асинхронний двигун 4A90L6Y3 з коротко замкнутим ротором
ВСТУП
Асинхронні двигуни найбільш питомі серед випуску електричних машин . Про масштаби застосування і значення цих двигунів у народному господарстві країни можна судити по тому, що асинхронні двигуни випускають потужністю від 0,12 до 400 кВт, що забезпечує їх широкий попит. Вони споживають більш ніж 60% енергії, виробляємої електричними станціями. Потрібність в асинхронних двигунах безперервно зростає. Широке розповсюдження двигуни отримали завдяки простоті конструкції, відносно невеликим вартам та високим експлуатаційним параметрам. Вони мають відносно високий ККД: 0.7 0.95. До недоліків асинхронних двигунів слід віднести споживання з мережі реактивного струму, необхідного для створення магнітного поля, що веде к зниженню коефіцієнта потужності мережі. Також по регульованим властивостям вони значно гірші, ніж двигуни постійного струму. Головним чином асинхронні двигуни використовуються для роботи у трьохфазній мережі.
Проектуванню підлягає асинхронний двигун 4A90L6Y3 з коротко замкнутим ротором. Конструктивне виконання за способом монтажу IM1081. Міра захисту від впливу навколишнього середовища IP44.
ПЕРЕЛІК УМОВНИХ ПОЗНАЧЕНЬ І СКОРОЧЕНЬ
Kd коефіцієнт, який залежить від числа пар полюсів
р число пар полюсів;
D внутрішній діаметр статора;
Da зовнішній діаметр статора;
Р' розрахункова потужність;
m число фаз;
n1 синхронна частота обертання;
f частота живлення;
Z1,2 число пазів статора, ротора;
синхронна кутова швидкість;
повітряний зазор;
- полюсний розподіл;
lд розрахункова довжина повітряного зазору;
t1,2 значення зубцевого розподілу;
I1н струм статора при номінальному навантаженні;
А значення лінійного навантаження;
В індукція в повітряному зазорі;
j1 щільність струму в обмотці статора;
qэф перетин ефективного провідника;
hа висота ярма статора;
Кз коефіцієнт заповнення;
D2 зовнішній діаметр ротора;
qc площа поперечного переріза стрижня;
j2 щільність струму в стрижнях ротора;
qкл площа поперечного переріза замикаючих кілець;
Fz1,2 магнітні напруги зубцевих зон статора , ротора;
Kz коефіцієнт насичення зубцевих зон;
Lа довжина середньої магнітної лінії статора;
R1 активний опір фази обмотки статора;
Кr коефіцієнт збільшення активного опору фази обмотки статора
від дії ефекту витиснення струму;
а число рівнобіжних галузей обмотки;
lср середня довжина витка обмотки;
Rкл опір короткозамикаючого кільця;
Х1 індуктивний опір обмотки статора;
Х2 - індуктивний опір обмотки короткозамкнутого ротора;
Рэ1,2 електричні втрати в обмотці статора, ротора;
Рст загальні втрати в сталі статора;
коефіцієнт корисної дії;Іо струм холостого ходу двигуна;
- ВИБІР ГОЛОВНИХ РОЗМІРІВ
- На підставі вхідних даних: потужності P2н та кількості пар полюсів 2р=6 базової моделі 4А90L6У3 висота осі обертання (попередня) згідно до [1, рис. 67, а] h89 мм.
З [1, табл. 6-6] приймаємо найближче менше значення h=90 мм, відповідне значення зовнішнього діаметра статору Da=0,149 м.
- Внутрішній діаметр статора:
D=KDDa=0.7*0.1490,1 м
(KD=0,7 [1, табл. 6-7])
- Полюсний розподіл:
=D/2p=0,1/6=0,052 м
- Розрахункова потужність згідно до [1, (6-4)]:
Вт
(kE=0,947 для Da=0,149 м згідно до [1, рис. 6-8]; =0,74 та cos=0,75 для Р2=1,5 кВт [1, рис. 6-9, а])
- Електромагнітні навантаження (попередньо) [1, рис. 6-11, а]:
A=24103 А/м; B=0,865 Тл
- Обмоточний коефіцієнт одношарової обмотки (попередньо):
kоб1=0,96
- Розрахункова довжина повітряного зазору [1, (6-6)]:
м
(Згідно до [1, (6-5)] синхронна кутова швидкість валу двигуна =2f1/p=250/3=104.6 рад/с)
- Відношення =l/=0,11/0,0521,73 знаходиться у рекомендованих межах [1, рис. 6-14, а].
- Конструктивна довжина та довжина сталі осердя статора (l1 та lст1) та ротора (l2 та lст2) для розрахунку магнітного кола.
- Відносна довжина сердечника до зовнішнього діаметру . Граничне значення . Значення наближається до . Що говорить про правильність вибору головних розмірів.
- РОЗРАХУНОК ОБМОТКИ СТАТОРА
2.1 Граничні значення t1 (згідно до [1, рис. 6-15])
t1min=0,007 м
t1max=0,009 м
2.2 Число пазів статора згідно до [1 , (6-16)]:
Z1min=D/t1max=0,1/0,007=34;
Z1max=D/t1min=0,1/0,009=46.
Приймаємо Z1=36, тоді:

