Анализ этапов развития электротехники конца XIX – начала XX веков

Содержание

ВВЕДЕНИЕ

§ 1. Предпосылки зарождения электротехники. Первые опыты с электричеством.

§ 2. Основные этапы развития электротехники. Применение математического аппарата в описании открытых явлений.

1. Зарождение электротехники (1830–1870 гг.). Открытие электромагнитной индукции.

2. Становление электротехники как самостоятельной отрасти техники (1870—1890 гг.). Создание электродвигателя и телеграфа.

3. Становление и развитие электрификации (с 1891 г.). Открытие переменного многофазного тока.

4. Зарождение и развитие электроники (первая четверть XX в.). Изобретение радио.

§ 3. Роль математического аппарата в развитии электротехники

ЗАКЛЮЧЕНИЕ

БЛИОГРАФИЯ

ВВЕДЕНИЕ

Развитие электротехники наглядно определяет тесную взаимосвязь научно-технических проблем с социальными, экономическими, экологическими другими задачами современного общества. Прежде это говорит о том, что движущая сила развития техники – производство необходимых обществу материальных благ.

С древнейших времен человек, используя простейшие орудия и средства труда, которые он постепенно совершенствовал, начал добывать себе пишу, изготавливать одежду, строить жилище, т.е. все то, без чего он не мог существовать. Проходят тысячелетия, и человек, обогащаясь знаниями, познавая простейшие законы природы, становится создателем материальных благ – главной силой, определяющей развитие общества. По мере познания законов природы человек создавал новые более совершенные средства труда, адаптировал конструктивные нормы, расширял технические возможности использования. В процессе труда изменялись формы, состав, структура материала – предмета труда. Но такие изменения тесно были связаны с затратами энергии, как в пределах одного ее вида, так и в переходах ее из одной формы в другую. Таким образом, все производственные процессы являются энергетическими. Следовательно, в процессе труда человек использует вещество – энергию природы.

Прежде всего, под актуальностью данного исследования стоит выделить то, что в современной жизни наблюдается всё большая востребованность в устройствах, работающих на электроэнергии, во-первых, это экономично, во-вторых, безопасно для природы (экологично), в третьих, удобно для использования. Невозможно представить нашу жизнь без компьютеров, телефонов, высокоскоростных поездов и т. п. Электротехника это та наука, что позволила воплотить в жизнь все эти устройства.

Объектом моего исследования является электротехника. А предметом исследования – математический аппарат и его роль в развитии электротехники.

Под электротехникой в широком смысле слова понимают область науки и техники, использующую электрические и магнитные явления для практических целей.

В качестве основного периода становления электротехники можно выделить конец XIX – начало XX вв.

Целью исследования является анализ этапов развития электротехники конца XIX – начала XX вв. (от зарождения до становления самостоятельной наукой) для того, чтобы выделить роль математики в становлении данной науки.

Исходя из поставленной цели, следует выделить некоторые задачи:

  1. Оценить предпосылки зарождения электротехники. Какие были первые опыты с электричеством;
  2. Узнать как изменилось направление развития электротехники после открытия постоянного источника питания;
  3. Опираясь на опытное знание, понять как применение математического аппарата дало толчок к дальнейшим великим открытиям;
  4. Оценить масштабы применения электрической энергии после открытия переменного тока;
  5. Рассмотреть тенденции и дальнейшие пути развития электротехники;
  6. Дать заключение роли математического аппарата в развитии электротехники.

В ходе написания работы были применены следующие формы и методы научного познания:

  • В разделе введение использовались такие формы научного познания как построение гипотезы, решение проблемы, изучение теории;
  • Решая первую из поставленных задач, были применен исторический метод, а также метод аналогий;
  • Для исследования второго вопроса работы основными методами выступали анализ и синтез;
  • С целью решения третьего вопроса был применен метод индукции;
  • Основным методом при рассмотрении третей и четвертой задачи послужил структурный метод и метод научного предвидения;
  • Исследуя заключительный вопрос работы использовался метод синтеза.

§ 1. Предпосылки зарождения электротехники. Первые опыты с электричеством.

Процесс развития техники характеризуется целым рядом закономерностей. Наука, изучающая эти закономерности, называется историей техники. Важно понять и отметить что этапы технического совершенствования, несомненно, подчеркивают ход философской мысли человечества. От того, куда был направлен взгляд, какие философские идеи раскрывались можно проследить тенденцию развития техники.

Раскрытие и анализ закономерностей развития техники основываются на методе диалектического материализма1. Главная движущая сила развития техники – производство обходимых обществу материальных благ.

Научно-техническая революция, представляет собой совокупность коренных качественных изменений в средствах, технологиях, организации управления производством в основе которых лежат новые научные принципы. Необходимым толчком для неё являются не только развитие науки и производительных сил, но и социальные изменения, произошедшие в обществе в результате мирового революционного процесса.

В отличие от промышленного переворота XVIII в., ознаменовавшего переход от мануфактурного к крупному машинному производству, современная научно-техническая революция – это переход к качественно новой высшей ступени машинного производства – к крупному автоматизированному машинному производству.

Основа современной научно-технической революции – автоматизация всех звеньев производственного процесса с использованием электрической энергии. Следовательно, важнейшие изменения в развитии производства непосредственно связаны с развитием энергетики, электротехники и электроники.

Более полно электротехнику можно определить, как область науки и техники, использующую электрические и магнитные явления для осуществления процессов преобразования энергии и превращения вещества, а также для передачи сигналов и информации.

Развитие электротехники, как и любой отрасли техники, происходило на основе изобретательской деятельности человека и внедрения ее результатов в практику. Возникновению это области науки предшествовал длительный период накопления знаний об электричестве и магнетизме, в течение которого были сделаны лишь отдельные попытки применения электричества в медицине, а также для передачи сигналов.

