ПСИХОФИЗИОЛОГИЯ ТРУДА ЛИЦ, ЗАНИМАЮЩИХСЯ УМСТВЕННОЙ И ФИЗИЧЕСКОЙ ТРУДОВОЙ ДЕЯТЕЛЬНОСТЬЮ
PAGE \* MERGEFORMAT 29
ОГЛАВЛЕНИЕ
ВВЕДЕНИЕ....................................................................................................3
ГЛАВА 1. ПСИХОФИЗИОЛОГИЯ ТРУДА ЛИЦ, ЗАНИМАЮЩИХСЯ УМСТВЕННОЙ И ФИЗИЧЕСКОЙ ТРУДОВОЙ ДЕЯТЕЛЬНОСТЬЮ ПО ДАННЫМ НАУЧНО-МЕТОДИЧЕСКОЙ ЛИТЕРАТУРЫ…………………….5
1.1. Психофизиология физического и умственного труда………………5
1.2. Умственная работоспособность и ее динамика в процессе труда.....7
ГЛАВА 2. ЦЕЛЬ, ЗАДАЧИ, МЕТОДЫ И ОРГАНИЗАЦИЯ ИССЛЕДОВАНИЯ……………………………………………………................10
2.1. Цель исследования……………………………………………...........10
2.2. Задачи исследования…………………………………………………10
2.3. Методы исследования………………………………………………..10
2.4. Организация исследования…………………………………………..12
ГЛАВА 3. РЕЗУЛЬТАТЫ ИССЛЕДОВАНИЯ………………………….13
3.1. Результат исследования умственной работоспособности лиц, занимающихся умственной трудовой деятельностью………………………...13
3.2. Результат исследования умственной работоспособности лиц, занимающихся физической трудовой деятельностью………………………...15
3.3. Результаты сравнения показателей умственной работоспособности лиц, занимающихся умственной и физической трудовой деятельностью…..18
3.3.1. Результат сравнения по точности выполнения задания…………18
3.3.2. Результат сравнения по умственной продуктивности…………...19
3.3.3. Результат сравнения по объему зрительной информации………19
3.3.4. Результат сравнения по скорости переработки информации…...20
3.3.5. Результат сравнения по устойчивости внимания………………...21
ВЫВОДЫ………………………………………………………………….23
СПИСОК ИСПОЛЬЗУЕМОЙ ЛИТЕРАТУРЫ.........................................25
ПРИЛОЖЕНИЯ…………………………………………………………...27
ВВЕДЕНИЕ
Важное место в жизни человека занимает трудовая деятельность, являющаяся основой его существования, а также собственного развития и самореализации.
Человек проявляется в трудовой деятельности, но и трудовая деятельность проявляется в человеке. Это влияние бывает:
- Физиологическим - образование, обогащение и укрепление условно-рефлекторных связей, динамических стереотипов, функциональных систем, доминант в сенсорной, двигательной и интеллектуальной системах, а также их целостное, профессионально-ориентированное функционирование;
- Психофизиологическим и психологическим - развитие ощущений, восприятий, внимания, памяти, мышления, способностей, взглядов, потребностей, мотивации, интересов, желаний, стремлений, поведенческих ценностей, норм поведения и другие;
- Педагогическим - обогащение знаний, навыков и умений, повышение уровня профессионально мастерства, образованности, жизненной опытности; воспитание трудолюбия, ответственности, требовательности к себе, культуры человеческих отношений и общения, развитием профессионального внимания, восприятии, памяти, мышления, речи, способностей и другие (Столяренко А.М., 2009).
Начало физиологических и психофизиологических исследований труда в России было положено И.М. Сеченовым в работе «Очерк рабочих движений человека», опубликованной в 1906 г. Заметный вклад в них внесены В.М. Бехтеревым, А.А. Ухтомским, А.П. Нечаевым, В.А. Обухом, А.К. Тастевым, К.Х. Кекчеевым, М.И. Виноградовым, Т.П. Конради, В.С. Фарфелем, С.А. Косиловым, В.И. Медведевым, К..К Платоновым, Б.Ф. Ломовым, В.И. Зинченко, С.Я. Батышевым и другие.
Умственная работоспособность - это способность человека выполнять определенную интеллектуальную работу (Селиверстова В.В., 2012).
Исследование умственной работоспособности необходимо для оценки функционирования афферентных систем, а также для выяснения влияния трудовой деятельности.
Показатели умственной работоспособности зависят от состояния сенсорных систем человека, воспринимающих информацию, памяти мышления, выраженности эмоций. Показатели умственной работоспособности служат интегральной характеристикой функционального состояния организма.
На показатели умственной работоспособности оказывают влияние:
1) Психофизиологические особенности личности (память, мышление, речь, степень развития интеллекта);
2) Физиологические (функциональное состояние нервной, сердечно - сосудистой, эндокринной и других систем организма);
3) Развитие специальных знаний, умений и навыков.
