Определение величины кредита выдаваемого под залог недвижимости
|
|
14 |
СОДЕРЖАНИЕ
|
[0.1] 1.1. Основные понятия
[0.2]
[0.3] [0.4] 1.4. Методика определения величины кредита, предоставляемого под залог
[0.5]
[0.6]
[0.7]
[0.8]
[0.9] [0.9.1] 1.9.1. Учет фактора стоимости денег во времени
[0.9.2] [0.9.3] 1.9.3. Учет дополнительных факторов
[0.10]
[0.11] [0.12] 2.1. Определение рыночной стоимости Торгового центра [0.12.1] 2.1.1 Общие сведения [0.12.1.1] Краткое изложение основных фактов и выводов
[0.12.1.2]
[0.12.1.3] [0.12.1.4] Законы, стандарты и нормативные акты, использованные при оценке
[0.12.1.5] [0.12.1.6] Определение задания на оценку
[0.12.2]
[0.12.3] [0.12.3.1] Месторасположение
[0.12.3.2] [0.12.4] 2.1.4. Анализ окружения [0.12.4.1] Основные территориально-экономические характеристики Московской области
[0.12.4.2] [0.12.4.3] Цены на объекты нежилого фонда Московской области [0.12.4.4] Инвестиции в Подмосковье [0.12.4.5] Прогноз развития рынка
[0.12.4.6] [0.12.4.7] Этапы и тенденции развития среды местоположения объекта [0.12.4.8] Сервитуты [0.12.4.9] Маркетинговое время
[0.12.5]
[0.12.6] [0.12.6.1] Выбор методов оценки
[0.12.7] [0.12.7.1] Затратный подход [0.12.8] Полная восстановительная стоимость улучшений, (руб.) [0.12.9] Накопленный износ улучшений, (руб.) [0.12.10] Стоимость оцениваемого объекта (стр. 1 стр. 2 + стр. 3), (руб.)
[0.12.10.1]
[0.12.10.2]
[0.12.10.3] [0.13] 2.2. Определение ликвидационной стоимости Торгового центра
[0.14] |
Введение
Рыночные реформы в России законодательно закрепили многообразие форм собственности и регулирование связанных с ними гражданских правоотношений, сделали возможным развитие свободного предпринимательства.
Становление цивилизованных отношений в российском обществе, развитие современной рыночной экономики нельзя себе представить без применения современных инструментов эффективного управления собственностью.
Субъекты экономической деятельности приобрели право распоряжаться находившимися в их собственности ресурсами, в том числе и кредитование под залог недвижимости (ипотека).
Рассмотрение и применение на практике методики кредитования под залог недвижимости (ипотека), является актуальным и значимым.
Ипотека - это финансовый механизм создания и привлечения дополнительных финансовых средств для поддержания и развития материального производства.
Во всем мире ипотечное кредитование развивается и функционирует как форма долгосрочного финансирования жилищных программ. Оно как стержневая функция ипотечного бизнеса, с одной стороны, способствует решению ряда социальных и экономических проблем страны, и, прежде всего проблемы обеспечения жильем, с другой - снижению инфляции, оттягивая на себя временно свободные денежные средства граждан и предприятий.
Основным источником ресурсов для ипотеки современной России должны быть сбережения как заранее предназначенные для решения жилищного вопроса, так и текущие, а также временно свободные накопления предприятий, передаваемые ипотечным банкам на кредиты, обеспечивающие развитие этих предприятий.
Ипотека как форма обеспечения наиболее часто применяется в банковском кредитовании, а ипотечное кредитование является одним из основных сегментов банковского бизнеса.
Выгодность для банков и доступность для заемщиков ипотечных кредитов определяется также стоимостью кредитных ресурсов для кредитора и долгосрочностью кредита. В настоящее время основными источниками кредитных ресурсов банков выступают собственные средства и межбанковские кредиты, процентные ставки по которым в зависимости от срока кредита колеблются от 14 до 17 % в год, а по валютным счетам -от 13 до 16 % в год. 1
Кредиты с регулируемой отсрочкой платежей впервые стал выдавать Мосбизнесбанк. Ныне схемой ИРОП заинтересовался еще ряд банков, причем, как показывают расчеты, уровень кредитного риска при ее применении вполне приемлем.
В целом такой очень интересный инструмент ипотечного кредитования, как ИРОП, мог бы широко использоваться в России, но с одним условием: если будет найден механизм компенсации кредитору упущенной им в связи с отложенными платежами по кредиту выгоды.
Кредитование является одной из наиболее рискованных банковских операций. Вместе с тем оно, зачастую, обеспечивает наибольший поток доходов банков, поэтому увеличение объемов кредитования для большинства коммерческих банков является одной из первостепенных задач.
В соответствии с классификацией по степени риска активов и за балансовых операций, разработанной Базельским международным комитетом по вопросам банковского надзора, кредиты физическим и юридическим лицам относятся к группе со стопроцентным риском. Одним из главных способов улучшения этого показателя является кредитование под залог. В этом случае уровень риска уменьшается вдвое и составляет 50 %.
Безусловно, перечень проблем, связанных с кредитными отношениями, значительно шире.
Целью дипломной работы является: определение величины кредита выдаваемого под залог недвижимости.
Для реализации поставленной цели в дипломной работе поставлены и решаются следующие взаимосвязанные задачи:
- изучение законодательной базы кредитования под залог недвижимости;
- рассмотрение, изучение исходных позиций и методики определения величины кредита, предоставляемого под залог недвижимости;
- рассмотрение понятия и определения величины ликвидационной стоимости объекта залога;
- определение рыночной стоимости объекта залога;
- определение ликвидационной стоимости объекта залога при конкретной рыночной его стоимости;
- определение величины кредита при конкретной ликвидационной стоимости объекта залога.
Объектом дипломной работы является объект недвижимости (здание торгового центра с земельным участком), а предметом определение величины кредита под залог данной недвижимости.
Использование на практике расчета величины кредита выдаваемого под залог недвижимости, позволяет существенно повысить уровень ликвидности объектов залога и минимизировать кредитные риски, что, безусловно, будет способствовать укреплению банковской системы и, соответственно, повышению ее роли в процессах экономических преобразований.
Информационно-аналитической базой дипломной работы послужили данные представленные Заемщиком технической и бухгалтерской информации за 2003-2004 годы по эксплуатации торгового центра.
Теоретической базой для написания дипломной работы явились труды отечественных и зарубежных авторов по оценке недвижимости, проблемам определения ликвидационной стоимости и кредитования под залог недвижимости, а также нормативно-правовые акты по указанной проблематике.
Дипломная работа включает:
введение, две главы, заключение и список литературы.
Глава 1. методика Кредитования под залог недвижимости
1.1. Основные понятия
Заемщик - субъект кредитных отношений, получающий кредит.
Залог - Некое денежное или имущественное обеспечение, предоставляемое одной стороной - должником (залогодателем) другой стороне - кредитору в качестве гарантии возврата ссуды или выполнения других обязательств, возникающих по условиям договора или диктуемых законом. Залогодателем может быть третье лицо, не являющееся должником по обязательству. Кредитор - залогодержатель при невыполнении должником обязательства, обеспеченного залогом, имеет полное право на компенсацию из стоимости заложенного имущества, преимущественно перед другими кредиторами залогодателя (право залога). Предметам залога может быть всякое имущество, в том числе вещи и имущественные права (требования), за исключением имущества, изъятого из оборота и имущественных прав, уступка которых другому лицу запрещена законом. Залог возникает в силу договора или закона.
Кредит - денежные средства, предоставляемые кредитором заемщику во временное пользование на условиях обеспеченности, возвратности, срочности, платности и целевого характера использования.
Кредитный риск - риск несения кредитором убытков, вызванных нарушением заемщиком условий кредитного договора.
Кредитор - субъект кредитных отношений, предоставляющий кредит.
Кредитоспособность - способность заемщика в полном объеме и в определенный кредитным договором срок рассчитаться по своим долговым обязательствам перед кредитором.
Объект залога - объект, предназначенный для обеспечения обязательств.
Объект оценки - какое-либо имущество, имущественные либо неимущественные права определение стоимости которых является целью оценки.
К недвижимым вещам (недвижимое имущество, недвижимость) относятся земельные участки, участки недр, обособленные водные объекты и все, что прочно связано с землей, то есть объекты, перемещение которых без несоразмерного ущерба их назначению невозможно, в том числе леса, многолетние насаждения, здания, сооружения. Законом к недвижимым вещам может быть отнесено и иное имущество. (Ст. 130, ГК РФ).
Земельный участок:
1) объект права собственности; право собственности распространяется на находящиеся в границах этого участка поверхностный (почвенный) слой и замкнутые водоемы, находящиеся на нем лес и растения;
2) часть поверхности земной коры, имеющая фиксированные площадь, местоположение, границы, правовой статус;
3) вместе с прочно связанными с ним объектами является недвижимым имуществом;
4) часть недвижимости в виде участка территории, снабженного выходом к дороге и возможностью вести строительство, реконструкцию осуществлять землеустроительные проекты.
Сервитут. Невладельческое право в земельном имуществе, передающее право пользования, но не право собственности, на часть имущества.
Вещи, не относящиеся к недвижимости, включая деньги и ценные бумаги, признаются движимым имуществом.
Оценка имущества - деятельность, направленная на установление в отношении объектов оценки рыночной или иной стоимости. (Федеральный закон от 29.08.98г. № 135-ФЗ "Об оценочной деятельности в Российской Федерации").
Период экспозиции - период времени между моментом публичного предложения к продаже объекта на рынке и моментом его реализации.
Принцип разумной осторожности оценок - базовый принцип деятельности оценщика в условиях неопределенности, когда он не может достаточно уверенно сформулировать свое суждение. Этот принцип требует, в условиях неопределенности, отдавать предпочтение более пессимистической оценке.
Разумно долгий период экспозиции объекта - период экспозиции объекта в условиях, когда он предложен по цене, соответствующей его рыночной стоимости на открытом конкурентном рынке, который является разумно долгим с точки зрения типичного продавца данного типа объектов.
Фиксированный период экспозиции объекта - период экспозиции, который принимается оценщиком как условие для дальнейшего определения стоимости, по которой объект может быть продан в рамках этого фиксированного периода, если будет публично предложен к продаже по этой стоимости на открытом конкурентном рынке сразу после даты оценки.
Наиболее эффективное использование (НЭИ). Наиболее вероятное использование имущества, которое физически возможно, имеет надлежащее оправдание, юридически допустимо и финансово осуществимо, и при котором оценка этого имущества дает максимальную величину стоимости.
Рыночная стоимость объекта оценки - наиболее вероятная цена, по которой данный объект оценки может быть отчужден на открытом рынке в условиях конкуренции, когда стороны сделки действуют разумно, располагая всей необходимой информацией, а на величине цены не отражаются какие-либо чрезвычайные обстоятельства.
Ликвидационная стоимость объекта оценки - стоимость объекта оценки в случае, если объект оценки должен быть отчужден в срок меньше обычного срока экспозиции аналогичных объектов.
Стоимость не факт, а расчетная величина вероятной цены, которая будет заплачена за товар или услугу в данное время- в соответствии с конкретным определением (дефиницией) стоимости. Цена, на которую, скорее всего, соглашаются продавцы и покупатели товара или услуги, которые доступны для приобретения. (МСО 2003).
Стоимость замещения объекта оценки - сумма затрат на создание объекта, аналогичного объекту оценки, в рыночных ценах, существующих на дату проведения оценки, с учетом износа объекта оценки.
Стоимость воспроизводства объекта оценки - сумма затрат в рыночных ценах, существующих на дату проведения оценки, на создание объекта, идентичного объекту оценки, с применением идентичных материалов и технологий, с учетом износа объекта оценки.
Полная восстановительная стоимость определяется затратами, исчисленными в ценах на дату оценки, на изготовление оцениваемого оборудования из аналогичных материалов и конструктивных решений, с тем же качеством работ и эксплуатационных характеристик.
Полная первоначальная стоимость (полная балансовая стоимость) соответствует стоимость актива на момент ввода в действие (постановка на баланс).
Остаточная первоначальная стоимость (остаточная балансовая стоимость) определяется путем уменьшения полной первоначальной стоимости на величину накопленной амортизации объекта.
Износ потеря стоимости собственности под воздействием различных факторов. Износ определяется как разница между издержками по воспроизводству новых улучшений на дату оценки и их текущей рыночной стоимостью.
Цена. Денежная сумма, запрашиваемая, предлагаемая или уплачиваемая за товар или услугу. Понятие цены связано с обменом товара или услуги. После того как обмен совершен, цена, объявленная открыто и сохраняемая в тайне, становится историческим фактом, Цена уплаченная соответствует точке пересечения кривых спроса и предложения. (МСО 2003).
Ставка дисконтирования - ставка отдачи (доходности), используемая для конверсии (приведения) денежной суммы, подлежащей выплате или получению в будущем, в нынешнюю стоимость.
Коэффициент капитализации любой коэффициент, используемый для конверсии дохода в стоимость.
Безрисковая ставка доходности - ставка доходности инвестиций при вложении денежных средств в наиболее надежные активы.
Затратный подход совокупность методов оценки стоимости объекта оценки, основанных на определении затрат, необходимых для восстановления либо замещения объекта оценки с учетом его износа.
Сравнительный подход (рыночный) - совокупность методов оценки стоимости объекта оценки, основанных на сравнении объекта оценки с аналогичными объектами, в отношении которых имеется информация о ценах сделок с ними.
Доходный подход совокупность методов оценки стоимости объекта оценки, основанных на определении ожидаемых доходов от объекта оценки.
Итоговая величина стоимости объекта оценки величина стоимости объекта оценки, полученная как итог обоснованного оценщиком обобщения результатов расчетов стоимости объекта оценки, при использовании различных подходов к оценке и методов оценки.
Допущения. Предположения, считающиеся истинными. Допущения включают факты, условия или ситуации, влияющие на предмет оценки или подход к оценке, но которые, возможно, нельзя или не стоит проверить. Это положения, которые, будучи объявленными, должны быть принятыми в понимании оценки. Все допущения, лежащие в основе оценки, должны быть разумными.
Дата проведения оценки. Календарная дата, по состоянию на которую определяется стоимость объекта оценки.
Дата составления отчета. Дата написания отчета об оценке, может совпадать или не совпадать с датой оценки.
1.2. Законодательная база кредитования под залог недвижимости
Гражданский кодекс РФ (части первая, вторая и третья) (с изм. и доп. от 20 февраля, 12 августа 1996г., 24 октября 1997г., 8 июля, 17 декабря 1999г., 16 апреля, 15 мая, 26 ноября 2001г., 21 марта, 14, 26 ноября 2002г., 10 января, 26 марта, 11 ноября, 23 декабря 2003г., 29 июня, 29 июля 2004г.).
Статья 334. Понятие и основания возникновения залога.
В силу залога кредитор по обеспеченному залогом обязательству (залогодержатель) имеет право в случае неисполнения должником этого обязательства получить удовлетворение из стоимости заложенного имущества преимущественно перед другими кредиторами лица, которому принадлежит это имущество (залогодателя), за изъятиями, установленными законом.
Статья 339. Договор о залоге, его форма и регистрация.
1. В договоре о залоге должны быть указаны предметы залога и его оценка, существо, размер и срок исполнения обязательства, обеспечиваемого залогом. В нем должно также содержаться указание на то, у какой из сторон находится заложенное имущество.
Статья 340. Имущество, на которое распространяются права залогодержателя.
1. Права залогодержателя (право залога) на вещь, являющуюся предметом залога, распространяются на ее принадлежности, если иное не предусмотрено договором.
2. При ипотеке предприятия или иного имущественного комплекса в целом право залога распространяется на все входящее в его состав имущество, движимое и недвижимое, включая права требования и исключительные права, в том числе приобретенные в период ипотеки, если иное не предусмотрено законом или договором.
3. Ипотека здания или сооружения допускается только с одновременной ипотекой по тому же договору земельного участка, на котором находится это здание или сооружение, либо части этого участка, функционально обеспечивающей закладываемый объект, либо принадлежащего залогодателю права аренды этого участка или его соответствующей части.
4. При ипотеке земельного участка право залога не распространяется на находящиеся или возводимые на этом участке здания и сооружения залогодателя, если в договоре не предусмотрено иное условие.
При отсутствии в договоре такого условия залогодатель в случае обращения взыскания на заложенный земельный участок сохраняет право ограниченного пользования (сервитут) той его частью, которая необходима для использования здания или сооружения в соответствии с его назначением. Условия пользования этой частью участка определяются соглашением залогодателя с залогодержателем, а в случае спора - судом.
5. Если ипотека установлена на земельный участок, на котором находятся здания или сооружения, принадлежащие не залогодателю, а другому лицу, то при обращении залогодержателем взыскания на этот участок и его продаже с публичных торгов к приобретателю участка переходят права и обязанности, которые в отношении этого лица имел залогодатель.
Закон РФ от 29 мая 1992 г. N 2872-I "О залоге".
Статья 42. Понятие ипотеки.
Ипотекой признается залог предприятия, строения, здания, сооружения или иного объекта, непосредственно связанного с землей, вместе с соответствующим земельным участком или правом пользования им.
Ипотекой признается залог предприятия, строения, здания, сооружения или иного объекта, непосредственно связанного с землей, вместе с соответствующим земельным участком или правом пользования им.
Статья 43. Форма договора об ипотеке. Регистрация ипотеки.
1. Договор об ипотеке должен быть нотариально удостоверен.
2. Ипотека регистрируется в поземельной книге по месту нахождения предприятия, строения, здания, сооружения или иного объекта.
Переход права собственности или полного хозяйственного ведения на предмет ипотеки от залогодателя к другому лицу подлежит регистрации в той же поземельной книге, в которой зарегистрирована ипотека.
3. Орган, осуществляющий государственную регистрацию залога предприятия в целом, обязан передать сведения о регистрации залога органам, ведущим поземельную книгу, в том числе и по месту расположения территориально обособленных подразделений предприятия.