В середине XVIII века промышленность нуждалась в кардинальном изменении, не удовлетворяя потребности возросшего. Требовалось что- то новое, более совершенное.

Д. Гильберт2 впервые обнаружил, что свойства электризации присущи не только янтарю, но и алмазу, сере, смоле. Он заметил, что некоторые тела, например металлы, камни, кость, не электризуются, и разделил все тела, встречающиеся в природе, электризуемые и неэлектризуемые. Обратив особое внимание на первые, он производил опыты по изучению их свойств. [3,c 3]

В 1650 году известный немецкий ученый, бургомистр города Магдебурга, изобретатель воздушного насоса Отто фон Герике3 построил специальную "электрическую машину", представлявшую шар из серы, насаженный на ось, размером с детскую голову.

Если при вращении шара его натирать ладонями рук, то он вскоре приобретал свойство притягивать и отталкивать легкие тела. На протяжении нескольких столетий машину Герике значительно усовершенствовали: англичанин Хоксби, немецкие ученые Бозе, Винклер и другие. Опыты с этими машинами привели к ряду важных открытий [3, c 8]:

  • в 1707 году французский физик дю Фей обнаружил различие между электричеством, получаемым от трения стеклянного шара и получаемым от трения бруска из древесной смолы;
  • в 1729 году англичане Грей и Уилер обнаружили способность некоторых тел проводить электричество и впервые указали на то, что все тела можно разделить на проводящие и непроводящие электричество.

Но значительно более важное открытие было описано в 1729 году Мушенбруком 4 - профессором математики и философии в городе Лейдене. Он обнаружил, что стеклянная банка, оклеенная с обеих сторон оловянной фольгой (листьями станиоля), способна накапливать электрический заряд (открытый позже Кулоном). Заряженное до определенного потенциала (понятие о котором появилось значительно позднее), это устройство могло быть разряжено со значительным эффектом - большой искрой, производившей сильный треск, подобный разряду молнии, и оказывавшей поражающее действие при прикосновении рук к обкладкам банки. От названия города, где производились опыты, прибор, созданный Мушенбруком, был назван лейденской банкой [3, c 6].

Исследования свойств лейденской банки производились в различных странах и вызвали появление множества различных теорий, объяснявших обнаруженное явление конденсации заряда. Одна из теорий этого явления была дана, выдающимся американским ученым и общественным деятелем Бенджамином Франклином, который указал на существование положительного и отрицательного “электричества” (понятие «заряд» будет открыто позже). С точки зрения этой теории Франклин объяснил процесс заряда и разряда лейденской банки и доказал, что ее обкладки можно произвольно электризовать разными по знаку электрическими зарядами.

Им были произведены (1747–1752 гг.) многочисленные опыты по улавливанию и изучению атмосферного электричества, усовершенствован молниеотвод, разработана так называемая «унитарная» теория электричества (1747 г.). [4, с 10]

Постепенно электрические эксперименты перестают быть модными развлечениями и все более превращаются в мощное средство познания неизведанных тайн природы.

Мировую известность приобрел трактат Франца Эпинуса5 «Опыты теории электричества и магнетизма», изданный в Петербурге в 1759 г. Эпинус впервые указал на связь между электрическими и магнитными явлениями. К этому выводу он пришел в результате многочисленных экспериментов с электризацией кристаллов тур малина при их нагревании и охлаждении (1752 г.) Исследуя электрические явления, Эпинус близко подошел к понятиям потенциала и емкости. Ему также принадлежит открытие явления электростатической индукции. Он впервые отверг утверждение Франклина об особой роли стекла в лейденской банке и применил плоский конденсатор с воздушной прослойкой. Он правильно утверждал, что чем меньше расстояние между обкладками банки и чем больше их поверхность, тем выше «степень электричества». [4, с 3]

Стоит отметить большой вклад выдающегося итальянского физика Алессандро Вольта (1745 – 1827 гг.) Его по праву можно назвать основателем электрической метрологии. В своих работах (1778—1782 гг.) он четко формулирует количественные зависимости между электрическим зарядом, емкостью и напряжением: «...когда емкость больше, то данное количество электричества вызывает меньшее напряжение ... емкость и электрическое действие, или напряжение, находятся в обратном отношении». Причем под термином «напряжение» он понимает интенсивность или «усилие, производимое каждой точкой наэлектризованного тела». А. Вольт создал более совершенные электрофоры и электроскопы, в частности, конденсаторный электроскоп.[4, с 3]

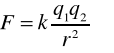
В 1785 году Ш. Кулоном6 открыт основной закон электростатики. На основании многочисленных опытов Кулон установил следующий закон:

«Сила взаимодействия неподвижных зарядов, находящихся в вакууме, прямо пропорциональна произведению модулей зарядов и обратно пропорциональны квадрату расстояния между ними». [4, с 5]

,

где – коэффициент пропорциональности, зависящий от среды,

– заряды двух участвующих тел,

– квадрат расстояния между телами.

Исследования Кулона способствовали применению математического анализа в теории электричества и магнетизма, распространению математического понятия потенциала (ранее введенного в механику) на электрическое и магнитное поля.

В последней четверти XVIII в. все более начинает проявляться новый образ мышления ученых, исследующих электрические и магнитные явления. Сделанные еще в 40-50 гг. М. В. Ломоносовым и Г. В. Рихманом первые шаги от качественных наблюдений к установлению количественных закономерностей, вызывающие все больший интерес. Возможность перехода к количественным исследованиям обуславливалась как успехами математики, так и совершенствованием измерительных устройств.

§ 2. Основные этапы развития электротехники. Применение математического аппарата в описании открытых явлений.

