Стратегическое планирование деятельности предприятия сферы кино и телевидения
PAGE 36
МИНИСТЕРСТВО КУЛЬТУРЫ РОССИЙСКОЙ ФЕДЕРАЦИИ
ФЕДЕРАЛЬНОЕ ГОСУДАРСТВЕННОЕ БЮДЖЕТНОЕ ОБРАЗОВАТЕЛЬНОЕ УЧРЕЖДЕНИЕ ВЫСШЕГО ОБРАЗОВАНИЯ
«САНКТ-ПЕТЕРБУРГСКИЙ ГОСУДАРСТВЕННЫЙ ИНСТИТУТ КИНО И ТЕЛЕВИДЕНИЯ»
Факультет продюсирования, экономики и управления
Кафедра продюсирования и управления в социально-культурной сфере
ДИПЛОМНЫЙ ПРОЕКТ
Студента Керимова Ивана Олеговича
На тему «Стратегическое планирование деятельности предприятия сферы кино и телевидения»
Работа допущена к защите в ГАК
Заведующий кафедрой ________________________ /А.Д. Евменов/
д.э.н., профессор
Руководитель ________________________________ /А.С. Губченкова/
к.э.н., доц.
Студент __________________________________/И.О. Керимов/
Санкт-Петербург
2015
Федеральное государственное бюджетное образовательное учреждение высшего образования «Санкт-Петербургский государственный институт кино и телевидения»
Факультет продюсирования, экономики и управления
Кафедра продюсирования и управления в социально-культурной сфере
Специальность 080507 Менеджмент организации
УТВЕРЖДАЮ
Зав. кафедрой ПУСКС
д.э.н., проф. ____________А.Д. Евменов
“ ”_____________________2015.г.
З А Д А Н И Е
НА ВЫПОЛНЕНИЕ ДИПЛОМНОГО ПРОЕКТА
Студенту Керимову Ивану Олеговичу
Тема работы «Стратегическое планирование деятельности предприятия сферы кино и телевидения»
Утверждена приказом ректора Института №325 от 15.12.2014 г.
Срок сдачи студентом законченного проекта (работы)__29.05.2015 года__
Исходные данные к работе (учебные пособия, статистические данные, научные издания, периодические издания, методические указания, интернет-ресурсы).
Содержание расчетно-пояснительной записки:
Глава 1. Теоретические основы стратегического планирования
Глава 2. Анализ деятельности ЗАО «Сеть телевизионных станций»
Глава 3. Разработка стратегии ЗАО «Сеть телевизионных станций»
Перечень графического материала:
Рис. 2.1. Логотип телеканала «СТС-Петербург»
Рис. 2.2. «Усыновленные» бренды региональных партнеров СТС
Рис. 2.3. Доли каналов в аудитории «м/ж 10-45 лет» в 2013-2014 гг.
Рис. 2.4. Логотип телеканала СТС с 2012 года
Рис. 2.5. Рейтинг каналов по монетизации аудитории в 2013-2014 гг.
Таблица 2.1. Операционные показатели деятельности предприятий-учредителей федеральных телеканалов в 2014 году
Рис. 2.6. Факторы прямого воздействия на организацию
Рис. 2.7. Факторы косвенного воздействия на организацию
Таблица 2.2. Факторы, воздействующие на деятельность ЗАО «Сеть телевизионных станций»
Таблица 2.3. Сравнительный анализ исследуемой компании ЗАО «Сеть телевизионных станций» и ее конкурентов
Таблица 2.4. Средние баллы по группам параметров сравнения конкурентоспособности ЗАО «Сеть телевизионных станций» с каналами-конкурентами
Рис. 3.1. Изменение чистой прибыли холдинга «СТС-Медиа» в 2010-2014 гг.
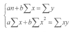
Таблица 3.1. Таблица для расчета параметров уравнения прямой
Таблица 3.2. Таблица для расчета параметров уравнения прямой
Рис. 3.2. Дерево целей ЗАО «Сеть телевизионных станций»
Таблица 3.3. Покупные и оригинальные форматы, выходившие в эфир канала СТС в течение телесезона 2013-2014 (с 01.09.2013 по 01.09.2014)
Таблица 3.4. Расчет затрат на съемки одной серии телевизионного комедийного сериала
Дата выдачи задания ___17.01.15_______________________
Руководитель _______________________________________/А.С. Губченкова/
к.э.н., доцент
Задание принял к исполнению студент _________________________ /И.О. Керимов/
КАЛЕНДАРНЫЙ ПЛАН выполнения ДИПЛОМНОГО ПРОЕКТА
|
№ п/п |
Наименования этапов работы |
Срок выполнения этапов работы |
|
1 |
2 |
3 |
|
1 |
Запись на кафедру ПУСКС |
до 01.12.14 |
|
2 |
Распределение дипломников по преподавателям руководителям дипломных проектов |
10.03-15.03 |
|
3 |
Консультации студентов с руководителями дипломных проектов по выбору темы |
17.03-22.03. |
|
4 |
Государственный междисциплинарный экзамен по направлению |
28.04 |
|
5 |
Утверждение темы дипломного проекта |
01.02.-30.05 |
|
6 |
Выдача руководителями заданий на преддипломную практику |
- |
|
7 |
Составление плана и введения дипломного проекта |
17.03-22.03 |
|
8 |
Сбор и обработка методических, теоретических и статистических материалов по 1 главе, ее написание |
22.03-13.04 |
|
9 |
Сдача отчетов по преддипломной практике |
- |
|
10 |
Сбор, систематизация и обработка материалов по 2 главе, ее написание |
14.04-30.04 |
|
11 |
Сбор, обработка и анализ материалов по 3 главе, ее написание, подготовка заключения выполненного дипломного проекта |
01.05-20.05 |
|
12 |
Оформление дипломного проекта, раздаточного материала, текста выступления |
21.05 27.05 |
|
14 |
Предварительная защита дипломных проектов на кафедре ПУСКС ( по желанию руководителей) |
25.05 |
|
15 |
Запись на защиту у секретаря ГАК |
до 31.05 |
|
16 |
Получение рецензии и отзыва на дипломный проект |
до 06.06 |
|
17 |
Защита дипломных проектов перед государственной аттестационной комиссией |
03.06-08.06 |
Руководитель ______________________________________ /А.С. Губченкова/
к.э.н., доцент
Студент _______________________________________ / И.О. Керимов/
Содержание
стр.
Введение…………………………………………………………….…………..…5
Глава 1. Теоретические основы стратегического планирования……..…..……7
Сущность стратегического планирования и его ключевые понятия.…..7
Порядок разработки и реализации стратегического плана предприятия……………………………………………………………………...12
Инструменты стратегического анализа …..……..……...………………16
Глава 2. Анализ деятельности ЗАО «Сеть телевизионных станций»..…………………………………………….…………………………..26
2.1. Анализ развития ЗАО «Сеть телевизионных станций»………………….26
2.2. Анализ текущего положения дел в ЗАО «Сеть телевизионных станций»………………………………………………………………………….35
2.3. Анализ факторного воздействия на ЗАО «Сеть телевизионных станций»………………………………………………………………………….41
Глава 3. Разработка стратегии ЗАО «Сеть телевизионных станций»………. 50
3.1. Прогноз развития деятельности ЗАО «Сеть телевизионных станций»…50
3.2. Разработка дерева целей ЗАО «Сеть телевизионных станций»…………58
3.3. Пути совершенствования стратегии ЗАО «Сеть телевизионных станций»………………………………………………………………………….67
Заключение……………………………………………………………….………74
Библиография………………………..…………………………..……………….78
Введение
Как успешные фирмы достигают того положения, которое они занимают сегодня? Почему они производит именно эти товары? Почему они обслуживают только определенные сегменты рынка? Почему они выбрали команду менеджеров в ее сегодняшнем виде? Все эти вопросы затрагивают различные, но в то же время взаимосвязанные аспекты деятельности фирмы, которые, будучи взятыми вместе, определяют эффективность достижения намеченных целей. Решения в отношении товаров, расположения, структуры и назначения высшего руководства являются основополагающими. Они всегда оказывают влияние (в ту или иную сторону) на эффективность функционирования фирмы.
В условиях жесткой конкуренции XX века стратегическое планирование актуально как никогда. Задача любого менеджера научиться видеть ситуацию на несколько лет вперед.
Цель данной курсовой работы заключается в том, что на основе диагностики телевещательной компании ЗАО «Сеть телевизионных станций» сформировать и обосновать стратегию ее развития.
Исходя из указанной нами цели нужно решить следующие задачи:
- Изучить сущность стратегического планирования и его ключевые понятия.
- Рассмотреть порядок разработки и реализации стратегического плана предприятия.
- Изучить инструменты стратегического анализа.
- Проанализировать развитие ЗАО «Сеть телевизионных станций».
- Провести анализ текущего положения дел в ЗАО «Сеть телевизионных станций».
- Провести анализ факторного воздействия на ЗАО «Сеть телевизионных станций».
- Спрогнозировать развитие деятельности ЗАО «Сеть телевизионных станций» в ближайшем будущем.
- Разработать и оценить варианты решения по определению предпочтительного направления развития ЗАО «Сеть телевизионных станций», составив дерево целей компании.
- Разработать пути совершенствования стратегии ЗАО «Сеть телевизионных станций».
Объектом нашего исследования является закрытое акционерное общество «Сеть телевизионных станций» - один из лидеров развлекательного телевизионного вещания в Российской Федерации.
Предметом нашего исследования являются экономико-организационные мероприятия, направленные на разработку и реализацию стратегии развития в организации ЗАО «Сеть телевизионных станций».
ГЛАВА 1. ТЕОРЕТИЧЕСКИЕ ОСНОВЫ СТРАТЕГИЧЕСКОГО ПЛАНИРОВАНИЯ
1.1. Сущность стратегического планирования и его ключевые понятия
Основоположник современной истории бизнеса, оказавший значительное влияние на развитие стратегического управления, Альфред Чандлер определил стратегию организации как определение ключевых долгосрочных целей и задач фирмы и выявление направления действий и распределения ресурсов, которые необходимы для достижения данных целей.[1] Стратегия также являет собой констатацию того, какой организация хочет себя видеть в обозримом будущем, в каком направлении она планирует развиваться, в общих деталях, каким образом она собирается это достигать. Стратегия формулирует направление движения организации с учетом конкретного внешнего окружения фирмы с целью формирования прочного конкурентного преимущества. [48]
Ключевыми при этом являются целенаправленные действия, благодаря которым организация фирма выгодно отличается от своих конкурентов. [55] Стратегию можно рассматривать как перспективу развития в процессе формулировки наиболее важных стратегических вопросов и факторов успеха, при этом принимаемые стратегические решения должны быть направлены на создание значительного и долгосрочного влияния на эффективность организации. [16]
Концепция стратегии и ее важнейшие характеристики активизируются в процессе стратегического управления. Стратегический менеджмент являет собой непрерывный процесс, состоящий из последовательных действий: формулирование стратегии, стратегическое планирование, реализация, пересмотр и коррекция стратегии; но при этом на практике данный процесс крайне редко осуществляется в таком последовательности.[15]
Под стратегическим планированием подразумевается сумма решений и действий, которые приводят к определению и исполнению стратегий, направленных на достижение целей организации.[6] Стратегическое планирование связано с политическими решениями, которые влияют на всю деятельность организации, и определяется общей целью ее преподнесения в выгодном свете для результативного взаимодействия с внешним окружением компании.
Стратегическое планирование основано на стремлении управляющего персонала достигать желаемые результаты в среднесрочной и долгосрочной перспективе. Несмотря на то что, по словам Чарльза Фомбруна, профессора менеджмента в Стернской школе бизнеса, управленцы понимают необходимость как для себя, так и для организации результативно работать в настоящем для того, чтобы преуспеть в будущем, на практике им приходится иметь дело с гораздо более широким кругом актуальных проблем, для устранения которых ими разрабатываются общие направления, что помогает им приблизиться к достижению долгосрочных целей. [51] Управленцы не принимают узости или ограниченности взглядов. [9]
Стратегическое планирование совмещает в себе одновременно и цель и средство. Как цель оно формулирует прогноз будущего организации через несколько лет. Как средство оно показывает, как это видение будет материализовано в реальность. То есть стратегическое планирование выполняет роль стратегического видения, создавая и конкретизируя идеи о желаемом будущем организации. [10]
Также стратегическое планирование обладает и эмпирическим характером, так как менеджмент принимает практические решения в процессе осуществления целей фирмы.
Акцентируя внимание на выработке организационной миссии и стратегии, стратегическое планирование, однако, уделяет повышенное внимание ресурсному потенциалу, который необходим для обеспечения успешной деятельности организации. Нельзя забывать, что стратегия являет собой средство для создания дополнительной ценности. [2]
Превосходство управленцев, владеющих навыком стратегического мышления, состоит в более глубоком понимании долгосрочной перспективы развития организации. Но при этом на их плечах также лежит ответственность за распределение ресурсов согласно появляющимся возможностям в целях осуществления стратегии и за управление данными возможностями так, чтобы создавать весомую дополнительную ценность в процессе функционирования организации. [30]
Классик английской теории управления персоналом Том Бернс в своей книге «Инновационный менеджмент» сформулировал следующие функции стратегического планирования: реализация всего объема организационной деятельности, включая постановку корпоративных целей и выявление границ действий; ответственность за связь фирмы с внешней средой; обеспечение функционирования внутренних процессов, которые способствуют исполнению организацией поставленных целей; согласование деятельности фирмы с ее ресурсной базой на основе анализа величины требуемых ресурсов либо для использования возможностей, либо для минимизации воздействия внешних угроз; приобретение, сокращение или перераспределение ресурсов; перевод сложных внешних и внутренних факторов, которые имеют влияние на организацию, в структурированный набор четко сформулированных повседневных задач.[8]
Подход к реальной практике с позиций стратегического планирования одновременно труден и желаем, и это необходимо учитывать в процессе разработки концепции стратегического планирования. [13]
Тремя важнейшими концепциями стратегии являются: конкурентное преимущество, отличительные способности и стратегическое соответствие.[28]
Концепция конкурентного преимущества была впервые озвучена американским экономистом, профессором кафедры делового администрирования Гарвардской школы бизнеса Майклом Портером в 1985 году. [3] По его мнению, конкурентное преимущество создается на основе формирования организацией потребительской ценности. Для завоевания конкурентного преимущества компании ориентируются на рынки, на которых они выделяются от своих конкурентов и становятся в их глазах «подвижной мишенью» благодаря нескончаемому улучшению своей позиции на рынке. [4, 23]
Портер отдельно отмечает значение дифференциации, заключающейся в предложении товаров/услуг, которые «воспринимаются как уникальные в своей отрасли», а также фокусирования, то есть обслуживания конкретной потребительской группы «более эффективно, чем конкуренты с более широким покрытием рынка».
Им была разработана весьма широко используемая классификация трех типовых стратегий, которые фирмы могут применять для завоевания конкурентного преимущества, в частности:
1) стратегия инновации создание уникального товара;
2) стратегия качества предложение высококачественных товаров и услуг покупателям;
3) стратегия лидерства в издержках спланированные результаты деятельности, направленной на «устранение лишних затрат». [17]
В развитие выше изложенной концепции один из наиболее известных исследователей в области менеджмента Джей Б. Барни предложил разграничить конкурентное преимущество, которое соперники могут попытаться скопировать, и устойчивое конкурентное преимущество, которое недоступно для копирования конкурентами. [25] Данный отличительный признак лежит в основе другой, не менее важной «концепции отличительных способностей». [49]
Барни сформулировал четыре критерия для оценки ресурсов с точки зрения отличительной способности, или компетенции:
1) потребительская ценность;
2) редкость по сравнению с ресурсами конкурентов;
3) невоспроизводимость;
4) незаменяемость. [25]
Основными задачами стратегии являются формулирование намерений организации (стратегическое намерение) и распределение ее ресурсов с возможностями (стратегия ресурсной базы). Результативность разработки и воплощения стратегии прямо пропорциональны стратегической способности фирмы, являющей собо й способность обозначать стратегические цели, генерировать и воплощать стратегические планы в процессе стратегического управления. [53]
Иными словами, стратегия призвана выражать намерения организации, то есть формулировать нужный результат и добиваться его с помощью выполнения четко обозначенных действий. Стратегические намерения отображают позицию лидера, которым представляет себя организация, и также обозначают отчетливые и измеримые критерии оценки достижения необходимой цели. [12] Стратегическое намерение зачастую оформляют в виде общего заявления о видении или миссии компании.
Американские эксперты в области стратегического планирования Алекс Миллер и Грегори Десс видят последовательность этапов реализации стратегического намерения следующим образом:
- общее понимание того, какой должна стать организация в обозримом будущем и в долгосрочной перспективе;
- миссия компании;
- четкие цели, достигающиеся посредством выполнения стратегических задач. [2]
Изучение стратегию с позиции ресурсной базы состоит в том, что стратегическая способность организации напрямую зависит от ее ресурсной способности. Сторонники стратегии ресурсной базы, как например, как Джей Б. Барни, полагают, что устойчивое конкурентное преимущество создается путем получения и результативного использования ряда отличительных ресурсов, которые компании-конкуренты не могут скопировать [31].
Стратегическая способность представляет собой умение организации генерировать и воплощать в жизнь стратегии, позволяющие добиться конкурентного преимущества. Иначе говоря, это способность находить наиболее подходящее видение, определять реалистичные намерения, корректно соотносить ресурсы с возможностями и грамотно разрабатывать и воплощать в жизнь стратегические планы [57].
Таким образом, по итогам данного параграфа можно сделать вывод, что стратегия это определение ключевых долгосрочных целей и задач фирмы и выявление направления действий и распределения ресурсов, которые необходимы для достижения данных целей. Стратегическое планирование это непрерывный процесс, состоящий из последовательных действий: формулирование стратегии, стратегическое планирование, реализация, пересмотр и коррекция стратегии.