Федеральный закон от 16 июля 1998г. N 102-ФЗ "Об ипотеке (залоге недвижимости)" (с изменениями от 9 ноября 2001г., 11 февраля, 24 декабря 2002г., 5 февраля, 29 июня, 2 ноября 2004г.)
Статья 5. Имущество, которое может быть предметом ипотеки.
1. По договору об ипотеке может быть заложено недвижимое имущество, указанное в пункте 1 статьи 130 Гражданского кодекса Российской Федерации, права на которое зарегистрированы в порядке, установленном для государственной регистрации прав на недвижимое имущество, в том числе:
1) земельные участки, за исключением земельных участков, указанных в статье 63 настоящего Федерального закона;
2) предприятия, а также здания, сооружения и иное недвижимое имущество, используемое в предпринимательской деятельности;
3) жилые дома, квартиры и части жилых домов и квартир, состоящие из одной или нескольких изолированных комнат;
4) дачи, садовые дома, гаражи и другие строения потребительского назначения;
5) воздушные и морские суда, суда внутреннего плавания и космические объекты.
Здания, в том числе жилые дома и иные строения, и сооружения, непосредственно связанные с землей, могут быть предметом ипотеки при условии соблюдения правил статьи 69 настоящего Федерального закона.
2. Правила настоящего Федерального закона применяются к залогу незавершенного строительством недвижимого имущества, возводимого на земельном участке в соответствии с требованиями законодательства Российской Федерации, в том числе зданий и сооружений при условии соблюдения правил статьи 69 настоящего Федерального закона.
3. Если иное не предусмотрено договором, вещь, являющаяся предметом ипотеки, считается заложенной вместе с принадлежностями (статья 135 Гражданского кодекса Российской Федерации) как единое целое.
4. Часть имущества, раздел которого в натуре невозможен без изменения его назначения (неделимая вещь), не может быть самостоятельным предметом ипотеки.
5. Правила об ипотеке недвижимого имущества соответственно применяются к залогу прав арендатора по договору об аренде такого имущества (право аренды), поскольку иное не установлено федеральным законом и не противоречит существу арендных отношений.
Статья 8. Общие правила заключения договора об ипотеке.
Договор об ипотеке заключается с соблюдением общих правил Гражданского кодекса Российской Федерации о заключении договоров, а также положений настоящего Федерального закона.
Статья 9. Содержание договора об ипотеке.
1. В договоре об ипотеке должны быть указаны предмет ипотеки, его оценка, существо, размер и срок исполнения обязательства, обеспечиваемого ипотекой.
2. Предмет ипотеки определяется в договоре указанием его наименования, места нахождения и достаточным для идентификации этого предмета описанием.
В договоре об ипотеке должны быть указаны право, в силу которого имущество, являющееся предметом ипотеки, принадлежит залогодателю, и наименование органа государственной регистрации прав на недвижимое имущество, зарегистрировавшего это право залогодателя.
Если предметом ипотеки является принадлежащее залогодателю право аренды, арендованное имущество должно быть определено в договоре об ипотеке так же, как если бы оно само являлось предметом ипотеки, и должен быть указан срок аренды.
3. Оценка предмета ипотеки определяется в соответствии с законодательством Российской Федерации по соглашению залогодателя с залогодержателем с соблюдением при ипотеке земельного участка требований статьи 67 настоящего ФЗ и указывается в договоре об ипотеке в денежном выражении.
Статья 62. Земельные участки, которые могут быть предметом ипотеки.
1. По договору об ипотеке могут быть заложены земельные участки постольку, поскольку соответствующие земли на основании федерального закона не исключены из оборота или не ограничены в обороте.
1.1. Если земельный участок передан по договору аренды гражданину или юридическому лицу, арендатор земельного участка вправе отдать арендные права земельного участка в залог в пределах срока договора аренды земельного участка с согласия собственника земельного участка.
2. При общей долевой или совместной собственности на земельные участки, указанные в пункте 1 настоящей статьи, ипотека может быть установлена только на принадлежащий гражданину или юридическому лицу земельный участок, выделенный в натуре из земель, находящихся в общей долевой или совместной собственности.
Статья 67. Оценка земельного участка при его ипотеке
1. Оценка земельного участка осуществляется в соответствии с законодательством, регулирующим оценочную деятельность в Российской Федерации.
2. Залоговая стоимость земельного участка, передаваемого в залог по договору об ипотеке, устанавливается по соглашению залогодателя с залогодержателем.
3. К договору об ипотеке земельного участка должна быть приложена в качестве обязательного приложения копия плана (чертежа границ) этого участка, выданная соответствующим комитетом по земельным ресурсам и землеустройству.
Статья 69. Ипотека предприятий, зданий или сооружений с земельным участком, на котором они находятся.
При ипотеке предприятия как имущественного комплекса (далее предприятие) право залога распространяется на все входящее в его состав имущество (пункт 2 статьи 340 Гражданского кодекса Российской Федерации). Ипотека здания или сооружения допускается только с одновременной ипотекой по тому же договору земельного участка, на котором находится это здание или сооружение, либо части этого участка, функционально обеспечивающей закладываемый объект, либо принадлежащего залогодателю права аренды этого участка или его соответствующей части.
На принадлежащее залогодателю право постоянного пользования земельным участком, на котором находится предприятие, здание или сооружение, право залога не распространяется. При обращении взыскания на такое предприятие, здание или сооружение лицо, которое приобретает это имущество в собственность, приобретает право пользования земельным участком на тех же условиях и в том же объеме, что и прежний собственник (залогодатель) недвижимого имущества.
Федеральный закон от 29 июля 1998г. N 135-ФЗ "Об оценочной деятельности в Российской Федерации" (с изм. и доп. от 21 декабря 2001г., 21 марта, 14 ноября 2002г., 10 января, 27 февраля 2003г., 22 августа 2004г.).
Статья 8. Обязательность проведения оценки объектов оценки.
Проведение оценки объектов оценки является обязательным в случае вовлечения в сделку объектов оценки, принадлежащих полностью или частично РФ, субъектам РФ либо муниципальным образованиям.
Регламент предоставления кредитов юридическим лицам Сбербанком России и его филиалами от 08.12.1997г. N 285-р (утв. Комитетом Сбербанка РФ по предоставлению кредитов и инвестиций) (с изм. и доп. от 01.10.1998г., 29.01.1999г.)
2. Порядок предоставления кредита
2.1. Документы, предоставляемые Заемщиком для получения кредита
Заемщик предоставляет Банку следующие документы:
I. Заявление в произвольной форме (с указанием суммы, цели кредита, срока и формы обеспечения, а также юридического и почтового адреса Заемщика, телефонов руководителей и фамилии и должности представителя Заемщика, которому в соответствии с доверенностью предоставлено право представления документов и ведения переговоров по вопросам предоставления кредита).
II. Документы, подтверждающие правоспособность Заемщика:
- нотариально удостоверенную копию Устава (Положения), зарегистрированного в установленном законодательством порядке;
- нотариально удостоверенную копию учредительного договора (если законодательством предусмотрено его составление);
- карточку с образцами подписей распорядителей счета и оттиском печати, заверенную нотариально;
- свидетельство о регистрации или нотариально удостоверенную копию;
- разрешение на занятие предпринимательской деятельностью с указанием срока функционирования (для предпринимателей, осуществляющих свою деятельность без образования юридического лица);
- разрешение на занятие отдельными видами деятельности (лицензию).
III. Справки из ГНИ и отд. Пенсионного фонда России о намерении открыть ссудный счет (после принятия Банком решения о предоставлении кредита).
IV. Финансовые документы:
- годовой отчет за последний финансовый год, составленный в соответствии с требованиями Минфина России, с отметкой ГНИ о принятии, включающий:*(12)
- бухгалтерский баланс;
- отчет о прибылях и убытках - форма N 2;
- пояснения к бухгалтерскому балансу и отчету о прибылях и убытках - формы NN 3, 4, 5, пояснительную записку;
- специализированные формы, установленные министерствами и ведомствами Российской Федерации или республик, входящих в состав Российской Федерации;
- формы отчетной информации об использовании бюджетных средств, установленные Минфином России для бюджетных организаций (отчет об использовании бюджетных ассигнований, справка об остатках средств, полученных из федерального бюджета) - представляют организации, получающие бюджетные ассигнования;
- аудиторское заключение (или его итоговую часть) по результатам обязательного по законодательству Российской Федерации аудита годовой бухгалтерской отчетности за последний финансовый год (при его отсутствии - за предшествующий год);
- бухгалтерский отчет за последний квартал с отметкой ГНИ о принятии, включающий:
- бухгалтерский баланс;
- отчет о прибылях и убытках - форма N 2;
- формы отчетной информации об использовании бюджетных средств - представляют организации, получающие бюджетные ассигнования;
- бухгалтерский баланс и отчет о прибылях и убытках за последний отчетный месяц;
- суммы остатков на забалансовых счетах по полученным и выданным обеспечениям на отчетные даты за последние месяц и квартал, а также на дату подачи заявления;
- расшифровки кредиторской и дебиторской задолженности к представленным балансам с указанием наименований кредиторов и должников и дат возникновения задолженности;
- расшифровки задолженности по кредитам банков к представленным балансам и на дату подачи заявления с указанием кредиторов, суммы задолженности, даты получения кредита, даты погашения, процентной ставки, периодичности погашения, суммы просроченных процентов;
- расшифровки краткосрочных финансовых вложений к представленным балансам;
- расшифровки прочих оборотных активов к представленным балансам, кроме годового, в разрезе балансовых счетов;
- справки банков об остатках на расчетных (текущих) и валютных счетах Заемщика и наличии претензий к счетам;
- выписки банков по расчетным и валютным счетам за последние 6 мес.
V. Документы по технико-экономическому обоснованию:
- бизнес-план на текущий год или на период пользования кредитом, если этот период менее года;
- технико-экономическое обоснование кредита;
- копии контрактов (договоров).
VI. Документы по предоставляемому обеспечению.
а) при залоге недвижимости:
- правоустанавливающие документы и документы, подтверждающие право собственности на объект недвижимости;
- страховой полис, по которому выгодоприобретателем выступает Банк, с обязательным ежегодным (или с другой периодичностью в зависимости от срока страхования) переоформлением;
- документ о территориальных границах земельного участка (копия чертежа границ участка), выданный комитетом по земельным ресурсам и землеустройству;
- справку из органа, ведущего регистрацию и техническую инвентаризацию объекта недвижимости, и поэтажный план объекта недвижимости;
б) при залоге транспортных средств:
- технический паспорт;
- страховой полис, по которому выгодоприобретателем выступает Банк, с обязательным ежегодным переоформлением;
в) при залоге товаров в обороте:
- документы, подтверждающие наличие товарно-материальных ценностей (ТМЦ) и их стоимость (ведомости остатков ТМЦ, накладные, счета-фактуры, складские расписки);
г) при залоге оборудования:
- документы, подтверждающие право собственности на предмет залога (например, контракт со спецификацией, планировкой, товарно-транспортные документы);
- документы, подтверждающие оплату таможенной пошлины (при импорте);
- при необходимости документы, подтверждающие оплату оборудования;
- акт ввода в эксплуатацию или акт приема-передачи;
д) при залоге ценных бумаг:
в соответствии с Регламентом N 144-р от 14.01.97;
е) при принятии гарантий и поручительств:
в соответствии с "Порядком работы с гарантиями в Сбербанке России" (приказ Сбербанка России от 12.04.96 N 58-о).
Президент России в 30декабря 2004г. подписал Федеральные законы:
ФЗ от 30 декабря 2004 г. N 216-ФЗ "О внесении изменений в Федеральный закон `Об ипотеке (залоге недвижимости)". Теперь госрегистрация ипотеки, осуществляется на основании совместного заявления залогодателя и залогодердержателя. Должник по обеспеченному ипотекой обязательству, залогодатель и законный владелец закладной по соглашению могут изменить ранее установленные условия закладной. На государственную регистрацию залога недвижимого имущества теперь предоставляются лицензия на управление ипотечным покрытием и правила доверительного управления ипотечным покрытием.
ФЗ от 30 декабря 2004 г. N 218-ФЗ "О кредитных историях". Основная цель бюро кредитных историй состоит в накоплении информации, характеризующей платежную дисциплину заемщика по исполнению договоров кредита. В кредитном бюро будет храниться информация, описывающая заемщика, его договор, а также информация о том, во время ли он возвращал кредит и на сколько добросовестно выполнял его условия. В законе особо отмечается, что передача кредиторам этой информации возможна только с разрешения самого заемщика.
ФЗ от 29 декабря 2004 г. N 193-ФЗ "О внесении изменений в Федеральный закон `Об ипотечных ценных бумагах". Закон направлен на повышение эффективности использования ипотечных ценных бумаг в целях рефинансирования ипотечных кредитов. Для этого предлагаются механизмы повышения надежности этих бумаг, снижение издержек на осуществление их эмиссий, а также предлагается дополнительный инструментарий для повышения привлекательности ипотечных бумаг с учетом конъюнктуры финансового и фондового рынков.
ФЗ от 29 декабря 2004 г. N 194-ФЗ "О внесении изменений в статью 446 Гражданского процессуального кодекса Российской Федерации". Поправки снимают запрет на обращение взыскания на жилое помещение, которое является предметом ипотеки. Таким образом, кодекс приводится в соответствие с законодательством об ипотеке.
1.3. Исходные позиции методики определения величины кредита, предоставляемого под залог
Специалисты банка, при предоставлении кредита под залог, руководствуются, прежде всего, результатами оценки кредитоспособности заемщика, которая осуществляется с учетом финансового состояния заемщика и других факторов. Кредит предоставляется только в случае, если специалисты банка видят, что бизнес заемщика способен генерировать объем денежных средств достаточный для выполнения условий кредитного договора. Кроме оценки кредитоспособности заемщика, для снижения риска возникновения убытков банк вынужден требовать от заемщика определенные гарантии возврата средств, предоставляемых в качестве кредита.
Как известно, наиболее широко распространенным способом обеспечения кредитных обязательств выступает залог. Статистика свидетельствует: 90- 95% предоставленных кредитов - кредиты, обеспеченные залогом.
При предоставлении кредита под залог банк заключает с заемщиком кроме кредитного договора также договор залога. В соответствии с этим договором, в случае нарушения залогодателем (заемщиком) условий кредитного договора, залогодержатель (банк) может реализовать объекты залога для удовлетворения своих требований. "За счет заложенного имущества залогодержатель имеет право удовлетворить свои требования в полном объеме, определяемом к моменту фактического удовлетворения, включая проценты, возмещение убытков, причиненных просрочкой исполнения (а в случаях, предусмотренных законом или договором, - неустойку), необходимые издержки по содержанию заложенного имущества, а также расходы по осуществлению обеспеченного залогом требования, если иное не предусмотрено договором залога".
До недавнего времени во многих банках специалисты рассчитывали величину предоставляемого кредита как фиксированный процент (зачастую недостаточно обоснованный) от рыночной стоимости объекта залога. Более того, при расчете величины кредита, предоставляемого под залог, использовали так называемое "двойное покрытие" - стоимость объекта залога в два раза превышала величину кредита. Это позволяло не формировать резерв по таким кредитным операциям денежными средствами. Изложенное выше указывает на отсутствие обоснованного подхода к определению величины кредита, предоставляемого под залог.
Специалисты некоторых банков при предоставлении кредита оперируют таким понятием как "залоговая стоимость". Но, во-первых, нет необходимости использовать это понятие, а, во-вторых, это понятие не имеет толкования ни в Международных стандартах оценки, ни в Нормах профессиональной деятельности оценщика. Следствием этого могут служить различные толкования понятия "залоговая стоимость" различными специалистами, что может привести к конфликту между участниками залоговых отношений.
Опыт оценки объектов залога позволил сформулировать следующие положения, которые, целесообразно использовать при кредитовании под залог:
базой для определения величины кредита, предоставляемого под залог, должна служить величина ликвидационной стоимости объекта залога;
базой для расчета величины ликвидационной стоимости объекта должна служить величина его рыночной стоимости;
величина ликвидационной стоимости объекта всегда меньше величины его рыночной стоимости.
С учетом вышеизложенного - процесс определения величины кредита, предоставляемого под залог, помимо прочих, обязательно включает следующие этапы:
- этап - определение рыночной стоимости объекта залога;
- этап - определение ликвидационной стоимости объекта залога;
- этап - определение величины предоставляемого кредита.
При этом рыночную и ликвидационную стоимость объекта залога, и разницу между их величинами должны определять независимые эксперты-оценщики, фиксируя свои выводы в документе, имеющем юридическую силу - отчете об оценке. Разницу между ликвидационной стоимостью объекта залога и величиной предоставляемого кредита, а также саму величину кредита должны определять специалисты банка.
Величину кредита, предоставляемого под залог, можно выразить следующей формулой:
К=Ср-1 -2, (1)
где
К - величина кредита, предоставляемого под залог (руб.);
Ср - рыночная стоимость объекта залога (руб.);
1 - разница между ликвидационной и рыночной стоимостью объекта залога;
2 - разница между ликвидационной стоимостью объекта залога и величиной предоставляемого кредита.
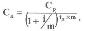
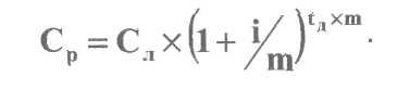
При этом ликвидационная стоимость объекта залога (второй этап) выражается формулой:
Сл = Ср - 1, (2)
где
Сл - ликвидационная стоимость объекта залога (руб.).
Величина кредита, предоставляемого под залог (третий этап), -формулой:
К = Сл - 2. (3)
Соотношение уровней рыночной и ликвидационной стоимости объекта залога, а также максимально возможной величины кредита, предоставляемого под залог, показано на рисунке.