Периодом зарождения электротехники можно считать 1830 – 1870 гг.

Следовательно, выделим следующие основные этапы развития электротехники и расскажем о них подробнее:

  1. Становление электростатики (до 1800 г.)

Основные законы, опыты и приборы были описаны в §1.

  1. Фундамент научных основ электротехники (1800 – 1830 гг.). Создание первого элемента питания (Вольтова столба).

Отдельные ученые высказывали предположение, что если «вся природа электрическая», то и в организмах человека и животных по жилам и мускулам должна протекать эта таинственная материя. Одним из подтверждений указанных воззрений были «электрические» рыбы, известные еще с древних времен. Так возникло представление о новом виде электричества, названного «животным».

В 1773 г. профессор анатомии Болонского университета Луиджи Гальвани занялся исследованием мышечных движений лягушек под воздействием электричества. Первые электрофизиологические опыты Гальвани над лягушками относятся к 1780 г. Спустя 11 лет он опубликовал результаты своих исследований в знаменитом «Трактате о силах электричества при мышечном движении», получившем широкую известность.

Из истории:

“Во время одного из экспериментов, когда препарированная лягушка лежала на столе, на котором находилась электростатическая машина, Гальвани заметил, что, если прикоснуться скальпелем (или любым проводником) к бедренному нерву лягушки в момент, когда из кондуктора машины извлекается искра, то мышцы лягушки судорожно сокращаются. Естественно было предположить, что и атмосферное электричество должно действовать аналогично. И, действительно, при «вспыхивании молнии» мышцы «... впадали в сильнейшие сокращения». Желая выяснить, какие явления будут наблюдаться «при ясном небе», Гальвани прикрепил медный крючок к спинному мозгу лягушки и подвесил крючок к железным перилам балкона. Прижимая другой конец крючка к перилам, он снова наблюдал сокращение мышц. Подозревая, что состояние атмосферы не действует на лягушку, он повторил эксперимент в своей домашней лаборатории: положив препарированную лягушку на металлическую обшивку стола и прижав медный крючок, продетый через спинной мозг лягушки (ученым были известны только явления статического электричества столу), он снова увидел сильные сокращения. Однако при замене одного из металлов непроводником сокращений не происходило.

Но сокращения были «энергичнее и продолжительнее», если лягушка лежала не на железном листе, а на серебряной пластине.

Гальвани сделал предположение о том, что сокращение мышц вызывается действием электрических сил, что мышцы к нервы образуют как бы две обкладки лейденской банки. Но нужно было решить очень важный вопрос: как и где во всех этих опытах возникает электричество? Ни железная пластинка, ни медный крючок, соприкасавшийся с телом лягушки, не могли, по представлениям физиков того времени, служить источником электричества, так как на металлы смотрели только как на проводники, считая, что они могут становиться «электрическими» лишь через прикосновение к другим наэлектризованным телам. Тогда оставалось предположить, что таким источником является сама лягушка. Все это создавало почву для представлений о существовании особого – «животного» электричества. Тело животного являлось согласно взглядам Гальвани своеобразной лейденской банкой, способной на непрерывное повторное действие”. Опыты Гальвани вызвали большой интерес.

Исследуя опыты Гальвани, А. Вольт прежде всего обратил внимание на то, что сокращения мышц наиболее интенсивно происходят при использовании двух разнородных металлов. Продолжая исследования, он отверг идеи Гальвани о «животном» электричестве и пришел к выводу, что источником электричества является контакт двух разнородных металлов: «Металлы не только прекрасные проводники, но и двигатели электричества», – утверждал Вольт. А «... лягушка, приготовленная по способу Гальвани, есть чувствительный электрометр».

Опыты Вольта завершились построением 1799 г. первого источника непрерывного электрического тока, составленного из медных цинковых кружков (пар), переложенных суконными прокладками, смоченными водой или кислотой. Этот прибор, о котором он впервые сообщил Президенту Лондонского королевского общества в марте 1800 г., был назван им «электродвижущим аппаратом», а позднее французы стали его называть «гальваническим или вольтовым столбом».

Вольтов столб – первый источник непрерывного электрического тока, сыгравший громадную роль как в развитии науки об электричестве, так и в расширении его практических применений. Вольтов столб в различных своих модификациях долгое время оставался единственным источником электрического тока.

Первые же опыты с электрическим током не могли не привести к открытию некоторых присущих ему свойств. Среди многочисленных исследований явлений электрического тока, произведенных в первые годы после построения вольтова столба, наиболее выдающимися были труды первого русское электротехника, профессора физики Петербургской Медико-хирургической академии, академика Василия Владимировича Петрова (1761–1834 гг.) В его трудах впервые была показана и доказана возможность практических применений электричества.

Он собрал самую крупную в мире в те годы батарею из 4200 медных и цинковых пластин. Установил возможность практического использования электрического тока для нагрева проводников. Кроме того, Петров наблюдал явление электрического разряда между концами, слегка разведенных углевых стержней, как в воздухе, так и в других газах и вакууме, получившее название электрической дуги. В. В. Петров не только описал открытое им явление, но и указал на возможность его использования для освещения или плавки металлов и тем самым впервые высказал мысль о практическом применении электрического тока. В. В. Петров является одним из основоположников электротехники.

Труды Петрова были хорошо известны его современникам и изучались русскими физиками первой трети XIX в., что не могло не оказать заметного влияния на развитие науки об электричестве, на расширение практических применений электричества. Среди учеников Петрова были талантливый физик и химик С. П. Власов, академик И. X. Гамель, профессор И. Е. Грузинов, С. В. Большой и др.

В 1802–1807 гг. ряду ученых, в том числе профессору Московского университета Петру Ивановичу Страхову, удалось установить опытным путем, что земля и вода являются проводниками тока. Этим открытием послужила возможность применения земли и воды в качестве обратного провода при осуществлении установок и устройств для передачи электрического тока от генератора к приемникам.