Обмотка одношарова.
2.3 Зубцевий розподіл статора (остаточно):
м
- Кількість ефективних провідників у пазу (попередньо, за умови а=1 згідно до [1, (6-17)]):

відповідно до [1, (6-18)]:

- Приймаємо а=1, тоді згідно до [1, (6-19)]:
uП= аu'П=151=51
- Остаточне значення [1, (6-17)]:

відповідно до[1, (6-21)]
А
- Магнітний потік статору на пару полюсів:
по [1, (6-22)]
Вб
(kE=0,945 для Da=0,149 м згідно до [1, рис. 6-8]; kоб1= kр=0,96 для одношарової обмотки з q=2 згідно до [1, табл. 3-13], для першої гармоніки)
Тл
Значення А та В знаходяться у припустимих межах [1, рис. 6-11, а]
- Щільність струму в обмотці статора (попередньо) [1, (6-25)]:
А/м2
((AJ1)=170109 А2/м3 [1, рис. 6-16, а])
- Поперечний переріз ефективного провідника (попередньо) [1 (6-24)]:
м2
Приймаємо nел=1, тоді qел=qеф=0,546 мм2 (попередньо).
Обмоточний круглий емальований провід ПЕТВ (згідно до табл. П-28) dел=0.810-3 м, dіз=0.91510-3 м, q=0.56710-6 м2 для забезпечення механізованої укладки.
- Густина струму в обмотці статора (остаточно) [1, (6-27)]:
А/м2
- РОЗРАХУНОК ЗУБЦОВОЇ ЗОНИ СТАТОРА
3.1 Приймаємо попередньо по [1, табл. 6-10]: Bz1=1,72 Тл; Ba=1,42 Тл, тоді відповідно до [1, (6-39)]:

(kс=0,97 для оксидованих листів електротехнічної сталі 2013 [1 табл. 6-11])
3.2 Висота ярма статора:
м
3.3 Розміри паза у штампі:
Приймаємо bш=2.710-3 м
hш=0.510-3 м для h132 мм
відповідно до [1, (6-40)]:
м
відповідно до [1, (6-41)]:
м
відповідно до [1, (6-42)]:

відповідно до [1, (6-45), (6-46)]:

3.4 Розміри паза у світлі з урахуванням припуску на зборку [1, (6-47) ст.. 177]:
b'1=b1bп=(4.50,1)10-3=4,410-3 м
b'2=b2bп=(6.750,1)10-3=6.6510-3 м
h'1= h1hп=(12.6-0,1)=12.510-3 м
3.5 Площа поперечного перерізу паза для розміщення провідників [1, (6-51)]:
м2
Sпр=0 [1, c. 179]
3.6 Площа поперечного перерізу корпусної ізоляції в пазу:
Sиз= bиз(2hп+b1+b2)=0,2510-3(21410-3+4.510-3+6.7510-3)=9,810-6 м2
де одностороння товщина ізоляції в пазу bиз=0,2510-3 м [1, табл. 3-8].
3.7 Коефіцієнт заповнення паза:


- РОРАХУНОК РОТОРА
- Повітряний зазор [1, с. 181, рис. 6-11]:
=0,00025 м
- Число пазів ротора [1, табл. 6-15]:
Z2=28
- Зовнішній діаметр:

- Довжина l2=l1=0,11 м
- Зубцевий розподіл:

- Внутрішній діаметр ротора дорівнює діаметрові вала, тому що осердя безпосередньо насаджено на вал [1, (6-101)]:

kB=0,23 [1, табл. 6-16]
- Струм у стрижні ротора:

де ki коефіцієнт враховуючого впливу струму намагнічування й опори обмоток, ki=0,792 [1, с. 183, рис. 6-22]
i коефіцієнт приведення струмів[1, (6-68)]:

- Площа поперечного перерізу стрижня [1, (6-69)]:

де J2 щільність струму, приймаємо J2=2.5106 А/м2 [1, с. 186]
- Паз ротора (Рисунок 4.1). Для двигуна з h<160 мм по [1, с. 188, рис. 627, а] виконуються грушоподібні напівзакриті пази та лита обмотка на роторі.
Для напівзакритого грушоподібного паза короткозамкненого ротора при висоті осі обертання h<100 мм:
bШ = 1,0 мм = 0,0010 м
hШ = 0,5 мм = 0,0005 м

Рисунок 4.1 Грушоподібний напівзакритий паз короткозамкненого ротора
4.10 Припустима ширина зубця [1, (6-77)]:

де ВZ2 індукція в зубцях, ВZ2=1,85 Тл [1, с. 174, табл. 6-10]
4.11 Розміри паза [2, с. 20]:


де hП2 повна висота паза, hП2=0,017м [2, рис. 11]

Приймаємо:
b1=5.110-3 м
b2=2.210-3 м
h1=12.910-3 м
4.12 Повна висота пазу:


Остаточне значення перетину стрижня:

- Густина струму в стрижні [1, (6-78)]:

- Короткозамикаючі кільця. Площа поперечного перерізу [1, (6-73)]:

де IКЛ струм у кільці
[1, (6-71)]
[1, (6-72)]
JКЛ густина струму в замикаючих кільцях (приймається на 1520% менша, ніж у стрижнях)

- Розміри замикаючих кілець:

Приймаємо bКЛ=27,6510-3 м

Приймаємо aКЛ=510-3 м
Остаточно приймаємо розрахунковий перетин замикаючих кілець литої обмотки, не враховуючи стовщення в місцях примикання вентиляційних лопаток [1, с. 187]:
qКЛ=bКЛaКЛ=2110-35.010-3=10510-6 м
DК.СР=D2bКЛ=0,09952110-378.510-3 м

Рисунок 4.3 Розміри замикаючих кілець короткозамкненого ротора з литою обмоткою
- РОЗРАХУНОК НАМАГНІЧУЮЧУГО СТРУМУ
- Значення індукції у зубцях статора [1, (6-104)]:

- Значення індукції у зубцях ротора [1, (6-104)]:

- Значення індукції у ярмі статора [1, (6-105)]:

- Значення індукції у ярмі ротора [1, (6-107)]:

де
- розрахункова висота ярма ротора [1, (6-109)]:

де dкл і mкл діаметр і число рядів аксіальних вентиляційних каналів у роторі у даному випадку ця частина не враховується, тому що канали відсутні.
5.1 Магнітна напруга повітряного зазору [1, (6-110)]:

де k - коефіцієнт повітряного зазору:




- Магнітна напруга зубцевих зон:
- статора:

де HZ1=1250A/м при ВZ1=1,73 Тл для сталі 2013 по кривій намагнічування для зубців асинхронних двигунів [1, с. 461, П-17]
- ротора:

де HZ2=2430A/м при ВZ2=1,85 Тл [1, с. 461, П-17]
- Коефіцієнт насичення зубцевої зони:

Коефіцієнт насичення знаходиться у припустимих межах [1, с. 194].
- Магнітні напруги:
- ярма статора:

де Ha=410A/м при Вa=1,41 Тл для сталі 2013 по кривій намагнічування для ярма асинхронних двигунів [1, с. 460, П-16]
La довжина середньої магнітної лінії ярма статора:

- ярма ротора:

де HJ=149A/м при Вj =0.89 Тл для сталі 2013 по кривій намагнічування для ярма асинхронних двигунів [1, с. 460, П-16]
- Висота стінки ротора:

5.6 Сумарна магнітна напруга на пару полюсів, А

5.7 Коефіцієнт насичення магнітного кола:
5.8 Намагнічуючий струм:

відносне значення:
Якщо
>0,300,35, то це свідчить, що габарити двигуна взяті меншими, ніж необхідно, або неправильно вибрані розмірні співвідношення магнітопроводу. Але в невеликих двигунах потужністю 2-3 кВт
може досягати 0,5-0,6 не дивлячись на правильно обрані розміри та мале насичення магнітопроводу. Тому знаходження
на межі припустимих значень можна пояснити малою потужністю двигуна (1,5 кВт) та зробити висновок, що вибір розмірів та обмотки зроблений вірно і остаточно прийняти для подальших розрахунків отримані значення.
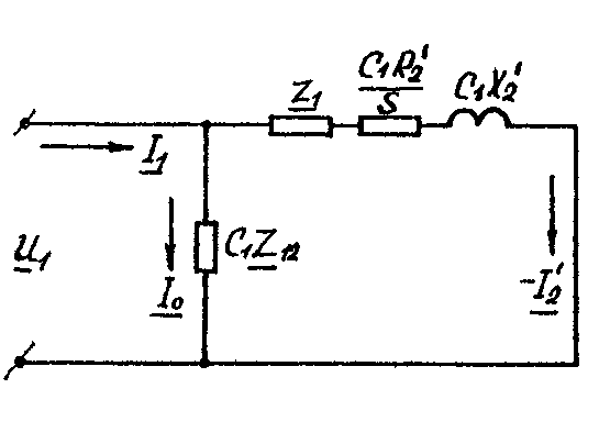
- ПАРАМЕТРИ РОБОЧОГО РЕЖИМУ
Розрахунок параметрів робочого режиму здебільшого засновані на еквівалентній заступній схемі однієї фази двигуна с нерухомим приведеним ротором (Рисунок 6.1).