1.2. Порядок разработки и реализации стратегии развития предприятия
Стратегическое планирование как функцию стратегического управления можно определить как процесс выбора целей организации на всех уровнях управления и путей их достижения осуществляемый на основе анализа факторов внешней и внутренней среды и обеспечивающий базу для всех управленческих решений [79].
При этом, учитывая отраслевую специфику нашей специальности необходимо также подчеркнуть то, что для ясного и четкого понимания целей и задач одним из ключевых условий функционирования телевизионной компании является формулирование в программной сетке вещания телеканала назначения программы (цель, замысел, ее ключевая функция).
Специалисты компании «АРБ-Консалтинг», одной из старейших организаций в России, занимающихся консалтингом в сфере менеджмента и маркетинга, [74] полагают, что наиболее подходящим вариантом организации работы по разработке стратегии является стратегическая сессия, в ходе которой делается особый уклон на повышения уровня сотрудничества между подразделениями организации.
Стратегическая сессия призвана решить следующий спектр задач:
- достижение взаимопонимания относительно целей компании;
- глубокое осознание всем топ-менеджментом основ создания ценности организации, всех бизнес-процессов, задач и проблем функциональных подразделений компании;
- анализ потенциала внутренних возможностей компании;
- выявление ключевых факторов, сдерживающих развитие;
- проведение глубокого анализа рынка;
- разработка предложения ценности для рынка;
- формулирование основных направлений стратегии компании;
- согласование целей организации с непосредственными задачами ее структурных подразделений;
- своевременная корректировка маркетинговой стратегии;
- определение и выбор каналов коммуникации с рынком;
- проведение финансовых прогнозов по вариантам развития компании с учетом возможных рисков и угроз. [33]
Определение корпоративной стратегии подразумевает под собой процесс развития целевой ориентации. Он представляет собой логический, пошаговый процесс, в результате которого разрабатывается официальный документ, который является конкретным руководством к реализации долгосрочных намерений организации. [52]
Данный подход представляет собой удобный инструмент в виде аналитической модели для стратегического процесса принятия решений, однако, на практике формулирование стратегии не всегда является рациональным и линейным процессом, каким его пытаются представить многие теоретики и практики менеджмента. [36]
Процесс определения стратегии включает в себя следующие действия [56]:
1. Формулирование миссии.
2. Формулирование целей.
3. Анализ внутренней и внешней среды организации для раскрытия ее внутренних сильных и слабых сторон и внешних возможностей и угроз.
4. Сканирование текущих стратегий в целях определения их уместности в рамках анализа внутренней и внешней ситуаций, необходимо для выявления уровня разрыва между требуемым состоянием организации и тем, которого компания способна достичь без внесения каких-либо изменений.
5. Определение отличительных особенностей организации в свете результатов предыдущего анализа.
6. Анализ основных стратегических вопросов, возникших после проведения предыдущего анализа, как например объем товаров и емкость рынка, увеличение ценности компании в глазах акционеров и объем ресурсов.
7. Воплощение в жизнь корпоративной и функциональной стратегий, которые направлены на достижение целей организации и ее конкурентного преимущества.
Данными стратегиями могут быть либо стратегии роста или диверсификации, либо общие типовые стратегии инновации, лидерства в качестве или издержках; помимо этого они могут принимать вид четких корпоративных функциональных стратегий, которые связаны с объемом товаров и рынка, научно-техническим прогрессом и совершенствованием персонала.
8. Подготовление объединенных стратегических планов для воплощения в жизнь стратегии.
9. Реализация стратегии.
10. Наблюдение и контроль за ходом исполнения принятых стратегий или генерирование новых в случае необходимости.
Данная модель процесса определения стратегии включает процессы повторения и обратной связи, а все составляющие ее виды деятельности подходят к абсолютно любому процессу определения стратегии.
Несмотря на это данная модель основана на причинно-следственной связи, что ставит ее в разряд линейной и детерминистской модели каждый шаг вытекает из предыдущего и всецело определяется ходом событий, что кардинально отличается от реального положения вещей в вопросах определения стратегии. [14]
Определение стратегии далеко не всегда является целесообразным и безостановочным процессом, на что указывает Генри Минцберг, профессор менеджмента МакГилльского университета в Монреале. По его мнению, вместо сознательной и последовательной разработки стратегия подвергается изменениях в так называемых «квантовых петлях». [19, 36] Согласно данной теории, стратегия может быть намеренно планируемой и тогда она отражает намерения топ-менеджеров. Теоретически, исходя из предложенной им концепции, стратегия представляет собой последовательный процесс: сперва идет мысль, а потом действие; сперва формулировка, а потом ее воплощение в жизнь. На практике же стратегия может сформироваться самостоятельно как очевидная реакция на развитие ситуации», а менеджеру в таких условиях приходится на ходу приспосабливаться к данной стратегии и учиться ею управлять. Таким образом, спонтанно возникающие стратегии встречаются также часто, как разработанные и спланированные.
Ричард Уиттингтон, профессор стратегического менеджмента в Оксфордском университете, сформулировал четырехмерную классификацию стратегии:
1. Классическая стратегия определяется как рациональный процесс на основе заранее осуществленных расчетов. В таком случае определение стратегии изолировано от ее воплощения в жизнь.
2. Эволюционная стратегия определяется как эволюционный процесс, то есть представляет собой результат взаимодействия рыночных сил, при котором для того, чтобы оказаться в выигрыше, нужно работать максимально эффективно и рентабельно.
3. Процессуальная стратегия определяется как поступательный процесс, то есть определение стратегии создается в результате споров и дискуссий, а зачастую только после них, поскольку людям трудно прийти к единому мнению.
4. Системная стратегия определяется под влиянием социальной системы, частью которой она должна являться. [32]
Таким образом, по итогам данного параграфа можно сделать вывод: процесс определения стратегии включает в формулирование миссии, целей, анализ внутренней и внешней среды организации для раскрытия ее внутренних сильных и слабых сторон и внешних возможностей и угроз, сканирование текущих стратегий в целях определения их уместности в рамках анализа внутренней и внешней ситуаций, необходимо для выявления уровня разрыва между требуемым состоянием организации и тем, которого компания способна достичь без внесения каких-либо изменений; определение отличительных особенностей организации в свете результатов предыдущего анализа, анализ основных стратегических вопросов, возникших после проведения предыдущего анализа, как например объем товаров и емкость рынка, увеличение ценности компании в глазах акционеров и объем ресурсов; воплощение в жизнь корпоративной и функциональной стратегий, которые направлены на достижение целей организации и ее конкурентного преимущества.
1.3. Инструменты стратегического анализа
Среди инструментов стратегического анализа автор дипломной работы считает нужным отметить следующие:
- использование метода «Карта ума»;
- модель «5 сил Портера»;
- метод структурной логики;
- стратегический анализ;
- анализ внешней среды организации (SWOT-анализ, PEST-анализ, многофакторный системный анализ);
- анализ внутренней среды организации (SNW-анализ, схема 7-С, «портфельный анализ», управленческий MOST, сценарное планирование).
Карта ума (мысли) это известнейший инструмент развития творческого мышления, способ записать, зарисовать разные мысли нелинейно. В хаотическом порядке на карту наносятся все мысли, идеи и задачи с использованием цветных карандашей, фломастеров, вырезанных фрагментов картинок и журналов и фотографий. Существуют способы «рисовать» карту ума с помощью компьютера. Например, это делает за человека программа Mindjet MindManager Pro 6. Некоторые составляют свои карты ума, пользуясь программой Microsoft Office Visio 2007. Карта ума призвана активизировать подсознание для выявления неявных и не очевидных ранее связей между различными проблемами. [44]
Предложенная профессором Гарвардской бизнес-школы Майклом Портером модель «Пять сил конкуренции» является одним из самых часто используемых инструментов индустриального анализа. В данной модели для оценки привлекательности индустрии необходимо подвергнуть оценке следующие пять сил: угроза появления на рынке новых конкурентов, угроза со стороны товаров-заменителей, влиятельность потребителей, влиятельность поставщиков, конкуренция среди работающих в индустрии компаний. Привлекательность индустрии будет тем выше, чем слабее выше указанные сил. [18]
Метод структурной логики это направленный на внутренний мир метод, который дает тому, кто его использует, возможность отчетливо видеть максимально объективную информацию о каком-либо объекте. [41]
Стратегический анализ предполагает оценку положений компании, для чего изучаются изменения во внешней среде фирмы и анализируются преимущества (или недостатки) ресурсов компании, которые у нее могут быть при этих изменениях. Основная цель стратегического анализа исследование основных воздействий на нынешнее и будущее состояние компании. [47] Существует три компонента стратегического анализа:
1) Цель, задачи и ожидания: цель и основные задачи составляют фон, в условиях которого определяются предполагаемые стратегии, а также критерии, по которым их оценивают; цель объясняет смысл существования компании и характер ее функционирования; ключевые задачи показывают, что компания должна выполнить в среднесрочном и долгосрочном плане для достижения цели.
2) Анализ внешней обстановки: исследование внешней среды, в которой действует компания; внешняя среда создает возможности или угрозы для фирмы компания функционирует на фоне непростой внешней обстановки, включающей ряд элементов: политические, технологические, социальные и экономические.
3) Анализ внутренних ресурсов, имеющихся в распоряжении компании. [38]
Анализ внешней среды является инструментом, с помощью которого авторы стратегии контролируют внешние по отношению к компании факторы для того, чтобы спрогнозировать потенциальные угрозы и возможности. Анализ внешней среды позволяет компании вовремя разработать ситуационные планы на случаи возникновения непредвиденных ситуаций, а также стратегию достижения целей и трансформации потенциальных угроз в прибыльные возможности. [20]
Под маркетинговыми возможностями организации принято понимать получившееся соотношение определенной области потребительских нужд и реальных ресурсов (потенциала) компании по их удовлетворению в целях получения прибыли. Анализ маркетинговых возможностей является необходимой предпосылкой для принятия решений в области продвижения продукции или услуг и планирования действий по их реализации на практике. [22]
SWOT-анализ представляет собой метод стратегического планирования, который заключается в обнаружении факторов внутренней и внешней среды компании и сортировке их на следующие четыре категории: Strengths (сильные стороны), Weaknesses (слабые стороны), Opportunities (возможности) и Threats (угрозы). Сильные (S) и слабые (W) стороны представляют собой факторы внутренней среды, т.е. тем, на что объект имеет возможность повлиять; под возможностями (O) и угрозами (T) подразумеваются факторы внешней среды, т.е. то, что находится извне, а потому не может контролироваться объектом. [24]
PEST-анализ представляет собой инструмент маркетинга, который предназначен для обнажружения политических (Political), экономических (Economic), социальных (Social) и технологических (Technological) граней внешней среды, влияющих на деятельность организации. [34] Политика изучается из-за того, что она определяет власть, которая, в свою очередь, регулирует среду организации и приобретение основных ресурсов для её функционирования. Ключевой причиной изучения экономики является создание картины распределения ресурсов на государственном уровне, являющейся важным условием бизнеса компании. Не менее значительные предпочтения покупателей выясняются при помощи социального компонента PEST-анализа. Целью исследования технического компонента служит определение тенденций в технологическом развитии, во многих случаях являющиеся причинами изменений рынка, а также внедрения новых товаров. Анализ проводится по схеме «фактор предприятие». Результаты оформляются в виде матрицы, подлежащим которой являются факторы макросреды, а сказуемым сила их влияния, которая оценивается в баллах, рангах и других единицах измерения. Результаты PEST-анализа помогают изучить внешнюю экономическую ситуацию, которая складывается в сфере производства и коммерческой деятельности.
Внутренняя среда компании представляет собой совокупность встроенных элементов, определяющих умение и степень интеграции компании во внешнюю среду. Факторами внутренней среды выступают производство (объем, структура, темпы производства; номенклатура продукции компании; обеспеченность ресурсами, количество запасов, скорость их использования, контроль качества выпускаемой продукции и т.д.), персонал (структура, потенциал, квалификация, количественный состав работников, производительность труда, заработная плата); организация управления (организационная структура, уровень управления, квалификация, способности и интересы топ-менеджеров; фирменная культура; имидж компании); маркетинг (товары и услуги, произведенные и оказанные компанией, доля фирмы на рынке; возможность накапливать нужную информацию о рынках; каналы распределения и сбыта; бюджет на маркетинг и его исполнение; маркетинговые планы и программы; нововведения; имидж, репутация и качество товаров; стимулирование сбыта, реклама, ценообразование); финансы и учет (финансовая устойчивость и платежеспособность; прибыльность и рентабельность; собственные и заемные средства и их соотношение).
SNW-анализ это анализ сильных, нейтральных и слабых сторон организации. Как показала практика, в ситуации стратегического анализа внутренней среды организации в качестве нейтральной позиции лучше всего фиксировать среднерыночное состояние для данной конкретной ситуации. Элементы внутренней среды для SNW анализа: общая стратегия, бизнес-стратегии, оргструктура, финансы, конкурентность продуктов, дистрибьюция, информационные технологии, лидерство, уровень производства, уровень маркетинга, торговая марка, персонал, репутация на рынке, отношения с органами государственной власти, инновации, послепродажное обслуживание, степень вертикальной интеграции, корпоративная культура, стратегические альянсы. [78]
Компанию можно представлять как пучок умений, навыков, квалификаций и компетентностей. Одно из главных различий между двумя организациями даже одной отрасли это различие в их коллективной компетенции. Поэтому особенно важно наличие стратегии по созданию умений и навыков. Она предусматривает преодоление сильного препятствия обновлению привычки, этой трясины, засасывающей даже наиболее энергичных новаторов.
Создание необходимых навыков и умений предполагает прежде всего определить области, в которых их следует формировать и осваивать. Как правило, организация как целое обладает навыками в какой-то области, а обеспечивает всю сумму навыков значительно больше областей, в данном случае шесть других элементов, которые составляют схему 7-С: структура (организационная схема, описание работ и т.п.), субординация (кто кому подчинен, как распределяются и интегрируются задачи), системы (формальные и неформальные процедуры и потоки в организации, как осуществляется повседневная работа; все, что обслуживающие системы поставляют производственным; системы учета, контроля качества, оценки результатов и т.д.); символика поведения (как руководители расходуют свое время, за какие результаты они вознаграждают, какие средства избирают в кризисных ситуациях); состав (люди в организации, их демографические характеристики, опыт, образование и подготовка, соответствие рабочих мест умениям тех людей, которые их заполняют); совместные ценности (за что стоит компания провозглашает и применяет на практике хорошее и плохое, чем гордится или хотела бы гордиться компания), стратегия (план распределения ресурсов и достижения успеха в конкуренции).
Портфельный анализ инструмент, с помощью которого руководство предприятия изучает и оценивает свою хозяйственную деятельность с целью вложения средств в наиболее прибыльные или перспективные ее направления и сокращения/прекращения инвестиций в неэффективные проекты. При этом оценивается относительная привлекательность рынков и конкурентоспособность предприятия на каждом из этих рынков. Предполагается, что портфель компании должен быть сбалансирован, т. е. должно быть обеспечено правильное сочетание подразделений или продуктов, испытывающих потребность в капитале для обеспечения роста, с хозяйственными единицами, располагающими некоторым избытком капитала. Предназначение методов портфельного анализа заключается в том, чтобы помочь менеджерам создать ясную картину формирования затрат и прибылей в диверсифицированной компании. Портфельный анализ обеспечивает менеджеров инструментом анализа и планирования портфельных стратегий для определения разумной диверсификации деятельности.
Система MOST (Maynard Operation Sequence Technique), выпущенная в свет в начале семидесятых, снискала себе славу как вполне надежный инструмент. На сегодняшний момент в мире насчитывается уже более 30 000 сертифицированных специалистов MOST. В MOST выделяется 18 базовых элементов, которые обозначаются буквами, например: А (Action distance) движение по дистанции; В (Body motion) движение корпуса тела; G (Gain control) получение контроля над объектом, захват; P (Placement) укладка объекта. Эти элементарные действия складываются в последовательности. При этом последовательностей всего четыре, и любую производственную операцию (а также большинство административных) можно отнести к одной из них: ABGABPA свободное движение, АВGMXIA контролируемое движение, ABGABP_ABPA использование инструмента, ATKFVLVPTA применение ручного крана. После того, как последовательность записана, каждой букве (действию) присваивается индекс (целое число) показатель длительности действия, зависящий от его параметров (протяженности движения по дистанции, типа движения тела, тяжести захватываемого объекта и т.п.). Присвоение индекса производится при помощи специальных таблиц нормативов. Наконец, чтобы вычислить длительность последовательности, все индексы надо сложить и умножить на определенный коэффициент, чтобы перевести в единицы времени, которые в MOST называются TMU (Time Measurement Unit, один TMU равен стотысячной часа). Соответственно, время в TMU можно перевести в секунды или минуты. Раскладывая производственные процессы на операции, а их на последовательности, можно вычислить норму времени для любого процесса. Обычно использование MOST в отношении конкретного рабочего места включает в себя четыре последовательных шага: предварительное ознакомление с производственными операциями (изучение процессов и их операций, оценка частот, выделение необходимых элементов и излишних, фиксация «особенностей»), видеосъемка операций (3-5 циклов), запись последовательностей, расчет времени; представление результатов. На обработку одного рабочего места при обладании определенными навыками может быть потрачено всего 2 дня.
Сценарное планирование часть стратегического планирования, относящаяся к инструментам и технологиям, которые позволяют управлять неопределенностью будущего. Суть метода заключается в исследовании внешней среды организации на наличие предопределенных элементов (predetermined elements) и ключевых неопределенностей (key uncertainties) и комбинировании их для формулирования альтернативных сценариев будущего. В качестве предопределенных элементов часто выступают демографические факторы (например, количество подростков от 10 до 15 лет через 10 лет предопределено, так как многие из них уже родились), политические, технологические или географические факторы. В качестве ключевых неопределенностей могут выступать любые элементы внешней среды, которые важны для данной организации (например, уровень государственного дефицита или объём рынка). Все альтернативные сценарии должны сочетать в себе весь набор предопределенных элементов (так как по определению они должны быть) и различные исходы ключевых неопределенностей. Сценарное планирование рассматривает все сценарии как одинаково возможные в будущем.