В 1807 г. профессор Московского университета Федор Федорович Рейс обнаружил явление, получившее впоследствии название электроосмоса7.

Многочисленные опыты по электролизу различных жидкостей вскоре привели к необходимости объяснения механизма электролиза, вызвали потребность в теоретических обоснованиях проходящих явлений. Наиболее приближающейся к современным воззрениям на процессы электролиза явилась теория электролиза8 Теодора Гротгуса, которая была по существу первой ионной теорией электролитических явлении Гротгус в 1805 г. опубликовал «Мемуар о разложении при помощи гальванического электричества воды, а также растворенных в ней тел».

Расширение и углубление исследований электрических явлений

привели к открытию и изучению новых свойств электрического тока.

В 1820 г. были опубликованы и продемонстрированы опыты Г. X. Эрстеда по наблюдению действия тока на магнитную стрелку, возбудившие большой интерес среди ученых разных стран и получившие в их трудах дальнейшие углубление и развитие.

В 1820 г. Д. Ф. Араго было обнаружено новое явление –намагничивание проводника протекающим по нему током. (“Если медная проволока, соединенная с полюсами вольтова столба, погружалась в железные опилки, то последние равномерно к ней прилипали. При выключении тока опилки отставали. Когда Араго брал вместо медной проволоки железную (из мягкого железа), то она временно намагничивалась. Кусочек стали при таком намагничивании становился постоянным магнитом”.)

В процессе исследований Араго обнаружил (в 1824 г.) еще одно новое явление, названное им «магнетизмом вращения» и заключавшееся в том, что при вращении металлической пластины, находящейся над магнитной стрелкой (или под ней), последняя также приходит во вращение.

Новым шагом от качественных наблюдений действия тока на магнит, к определению количественных зависимостей, явилось установление французскими учеными Жаном Батистом Био и Феликсом Саваром закона действия тока на магнит9. Проведя ряд экспериментов, они установили (1820 г.) следующее: «если неограниченной длины провод с проходящим по нему вольтовым током действует на частицу северного или южного магнита, находящуюся на известном расстоянии от средины провода, то равнодействующая всех сил, исходящих из провода, направлена перпендикулярно к кратчайшему расстоянию частицы от провода, и общее действие прокола на любой (южный или северный) магнитный элемент обратно пропорционально расстоянию последнего до провода».

Французский ученый Пьер Симон Лаплас (1749 – 1827 гг.) показал впоследствии, что сила действия, создаваемая небольшим участком проводника, изменяется обратно пропорционально квадрату расстояния.

25 сентября 1820 г., Ампер докончил чтение доклада в Парижской Академии наук, в котором он изложил законы взаимодействия двух проводников с током, протекающим по параллельно расположенным проводникам. Этот опыт дал толчок к открытию и формулированию основных законов электродинамики. Одной из важнейших заслуг Ампера было то, что он впервые объединил два разобщенных ранее явления - электричество и магнетизм – одной теорией электромагнетизма и предложил рассматривать их как результат единого процесса природы. Эта теория была весьма прогрессивной и сыграла огромную роль в правильном понимании открытых позднее явлений.

Ампер был необыкновенно одаренным от природы человеком. Физика и математика, астрономия и химия, зоология и философия – во всех этих науках ярко проявились энциклопедические знания Ампера. Ему было всего 13 лет, когда он представил в Лионскую Академию наук, литературы и искусства свою первую математическую работу.

Дальнейшее изучение явлений электричества и магнетизма привело к открытию новых фактов. В 1821 г. профессор Берлинского университета Томас Иоганн Зеебек (1770–1831 гг.), занимаясь исследованием возможности получения электрического тока посредством двух разнородных металлов без участия какой-либо жидкости, открыл новое явление, «термомагнетизмом» (позднее этот термин был заменен на «термоэлектричество»).

10, где

– температура первого конца термопары;

– температура второго конца термопары;

– термоэлектрическая способность термопары.

В 1834 г. французским ученым Жаном Ш. А. Пельтье (1785–1845 гг.) было обнаружено более широкое проявление термоэлектрических действий и их обратимость. При прохождении электрического тока через спай двух различных металлов имеет место выделение или поглощение тепла в зависимости от направления тока.
Дальнейшие открытия в изучении электричества связаны с зависимостью проводимости от площади сечения проводника. Более глубоко эти явления были исследованы немецким физиком Георгом Симоном Омом (1789–1854 гг.) [3, с 10].

Из истории:

Во время проведения опытов Ому пришлось преодолеть немало трудностей: электродвижущая сила гальванических элементов заметно снижалась в процессе их эксплуатации; механизм работы источников питания был не известен; общепринятых методов определения электропроводности проводников не существовало: в научную практику не были введены величины, характеризующие процесс протекания тока в цени, не было приборов для измерения этих величии. Нужно было разработать не только методику проведения экспериментов, но и создать соответствующие приборы, обеспечить большую точности измерений. Все это потребовало от Ома незаурядного мастерства, упорства и находчивости. Ему пришлось отказаться от гальванических батарей и заменить их термоэлементом, изготовить несколько конструкций мультипликаторов .

На основе многочисленных экспериментов Ому удается вывести формулу, связывающую «силу магнитного действия проводника» (то есть ток) с электровозбуждающей силой источника и сопротивлением цепи – это уже был закон электрической цепи.

В 1827 г. выходит в свет его фундаментальный труд «Гальваническая цепь, разработанная математически доктором Омом» (Он так же известен под названием «Теоретические исследования электрических цепей».

Закон Ом сформулировал следующим образом «Величина тока в гальванической цепи пропорциональна сумме всех напряжений и обратно пропорциональна сумме приведенных длин» [3, с 8].