Рисунок 6.1 Заступна схема асинхронної машини
6.1 Активний опір фази обмотки статора [2, c. 24]:

де kr коефіцієнт збільшення активного опору фази обмотки від дії ефекту витиснення струму, kr=1 [1, c. 196]
- питомий опір матеріалу обмотки при розрахунковій температурі, розрах.=75° С, для міді 75=10-6/47 Омм (Клас нагрівостійкості ізоляції В)
L1 довжина провідника фази обмотки [1, (6-133)]:

де lср1 середня довжина витка обмотки [1, (6-134)]:

lП1 довжина стрижня ротора, LП1=l1=0,1076 м
lЛ1 довжина лобової частини секції [1, (6-135)]:

де B довжина вильоту прямолінійної частини котушок з паза від торця осердя до початку відгину лобової частини, приймаємо B=0,01 м [1, c. 197], КЛ=1,40 [1, табл. 6-19], bКТ середня ширина котушки, визначається по дузі окружності минаючої по серединах висоти пазів [1, (6-137)]:

де - відносне укорочення кроку, 1=1 [1, с. 197]
Довжина вильоту лобової частини котушки [1, (6-139)]:

де КВИЛ=0,5 [1, табл. 6-19]
Відносне значення:
6.2 Активний опір фази обмотки ротора [1, (6-164)]:
де опір стрижня:

де C питомий опір матеріалу стрижня й алюмінієвих короткозамикаючих кілець при t°=75° С, 75=10-6/21,5 Омм
Опір короткозамикаючих кілець:

Приводимо r2 до числа витків обмотки статора:

Відносне значення:
-
- Індуктивний опір фази обмотки статора [1, (4-42)]:

l'=l-0,5nКbК= l-0=0,11
м [1, с. 111]
де nК число радіальних вентиляційних каналів, bК ширина каналів в осерді машини. В проектуємій машині канали відсутні, тому nК=0, bК=0.
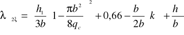
Коефіцієнт магнітної провідності пазового розсіювання для обмоток статора по [1, с. 200, табл. 6-22]:


коефіцієнт магнітної провідності пазового лобового розсіювання [1, (6-154)]:
коефіцієнт магнітної провідності диференційного розсіювання [1, (6-170)]:
для пазів статору з урахуванням скоса пазів згідно до [1, (6-172)]:

ск=0, 
Відносне значення:
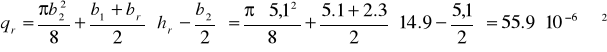
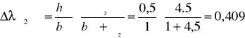
- Індуктивний опір фази обмотки ротора [1, (6-173)]:

x2=7,9500,11(1.68+0.144+2.935) 10-6=206.810-6 Ом
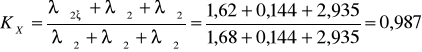
де згідно до [1, рис. 6-40, а] відповідно до [1, табл. 6-23]:

;
b=5.110-3 =b2 м; bШ=110-3 м; kД=1 (для робочого режиму)
[1, (6-176)]
Відповідно до [1, (6-174)] де:

z=0,025 [1, с. 201, рис. 6-39, а]
Приведемо x2 до числа витків статора:
Відносне значення:
- РОЗРАХУНОК ВТРАТ ТА КОФІЦІЕНТУ КОРИСНОЇ ДІЇ
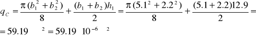
7.1 Основні втрати в сталі [1, (6-183)]:


де Р1,0/5,0 питомі втрати в сталі, Р1,0/5,0=2,6 Вт/кг [1, с. 206, табл. 6-24];
kДa=1,6; kДz=1,8 [1, с. 206]
mа маса сталі ярма [1, (6-184)]:

с питома маса сталі, c=7,8103 кг/м3 [1, с. 206]
маса зубців статора [1, (6-185)]:

7.2 Поверхневі втрати в статорі [1, (6-189)] і роторі [1, (6-190)]:


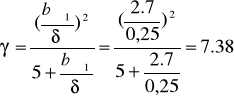
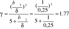
де рПОВ1 і рПОВ2 втрати, що приходяться на 1 м2 поверхні головок зубців статора [1, (6-187)] і ротора [1, (6-188)]:


де k01(2) коефіцієнт для необроблених поверхонь головок зубців, k01(2)=1,5; n=nc(1-S) nc частота обертання двигуна [1, с. 207]
7.3 Амплітуда пульсації індукції в повітряному зазорі над крайками зубців ротора і статора:


де 01=0,27 для bШ1/=1/0,2511 [1, с. 207, рис. 6-41]
02=0,41 для bШ2/=2.7/0,254 [1, с. 207, рис. 6-41]
7.4 Пульсаційні втрати в зубцях статора [1, (6-195)] і ротора [1, (6-196)]:


де Впул1 амплітуда пульсації індукції в середньому перетині зубців статора:
[1, (6-191)]
Впул2 амплітуда пульсації індукції в середньому перетині зубців ротора
[1, (6-192)]
[1, (6-193)]
m2 маса сталі зубців ротора:

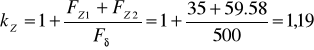
- Сума додаткових втрат у сталі [1, (6-198)]:

- Повні втрати у сталі [1, (6-199)]:

- Механічні втрати [1, с.208, по (6-205)]:


- Додаткові втрати при номінальному режимі:
- Холостий хід двигуна:
де Iхх,а активна складового струму

де РЭ1хх електричні втрати в статорі при хх:

- РОЗРАХУНОК РОБОЧИХ ХАРАКТЕРИСТИ
Для розрахунку робочих характеристик використовується уточнена Гобразна заступна схема. Розрахунок наведений у табл. 8.2. Докладний розрахунок наведений для ковзання S=Sн=0,06, яке визначено методом послідовних наближень за допомогою MS Excel 2003. Робочі характеристики спроектованого двигуна наведені на Рисунку 8.2.

Рисунок 8.1 Уточнена Г-подібна заступна схема асинхронної машини
8.1 Параметри заступної схеми [1, (6-179), (6-180)]:


8.2 Відносні значення параметрів [1, c. 205]:



- Активна складового струму синхронного холостого ходу:

; 
; 
- Втрати не змінні при зміні ковзання:

8.5 Приймемо попередньо: 
За формулами [1, табл. 6-26] розрахуємо робочі характеристики за допомогою MS Excel 2003 та знайдемо Sн:






- Активна складова струму:

- Реактивна складова струму:

8.7 Повний струм:

- Приведений струм ротора:

- Електричні втрати в статорі:
- Електричні втрати в роторі:


- Додаткові втрати:

- Сумарні втрати:

- Номінальна потужність:

- Коефіцієнт корисної дії:


Таблиця 8.1 Дані розрахунку робочих характеристик асинхронного двигуна з короткозамкненим ротором.
Р2н=1.5 кВт; U1н=220/380 В; 2р=6; I1н=4.1 А; Рст+Рмех=0.074 кВт; Рдоб.н=164.8Вт; Iоа=0.188 А; Iор
=2.2 А; R1=4.91 Ом;
R2=3.91 Ом; C1=1.095; а=1.121 Ом; а=5.2 Ом; b=0; b=14.8 Ом.
ТАБЛИЦЯ 8.1 Робочі характеристики двигуна
|
№ |
Розрахункова формула |
Одиниця |
Ковзання |
|||||||
|
0.005 |
0.02 |
0.03 |
0.04 |
0.05 |
0.06 |
0.07 |
0.073 |
|||
|
1 |
|
Ом |
875.84 |
218.96 |
145.97 |
109.48 |
87.58 |
72.98 |
62.56 |
59.98 |
|
2 |
|
Ом |
0 |
0 |
0 |
0 |
0 |
0 |
0 |
0 |
|
3 |
|
Ом |
881.04 |
224.16 |
151.17 |
114.68 |
92.78 |
78.18 |
67.76 |
65.18 |
|
4 |
|
Ом |
14.8 |
14.8 |
14.8 |
14.8 |
14.8 |
14.8 |
14.8 |
14.8 |
|
5 |
|
Ом |
881.16 |
224.64 |
151.89 |
115.63 |
93.95 |
79.57 |
69.35 |
66.84 |
|
6 |
|
А |
0.2497 |
0.9793 |
1.44 |
1.9 |
2.34 |
2.76 |
3.17 |
3.29 |
|
7 |
|
- |
0.9999 |
0.9978 |
0.9952 |
0.9918 |
0.9875 |
0.9826 |
0.9770 |
0.9752 |
|
8 |
|
- |
0.0168 |
0.0659 |
0.0974 |
0.128 |
0.1575 |
0.1860 |
0.2134 |
0.2214 |
|
9 |
|
А |
0.4396 |
1.16 |
1.63 |
2.07 |
2.5 |
2.9 |
3.28 |
3.39 |
|
10 |
|
А |
2.2 |
2.26 |
2.34 |
2.44 |
2.56 |
2.71 |
2.87 |
2.92 |
|
11 |
|
А |
2.24 |
2.54 |
2.85 |
3.2 |
3.5 |
3.97 |
4.36 |
4.48 |
|
12 |
|
А |
0.2644 |
1.03 |
1.53 |
2.01 |
2.47 |
2.92 |
3.35 |
3.48 |
|
13 |
|
КВт |
0.29 |
0.77 |
1.07 |
1.37 |
1.65 |
1.91 |
2.17 |
2.24 |
|
14 |
|
КВт |
0.0744 |
0.0956 |
0.1199 |
0.1515 |
0.1894 |
0.2329 |
0.2812 |
0.2966 |
|
15 |
|
КВт |
0.0008 |
0.0126 |
0.0276 |
0.0476 |
0.0721 |
0.1005 |
0.1324 |
0.1425 |
|
16 |
|
КВт |
0.0015 |
0.0039 |
0.0054 |
0.0069 |
0.0083 |
0.0096 |
0.0109 |
0.011 |
|
17 |
|
КВт |
0.1516 |
0.1870 |
0.2279 |
0.2809 |
0.3448 |
0.4180 |
0.4994 |
0.5252 |
|
18 |
|
КВт |
0.1285 |
0.5833 |
0.8489 |
1.08 |
1. 3 |
1. 5 |
1. 67 |
1.7184 |
|
19 |
|
- |
0.4774 |
0.7572 |
0.7884 |
0.7951 |
0.7912 |
0.7821 |
0.7699 |
0.7659 |
|
20 |
|
- |
0.1956 |
0.4581 |
0.5717 |
0.6476 |
0.6978 |
0.7309 |
0.7527 |
0.7576 |
Рисунок 8.2 Графік функції cos (P2)