В тоже время не следует пренебрегать мнениями специалистов телеиндустрии [73] о том, что с учетом программинга контента телеканала при определении критериев программ, их направленности многое зависит от семантического содержания и смысла, которым наделяют свой продукт производители, а также от той ее доминирующей характеристики, которая по замыслу создателей программы ориентирована на эмоционально-чувственное восприятие зрителей.
Проблема производства и проектирования развлекательного контента связана также с выбором усредненного интеллектуального уровня потенциальных телезрителей телеканала, определенных социальных групп, зачастую обладающих низкопробным вкусом и потребностями. Все это находит отражение в телевидении новейшего времени.
Кроме того, интенсивно развивающиеся процессы реформирования медийного рынка, обусловленные внедрением современных информационно-коммуникационных технологий и освоением цифровой среды в целом, выдвигают в XXI веке перед профессиональным сообществом множество теоретических и практических вопросов. К первоочередным среди них относятся те, что связаны с выбором - типа телеканала, программированием его интеллектуального содержания, так как. это проецируется на производство собственного экранного продукта, приобретение телепрограмм, фильмов определенной тематики и жанра, выпускаемых иными производителями.
Выбор типа телеканала соотносится также с концептуальной стратегией развития нового медиаресурса, позволяющей планировать стадии его становления, последующую эволюцию, включая экономический потенциал медийной компании. [39, 46]
Таким образом, по итогам данного параграфа можно сделать вывод: в рыночных условиях определение типа телеканала является первичным уже на этапе формирования проекта с учетом проекции программирования его сетки вещания, где приоритет отдается определенной тематике программных продуктов. Иначе говоря, выбор типа телеканала и есть та первооснова, без которой не может формироваться ни концепция телеканала, ни его стратегия и миссия, не может тем более прогнозироваться его потенциальная аудитория, и, следовательно, не может формироваться бизнес-модель, прогнозироваться его экономическая ликвидность. [21] В этой связи правомерно утверждать, что выбор типа телеканала и его тематическое программирование не только формируют первородную сущность медиаресурса на этапе его зарождения, но и являются системообразующими элементами в последующем его развитии, поскольку без постановки данных вопросов невозможно выстроить экономический, культурологический и профессиональный потенциал медийного бизнеса.
Таким образом, по итогам данной главы можно сделать вывод: в условиях развивающейся цифровой среды, когда на медийном пространстве возникает множество новых медиаресурсов, обозначенные выше факторы приобретают особую значимость и требуют теоретического осмысления с целью совершенствования как телевидения в целом, так и функционирования отдельных телеканалов. В этой связи актуальность данного исследования обусловлена множеством проблем, подлежащих пересмотру в рамках теоретического дискурса, связанного с тенденциями, развития телевидения, прежде всего развлекательного, как наиболее востребованного в современных условиях средства массовой, коммуникации; что продиктовано изменяющимися условиями существования телеканалов в новейшем времени.
Глава 2. Анализ деятельности ЗАО «Сеть телевизионных станций»
2.1 Общая характеристика деятельности ЗАО «Сеть телевизионных станций»
ЗАО «Сеть телевизионных станций» была основана 1 декабря 1996 года. [45] Основной вид деятельности выпуск в эфир телеканала СТС. Является частью холдинга «СТС-Медиа» (в который помимо СТС входят телеканалы «Домашний», «Перец» и «СТС Love» в России, «Перец International» в Белоруссии, «TV Dixi» в Молдавии, «31 канал» в Казахстане, продюсерская компания «Story First Production» и Интернет-портал «Видеоморе»). Генеральный директор канала Вячеслав Муругов. [69] В его подчинении заместитель генерального директора, дирекция производства телепрограмм, дирекция производства сериалов, дирекция кинопоказа, дирекция оформления эфира, техническая дирекция, бухгалтерия. В штате канала трудятся 200 человек.[44]
История СТС началась в США, в городе Сосолито, откуда родом основатель компании «Story First Communications» (ныне «СТС-Медиа») Питер Герви. Герви приехал в Москву в середине 1980-х годов, поработал над организацией первых телевизионных мостов между США и СССР, продавал программы и мультфильмы еще советскому ТВ, и к концу 80-х он был рублевым миллионером. [11, 26] Процесс трансформации страны так увлек его, что он решил остаться.
Глядя на стремительно меняющуюся страну, Герви задумался над возможностью построить в России телевидение по американскому образцу, но начал Герви с «Радио «Максимум», запущенного им вместе с русскими партнерами в декабре 1991 года. Позднее на базе «Шестого канала» петербургского телевидения (эфир которого ретранслировался на несколько городов, в том числе на Москву) появился СТС. На разных этапах своего существования инвесторами «Story First Communications» были банковский холдинг «Morgan Stanley», инвестиционный фонд «Delta Capital» и кинокомпания «Universal Pictures».
Начал работу очень опытный менеджер Тони Маккин, руководивший «Story First Communications» из Лондона, ему не хотелось переезжать в Москву. Сменил Маккина бывший руководитель одного из телеканалов техасского города Хьюстон Боб Кларк. Он занимался программированием канала СТС. Одним из ключевых принятых им программных решений был показ культового сериала «Стар Трек», поставленный в эфир в прайм-тайм и показавший долю аудитории в два раза ниже среднесуточной. Кларк был обескуражен, поскольку исходил из своего американского опыта, а в Америке сериал имел феноменальную популярность. [45]
Производство контента полностью отдавалось на аутсорсинг сторонним студиям. Группа топ-менеджеров формулировала задачи, формировала бренд компании, ее миссию и стратегию развития, а реализацией этих задач под контролем СТС занимались сторонние производители: так например, программу «Осторожно, Модерн!» производили радио «Модерн» и телекомпания «Шестой канал», вечернее шоу «Однажды вечером» делала компания «3-ТВ» и т.д.
Телевидение всегда отражает политическую структуру общества. В СССР оно было централизовано. Несколько каналов функционировали как «суперстанции», вещавшие на всю территорию Советского Союза. В национальных республиках могли существовать отдельные телекомпании. Например, в Узбекистане были каналы «УзТВ-1» и «УзТВ-2» на первом было смешанное вещание на русском и узбекском, второй был полностью узбекским. Два канала с ежедневным эфиром объемом в десять часов они выступали «суперстанциями» в своих регионах, где их сигнал шел в неизменном виде на все приемники.
Появившийся в середине 1990-х СТС создавался по другому принципу по принципу телесети. Он стал, по сути, реакцией на произошедшие в стране изменения. Доминирующая роль центра исчезла, и по всей огромной России начали возникать самостоятельные региональные телекомпании. Новые телевизионные станции в силу тяжелого экономического положения не могли производить собственную конкурентоспособную телепродукцию, собственный контент в достаточном для 24-часового вещания объеме. В таких обстоятельствах и появляются телесети, объединяющие множество локальных станций. Головная компания предоставляет локальным партнерам свой брендированный контент программы, сериалы, фильмы в обмен на значительную часть их рекламного ресурса. Первой сетью в России стал как раз СТС, потом же эту модель развития освоили другие новые телеканалы ТНТ, «Рен-ТВ» и др.
Развитие сети стало одной из главных задач СТС: СТС постоянно подписывала новых аффилиатов (на телевидении аффилиатами называются локальные телестанции, не принадлежащие каналу напрямую, но частично или полностью ретранслирующие его эфир на своей территории) или выкупали станции. Основные локальные станции следовало именно купить, чтобы контролировать доходы, расходы, сетку вещания и т. д. Напрямую контролировать необходимо было главные рынки страны: Москву, Санкт-Петербург, Новосибирск, Казань, Екатеринбург. С другими региональными компаниями СТС поддерживали партнерские отношения.
Работа с партнерами в регионах была одной из самых трудных и требовала постоянного внимания. Они нередко перекраивали сетки вещания по своему усмотрению, не советуясь с «СТС-регион» (служба, отвечавшая за развитие сети СТС в регионах). Эти сложности в значительной степени ушли в прошлое. В ходе построения в стране политической вертикали власти самостоятельность регионов снижалась, и с того момента, как прямые выборы губернаторов были отменены, исчезла и основная функция местных телевизионных каналов поддержка региональной власти. Губернаторам стало незачем их финансировать. В результате местные станции были отключены от политического денежного потока и начали вести себя по отношению к сети более лояльно.
Если в конце 90-х наступил расцвет регионального вещания, то с начала 2000-х система снова меняется в сторону более жесткой централизации. Период первой половины 2000-х годов пришелся на превращение сети в американском смысле этого слова в модифицированную «суперстанцию». Ее единственным отличием от подлинной суперстанции, например от «Первого канала», было лишь то, что частью рекламных поступлений СТС делились в регионах с владельцами компаний-партнеров.
Как было замечено ранее, большая часть решений относительно развития телеканала СТС принималась американским менеджментом «Story First Communications», дистанционно руководившим каналом. Первым гендиректором СТС был Сергей Скворцов, до этого выступавший одним из топ-менеджеров ВГТРК. По словам Скворцова, имея собственный опыт телевизионного программирования, он некоторые приемы формирования сетки вещания считал непригодными для российской почвы. Так, например, его удивляло, что в США телеканал покупал право на показ какого-либо сериала в течение пяти раз сроком на один год, причем сразу после выхода крайней серии на следующий же день в том же тайм-слоте этот же сериал выходил с первой серии. Российские же телеканалы считали верным показать сериал за год не более двух раз. Однако, показанные в режиме пяти раз подряд сериалы «Беверли Хиллз 90210», «Мелроуз Плейс», «Чарльз в ответе», «Альф» и многие другие опровергли опасения команды Скворцова и обеспечили каналу внушительные и постоянно растущие рейтинги. [60]
Следует отметить, что в настоящее время в условиях общедоступного Интернета такой способ показов сериалов в прайм-тайм неприемлем. Тем не менее, как минимум два формата телесериала детективные сериалы и ситкомы могут выдерживать большое количество повторов, так как большинство представителей этих жанров можно смотреть с любой серии (каждая серия представляет собой законченную историю). [82]
В 1998-м году Сергей Скворцов принял решение уйти с канала СТС на только что созданный ТНТ, где запустил в эфир ставшим хитом телеэфира сериал «Улицы разбитых фонарей». На место Скворцова пришел Роман Петренко бывший директор по маркетингу компании «Mars». Вместе со своей командой он начал реформировать систему эфирного и внеэфирного промоушна, заменяя архаичные анонсы, представляющие собой банальный пересказ сюжета фильма или программы в худших традициях советского телевидения на современные и заводные рекламные ролики, опиравшиеся на весь накопленный Петренко опыт успешного продвижения товаров.
Выступавший на тот момент в качестве директора по маркетингу СТС Александр Дулейрайн (ныне генеральный продюсер ТНТ) придумал слоган «Первое развлекательное телевидение». Из сетки вещания были убраны советские фильмы категории В (но при этом для классических комедий СССР был выделен отдельный тайм-слом пятница, 21-00), была сделана ставка на американские сериалы 1-2 летней давности (а не 10-15-летней давности, как ранее), преимущественно производства «Universal Studios», одного из акционеров СТС (в частности, «Зена королева воинов», «Человек-невидимка», «Секреты семьи Арно», «Квантовый скачок», «Охотницы» и др.).
Помимо сериального направления развивался показ голливудских кинохитов (преимущественно студии «Universal») в выходные дни. До осени 1999 года практически все фильмы и сериалы выходили в дубляже (организацией которого занимались тонстудия «Мосфильма» в Москве и студия дубляжа при «Шестом канале» в Санкт-Петербурге). После дефолта канал начать заказывать исключительно озвучку фильмов, исключение составлял лишь показ фильмов, озвучка которых уже была осуществлена по заказу других телевизионных каналов.
В конце 1990-х годов в годы развития СТС лидером развлекательного вещания был канал «ТВ-6 Москва», который помимо зарубежной продукции активно занимался собственным производством, развивая самые разные форматы от ток-шоу («Я сама», «Акулы пера») и life-style программ о стиле жизни («Пальчики оближешь», «Театральный понедельник») до юмористических программ («ОСП-студия», «33 квадратных метра») и основанного на любительских видео UGC-контента («Вы очевидец», «Катастрофы недели»). На фоне его успеха появление СТС могли бы и не заметить, если бы канал «ТВ-6 Москва» не выкупил олигарх Борис Березовский для использования в качестве инструмента политического влияния. В связи с таким резким переформатированием целевая аудитория негативно восприняла изменения в сетке вещания, и в 2001 году доли СТС и «ТВ-6 Москва» сравнялись.
Роман Петренко считал оптимальной для развития канала стратегию прорывного роста, во что бы то ни стало максимально приблизиться к каналам «первой тройки» (ОРТ, РТР, НТВ). Усилить влияние бренда канала в целом можно было только усилением бренда канала в каждом регионе вещания канала. [5, 35, 42] К примеру, в Санкт-Петербурге, где СТС ретранслируется «Шестым каналом» на 6 частоте метрового диапазона соответственно только в 2002 году возник бренд «СТС-Петербург»(рис. 2.1):
Рис. 2.1. Логотип телеканала «СТС-Петербург»
До 2002 года на экране телевизоров зрители Санкт-Петербурга видели логотипы СТС и «Шестого канала». Объединение логотипов в единый называлось кобрендингом и позволяло усилить позиции в конкретном регионе. К примеру, в 2000 году в Перми канал оказался на третьем месте среди каналов в аудитории «все зрители старше 4 лет» с долей 12 %. Аналогичные успехи были показаны в Самаре («СТС-Волга»), Омске («СТС-Зодиак»), Чите («СТС-Чита»), Екатеринбурге («РТК-СТС»), Владивостоке («СТС-Восход») и Туле («СТС-Арсенал»)(рис.2.2):
Рис. 2.2. «Усыновленные» бренды региональных партнеров СТС
Осенью 2001 года в эфире канала начался постепенный переход на трансляцию отечечственного контента российских сериалов, прошедших в эфире других каналов, а также развлекательных программ, созданных по заказу канала («Осторожно, Модерн!-2», «Добрый вечер с Игорем Угольниковым», «Первое свидание», «Окна с Дмитрием Нагиевым»). Основу прайм-тайма выходного дня составили низкобюджетные юмористические шоу набиравшего популярность украинского телеканала «1+1» («КВН. Высшая украинская лига», «СВ-шоу», «Частная милиция», «Полное мамаду», «Комедийный квартет»), благодаря успеху которых акционеры приняли решение пригласить на канал СТС основателя и гендиректора «1+1» Александра Роднянского. На наш взгляд, данная ситуация идеально иллюстрирует, что на телевидении важен не столько качественный контент, а те творческие и административные кадры, которые его создают.
С приходом команды Александра Роднянского в 2002 году канал (на фоне растущего в стране спроса на российские сериалы) переориентировался на трансляцию контента собственного производства, представляющего собой в большинстве своем адаптацию прошедших успешно за рубежом проектов («Моя прекрасная няня», «Не родись красивой», «Кто в доме хозяин?», «Самый умный», «Ты супермодель», «Снимите это немедленно!», «Слава Богу, ты пришел!»).
Организацией собственного контента под руководством Роднянского занимались Игорь Толстунов, выступавший в качестве продакшн-директора СТС (с его подачи в эфире СТС появились многосерийные экранизации детективных романов Дарьи Донцовой и Татьяны Устиновой), Александр Цекало, занимавший пост директора департамента производства развлекательных программ СТС (он нашел для СТС успешную нишу импровизационного юмора, запустив проекты «Хорошие шутки», «Слава Богу, ты пришел!» и «Игры разума», а также развивал направление музыкальных программ, среди которых «Хорошие песни», «Утро с Киркоровым», «Жизнь прекрасна!», «По волне моей памяти», «Али-Баба и сорок разбойников», «Ночь в стиле диско», «Ночь в стиле детства» [67] ) и присоединившийся к ним осенью 2005 года Вячеслав Муругов в качестве директора департамента развлекательных сериалов (на его счету создание таких успешных проектов как «Кадетство», «Папины дочки», «6 кадров» и другие).
Среди других отличительных особенностей стиля Роднянского ставка на лица канала (ведущие программ, звезды сериалов) с целью сформировать облик канала, отражавшего, по его мнению, мировоззрение возникающего в России среднего класса. Успешные сериалы повысили среднесуточную долю аудитории канала с 6.6 % в 2002 году до 10.4 % в 2006 году. [81]
Появившийся на канале в качестве директора департамента развлекательных сериалов в 2005 году и поднявшийся по карьерной лестнице до генерального продюсера всего холдинга «СТС-Медиа» в 2008 году Вячеслав Муругов расширил количество выпускаемых сериалов и программ, снятых по оригинальным идеям, а не по лицензии: «Кадетство», «Папины дочки», «Ранетки», а также сократил количество зарубежных сериалов в эфире до минимума по причине их неконкурентоспособности в телеэфире из-за распространения сериалов в Интернете практически сразу же после выхода сериала за рубежом. [72]
Кроме того, на фоне постепенного перехода на СТС на трансляцию подростковых сериалов, повлекшего за собой закономерное сужение аудитории, усилились позиции канала ТНТ, благодаря стремительному росту аудитории не сразу достигших популярности проектов «Comedy Club» и «Наша Russia».
Причина успеха ТНТ, на наш взгляд, в его хулиганском и неформальном содержании. СТС же, который изначально стремился быть «каналом для всех» (с целевой аудиторией «все 4+») и даже на каком-то этапе хотел обогнать НТВ по рейтингам (в 2006 году каналу это удалось благодаря успеху сериала «Не родись красивой»), в 2007 году после ряда провальных проектов («Петя Великолепный», «Тридцатилетние», «Папа на все руки»), начал ориентироваться на молодую аудиторию, как мы писали ранее. Причина проста: на фоне общего падения доли канала СТС (с 10.4 % в 2006 году до 9 % в 2007 году в целевой аудитории «4+»), в эфире канала достигли успеха молодежные сериалы «Папины дочки» и «Кадетство», и потому пошел уклон на проекты, ориентированные на студентов и школьников, таким образом хит сезона может не только задавать тон каналу, но и вгонять его в определенные рамки. Тем самым, одинаковые изменения в программной политике (ориентация на молодежную аудиторию), для СТС обернувшиеся уменьшением доли аудитории, на ТНТ обернулись успехом.