,

где – сопротивление участка цепи,

– напряжение, приложенное к этому участку,

– ток, протекающий в результате замыкания участка цепи.

  1. Зарождение электротехники (1830–1870 гг.). Открытие электромагнитной индукции.

Выдающиеся открытия в области электричества и магнетизма, связанные с именами Ампера, Ома, Фарадея, Ленца, требовали более точного количественного описания этих явлений, их математического анализа и разработки расчетных методов, необходимых для решения практических задач, выдвигаемых всё развивающимся производством. Одним из выдающихся вкладов в решение этих проблем явились труды профессора Берлинского университета Густава Роберта Кирхгофа (1824–1887 гг.) [4, с 7]

В 1847 году Кирхгоф сформулировал законы протекания токов в сложных цепях:

  • Первый закон Кирхгофа

Применяется к узлам и формулируется следующим образом: алгебраическая сумма токов в узле равна нулю. Знаки определяются в зависимости от того, направлен ток к узлу или от него (в любом случае произвольно).

                                                    

  • Второй закон Кирхгофа

Применяется к контурам: в любом контуре сумма напряжений на всех элементах и участках цепи, входящих в этот контур, равна нулю. Направление обхода каждого  контура можно выбирать произвольно. Знаки определяются в зависимости от совпадения напряжений с направлением обхода.

Вторая формулировка: в любом замкнутом контуре алгебраическая сумма напряжений на всех участках с сопротивлениями, входящих в этот контур, равно алгебраической сумме ЭДС.

Следующим крупным этапом в изучении электричества является открытие законов электромагнитной индукции11 (1831 г.). Учения в этой области напрямую связаны с замечательными трудам английского ученого Майкла Фарадея.

Он обнаружил, что электродвижущая сила (), возникающая в замкнутом проводящем контуре, пропорциональна скорости изменения магнитного потока () через поверхность, ограниченную этим контуром. Величина электродвижущей силы (ЭДС) не зависит от того, что является причиной изменения потока – изменение самого магнитного поля или движение контура (или его части) в магнитном поле.

.

В качестве математического описания явлений, открытых Фарадеем, стоит упомянуть труды великого физика Джемса Кларка Максвелла (1831–1879 гг.). «Приступив к изучению труда Фарадея, я установил, что его метод понимания явлений был также математическим, хотя и не представленным в форме обычных математических символов. Я также нашел, что этот метод можно выразить в обычной математической форме и, таким образом, сравнить с методами профессиональных математиков... Когда я переводил то, что я считал идеями Фарадея, в математическую форму, продолжал Максвелл, я нашел, что в большинстве случаев результаты обоих методов совпадали, так что ими объяснялись одни и те же явления и выводились одни и те же законы действия, и то что методы Фарадея походили на те, при которых, начиная с целого, мы приходим к частному путем анализа, в то время как обычные математические методы были основаны на принципе «движения от частностей и построения целого путем синтеза».

Таким образом, Максвеллом была математически описана теория электромагнитного поля, которую по достоинству ценили многие ученые XIX и XX вв. когда на основе выведенных им уравнений стала развиваться радиотехника. Первые дифференциальные уравнения поля были записаны Максвеллом в 1855 – 1856 гг.

Максвеллом был разработан метод контурных токов, доказана теорема взаимности.

В 1833 г. Ленц12 обобщил опыты Фарадея по электромагнитной индукции, сформулировал «Закон Ленца»:

«Направление индукционного тока всегда таково, что он препятствует тому действию (напр. движению), которым он вызывается».

Один из крупнейших немецких ученых Герман Людвиг Гельмгольц ввел в 1853 г. в теорию цепей известный ранее в физике принцип суперпозиции, на основе которого были построены важные теоремы электрических цепей. Гельмгольц же впервые получил уравнение переходного процесса цепи при ее подключении к источнику, рассмотрел постоянные времени электрической цепи.

Уильям Томсон (лорд Кельвин) в 1853 г. дал расчет колебательного процесса и установил связь между частотой собственных колебаний, индуктивностью и емкостью.

Постепенно формировался практически весь арсенал методов расчета (включая эквивалентные преобразования) цепей постоянного тока.

  1. Становление электротехники как самостоятельной отрасти техники (1870—1890 гг.). Создание электродвигателя и телеграфа.

Важнейшими научными предпосылками электромеханики послужили достижения в области электродинамики и открытие электромагнитной индукции. Когда назрел новый энергетический кризис, связанный с ограниченными возможностями теплового центрального двигателя. Выйти из этого кризиса позволили электрические машины, которые за несколько десятилетий совершили новый переворот в промышленном производстве.

Начальный период развития электродвигателя (1821–1834 гг.) тесно связан с созданием физических приборов для демонстрации непрерывного преобразования электрической энергии в механическую и начинается с опытов Фарадея.

Второй этап развития электрических двигателей (1834–1860 гг.) характеризуется преобладанием конструкций с вращательным движением явно полюсного якоря.13 Этот период непосредственно связан с великим ученым Борис Семенович Якоби (1801–1874 гг.). [3, с 13]

Одним из недостатков первых электродвигателей было отсутствие превосходств перед паровыми машинами, т. е. мощность первых электродвигателей была настолько мала, что подходила только в качестве игрушки или детской забавы. Дело всё в том, что источники питания для таких машин были маломощными. После открытия Ленцом (1838 г.) принципа обратимости электрических машин, наступает новый этап – создание генераторов. (Генераторы в эту эпоху были на постоянном токе).

После открытия в 1842 г. независимо друг от друга учеными Эмилем Ленцом и Джеймсом Джоулем закона о тепловом действии электрического тока14 электричество стали применять в промышленных целях.