Рис. 1. Соотношение уровней рыночной и ликвидационной стоимости объекта залога и максимально возможной величины предоставляемого кредита.
1.4. Методика определения величины кредита, предоставляемого под залог
При определении величины кредита, предоставляемого под конкретное обеспечение, основным принципом является то, что банк (залогодержатель) не должен понести потери в случае нарушения заемщиком (залогодателем) условий кредитного договора и должен полностью удовлетворить свои требования из стоимости обеспечения (первый принцип минимизации кредитного риска).
Рассмотрим основные элементы, составляющие потенциальные требования банка (залогодержателя), в случае неуплаты заемщиком (залогодателем) средств банку (залогодержателю), согласно кредитному договору:
кредит (К) - средства, предоставляемые банком (залогодержателем) заемщику (залогодателю) в качестве кредита;
проценты (Р) - цена пользования кредитом, которая устанавливается банком (залогодержателем) с учетом ряда факторов;
расходы на содержание объекта залога (Е) - средства, используемые банком (залогодержателем) для создания объекту залога необходимых условий (если договором или законом предусматривается обязанность банка (залогодержателя) принимать меры, необходимые для сохранности объекта залога и т.п.);
страховые платежи (I) - средства, используемые банком (залогодержателем) для страхования объекта залога (если договором или законом предусматривается обязанность банка (залогодержателя) страховать заложенное имущество);
расходы при обращении взыскания (V) - расходы банка (залогодержателя) по осуществлению обеспеченных залогом требований (например, судебные расходы, в случае, если обращение взыскания на заложенное имущество осуществляется по решению суда, расходы на проведение маркетинга объекта залога и т.п.);
неустойка (F) - неустойка, взимаемая банком (залогодержателем) с заемщика (залогодателя), в случае ненадлежащего выполнения последним условий кредитного договора (если это предусматривается договором).
Перечислив основные элементы, составляющие потенциальные требования банка (залогодержателя), рассмотрим, каким образом они должны учитываться при расчете величины кредита, предоставляемого под залог.
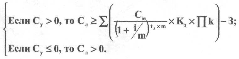
При предоставлении кредита под залог необходима реализация принципа: величина стоимости обеспечения (ликвидационной стоимости объекта залога) не должна быть меньше величины требований банка (залогодержателя), возникающих в случае нарушения заемщиком (залогодателем) условий кредитного договора (второй принцип минимизации кредитного риска).
Стоит подчеркнуть, что при определении величины кредита, предоставляемого под залог, банк (залогодержателя) должна интересовать именно ликвидационная, а не рыночная стоимость объекта залога.
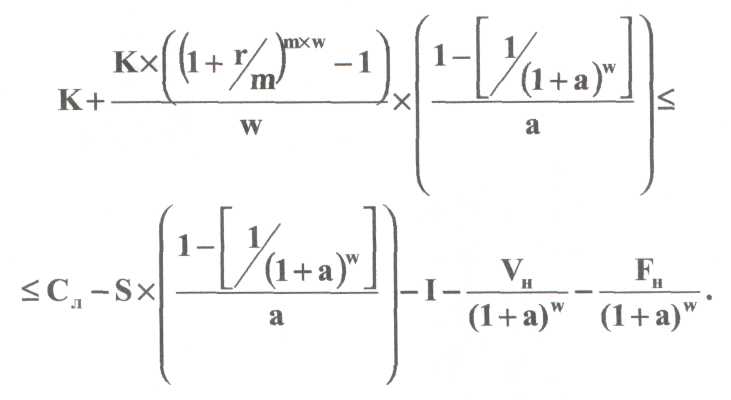
Исходя из сформулированного выше второго принципа минимизации кредитного риска, а также принципа разумной осторожности оценок, можно модифицировать формулу (3) и представить ее в следующем виде:
СЛ К + 2. (4)
Осуществив несложное преобразование формулы (4), получим формулу, которая может использоваться для расчета максимально возможной величины кредита, предоставляемого под залог, при конкретной величине ликвидационной стоимости объекта залога:
К СЛ - 2. (5)
Следует отметить, что величина 2 отражает потенциальные требования банка (без учета самой величины кредита) в случае нарушения заемщиком (залогодателем) условий кредитного договора. Величину 2 можно рассчитать следующим образом:
2 = P + E + I + V + F, (6)
где,
Р - проценты по кредиту за весь период кредитования (руб.);
Е - расходы банка, связанные с содержанием объекта залога (руб.);
I - расходы банка, связанные со страхованием объекта залога (руб.);
V - расходы банка, связанные с осуществлением обеспеченных залогом требований (руб.);
F - неустойка, которую заемщик должен будет выплатить банку в случае нарушения условий кредитного договора (руб.).
С учетом выражения (6), формула (5), которая может использоваться для расчета максимально возможной величины кредита, предоставляемого под залог, примет следующий вид:
К Сл Р Е I V - F. (7)
Следует заметить, что расчет величины предоставляемого кредита осуществляется специалистами банка, однако для определения величин некоторых параметров расчетов целесообразно привлекать экспертов-оценщиков, например, расчет ликвидационной стоимости объекта залога.
Элементы, составляющие вышеприведенные формулы, по сути, представляют собой денежные потоки, которые можно условно разделить на единовременные и текущие. Необходимо также учитывать, что денежные потоки возникают в различные моменты времени, и величины некоторых из них носят вероятностный характер, поэтому точность расчетов во многом зависит от точности прогнозирования. Кроме того, как известно из теории финансов, денежные потоки, относящиеся к будущему, для приведения к настоящему моменту времени необходимо дисконтировать.
С учетом изложенного выше, рассмотрим какие именно денежные потоки и каким образом необходимо дисконтировать при расчетах величины кредита, предоставляемого под залог.
Учитывая, что определение величины ликвидационной стоимости (Сл) объекта залога осуществляется на дату, соответствующую началу периода кредитования, приходим к выводу об отсутствии необходимости ее дисконтирования.
Так как кредит (К) предоставляется заемщику в начале периода кредитования, то и в этом случае нет необходимости в дисконтировании.
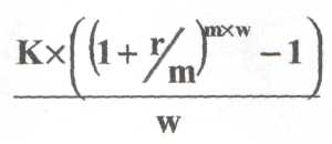
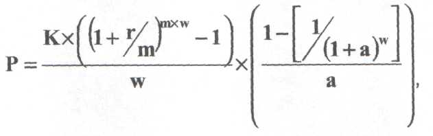
Полагая, что платежи (Р) заемщика банку за пользование кредитом будут осуществляться в будущем, в течение периода кредитования, приходим к выводу о необходимости дисконтирования этих денежных потоков. Причем, если допустить, что эти платежи будут производиться равными суммами через одинаковые промежутки времени (аннуитет), то приведенная величина этих денежных потоков будет рассчитываться с помощью следующей формулы:
(8)
где,