Для определения уровня умственной работоспособности используют следующие показатели:
- Скорость выполнения задания;
- Концентрация, переключаемость;
- Эффективность, продуктивность деятельности;
- Устойчивость внимания (Селиверстова В.В., 2012).
Объект исследования: умственная работоспособность лиц, занимающихся умственной и физической трудовой деятельностью.
Предмет исследования: исследование умственной работоспособности по методике Анфимова.
Гипотеза исследования: предполагается, что умственная трудовая деятельность оказывает положительное влияние на сохранение и развитие умственной работоспособности.
ГЛАВА 1. ПСИХОФИЗИОЛОГИЯ ТРУДА ЛИЦ, ЗАНИМАЮЩИХСЯ УМСТВЕННОЙ И ФИЗИЧЕСКОЙ ТРУДОВОЙ ДЕЯТЕЛЬНОСТЬЮ ПО ДАННЫМ НАУЧНО-МЕТОДИЧЕСКОЙ ЛИТЕРАТУРЫ
1.1. Психофизиология физического и умственного труда
Все виды труда по своим основным физиологическим показателям можно разделить на два основных: физический и умственный. Деление это нуждается в пояснении: в любом физическом труде есть умственные элементы, а в любом умственном - физические. Удачно сказано: подобно тому, как голова и руки принадлежат одному и тому же телу, так и в любом труде соединяется умственный и физический труд. Говорить о конкретном труде как физическом или умственном можно лишь по преобладанию в нем одного из этих компонентов (Столяренко А.М., 2009).
Физический труд связан с большими соматическими нагрузками, которые требуют особых качеств и интенсивного функционирования разных систем организма человека. В основе его лежит целенаправленная двигательная активность. Мобилизация физиологических механизмов при этом происходит по закономерностям работы функциональной системы. Результаты труда оцениваются высшими отделами мозга на основе обратных связей. Систематические занятия одним и тем же видом труда формируют в нервной системе преимущественно трудовые динамические стереотипы навыков, умений и развивает скелетно-двигательную систему, сказываются на психофизиологические и другие качества. Движения имеют и вегетативный компонент, в частности обеспечение кровоснабжением и кислородом работающих групп мышц. Большинство трудовых процессов выполняется экономично, на уровне автоматизма, однако корковый сознательный контроль при этом никогда не отключается (Измерова Н.Ф., 2010).
Преобладание двигательного компонента при физической работе сопряжено с большими энергетическими затратами организма. Таковы работа землекопа, лесоруба, кузнеца, ручная косьба, молотьба, монтажные работы, работы в литейных цехах, в шахтах, при занятиях спортом и так далее. В них участвует 2/3 мышц тела человека, потребление кислорода увеличивается в 2 - 4 раза, а частота сердечных сокращений до 130 - 150 ударов в минуту. Это требует повышения обмена веществ, теплообразования, теплоотдачи и мер по компенсации энергозатрат. Ряд видов физических работ приносит вред организму частым возникновением профессиональных заболеваний. Чрезмерный физический труд без достаточного восстановления энергозатрат истощает биоэнергетический потенциал организма и физиологические регуляторные механизмы. Некоторые виды физического труда сопряжены с риском для жизни и требуют от работника мужества, смелости, самообладания. Многие виды его сейчас механизируются. Физические нагрузки при этом снижены (пульс до 90 ударов в минуту). Часть видов механизированного труда однообразна (например, штамповка одних и тех же деталей), что снижает активность центральной нервной системы, повышает утомляемость и работоспособность человека ускоренно снижается. Соблюдение стандартных норм, режимов и условий физического труда, техники безопасности снижает риск профессиональных заболеваний, получения травм и гибели (Рыбников О.Н., 2010).
Умственный труд более сложен по физиологическому и психологическому наполнению, хотя протекает невидимо, часто неслышно, неосязаемо и внешне кажется легким. К нему относятся профессии, связанные со сферой материального производства (ученые, инженеры, техники, мастера, операторы и другие) и находящиеся вне ее (врачи, учителя, воспитатели, писатели, художники, артисты и другие). Как правило, умственный труд сопровождается незначительной мышечной активностью и меньшими, в сравнении с физическим, энергетическими затратами. Дефицит двигательной активности снижает импульсацию коры, уменьшению амплитуды и частоты основных ритмов ЭЭГ (электроэнцефалограммы), что временно ухудшает условия мыслительной деятельности (Смирнов В.М., 2003).
Многие виды умственного труда отличаются повышенными эмоциональными нагрузками. Умственная деятельность обычно не прекращается по звонку в конце рабочего дня. В коре больших полушарий продолжаются следовые процессы: работа кончена, а мысли о ней часто продолжают быть активными и напряженным. Изменения в деятельности внутренних органов при умственной работе не имеют специфических черт и отличаются от таковых при физической работе только количественно. Утомляюще сказывается сидячий или статично стоячий характер позы. В комплексном виде утомление часто проявляться в мимике лица, покраснениях кожи, потоотделении, потягиваниях, тяжести или боли в голове, шее, спине. Восстановительные процессы требуют достаточного времени для отдыха. Умственные нагрузки, творческий характер их, систематический и многолетний труд закономерно развивают интеллект, способствует сохранности интеллектуальных функций вплоть до старости (Данилова Н.Н., 2005).