К слову, в 2005 году Александр Цекало, на тот момент выступавший генеральным продюсером СТС, вел переговоры по поводу показа на СТС шоу «Comedy Club», но Александр Роднянский посчитал проект слишком опасным для показа в эфире бесконфликтного СТС.[67] По нашему мнению, с точки зрения концепции канала «Comedy Club» вместе с молодежными сериалами СТС мог вполне составить уникальное предложение на рынке, став лидером развлекательного вещания в стране, однако, упущенная возможность СТС помогла ТНТ стать конкурентоспособным и обогнать по популярности СТС.
Таким образом, по итогам данного параграфа можно сделать вывод: телеканал СТС, завоевавший доверие части зрительской аудитории в 1990-х годах, достиг пика популярности в 2005 году за счет ряда рейтинговых проектов собственного производства («Моя прекрасная няня», «Не родись красивой»), однако, избыточное количество молодежных сериалов в эфире и рост аудитории телеканала ТНТ, ставшего конкурентом СТС, сместили канал СТС с лидерских позиций.
2.2. Анализ текущего положения дел в ЗАО «Сеть телевизионных станций»
В настоящий момент СТС представляет собой развлекательный канал для среднего класса, разделяющего семейные ценности. Миссия канала звучит следующим образом: «Mы делаем жизнь ярче! Мы создаем истории, которые вдохновляют каждого зрителя и дарят ему яркие позитивные эмоции. Мы стремимся быть первыми в разработке и реализации идей. Новейшие методы изучения потребностей аудитории, внедрение лучшего мирового опыта и собственные оригинальные разработки позволяют нам задавать тон на рынке. Мы предлагаем зрителям новые яркие впечатления в современной, удобной и интересной форме. Мы знаем, что тот, кто мыслит нестандартно, добивается успеха. Мы постоянно развиваем свой творческий потенциал, улавливаем свежие тенденции и создаем яркие, незабываемые образы, всегда оставаясь актуальными. Мы находим оригинальные решения задач любой сложности. В своей ежедневной работе мы руководствуемся общечеловеческими моральными и этическими ценностями. Наша деятельность основана на принципах честности, прозрачности, порядочности по отношению к зрителям, сотрудникам, партнерам, акционерам и власти. Мы увеличиваем прибыль для того, чтобы повышать качество контента, обеспечивать комфортные условия работы и соблюдать интересы акционеров». [71]
На наш взгляд, миссия холдинга является истинной, поскольку она отражает программную политику, принципы его функционирования и экономического развития, четко объясняя свою роль на рынке и свое предназначение.
Целевая аудитория канала в настоящее время мужчины и женщины в возрасте от 10 до 45 лет (ядро аудитории зрители 25-35 лет, с точки зрения психографической сегментации молодые взрослые, разделяющие семейные ценности), направленность канала семейный, развлекательный. Канал ориентирован на показ сериалов и программ собственного производства. Наиболее популярные проекты канала в настоящее время комедийные сериалы «Кухня», «Восьмидесятые», «Последний из Магикян», «Два отца и два сына», юмористическое шоу «Уральские пельмени», драмеди «Молодежка», «Корабль», фантастические сериалы «Выжить после» и «Геймеры», импровизационное юмористическое шоу «Большой вопрос», скетчком «6 кадров» и ситком «Воронины».[68]
Среднесуточная доля канала в целевой аудитории в 2014 году составила 11.3 %, на 0.3 % больше, чем в 2013 году[76] (рис. 2.3):

Рис. 2.3. Доли каналов в аудитории «м/ж 10-45 лет» в 2013-2014 гг.
Как показывает рисунок, разрыв между СТС и каналом ТНТ, ориентирующимся на ту же целевую аудиторию, составляет почти 2 %.
В 2012 году топ-менеджмент СТС посчитал, что ориентация на молодежную аудиторию школьников и студентов (ядро аудитории СТС в 2008-2011 годах) не особо эффективна, так как при концепции семейного телевидения значительную часть аудитории СТС оттягивают упомянутые ранее молодежные проекты на ТНТ, востребованные у активной молодежи, и новый канал «Disney» с ситкомами для дошкольной и школьной аудитории, которые более точно удовлетворяют потребности молодежной и подростковой аудитории соответственно.
По этой причине было решено сместить ядро аудитории в сегмент «м/ж 25-35 лет», как наиболее платежеспособный с точки зрения рекламодателей и эффективный с точки зрения восприятия контента семейной направленности.
В сентябре 2012 года под руководством заместителя генерального директора СТС по маркетингу Глеба Алейникова компанией «BDA Creative», которая приложила руку к созданию брендов телеканалов «BBC» и «National Geographic» был произведен ребрендинг СТС, призванный обновить образ канала и подчеркнуть переход на новую целевую аудиторию. В настоящее время логотип канала выглядит следующим образом(рис. 2.4):

Рис. 2.4. Логотип телеканала СТС с 2012 года
Во многом каналу удалось быстро и без серьезных потерь (падение доли с 12.1 % в 2011 году до 11 % в 2012 году в аудитории «м/ж 10-45 лет») пересегментироваться благодаря деятельности Валерии Шульженко, с 2012 года работающей на СТС программным директором: правильный подбор контента, отказ от молодежных проектов в прайм-тайм и несколько эффективных программных решений (в особенности дневные марафоны сериала «Воронины» и шоу «Уральские пельмени» в будни и показ голливудского кино в режиме нон-стоп в выходные) позволили каналу достичь поставленных целей, пока большинство проектов для нового ядра аудитории еще находятся в стадии производства. Подобный способ программирования ранее каналом СТС не использовался, до 2012 года дневной эфир заполнялся мультфильмами и зарубежными сериалами.
Однако, с учетом роста цен на контент (съемки новых сериалов в кинокачестве требуют более дорогое съемочное оборудование, а также большее количество времени на съемку каждой сцены: если в середине 2000-х годов одну серию ситкома можно было снять за 1-2 дня, в настоящее время снимают по 4-6 дней), отсутствия спроса на американские сериалы, аудитория которых смотрит их онлайн в Интернете, либо скачивает с торрент-трекеров, а также по причине того, что в детских мультфильмах по закону нельзя размещать рекламу, канал вынужден прибегать к повторам успешных ситкомов (как мы указывали ранее, проекты жанра драмеди повторы с минимальными потерями рейтинга выдержать не могут). Со временем такой же способ программирования стали использовать другие развлекательные каналы ТНТ (повторы ситкомов) и «Пятница!» (повторы программы «Орел и решка»).
Таким образом, развлекательные каналы, работающие на молодого активного зрителя, который все чаще сидит в Интернете (по статистике, 40 % россиян ежедневно проводят в Интернете более 5 минут), концентрируются на прайм-тайме, когда целевая аудитория возвращается с учебы или работы.
Максимальное совпадение зрителей канала с заявленной целевой аудиторией помогает каналу оставаться привлекательным в глазах рекламодателей и тем самым успешно монетизировать аудиторию[77] (рис. 2.5.):

Рис. 2.5. Рейтинг каналов по монетизации аудитории в 2013-2014 гг.
Указанные на рисунке 2.5. данные показывают, что СТС монетизирует аудиторию гораздо эффективнее, чем его ближайшие конкуренты ТНТ и «Первый канал», что позволяет получать дополнительный доход за счет привлечения спонсоров к проектам канала, развития направлений мерчендайзинга, монетизации контента в Интернете, создания трансмедийных проектов, а также расширения числа продюсерских компаний, обращающихся на СТС за рекламной поддержкой их фильмов (например, такие фильмы как «Голодные игры: Сойка-пересмешница», «Город грехов-2. Женщина, ради которой стоит убивать», «Подарок с характером», «Горько!», «Горько!-2», «Быстрее, чем кролики», «Легок на помине», «Авантюристы», «Скорый «Москва-Россия» выбрали своим главным информационным партнером СТС).
По данным Федерального агентства по печати и коммуникациям, прибыль компании в 2014 году составила 6533 миллиона рублей, что является лучшим результатом среди федеральных телеканалов[57] (табл. 2.1.):
Таблица 2.1
Операционные показатели деятельности предприятий-учредителей федеральных телеканалов в 2014 году
|
Предприятие |
Выручка (млн. руб.) |
Прирост (%) |
Прибыль/ убыток (млн. руб.) |
Прирост (%) |
|
1 |
2 |
3 |
4 |
5 |
|
ОАО «Первый канал» |
24 482 |
11.5 |
- 1 336 |
-51.5 |
|
ФГУП «Всероссийская государственная телевизионная и радиовещательная компания» (телеканал «Россия-1») |
20 174 |
8.6 |
-7 294 |
-46.5 |
|
ОАО «Телекомпания НТВ» |
16 195 |
36.5 |
3 831 |
248.6 |
|
ЗАО «Сеть телевизионных станций» (телеканал СТС) |
13 675 |
14.6 |
6 533 |
9.1 |
|
ОАО «Телерадиокомпания Петербург» («Пятый канал») |
3 701 |
135.1 |
274 |
127.5 |
|
ЗАО «Новый канал» (телеканал «Домашний») |
2 368 |
27.5 |
773 |
36.1 |
|
ОАО «ТВ Центр» (телеканал ТВЦ) |
2 250 |
28.2 |
- 3 087 |
-3.1 |
|
ЗАО «ТВ Дарьял» (телеканал «Перец») |
1 761 |
12.6 |
393 |
-32.6 |
Продолжение табл. 2.1
|
1 |
2 |
3 |
4 |
5 |
|
ЗАО «Телекомпания РЕН ТВ» |
727 |
-13.4 |
81 |
20.9 |
|
ОАО «Телерадиокомпания вооруженных сил Российской Федерации «Звезда» |
525 |
205.5 |
-1 252 |
-32.6 |
Как видно из таблицы 2.1, по уровню выручки СТС уступает лишь каналам «большой тройки» («Первый», «Россия-1», НТВ) и при этом является самым прибыльным каналом, что во многом связано с тем, что канал входит в состав публичной компании и не может себе позволить неоправданных затрат в отличие от того же «Первого канала» и «России-1», получающих финансирование от государства. СТС существует за счет рекламы и не получает госдотаций.
Таким образом, по итогам данного параграфа можно сделать вывод: ЗАО «Сеть телевизионных станций», несмотря на падение рейтингов СТС, продолжает оставаться прибыльной компанией, что во многом связано благодаря коммерческой привлекательности в глазах рекламодателей, что отражаться в высоком уровне монетизации эфирной сетки канала.
2.3 Анализ факторного воздействия на ЗАО «Сеть телевизионных станций»
Под факторным анализом принято понимать метод исследования экономики и производства, в основе которого лежит анализ воздействия разнообразных факторов на результаты экономической деятельности и ее эффективность. [50]
Внешняя среда включает в себя институты и факторы, находящиеся вне организации и потенциально влияющие на результаты ее деятельности. При анализе внешней среды различают факторы прямого воздействия, которые называют также рабочей средой, и факторы косвенного воздействия, они же общая среда.
К факторам прямого воздействия относят те условия, способные сразу и непосредственно повлиять на деятельность данной организации (рис.2.6):
Рис.2.6. Факторы прямого воздействия на организацию
Как видно из рисунка 2.6, к факторам прямого воздействия на организацию относятся поставщики, законы и государственные органы, потребители и конкуренты.
К факторам косвенного воздействия относят общие для всех условия деятельности, чье влияние проявляется косвенно (через рабочую среду), сказывается не сразу и в большинстве случаев не носит специфического характера по отношению к данной организации (рис.2.7):
Рис.2.7 Факторы косвенного воздействия на организацию
Как видно из рисунка 2.7, факторами косвенного воздействия на организацию являются международные события, политические факторы, состояние экономики страны, научно-технический прогресс и социально-культурные факторы.
Результаты изучения воздействия факторов прямого и косвенного воздействия на организацию представлены в таблице 2.2.
Таблица 2.2
Факторы, воздействующие на деятельность ЗАО «Сеть телевизионных станций»
|
№ п/п |
Наименование фактора |
Характер влияния фактора на деятельность организации (вероятная угроза или дополнительные возможности) |
|
1 |
2 |
3 |
|
1 |
Поставщики |
|
|
1.1 |
Поставщики контента |
«СТС» сотрудничает с целым рядом успешных телевизионных производителей «Yellow, Black & White» («Уральские пельмени», «Кухня»), «Леан-М» («Воронины», «Метод Лавровой»), «Good Story Media» («Восьмидесятые», «Молодожены»), «АМиК» («КВН на БИС», «Смех в большом городе»), «Среда» («Большой вопрос», «Отбросы»), «МБ-Групп» («Хорошие шутки», «Одни дома»), «Кинодеталь» («Кино в деталях», «Успеть за 24 часа») и др. Кроме того, компания сотрудничает с ведущими компаними-кинопроизводителями: «Walt Disney Studios», «Universal Pictures», «Paramount», «Marvel» и т.д. |
|
1.2 |
Поставщики технического оборудования |
Специальное техническое оборудование для телесъемок промороликов к программам и фильмам (в других случаях оборудование берется или приобретается непосредственно производителями программ и сериалов) самая передовая на данный момент цифровая камера Red One |
|
2 |
Законы и государственные органы. |
Законы РФ «О средствах массовой информации» и закон «О защите детей от информации, причиняющей вред их здоровью и развитию» |
|
3 |
Потребители |
Целевая аудитория мужчины и женщины от 10 до 45 лет, разделяющие семейные ценности |
|
4. |
Конкуренты |
Главными соперниками канала являются «ТНТ» и «Первый канал», а также «Пятница!» и «Ю» |
|
5. |
Международные события |
Поскольку СТС изначально является каналом, на котором нет новостей, то и на то, что происходит в политике, канал никак не реагирует, уж тем более на то, что происходит за рубежом |
|
6 |
Состояние экономики |
Если экономика совершит прорыв, не заставит себя ждать повышение стоимости минуты рекламы, которое повлечет увеличение закупочной стоимости телепрограмм и сериалов |
Продолжение табл. 2.2
|
1 |
2 |
3 |
|
7 |
Социально-культурные факторы |
«СТС» стремится быть своеобразной путевой звездой для молодежи, правда, в отличие от излишне провокационного «ТНТ» и чересчур пафосного «Первого канала» «СТС» работает со «спокойной» семейной аудиторией |
|
8 |
Научно-технический прогресс |
Равно как и его конкуренты, «СТС» следит за тем, чтобы его продукция снималась на самые современные устройства в самых качественных павильонах |
|
9 |
Политические факторы |
«СТС» был и есть каналом без политики, политические шутки в эфире канала звучат крайне редко, например, в одном из концертов «Серебряная калоша» |
Как видно из таблицы 2.2, СТС является каналом, существующим вне политики, представляя в чистом виде исключительно успешный бизнес-проект развлекательный канал, создающий для зрителя рафинированную модель реального мира.
Хотелось бы отметить несколько любопытных вещей. Во-первых, закон «О защите детей от информации, причиняющей вред их здоровью и развитию», осенью 2012 года вступивший в силу, никаких ощутимых изменений в сетку канала СТС не привнес, разве что за исключением появления в программе передач маркировок с ограничениями. Хотя немного странно наблюдать за расписанием канала, 90 % программ которого имеют ограничение «16+», но при этом канал работает на целевую аудиторию от 14 до 45 лет. Канал и раньше избегал контента, который может причинить вред детской психике. Однако, в связи с запретом курения в кадре с весны 2014 года перед каждым сериалам, где есть сцены курения, ставится предупреждение о вреде курения, а также замазываются сигареты в кадре (в частности, подобным образом были откорректированы ряд сцен в сериалах «Кухня», «Темный мир: Равновесие»). Но самым плачевным образом на СТС сказались результаты непростых политических отношений между Россией, Евросоюзом и США осенью 2014 года. В марте акции канала упали в цене на 36 % сразу после того, как владелец блокпакета «СТС-Медиа» Юрий Ковальчук вошел в черный список США. Затем принятый 26 сентября 2014 года законопроект об ограничении доли иностранных инвесторов в российских СМИ привел к тому, что капитализация «СТС-Медиа» понизилась с 3,5 до 1,04 млрд долларов. Нельзя не учитывать тот факт, что данный законопроект был создан для того, что противостоять замыслу США запустить в России вещание канала «USA Today» с целью внедрения американской пропаганды в российский эфир. Однако, при этом пострадал бизнес «СТС-Медиа», в которой ни один из каналов, в том числе флагманский СТС не занимается политическим вещанием, а даже наоборот, избегает любых намеков на политику.
Тем самым становится очевидным вывод: в момент нестабильной политической ситуации в мире может пострадать бизнес даже тех каналов, которые не показывают новости и аналитические программы. Как результат, контролирующему холдингу «СТС Медиа» придется искать решения по уменьшению доли иностранного капитала в компании.
Кроме того, хотелось бы отметить, что поскольку телевидение это бизнес, в котором борьба за зрителя идет непрерывно, проведем оценку конкурентоспособности канала СТС, выявим его слабые и сильные стороны, чтобы понять, что именно в системе канала, его маркетинговой среде и рекламной деятельности нужно изменить, чтобы усовершенствовать функционирование канала и повысить его конкурентоспособность в борьбе с другими развлекательными каналами.