Следующим наиболее важным этапом развития электротехники является изобретение телеграфа. Первый практически пригодный электромагнитный телеграф был разработан русским ученым Павлом Львовичем Шиллингом в 1828–1832 гг. Этот телеграф был основан на визуальном приеме кодовых знаков и явился исходной конструкцией для последующих телеграфов.

Первым по-настоящему массовым потребителем электрической энергии явилась система электрического освещения. Электрическая лампа и по нынешний день осталась самым распространенным электротехническим устройством. Особое место среди дуговых источников света занимает «электрическая свеча» Павла Николаевича Яблочкова (1847–1894 гг.). Именно «электрическая свеча» явилась тем самым началом, вызвавшим бурный рост электротехнической промышленности.

Дальнейший прогресс электрического освещения был связан с изобретением лампы накаливания, которая оказалась более удобным источником света, имеющим лучшие экономические и световые показатели.

В 1879 г. Эдисон заинтересовался проблемой электрического освещения. 12 апреля 1879 г. Эдисон получил первый патент на лампу с платиновой спиралью высокого сопротивления, а затем – на лампы с угольными нитями (27 января 1980 г.).

В связи с развитием промышленности, ростом городов возникает острая потребность в электроэнергии. Электрическая энергия становится товаром, и все более остро ощущается необходимость централизованного производства и экономичной передачи электроэнергии на значительные расстояния. Решить эту проблему на базе постоянного тока было нельзя из-за невозможности трансформации постоянного тока.

  1. Становление и развитие электрификации (с 1891 г.). Открытие переменного многофазного тока.

Наиболее существенный толчок работам в области генераторов переменного тока дала электрическая свеча Яблочкова. Уже в 1878 г. Яблочков совместно с заводом Грамма разработал несколько однотипных конструкции генераторов переменного тока.

В 80-х годах делаются попытки сравнивать действия постоянного и переменного токов, вводится понятие об идеальном синусоидальном токе. Оказалось, например, что сравнительно легко подсчитать мощность, выделяемую синусоидальным током в резисторе и сравнить ее с мощностью, выделяемой в том же резисторе постоянным током. В 1888 г. У. Томсон показал возможность применения гармонического анализа Фурье для любого периодического (несинусоидального) тока (Фурье свой знаменитый метод предложил в 1822 г., разрабатывая теорию тепла).

В 1889 г. профессор Гринвичского морского училища Томас Блексдей предложил изображать синусоидальную величину в виде вектора. Метод векторных диаграмм открыл прекрасные возможности для наглядных представлений о процессах в цепях гармонического тока. В частности, этот метод позволил распространить закон Ома на цепи переменного тока.

Важную роль в становлении современных представлении в области теории переменного тока сыграли исследования М. О. Доливо-Добровольского. Он показал, что магнитный поток в магнитопроводе с катушки, включенной в цепь переменного тока, целиком определяется напряжением (если считать частоту и число витков заданными) и не зависит от магнитного сопротивления. С изменением магнитного сопротивления меняется только намагничивающий ток.

Им были введены понятия активной и реактивной составляющих переменного тока, которые он назвал соответственно ваттным (рабочим) и безваттным (возбудительным) токами. Метод разложения любого тока на две составляющие бил рекомендован Доливо-Добровольский для практических расчетов и анализов процессов в электрических машинах н аппаратах.

В 1892 г. Доливо-Добровольский разработал на базе сформулированных положений основы теории и проектирования трансформаторов. [2, с 8]

Завершением общей теории цепей переменного тока явилась исключительно продуктивная идея поместить векторную диаграмму на комплексную плоскость. Это позволяло тригонометрические операции над векторными изображениями синусоидальных функций времени заменить алгебраическими операциями над комплексными числами. Оказалось, что интегрально-дифференциальные топологические у равнения для мгновенных значений в стационарных процессах могут быть заменены алгебраическими уравнениями для комплексных изображений.

Несомненная заслуга в широком введении метода комплексных амплитуд ("символического метода") принадлежит известному американскому электротехнику Чарльсу Протеусу Штейнмецу. В 1901 г. Штейнмец издал фундаментальный курс под названием «Теоретические основы электротехники».

В 1899 г. в Лондоне был опубликован и другой символический метод, который предлагал замену любого аналитически выраженного воздействия его операторным изображением, разработанный английским физиком Оливером Хевисайдом. При решении сложных задач, Хевисайд самостоятельно развивал необходимый математический аппарат. Так для решения задач о переходных процессах он придумал операционное исчисление, основанное на преобразовании Лапласа.

Важнейшей предпосылкой разработки трехфазных систем явилось открытие (1888 г.) явления вращающегося магнитного поля. Первые многофазные двигатели были двухфазными.

Трехфазная система оказалась наиболее рациональной, так как имела ряд преимуществ как перед однофазными цепями, так и перед другими многофазными системами. В разработку трехфазных систем большой вклад сделали ученые и инженеры разных стран.

Наибольших успехов в развитии многофазных систем добился М. О. Доливо-Добровольский, который сумел придать своим работам практический характер. Поэтому он по праву считается основоположником техники трехфазных систем.

После изобретения трехфазных систем переменного тока и решения вопроса о передачи электроэнергии на большие расстояния становится возможным широкое применение электричества в промышленных целях. И так с 1890 г. повсеместно начинаю строительство крупных электростанций.

  1. Зарождение и развитие электроники (первая четверть XX в.). Изобретение радио.

Электротехника становится базой для разработки автоматизированных систем управления энергетическими и производственными процессами. Создание разнообразных электронных, в особенности микроэлектронных устройств позволяет коренным образом повысить эффективность автоматизации процессов вычислений, обработки информации, осуществлять моделирование сложных физических явлений, решение логических задач и др. при значительном снижении габаритов, устройств, повышении их надежности и экономичности.