1.2. Умственная работоспособность и ее динамика в процессе труда.
Умственная работоспособность определяется как способность человека к выполнению конкретной умственной деятельности, в рамках заданных временных лимитов и параметров эффективности (Мусина С.В., 2008).
Основу умственной работоспособности составляют:
- Уровень специальных знаний, умений, навыков;
- Психофизиологические качества (память, внимание, восприятие);
- Физиологические функции (особенности сердечно-сосудистой, эндокринной и мышечной систем);
- Психологические особенности (сообразительность и другие).
Кроме того, умственная работоспособность определяется тремя группами факторов:
1) Первая группа - физиологические факторы (функциональная зрелость организма, функциональное состояние, состояние здоровья);
2) Вторая группа - психологические факторы (самочувствие, эмоциональное состояние, мотивация);
3) Третья группа - внешнесредовые факторы (условия организации деятельности, время дня, года).
Общие закономерности динамики умственной работоспособности. Она делится на несколько периодов: врабатывание, устойчивый период (оптимальной работоспособности), предутомление (период неустойчивой работоспособности, или компенсаторной перестройки) и утомление.
В период врабатывания происходит постепенное повышение умственной работоспособности. Это период поиска наиболее адекватных и эффективных вариантов функционирования всех органов и систем, период значительного напряжения, высоких энергозатрат, период организации произвольного внимания и функциональной организации деятельности. В этот период меняются свойства нервных клеток - повышаются их возбудимость, функциональная подвижность, активизируются связи между отдельными нервными центрами головного мозга. Умственная работоспособность пока неустойчива, эффективность ее невысока.
Устойчивый период (оптимум) - это время, когда организм работает наиболее эффективно в оптимальном режиме. Высокая устойчивая умственная работоспособность не требует от организма чрезмерных усилий и энергозатрат, снижается напряжение и повышается согласованность в деятельности всех систем. Однако период оптимума не может продолжаться бесконечно и закономерно сменяется следующим периодом - период компенсаторной перестройки.
Период компенсаторной перестройки - то тогда, когда человек еще может работать качественно, но уже ценой значительного напряжения. Именно этот период характеризуется снижением внимания, ростом числа отвлечений, снижением темпа деятельности, повышением двигательной активности.
Следующий период - утомление. Первые признаки утомления хорошо знакомы педагогу: нарушение концентрации внимания, снижение темпа работы, двигательное беспокойство, повышение количества ошибок, нарушение координации движений (Рыбников О.Н., 2010).
Умственная работоспособность изменчива, динамична, что вызывается физиологическими, психологическими, другими причинами и влияет на эффективность труда человека. Динамика вызвана расходованием запаса сил организма и психики в ходе труда, нагрузками при его осуществлении, закономерностями психофизиологической динамики возможностей, изменениями внешних условий и ситуаций, а также физиологическими, психологическими и педагогическими свойствами работника (Столяренко А.М., 2009).
ГЛАВА 2. ЦЕЛЬ, ЗАДАЧИ, МЕТОДЫ И ОРГАНИЗАЦИИ ИССЛЕДОВАНИЯ
2.1. Цель исследования
Исследовать умственную работоспособность лиц, занимающихся умственной и физической трудовой деятельностью.
2.2. Задачи исследования
1. Проанализировать учебно-методическую и научную литературу по вопросам умственной работоспособности лиц, занимающихся умственной и физической трудовой деятельностью.
2. Оценить умственную работоспособность по точности выполнения задания; умственной продуктивности; объему зрительной информации; устойчивости внимания лиц, занимающихся умственной и физической трудовой деятельностью.
3. Сравнить результаты исследования показателей умственной работоспособности лиц, занимающихся умственной и физической трудовой деятельностью.
2.3. Методы исследования
Для решения поставленных задач курсовой работы, применялись следующие методы исследования:
1. Анализ и обобщения данных учебной и научной литературы;
В ходе исследования были изучены материалы учебно-методической и научной литературы. Было проанализировано 20 источников литературы, посвященных изучению психофизиологии умственного и физического труда, вопросам умственной работоспособности.
2. Анализ выписок медицинских карт;
Для подбора лиц умственного и физического труда проводился анализ выписок из медицинских карт. В медицинских документациях учитывались: пол, возраст, место работы и должность, вредные привычки.
3. Тестирование умственной работоспособности - тест Анфимова;
Для исследования умственной работоспособности лиц умственного и физического труда было проведено тестирование.
Испытуемым выдавался бланк с таблицей Анфимова (Приложение 1). Испытуемые вычеркивали заданную букву в течение 4 минут.
По окончанию тестирования подсчитывалось: количество просмотренных знаков - S, вычеркнутых букв - М, общее количество букв, которых необходимо было вычеркнуть в таблице - N, и количество допущенных ошибок - n, данные вносились в таблицу (Приложение 2).