Чтобы быть максимально объективными в процессе нашего анализа, будем сравнивать канал СТС будем с его конкурентами в целевой аудитории «мужчины и женщины в возрасте 10-45 лет» (ядро аудитории «мужчины и женщины в возрасте 25-35 лет») «Первым каналом» и ТНТ. По каждому из четырех групп параметров (продукт, цена, сбыт, продвижение) будем выставлять каналам баллы от 0 (низший балл, худший результат) до 9 (высший балл, лучший результат). Баллы выставляются нами на основе сопоставления деятельности каналов друг с другом (табл. 2.3.):
Таблица 2.3
Сравнительный анализ исследуемой компании ЗАО «Сеть телевизионных станций» и ее конкурентов
|
Параметр |
Конкурент №1 (К1) |
Конкурент №2 (К2) |
Исследуемая Компания (ИК) |
|
1 |
2 |
3 |
4 |
|
ТНТ (ОАО «ТНТ- Телесеть») |
«Первый канал» (ОАО «Первый канал») |
СТС (ЗАО «Сеть телевизионных станций») |
|
|
1. Продукт: |
|||
|
Качество изображения |
9 |
9 |
9 |
|
Качество звука |
9 |
9 |
9 |
|
Разнообразие программ |
5 |
9 |
7 |
|
Новинки |
6 |
9 |
7 |
|
Межпрограммное оформление |
9 |
9 |
9 |
|
Средний балл |
7,6 |
9 |
8,2 |
|
2. Цена: |
|||
|
Бесплатная трансляция аналогового вещания (через антенну) |
9 |
9 |
9 |
|
Бесплатная трансляция в Интернете |
9 |
9 |
9 |
|
Средний балл |
9 |
9 |
9 |
|
3. Сбыт: |
|||
|
Аналоговое вещание |
6 |
9 |
7 |
|
Цифровое вещание |
9 |
9 |
9 |
|
Вещание в HD |
0 |
9 |
0 |
|
Вещание в кабельных сетях |
9 |
9 |
9 |
|
Вещание в Интернете онлайн (на сайте канала) |
0 |
9 |
0 |
|
Архив программ канала в Интернете |
9 |
9 |
9 |
|
Борьба с пиратством в Интернете |
5 |
0 |
0 |
|
География вещания |
6 |
9 |
7 |
|
Вещание за рубежом |
6 |
9 |
9 |
|
Средний балл |
5,5 |
8 |
5,5 |
|
4. Продвижение: |
|||
|
Эфирный промоушн |
9 |
9 |
9 |
|
Наружная реклама |
9 |
0 |
9 |
|
Реклама на сайте канала |
9 |
3 |
6 |
|
Промо-компании |
4 |
2 |
9 |
|
Вирусный маркетинг |
9 |
9 |
0 |
|
Кросс-маркетинг |
0 |
0 |
9 |
|
Средний балл |
6,6 |
3,8 |
7 |
|
Общий средний балл |
7,2 |
7,5 |
7,4 |
Сопоставим средние баллы по всем 4 группам параметров (табл. 2.4):
Таблица 2.4
Средние баллы по группам параметров сравнения конкурентоспособности ЗАО «Сеть телевизионных станций» с каналами-конкурентами
|
К1 |
К2 |
ИК |
|
1 |
2 |
3 |
|
Средние баллы |
||
|
7,6 |
9 |
8,2 |
|
9 |
9 |
9 |
|
5,5 |
8 |
5,5 |
|
6,6 |
3,8 |
7 |
На основании полученных данных построим многогранник конкурентоспособности каждого предприятия и сравним их площади. Считая 4 параметра за 4 стороны многогранника, получаем следующие данные:
Sк1 = (7,6*9):2 + (9*5,5):2 + (5,5*6,6):2 + (6,6*7,6):2 = 34,2 + 24,75 + 18,15 + 25,08 = 102,18
Sк2 = (9*9):2 + (9*8):2 + (8*3,8):2 + (3,8*9):2 = 40,5 + 36 + 15,2 + 17,1 = 108,8
Sик = (8,2*9):2 + (9*5,5):2 + (5,5*7):2 + (7*8,2):2= 36,9 + 24,75 + 19,25 + 28,7 = 109,6
Сосчитаем коэффицент конкурентоспособности, который рассчитывается делением площади многогранника исследуемой компании на площадь многогранника канала-конкурента. Если коэффициент больше единицы, значит, исследуемая компания идеально функционирует и в дополнительных улучшениях пока не нуждается:
Кк1=Sик/Sк1=109,6/102,18 = 1,07
Кк2=Sик/Sк2=109,6/108,8 = 1,007
Конкурентоспособность СТС, как показывают данные, весьма высока.
Прокомментируем несколько ключевых нюансов. «Первый канал» обладает наибольшим охватом территории распространения (99,7 %) среди всех телеканалов страны, охват ТНТ 95 %, на 2 % меньше у СТС, для которого в приоритете распространение в городах-миллионниках и не столь важен доступ к эфиру канала в регионах с населением ниже 100 000 жителей (которые не учитываются при составлении измерений об аудитории каналов компанией TNS Gallup Media).
СТС обогнал ТНТ по количеству премьер. В сезоне 2013-2014 в эфир ТНТ вышло 5 новых проектов для эфира в прайм-тайм («Студия 17», «Неzлобин», «Дружба народов», «Физрук», «В Москве всегда солнечно»), тогда как на СТС их вышло 7 («Последний из Магикян», «Молодежка», «Два отца и два сына», «Выжить после», «Корабль», «Неформат», «Темный мир: Равновесие»). [62]
В плане продвижения продукта для аудитории «25-35» СТС значительно сильнее «Первого канала» и незначительно опережает ТНТ. Особого упоминания заслуживают такие параметры, как промо-компании и кросс-маркетинг, в которых преуспел СТС. Для раскрутки ключевых прайм-таймовых проектов СТС регулярно проводит флэшмобы и танцевальные вечеринки. В частности, на презентации нового сезона сериала «Кухня» в кинотеатре «Октябрь» в Москве устроили танец поваров, а также были проведены встречи актеров сериала с поклонниками в разных городах, где зрителям была дана возможность покататься с любимыми артистами на коньках на ледовых аренах. Подобные спортивные мероприятия продолжают традиции, заложенные другим сериалом СТС «Молодежка». Кроме того, та же «Кухня» является ярким примером эффективного кросс-маркетинга благодаря тому, что один из главных звезд сериала Дмитрий Нагиев является лицом сотового оператора «МТС». Тем самым, используя это обстоятельство, за 15-20 секунд удается прорекламировать сразу три бренда: «МТС», сериал «Кухня» и мобильное приложение «Кухня. Рецепты» на основе приготовляемых в сериале блюд. В данных направлениях продвижения проектов ТНТ пока проигрывает СТС, тем самым не до конца используя рейтинговый потенциал выпускаемых проектов. [77] С другой стороны, СТС и ТНТ по-разному подходят к наружной рекламе проектов. ТНТ в равной мере продвигает и премьеры сезона, и новые серии имеющих устойчивую аудиторию проектов. СТС же продвигает новые сериалы преимущественно с помощью социальных сетей «ВКонтакте» и «Instagram», наружная же реклама агрессивно продвигает суперхиты канала, в частности «Кухню» и «Молодежку». Для СТС данные два сериала являются главными козырями эфира и по этой причине они стремятся повысить их рейтинговый потенциал до максимума. «Первый канал» же наружной рекламой не пользуется вовсе.
Таким образом, в данном параграфе мы рассмотрели анализ факторного воздействия на ЗАО «Сеть телевизионных станций» и выяснили, что канал вынужден бороться не только с каналами-конкурентами «Первым каналом» и ТНТ, но и с нестабильной политической ситуацией, которая косвенным образом повлияла на снижение капитализации компании.
Таким образом, в данной главе была проанализирована деятельность телеканала СТС от ретранслятора американской сериальной продукции до ориентированного на оригинальный контент канала для молодых взрослых, который, на наш взгляд, имеет больше шансов завоевать лидерство, ориентируясь на ядро аудитории «м/ж 25-35 лет», чем в периоды 2007-2011 гг., когда он по стечению обстоятельств стал конкурентом ТНТ в борьбе за молодежную часть зрителей. Кроме того, мы рассмотрели факторы прямого и косвенного воздействия на СТС, позиционируемый как семейное телевидение, при этом вытеснивший из эфира программы для детской аудитории, что, видимо, говорит о грядущем желании канала сменить целевую аудиторию, а возможно и подкорректировать формат.
Глава 3. РАЗРАБОТКА СТРАТЕГИИ ЗАО «Сеть телевизионных станций»
3.1. Прогноз развития деятельности ЗАО «Сеть телевизионных станций»
Как показал анализ деятельности канала, СТС на протяжении своего существования неоднократно менялся в первую очередь, из-за роста конкуренции на телевизионном рынке.
В 1990-х годах, когда было всего лишь несколько телевизионных каналов (ОРТ, РТР, НТВ, СТС, «ТВ-6 Москва», ТНТ, «Рен-ТВ»), которые не имели между собой существенных отличий в предлагаемом зрителю контенте (новости, латиноамериканские сериалы, телеигры), кинотеатральный рынок почти не действовал, а новинки мирового кино выходили на пиратских видеокассетах с одноголосым переводом, канал СТС, который показывал американские фильмовые и сериальные новинки в закадровом переводе и дубляже, без проблем завоевал популярность. Американский менеджмент, опиравшийся на богатый опыт кабельного и спутникового телевидения в США, понимал, что нишевый канал с четкой концепцией и отличающимся позиционированием, обладающий сетью партнеров в регионах, сможет занять весомую долю на телевизионном рынке России. В настоящий же момент, когда практически любой новый иностранный фильм или сериал зритель может без труда посмотреть в Интернете в любое время суток, телеканалам приходится придумывать новые способы воздействия на зрителя. Статистика говорит сама за себя: количество активных пользователей Интернета превышает 40 % россиян, в отдельные дни «Яндекс» обгоняет центральные каналы по количеству просмотров, а доля аудитории самого массового вещателя страны «Первого канала» сократилась с 30 % в 2005 году до 14 % в аудитории «все 4+». Чтобы оставаться интересным для зрителя, необходимо не только четко понимать целевую аудиторию и ее потребности, но и учитывать тот факт, что аудитория с расширением их потребностей с каждым годом все сильнее фрагментируется. И главный парадокс современного телевидения состоит в том, что несмотря на то, что основу прайм-тайма каналов должны составлять узкоспециализированные проекты, хитами эфира все равно продолжают оставаться проекты, способные объединить разные аудитории. [68, 75] Такие проекты случаются на телевидении все реже, в частности в сезоне 2013-2014 таким проектом оказался сериал ТНТ «Физрук», объединивший нынешнюю молодежь и тех, чья молодость пришлась на 1990-е годы. К тому же большую угрозу для каналов-лидеров представляют тематические каналы с укзонаправленным контентом, одним из хитрых приемов которых является дневное программирование новинок, в то время как большинство каналов (в том числе СТС) ставят в дневной эфир повторы.
Есть разные взгляды на дальнейшее функционирование телевидения. По мнению медиаменеджера Романа Петренко, в течение 10-15 лет телевидение по расписанию исчезнет, останутся Интернет-порталы с 7-8 хитами, которые и будут формировать канал. [65] Гендиректор СТС Вячеслав Муругов не отрицает такого развития событий, что подтверждают его активные по развитию канала в Интернете (портал «Videomore» для контента каналов «СТС-Медиа», трансмедийный проект «Настоящая любовь», каналы сериалов и шоу СТС на портале «YouTube»), однако, просмотр телевидения на экранах телевизора все равно будет занимать ведущую роль. На наш взгляд, аудитория СТС, равно как и зрители других каналов для молодежи и молодых взрослых, будут постепенно отказываться от пассивного телесмотрения, предпочитая формировать свой режим просмотров самостоятельно.
По нашему мнению, тот факт, что практически все руководители телевизионных каналов в России во главе с гендиректором «Первого канала» Константином Эрнстом и гендиректором «Газпром-Медиа Холдинга» Михаилом Лесиным включились в работу по созданию новой системы телевизионных измерений взамен «TNS Gallup Media», имеющей существенные недостатки (являясь монополистом в сфере измерения данных об аудитории каналов и программ, она учитывает только домашнее семейное телесмотрение на кинескопных телевизорах), дает все основания полагать, что новая система будет учитывать также просмотры в кафе, барах, ресторанах, кроме того, будет учитывать просмотры в Интернете. К примеру, создатели выше упомянутого проекта СТС «Настоящая любовь», собравшего 30 миллионов телеаудитории и еще 23 миллиона зрителей в Интернете (на порталах «Videomore», «ctc.ru», «domashniy.ru» и в социальных сетях «ВКонтакте» и «Одноклассники»), при проведении переговоров с потенциальными спонсорами будут ориентироваться не только на данные телеэфира как сейчас, а на совокупные данные об аудитории ТВ и Интернета. Также известно, что сериал «Молодежка», который в совокупности на нескольких легальных платформах посмотрели 35 миллионов человек, на монетизации в Интернете заработал чуть более 1 миллиона долларов. То есть в среднем, каждая из 40 серий принесла 750 000 рублей дополнительной прибыли благодаря Интернету. Эти цифры несопоставимы с прибылью от рекламы в телеэфире (с учетом стоимости минуты рекламы на СТС 14 000 000 рублей, каждая серия приносила 112 000 000 рублей). Говорить о победе Интернета над телевидением можно будет лишь тогда, когда стоимость рекламы в Интернете сравняется со стоимостью на телевидении. Такой момент настанет, когда в Интернете будет достаточное количество качественного профессионального контента, пользующегося спросом. В любом случае, СТС необходимо продолжать развивать монетизацию и в телеэфире и в Интернете, в том числе и благодаря приложениям для «Iphone», «SmartTV» и «Вконтакте». Тем самым, когда настанет точка невозврата, и телеканалы для стабилизации финансового положения будут судорожно искать пути взаимодействия с Интернет-аудиторией, у СТС уже будут и лояльная аудитория, и конкурентоспособный контент, и раскрученные площадки для его размещения, и устойчивые связи с рекламодателями.
По мнению гендиректора СТС Вячеслава Муругова, подавляющую часть стратегических решений, от которых будет зависеть дальнейшая деятельность канала, следует принимать на основании опыта и интуиции, поскольку на фоне растущей сегментации телерынка и усиления позиций Интернет-ресурсов математически спрогнозировать будущее канала и холдинга в целом. [69] Например, в 2006 году на волне успеха «Не родись красивой» рекламные возможности канала были проданы на год вперед, но, как было сказано ранее, доля канала упала, и ожидания рекламодателей не были оправданы. Тем не менее можно спрогнозировать методом экстраполяции чистую прибыль холдинга «СТС-Медиа», 80 % которой стабильно составляет прибыль от деятельности канала СТС, а именно его прайм-таймовой продукции.
Для того, чтобы спрогнозировать методом экстраполяции, сколько составит чистая прибыль холдинга «СТС-Медиа» в ближайшие несколько лет на основании данных за последние пять лет, ежегодно публикуемых холдингом, нам следует выполнить следующие действия:
1. Во-первых, сопоставить исходные данные: в 2010 году 100389, в 2011 145731, в 2012 53118, в 2013 году 93063, в 2014 году 111134 тысячи долларов. Необходимо каждому году присвоить порядковый номер: 2010 - 1, 2011 2, 2012 3, 2013 4, 2014 5 (рис. 3.1.):

Рис. 3.1. Изменение чистой прибыли холдинга «СТС-Медиа» в 2010-2014 гг. (тыс. долл.)
Анализ графика позволяет прийти к выводу, что общие условия, определяющие тенденцию изменения чистой прибыли холдинга «СТС-Медиа» в прошлом, не претерпевают существенных изменений в будущем. Поскольку канал стабильно следует формату и ежегодно добавляет новые проекты в сетку постепенно, кардинальным образом вещание не меняя. А резкие изменения в прибыли неизбежны, учитывая как много разных активов у компании, к тому же каналы зависят от рейтингов, которые могут поменяться в любую минуту, и даже лучшие телепродюсеры страны не могут со стопроцентной уверенностью говорить о будущих рейтингах.
Вид кривой свидетельствует о линейной зависимости переменных тенденция изменения чистой прибыли холдинга «СТС-Медиа» характеризуется аналитическим уравнением прямой. Таким образом, выполняются оба условия для возможности применения метода экстраполяции динамического (временного) ряда при выполнении прогноза о чистой прибыли холдинга «СТС-Медиа» на 2015 год.
2. Расчет параметров уравнения прямой.
Кривая объема продаж по годам близка к линейной зависимости, которая выражается уравнением прямой по формуле:
у=а+bх, (1)
где у- количество чистой прибыли холдинга «СТС-Медиа» (тыс. долл.);
х - порядковый номер года;
а - параметр, характеризующий влияние основных факторов на чистую прибыль холдинга «СТС-Медиа» (рейтинги канала, бюджет проектов канала и их рентабельность и др.);
b - параметр, характеризующий влияние вспомогательных факторов на чистую прибыль холдинга «СТС-Медиа» (моды, сезонности и др.).
Для нахождения параметров уравнения прямой необходимо составить и решить систему уравнений по формуле :
(2) [40, 54, 70]
Для решения системы уравнений необходимо провести дополнительные расчеты (табл. 3.1):
Таблица 3.1
Таблица для расчета параметров уравнения прямой
|
Порядковый номер года, х |
Чистая прибыль холдинга «СТС-Медиа», у (тыс. долл.) |
ху |
х2 |
|
1 |
2 |
3 |
4 |
|
1 |
100389 |
100389 |
1 |
|
2 |
145731 |
291462 |
4 |
|
3 |
53118 |
159354 |
9 |
|
4 |
93063 |
372252 |
16 |
|
5 |
111134 |
555670 |
25 |
|
Итого: 15 |
503435 |
1479127 |
55 |
На основе данных и таблицы 3.1 перейдем к прогнозу чистой прибыли холдинга на 2015-2016 гг.:
5a + 15b = 503435
15a + 55b = 1479127
a = 110040,4
b = -3117,8
у = 110040,4 - 3117,8х
у(2015) = 110040,4 - 3117,8*6 = 91333,6
у(2016) = 88215,8
Как показывают расчеты по методу экстраполяции, чистая прибыль холдинга сократится до 88215,8 тысяч долларов в 2016 году.
Для расчета прогнозируемой чистой прибыли холдинга «СТС-Медиа» в ближайшие несколько лет методом наименьших квадратов нам следует выполнить следующие действия:
1. Расчет параметров уравнения прямой.
Для удобства выполнения расчетов составим и заполним табл. 3.2.