- ежегодная величина платы
заемщика банку за пользование кредитом;
r - номинальная годовая процентная ставка по кредиту (выраженная как десятичная дробь);
m - количество периодов начисления процентов в течение года;
w - продолжительность периода кредитования (лет);
а - годовая ставка дисконта (выраженная как десятичная дробь).
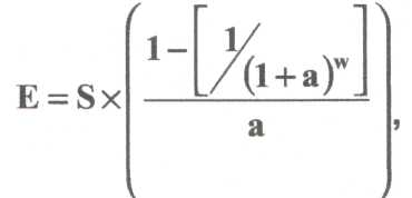
Расходы банка (Е), связанные с содержанием объекта залога, в случае их наличия, будут определенным образом распределены в будущем, в течение всего периода кредитования, что указывает на необходимость дисконтирования их величины. Для упрощения расчетов представляется целесообразным допустить, что эти расходы будут производиться равными суммами через одинаковые промежутки времени (аннуитет). С учетом вышесказанного, формула для расчета приведенной величины расходов банка (Е), связанных с содержанием объекта залога, будет иметь следующий вид:
(9)
где,
S - ежегодная величина расходов, связанных с содержанием объекта залога (руб.).
Основываясь на предположении, что в случае страхования банком объекта залога страховые платежи (I) будут вноситься им в начале периода кредитования, можно утверждать, что нет необходимости дисконтирования их величины.
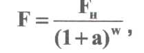
Для удобства практического применения можно допустить, что расходы банка (V), связанные с осуществлением обеспеченных залогом требований, возникают в конце периода кредитования. Это обуславливает необходимость дисконтирования данного денежного потока. Формула для расчета приведенной величины расходов банка (V), связанных с осуществлением обеспеченных залогом требований, будет иметь следующий вид:
(10)
где,
Vн - не дисконтированная величина расходов, связанных с осуществлением обеспеченных залогом требований (руб.).
Для упрощения расчетов мы полагаем, что неустойка (F) выплачивается банку заемщиком, в случае нарушения последним условий кредитного договора, в конце периода кредитования. Следовательно, существует необходимость дисконтирования этого денежного потока. Формулу для расчета приведенной величины неустойки (F), выплачиваемой банку заемщиком, в случае нарушения последним условий кредитного договора, можно представить в следующей форме:
(11)
где,
Fн - не дисконтированная величина неустойки (руб.).
При осуществлении выбора ставки дисконта необходимо придерживаться принципа разумной осторожности оценок и осознавать, что использование в расчетах завышенной ставки дисконта может привести к выдаче кредита необоснованно завышенной величины, что, в случае нарушения заемщиком условий кредитного договора, может вызвать финансовые потери банка.
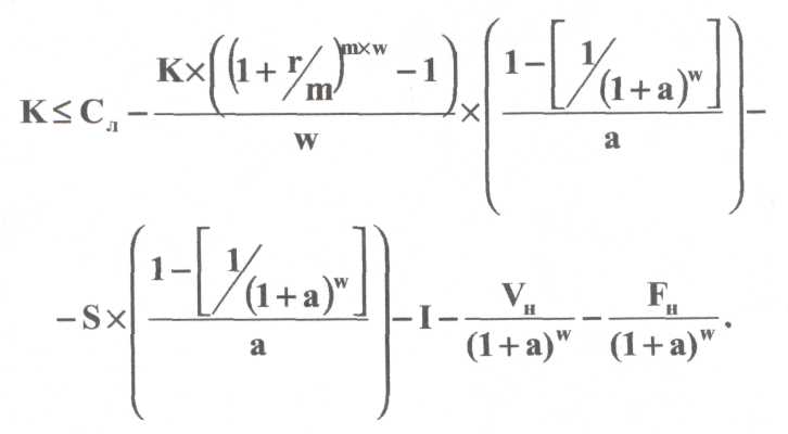
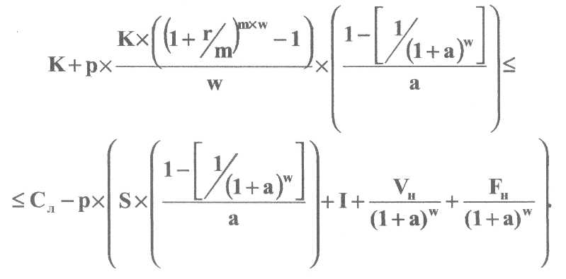
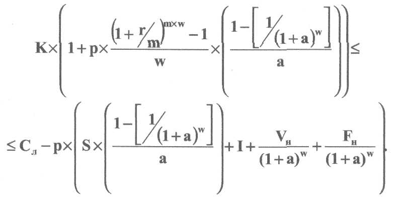
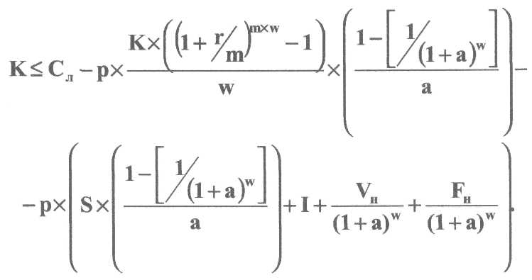
С учетом необходимости дисконтирования денежных потоков, формула (6) будет иметь следующий вид:
(12)
Формула (5), с учетом выражения (12), примет следующую форму:
(13)
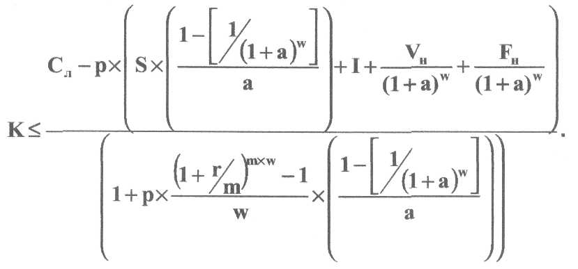
Так как и левая и правая части выражения (13) содержат величину К, то можно преобразовать его и получить формулу для расчета максимально возможной величины кредита, предоставляемого под залог, при конкретной величине ликвидационной стоимости объекта залога.
Перенеся из правой части неравенства (13) в его левую часть член, содержащий в качестве сомножителя величину К, получим выражение:
(14)
После вынесения величины К в левой части неравенства (14) за скобки это неравенство примет вид:
(15)
Выразив величину К из формулы (15), получим формулу, которая может использоваться для расчета максимально возможной величины кредита, предоставляемого под залог:
(16)
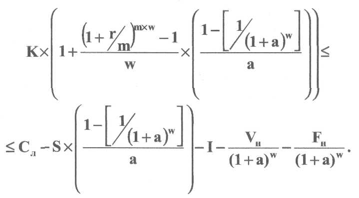
Необходимо учитывать наступления таких нежелательных для банка (залогодержателя) событий, как невозвращение кредита, неуплата процентов, необходимость осуществления расходов, связанных с обращением взыскания.
Исходя из принципа разумной осторожности оценок, полагаем, что вероятность указанных событий при расчетах величины кредита, предоставляемого под залог, должна приниматься равной единице. Вместе с тем необходимо учитывать, что чем выше вероятность нарушения заемщиком условий кредитного договора, тем в более полном объеме должны учитываться величины элементов, составляющих потенциальные требования банка в случае нарушения заемщиком условий кредитного договора.
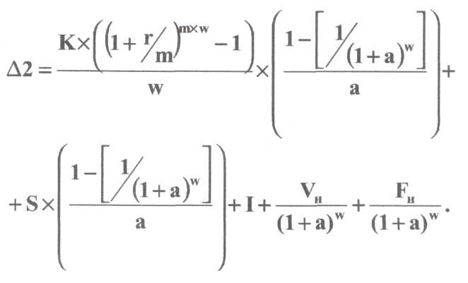
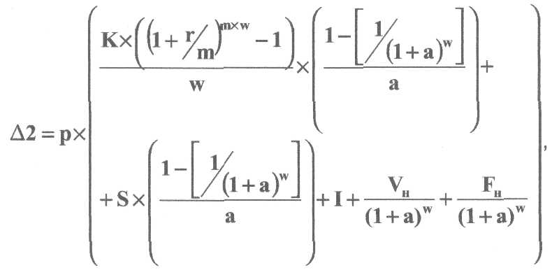
Исходя из вышесказанного, формула (12) для расчета величины 2 примет следующий вид:
(17)
где,
р - вероятность нарушения заемщиком условий кредитного договора (выраженная как десятичная дробь).
Следует отметить, что чем меньше значение коэффициента р, учитывающего вероятность нарушения заемщиком условий кредитного договора, тем меньше значение величины А2 и, следовательно, тем больше максимально возможная величина кредита, который может быть предоставлен под конкретное обеспечение.
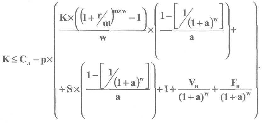
С учетом выражения (17), формула (5) будет выглядеть следующим образом:
(18)
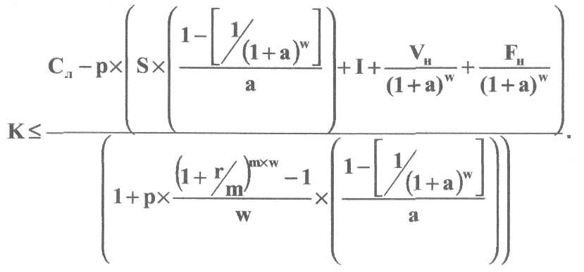
Чтобы использовать выражение (18) для расчета максимально возможной величины кредита, предоставляемого под залог, при конкретной ликвидационной стоимости объекта залога, необходимо осуществить ряд преобразований.
В правой части неравенства (18), вынеся за скобки член, содержащий в качестве сомножителя величину К, получим выражение следующего вида:
(19)
Перенеся из правой части неравенства (19) в его левую часть член, содержащий в качестве сомножителя величину К, получим выражение следующего вида:
(20)
После вынесения величины К в левой части выражения (20) за скобки, это выражение будет иметь следующую форму:
(21)
Выразив величину К из формулы (21), получим формулу следующего вида, которая может использоваться для расчета максимально возможной величины кредита, предоставляемого под залог:
(22)
Для упрощения расчетов величины кредитов, предоставляемых под залог, а также для удобства последующего анализа результатов этих расчетов, можно использовать Microsoft Excel. Составим макет таблицы Excel (табл.1), который можно использовать для автоматизации процесса вычисления максимально возможной величины кредита, предоставляемого под залог.
Как видно, в структуре таблицы 1 можно выделить два раздела: "Исходные данные" и "Расчеты максимально возможной величины кредита и коэффициента LTLV". Каждый из этих разделов обладает определенной спецификой. Так, первый раздел "Исходные данные" содержит исходные параметры расчетов, вводимые вручную. Ячейки раздела "Расчеты максимально возможной величины кредита и коэффициента LTLV" содержат формулы для вычисления максимально возможной величины предоставляемого кредита и коэффициента LTLV.
Таблица 1
Макет листа электронной таблицы Excel, используемой для расчета максимально возможной величины кредита, предоставляемого под залог
|
А |
В |
|
|
1 |
Кредит |
|
|
2 |
Исходные данные: |
|
|
3 |
Ликвидационная стоимость объекта залога |
|
|
4 |
Номинальная годовая процентная ставка по кредиту, % |
|
|
5 |
Продолжительность периода кредитования, лет |
|
|
6 |
Число периодов начисления процентов в течение года |
|
|
7 |
Годовая ставка дисконта, % |
|
|
8 |
Ежегодные расходы, связанные с содержанием объекта залога |
|
|
9 |
Расходы, связанные со страхованием объекта залога |
|
|
10 |
Расходы, связанные с осуществлением обеспеченных залогом требований |
|
|
11 |
Неустойка, выплачиваемая заемщиком |
|
|
12 |
Вероятность нарушения заемщиком условий кредитного договора, % |
|
|
13 |
Расчет максимально возможной величины кредита и коэффициента LTLV: |
|
|
14 |
Максимально возможная величина кредита (К max), руб. |
= (B3-B12*(B8*((1-(1/(1+B7)^B5))/B7)+B9+(B10+B11)/(1+B7)^B5))/(1+(B12*((1+B4/B6)^(B6*B5)-1)/B5)*((1-(1/(1+B7)^B5))/B7)) |
|
15 |
Коэффициент LTLV, соответствующий К max |
= В13/В3 |
Примечание: в процессе кредитования представляется целесообразным использовать коэффициент, демонстрирующий отношение величины кредита к ликвидационной стоимости объекта залога кредита, который по аналогии с коэффициентом LTV (loan to value ratio) [24 Рябченко, c.85], мы предлагаем называть LTLV (loan to liquidating value ratio).
Поясним подробнее содержание ячеек раздела "Исходные данные" - диапазон ячеек ВЗ:В11:
- Ячейка ВЗ содержит величину ликвидационной стоимости объекта залога (Сл), которая, как правило, определяется независимыми экспертами-оценщиками, фиксирующими результаты оценки в отчете об оценке.
- Ячейка В4 содержит величину номинальной годовой процентной ставки (г), выражающую цену пользования кредитом. Эта цена устанавливается специалистами банка.
- Ячейка В5 содержит величину продолжительности (в годах) периода (w), на который предоставляется кредит.
Продолжительность этого периода определяется специалистами банка с заемщиком.
- Ячейка В6 содержит количество периодов начисления процентов в течение года, в соответствии с условиями кредитной сделки (m).
- Ячейка В7 содержит величину годовой ставки дисконта (а). Определение этой величины может осуществляться как специалистами банка, так и специалистами консалтинговых фирм.
- Ячейка В8 содержит выраженную в денежных единицах ежегодную величину расходов, связанных с содержанием объекта залога (S). Эта величина может определяться специалистами банка как самостоятельно, так и с привлечением экспертов-оценщиков. Стоит отметить, что на практике банки предпочитают не брать на себя обязательств по содержанию объекта залога.
- Ячейка В9 содержит выраженную в денежных единицах величину расходов, связанных с необходимостью страхования объекта залога (I), Следует отметить, что на практике банки, как правило, довольно редко берут на себя обязательства по страхованию объекта залога.
- Ячейка В10 содержит выраженную в денежных единицах не дисконтированную величину расходов, связанных с необходимостью осуществления обеспеченных залогом требований (Vн).
Расчет величины расходов, связанных с осуществлением обеспеченных залогом требований, можно производить при помощи таблицы 2, [23, c.35].
Таблица 2
Расходы, связанные с осуществлением обеспеченных залогом требований
|
Статья расходов |
Расходы в процентах от величины ликвидационной стоимости объекта залога |
|
Судебные (нотариальные) расходы |
2% |
|
Расходы, связанные с отчуждением |
7% |
|
Расходы, связанные с реализацией |
5% |
|
Итого: |
14% |
Следует отметить, что данные, приведенные в таблице 2, могут существенно варьироваться в зависимости от конкретных экономических условий.
- Ячейка В11 содержит выраженную в денежных единицах возможную величину неустойки, взимаемой кредитором с заемщика, в случае нарушения заемщиком условий кредитного договора (Fн). Неустойка, по сути, является компенсацией заемщиком банку упущенной выгоды последнего, которая явилась результатом нарушения заемщиком условий кредитного договора. Одной из важнейших составляющих величины неустойки являются средства, представляющие упущенную выгоду банка из-за необходимости резервирования. Однако, учитывая практическую сложность прогнозирования элементов, составляющих неустойку, на практике можно определять вероятную величину неустойки как определенный процент от величины ликвидационной стоимости объекта залога, определяемый экспертным путем.
- Ячейка В12 содержит величину вероятности нарушения заемщиком условий кредитного договора (р). Эта величина определяется специалистами банка с учетом кредитоспособности заемщика, его кредитной истории и т.д. В силу значительного влияния вероятности нарушения заемщиком условий кредитного договора на величину предоставляемого кредита, представляется особенно актуальным вопрос разработки обоснованной методики определения кредитоспособности заемщика.
Рассмотрим содержание ячеек раздела "Расчеты максимально возможной величины кредита и коэффициента LTLV" -диапазон ячеек В14:В15:
- Ячейка В14 содержит формулу (22) для расчета максимально возможной величины кредита, который может быть предоставлен под данное обеспечение.
- Ячейка В15 содержит формулу для расчета коэффициента LTLV, демонстрирующего отношение величины предоставляемого кредита к ликвидационной стоимости объекта залога.
Взаимосвязь изменений значений исходных данных, используемых в качестве параметров расчетов, и максимально возможной величины кредита, предоставляемого под конкретное обеспечение (таблица 3).
Таблица 3
Взаимосвязь изменений значений параметров расчетов и максимально возможной величины кредита, предоставляемого под залог