4. Математическая обработка данных;
Подразумевалось учет, подсчет и оценку данных физиологического исследования: вычисление коэффициентов точности выполнения задания A=M/N и умственной продуктивности P=A*S; расчет устойчивости внимания УВН=S/N; объем зрительной информации Q=0.5936*S; определение скорости переработки информации СПИ=(Q- 2.807*n)/T (Приложение 3).
А также вычисления среднегруппового значения показателей и их показатель отклонения по Вилкоксону:

2.4. Организация исследования
Организация данного исследования проходила в три этапа:
На I этапе была выбрана тема исследования, проводился анализ и обобщение данных учебной и научной литературы по исследуемому направлению. Были раскрыты физиологические явления, сопровождающие различные виды физического и умственного труда.
На II этапе был проведен анализ выписок медицинских карт, анализ проводился в СПБ ГБУЗ Городской больнице № 26. В состав лиц умственного труда вошло 10 человек, из них 5 мужчин, 5 женщин, и в состав лиц физического труда вошло 10 человек, из них 5 мужчин, 5 женщин. Все испытуемые имеют возраст от 60 до 65 лет, все работают и во время исследования находились на стационарном обследовании. На основе полученных данных, при изучении медицинской документации, были составлены таблицы: таблица «Характеристика лиц умственного труда» (Приложение 4), таблица «Характеристика лиц физического труда» (Приложение 5).
На III этапе было проведено тестирование в СПБ ГБУЗ Городской больнице № 26, тестирование проходило в индивидуальном порядке.
ГЛАВА 3. РЕЗУЛЬТАТЫ ИССЛЕДОВАНИЯ
3.1. Результат исследования умственной работоспособности лиц, занимающихся умственной трудовой деятельностью
Определение исходных показателей умственной работоспособности лиц умственного труда проводились в выходные дни, в поведении испытуемых наблюдалась активность и заинтересованность.
После исследования были получены данные о состоянии умственной работоспособности, которые внесены в таблицу 1.
Таблица 1
|
Фамилия |
S |
M |
N |
N |
|
Анечкин |
997 |
121 |
121 |
0 |
|
Валенов |
1250 |
160 |
164 |
4 |
|
Ляпин |
1092 |
142 |
142 |
0 |
|
Логанцов |
1440 |
175 |
179 |
4 |
|
Пехтерев |
960 |
111 |
116 |
5 |
|
Букина |
1014 |
118 |
130 |
12 |
|
Зубарева |
1374 |
168 |
172 |
4 |
|
Золина |
1404 |
167 |
177 |
10 |
|
Овачева |
840 |
98 |
100 |
2 |
|
Прошина |
1031 |
119 |
124 |
5 |
Исходные данные лиц умственного труда
Где S - количество просмотренных знаков, М - количество вычеркнутых букв, N - общее кол-во букв, которое необходимо было вычеркнуть, n - число допущенных ошибок.
Данные расчетов показателей о физическом состоянии испытуемых внесены в таблицу 2.
Таблица 2
|
Фамилия |
А=М/N |
P=A*S |
Q=0,5936*S |
СПИ=(Q-2,807*n)/T |
УВН=S/N |
|
Анечкин |
1,00 |
997,00 |
591,82 |
2,47 |
8,24 |
|
Валенов |
0,97 |
1212,69 |
742,00 |
3,04 |
9,33 |
|
Ляпин |
1,00 |
1092,00 |
648,21 |
2,70 |
7,69 |
|
Логанцов |
0,98 |
1407,82 |
854,78 |
3,51 |
8,04 |
|
Пехтерев |
0,96 |
918,62 |
569,86 |
2,32 |
8,28 |
|
Букина |
0,91 |
920,40 |
601,91 |
2,37 |
7,80 |
|
Зубарева |
0,98 |
1342,05 |
815,61 |
3,35 |
7,99 |
|
Золина |
0,94 |
1324,68 |
833,41 |
3,36 |
7,93 |
|
Овачева |
0,98 |
823,20 |
498,62 |
2,05 |
8,40 |
|
Прошина |
0,96 |
989,43 |
612,00 |
2,49 |
8,31 |
|
Ср. гр. |
0,97 |
1102,79 |
676,82 |
2,77 |
8,20 |
Вычисление показателей умственной работоспособности лиц умственного труда
Где А - коэффициент точности выполнения задания, Р - коэффициент умственной продуктивности, Q - объем зрительной информации, СПИ - скорость переработки информации, УВН - устойчивость внимания.
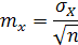
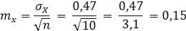
Для определения вероятности ошибки и разбега данных вычисляем среднее отклонение исследуемого показатели СПИ по формуле:

Где Х максимальное Х минимальное - размах значений, - коэффициент, определяемый числом значений в выборке.
Х максимальное = 3,51- результат Логанцова, является максимальной величиной.
Х минимальное = 2,05 - минимальной величиной в выборке является результат Овачевой.