Таблица 3.2
Таблица для расчета параметров уравнения прямой
|
Годы |
Условные обозначения периодов, х |
Х2 |
Чистая прибыль холдинга «СТС-Медиа» (тыс. долл), у |
Ух |
|
1 |
2 |
3 |
4 |
5 |
|
2010 |
-2 |
4 |
100389 |
-200778 |
|
2011 |
-1 |
1 |
145731 |
-145731 |
|
2012 |
0 |
0 |
53118 |
0 |
|
2013 |
1 |
1 |
93063 |
93063 |
|
2014 |
2 |
4 |
111134 |
222268 |
|
Итого |
0 |
10 |
503435 |
-31178 |
Рассмотрим детально данные из таблицы 3.2:
1.1. Столбец 4 содержит исходные данные: в 2010 году чистая прибыль «СТС-Медиа» составила 100389 тысячи долларов, в 2011 году 145731, в 2012 53118, в 2013 93063, а в 2014 году 111134 тысячи долларов.
1.2. Столбец 2 условные обозначения периодов, х.
Число уровней (значений) ряда динамики с 2010 до 2014 гг. содержит 5 уровней. При нечетном количестве, уровень, находящийся в середине ряда (2012 год), принимается за условное начало отсчета времени (этому периоду или моменту времени придается нулевое значение). Даты времени, стоящего выше этого уровня, обозначаются натуральными числами со знаком минус, например, 2011 году соответствует условное обозначение «-1», 2010 году- «-2»; а ниже - натуральными числами со знаком плюс, например, 2013 году соответствует условное обозначение «1», 2014 году «+2».
1.3. Заполнение столбца 3 осуществляется последовательным возведением в квадрат значений условных обозначений периодов х. В 2-ом примере для 2011 года: х = (-1) = 1. Требуется вычислить строку «Итого»: 10.
1.4. Столбец 1 содержит года, за которые идет учет уровня чистой прибыли холдинга «СТС-Медиа».
1.5. Заполнение столбца 5 осуществляется последовательным переумножением значений столбцов «Чистая прибыль холдинга «СТС-Медиа» (тыс. долл), У и «Условные обозначения периодов», Х (столбцы 4 и 2 соответственно). Допустим, для 2014 года:
у * Х = 111134*2 = 222268.
Требуется вычислить строку «Итого»: -31178.
1.6. Решая систему, для О-го варианта задания получаем следующие значения параметров уравнения прямой:
a = 503435/5 = 100687
b = -31178/10 = -3117,8
Зная значение параметров, получаем уравнение тренда уравнение прямой ряда динамики, характеризующего динамику изменения чистой прибыли холдинга «СТС-Медиа» с 2010 года по 2014 год:
^у= 100687 -3117,8х (3)
2. Используя уравнение прямой (формула 3), выполним прогноз чистой прибыли холдинга «СТС-Медиа» в 2015-2016 годах.
Прогноз: чистая прибыль холдинга «СТС-Медиа» в 2015 году по методу наименьших квадратов составит:
^y3 = 100687 -3117,8*3 = 91333,6 - в 2015 году
^y4= 88215,8 в 2016 году
Полученные методом наименьших квадратов и методом экстраполяции данные оказались полностью идентичными. Полученные данные, на наш взгляд, не отражают изменений в программной политике каналов (например, появление суперхитов в эфире других каналов и их влияние на рейтинги СТС), рост Интернет-площадок (на наш взгляд, доля прибыли портала «Videomore» в общем объеме полученных средств холдингом будет увеличиваться), а также политическую ситуацию в мире (например, из-за событий в Крыму и присутствия владельца банка «Россия» Юрия Ковальчука среди акционеров СТС акции компании в 2014 году подешевели на 36 %, по сравнению с 2013 годом). [58]
Таким образом, по данному параграфу можно сделать вывод: несмотря на то, что телевидение теряет свои позиции, у СТС есть все шансы остаться прибыльной компанией за счет постоянной работы по усилению позиций канала в Интернете, что отражает крепкое финансовое положение компании и ее стабильно высокую чистую прибыль.
3.2. Разработка дерева целей ЗАО «Сеть телевизионных станций»
На основе изученных данных можно приступить к разработке дерева целей телеканала СТС. Дерево целей это структурированная, распределенная по уровням совокупность целей экономической системы, программы, плана, в которой выделены генеральная цель («вершина дерева»); подчиненные ей подцели первого, второго и последующего уровней («ветви дерева»). [50] Название «дерево целей» связано с тем, что схематически представленная совокупность распределенных по уровням целей напоминает по виду перевернутое дерево. Дерево целей поможет нам выявить ключевые аспекты, из которых складывается успех телеканала СТС и понять, какие стороны следует доработать и усовершенствовать.
Основной задачей компании является удовлетворение потребностей населения в просмотре развлекательного телевизионного контента. На рис.3.2 представлено дерево целей.
Достижение генеральной цели - «Удовлетворение потребности населения в просмотре развлекательного телевизионного контента» - невозможно без решения двух важнейших задач:
1. Улучшение качества канала;
2. Лидерство в целевой аудитории мужчины и женщины от 10 до 45 лет.
Канал должен постоянно стремиться стать лучше, делать качественные изменения в своей деятельности и делать так, чтобы результаты этой деятельности были видны потребителю аудитории канала.
Второй уровень дерева целей описывает подходы к решению важнейших задач (рис 3.2):
Рис.3.2. Дерево целей ЗАО «Сеть телевизионных станций»
Как следует из рисунка 3.2, представленные подходы реализуются с помощью организационных и технических мероприятий.
Для решения первой задачи необходимы следующие подходы:
1.1. Применение креатива в создании проектов;
1.2. Создание актуальных проектов;
1.3. Задавание тенденций.
Чтобы достичь наивысшего уровня креативности, нужно произвести нижеперечисленные мероприятия:
1.1.1. Разработка свежих, оригинальных идей.
1.1.2. Использование необычных, нестандартных подходов.
1.1.3. Совмещение несовместимых вещей.
Чтобы завлечь молодого зрителя, который благодаря Интернету мог увидеть десятки самых разных проектов развлекательного формата, нужно удивить его прежде всего какой-то новой задумкой, в которой привычные вещи показаны с неожиданных ракурсов, и совмещены абсолютно несовместимые вещи. [64] Чтобы наши слова не казались излишне абстрактными, приведем опыт канала НТВ и его программы «Центральное телевидение», где друг с другом уживаются и политика, и журналистика, и скандалы из жизни звезд, и юмор то есть элементы, которые обычно существовали отдельно друг от друга.
Говоря о свежих идеях, нельзя забывать и о том, что каналу необходимо стремиться к повышению числа оригинальных форматов в эфире. Попробуем самостоятельно подсчитать оригинальных и покупных проектов в эфире канала (табл. 3.3):
Таблица 3.3
Покупные и оригинальные форматы, выходившие в эфир канала СТС в течение телесезона 2013-2014 (с 01.09.2013 по 01.09.2014)
|
Телепроект |
Оригинальность проекта |
|
1 |
2 |
|
6 кадров |
Оригинальный проект |
|
Большой вопрос |
Оригинальный проект |
|
Воронины |
Проект канала «CBS», США |
|
Восьмидесятые |
Оригинальный проект |
|
Выжить после |
Оригинальный проект |
|
Гав-стори |
Оригинальный проект |
|
Галилео |
Проект канала «ProSieben», Германия |
|
Даешь молодежь! |
Оригинальный проект |
|
Два отца и два сына |
Оригинальный проект |
|
Животный смех |
Проект канала «СТБ», Украина |
|
Корабль |
Проект канала «Antena 3», Испания |
|
Кино в деталях |
Оригинальный проект |
|
Кухня |
Оригинальный проект |
|
Ленинградский Stand Up |
Оригинальный проект |
|
Мастер Шеф |
Проект канала «FOX», США |
|
Молодежка |
Оригинальный проект |
|
Не может быть! |
Оригинальный проект |
|
Неформат |
Оригинальный проект |
Продолжение табл. 3.3
|
1 |
2 |
|
Последний из Магикян |
Оригинальный проект |
|
Рецепт на миллион |
Оригинальный проект |
|
Светофор |
Проект «2 канала», Израиль |
|
Снимите это немедленно! |
Проект канала «BBC», Великобритания |
|
Студенты |
Оригинальный проект |
|
Темный мир: Равновесие |
Оригинальный проект |
|
Успеть за 24 часа |
Оригинальный проект |
|
Хочу верить |
Оригинальный проект |
|
Шоу «Уральских пельменей» |
Оригинальный проект |
По данным таблицы 3.3, из 27 вышедших за год проектов только 7 проектов канала (26 %) основаны на заимствованных форматах. Контент канала в большей части оригинальные телеформаты. Более того, СТС активно участвует в продаже форматов за рубеж. Так, например, формат сериала «Кухня» был продан каналу «CBS», формат ситкома «Папины дочки» был приобретен немецким каналом «Das Vierte», а американский Интернет-портал «Hulu» купил права на показ сериалов «Кухня», «Молодежка», «Метод Лавровой» и «Ранетки».
Для повышения уровня актуальности нужно:
1.2.1. Добавлять в сериалы шутки про недавние события.
1.2.2. Современность главных героев.
1.2.3. Отражение духа времени.
Если зритель видит в сериале или программе элементы, которые соответствуют тому, что происходит в жизни, он начинает верить в происходящее, ассоциировать себя с героями и становится поклонником проекта [7, 29], тем самым становится целевой аудиторией, и канал должен менять проект в соответствии с тем, как меняется целевая аудитория.
Чтобы задавать тенденции, нужно соблюдать два действия:
1.3.1. Харизматичные персонажи.
1.3.2. Блестящие диалоги.
Если в сериале яркий персонаж, у которого каждая фраза заставляет зрителя смеяться, то этот персонаж станет любимцем публики и будет задавать тренды. Обратимся к опыту американских коллег: «Доктор Хаус» стал настолько любим публикой, что люди стали копировать манеру поведения главного героя, его стиль одежды, хотя прежде вести себя подобным образом в обществе считалось стыдно. [66]
Вторая задача решается в рамках нижеперечисленных подходов:
2.1. Разнообразие проектов для разных сегментов целевой аудитории.
2.2. Создание уникальности предложения.
2.3. Поддержание и увеличение уровня популярности в целом.
Для того, чтобы разнообразить эфир, нужно произвести следующие мероприятия:
2.1.1. Программы для детей.
2.1.2. Программы для масс.
2.1.3. Программы для интеллектуальной аудитории.
Аудитория «все зрители 10-45 лет» весьма широка, в ней разные слои населения с разными уровнями образования, и потому эфир должен быть разнообразным. Для детей есть «Супер Макс», «Веселое Диноутро», массам будут по нраву «Воронины», «Молодежка», «Уральские пельмени», а для интеллектуалов в ночном эфире СТС есть «Большой вопрос» с Василием Уткиным, «Кино в деталях» с Федором Бондарчуком и «Хочу верить» с Борисом Корчевниковым.
Для создания уникального предложения потребуются:
2.2.1. Лица канала.
2.2.2. Контент.
2.2.3. Фирменный стиль.
Лица канала, весело улыбающиеся нам с плакатов и с экранов телевизоров во время показа промороликов, - это те, с кем мы канал олицетворяем. Придут другие лица, и канал станет немного другим. И лица канала, и программы, и фирменный стиль должны создавать у зрителя ощущение, что это нечто уникальное и выдающееся, и что на других каналах этих ведущих, эти сериалы и эти заставки они не увидят. [63] С недавних пор СТС практикует появление актеров класса «А» на главную роль в сериалы: в «Кухне» солирует Дмитрий Назаров, в «Неформате» Гоша Куценко, а в сериале «Два отца и два сына» Дмитрий Нагиев. По мнению генерального директора СТС Вячеслава Муругова, оптимальный вариант для актеров СТС возможен тогда, когда актер участвует только в один проекте и только с ним ассоциируется. Исключение составляет лишь Дмитрий Нагиев, который успевает сниматься не только в сериалах СТС «Два отца и два сына» и «Кухня», но и у конкурентов, играя центрального персонажа в «Физруке» на ТНТ и ведя шоу «Голос» на «Первом канале».
Для того, чтобы сохранять и приумножать популярность, должны контролироваться:
2.3.1. Рейтинги канала на ТВ.
2.3.2. Количество аудитории в Интернет-порталах и в социальных сетях.
2.3.3. Узнаваемость бренда.
Главными для канала в этом вопросе являются, конечно, рейтинги. СТС должен изучать рейтинги программ и тем самым учиться на ошибках, убирать недостатки и улучшать достоинства. Как известно, на телевидении нет постоянного успеха, та программа, которая сегодня была лидером, уже завтра может провалиться, потому что на другом канале выйдет какой-нибудь новый фильм или ток-шоу или важное спортивное мероприятие, либо просто по причине того, что продюсеры не заметили падения уровня проекта. Поэтому нужно постоянно изучать мнение аудитории, в том числе и тех, кто телевизор не смотрит, но интересуется продукцией канала в Интернете, зачастую и в социальных сетях можно найти конструктивную критику. И, конечно, бренд канала должен быть узнаваемым. Реклама на улицах, в метро, на радио, в Интернете и, конечно же, сарафанное радио должны увеличивать аудиторию канала. [21, 61] Все мы понимаем, что если разместить на улице рекламу канала, это не значит, что все, кто на этой улице живет, будут смотреть СТС. Так не бывает. Но те, кто интересуется развлекательным телевидением и юмором, рекламу заметят и включат канал, и дальше уже должен работать такие залоги успеха, как креатив, актуальность, которые мы уже упоминали в этой главе.
Чтобы не быть голословными, нужно четко понимать, что такое рейтинги и как они считаются, и зачем они нужны. На самом деле всё очень просто. [20, 27]
Доля - это процент от смотрящих данный телеканал к общему количеству телезрителей, сидящих в эту минуту у телевизоров.
Рейтинг - это процент от смотрящих данный телеканал к общему количеству всех телезрителей.
Например: в городе - 1000 человек, которые смотрят телевизор и которых можно назвать телезрителями. В данный момент, в самый что ни на есть прайм-тайм, у телеэкранов в блаженном оцепенении застыли 400 человек. Допустим, они смотрят четыре более-менее равноценных канала «А», «В», «С» и «D», и количество поклонников у этих телеканалов примерно одинаково - по 100 человек. Вот и таким образом доля каждого телеканала равна 100/400 = 25% (сейчас его смотрит каждый 4-й сидящий у телевизора). Рейтинг же каждого телеканала составляет
100/1000 = 10% (сейчас его смотрит каждый 10-й житель города).
Вот и таким образом, фраза в рекламном блоке телеканала «А», если исходить из фактических данных, должна звучать так: «нас смотрит каждый 10-й житель города». Но выглядит это вроде как не слишком впечатляюще (хотя на самом деле это очень высокий показатель!), поэтому телеканал «А» и заявляет: «Наша доля - 25%» (и это - правда) и «нас смотрит каждый 4-й житель города» (а вот это, как мы видим, совершенно не соответствует действительности).
Более того, очень важно, в какой момент времени была посчитана эта доля. Допустим, уже наступила полночь, и количество сидящих у телеэкранов заметно поубавилось. Теперь их уже не 400, а 80 человек. Но они по-прежнему продолжают смотреть, примерно в том же равном соотношении, всё те же четыре телеканала, т.е. на каждый телеканал приходится по 20 человек. Это значит, что доля каждого телеканала равна
20/80 = 25%. Всё те же 25%! Но рейтинг каждого телеканала, разумеется, гораздо ниже и равен 20/1000 = 2%.
Сосчитаем, сколько стоит реклама на ТВ на СТС. Пункт рейтинга на СТС один из самых дорогих среди всех телеканалов 900 долларов в одном регионе. СТС вещает в 180 городах России. Умножаем 900 на 180. Получается 162 тысячи долларов. Теперь вспомним, что у канала была среднесуточная доля 5.8 и рейтинг 3. Умножаем 162 тысячи на 3 (нас интересует не доля, а пункт рейтинга). Получаем 486 тысяч долларов. То есть минута рекламы на СТС стоит 14,5 миллионов рублей. На первый взгляд, такое положение вещей может показаться странным. Ведь у «Первого канала» доля 14.3, а не 5.8, как у СТС. И на «Первом канале» минута рекламы в прайм-тайм стоит всего лишь 8,5 миллионов рублей. Объясняем, почему так. Дело не столько в количестве аудитории, а в ее качестве. Самая дорогая аудитория мужчины и женщины от 14 до 45 лет. Именно на них рассчитана размещаемая в эфире реклама, именно они являются потенциальными покупателями товаров.