В каждом конкретном случае правильность определения величины кредита, предоставляемого под определенное обеспечение, зависит от опытности и квалифицированности банковских работников и экспертов-оценщиков, осуществляющих соответствующие расчеты.
1.5. Об определении понятия "ликвидационная стоимость"
На сегодняшний день не существует однозначного толкования различными специалистами понятия "ликвидационная стоимость".
Ниже представлены лишь некоторые из множества существующих на сегодняшний день его определений.
Ликвидационная стоимость объекта оценки - стоимость объекта оценки в случае, если объект оценки должен быть отчужден в срок меньше обычного срока экспозиции аналогичных объектов [16, стандарты РФ].
Стоимость при вынужденной продаже, или Ликвидационная стоимость, иногда необходима для оценки недвижимости, которая предназначена для обеспечения кредитных обязательств. Стоимость при вынужденной продаже идентична определению Рыночной стоимости с тем отличием, что время для маркетинга очень мало, реклама и рыночная экспозиция не адекватны по сравнению со временем и мерами продвижения на рынок, которые необходимы для получения наилучшей цены на рынке. Продавец также может находиться под принуждением или давлением [17, МСО].
Ликвидационная стоимость - стоимость, по которой объект оценки мог бы быть продан на открытом конкурентном рынке, если бы срок реализации объекта был бы короче "разумно долгого" для данного типа объектов на данном рынке, также стоимость, по которой активы (сумма активов), составляющие объект оценки, могли бы быть реализованы на открытом рынке в обусловленный срок, при условии, что продавцом тем или иным образом выступает (в зависимости от условий заказа на оценку) типичный или специфический собственник объекта оценки [23, с.37].
Ликвидационная стоимость, или стоимость при вынужденной продаже. Денежная сумма, которая реально может быть получена от продажи собственности в сроки, слишком короткие для проведения адекватного маркетинга в соответствии с определением рыночной стоимости. В некоторых государствах к ситуациям вынужденной продажи могут быть отнесены случаи с недобровольным продавцом и покупателем, или покупателями, информированными о затруднениях, испытываемых продавцом.
Ликвидационная стоимость (чистый доход от ликвидации).
Ликвидационная стоимость может определяться для двух вариантов условий:
- продажа активов в неограниченные сроки (продажа наиболее эффективным образом);
- ускоренная или вынужденная ликвидация.
Основными признаками, отличающими ликвидационную стоимость от рыночной стоимости, являются укороченный период экспозиции объекта и то, что реализация объекта носит вынужденный характер. Эти признаки являются главными характерными особенностями ликвидационной стоимости.
Исходя из вышесказанного, понятие ликвидационной стоимости можно сформулировать следующим образом.
Ликвидационная стоимость - стоимость, по которой объект оценки может (мог) быть продан на открытом конкурентном рынке, если бы период экспозиции объекта был бы короче "разумно долгого" для данного типа объектов на данном рынке [23, с.40].
1.6. Почему возникает необходимость использования ликвидационной стоимости
При реализации объекта у субъекта экономических отношений существует альтернатива в отношении установления цены. Если нет обстоятельств, вынуждающих субъекта экономических отношений к сокращению периода экспозиции объекта, то субъект экономических отношений будет дожидаться реализации объекта по цене, соответствующей его рыночной стоимости. В случае наличия таких вынуждающих обстоятельств, субъект экономических отношений будет стремиться сократить период экспозиции объекта, предлагая объект на рынке по цене, соответствующей его ликвидационной стоимости (рис.2).

Рис 2. Альтернатива установления цены продавцом объекта в зависимости от условий реализации.
Следует отметить, что величина ликвидационной стоимости объекта всегда меньше величины его рыночной стоимости. Причем, чем быстрее нужно реализовать объект, тем, по-видимому, меньше его ликвидационная стоимость, по сравнению с его рыночной стоимостью.
Какие же обстоятельства могут вынудить субъекта экономических отношений снизить цену реализуемого объекта, с целью сокращения периода его экспозиции, а не дожидаться продажи объекта по цене, соответствующей его рыночной стоимости?
Необходимо отметить, что любой объект экономических отношений - предприятие, актив, личное имущество или какой-либо иной, прежде всего, является источником отрицательных условно-денежных потоков, и лишь при определенных условиях генерирует положительные условно-денежные потоки (рис.3).

Рис.3. Объект экономических отношений как источник отрицательных и положительных условно-денежных потоков.
Продемонстрируем вышеприведенное положение с помощью примера. Допустим, вы приобрели высокотехнологичное оборудование. Независимо от того, используете ли вы его или нет, оно уже является для вас источником отрицательных условно-денежных потоков, так как требует затрат хотя бы на обеспечение сохранности и поддержание необходимых условий хранения.
Представим, что осуществляется реализация активов ликвидируемого предприятия. Эти активы после исключения из хозяйственного оборота перестали быть источником положительных условно-денежных потоков, но продолжают оставаться источником отрицательных условно-денежных потоков. У субъекта экономических отношений при реализации активов ликвидируемого предприятия существует альтернатива в отношении установления их цены (рис.3).
В случае реализации активов ликвидируемого предприятия по цене, соответствующей их рыночной стоимости, ликвидационная комиссия получит больше средств, чем при реализации этих активов по цене, соответствующей их ликвидационной стоимости. Однако не следует забывать, что на протяжении всего периода экспозиции активов ликвидируемого предприятия, эти активы будут являться источником отрицательных условно-денежных потоков. А ведь при реализации активов по цене, соответствующей их рыночной стоимости, период экспозиции этих активов может быть гораздо продолжительнее, чем в случае их реализации по цене, соответствующей ликвидационной стоимости. Образно говоря, при реализации активов ликвидируемого предприятия по цене, соответствующей их рыночной стоимости, активы "поедают" сами себя вследствие накопления отрицательных условно-денежных потоков, погашение которых возможно, как это не парадоксально, за счет реализации самих же активов ликвидируемого предприятия.
При наличии вышеупомянутых экономических обстоятельств, вынуждающих ликвидационную комиссию к сокращению периода экспозиции активов ликвидируемого предприятия, правильным решением будет реализация этих активов по цене, соответствующей их ликвидационной стоимости (рис.3).
1.7. Сферы использования ликвидационной стоимости
В каких же ситуациях возникает необходимость определения ликвидационной стоимости? С учетом изложенного в предыдущей главе, можно сделать вывод, что в процессе экономических отношений возникает необходимость определения ликвидационной стоимости, (рис.4).

Рис.4. Объекты, для которых возникает необходимость определения ликвидационной стоимости.
- объектов залога при кредитовании под залог и при обеспечении обязательств стороной сделки;
- имущества, реализуемого с участием судебных исполнителей;
- активов ликвидируемых предприятий, в том числе и при проведении процедуры банкротства;
- имущества, пребывающего в налоговом залоге и подлежащего реализации для погашения налоговой задолженности налогоплательщика;
- объектов незавершенного строительства;
- любого имущества, подлежащего ускоренной реализации в силу каких-либо экономических или иных причин.
1.8. Зависимость вида определяемой стоимости от продолжительности фиксированного периода экспозиции объекта
Определяя стоимость объекта оценки при фиксированном периоде его экспозиции, следует учитывать особенности, связанные с выбором вида определяемой стоимости (базы оценки), в зависимости от продолжительности этого периода [23, с.47].
В процессе взаимодействия субъектов экономических отношений часто возникает необходимость определения стоимости объектов экономических отношений при фиксированном периоде их экспозиции. При оценке объекта залога банк, интересующийся его стоимостью, как правило, также устанавливает приемлемый период экспозиции, используемый оценщиками при определении стоимости объекта залога.
Выясним, каким видом стоимости может обладать объект оценки при условии фиксированного периода экспозиции.
В случае, если фиксированный период экспозиции объекта не короче разумно долгого периода его экспозиции, то объект обладает рыночной стоимостью, при условии наличия остальных признаков рыночной стоимости, так как разумно долгий период экспозиции объекта - период экспозиции объекта в условиях, когда он предложен по цене, соответствующей его рыночной стоимости на открытом конкурентном рынке, который является разумно долгим с точки зрения типичного продавца данного типа объектов.
Результатом оценки, выполненной при условии фиксированного периода экспозиции, если этот период короче разумно долгого периода экспозиции объекта, является не рыночная, а ликвидационная стоимость.
Рыночной стоимостью объект оценки обладает, исходя из определения рыночной стоимости, при условии разумно долгого периода экспозиции, а ликвидационной стоимостью объект может обладать при различных периодах экспозиции, которые короче разумно долгого, (рис.5).