= 3,08 (вычислено по таблице коэффициентов при различных количеств результатов в выборке).

Стандартная ошибка среднего значения вычисляется по формуле:

Где n- число вариантов в выборке.

Таким образом, среднегрупповой СПИ = 2,77 ± 0,15 бит/с.
3.2. Результат исследования умственной работоспособности лиц, занимающихся физической трудовой деятельностью
Определение исходных показателей умственной работоспособности лиц физического труда проводились в выходные дни, как и у лиц умственного труда. В поведении испытуемых наблюдалась активность и заинтересованность, но менее чем у испытуемых умственного труда.
После исследования были получены данные о состоянии умственной работоспособности, которые внесены в таблицу 3.
Таблица 3
|
Фамилия |
S |
M |
N |
N |
|
Голиков |
1280 |
158 |
160 |
2 |
|
Козырев |
1087 |
82 |
130 |
48 |
|
Леготип |
760 |
91 |
92 |
1 |
|
Пирязев |
760 |
156 |
157 |
1 |
|
Тясто |
1440 |
169 |
179 |
10 |
|
Александрова |
720 |
79 |
94 |
15 |
|
Дигилева |
1480 |
131 |
184 |
53 |
|
Кулакова |
696 |
85 |
90 |
5 |
|
Маркова |
1400 |
112 |
170 |
58 |
|
Молодцова |
1280 |
146 |
168 |
22 |
Исходные данные лиц физического труда
Где S - количество просмотренных знаков, М - количество вычеркнутых букв, N - общее кол-во букв, которое необходимо было вычеркнуть, n - число допущенных ошибок.
Данные расчетов показателей о физическом состоянии испытуемых внесены в таблицу 4.
Таблица 4
|
Фамилия |
А=М/N |
P=A*S |
Q=0,5936*S |
СПИ=(Q-2,807*n)/T |
УВН=S/N |
|
Голиков |
0,99 |
1264,00 |
759,81 |
3,14 |
8,00 |
|
Козырев |
0,63 |
685,65 |
645,24 |
2,13 |
8,36 |
|
Леготип |
0,99 |
751,74 |
451,14 |
1,87 |
8,26 |
|
Пирязев |
0,99 |
755,16 |
451,14 |
1,87 |
4,84 |
|
Тясто |
0,94 |
1359,55 |
854,78 |
3,44 |
8,04 |
|
Александрова |
0,84 |
605,11 |
427,39 |
1,61 |
7,66 |
|
Дигилева |
0,71 |
1053,70 |
878,53 |
3,04 |
8,04 |
|
Кулакова |
0,94 |
654,24 |
413,15 |
1,66 |
7,73 |
|
Маркова |
0,66 |
922,35 |
831,04 |
2,78 |
8,24 |
|
Молодцова |
0,87 |
1112,38 |
759,81 |
2,91 |
7,62 |
|
Ср. гр. |
0,86 |
916,39 |
647,20 |
2,45 |
7,68 |
Вычисление показателей умственной работоспособности лиц физического труда
Где А - коэффициент точности выполнения задания, Р - коэффициент умственной продуктивности, Q - объем зрительной информации, СПИ - скорость переработки информации, УВН - устойчивость внимания.
Вычисление среднего отклонения показателя СПИ по формуле:

Где Х максимальное Х минимальное - размах значений, - коэффициент, определяемый числом значений в выборке.
Х максимальное = 3,44 - результат Тясто.
Х минимальное = 1,61- результат Александровой.
=3,08- не изменилось.

Стандартная ошибка среднего значения вычисляется по формуле:

Где n- число вариантов в выборке.

Таким образом, среднегрупповой СПИ = 2,45 ± 0,2 бит/с.
3.3. Результаты сравнения показателей умственной работоспособности лиц, занимающихся умственной и физической трудовой деятельностью
3.3.1. Результат сравнения по точности выполнения задания
По результатам исследований среднегрупповая точность выполнения задания составляет:
- у лиц умственного труда - 0,97;
- у лиц физического труда 0,86.
На основе этих данных построен график (Рисунок 1), отражающий результаты исследуемого показателя точности выполнения задания.
Рис.1. Сравнение по точности выполнения задания
3.3.2. Результат сравнения по умственной продуктивности
Среднегрупповая умственная продуктивность составляет:
- у лиц умственного труда - 1102,79;
- у лиц физического труда - 916,39.
На основе этих данных построен график (Рисунок 2), отражающий результаты исследуемого показателя умственной продуктивности.
Рис.2. Сравнение по умственной продуктивности
3.3.3. Результат сравнения по объему зрительной информации
Среднегрупповой объем зрительной информации составляет:
- у лиц умственного труда - 676,82;
- у лиц физического труда - 647,20.
На основе этих данных построен график (Рисунок 3), отражающий результаты исследуемого показателя объема зрительной информации.