Зная стоимость рекламы на СТС, следует выяснить, сколько в среднем канал зарабатывает на выпускаемом в эфир контенте. Для этого составим смету среднестатистического однокамерного ситкома (т.е. снимающегося по кинотехнологии комедийного сериала) с расчетом 6 съемочных дней на одну серию [37] (табл. 3.4.):
Таблица 3.4
Расчет затрат на съемки одной серии телевизионного комедийного сериала
|
№ |
Статья затрат |
Сумма, руб. |
|
1 |
2 |
3 |
|
1. |
Авторские и смежные права |
|
|
Литературный сценарий |
100000 |
|
|
Музыка |
70000 |
|
|
Итого по 1 разделу: |
170000 |
Продолжение табл. 3.4
|
1 |
2 |
3 |
|
2. |
Затраты на оплату труда |
|
|
Режиссерская группа |
1305000 |
|
|
Операторская группа |
513810 |
|
|
Художники и ассистенты |
765000 |
|
|
Звукооператоры, звукорежиссеры и ассистенты |
270000 |
|
|
Актеры первого и второго плана |
750000 |
|
|
Массовка и групповка |
35000 |
|
|
Группа post-production |
15000 |
|
|
Административная группа |
300000 |
|
|
Производственные рабочие |
40000 |
|
|
Музыкальное оформление |
267000 |
|
|
Буфетчица |
9000 |
|
|
Итого по 2 разделу: |
4269810 |
|
|
3. |
Отчисления на социальные нужды |
1285213 |
|
4. |
Материальные затраты |
90000 |
|
5. |
Аренда павильонов, постройка и оформление декораций |
1980000 |
|
Реквизит |
96000 |
|
|
Съемочное оборудование (Alexa) |
90000 |
|
|
Костюмы, обувь, пастиж |
300000 |
|
|
Автотранспорт |
60000 |
|
|
Монтажно-тонировочные работы |
350000 |
|
|
Итого по 5 разделу: |
2876000 |
|
|
6 |
Прочие прямые расходы (Интернет, мобильная связь) |
15000 |
|
7 |
Итого |
8706023 |
Как видно из таблицы 3.4, затраты на создание одной серии составят более 8 миллионов рублей. С учетом того, что за полчаса канал показывает 4 минуты рекламы, то есть получая 58 миллионов рублей, выходит 50 миллионов рублей прибыли. Однако, нельзя забывать, что каждый канал, в том числе СТС инвестирует средства в пилотные серии проектов то есть пробные эпизоды сериалов и шоу, которые будут показаны фокус-группам, и на основании их мнений либо «пилот» будет доведен до ума и совершенствован, либо проект будет закрыт. В среднем, из 100 «пилотов» только 20 доживают до эфира. [59, 76, 80]
Таким образом, в данном параграфе нами было разработано дерево целей канала СТС, которое может служить наглядной иллюстрацией для разработки путей усиления позиций канала и выводы его на лидирующие позиции. Каналу СТС необходимо добавлять максимум креатива в новые проекты, акцентировать внимание на актуальных (но не политических) событиях, задавать новые тенденции, предлагать зрителю проекты для разных сегментов целевой аудитории «все 10-45 лет» и поддерживать уровень рейтингов канала.
3.3. Пути совершенствования стратегии ЗАО «Сеть телевизионных станций»
На основе разработанного нами прогноза развития телеканала СТС можно приступить к разработке путей совершенствования стратегии канала, чтобы усилить позиции канала в Интернете и завоевать лидерские позиции в аудитории «мужчины и женщины 10-45 лет».
В первую очередь, следует расширить прайм-таймовую линейку канала. В настоящее время, прайм-тайм канала выглядит следующим образом: с 20-00 до 21-00 выходят получасовые комедийные сериалы (свежая серия в 20-30, повтор предыдущей в 20-00), в 21-00 выходят сериалы жанра «драмеди» (с повтором предыдущей серии в 19-00), в 22-00 начинается кино, по окончании которого показывают нарезки скетчей программы «6 кадров». В тех случаях, когда сериал проваливается (как, например, стартовавший в начале марта 2014 года сериал «Неформат»), он убирается из эфира, а дыру в эфирной сетке закрывают повторами «6 кадров» и «Ворониных». То есть, зрителю показывают 1,5 часа премьерного сериального контента в прайм-тайм. Но, как показывают исследования зрительской аудитории, зритель способен проводить перед экраном телевизора больше времени 2,5 часа, с учетом того, что ему будет представлено не более 3 разных телепроектов. Учитывая тот факт, что кино перестало быть уникальным предложением для аудитории канала и уже не приносит таких же высоких рейтинговых показателей, как пять лет назад, его можно было бы заменить в сетке на приключенческие, фантастические и мистические сериалы, которые смогут благодаря качеству съемки, оригинальности идеи и разножанровости конкурировать с «ТНТ-комедиями». Показанный в ноябре 2013 года фантастический сериал «Выжить после» (в тайм-слоте «понедельник-четверг, 22:00-00:00») в среднем собирал на 5 % аудитории больше, чем обычно собирает голливудское кино. На наш взгляд, замена кино на оригинальные сериалы будет эффективной, особенно с учетом ужесточения политики студий-мейджоров в отношении продажи прав на пакетный показ фильмов. Стоимость одного эпизода сериала, снятого в кинокачестве, в среднем составляет 500-600 тысяч долларов (20-24 миллиона рублей). При стоимости минуты рекламы 14,5 миллионов рублей в прайм-тайм сериалы должны принести прибыль уже при первом показе. Однако, если доля аудитории сериала будет ниже среднесуточной, сериал придется убрать из прайм-тайма. Как упоминалось ранее, для минимизации рисков каждый проект на стадии «пилота» должен будет пройти испытание фокус-группой. Данный объем работ следует поручить директору департамента производства сериалов СТС. Весь период от разработки сериала до выхода финальной версии в эфир займет от одного до трех лет.
Во-вторых, дополнительный доход каналу может принести производство фильмов для кинопроката, продолжающих сюжет наиболее рейтинговых сериалов канала. Известно, что адаптировать хиты СТС в формат полного метра руководители канала собирались с середины 2000-х годов, однако, обещанные киноверсии «Моей прекрасной няни», «Кадетства» и «Папиных дочек» так и не вышли по причине того, что к моменту подготовки проекта к съемкам выше указанные форматы изжили себя в телевизионном эфире. На наш взгляд, помимо вышедшего в мае 2014 года и собравшего в российском прокате более 14 миллионов долларов фильма «Кухня в Париже» (продолжение сериала «Кухня») такие проекты как «Молодежка» и «Закрытая школа» тоже могли бы удачно подойти для показа в кино. При съемке фильмов за 1,5-2 миллиона долларов и при максимальном использовании ресурсов «СТС-Медиа» для продвижения фильма вполне можно было бы получить итоговые кассовые сборы в размере 8-10 миллионов долларов и впоследствии продолжить монетизацию данных фильмов как в Интернете, продавая возможность просмотра онлайн, так и в телевизионном эфире, за счет неоднократного повтора. Процесс съемки полнометражного фильма по мотивам сериала-хита следует поручить компании-производителю, от канала производство фильма будет контролировать линейный продюсер департамента производства сериалов канала. Процесс создания фильма по времени занимает в среднем на полгода большее время, чем создание киносериала, то есть от полутора до трех с половиной лет.
В-третьих, следует поддерживать тех кинопроизводителей, аудитории проектов которых психографически совпадают с аудиторией СТС, как например, комедии студии «Enjoy Movies» («Легок на помине», «Мамы»), мультфильмы студии «СТВ» («Иван Царевич и Серый Волк», «Алеша Попович и Тугарин Змей»), фантастические фильмы компании «Базелевс» («Черная молния», «Дневной дозор»). Причем можно присоединяться к проекту как на стадии продвижения фильма, в обмен на рекламное время в эфире канала получая долю от прокатных сборов фильма, права на первый показ фильма в телевизионном эфире, так и участвуя в непосредственном создании фильма и обеспечивая ему всестороннюю финансовую и информационную поддержку в обмен на переход прав на фильм в библиотеку канала. Данные виды работ необходимо поручить программному директору канала, директору по маркетингу СТС и заместителю генерального директора холдинга «СТС-Медиа» по приобретению прав на контент.
В-четвертых, следует решить проблему наполнения дневного эфира канала. Как мы ранее писали, тематические каналы переманивают аудиторию за счет выпуска премьер в дневное время, а лояльный зритель СТС рано или поздно перестанет по 6 часов подряд смотреть повторы сериала «Воронины». В 1990-е и 2000-е годы дневной эфир заполнялся показом американских мультфильмов и молодежных сериалов. Эти две ниши уже заняли канал «2х2» и Интернет-порталы. Предпринятая же в сентябре 2012 года попытка заполнить дневной эфир повторами миниатюр КВН («КВН на бис»), любительскими видео с юмористическими комментариями («Животный смех») и сериалами других каналов («Карамель», ТВ-3) успехом не увенчалась. При учете того, что минута рекламы на канале в дневное время стоит примерно два миллиона рублей, то доход от часового эфира трансляции днем принесет 500 000 долларов. В связи с этим мы бы рекомендовали каналу начать производство дневных комедийных сериалов с бюджетом 100 000 долларов за получасовой эпизод. В свое время за такие деньги снимались вечерние ситкомы с закадровым смехом («Папины дочки», «Моя прекрасная няня»), но усиление конкуренции с со стороны ТНТ, начавшего снимать сериалы в кинокачестве (однокамерная съемка, камера «Red», натурные площадки, цветокоррекция изображения, приглашение актеров первой величины) заставило СТС производить контент, который бы соответствовал той планке, которую подняли ТНТ. Зато для дневного эфира недорогие и более простые и быстрые в производстве ситкомы могли бы оказаться весьма кстати. Производство подобных недорогих телепродуктов должно осуществляться под контролем директора департамента по производству сериалов. Весь цикл создания проекта от разработки до съемки займет не более года. В среднем, на создание одной серии (написание сценария, съемки и монтаж) уйдет 3-4 дня.
В-пятых, возможности канала расширило бы вертикальное программирование сериалов: показ эпизода сериала строго раз в неделю в конкретный день недели, как в США и Великобритании, позволит производить более качественный прайм-таймовый продукт благодаря уменьшению количества эпизодов (до 20 в год) и возможности снимать новую серию еженедельно, реагируя на реакцию публики. Позитивный опыт ТНТ с вертикальным показом сериалов «Интерны» и «Моими глазами» в 2013 году можно применить и на СТС, например, поставив сериалы в сетке в субботнем эфире после стабильно рейтинговых «Уральских пельменей» вместо киносеанса в 21-00. Экспериментировать с вертикальным программированием в будни не стоит, поскольку опыт «Первого канала» с показом сериала «Побег» удачных результатов не принес. Правильно составить эфирную сетку следует поручить программному директору СТС. Как правило, сетка вещания для праймовых проектов составляется на год вперед в режиме полной секретности (информация о дате эфира оказывается в открытом доступе за 2-3 недели до эфира, чтобы у конкурентов не было возможности заняться контрпрограммированием) в отличие от утреннего и дневного эфира, которые корректируются по мере необходимости.
В-шестых, следует перевести канал в HD-формат вещания с разрешением кадра 16:9 и при этом выкладывать свежие и архивные эпизоды сериалов в Интернет в HD-качестве. Рост популярности домашних кинотеатров и плазменных панелей среди платежеспособной аудитории должен учитываться каналом СТС.
В-седьмых, мы рекомендуем СТС создать оригинальный платный контент в Интернете. На волне успеха американского портала «Netflix», первым начавшим выпускать премьерные сериалы в платном режиме («Лиллехаммер», «Карточный домик») можно попробовать повторить данный трюк в рамках портала «Videomore», предложив зрителям первый эпизод посмотреть бесплатно, а следующие за деньги. В таком случае, качество съемки сериала и его драматургии должно быть максимальным, чтобы заставить аудиторию, привыкшую скачивать сериалы бесплатно с торрент-трекеров, платить за достойный контент. В случае провала эксперимента затраты на сериал можно будет возместить, показав сериал традиционным способом в телевизионном эфире. Для того, чтобы окупить сериал стоимостью 400 000 $ за серию, продавая возможность просмотра серии за 50 рублей, выйти в ноль удастся, собрав 280 000 просмотров. С учетом того, что отдельные хиты СТС, как «Молодежка» собирают в Интернете до 35 000 000 просмотров, то вполне вероятно, из числа этих людей 0,8 % из них готовы платить за качественный контент. Производства контента следует поручить директору департамента производства сериалов СТС, а их выпуск в сети Интернет директору департамента трансмедиа «СТС-Медиа».
В-восьмых, завоевать лидерство в Интернете невозможно, если не замечать успехи ведущих Интернет-блоггеров и не привлекать их в качестве сценаристов, креативных продюсеров и ведущих в качестве новых Интернет-проектов «СТС-Медиа». На наш взгляд, блоги в Интернете в скором времени могут усиливать влияние на телеэкран и сместить КВН с лидерской позиции по созданию новых креативных кадров для ТВ. Поиск творческих единиц в сети Интернет следует возложить на департамент трансмедиа «СТС-Медиа», а введение и обучение их в курс дела креативным продюсерам СТС.
В-девятых, мы считаем, что те средства, которые канал активно направляет на наружную рекламу (так, например, реклама в вагоне московского метро в течение месяца может стоит от 20 до 40 тысяч рублей), можно направить на рекламу в социальных сетях: «Twitter», «Facebook» и, особенно, «ВКонтакте», так как создавая группы новых проектов, можно ускорить действие сарафанного радио и повысить популярность проекта мгновенно за счет размещения в группе свежих эпизодов сериала. Данный вид работ следует поручить директору по маркетингу СТС.
В-десятых, с учетом роста конкуренции, постоянной нехватки профессиональных креативных и административных кадров и профессиональной непригодности выпускников специализированных творческих вузов, было бы разумно открыть при каком-либо из киновузов платное специальное отделение «Школа СТС», в которой студентов будут обучать ведущие специалисты СТС сценаристы, режиссеры, продюсеры основам создания развлекательных форматов (ситкомы, драмеди, скетчкомы) и давать им возможность сразу же применять полученные навыки, работая на проектах канала. Тем самым, будет не только решена проблема с поиском новых талантливых специалистов, способных удовлетворять растущие потребности зрителей СТС, но и проблема безработицы выпускников ВГИКа и СПбГУКиТ. Создание проекта «Школа СТС» следует поручить наиболее компетентному в вопросах производства контента и создания творческих кадров специалисту генеральному продюсеру «СТС Медиа» Вячеславу Муругову. Процесс создания «Школы» может занять более двух лет, а обучение кадров не менее пяти лет.
Таким образом, в данном параграфе нами был предложен прогноз развития деятельности СТС, согласно которому роль Интернета усилится и телеканалу придется расширять способы взаимодействия с аудиторией «Всемирной паутины», а также были разработаны десять идей для совершенствования деятельности СТС, которые помогут каналу прогрессировать и динамично развиваться, оставаясь интересным и ярким брендом для аудитории канала как на ТВ, так и в Интернете и на экранах кинотеатров.
Таким образом, в данной главе мы разработали стратегию ЗАО «Сеть телевизионных станций». Каналу СТС необходимо добавлять максимум креатива в новые проекты, акцентировать внимание на актуальных (но не политических) событиях, задавать новые тенденции, предлагать зрителю проекты для разных сегментов целевой аудитории «все 10-45 лет» и поддерживать уровень рейтингов канала. Также для совершенствования стратегии каналу необходимо расширить прайм-таймовую линейку канала, заменив киносеанс в 22-00 на высокобюджетные сериалы востребованных аудиторией жанров, производить фильмы для кинопроката, преимущественно по мотивам наиболее рейтинговых проектов канала; поддерживать лидирующие кинокомпании-производители развлекательного кино как финансово, так и обеспечивая эфирное время для рекламы их новинок в обмен на долю от проката, права на телевизионный показ и монетизацию в Интернете; внедрить вертикальное программирование сериалов в эфир выходного дня и перевести канал в HD-формат и широкоэкранный режим изображения.
Заключение
Стратегическое планирование имеет большое значение так как, это, сравнительно молодое, перспективное и необходимое в бизнесе направление, активно используемое в странах Запада, как база ведения управленческих процессов в организации в условиях рынка. Это направление, постепенно вводимое в России, получило признание во всем деловом мире. А это значит, что, изучая его, менеджеры смогут качественнее работать на рынке, правильно оценивая ситуацию и предпринимая необходимые для организации шаги.
В рамках данной курсовой работы решены все поставленные цели:
1) дано понятие стратегического управления предприятием;
2) рассмотрена сущность стратегического менеджмента, а также предмет, объект и его структура;
3) представлены основные положения по разработке и реализации стратегии.
В параграфе 1.1 «Сущность стратегического планирования и его ключевые понятия» мы выясняли, что стратегия это определение ключевых долгосрочных целей и задач фирмы и выявление направления действий и распределения ресурсов, которые необходимы для достижения данных целей. Стратегическое планирование это непрерывный процесс, состоящий из последовательных действий: формулирование стратегии, стратегическое планирование, реализация, пересмотр и коррекция стратегии.
В параграфе 1.2 «Порядок разработки и реализации стратегического плана предприятия» мы узнали, что процесс определения стратегии включает в формулирование миссии, целей, анализ внутренней и внешней среды организации для раскрытия ее внутренних сильных и слабых сторон и внешних возможностей и угроз, сканирование текущих стратегий в целях определения их уместности в рамках анализа внутренней и внешней ситуаций, необходимо для выявления уровня разрыва между требуемым состоянием организации и тем, которого компания способна достичь без внесения каких-либо изменений.
В параграфе 1.3 «Инструменты стратегического анализа» мы выясняли, что в рыночных условиях определение типа телеканала является первичным уже на этапе формирования проекта с учетом проекции программирования его сетки вещания, где приоритет отдается определенной тематике программных продуктов.
В параграфе 2.1 «Анализ деятельности ЗАО «Сеть телевизионных станций» мы узнали, что телеканал СТС, завоевавший доверие части зрительской аудитории в 1990-х годах, достиг пика популярности в 2005 году за счет ряда рейтинговых проектов собственного производства («Моя прекрасная няня», «Не родись красивой»), однако, избыточное количество молодежных сериалов в эфире и рост аудитории телеканала ТНТ, ставшего конкурентом СТС, сместили канал СТС с лидерских позиций.
В параграфе 2.2 «Анализ текущего положения дел в ЗАО «Сеть телевизионных станций» мы выясняли, что ЗАО «Сеть телевизионных станций», несмотря на падение рейтингов СТС, продолжает оставаться прибыльной компанией, что во многом связано благодаря коммерческой привлекательности в глазах рекламодателей, что отражаться в высоком уровне монетизации эфирной сетки канала.
В параграфе 2.3 «Анализ факторного воздействия на ЗАО «Сеть телевизионных станций» мы выяснили, что канал вынужден бороться не только с каналами-конкурентами «Первым каналом» и ТНТ, но и с нестабильной политической ситуацией, которая косвенным образом повлияла на снижение капитализации компании.
В параграфе 3.1 «Прогноз развития деятельности ЗАО «Сеть телевизионных станций» мы узнали, что несмотря на то, что телевидение теряет свои позиции, у СТС есть все шансы остаться прибыльной компанией за счет постоянной работы по усилению позиций канала в Интернете, что отражает крепкое финансовое положение компании и ее стабильно высокую чистую прибыль.