Дж. Генри и Г. Гельмгольц еще в 40-х годах XIX века устанавливают колебательный характер искрового разряда. В 1850 г. Генри наблюдал индуктивные взаимодействия двух катушек на расстоянии около 80 м. Максвелл в 1873 г. изложил сущность явления электромагнитных волн, а Герц в 1888 г. осуществил их экспериментальное исследование. Вибратор и резонатор Герца – это крупнейшая ступень в предыстории радио. Герц работал с электромагнитными волнами в диапазоне 0,6–6 м. Его волны были названы «лучами Герца», а от латинского «radius» – луч и вошло в жизнь слово «радио».

В 1891 г. французский физик Эдуард Бранли изобрел когерер – стеклянную трубку с металлическими опилками, оказавшуюся хорошим индикатором электромагнитных волн.

Седьмого мая 1895 г. А. С. Попов публично демонстрировал радиоприемник.

Дальнейшее развитие электротехники повлекло собою рождение новых областей наук: электроники, схемотехники, микроэлектроники. Всё больше и больше становится множество различных сложных систем (больших интегральных схем), приведших к созданию микропроцессоров, осуществляющих цифровую обработку информации, и микроЭВМ.

§ 3. Роль математического аппарата в развитии электротехники

Делая вывод из сказанного выше, математика как наука послужила надёжной опорой для развития электротехники. Математический аппарат, созданный такими великими учёными как Максвеллом, Омом, Джоулем, Фарадеем, Доливо-Добровольским и др., заложил фундамент для развития электротехники. Без их вкладов невозможно представить нынешнюю промышленность, дальние линии электропередач, телефон, радио, электропоезда и много другое.

Стоит так же выделить и философию как образ мышления ученого. Каждый открытий закон или поставленный опыт это философски взгляд на проблему.

ЗАКЛЮЧЕНИЕ

Изучение истории человеческого общества вообще и истории техники в частности позволяют проследить сложный взаимосвязанный и взаимообусловленный процесс становления и развития человека и техники. Человек создавал все новые и более совершенные средства труда, повышал производительность своего труда и накапливал научные знания. Нельзя не отметить, что именно развитие электротехники, способствовало ускорению технического прогресса. Создание электрических машин постоянного и переменного тока позволило проектировать гибкие системы управления, что не могло быть реализуемо на двигателях, использующих энергию пара. Развитие микропроцессорной техники позволило создавать мощные компьютеры, участвующие в научных экспериментах, а так же открывать новые области науки. [1, с 31]

Рассматривая первую задачу можно сделать следующее заключение: для оценки предпосылок зарождения электротехники, стоит заострить внимание на следующих факторах:

– небывалый рост промышленности к концу XVIII в.;

– изобретение первого источника электрической энергии;

– новые опыты с электричеством.

После открытия первого постоянного источника электрической энергии внимание ученых начинает активно переключается в эту область, развиваются бурные исследования. Открываются всё новые и новые области применения электричества. Эти факторы и дали толчок для развития электротехники.

Рассматривая вторую задачу, послужило выводом следующее: как известно, первоначальным источником электричества являлась, по-сути, нынешняя батарейка, применяя которую можно получить лишь постоянный ток малой мощности. Применение такого источника не находило промышленного использования. После открытия явления электромагнетизма и многочисленным опытам с электростатическими машинами расширение и углубление исследований электрических явлений привели к открытию и изучению новых свойств электрического тока, открытию явления электромагнитной индукции. На данном этапе сильнейшее развитие электротехники дали опыты М. Фарадея, послужившие началом создания электродвигателя. Открыв принцип обратимости электрических машин, стали бурно развиваться исследования в части конструирования генераторов. То есть, электричество начинают широко применять в промышленных целях.

Итогом решения третей задачи послужило то, что на первых этапах исследования явлений электричества ярко прослеживается именно опытное знание, то есть открытие явлений, получение новых знаний происходит исключительно через поставленные опыты. Каждый ученый, открытые им закономерности, трактовал по-разному, не было единства изучения. После открытия явления электромагнитной индукции Фарадеем поднимается вопрос, а возможно ли описать математически открытый Фарадеем процесс? Первые попытки были сделаны Д. К. Максвеллом, следствием его трудов послужило открытие целой теории электромагнитного поля. Именно с этого момента можно отметить первый этап применение математики в электротехнике. Математический аппарат, разработанный Максвеллом и дополненный другими выдающимися учеными как М. О. Доливо-Добровольский, Н. Тесла и др., позволяет показать всему миру такие открытия как асинхронный двигатель, трансформатор, дающие мощный толчок в развитии промышленности и техники конца XIX – начала XX вв.

Оценивая масштаб применения электрической энергии (задача четвертая) следует сказать, что развивающееся производство требовало комплексного решения сложнейшей научно-технической проблемы: экономичной передачи электроэнергии на дальние расстояния и создания экономичного и надежного электрического двигателя, удовлетворяющего требованиям промышленного электропривода. Решением этих проблем является открытие переменного тока и создание трехфазных систем. В разработку трехфазных систем большой вклад внес М. О. Доливо-Добровольский. С этого времени начинается бурное развитие электрификации: строятся мощные электростанции, возрастает напряжение электропередач, разрабатываются новые конструкции электрических машин, аппаратов и приборов. Процесс электрификации постепенно охватывает все новые области производства: развивается электрометаллургия, электротермия, электрохимия. Электрическая энергия начинает все более широко использоваться в самых разнообразных отраслях промышленности, на транспорте, в сельском хозяйстве и в быту.

Рассматривая дальнейшие пути развития электротехники (задача пятая), стоит отметить, что электротехника перестаёт быть просто увлечением ученых, становится базой, открывающей новые ветви науки: схемотехника, электроника, радиотехника и др.