Рис.3. Сравнение по объему зрительной информации
3.3.4. Результат сравнения по скорости переработки информации
По результатам исследований среднегрупповая скорость выполнения задания составляет:
- у лиц умственного труда 2,77 ± 0,15 бит/с;
- у лиц физического труда 2,45 ± 0,2 бит/с.
На основе этих данных построен график (Рисунок 4), отражающий результаты исследуемого показателя скорости переработки информации.
Рис.4. Сравнение по скорости переработки информации
3.3.5. Результат сравнения по устойчивости внимания
По результатам исследований среднегрупповая устойчивость внимания составляет:
- у лиц умственного труда - 8,20;
- у лиц физического труда - 7,68.
На основе этих данных построен график (Рисунок 5), отражающий результаты исследуемого показателя устойчивости внимания.
Рис.5. Сравнение по устойчивости внимания
ВЫВОДЫ
1) В ходе анализа учебно-методической и научной литературы были выявлены физиологические различия умственной и физической трудовой деятельности. Умственная трудовая деятельность охватывает большое количество нервных элементов. Исходя из современных данных нейрофизиологии и нейропсихологии, умственный труд есть результат наиболее сложных комбинаций нервных процессов и гистохимических изменений в нейронах корково-подкорковых образований. Системность работы мозга при умственной трудовой деятельности не только сложна и высоко квалифицирована, но и более обширна и включает большее количество систем и подсистем, чем при физической трудовой деятельности. Также большая нагрузка и на сенсорную систему. Поэтому при умственной трудовой деятельности умственная нагрузка, систематический и многолетний труд закономерно развивают умственную работоспособность, в том числе интеллект, способствует сохранности их вплоть до старости.
2) В ходе оценки умственной работоспособности лиц, занимающихся умственной и физической трудовой деятельностью, можно сделать вывод, что по показателям умственной работоспособности (точность выполнения задания, умственная продуктивность, скорость переработки информации, устойчивость внимания) высокие положительные результаты показали испытуемые, которые не имеют вредных привычек, что доказывает негативного влияния их на организм человека. Вредные привычки способствуют снижению умственной работоспособности, ее эффективности, а значит, и снижается продуктивность трудовой деятельности.
3) В исследовании умственной работоспособности лиц, занимающихся умственной и физической трудовой деятельностью, было проведено сравнение показателей. Среднегрупповой показатель скорости переработки информации составил у лиц умственного труда равен 2,77 ± 0,15 бит/с, у лиц физического труда - 2,45 ± 0,2 бит/с. Наблюдается изменение показателя в меньшую сторону на 0,11 ± 0,2 бит/с, что говорит о снижении скорости у лиц, занимающихся физической трудовой деятельностью. В результате сравнения всех показателей умственной работоспособности можно сделать вывод, что умственная трудовая деятельность оказывает положительное влияние на сохранение и развитие умственной работоспособности.
СПИСОК ИСПОЛЬЗОВАННОЙ ЛИТЕРАТУРЫ
- Антропова, М.В. Работоспособность учащихся и ее динамика в процессе учебной и трудовой деятельности [Текст]. - М.: Просвещение, 1967. - 251с.
- Алипов, Н.Н. Основы медицинской физиологии: учебное пособие/Н. Н. Алипов, 2008. - 303с.
- Бойко, Е.И. Механизмы умственной деятельности [Электронный ресурс].- М.:1.Педагогика, 1976. - 248с.
- Виноградов, М.И. Общая характеристика основных форм трудовой деятельности // Руководство по физиологии труда. М., 1969. - 40 с.
- Грибков, В.А. Методика восстановления умственной и физической работоспособности средствами физической культуры в процессе учебно-трудовой деятельности. [Электронный ресурс]: Автор, дисс. канд. пед. наук. Грибков Валерий Александрович. - М., 1995. - 26 с.
- Данилова, H.H. Физиология высшей нервной деятельности/H.H. Данилова, А.Л. Крылова. - Ростов н / Д: «Феникс», 2005. - 478 с.
- Измерова, Н.Ф. Гигиена труда: учебник / Под ред. Н.Ф. Измерова, В.Ф. Кириллова. - М.: ГЭОТАР - Медиа, 2010. - 592 c.
- Кича, Д.И. Общая гигиена. Руководство к лабораторным занятиям: учебное пособие. - Д.И. Кича, 2009. - 288 с.
- Леонова, А.Б. Функциональные состояния и работоспособность человека в профессиональной деятельности // Психология труда, инженерная психология эргономика / Под ред. Е.А. Климова. М: Юрайт, 2015. - 13 с.
- Мусина, С.В. Статья: «Физиологическая и умственная работоспособность студентов и влияние на нее различных факторов»/С. В. Мусина, Е.В. Егорычева, М.К. Татарникова, Журнал «Известья волгоградского государственного технического университета» Выпуск № 5, том № 5, 2008.
- Орлов, Р.С. Нормальная физиология: учебник / Р.С. Орлов, А. Д. Ноздрачев - 2-е изд., исправл. и доп., 2010. - 832 с.