Рис.5. Графическое представление зависимости вида определяемой стоимости от продолжительности фиксированного периода экспозиции объекта
Условные обозначения на рисунке:
tРД - разумно долгий период экспозиции объекта;
А - область, в которой объект оценки обладает ликвидационной стоимостью;
В - область, в которой объект оценки обладает рыночной стоимостью.
По-видимому, один и тот же объект, обладающий определенной рыночной стоимостью, может обладать различными уровнями ликвидационной стоимости при различных фиксированных периодах его экспозиции, которые короче разумно долгого периода экспозиции этого объекта.
В ходе дальнейших рассуждений, говоря о фиксированном периоде экспозиции объекта, мы будем подразумевать, что он короче разумно долгого периода экспозиции данного объекта, и, следовательно, что этот объект обладает ликвидационной стоимостью.
1.9. Метод расчета ликвидационной стоимости объекта оценки
В настоящее время предложенный нами метод расчета ликвидационной стоимости объекта оценки учитывает два фактора:
- фактор стоимости денег во времени;
- фактор эластичности спроса по цене.
По сути, учет влияния первого фактора, стоимости денег во времени, позволяет отразить специфику денежного измерителя, в то время как учет второго фактора, эластичности спроса по цене, позволяет отразить специфику самого объекта оценки.
1.9.1. Учет фактора стоимости денег во времени
Учет фактора стоимости денег во времени базируется на сформулированном нами принципе безубыточной реализации объекта по цене, которая ниже его рыночной стоимости [23, с.49].
Суть принципа заключается в следующем: убытки, возникающие при реализации объекта по цене, которая ниже его рыночной стоимости, должны быть компенсированы доходами от размещения денежных средств, полученных от реализации этого объекта, в меньшем объеме, но ранее.
Сущность этого принципа можно продемонстрировать с помощью рисунка 6, который отражает следующее. Продавец, стремящийся получить в результате реализации объекта сумму, соответствующую его рыночной стоимости (С), может получить ее за счет двух составляющих:
- суммы, соответствующей ликвидационной стоимости объекта (Сл);
- дохода, полученного за период tД от размещения суммы, соответствующей ликвидационной стоимости объекта (Сл).

Рис.6. Графическое представление «принципа безубыточной реализации объекта по цене ниже его рыночной стоимости»
Условные обозначения на рисунке:
С - стоимость;
t - время;
Ср - рыночная стоимость объекта оценки;
Сл- ликвидационная стоимость объекта оценки, соответствующая фиксированному периоду (tФ) его реализации;
tРД - разумно долгий период экспозиции объекта оценки;
tФ - фиксированный период экспозиции объекта оценки;
tД - период дисконтирования;
1 - разница между величиной ликвидационной (Сл) и рыночной (Ср) стоимости объекта оценки.
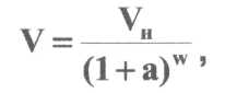
Таким образом, величину 1 в формуле (2) можно считать равной доходу, полученному за период tД от размещения суммы, соответствующей ликвидационной стоимости объекта (Сл).
Доход от размещения суммы, соответствующей ликвидационной стоимости (Сл) объекта, для случая начисления сложных процентов рассчитывается по формуле:
(23)
Подставив величину 1, выраженную формулой (23), в формулу (2), получим выражение следующего вида:
(24)
Тогда формула для расчета ликвидационной стоимости объекта оценки, учитывающая фактор стоимости денег во времени, будет иметь следующий вид:
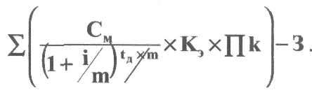
(25)
где,
Сл - ликвидационная стоимость объекта оценки, соответствующая фиксированному периоду (tФ) его экспозиции (руб..);
tД - продолжительность периода дисконтирования (лет);
m - количество периодов начисления процентов в течение года;
i - годовая ставка дисконта (выраженная как десятичная дробь).
Величина tД , в свою очередь, рассчитывается по формуле:
tД = tРД - tФ, (26)
Для удобства практического применения предложенной формулы (25) составлена таблица 4, отражающая ликвидационную стоимость объекта (Сл) в процентах от его рыночной стоимости (Ср) в зависимости от годовой ставки дисконта (i) и периода дисконтирования (tД).
При расчете величины ликвидационной стоимости объекта оценки возникает проблема выбора годовой ставки дисконта. Ее выбор зависит от потенциального варианта размещения денежных средств, с целью компенсации потерь, возникающих при реализации объекта оценки по цене, которая ниже его рыночной стоимости.
Рассматривая проблему выбора годовой ставки дисконта при определении ликвидационной стоимости объекта залога, необходимо учитывать специфику банка как кредитно-финансового учреждения. Так как кредитование является одной из важнейших функций банка, то, по-видимому, наиболее вероятным способом размещения денежных средств является предоставление их в кредит. Таким образом, представляется целесообразным использовать при определении величины ликвидационной стоимости объекта залога в качестве годовой ставки дисконта годовую процентную ставку по кредитам.
Таблица 4
Ликвидационная стоимость объекта оценки в процентах от его рыночной стоимости при ежемесячном начислении сложных процентов
|
tД дней |
i,% |
||||
|
10% |
20% |
30% |
40% |
50% |
|
|
30 |
99,2% |
98,4% |
97,6% |
96,8% |
96,0% |
|
60 |
98,4% |
96,7% |
95,2% |
93,7% |
92,2% |
|
90 |
97,5% |
95,2% |
92,9% |
90,6% |
88,5% |
|
120 |
96,7% |
93,6% |
90,6% |
87,7% |
84,9% |
|
150 |
95,9% |
92,1% |
88,4% |
84,9% |
81,5% |
|
180 |
95,1% |
90,6% |
86,2% |
82,1% |
78,3% |
|
210 |
94,4% |
89,1% |
84,1% |
79,5% |
75,1% |
|
240 |
93,6% |
87,6% |
82,1% |
76,9% |
72,1% |
|
270 |
92,8% |
86,2% |
80,1% |
74,4% |
69,3% |
|
300 |
92,0% |
84,8% |
78,1% |
72,0% |
66,5% |
|
330 |
91,3% |
83,4% |
76,2% |
69,7% |
63,8% |
|
360 |
90,5% |
82,0% |
74,4% |
67,5% |
61,3% |
В других случаях определения величины ликвидационной стоимости объектов, например, в случае определения величины ликвидационной стоимости активов ликвидируемых предприятий, в качестве годовой ставки дисконта можно использовать годовую процентную ставку по депозитам.
Вышеприведенные положения, касающиеся проблемы выбора годовой ставки дисконта при определении величины ликвидационной стоимости объекта оценки, можно проиллюстрировать графически (рис.7).

Рис.7. Выбор годовой ставки дисконта при определении ликвидационной стоимости объекта оценки
1.9.2. Учет фактора эластичности спроса по цене
Для учета влияния фактора эластичности спроса по цене на ликвидационную стоимость объекта оценки целесообразно рассмотреть реализацию объекта как процесс [23, с.53].
Как было показано ранее (рис. 2), объект предлагается к реализации по цене, соответствующей его ликвидационной стоимости, когда существует необходимость сократить период его экспозиции на рынке до продолжительности меньшей, чем продолжительность разумно долгого периода его экспозиции.
Можно допустить, что существует определенный экономический механизм, обеспечивающий сокращение периода экспозиции объекта при понижении его цены. Понимание функционирования этого механизма позволит обнаружить влияние фактора эластичности спроса по цене на величину ликвидационной стоимости объекта.
Представляется целесообразным условно выделить несколько этапов функционирования вышеупомянутого экономического механизма:
- Продавец снижает цену реализуемого объекта. При этом необходимо, чтобы потенциальные покупатели были проинформированы о снижении цены объекта.
- Под воздействием снижения цены реализуемого объекта, при прочих равных условиях, как правило, происходит повышение величины спроса на этот объект.
- Повышение величины спроса на реализуемый объект, при прочих равных условиях, как правило, увеличивает вероятность его скорейшей реализации, то есть сокращает период экспозиции объекта на рынке.
Вышеизложенное можно проиллюстрировать с помощью рисунка 8.

Рис 8. Направление взаимосвязи экономических параметров.
Приведенный выше рисунок 8 дает нам представление о направлении изменения одного экономического параметра (периода экспозиции) под воздействием изменения другого экономического параметра (цены). Однако, для того чтобы использовать полученные данные на практике для определения ликвидационной стоимости объекта, нам необходимо знать не только направление взаимосвязи таких экономических параметров как цена, спрос, период экспозиции, но и тесноту этой взаимосвязи.
Тесноту взаимосвязи экономических параметров можно оценивать при помощи коэффициентов эластичности. Можно сказать, что эти коэффициенты демонстрируют "чувствительность" одних экономических параметров к изменениям других экономических параметров.
Причем, чем выше теснота взаимосвязи таких экономических параметров как цена, спрос, период экспозиции, тем незначительнее, при прочих равных условиях, продавцу нужно снижать цену объекта, чтобы реализовать его в более короткий срок. Следовательно, чем выше значения соответствующих коэффициентов эластичности, тем незначительнее, при прочих равных условиях, величина ликвидационной стоимости данного объекта будет отличаться от величины его рыночной стоимости.
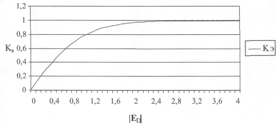
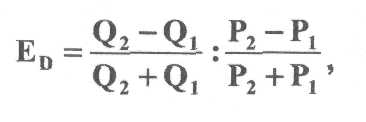
Конкретизируя изложенное выше, покажем каким образом можно выразить тесноту взаимосвязи цены объекта и величины спроса на него. Тесноту этой взаимосвязи отражает коэффициент эластичности спроса по цене. Как известно, этот коэффициент показывает на сколько процентов изменится величина спроса на объект при изменении цены данного объекта на один процент.
Для вычисления значения коэффициента эластичности спроса по цене можно использовать следующую формулу [23, с.55]:
(27)
где,
ED - коэффициент эластичности спроса по цене;
Q1 - исходная величина спроса на объект;
Q2 - итоговая величина спроса на объект;
Р1 - исходная цена объекта;
Р2 - итоговая цена объекта.
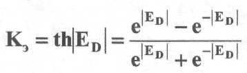
С учетом того, что коэффициент эластичности спроса по цене, как правило, берут по абсолютной величине, он может принимать значения от 0 до .
В зависимости от значения коэффициента эластичности спроса по цене чаще всего различают следующие типы спроса:
- абсолютно неэластичный - |ED| = 0, когда величина спроса не изменяется при изменении цены;
- неэластичный - 0 < |ED| < 1, когда процентное изменение величины спроса меньше, чем процентное изменение цены;
- с единичной эластичностью - |ED| = 1, когда процентное изменение величины спроса равно процентному изменению цены;
- эластичный - |ED|> 1, когда процентное изменение величины спроса больше, чем процентное изменение цены;
- абсолютно эластичный - |ED| = , когда бесконечно малое изменение цены приводит к бесконечно большому изменению величины спроса.
Следует отметить, что абсолютно эластичный и абсолютно неэластичный спрос практически невозможно встретить в реальных экономических условиях.
Рассмотрев основные аспекты эластичности спроса по цене, перейдем непосредственно к рассмотрению влияния этого фактора на ликвидационную стоимость объекта оценки и возможности его учета в методе определения ликвидационной стоимости объекта оценки.
Изложенное ранее позволяет сформулировать следующее утверждение: чем больше значение коэффициента эластичности спроса по цене, тем незначительнее, при прочих равных условиях, величина ликвидационной стоимости объекта отличается от величины его рыночной стоимости.
В этой связи, представляется целесообразным учесть влияние фактора эластичности спроса по цене на ликвидационную стоимость объектов оценки путем введения в формулу для ее расчета (25) поправочного коэффициента КЭ:
(28)
где,
КЭ - поправочный коэффициент, учитывающий влияние эластичности спроса по цене на ликвидационную стоимость объекта.
Значение поправочного коэффициента Кэ должно определенным образом зависеть от величины коэффициента эластичности спроса по цене. Причем с учетом того, что величина ликвидационной стоимости объекта всегда меньше величины его рыночной стоимости и всегда больше нуля [23, с.56], можно утверждать, что поправочный коэффициент Кэ может принимать любые значения в диапазоне (0;1):
0 < КЭ < 1. (29)
С учетом характера влияния эластичности спроса по цене на величину ликвидационной стоимости объекта, представляется возможным аналитически задать зависимость значения поправочного коэффициента Кэ от величины коэффициента эластичности спроса по цене |ED| следующим выражением:
(30)
где,
th - гиперболический тангенс;
е = 2,71828 (const).
Как известно, значение функции гиперболического тангенса при больших положительных значениях аргумента приближается к единице, оставаясь все время меньше единицы [25, с. 68-69].
Зависимость, выраженную формулой (30), графически (рис. 9).