Рисунок 8.3 Графік функції (P2)

Рисунок 8.4 Графік функції P1(P2)
Рисунок 8.5 Графік функції I1(P2)

Рисунок 8.6 Графік функції S(P2)
- РОЗРАХУНОК ПУСКОВИХ ХАРАКТЕРИСТИК
Скористаємося заступною схемою для розрахунку пускових характеристик, яка представлена на рисунку 9.1. Розрахунок характеристик наведений у табл. 9.2. проводиться аналогічно з п. 8 за допомогою MS Excel 2003. Докладний розрахунок наведений для ковзання S=1. Пускові характеристики спроектованого двигуна наведені на рисунку 9.2.

Рисунок 9.1 Заступна схема для розрахунку пускових характеристик
- Параметри з урахуванням витиснення струму для литої алюмінієвої обмотки (расч=750С) [1, (6-235)]:
де hc висота стрижня в пазу ротору:
=0,11 [1, с. 216, рис. 6-46]
- Глибина проникнення струму в стрижень [1, (6-236)]:
Коефіцієнти, враховуючі вплив ефекту витиснення струму на опори стрижнів, аналітично за [1, (6-230)], чи практично за [1, (6-242)] згідно до [1, рис. 6-48, в] та [1, рис. 6-46, 6-47]:

де:

[1, (6-243)]
-

-
- Коефіцієнт загального збільшення опору фази ротора під впливом ефекту витиснення струму [1, (6-247)]:

- Приведений активний опір ротора з урахуванням дії ефекту витиснення струму [1, (6-249)]:

- Індуктивний опір обмотки ротора [1, табл. 6-23, рис. 6-40, а]:

- зміни індуктивного опору фази обмотки ротора від дії ефекту витиснення струму [1, (6-251)]:


- Струм ротора приблизно без урахування впливу насичення, приймаючи с1п=1 по [1, (6-269)]:

- Урахування впливу насичення на параметри.
Приймаємо для S=1 коефіцієнти насичення kнас=1,4 [1, с. 219], приймаємо


- Середня МРС обмотки, віднесена до одного паза обмотки статора [1, (6252)]:


- Реактивна індукція потоку розсіювання в повітряному зазорі:


- Коефіцієнт характеризуючий відношення потоку розсіювання при насиченні до потоку розсіювання ненасиченої машини:
[1, с. 219, рис. 6-50]
- Коефіцієнт магнітної провідності пазового розсіювання обмотки статора з урахуванням впливу насичення [1, (6255)]:

[1, (6258)]
[1, (6261)]
- Коефіцієнт магнітної провідності диференціального розсіювання обмотки статора з урахуванням впливу насичення [1, (6263)]:

- Індуктивний опір фази обмотки статора з урахуванням впливу насичення [1, (6264)]:

де:


- Коефіцієнт магнітної провідності пазового розсіювання ротора з урахуванням впливу насичення і витиснення струму [1, (6260)]:


- Провідність пазового розсіювання ротора [1, (6262)]:

- Коефіцієнт магнітної провідності диференціального розсіювання ротора з урахуванням впливу насичення [1, (6263)]:

- Приведений індуктивний опір фази обмотки ротора з урахуванням впливу витиснення і насичення струму [1, (6265)]:



- Опір взаємної індукції обмотки в пусковому режимі [1, (6265)]:


- Розрахунок струмів і моментів [1, (6268)]:


Відповідно до [1, (6269)]

Відповідно до [1, (6271)]
Отримане значення струму І1 складає 93.49% прийнятого при розрахунку впливу насичення на параметри, що припустимо. [1, c. 223]
Відносні значення:


Кратність пускового і максимального моментів і пускового струму спроектованого двигуна задовольняють вимогам ГОСТ 19523-74(
Таблиця 9.1 Дані розрахунку пускових характеристик спроектованого двигуна:
Р2=1.5 кВт, 2р=6, U1н=220/380 В, Х12п=126.6 Ом, Х1=5.8 Ом, Х2=7.74 Ом, R1=4.91 Ом, R2=3.91 Ом, I1н=4.1 А, sн=0.073.
Таблиця 9.1 Розрахунок пускових характеристик
|
№ |
Розрахункова формула |
Одиниці |
Ковзання |
||||||
|
1 |
0.8 |
0.5 |
0.39 |
0.2 |
0.1 |
0.4 |
|||
|
1 |
- |
1.078 |
0.96 |
0.76 |
0.67 |
0.48 |
0.34 |
0.68 |
|
|
2 |
- |
0.11 |
0.075 |
0.03 |
0.0179 |
0.0047 |
0.0012 |
0.0019 |
|
|
3 |
|
- |
1.059 |
1.0556 |
1.01 |
1.003 |
0.996 |
0.994 |
1.004 |
|
4 |
|
- |
1.049 |
1.0295 |
1.008 |
1.0025 |
0.997 |
0.995 |
1.003 |
|
5 |
|
Ом |
4.1 |
4.025 |
3.94 |
3.92 |
3.89 |
3.887 |
3.92 |
|
6 |
|
- |
0.95 |
0.96 |
0.975 |
0.981 |
0.99 |
1 |
0.98 |
|
7 |
|
- |
0.987 |
0.969 |
0.993 |
0.995 |
0.997 |
1 |
0.9947 |
|
8 |
|
Ом |
7.639 |
7.65 |
7.69 |
7.7 |
7.717 |
7.74 |
7.7 |
|
9 |
|
Ом |
4.87 |
4.97 |
5.37 |
5.63 |
6.45 |
7.22 |
5.66 |
|
10 |
|
Ом |
4.13 |
4.19 |
4.457 |
4.62 |
5.17 |
5.6 |
4.6 |
|
11 |
|
- |
1.035 |
1.0356 |
1.036 |
1.037 |
1.040 |
1.044 |
1.036 |
|
12 |
|
Ом |
9.15 |
10.1 |
13.066 |
15.32 |
25.13 |
45.49 |
15.06 |
|
13 |
|
Ом |
9.17 |
9.32 |
10 |
10.45 |
11.87 |
13.13 |
10.4 |
|
14 |
|
А |
17 |
16 |
13.37 |
16.86 |
7.9 |
4.646 |
12.02 |
|
15 |
|
А |
17.8 |
17.69 |
14 |
12.47 |
8.44 |
5.16 |
12.63 |
|
16 |
|
- |
4.34 |
4.07 |
3.41 |
3.04 |
2.059 |
1.26 |
3.08 |
|
17 |
|
- |
2.13 |
2.18 |
2.39 |
2.395 |
2.06 |
1.42 |
2.4 |
Данні серійного двигуна:


Рисунок 9.1 Графік функції M*(s)

Рисунок 9.2 Графік функції I*(s)
- ТЕПЛОВИЙ РОЗРАХУНОК
- Перевищення температури внутрішньої поверхні сердечника статора над температурою повітря усередині двигуна [1, (6-314)]:
де К коефіцієнт враховуючий передачу частини енергії безпосередньо в навколишнє середовище, К=0,19 [1, с. 237, табл. 6-30]
- електричні втрати в обмотках статора в пазовій частині:

k- коефіцієнт збільшення втрат для обмоток із класом нагрівостійкості B,
k=1,15 [1, c.235]
- коефіцієнт тепловіддачі з поверхні,
[1, c.235, рис.6-59,а]
- Перепад температури в ізоляції пазової частини обмоток статора [1, (6-315)]:
де Пп1 розрахунковий периметр поперечного переріза паза статора
- коефіцієнт теплопровідності внутрішньої ізоляції котушки всипної обмотки з емальованих провідників,
[1, с. 237, рис. 6-62]
- середня еквівалентна теплопровідність пазової ізоляції,
[1, с. 237]
- Перепад температури по товщині ізоляції лобової частини [1, (6319)]:

де
- електричні втрати в обмотках статора в лобовій частині котушок:

; 
- Перевищення температури зовнішньої поверхні лобових частин нтемпературою повітря усередині машини [1, (6-320)]:

Середнє перевищення температури обмотки статора над температурою повітря усередині машини [1, (6-321)]:
- Перевищення температури повітря усередині машини над температурою навколишнього середовища [1, (6-322)]:
де
- сума утрат, що відводяться в повітря усередині двигуна по [1, (6-326)]
Відповідно до [1, (6-327)]:
Sкор еквівалентна поверхня охолодження корпуса:

Пр - умовний периметр поперечного переріза ребер станини, Пр=0,25 м2 приблизно по [1, с. 239, рис. 6-63]
- коефіцієнт підігріву повітря,
[1, с. 235, рис. 6-59, а]
- Середнє перевищення температури обмотки статора над температурою навколишнього середовища [1, (6-337)]:
Таким чином перевищення температури, відповідає прийнятому класові нагрівостійкості B, на 25% менше максимально припустимого перевищення (80°С) для цього класу [1, с. 120, табл. 5-1]. Це забезпечує надійну роботу машини та певний запас перевищення температури, враховуючи приблизний характер розрахунку
[1, с. 238].
-
- ВЕНТИЛЯТОРНИЙ РОЗРАХУНОК
- Необхідний для охолодження витрата повітря [1, (6-340)]:
де Км коефіцієнт, враховуючий зміну умов охолодження по довжині поверхні корпуса, що обдувається зовнішнім вентилятором [1, (6-341)]:

m=1,8 [1, с. 240]
- Витрата повітря, що забезпечується зовнішнім вентилятором при конструктивнім виконанні та розмірах, прийнятих в серії 4А [1, (6-327)]:


Що забезпечує нормальну роботу машини та достатньо сприятливі умови охолодження, які необхідні, враховуючи високу щільність струму в обмотці статора.
-
- МАСА АКТИВНИХ МАТЕРІАЛІВ ТА ПОКАЗНИКИ ЇХ ВИКОРИСТАННЯ
Попередні значення маси, необхідні для оцінки економічної ефективності спроектованого варіанта двигуна.
- Маса ізольованих проводів обмотки статора круглого поперечного переріза:


- Маса алюмінієвого короткозамкненого ротора з литою кліткою:

де Nл число лопаток вентилятора, Nл=9
- розміри лопаток



- Маса стали сердечників статора і ротора


- Маса ізоляції статора з трапецеїдальними напівзакритими пазами:


Для попередньої оцінки маси конструкційних матеріалів використовуємо з достатнім наближенням наступні залежності.
- Двигун зі ступенем захисту IP44 для до 250 мм із станиною та щитками з чугуну:

- Маса двигуна:

12.9 Питома матеріалоємність машини:

Питома матеріалоємність машини не перевищує рекомендованих значень KG для електродвигунів серії 4А [2, c. 34, рис. 19], на підставі чого можна зробити висновок, що машина спроектована правильно та має оптимальні техніко-економічні показники близькі до серійно випускаємої базової моделі.
ВИСНОВКИ
В наслідку виконаної роботи отримали короткозамкнений трифазний асинхронний двигун з новими паспортними даними:
В двигунах серії 4А застосовуються трапецієподібні пази. Коефіцієнт заповнення пазу лежить в допустимому інтервалі для механізованої укладки обмоток. Усі відносні значення параметрів робочого режиму лежать в допустимому інтервалі, що свідчить про правильність проведених розрахунків. Спроектований двигун має наступні параметри в номінальному режимі:
Мною було отримано відносне значення пускового струму в.о. та відносне значення пускового моменту в.о.
Спроектований двигун має більший ККД ніж у серійного двигуна ,що говорить про економічність в процесі експлуатації. Питома матеріалоємність двигуна
=17.6 кг/кВт не перевищує значення
для існуючого двигуна такого ж виконання і близького до проектованого за номінальною потужністю. Середнє перевищення температури обмотки статора над температурою навколишнього середовища составило 62.81°С, що допустимо класом ізоляції. Витрати повітря, що забезпечується зовнішнім вентилятором набагато більше необхідної для охолодження витрати повітря.
Отже спроектований двигун можна ефективно експлуатувати.
Додаток А
Паспорт двигуна.
|
Тип 4А90L6У3 |
IP44 |
||
|
3 фаз 50 Гц |
1.5 кВт |
||
|
n = 1000об/хв |
статорY 220/380 |
4.1/2.37 |
|
|
ККД 0.78 |
|||
|
Режим роботи S1 |
клас ізоляції В |
ДОДАТОК Б

Рис. ДБ .- Розгорнута схема трифазної концентричної одношарової обмотки
ДОДАТОК В
Перелік зауважень нормоконтролера до курсового проекту.
Студент Хмара А.О. гр.СПУ-12
|
Позначення документа |
Документ |
Умовна оцінка |
Зміст зауважень |
Підпис______ Дата___
СПИСОК ВИКОРИСТАНИХ ДЖЕРЕЛ
- Проектирование злектрических машин: Учебное пособие для ВУЗов/ И.П.Копылов 1980г. - 496 с.
- Методические указания к курсовому проекту "Расчет и
конструирование асинхронного двигателя" / Донецк ДПИ 1992,
Дудник М.З. - Асинхронные двигатели 4А: Справочник / А.Е. Кравчик Энергоиздат
1982-504 с.
4
асинхронний двигун 4A90L6Y3 з коротко замкнутим ротором



