- Рыбников, О.Н. Психофизиология профессиональной деятельности/ Учебник для вузов [Текст]. - М: Академия, 2010. - 467 с.
- Селиверстова, В.В. Диагностика функционального состояния: учебное пособие/В.В. Селиверстова, Д.С. Мельников; Национальный гос. ун-т физ. культуры, спорта и здоровья им. П.Ф. Лесгафта, Санкт-Петербург. - СПб.: [б.и.], 2012. - 93 с.
- Столяренко, А. М. Физиология высшей нервной деятельности для психологов и педагогов: учебник для студентов вузов, обучающихся по гуманитарно-социальным специальностям / А.М. Столяренко. - М.: ЮНИТИДАНА, 2012. - 463 с.
- Семенович, А. А. Физиология человека: учеб. Пособие / А. А. Семенович [и др.]; под ред. А. А. Семеновича. 3-е изд., испр. Минск: Выш. Шк., 2009. - 544 с.
- Смирнов, В.М. Физиология сенсорных систем и высшая нервная деятельность: Учебное пособие для студ. высш. учеб, заведений / В.М. Смирнов, С. М. Будылина - М.: Издательский центр «Академия», 2003. - 304с.
- Смирнов, В. М. Физиология человека: Учебник / Под ред. В. М. Смирнова.- М.: Медицина, 2002. - 608 с.
- Солодков А.С. Руководство к практическим занятиям по физиологии человека // Учебное пособие для вузов физической культуры. - Москва : Советский спорт, 2006. - 163 с.
- Солодков, А.С. Физиология человека. Общая. Спортивная. Возрастная: Учебник./А.С. Солодков, Е.Б. Сологуб Изд. 2-е, испр. и доп. - М.: Олимпия Пресс, 2005. - 528 с.
- Судаков, К.В. Физиология. Основы и функциональные системы: Курс лекций / под ред. К. В. Судакова. - М.: Медицина, 2000. - 784 с.
ПРИЛОЖЕНИЯ
Приложение 1
Бланк для исследования умственной работоспособности по методике Анфимова Ф.И.О.______________________________________________Дата__________ День недели_____________________Время______________Буквы__________ С Х А В С Х Е В И Х И А И С Н Х В Х В К А С И Н И С В Х В Х Е И А Н С И Е В А К В Н Х И В С И А В С А В С Н А Е К Е А Х В К Е С В С Н А И С А И С А И С И А В К Н Х И С Х В Х Е К В Х И В Х Е И С И Е И Н А И Е И К Х К И К Х Е К В К И С В Х И Х А К Х Н С К А И С В Е К В Х Н А И С Н Х Е К Х И С Н А К С К В Х К В Н А В С Н С Н А И К А Е К К И С Х А И В Х Е К В И С Н А И К Е К А Е К С Н А И Х Е И К А С Н А Е С В Н И Х К А Е С Н А Х Н К А Е С Н А К А Е В Е В К А И С Н А С Н А И В К А Н А К А Е К С Н С Х Е В Х Е Н А И С Х К Е К И К Н А Е С Н К А К А Е Х К А Е К А С Е Н А Е Х К А Е Н А И К Е А И С Н К А Е К Е В Е В Н К В Н А И Е И Х Е К Н А К А Х Е Е К В Н А Х Е К Н А Е К В И К А К Е К Н А И Е И К С Н А В А Е Е А Х Н К А Е Н К В Х Е Е С В Х К А К В С В К Е В К А А Е С А В И Е Х Е К Н А Е Е Н Е В Х К А Е Н А И С Н А Е С Н К В К А Е Е Х С К К В И А С Н Н А Е С Н К А В С Х А В С Н А И К А Е Е С К А Е С Е Х Е К В А И С Н А Е А В К А Е И А И С Х Е Х Е К В И К В Е Н А И Е Н А И К А Е И Х Н А И Х К Х Е Х Е В И С Н В К А Е Х Е С Н А И Н К А Е В И В Н А Е И Х Е В К А Е В А Е Н А И Х Е И С Н А Е Х Е К А Е В Е К А К К А С С Н А К А Е С Х Е Н А И Е И С Н А Е А И С Н К В Е Х Е К Х Е К К А Е С К А Е А К А Е С Х Е В С К Х Е И Х Н А И С Н К В Е В Е С Н А И К А Е Х Е К Н А И С Н И С Н Е И С Н В И Е Х К В Х Е И В Н А К А Е Х Е И С В Х А Е К А Е Х С И С Н А И Х Е В К А Е С Н А К А Е Е Н А И С Х К И В Х Н И Х Е С Н А И В Е В Н А К А Е В С С Н А И К В Е Х К В К А Е В К А Н Х К А С Н А