Рис.9. Графическое представление взаимосвязи поправочного коэффициента Кэ и коэффициента эластичности спроса по цене ED.
Основываясь на изложенном выше, можно ассоциировать диапазоны значений коэффициента эластичности спроса по цене, соответствующие наиболее часто встречающимся в реальных экономических отношениях типам спроса, с конкретными численными значениями поправочного коэффициента Кэ (табл.5).
Таблица 5
Значения поправочного коэффициента Кэ:
|
Тип спроса |
Диапазон значений коэффициента эластичности спроса по цене |ED| |
Значение поправочного коэффициента Кэ |
|
Неэластичный |
0 < |ED| < 1 |
(0 - 0,76) |
|
С единичной эластичностью |
|ED| = 1 |
0,76 |
|
Эластичный |
|ED| > 1 |
(0,76 - 1) |
Использование поправочного коэффициента Кэ, учитывающего эластичность спроса по цене, в формуле для определения ликвидационной стоимости объекта оценки (28) позволит повысить точность расчетов и степень достоверности результатов оценки.
1.9.3. Учет дополнительных факторов
Предложенный нами метод определения ликвидационной стоимости объектов оценки имеет широкую сферу применения, что обуславливает его практическую значимость и предъявляет определенные требования к точности результатов оценки, получаемых при его использовании. Это обуславливает необходимость дальнейшего развития предложенного метода как в направлении совершенствования учета уже известных факторов, оказывающих влияние на величину ликвидационной стоимости объекта оценки, так и в направлении выявления и учета новых [23, с.59].
С учетом вышеизложенного, представляется целесообразным модифицировать формулу (28) для расчета ликвидационной стоимости объекта залога и представить ее в следующем виде:
(31)
где
ПК - произведение значений коэффициентов, учитывающих влияние различных факторов на величину ликвидационной стоимости объекта оценки.
1.10. Учет фактора изменения рыночной стоимости во времени при определении величины кредита, предоставляемого под залог
Встречаются экономические ситуации, когда объект оценки подлежит реализации через довольно продолжительный период времени после даты оценки. Например, оценка объекта залога производится на дату, соответствующую началу периода кредитования, а реализация объекта залога, в случае возникновения такой необходимости, чаще всего осуществляется в конце периода кредитования. В некоторых ситуациях продолжительность периода кредитования оказывается достаточной для того, чтобы рыночная стоимость объекта залога существенно изменилась.
Так как рыночная стоимость объекта является базой для расчета его ликвидационной стоимости, то изменение рыночной стоимости объекта залога влечет за собой изменение его ликвидационной стоимости. Следовательно, ликвидационная стоимость объекта залога в момент его реализации может существенно отличаться от ликвидационной стоимости этого объекта на дату оценки. В случае нарушения заемщиком условий кредитного договора, это может существенно повлиять на возможность удовлетворения банком своих требований путем реализации объекта залога.
Следовательно, для снижения риска возникновения у банка финансовых потерь, связанных с невозможностью полного удовлетворения его требований за счет суммы, вырученной от реализации объекта залога, вследствие уменьшения стоимости объекта залога, необходимо учитывать фактор изменения во времени рыночной стоимости объекта залога [23, с.60].
Сказанное выше в отношении необходимости учета фактора изменения во времени рыночной стоимости справедливо не только для случая определения ликвидационной стоимости объекта залога, но и для любого случая определения ликвидационной стоимости объекта оценки, когда рыночная стоимость, а, следовательно, и ликвидационная стоимость этого объекта может существенно измениться за период от даты оценки до момента предполагаемой реализации объекта оценки.
С учетом вышеизложенного, следует отметить, что базой для расчета величины кредита, предоставляемого под залог, должна служить прогнозируемая величина ликвидационной стоимости объекта залога, соответствующая моменту его предполагаемой реализации.
Таким образом, при проведении процедуры оценки объекта залога, которая предшествует предоставлению кредита, оценщик помимо определения величины ликвидационной стоимости объекта залога на дату оценки, соответствующую началу периода кредитования, должен осуществить прогнозирование величины ликвидационной стоимости объекта залога, соответствующей моменту его предполагаемой реализации.
Таким образом, отчет об оценке объекта залога должен содержать дополнительный раздел, в котором оценщик приводит прогнозируемую величину ликвидационной стоимости объекта залога с соответствующими расчетами и пояснениями, а также рекомендации по использованию этой величины в качестве базы для расчета величины кредита, предоставляемого под залог.
Так как ликвидационная стоимость объекта оценки рассчитывается на базе его рыночной стоимости, то в основе прогнозирования ликвидационной стоимости объекта оценки лежит прогнозирование его рыночной стоимости. Прогнозирование величины ликвидационной стоимости объекта оценки можно осуществлять с помощью приведенных ниже формул:
Ср' = Ср * Тр, (32)
где,
Ср' - прогнозируемая рыночная стоимость объекта оценки, соответствующая моменту его предполагаемой реализации;
Ср - рыночная стоимость объекта оценки на дату оценки;
Тр - поправочный коэффициент, учитывающий изменение рыночной стоимости объекта оценки за период между датой оценки и моментом предполагаемой реализации объекта.
(33)
где,
С ' - прогнозируемая рыночная стоимость объекта оценки, соответствующая моменту его предполагаемой реализации;
С - рыночная стоимость объекта оценки на дату оценки;
При определении значения поправочного коэффициента Тр эксперты-оценщики должны придерживаться принципа разумной осторожности оценок. Вместе с тем, учитывая результаты проведенных ранее исследований, показавших, что ни величина ликвидационной стоимости объекта оценки, ни величина его рыночной стоимости не могут принимать значений, меньших, либо равных нулю, можно утверждать, что поправочный коэффициент Тр должен быть больше нуля [23, с.62].
1.11. Каковы верхний и нижний пределы значений величины ликвидационной стоимости объекта
Как известно, базой для расчета величины ликвидационной стоимости объекта оценки является величина его рыночной стоимости. Международные стандарты оценки МСО 1 гласят: "Рыночная стоимость является представлением меновой стоимости, или той денежной величины, которую можно получить за собственность, если она будет выставлена на продажу на открытом рынке на дату оценки при условии соблюдения требований, указанных в определении рыночной стоимости".
Ликвидационная стоимость, как и рыночная стоимость, представляет собой меновую стоимость, то есть стоимость, которой объект обладает на рынке, а не стоимость с точки зрения определенного пользователя. Как известно, основным признаком, отличающим ликвидационную стоимость от рыночной стоимости, является укороченный, по сравнению с разумно долгим, период экспозиции объекта на рынке.
Так как ликвидационная стоимость является видом меновой стоимости, то представляется целесообразным определиться с возможными значениями меновой стоимости, а затем перейти к нахождению верхнего и нижнего пределов значений величины ликвидационной стоимости объекта.
Какие же значения может иметь меновая стоимость? Рассмотрим три возможных, сточки зрения математики, варианта ответа и проанализируем их экономический смысл:
- меновая стоимость может быть положительна;
- меновая стоимость может быть равна нулю;
- меновая стоимость может быть отрицательна.
Прежде чем перейти к последовательному рассмотрению трех вышеуказанных вариантов ответа, еще раз обратим внимание на сущность меновой стоимости.
Меновая стоимость - это стоимость, которой объект обладает на рынке, в отличие от потребительной стоимости - стоимости сточки зрения определенного пользователя.
Теперь можем перейти непосредственно к рассмотрению трех вышеупомянутых вариантов ответа на вопрос о возможных значениях меновой стоимости.
Первый вариант ответа - меновая стоимость объекта может быть положительна. Мы не будем подробно рассматривать этот вариант ответа, поскольку его экономический смысл не вызывает сомнений.
Второй вариант ответа - меновая стоимость объекта может быть равна нулю. Этот вариант заслуживает более подробного рассмотрения. Легко заметить, что в случае равенства величины меновой стоимости объекта нулю, никакого получения денежной величины в обмен на объект не произойдет. Более того, будут отсутствовать отношения мены, поскольку при нулевой меновой стоимости объекта продавец ничего не получит в обмен на продаваемый объект. Следовательно, величина меновой стоимости объекта не может быть равна нулю.
Третий вариант ответа - меновая стоимость объекта может быть отрицательна. Некоторые оценщики считают, что значение величины меновой стоимости может иметь отрицательные значения, аргументируя это наличием в Европейских стандартах оценки недвижимости TEGOVA упоминаний отрицательной стоимости.
Обратимся к Европейским стандартам оценки недвижимости TEGOVA, которые гласят:
"4.06.1. Отрицательные значения стоимости возникают тогда, когда недвижимое имущество в силу физических, юридических, финансовых или контрактных обязательств, которые налагаются на установленное законом право владения, генерирует отрицательный фактический или гипотетический денежный поток или требует существенных ремонтных работ. Активы становятся обязательствами или отрицательной стоимостью.
4.06.2. Отрицательные стоимости могут возникать при владении на правах аренды, когда величина арендной платы в соответствии с арендным договором превышает рыночную арендную стоимость, и/или когда в договоре имеются обременительные обязательства для арендаторов.
4.06.3. Недвижимость, которой владеют на основе полного права собственности, также может быть отнесена к обязательствам, если юридически обязательные затраты на ее освоение или издержки по выполнению обязательств, предусмотренных законом или обусловленных в контракте, превышают стоимость недвижимости, свободной от таких обязательств".
Далее, в разделе вышеупомянутых стандартов, посвященном определению ключевых терминов: "Отрицательная стоимость -это такая стоимость, которая представляет юридическую, и, следовательно, финансовую ответственность пользователя или владельца недвижимости. Отрицательная стоимость возникает тогда, когда объекты недвижимости в соответствии с физическими, юридическими, финансовыми или контрактными обязательствами, связанными с юридическим интересом, генерируют реальные или гипотетические отрицательные денежные потоки или требуют значительных затрат на их восстановление. Такое имущество превращается в обязательство или отрицательную стоимость".
Если проанализировать приведенные выше положения, то станет ясно, что они подразумевают стоимость во владении либо пользовании, а не меновую стоимость объекта, так как в этих положениях понятие отрицательной стоимости неразрывно связано с конкретными субъектами: "пользователями" или "владельцами". Действительно, стоимость объекта сточки зрения конкретного субъекта может быть отрицательна, но из этого вовсе не следует то, что стоимость, которой такой объект обладает на рынке, то есть меновая стоимость, тоже может быть отрицательна.
Если бы величина меновой стоимости могла принимать отрицательные значения, то мы могли бы наблюдать на рынке такие ситуации, когда продавец уговаривал бы покупателя взять у него товар, и был бы еще готов заплатить покупателю за то, чтобы тот взял у него этот товар. Такая ситуация абсурдна с экономической точки зрения и не соответствует самой сущности хозяйственной операции купли-продажи, как частного вида хозяйственных операций мены. В такой ситуации "продавец", отдавая товар и сумму средств, равную отрицательной меновой стоимости товара, ничего не получает от другой стороны взамен. То есть, вместо операции мены будет иметь место операция безвозмездной передачи товара и дополнительной суммы денежных средств одним субъектом другому.
Исходя из вышеизложенного, можно зафиксировать важное методологическое положение: величина меновой стоимости объекта не может быть отрицательной или равной нулю.
С учетом вышеприведенного можно утверждать, что ни величина рыночной стоимости объекта оценки, ни величина его ликвидационной стоимости не могут принимать значений меньших, либо равных нулю [23, с.68].
Тогда для величин рыночной и ликвидационной стоимости объекта оценки будут справедливы следующие неравенства:
Ср>0, (34)
Сл>0. (35)
Вместе с тем, требует ответа вопрос, а всегда ли этот предел, определяемый неравенством (35), является нижним пределом значений ликвидационной стоимости объекта оценки?
Учитывая взаимосвязь ликвидационной и рыночной стоимости (31), можно утверждать, что минимальное значение величины ликвидационной стоимости объекта оценки соответствует минимальному значению величины рыночной стоимости этого объекта.
Нетрудно заметить, что проблема определения минимального значения величины ликвидационной стоимости объекта связана с проблемой поиска минимального значения величины рыночной стоимости данного объекта.
Как было показано ранее, величина рыночной стоимости объекта оценки не может принимать отрицательных и нулевых значений. При нахождении минимального значения рыночной стоимости существенным является то, что при определении рыночной стоимости объекта оценки оценщик должен исходить из принципа его наиболее эффективного использования. Поэтому, даже если не существует никаких возможностей более или менее выгодного использования данного объекта как единого целого, то этот объект можно реализовать в виде элементов и/или материалов, его составляющих.
Рассматривая возможность реализации совокупности элементов и/или материалов, составляющих целостный объект оценки, нельзя пренебрегать величиной затрат, возникающих в процессе демонтажа объекта оценки и в процессе реализации составляющих его элементов и/или материалов. Поэтому, во избежание необоснованного завышения величины рыночной стоимости объекта оценки, при рассмотрении такой альтернативы использования этого объекта как реализация его "по частям", оценщик обязан учитывать затраты, связанные с демонтажем данного объекта, а также, при необходимости, затраты, связанные с реализацией "частей", составляющих данный объект оценки.
Рисунок 10 отражает процесс реализации объекта оценки "по частям".

Рис.10. Процесс реализации объекта оценки «по частям».
Условные обозначения:
О - объект оценки;
Oi, Oi+1, Oi+2, Oi+3 - элементы и/или материалы, составляющие объект оценки.
Следует обратить внимание на то, что в отличие от величины рыночной стоимости объекта оценки, величина, равная разнице между суммой величин рыночной стоимости элементов и/или материалов, составляющих объект оценки, и затратами на демонтаж и реализацию данного объекта, может принимать нулевые и даже отрицательные значения.
С учетом вышесказанного, можем сформулировать следующее утверждение:
- в случае, когда величина, равная разнице между суммой величин рыночной стоимости элементов и/или материалов, составляющих объект оценки, и затратами на демонтаж и реализацию данного объекта положительна, величина рыночной стоимости объекта оценки не может быть меньше величины этой разницы.
- в случае, когда величина, равная разнице между суммой величин рыночной стоимости элементов и/или материалов, составляющих объект оценки, и затратами на демонтаж и реализацию данного объекта отрицательна либо равна нулю, величина рыночной стоимости объекта оценки должна быть больше нуля.
Вышеприведенное утверждение можно формализовать следующим образом:
(36)
где,
Cм - сумма рыночной стоимости элементов и/или материалов, составляющих объект оценки;
З - затраты, связанные с демонтажем и реализацией объекта оценки.
Рассмотрев вышеприведенное утверждение, касающееся минимального значения рыночной стоимости объекта и соответствующее ему выражение (36), приходим к выводу о взаимосвязи рыночной и утилизационной стоимости объекта оценки. Ведь, как известно, утилизационная стоимость объекта оценки как раз и представляет собой стоимость элементов и/или материалов, составляющих объект оценки, за вычетом затрат на его демонтаж и реализацию.
С учетом изложенного выше, можно утверждать, что в случае, когда величина утилизационной стоимости объекта оценки положительна, величина рыночной стоимости объекта оценки не может быть меньше величины его утилизационной стоимости.
А в случае, когда величина утилизационной стоимости объекта оценки отрицательна или равна нулю, величина рыночной стоимости объекта оценки должна быть больше нуля.
Это утверждение можно представить формально в следующем виде:
(37)
где, Су - утилизационная стоимость объекта оценки.
После того, как нами найдена нижняя граница значений величины рыночной стоимости объекта оценки, можем перейти непосредственно к определению нижней границы значений величины его ликвидационной стоимости.
Как было отмечено ранее, минимальное значение величины ликвидационной стоимости объекта оценки будет соответствовать минимальному значению величины рыночной стоимости этого объекта. Тогда, учитывая предложенную нами формулу, применяемую для расчета величины ликвидационной стоимости объекта оценки на базе его рыночной стоимости (31), а также неравенства, выражающие взаимосвязь величин рыночной и утилизационной стоимости объекта оценки (36 и 37), можем составить следующее выражение:
(38)
Таким образом, приходим к выводу о том, что если утилизационная стоимость объекта меньше или равна нулю, то минимальное значение величины его ликвидационной стоимости может опускаться до нуля (рис. 11).

Рис. 11 Диапазон возможных значений ликвидационной стоимости объекта в случае, если Су < О
Если же значение утилизационной стоимости объекта оказывается больше нуля, то нижним пределом значений величины ликвидационной стоимости будет являться величина, определяемая из выражения (рис. 12):
(39)

Рис. 12. Диапазон возможных значений ликвидационной стоимости объекта в случае, если Су > О
Верхний предел значений величины ликвидационной стоимости объекта оценки достаточно очевиден. Как известно, величина ликвидационной стоимости объекта оценки всегда меньше величины его рыночной стоимости. Ведь именно уменьшение цены объекта приводит к увеличению вероятности его скорейшей реализации. Тогда соотношение рыночной и ликвидационной стоимости можно представить в виде следующего выражения:
Сл < Ср (40)
ГЛАВА 2. Кредитование под залог торгового центра
2.1. Определение рыночной стоимости Торгового центра
2.1.1 Общие сведения
Краткое изложение основных фактов и выводов
|
Заказчик: |
КБ «БАНК СЕРВИС». |
|
Собственник объекта оценки |
Гражданин России Петров Валерий Валентинович, Гражданин России Иванов Александр Николаевич, Гражданин России Яковлев Александр Иванович, Гражданин России Мягков Петр Даниилович. |
|
Исполнитель: |
ООО «РЭАС-КО», ИНН 5019014479, КПП 501901001. Р/С 40702810700220000254 в Озерском филиале МИнБ, г. Кашира, М. О., ИНН 7725039953/503302001, К/С 30101810300000000600, БИК 044525600. |
|
Лицензия оценщика: |
№000255 от 23.08.2001г., продлена до 23.08.2007г. |
|
Страховой полис: |
№ Г10 70110 04 99 - 43 от 23.08.2004г. |
|
Основания проведения оценки: |
Договор на на оценку № 00015/005от 17.01.2005г. |
|
Объект оценки: |
Объект недвижимости: земельный участок площадью 1762 кв.м. с расположенными на нем улучшениями (здание торгового центра общей площадью 1214 кв.м.) |
|
Адрес объекта оценки: |
Московская обл., г. Кашира, Старый рынок, 12. |
|
Оцениваемые права: |
Право собственности. |
|
Дата осмотра объекта оценки: |
17.01.2005г. |
|
Дата проведения оценки: |
17.01.2005г. |
|
Дата составления Отчета |
22.01.2005г. |
|
Цель оценки: |
Определение ликвидационной стоимости объекта оценки. |
|
Назначение оценки: |
Для договора залога. |
|
Курс ЦБ РФ на дату оценки: |
27,95 рублей за один доллар США. |
|
Итоговая стоимость объекта оценки: |
7 600 000 рублей. |
|
Величина кредита под залог |
5 400 000 рублей. |
Сертификат качества оценки
Подписавший данный отчет Оценщик настоящим удостоверяют, что в соответствие с имеющимися данными:
- Факты, изложенные в отчете, верны и соответствуют действительности.
- Содержащиеся в отчете анализ, мнения и заключения принадлежат самим оценщикам и действительны строго в пределах ограничительных условий и допущений, являющихся частью настоящего отчета.
- Оценщик не имеет ни настоящей, ни ожидаемой заинтересованности в оцениваемом имуществе, и действует непредвзято и без предубеждения по отношению к участвующим сторонам.
- Вознаграждение Оценщика не зависит от итоговой оценки стоимости, а также тех событий, которые могут наступить в результате использования заказчиком или третьими сторонами выводов и заключений, содержащихся в отчете.
- Оценка была проведена и отчет составлен в соответствии с:
- Федеральным законом от 29.07.1998г «Об оценочной деятельности в РФ»., № 135-ФЗ.
- ФЗ от 14.11.2002 «О внесении изменений и дополнений в федеральный закон «Об оценочной деятельности в РФ», №143-ФЗ.
- Стандартами оценки, обязательными к применению субъектами оценочной деятельности, утвержденными Постановлением Правительства РФ от 06.07.2001г. № 519.
- Стандартами и Кодексом этики Российского общества оценщиков.
- Международными стандартами оценки, шестое издание 2003.
- Оценщик лично произвел наружный и внутренний осмотр оцениваемого имущества.
- В процессе анализа данных, ни одно лицо не оказывало сколько-нибудь существенной помощи оценщикам, подписавшим настоящий отчет.
Сведения о специалистах участвовавших в оценке:
Титов Виктор Иванович, Оценщик 1 категории.
Оценщик является действительным членом Российского Общества Оценщиков - членский билет №06Г- 01521.
Сертифицированный Российским Обществом Оценщиков оценщик - квалификационные аттестаты:
- «Сертифицированный оценщик машин и оборудования», квалификационный аттестат №4 от 28.01.2000г.
- «Сертифицированный оценщик недвижимости», квалификационный аттестат №80 от 22.09.2000г.
- «Сертифицированный оценщик бизнеса», квалификационный аттестат №11 от 02.10.2001г.
«Сертифицированный оценщик недвижимости» в соответствии с системой «Approved by TEGoBA», квалификационный аттестат R 049/04 от 21.10.2004г.
Стаж работы в области оценки девять лет.