Делая вывод из сказанного (задача шестая), следует отметить, что именно использование математики в электротехнике дало начало развитию этой науки. Сегодня невозможно представить электротехнику без математической трактовки электротехнических законов. Математический аппарат стал фундаментом этой науки.

В данной работе была проанализирована история развития электротехники, сделан акцент на опыты и открытия великих ученых, продемонстрирован этап внедрения математики в науку. Так же, были отмечены основы и предпосылки зарождения электротехники, озвучены великие ученые, внёсшие неоспоримый вклад в развитие науки и техники.

БЛИОГРАФИЯ

  1. Архангельский Ю. С. Социальные аспекты электротехники/Ю. С. Архангельский// вестник Саратовского государственного технического университета. – Саратов. 2012.-№2. – С. 31-33.
  2. Баранов М. И. Никола тесла и современная электротехника/ М. И. Баранов// Электротехника и электромеханика – 2006.-№ 2 – С. 5-11.
  3. Баранов М. И. Антология выдающихся достижений в науке и технике. Часть 5: Электротехника/М. И. Баранов//Электротехника и электромеханика. – 2011.-№6. – С. 3-14.
  4. Баранов М. И. Антология выдающихся достижений в науке и технике. Часть 12: Классическая электродинамика/ М. И. Баранов //Электротехника и электромеханика. – 2013.-№1. – С. 3-7.
  5. Валивач П. Е. Философия теоретических основ электротехники как составная часть философии естественных и технических наук/П. Е. Валивач// Известия Российского государственного педагогического университета им. А.И. Герценаю. – 2010.-№137. – С. 51-62.
  6. Койре А. /Очерки истории философской мысли. О влиянии философских концепций на развитие научных теорий. – М.: Книжный мир, 2002 г.
  7. Колесников А. Н. Моделирование систем энергоснабжения/А. Н. Колесников//Известия Южного федерального университета. Технические науки – 2003.-№3. – С.136.
  8. Шилин А. Н., Коптелова И. А., Крутякова О. А. Методика применения теории сигнальных графов при изучении электротехники и теории автоматического управления/ Шилин А. Н., Коптелова И. А., Крутякова О. А.//Известия Волгоградского государственного технического университета. – Волгоград. 2005.-№4. – С. 168-171.

1 Диалектический материализм - философия, выражающая интересы рабочего класса и всего прогрессивного знания человечества. Эта философия была создана Карлом Марксом и Фридрихом Энгельсом в прошлом веке в процессе критической переработки всех достижений предшествующей философской мысли. [М.Н. Руткевич, «ДИАЛЕКТИЧЕСКИЙ МАТЕРИАЛИЗМ», курс лекций для философских факультетов, «Мысль» - Москва 1978, с.448].; К.Маркс, Ф.Энгельс, В.И.Ленин, «О ДИАЛЕКТИЧЕСКОМ И ИСТОРИЧЕСКОМ МАТЕРИАЛИЗМЕ», М.: Политиздат, 1984.

2 Давид Гильберт (нем. David Hilbert; 23 января 1862 – 14 февраля 1943) – немецкий математик-универсал, внёс значительный вклад в развитие многих областей математики [http://wikipedia.org].

3 Отто фон Герике (нем. Otto von Guericke, 1602, Магдебург – 1686, Гамбург) – немецкий физик, инженер и философ [http://Wikipedia.org].

4 Питер ван Мушенбрук – голландский физик, создатель «лейденской банки» [http://Wikipedia.org].

5 Франц Ульрих Теодор Эпинус (1724–1802 гг.) – физик, астроном и математик, член Петербургской Академии наук [http://Wikipedia.org].

6 Шарль Огюстен де Кулон – французский военный инженер и учёный-физик, исследователь электромагнитных и механических явлений; член Парижской Академии наук. Его именем названы единица измерения электрического заряда и закон взаимодействия электрических зарядов [http://Wikipedia.org].

7 Электроосмос - это движение жидкости через капилляры или пористые диафрагмы при наложении внешнего электрического поля. Электроосмос – одно из основных электрокинетических явлений.

8 Электролиз – физико-химический процесс, состоящий в выделении на электродах составных частей растворённых веществ или других веществ, являющихся результатом вторичных реакций на электродах, который возникает при прохождении электрического тока через раствор, либо расплав электролита.

9 Закон «Био-Савара» – физический закон для определения вектора индукции магнитного поля, порождаемого постоянным электрическим током. Был установлен экспериментально в 1820 году Био и Саваром и сформулирован в общем виде Лапласом [http://Wikipedia.org].

10 «Термоэлектрический эффект. Методические указания к выполнению лабораторной рабо», Томский политехнический университет, Томск: Изд-во ТПУ, 2008. – 15 с.

11 Электромагнитная индукция – явление возникновения электрического тока в замкнутом контуре при изменении магнитного потока, проходящего через него. [http://Wikipedia.org]

12 Эмилий Христианович Ленц (при рождении Генрих Фридрих Эмиль Ленц, нем. Heinrich Friedrich Emil Lenz; 12 (24) февраля 1804, – российский физик из балтийских немцев, один из основоположников электротехники. [http://Wikipedia.org].

13 Применяется на электродвигателях постоянного тока, когда полюса якоря неизменны при его вращении в магнитном поле.

14 Закон, позже названный как «закон Джоуля–Ленца» – при прохождении электрического тока () по проводнику количество теплоты (), выделяемое проводником, прямо пропорционально квадрату тока, сопротивлению проводника () и времени (), в течение которого электрический ток протекал по проводнику.

PAGE \* MERGEFORMAT3

Анализ этапов развития электротехники конца XIX – начала XX веков