, как производственного так и не производственного характера, укрепляется материально-техническая база субъекта хозяйствования. Это позволяет предприятиям увеличивать объемы производства продукции, улучшать условия труда и быта работников. От них зависят себестоимость, ассортимент, качество, новизна продукции (работ, услуг), ее конкурентоспособность.
В инвестиционном процессе важен не только экстенсивный метод развития, т.е. количественный рост инвестиций, но и их качественный рост, что особенно важно. Высокий технический состав капитала или наукоемкие высокотехнологические инвестиции как раз отражают их качественные стороны. Количественный рост инвестиций обеспечивается на предприятии мобилизацией средств за счет сокращения непроизводственных расходов.
Для принятия решений о капитальных вложениях предприятию необходимо сравнить сумму затраченного физического и интеллектуального капитала с документальной прибылью, которая может быть получена в будущем. Часто будущие прибыли от капиталовложений могут оказаться выше или ниже, чем ожидалось. Так появляется необходимость учитывать подобную неопределенность и связанные с ней финансовые и другие риски.
ЗАКЛЮЧЕНИЕ
Прибыль представляет собой конечный результат финансово-хозяйственной деятельности предприятия и финансовую основу для его развития и расширенного воспроизводства. Она также является основным критерием оценки производственной и финансовой деятельности предприятия, его способности своевременного исполнения обязательств перед поставщиками и кредиторами, надежности предприятия как объекта инвестирования. Каждое предприятие заинтересовано в увеличении прибыли.
Основным источником получения прибыли в производстве является реализация продукции по цене, превышающей ее полную себестоимость. Поэтому получение прибыли напрямую зависит от эффективности производства и реализации продукции и всегда связано с предпринимательским риском.
Конечным финансовым результатом предприятия является чистая прибыль - разность между прибылью до налогообложения, учитывающей все результаты производственно-хозяйственной деятельности предприятия, и обязательными платежами за счет нее. Этой прибылью предприятие может распоряжаться по собственному усмотрению. Оно может выделить часть прибыли на развитие производства (например, закупку более технологичного оборудования), социальное развитие, поощрение работников и дивиденды по акциям. Оставшаяся часть прибыли может быть направлена на увеличение собственного капитала предприятия и может быть перераспределена на самострахование, то есть в резервный фонд и различные целевые фонды.
Управление прибылью направлено на максимизацию благосостояния собственников предприятия в текущем и перспективном периоде и гармонизацию интересов собственников, государства и персонала предприятия и носит комплексный характер, затрагивая все аспекты ее формирования, распределения и использования. Для эффективного управления прибылью необходим всесторонний анализ финансово-хозяйственной деятельности предприятия. Эффективное использование прибыли предприятия невозможно без прогнозирования и планирования его финансовых результатов.
Таким образом, данная курсовая работа помогла усвоить не только теоретические аспекты анализа формирования и распределения прибыли, но и на конкретном примере ОАО «Роснефть» определить влияние скорости оборота капитала, наличия заемных средств, соотношения оборотного и основного, заемного и собственного капитала, а, следовательно, влияния их на прибыль предприятия.
СПИСОК ИСПОЛЬЗУЕМОЙ ЛИТЕРАТУРЫ
- Абрютина, М.С., Грачев, А.В. Анализ финансово-экономической деятельности предприятия. М.: Дело и Сервис, 2011. 180с.
- Анализ финансовой отчетности, С.И. Кузнецов, Л.К. Плотникова и др.; под общ. ред. В.И. Бариленко. - М.: КноРус, 2013. - 416 с.
- Анализ финансовой отчетности / Ефимова О.В., Мельник М.В. - М. : Омега-Л, 2010. 450 с.
- Анализ финансовой отчетности / М.А. Вахрушина и др., 2013. 366 с.
- Артеменко, В.Г., Беллендир, М.В. Финансовый анализ. М.: Дело и Сервис, 2010. 160.
- Артюшин, В.В. Финансовый анализ М.: Юнити-Дана,2012
- Афанасьев, В.Н., Алямкина, Е.А. Эффективность производства. Оренбург: Издательский центр ОГАУ,2010. - 511с.
- Басовский, Л.Е. Комплексный экономический анализ хозяйственной деятельности. - М.: ИНФРА-М, 2010. - 36 с. - (Высшее образование).
- Богатин Ю.В. Экономическая оценка качества и эффективности работы предприятия. - М.: изд. стандартов, 2010. - 214.
- Бородина, Е.И. Финансы предприятий. - М.: Банки и биржи, 2010. 208с.
- Бочаров, В.В. Комплексный финансовый анализ. СПб.: Издательство «Питер», 2010. 432с.
- Василевская, Т. И. Доходы, прибыль, налоги: методика расчетов. [Текст] М.: БГЭУ, 2010.- 45с.
- Друкер, П. Эффективное управление. Экономические и оптимальные решения / П. Друкер. - М.: Фаир-Пресс, 2012. - 729с.
- Ефимова, О. В. Финансовый анализ. М.: Изд-во «Бухгалтерский учет», 2012. 528.
- Канке, А.А., Анализ финансово-хозяйственной деятельности предприятия. - 2-е издание, испр. и доп. / А.А. Канке, И.П. Кошевая. - М.: ИД ФОРУМ: ИНФРА-М, 2010. - 288с.
- Ковалев, В.В. Финансовый анализ: методы и процедуры. М.: Финансы и статистика, 2012. 560.
- Кольцова, И.В, Рябых, Д.А Практика финансовой дятельности проектов. М.: Вильямс, 2012-409с.
- Крейнина, М.Н. Анализ финансового состояния и инвестиционной привлекательности акционерных обществ в промышленности, строительстве и торговле. М.: АО «ДИС», МВ-Центр, 2010. 412.
- Любушин, Н.П. Экономический анализ. - 2-е изд., перераб. и доп. - М.: ЮНИТИ-Дана, 2012. - 423с.
- Маркарьян, Э.А. Финансовый анализ. - 4-е изд., испр. / Э.А. Маркарьян, Г.П. Герасименко. - М.: ИД ФБК-ПРЕСС, 2011. - 224с.
- Прыкин, Б.В. Экономический анализ предприятия / Б.В. Прыкин. - М.: Юнити-Дана, 2012. - 360с.
- Савицкая, Г.В. Анализ хозяйственной деятельности предприятия - 8-е изд., испр. / Г.В. Савицкая. - Минск: Новое знание, 2012. - 546 с.
- Хахонова Н.Н. Учет, аудит и анализ денежных потоков предприятий и организаций. М.: ИКЦ «МарТ», 2010. 268 с.
- Шеремет, А.Д. Методика финансового анализа / А.Д. Шеремет, Р.С. Сайфуллин. - М.: «ИНФРА-М», 2013, 208с.
- Щербаков, В.А. Управление оборотным капиталом организации /В.А. Щербаков. - М.: Экономика, 2012. - 287с.
- Экономика предприятия. / Под общей ред.А.И. Руденко, 2-е изд., перераб. и доп. - Мн.: 2012, 475 с.
- Яблукова, Р.З. Фиансовый менеджмент / Р.З. Яблукова. М.: Издетельство Проспект, 2011. - 212с.

Анализ формирования и распределения прибыли предприятия ОАО «Роснефть»