К С Х Е Х Е Х Е А Е С Н А К А Е К А Е Н А Е Х К А Е К Е И Х Е В Х А К А Е С Н А И К А Е С Х Е В И Е К А Е С В Е Н С Н А И С А К В С Н Х К Е С Х А Е С Н А Е Н К А С Х К А Х В Х Е Е К А Е И Е Н А Е С Х Е К Н А И В К В К Х Е К И С Н А И Х К А Х Е Н А Е Е Н И К В К А Е С Н А Е Е Х В К В И Е К А И Е Х Е К В С Н Е И С С В Н Е В И С Н А Е А Х Е Х К А Н А Х С К А В И К В Е Х К В К А Е В К А Н Х К А С Н А К С Х Е Х Е Х Е А Е С Н А К А Е К А Е Н А Е Х К А Е К Е И Х Е В Х А К А Е С Н А И К А Е С Х Е В И Е К А Е С В Е Н С Н А И С А К В С Н Х К Е С Х А Е С Н А Е Н К А С Х К А Х В Х Е Е К А Е И Е Н А Е С Х Е К Н А И В К В К Х Е К И С Н А И Х К А Х Е Н А Е Е Н И К В К А Е С Н А Е Е Х В К В И Е К А И Е Х Е К В С Н Е И С С В Н Е В И С Н А Е А Х Е Х К А Н А Х С К А В К Х А Е С Н А И Н К А С Х Е А Е Х К В Е Х Е А И С Н А С К А Е С Е Н Е К А Х Е Е К А С Н К А С Е К А Е К А Н А К Х Е К С Е Х Е Н А Е С В Н Е И Х Е Н А И К В Н С И Х А Х Е Н А Н А Е С С В К А Н К А Е В И К А И К А К Н А В С Х Е К С Х Е И С Н А И Е И Н Е В И С Н А И В Е В Х Е И С К А И Е В Х Е К Х С К А И Е Х К А Е А К А В С
Приложение 2
Результаты корректурного теста
|
ФАМИЛИЯ |
S |
M |
N |
n |
Приложение 3
Вычисление показателей умственной работоспособности
|
ФАМИЛИЯ |
А=М/N |
P=A*S |
Q=0,5936*S |
СПИ=(Q-2,807*n)/T |
УВН=S/N |
|
Индивидуальный показатель |
|||||
|
Ср. гр. |
Приложение 4
Характеристика лиц умственного труда
|
№ |
ФАМИЛИЯ |
пол |
возраст |
должность |
вредные привычки |
|
1. |
Анечкин |
М |
60 лет |
Тех. директор |
Отрицает |
|
2. |
Валенов |
М |
62 года |
Инженер |
Алкоголь по праздникам |
|
3. |
Ляпин |
М |
65 лет |
Начальник конструкторского сектора |
Алкоголь по праздникам |
|
4. |
Логанцов |
М |
65 лет |
Начальник отдела Жилищного Комитета |
Алкоголь 1 - 2 раза в месяц |
|
5. |
Пехтерев |
М |
61 год |
Инженер |
Алкоголь по праздникам, курит по 20 сигарет в день |
|
6. |
Букина |
Ж |
63 года |
Электромеханик |
Отрицает |
|
7. |
Зубарева |
Ж |
62 года |
Дизайнер одежды |
Отрицает |
|
8. |
Золина |
Ж |
65 лет |
Гл. бухгалтер |
Алкоголь по праздникам |
|
9. |
Овачева |
Ж |
65 лет |
Преподаватель |
Отрицает |
|
10. |
Прошина |
Ж |
60 лет |
Зам. директора |
Алкоголь по праздникам |
Приложение 5
Характеристика лиц физического труда
|
№ |
ФАМИЛИЯ |
пол |
возраст |
должность |
вредные привычки |
|
1. |
Голиков |
М |
61 год |
Механик |
Алкоголь по праздникам, курит по 20 сигарет в день |
|
2. |
Козырев |
М |
63 года |
Бурильщик подземных работ |
Курит по 10 сигарет в день |
|
3. |
Леготип |
М |
65 лет |
Мастер отделочных работ |
Курит по 20 сигарет в день |
|
4. |
Пирязев |
М |
65 года |
Эл. Монтажник |
Курит по 10 сигарет в день, алкоголь по праздникам |
|
5. |
Тясто |
М |
64 года |
Металлург |
Алкоголь 1 - 2 раза в месяц, курит по 20 сигарет в день |
|
6. |
Александрова |
Ж |
60 лет |
Буфетчица |
Отрицает |
|
7. |
Дигилева |
Ж |
62 года |
Булочная буфетчица |
Курит 20 сигарет в день, алкоголь по праздникам |
|
8. |
Кулакова |
Ж |
62 года |
Продавец |
Отрицает |
|
9. |
Маркова |
Ж |
62 года |
Маляр |
Курит по 10 сигарет в день, алкоголь 1 - 2 раза в месяц |
|
10. |
Молодцова |
Ж |
64 года |
Формовщица |
Отрицает |
ПСИХОФИЗИОЛОГИЯ ТРУДА ЛИЦ, ЗАНИМАЮЩИХСЯ УМСТВЕННОЙ И ФИЗИЧЕСКОЙ ТРУДОВОЙ ДЕЯТЕЛЬНОСТЬЮ