В параграфе 3.2 «Разработка дерева целей ЗАО «Сеть телевизионных станций» нами было предположено, что каналу СТС необходимо добавлять максимум креатива в новые проекты, акцентировать внимание на актуальных (но не политических) событиях, задавать новые тенденции, предлагать зрителю проекты для разных сегментов целевой аудитории «все 10-45 лет» и поддерживать уровень рейтингов канала.
В параграфе 3.3 «Пути совершенствования стратегии ЗАО «Сеть телевизионных станций» нами был предложен прогноз развития деятельности СТС, согласно которому роль Интернета усилится и телеканалу придется расширять способы взаимодействия с аудиторией «Всемирной паутины», а также были разработаны десять идей для совершенствования деятельности СТС, которые помогут каналу прогрессировать и динамично развиваться, оставаясь интересным и ярким брендом для аудитории канала как на ТВ, так и в Интернете и на экранах кинотеатров:
Расширить прайм-таймовую линейку канала, заменив киносеанс в 22-00 на высокобюджетные сериалы востребованных аудиторией жанров.
Производить фильмы для кинопроката, преимущественно по мотивам наиболее рейтинговых проектов канала.
Поддерживать лидирующие кинокомпании-производители развлекательного кино как финансово, так и обеспечивая эфирное время для рекламы их новинок в обмен на долю от проката, права на телевизионный показ и монетизацию в Интернете.
Начать производство дневных ситкомов и драмеди стоимостью не более 100 000 $ за эпизод с целью выдерживать конкуренцию с тематическими каналами.
Внедрить вертикальное программирование сериалов в эфир выходного дня.
Перевести канал в HD-формат и широкоэкранный режим изображения.
Начать производство сериалов для Интернета, стоимостью 400 000 $ за эпизод, и продавать их на портале «Videomore» по цене 50 рублей за просмотр серии. Если желающих смотреть сериал будет более 280 000, проект можно счтитать успешным.
Привлекать Интернет-блоггеров к креативному участию в работе канала.
Сделать уклон на рекламу в социальных сетях.
Открыть «Школу СТС» для обучения и практики новых специалистов канала.
Стратегическое планирование это сложный и трудоемкий процесс, объединяющий в себе все существующие ресурсы компании. Важно не только спланировать развитие компании, но и суметь применить предложенные мероприятия к существующему предприятию, а также проконтролировать их выполнение.
Библиография
- Chandler A.D. Strategy and Structure: Chapters in the History of the Industrial Enterprise. MIT Press: Cambridge, 1962. 472 p.
- Dess G.G., Miller A. Strategic Management. New York: McGraw-Hill, Inc., 1973 216 p.
- Азоев Г.Л. Конкуренция: анализ, стратегия и практика. М.: Е & М, 1996. 556 с.
- Акофф Р. Планирование будущего корпорации. М.: Прогресс, 1985. - 234 с.
- Алексунин В.А. Маркетинг. М.: Экономика, 2008 215 с.
- Ансофф И. Стратегический менеджмент: Классическое издание - СПб.: Питер, 2009. 344 с.
- Беньямин В. Учение о подобии. Медиаэстетические произведения. М.: РГГУ, 2012. 288 с.
- Бернс Т. Инновационный менеджмент. М.: Вильямс, 2003. 642 с.
- Бородин В. А. Стратегия управления инновационной фирмой. Новосибирск: ЭКО, 1996. 242 с.
- Боумен К. Основы стратегического менеджмента. М.: Юнити, 1997. 411 с.
- Вартанов А.С. Российское телевидение на рубеже веков. Программы, проблемы, лица. М.: КДУ, 2009. 480 с.
- Веснин В.Р. Основы менеджмента. Учебник М.: Триада, 2000. 114 с.
- Веснин В.Р., Кафидов В.В. Стратегическое управление. СПб.: Питер, 2009. 256 с.
- Винокуров В.В. Организация стратегического управления на предприятии. М.: Центр экономики и маркетинга, 1996. 195 с.
- Виханский О. С. Стратегическое управление. М.: Гардарика, 1988. 296 с.
- Владимирова Л.П. Прогнозирование и планирование в условиях рынка. Учебное пособие. М.: Эксмо, 2001. 256 с.
- Глин Дж., Маркова В., Перкинс Д. Стратегия бизнеса. Новосибирск: ИЭиОПП СО РАН, 1996. 447 с.
- Градов А.П. Экономическая стратегия фирмы. СПб: Специальная литература, 2003. 960 с.
- Данилов П.В. Принципы функционирования систем продюсирования. СПб.: СПбГУКиТ, 2009. 78 с.
- Данилов П.В., Тютрюмов А.А. Сравнительный анализ развития рынка телевизионной рекламы // Петербургский экономический журнал. 2013. № 1 (1). С. 61-64.
- Дашевская Н.С., Клейникова Е.А. Методы стратегического планирования (зарубежный опыт). М.: Эксмо, 1992. 317 с.
- Евменов А.Д., Данилов П.В., Какосьян Э.К. Организация производства на предприятиях социально-культурной сферы (в кинематографии и на телевидении): Учебное пособие. СПб.: СПбГУКиТ, 2009. 97 с.
- Евменов А.Д., Курочкина А.А. Управление маркетингом услуг телекомпаний: Учебное пособие - СПб.: СПбГУКиТ, 2000. - 75 с.
- Евменов А.Д., Смирнов А.Ю. Маркетинг и экономика телекомпаний: Учебное пособие - СПб.: СПбГУКиТ, 2002. - 525 с.
- Ефремов В. С. Стратегия бизнеса. М.: Финпресс, 1998. 724 с.
- Завьялов П.С. Маркетинг в схемах, рисунках, таблицах: учебное пособие. М.: ИНФРА-М, 2006. 496 с.
- Зайцева А.Н. Менеджмент в социально-культурном сервисе и туризме. М.: Академия, 2006. 425 с.
- Захаров С.М., Добренькова И.А. Анализ рейтинговых показателей телевизионных каналов СТС и ТНТ в 2014 г. // Молодой ученый. 2015. № 15 (95). С. 372-375.
- Захаров С.М., Добренькова И.А. Монетизация контента в Интернете и усиление коммуникации с телевизионной аудиторией // Правовые и социально-экономические аспекты молодежной политики в современной России: Материалы IX Межвузовской научно-практической конференции. Санкт-Петербург, 24-25 апреля 2014 г. М.: Изд-во СГУ, 2014. С. 107-109.
- Захаров С.М., Хачатрян А.Г. Влияние глобализации на российское телевидение // Молодой ученый. 2015. № 13 (93). С. 763-766.
- Ильченко С.Н. Отечественное телевещание постсоветского периода. История, проблемы, перспективы. М.: ИВЭСЭП, 2008. 182 с.
- Исследование процессов сегментации потребителей услуг в сфере шоу-бизнеса // Проблемы управления развитием социально-экономических систем. Сборник научных трудов. СПб.: СПбГУКиТ, 2007. 99 с.
- Карлоф Б. Деловая стратегия. М.: Экономика, 1991. - 219 с.
- Кокарев И.Е. Кино как бизнес и политика. М.: Аспект Пресс, 2009. 344 с.
- Кузык Б.Н. Прогнозирование и стратегическое планирование социально экономического развития. - М.: Экономика, 2006. 299 с.
- Ламбен Ж-Ж. Стратегический маркетинг: Пер. с фр. М.: Наука, 1996. 590 с.
- Лапыгин Ю.Н., Лапыгин Д.Ю. Стратегический менеджмент: учебное пособие. М.: Эксмо, 2010. 432 с.
- Литвак Б.Г. Управленческие решения. Учебное пособие М.: ЭКМОС, 2001. 198 с.
- Маркетинг шоу-бизнеса // Маркетинговые исследования товарных рынков. Под ред. Г.Л. Багиева, В.В. Томилова. СПб.: СПбГУЭФ, 1998. 205 с.
- Маркетинговые особенности деятельности организаций в сфере шоу-бизнеса // Проблемы управления развитием социально-экономических систем. Сборник научных трудов. СПб.: СПбГУКиТ, 1999. 264 с.
- Минцберг Г., Альстрэнд Б., Лэмпел Дж. Школы стратегий. - СПб: Питер, 2001. 336 с.
- Огурчиков П.А. Мастерство продюсера кино и телевидения. М.: Юнити, 2007. 864 с.
- Океанова З.К. Маркетинг. М.: Проспект, 2007. 243 с.
- Падейский В.В. Проектирование телепрограмм: Учеб. пособие для студентов вузов. М.: ЮНИТИ-ДАНА, 2004. 488 с.
- Писарева О.М. Базовые методы прогнозирования: Учебное пособие. - М.: Эксмо, 2005. - 416 с.
- Почепцов Г.Г. Информационно-психологическая война. М.: Синтег, 2000. 180 с.
- Разработка комплекса маркетинга в сфере бизнеса // Проблемы управления развитием социально-экономических систем. Сборник научных трудов. СПб.: СПбГУКиТ, 2006. 116 с.
- Рапопорт В.Ш. Диагностика управления: практический опыт и рекомендации. М.: Экономика, 1988. 221 с.
- Рашкофф Д. Медиавирус. М.: Ультракультура, 2011. 394 с.
- Роднянский А.Е. Выходит продюсер. М.: Манн, Иванов и Фербер, 2013. 288 с.
- Роднянский А.Е. Мастер-класс-01. Мастерство продюсера. М.: Мир искусства, 2010. 92 с.
- Романов А.Н. Маркетинг. М.: ЮНИТИ, 2005. - 183 с.
- Румянцева З.П. Менеджмент организаций. Учебное пособие. М.: Инфра-М, 2001. 286 с.
- Саак А.Э., Пшеничных Ю.А. Менеджмент в социально-культурном сервисе и туризме. СПб.: Питер, 2007. 404 с.
- Сазонова Е.В., Чеснова О.А,, Сорвина Т.А., Благова И.Ю., Лавров В.В., Ефремова Н.А. Методические указания по выполнению расчетной части дипломной работы для студентов факультета управления специальностей 080502 «Экономика и управление на предприятии (социально-культурной сферы)», 080507 «Менеджмент организации» СПб.: СПбГУКиТ, 2013. 37 с.
- Скобелев В.Л. Экономический метод программирования сетки вещания телеканала // Неделя науки и творчества 2013, 15-27 апреля 2013 г.: материалы научных и творческих конференций СПбГУКиТ. СПб.: СПбГУКиТ, 2013. с. 6-8.
- Спиридонова К.Ю. Исследование основных тенденций развития современного телевидения в России // Предпринимательство и реформы в России: материалы 18-й международной конференции молодых ученых-экономистов 22-23 ноября 2012 г., СПбГУ. СПб.: ОЦЭиМ, 2012. с. 129-130.
- Стерлин А.Р., Тулин И.В. Стратегическое планирование в промышленных корпорациях США. М.: Наука, 1990. 318 с.
- Тульчинский Г.Л., Шекова Е.Л. Менеджмент в сфере культуры. СПб.: Лань, 2009. 528 с.
- Тютрюмов А.А. Пути повышения экономической эффективности телевизионного продюсирования // Российское предпринимательство. 2012. № 20 (218). с. 160-164.
- Фатхутдинов Р.А. Стратегический маркетинг: учебник для вузов. 5-е изд. - СПб.: Питер, 2008. - 368 с.
- Феоктистов А.Г. Теоретические аспекты прогнозирования экономической деятельности. СПб: Проспект, 2005. 305 с.
- Хасси Д. Менеджмент. Стратегия и планирование: руководство менеджера. М.: Вильямс, 2005. 407 с.
- Черныш Е.А., Молчанова Н.П., Новикова А.А., Салтыкова Т.А. Прогнозирование и планирование. М.: Приор, 2000. 208 с.
- Черняк В.З. Оценка бизнеса. М.: Финансы и статистика, 1996. 431 с.
- Экономика отраслевых рынков и предприятий кино- и телевизионной индустрии: учебно-методическое пособие по выполнению курсового проекта по дисциплине «Экономика кино и телевидения» для студентов всех форм обучения специальности 080507 «Менеджмент организации» / сост.: Н.И. Гаврильчак, В.Л. Скобелев, С.Н. Сапелко. СПб.: СПбГУКиТ, 2013. 125 с.
- СТС Media потеряла около четверти капитализации из-за ограничений доли иностранцев в СМИ начале было «мыло» [Электронный ресурс] // Cinemotion: [сайт]. URL: http://www.cinemotionlab.com/novosti/00742-sts_media_poteryala_okolo_chetverti_kapitalizacii_izza_ogranicheniy_doli_inostrancev_v_smi/ (14.05.2015)
- Александр Любимов: Реального положения дел на рынке не знает никто [Электронный ресурс] // VIPERSON: [сайт]. URL: http://viperson.ru/wind.php?ID=515479&soch=1 (14.05.2015)
- В начале было «мыло» [Электронный ресурс] // Русский пионер: [сайт]. URL: http://www.ruspioner.ru/cool/m/single/3471 (14.05.2015)
- Вертикаль телевидения [Электронный ресурс] // Огонек: [сайт]. URL: http://www.kommersant.ru/doc/1204667 (14.05.2015)
- Всенародное мыло [Электронный ресурс] // Русские новости: [сайт]. URL: http://www.russianews.ru/newspaper/17001/17054 (14.05.2015)
- Дмитрий Троицкий: «Перец» открыл новый телесезон [Электронный ресурс] // Самара-24: [сайт]. URL: http://gorod.samara24.ru/news/society/2014/04/16/dmitriy_troitskiy_perets_otkryl_novyy_telesezon/ (14.05.2015)
- Драматург Михаил Угаров: «Настоящая драматургия происходит в реальности» [Электронный ресурс] // Радио «Свобода»: [сайт]. URL: http://www.svoboda.org/content/article/16796934.html (14.05.2015)
- Дубль два [Электронный ресурс] // DV Реклама: [сайт]. URL: http://www.dv-reclama.ru/others/articles/media/10419/obem_proizvodstva_teleserialov_mylnykh_oper_serial_kompaniya_rws_lean_m_timur_vaynshteyn/ (14.05.2015)
- Елена Гремина: театр мощное средство реабилитации [Электронный ресурс] // РИА-Новости: [сайт]. URL: http://ria.ru/interview/20131210/983129635.html (14.05.2015)
- Иван Ургант и Александр Цекало: «Слава у ведущего, деньги у продюсера» [Электронный ресурс] // Первый канал: [сайт]. URL: http://www.1tv.ru/public/pi=17122 (14.05.2015)
- Интервью: Александр Акопов - Рынок телеконтента это $1,5 млрд в год, «Амедиа» занимает лишь 4% [Электронный ресурс] // Sostav.ru: [сайт]. URL: http://www.sostav.ru/articles/2006/10/13/ko3/ (14.05.2015)
- Интервью журналу «Огонек» [Электронный ресурс] // Живой журнал Вячеслава Муругова: [сайт]. URL: http://vmurugov.livejournal.com/36388.html (14.05.2015)
- Конъюнктура рынка: методика анализа и прогноза [Электронный ресурс] // Advertology: [сайт]. URL: http://www.advertology.ru/article92058.htm (14.05.2015)
- О канале [Электронный ресурс] // СТС: [сайт]. URL: http://ctc.ru/ (14.05.2015)
- Особенности российского производства телесериалов [Электронный ресурс] // memoid: [сайт]. URL: http://www.memoid.ru/node/Osobennosti_rossijskogo_proizvodstva_teleserialov (14.05.2015)
- Развлекательное телевидение: типология программ и потребности аудитории [Электронный ресурс] // Человек и наука: [сайт]. URL: http://cheloveknauka.com/razvlekatelnoe-televidenie-tipologiya-programm-i-potrebnosti-auditorii (14.05.2015)
- Разработка стратегии. Стратегическая сессия [Электронный ресурс] // АРБ-Консалтинг: [сайт]. URL: http://www.arbconsulting.ru/solution/uslugi/razrabotka-strategii/ (14.05.2015)
- Сергей Сельянов: «Мелодраму забрало телевидение» [Электронный ресурс] // CINEAST: [сайт]. URL: http://cineast.com.ua/article/2013-08-16-205-Sergey-Selyanov_-_Melodramu-zabralo-televidenie_.html (14.05.2015)
- Сериалы это своего рода проповеди [Электронный ресурс] // TimeOut: [сайт]. URL: http://www.timeout.ru/msk/feature/32187 (14.05.2015)
- Страсти по сериалам [Электронный ресурс] // Ъ Секрет фирмы: [сайт]. URL: http://kommersant.ru/doc/858267 (14.05.2015)
- Стратегическое планирование [Электронный ресурс] // Энциклопедия экономиста: [сайт]. URL: http://www.grandars.ru/student/marketing/strategicheskoe-planirovanie.html (14.05.2015)
- Стратегическое планирование. Понятие и этапы стратегического планирования [Электронный ресурс] // Стратегическое управление и планирование: [сайт]. URL: http://stplan.ru/articles/theory/strplan.htm (14.05.2015)
- Телевизионные сериалы: Made in Russia [Электронный ресурс] // Журнальный зал: [сайт]. URL: http://magazines.russ.ru/km/2003/3/zvereva.html (14.05.2015)
- Телеканалы: кто лучше всех продает самого себя? [Электронный ресурс] // Блог о телевизионном бизнесе: [сайт]. URL: http://blogotv.ru/?p=1619 (14.05.2015)
- Телеканалы отказываются от зарубежных сериалов [Электронный ресурс] // TV ITOP [сайт]. URL: http://tv.itop.net/node/5794 (14.05.2015)
Удовлетворение потребности населения в просмотре развлекательного телевизионного контента
1
2
.1
1.1.1
1.1.2
1.1.3
1.2
1.2.1
1.2.2
1.2.3
1.3
1.3.1
1.3.2
2.1
2.1.1
2.1.2
2.1.3
2.2
2.2.1
2.2.2
2.2.3
2.3
2.3.1
2.3.2
2.3.3
Организация
Законы и гос.органы
Потребители
Конкуренты
Поставщики
Организация
Политические факторы
Состояние экономики
Социально-культурные факторы
Международные события
Научно-технический прогресс