Основные предположения и ограничивающие условия
Следующие допущения и ограничивающие условия являются неотъемлемой частью данного отчета:
- Настоящий отчёт достоверен лишь в полном объёме и лишь в указанных в нём целях.
- В процессе подготовки настоящего отчета, Оценщик исходил из достоверности правоустанавливающих документов на объект оценки.
- Оценка прав на объект недвижимости выполнялась строго в соответствии с договором на оценку. Право оцениваемой собственности считается достоверным и достаточным для рыночного оборота оцениваемого объекта. Оцениваемая собственность считается свободной от каких-либо претензий или ограничений, кроме оговоренных в отчете.
- Оценщик не несет ответственности за юридическое описание права собственности на оцениваемое имущество, достоверность которого резюмируется со слов заказчика. Оцениваемые права собственности рассматриваются свободными от каких-либо претензий или ограничений, кроме оговоренных в отчете.
- Дата ознакомления с объектом оценки: 17.01.2005г.
- При проведении оценки предполагалось отсутствие каких-либо скрытых факторов, влияющих на стоимость оцениваемого имущества. На оценщиках не лежит ответственность по обнаружению (или в случае обнаружения) подобных факторов.
- В процессе оценки специальная юридическая экспертиза документов, касающихся прав собственности на оцениваемое имущество, и учредительных документов не проводилась.
- Оценщиком не производилась инвентаризация имущества предприятия.
- Исходные данные, использованные оценщиком при подготовке отчета, были получены из надежных источников и считаются достоверными. Тем не менее, оценщик не может гарантировать их абсолютную точность, поэтому там, где это возможно, делаются ссылки на источник информации.
- Прогнозы, содержащиеся в отчете, основываются на текущих рыночных условиях и предполагаемых краткосрочных факторах, влияющих на изменение спроса и предложения. Эти прогнозы подвержены изменениям и зависят от ситуации, складывающейся на рынке.
- Мнение Оценщика относительно стоимости имущества действительно только на дату оценки. Оценщик не принимает на себя никакой ответственности за изменение экономических, юридических и иных факторов, которые могут возникать после этой даты и повлиять на рыночную ситуацию, а, следовательно, и на рыночную стоимость объекта.
- Заключение и отчет об оценке стоимости имущества представляет собой точку зрения Оценщика без каких-либо гарантий с его стороны в отношении условий последующей реализации имущества.
-
От Оценщика не требуется появляться в суде или свидетельствовать иным способом по поводу составленного отчета или оцененного имущества, кроме как на основании отдельного договора с заказчиком или официального вызова суда. - Итоговая величина стоимости объекта оценки, указанная в отчете об оценке, составленном в порядке и на основании требований, установленных Федеральным законом "Об оценочной деятельности в Российской Федерации", стандартами оценки и нормативными актами по оценочной деятельности уполномоченного органа по контролю за осуществлением оценочной деятельности в Российской Федерации, может быть признана рекомендуемой для целей совершения сделки с объектом оценки, если с даты составления отчета об оценке до даты совершения сделки с объектом оценки или даты представления публичной оферты прошло не более 6 месяцев.
- Оценщик выдвигает требование конфиденциальности в отношении документов любого формата и содержания, составленных от имени Заказчика. Заказчик принимает условия не упоминать наше имя или наш отчет, полностью или частично, в каком-либо документе, передаваемом третьим лицам, без нашего письменного на то согласия. Согласно установленным профессиональным стандартам, Оценщик аналогично сохранит конфиденциальность в отношении информации, полученной и рассчитанной в ходе исследования в соответствии с задачами оценки.
- Ни заказчик, ни оценщик не могут использовать отчет (или любую его часть) иначе, чем это предусмотрено договором об оценке.
Законы, стандарты и нормативные акты, использованные при оценке
Настоящая работа выполнена в соответствии с нормативными документами и документами, регламентирующими практику профессиональной оценки. Основными нормативными документами при проведении настоящей работы являлись:
Законы и нормативные акты:
- Гражданский кодекс РФ.
- Земельный кодекс РФ от 25.10.2001г. N 136-ФЗ.
- ФЗ от 25.10.2001г. N 137-ФЗ, "О введении в действие ЗК РФ".
- Федеральный закон от 29 июля 1998г. N 135-ФЗ "Об оценочной деятельности в Российской Федерации" (с изм. и доп. от 21 декабря 2001г., 21 марта, 14 ноября 2002г., 10 января, 27 февраля 2003г., 22 августа 2004г.).
- Стандарты оценки обязательные к применению субъектами оценочной деятельности. Утверждены пост. Правительства РФ от 06.07.01., № 519.
- Международные стандарты оценки, шестое издание 2003, «МКС 2003».
- Европейские Стандарты Оценки TEGOVA, «ЕСО 2000».
- Стандарт Российского общества оценщиков.
- Постановление Правительства РФ от 07.08.2002г. N 576, "О порядке распоряжения земельными участками, находящимися в государственной собственности, до разграничения государственной собственности на землю".
- Распоряжение Минимущества России от 06.03.2002г. N 568-р, "Об утверждении методических рекомендаций по определению рыночной стоимости земельных участков".
Источники информации:
Поиск и сбор информации для проведения настоящей работы осуществлялся по самым разнообразным каналам с привлечением различных источников данных.
Источники информации, использованные в настоящей работе:
- Информация, полученная от Заказчика.
- Информация о ситуации на рынке, полученная от различных субъектов рынка.
Информация, полученная от Заказчика:
- Договор купли-продажи зем. участка с нежилым зданием от 20.12.2004г.
- Передаточный акт на земельный участок от 20.12.2004г.
- Кадастровый план земельного участка № 02-739 от 09.04.2004г.
- Свидетельство о гос. рег-ции права: Серия 50 АЖ № 508311 от 27.12.2004г.
- Свидетельство о гос. рег-ции права: Серия 50 АЖ № 508309 от 27.12.2004г.
- Свидетельство о гос. рег-ции права: Серия 50 АЖ № 508308 от 27.12.2004г.
- Свидетельство о гос. рег-ции права: Серия 50 АЖ № 508310 от 27.12.2004г.
- Свидетельство о гос. рег-ции права: Серия 50 АЖ № 508314 от 27.12.2004г.
- Свидетельство о гос. рег-ции права: Серия 50 АЖ № 508315 от 27.12.2004г.
- Свидетельство о гос. рег-ции права: Серия 50 АЖ № 508313 от 27.12.2004г.
- Свидетельство о гос. рег-ции права: Серия 50 АЖ № 508312 от 27.12.2004г.
- Консультации с Заказчиком.
- Технический паспорт на нежилое здание по состоянию на 04.10.2004г.
Источники общей информации:
- Информация интернет-сайтов:
- www.appraiser.ru,
- www.mosestate.ru/res.html,
- www.realty.ru,
- www.foreman.ru.
- Журналы «Недвижимость и Цены» за декабрь 2004г., январь 2005г.
Определение задания на оценку
На основании Договора № 00015/05 от 17.01.2005г. ЗАКАЗЧИК поручает, а ОЦЕЩИК проводит оценку ликвидационной стоимости объекта недвижимости: земельного участка площадью 1762 кв.м. с расположенного на нем улучшениями (здания торгового центра общей площадью 1214 кв.м.). Объект недвижимости расположен по адресу: г. Кашира, Старый рынок, 12.
Результаты оценки будут использованы для договора залога и получения кредита.
2.1.2. Оцениваемые права
Земельный участок:
Согласно Свидетельствам о государственной регистрации права: серия 50 АЖ № 508311 от 27.12.2004г.; серия 50 АЖ № 508309 от 27.12.2004г.; серия 50 АЖ № 508308 от 27.12.2004г.; серия 50 АЖ № 508310 от 27.12.2004г., на дату проведения оценки, земельный участок находится в собственности в равных долях у граждан РФ: Петрова Валерия Валентиновича, Иванова Александра Ивановича, Яковлева Петра Данииловича, Мягкова Александра Николаевича.
В соответствии со ст. 552 ГК РФ покупателю здания, сооружения или другой недвижимости одновременно с передачей права собственности на такую недвижимость передаются права на ту часть земельного участка, которая занята этой недвижимостью и необходима для ее использования. Согласно той же статье ГК РФ продажа недвижимости, находящейся на земельном участке, не принадлежащем продавцу на праве собственности, допускается без согласия собственника этого участка, если это не противоречит условиям пользования таким участком, установленным законом или договором. При продаже такой недвижимости покупатель приобретает право пользования соответствующей частью земельного участка на тех же условиях, что и продавец недвижимости.
Улучшения:
Согласно Свидетельствам о государственной регистрации права: серия 50 АЖ № 698314 от 27.12.2004г.; серия 50 АЖ № 508315 от 27.12.2004г.; серия 50 АЖ № 508313 от 27.12.2004г.; серия 50 АЖ № 508312 от 27.12.2004г.; на дату проведения оценки, здание магазина общей площадью 697,6 кв.м. находятся в собственности в равных долях у граждан РФ: Петрова Валерия Валентиновича, Иванова Александра Ивановича, Яковлева Петра Данииловича, Мягкова Александра Николаевича.
Согласно ст. 209 «Содержание права собственности» Гражданского кодекса РФ, право собственности включает «права владения, пользования и распоряжения имуществом. Собственник вправе по своему усмотрению совершать в отношении принадлежащего ему имущества любые действия, не противоречащие закону и иным правовым актам и не нарушающие права и интересы других лиц, в том числе отчуждать свое имущество в собственность другим лицам; передавать им, оставаясь собственником права владения, пользования и распоряжения имуществом; отдавать имущество в залог и обременять его другими способами, распоряжаться им иным образом…».
Сервитуты и иные обременения
Нестандартных сервитутов и иных обременении не выявлено. Объект недвижимости оценивается свободным, от каких бы то ни было прав их удержания, долговых обязательств под заклад, не сопровождается наложенным на него в соответствии с законодательством России ареста, сервитутами и иными ограничениями имущественных прав.
2.1.3. Характеристика объекта оценки и его описание
Месторасположение
Оцениваемый объект недвижимости, земельный участок площадью 1762 кв.м. с расположенными на нем улучшениями (зданием торгового центра общей площадью 1214 кв.м.) находится по адресу: Московская обл., г. Кашира, Старый рынок, 12.
Территориальный пояс 1.
Климатический район II.
Таблица 6
Описание земельного участка и анализ местонахождения
|
|
Московская обл., г. Кашира, Старый рынок, 12. |
|
Кадастровый (или условный) номер |
50:37:006 03 30:0001. |
|
Площадь земельного участка, м2 |
1 762. |
|
Категория земель |
Земли поселений |
|
Целевое назначение земельного участка |
Под объекты торговли. |
|
Наличие инфраструктуры |
Водопровод, канализация, электроосвещение, горячее водоснабжение, газоснабжение. |
|
Подъезд |
Хороший. |
Земельный участок расположен в административно-жилой зоне г. Кашира в соответствии с Правилами землепользования и застройки поселений. Оцениваемый объект соответствует указанным нормативам и не противоречит разрешённому виду использования. Место расположения объекта оценки может быть охарактеризована как территория, представляющая собой сочетание жилой и коммерческой (не имеющей класса вредности) застройки. Расстояние до г. Москва 95 км.
Положительные характеристики участка - выгодное расположение относительно транспортных магистралей и наличие всех инженерных коммуникаций.
Основные выводы:
- Объект недвижимости по конструктивному решению и инженерному обеспечению соответствует своему назначению.
- Объект имеет достаточную транспортную доступность, как с точки зрения общественного транспорта, так и для индивидуальных владельцев автотранспорта.
- Инженерное обеспечение соответствует СниПам. Район не имеет значительных отклонений показателей экологической обстановки от средне районной.
- Местонахождение объекта недвижимости привлекательно для размещения торговых объектов.
Назначение и состав
Таблица 7
Описание улучшений
|
Здание торгового центра |
|
|
Конструктивные элементы |
Материал основных конструкций |
|
Фундаменты |
С/б железобетон. |
|
Наружные стены |
Кирпичные, оштукатуренные. |
|
Перегородки |
Гипсобетонные. |
|
Перекрытия |
Железобетонные плиты. |
|
Крыша |
Кровельная сталь по деревянной обрешетке. |
|
Полы |
Цементные/плиточные. |
|
Оконные проемы |
Стеклопакеты. |
|
Дверные проемы |
Смешанные (входные металлические, внутренние деревянные). |
|
Отделка |
Отделка наружная штукатурка, побелка. Отделка внутренняя: улучшенная/качественный ремонт. |
|
Инженерные коммуникации |
Водопровод, центральное отопление, горячее водоснабжение, канализация, электроснабжение, вентиляция, телефон. |
|
Инвентарный номер |
3514, лит. А, а, а1, а2 |
|
Год постройки |
1965 |
|
Общая площадь, м2 |
1 214 |
|
Строительный объем, м3 |
4 854 |
|
Количество этажей |
2 |
|
Общее состояние |
Хорошее/косметический ремонт. |
2.1.4. Анализ окружения
Основные территориально-экономические характеристики Московской области 2
Рынок недвижимости Московской области (МО) представляет собой совокупность местных рынков недвижимости, которые имеют хорошую корреляцию с агломерациями второго порядка на территории Московского региона.
В настоящее время в этом регионе расположено 19 агломераций второго порядка (что это такое - будет сказано чуть ниже), которые, с большой степенью вероятности, сохранятся и в дальнейшем, но могут быть трансформированы в соответствии с разрабатываемым Генеральным планом развития Московской области до 2020 года.
Наибольший интерес для инвесторов и девелоперов представляет пока часть территории Московской области, расположенная на удалении до 20-25 км от МКАД (в ряде случаев эта закономерность нарушается). Подобный интерес этих участников рынка объясняется близостью к такому мощному ценообразующему фактору, как столица, благодаря которому обеспечивается высокий уровень доходов при реализации различных проектов.
Необходимо отметить, что высокие цены на объекты недвижимости в столице в настоящее время вызваны не столько влиянием факторов спроса и предложения, как любят заявлять высокопоставленные чиновники, а отсутствием эффективного антимонопольного законодательства. Можно допустить, что на рынке существуют картельные ценовые соглашения между рядом его участников.
Кроме того, существующие на рынке МО "правила игры" объективно делают этот регион более привлекательным для девелоперов и инвесторов по следующим основным причинам:
- реализация девелоперских проектов обеспечивает соизмеримый со столицей уровень доходности;
- для "входа" на рынок необходимо преодолевать меньше различных "барьеров";
- размер обременении девелоперов со стороны власти существенно ниже реальных столичных аналогов;
- потенциальная емкость рынка девелоперских проектов существенно превышает аналогичный показатель для столицы.
На рынке недвижимости МО формально присутствуют те же сегменты рынка, что и в столице, то есть:
- земельный рынок;
- рынок жилья;
- рынок нежилых помещений;
- рынок строительства и реконструкции.
Однако, конкретное содержание каждого из этих сегментов рынка недвижимости имеет существенные отличия от московских аналогов.
Прежде всего, эти отличия связаны с совершенно иным территориально-административным устройством Московской области, на территории которой расположены 185 городских поселений (74 города и 111 поселков городского типа) и свыше 6,3 тысячи сельских населенных пунктов.
По сути, рынок недвижимости Московской области является суммой рынков недвижимости каждого из населенных пунктов, коттеджных и дачных поселков, а также местных земельных рынков, общая площадь которых соизмерима со всей территорией Московской области.
Интенсивное развитие рынка недвижимости Московской области пришлось на 2001-й год, который явился началом цикла роста цен на рынке, а также явственно обозначил первые результаты работы обновленного состава высших эшелонов власти этого региона.
Теоретически (то есть, если управляющие решения власти будут оптимальными и направленными на создание цивилизованного рынка), у рынка недвижимости МО имеются прекрасные перспективы для динамичного роста объемов строительства и количества заключенных сделок.
Однако практические управляющие решения власти, как правило, не являются оптимальными при решении большинства задач.
Кроме того, пути дальнейшего развития рынка недвижимости любого региона определяются не только управляющими решениями региональной власти, но и аналогичными решениями федерального центра.
«Правила игры» на рынке недвижимости в МО регламентируются:
- федеральным законодательством и подзаконными актами;
- законодательными и подзаконными актами Московской области.
- нормативными актами муниципальных образований на территориях муниципалитетов;
- существующими «правилами делового оборота» на рынке.
Федеральное законодательство представлено Конституцией РФ и достаточно большим количеством законов и подзаконных актов.
Принятие нового Земельного кодекса и правительственного варианта закона об обороте земель сельскохозяйственного назначения уже отразились и ещё будут оказывать влияние на рынок нежилых помещений Московской области.
Пока продажа нежилого помещения вместе с земельным участком потребует принятия новых нормативных актов на федеральном и областном уровнях.
Администрация Московской области в нынешнем составе работает уже около 3-х лет. Нельзя сказать, что произошли кардинальные кадровые перемены - частично изменились лишь высшие эшелоны власти. Вполне очевидно, что изменения в наименьшей степени коснулись кадрового состава министерств и ведомств.
Проведенные частичные изменения кадрового состава исполнительной власти отразились и на формировании «правил игры» на рынке нежилых помещений, поскольку нежилые помещения являются одним из активов власти. В частности, с самого начала нового тысячелетия увеличились денежные поступления в областную казну от аренды и продажи объектов недвижимости.
Высшие эшелоны муниципальной власти также изменились лишь частично, а кадровый корпус на местах остался в основном старый.
Существующие «правила делового оборота» на рынке нежилых помещений имеют как схожие черты, так и отличия от рынков в других секторах экономики.
С юридической точки зрения рынок нежилых помещений начал функционировать после начала процесса приватизации.
Нельзя сказать, что в последующий период процессы приватизации шли в МО в интересах ее населения и, во многом, причины этого - в реальной стратегии федерального центра в данном вопросе.
Так, в самом начале нового века, порядка 30% всех дел (всего - 30 тысяч, причем 12 тысяч дел о банкротстве возбуждено в 2001г.), по признанию руководителя ФСФО, являются заказными. С большой степенью вероятности к настоящему времени ситуация кардинальным образом не изменилась.
Поскольку объекты нежилого фонда, расположенные на территории Московской области, чаще всего обладают большей рыночной стоимостью по сравнению с аналогичным показателем для других регионов России, то можно предположить, что процентное отношение заказных дел о банкротстве в этом регионе России больше 30% от их общего числа.
Существующие "правила игры" на рынке нежилых помещений Московской области с большой степенью вероятности уже в ближайшее время будут подвержены изменениям по "федеральному образцу". В частности, для определения цен продаж и ставок арендной платы за нежилые помещения, находящиеся в собственности Области, будут привлекаться независимые оценщики. Проведение процедур оценки с привлечением независимых оценщиков, привело в столице к росту средних значений этих "параметров" рынка для объектов практически всех форм собственности. Вряд ли Подмосковье будет исключением из этого правила.
Достаточно очевидно, что крупные игроки рынка заинтересованы в продолжении процесса повышения цен на объекты нежилого фонда. Формальной причиной этого повышения, чаще всего, называют повышение цен на основные виды строительных материалов, а также действие факторов спроса и предложения.
Объекты рынка
Нежилой фонд Московской области
Официальные данные о нежилом фонде Московской области по-прежнему крайне фрагментарны, несмотря на то, что у участников рынка имеется значительный интерес к подобной информации.
Одной из основных причин минимума официальной информации является то обстоятельство, что на протяжении практически всех 90-х годов высшие эшелоны властных структур Московской области считали только земельные ресурсы области своим основным активом.
Другой причиной, по-видимому, является высокая концентрация предприятий и организаций ВПК на территории Московской области, которые либо принадлежат государству, либо были приватизированы.
Вместе с тем, экспертам Агентства удалось собрать общую информацию о нежилом фонде из источников, заслуживающих доверия.
Общая площадь нежилого фонда МО составляет около 30 млн. кв. метров, в том числе порядка 16 млн. кв. метров являются производственными помещениями, помещениями различных учреждений, складскими помещениями.
Торговые помещения составляют порядка 2,2 млн. кв. метров, в том числе порядка 0,3 млн. кв. метров в сельских населенных пунктах. При этом доля частного сектора в торговле на территории МО составляет не менее 80%.
Кроме того, за последние десять лет появился новый тип помещений, где имеются как жилые, так и нежилые помещения - это так называемые загородные резиденции.
Ежегодные объемы строительства нежилых помещений на территории Московской области незначительны и не превышают 200 тыс. кв. метров.
Из общего количества нежилых помещений пока лишь малая часть (не более 1,5% от общего объема) предлагается на рынке для коммерческого использования.
Основными факторами, влияющими на стоимость и на величину арендной платы, являются:
- месторасположение нежилого помещения;
- техническое состояние нежилого помещения и инженерных коммуникаций;
- тип и техническое состояние нежилого оборудования;
- вид прав на нежилые помещения.
Общая площадь производственных помещений различных форм собственности, расположенных на территории Московской области, составляет порядка 10 млн. кв. метров, из которых порядка 0,4 млн. кв. метров в настоящее время не используется и предлагается для использования на рынке или вне рынка.
Большое влияние на процесс ценообразования на рынке нежилых помещений Московской области имеет региональная администрация.
Основным документом, определяющим величину ставки арендной платы за нежилые помещения, являющиеся собственностью Московской области, является Постановления Главы администрации Московской области №176-ПГ от 29.04.96 (в последней редакции от 26.09.2002).
На 2003г. Распоряжением Губернатора Московской области утверждена базовая ставка в размере 500 рублей за 1 кв. м в год, (в 2005г. существует).
Общая площадь торговых помещений различных форм собственности, расположенных на территории Московской области, составляет порядка 2,2 млн. кв. метров, в том числе, порядка 0,3 млн. кв. метров расположены в сельских населенных пунктах.
За последние 2 года было отмечено интенсивное строительство крупных торговых комплексов в непосредственной близости от МКАД, что связано с расширением торговой деятельности уже присутствующих на российском рынке иностранных торговых сетей, а также приходом на этот рынок новых участников.
Кроме торговых площадей (магазинов и павильонов) для торговли на территории Московской области широко используются рынки.
С учетом реализуемых на рынке групп товаров выделяют специализированные (продовольственные, сельскохозяйственные, вещевые, авто рынки и др.) и смешанные рынки. Официальные документы подмосковной администрации предусматривают наличие следующих видов рынков:
- Специализированный рынок - рынок, на котором реализация товаров соответствующей (профилирующей) товарной группы составляет не менее 70% от ассортимента и объема реализуемых на рынке товаров.
- Продовольственный рынок - рынок, на котором осуществляется реализация продуктов питания и продовольственного сырья в соответствии с установленными требованиями их хранения и реализации.
- Сельскохозяйственный рынок - рынок, на котором осуществляется реализация сельскохозяйственной продукции.
- Вещевой рынок - рынок, на котором осуществляется реализация непродовольственных товаров (кроме товаров сложно-технического ассортимента).
- Смешанный рынок - рынок, на котором осуществляется реализация широкого ассортимента продовольственных и непродовольственных товаров.
- Рынок выходного дня - земельный участок, предоставляемый соответствующим органом местного самоуправления Московской области для реализации сельскохозяйственной продукции, произведенной в личном хозяйстве или завезенной товаропроизводителями.
В настоящее время инвентаризацию и паспортизацию рынков на территории Московской области прошли 313 рынков (16 рынков были закрыты, 35 паспортизацию не прошли из-за отсутствия правоустанавливающих документов).
Основные ценообразующие факторы
По мнению экспертов Агентства «RWAY», основными ценообразующими факторами на рынке нежилых помещений Московской области в ближайшие 1 -2 года по-прежнему будут:
- принятие новых «правил игры» на земельном рынке, которые, в частности, предусматривают передачу земли под приватизированными предприятиями в частную собственность, что повысит ценность этих объектов;
- продолжающийся процесс повышения стоимости на основные строительные материалы, который влечет за собой повышение себестоимости нового строительства и некоторое увеличение стоимости уже существующих объектов;
- возможность увеличения налога на объекты недвижимости.
Необходимо отметить, что первым из выше приведенных факторов («земельный») является на данном этапе развития рынка наиболее существенным, поскольку становится принципиально возможной продажа единого имущественного земельного комплекса.
Цены на объекты нежилого фонда Московской области
Цены на объекты нежилого фонда, расположенные на территории МО области, формируются собственниками объектов, а также их правомочными представителями.
Основными факторами, влияющими на стоимость продажи и аренды подобных зданий или помещений, являются: месторасположение; техническое состояние зданий и помещений; уровень отделки помещений; уровень оборудования помещений; этажность здания.
Таблица 8
Информация агентства «RWAY» о ценовой ситуации на вторичном рынке нежилых помещений МО в период с начала мая по середину июля 2003 года: 3
|
Назначение |
Ценовая зона (расстояние от МКАД, км) |
Размер помещения, кв. метров |
Стоимость продажи, $ за 1 кв. метр |
Арендные ставки, $ за 1 кв. метр |
|
Офисные |
До 20 |
До 50 |
475-595 |
50-120 |
|
50-100 |
450-590 |
50-100 |
||
|
100-300 |
440-560 |
50-100 |
||
|
От 20 до 50 |
До 50 |
370-395 |
40-90 |
|
|
50-100 |
360-390 |
30-75 |
||
|
100-300 |
345-330 |
30-60 |
||
|
Свыше 50 |
До 50 |
220-280 |
25-40 |
|
|
50-100 |
210-250 |
25-35 |
||
|
100-300 |
190-250 |
25-30 |
||
|
Производственные |
До 20 |
100-200 |
275-350 |
40-80 |
|
250-500 |
260-335 |
35-60 |
||
|
Свыше 1000 |
230-310 |
Нет данных |
||
|
От 20 до 50 |
100-200 |
200-210 |
30-50 |
|
|
250-500 |
170-290 |
25-45 |
||
|
Свыше 1000 |
Нет данных |
Нет данных |
||
|
Свыше 50 |
100-200 |
160-160 |
25-35 |
|
|
250-500 |
140-120 |
25-30 |
||
|
Свыше 1000 |
Нет данных |
Нет данных |
||
|
Торговые |
До 20 |
До 100 |
530-690 |
160-280 |
|
150-300 |
525-690 |
155-295 |
||
|
500-1000 |
490-650 |
140-255 |
||
|
От 20 до 50 |
До 50 |
350-480 |
145-220 |
|
|
150-300 |
320-430 |
130- 195 |
||
|
300-500 |
290-400 |
100-175 |
||
|
Свыше 50 |
До 50 |
275-290 |
100-130 |
|
|
100-200 |
220-230 |
70-110 |
||
|
300-500 |
160-220 |
60-85 |
||
|
Складские |
До 20 |
До 100 |
260-395 |
80-110 |
|
150-500 |
220-290 |
70-90 |
||
|
Свыше 1000 |
210-280 |
65-70 |
||
|
От 20 до 50 |
До 100 |
110-160 |
45-55 |
|
|
150-500 |
110-155 |
30-40 |
||
|
Свыше 1000 |
80-130 |
Нет данных |
||
|
Свыше 50 |
До 100 |
80-120 |
20-30 |
|
|
150-500 |
70-90 |
15-25 |
||
|
Свыше 1000 |
Нет данных |
15-25 |
Данные в таблице основаны на ценах предложений 872 объектов нежилого фонда, расположенных на территории МО. Цены были скорректированы и округлены с точностью до $5.
Инвестиции в Подмосковье 4
По оценкам экспертов, в 2003г. земельные участки, пригодные для строительства качественной недвижимости, подорожали на 15 30% в зависимости от района, а после оформления всех документов на нее рост был еще больше, в отдельных случаях достигая 100%.
Доходность вложений в загородную недвижимость, по оценкам большинства экспертов, составила в 2003г. 80 50%, а в исключительных случаях и более. В 2004г. большинство специалистов прогнозируют чуть меньший рост: 2045% на загородную недвижимость и 2050% - на земельные участки для строительства, в зависимости от места и направления.
Прогноз развития рынка
Состояние рынка нежилых помещений во многом определяется состоянием экономики конкретного региона и перспективами его развития.
Вполне очевидно, что те относительно небольшие иностранные инвестиции (официальные данные весьма противоречивы, а по некоторым оценкам общий объем действительно иностранных инвестиций в Россию за последнее десятилетие не превышает $12-15 млрд.) вкладываются лишь в эффективные проекты на территории России, количество которых будет сокращаться с ростом внутренних цен на энергоносители.
Вместе с тем, строительство торговых комплексов крупными фирмами, назвать инвестициями весьма затруднительно, поскольку их основной целью являются не долгосрочные вложения капитала в отрасли промышленности, а продажа иностранных товаров и вывоз валюты за рубеж.
Один из основных критериев эффективности - срок окупаемости проекта, реальное значение которого для России, как правило, составляет не более 3-4 лет.
На развитие экономики влияют в первую очередь такие факторы, как концентрация капитала (не только финансов, но и основных средств производства) и наличие трудовых резервов.
В этом отношении МО область имеет много преимуществ по сравнению с другими регионами.
Приоритетными направления развития экономики МО, по мнению экспертов «RWAY», будут следующие:
- дальнейшее развитие торговли (прежде всего, с помощью создания гипермаркетов и обустройства существующих рынков с целью «перехвата» у Москвы потенциальных покупателей среди жителей Московской области и других регионов);
- пищевое производство для внутреннего рынка, прежде всего - Москвы и МО;
- производство ряда товаров с высоким уровнем энергопотребления (например, высококачественной стали за счет сохранения низкой цены на энергию по сравнению с мировыми ценами);
- производство некоторых видов военной техники;
- инновационные виды бизнеса (информационные технологии, медицина, биотехнологии и т.п.).
В соответствии с этими приоритетными направлениями развития экономики будет формироваться и платежеспособный спрос на нежилые помещения в Московской области, по крайней мере, в ближайшие 1 -2 года.
Высокие цены на объекты недвижимости (нежилые помещения, земельные участки), характерные для столицы, способствуют «перетеканию» капиталов для ведения некоторых видов бизнеса в ближнее Подмосковье.
К таким видам бизнеса, прежде всего, можно отнести следующие:
- пищевое производство для внутреннего рынка;
- складской бизнес (включая таможенные склады);
- энергоемкие и негативно влияющие на экологию производства;
- «отверточное» производство различных видов товаров потребления (в частности - бытовой техники) из импортных комплектующих;
- некоторые виды производства товаров народного потребления, включая легкую промышленность (ткани, одежда, обувь, предметы быта и т.д.).
В связи с этим будут формироваться и потенциальные потребности со стороны покупателей и арендаторов объектов нежилого фонда Московской области.
Повышение базовой ставки арендной платы за объекты нежилого фонда, являющиеся собственностью Области, а также практика привлечения оценщиков для установления ставок арендной платы, приведет к их дальнейшему росту. Величина роста за 2003 год составит порядка 12-17% величин арендных ставок, характеризующих рынок на конец 2002 года.
Цены продаж нежилых помещений на первичном рынке также продолжат свой рост, но «скорость» роста для большинства объектов рынка составит порядка 10-14%.
Близкая перспектива свободного оборота земельных участков будет привлекать в этот регион все больше инвестиций. Эти инвестиции будут направляться в основном в развитие пищевого производства для осуществления снабжения продуктами питания населения Московского региона, а также других регионов России.
Крупные торговые операторы будут осуществлять строительство гипермаркетов и современных складских комплексов в непосредственной близости от столицы, а также в ряде других мест Московской области.
На дальнейшее развитие рынка недвижимости Московской области в наибольшей степени будет влиять достаточно много факторов, но основными из них являются:
- уникальное положение Московской области в непосредственной близости от центра деловой и финансовой активности России;
- действие новых «правил игры» после принятия правительственного варианта Земельного кодекса РФ;
- процесс первичного разграничения прав собственности на землю между федеральным центром, субъектами федерации и муниципальными образованиями;
- основные нормы, заложенные в основе правительственного законопроекта об обороте земель сельскохозяйственного назначения в нашей стране;
- уровень развития промышленности (прежде всего пищевой и некоторых видов энергоёмкой промышленности);
- ценовая политика крупных игроков на рынке жилья;
- уровень роста тарифов естественных монополий;
- уровень деловой активности профессиональных участников рынка;
- уровень реальных доходов домохозяйств Московской области, столицы, а также уровень миграции домохозяйств из других регионов.
Мощнейшим ценообразующим фактором на рынке недвижимости Московской области по-прежнему будет являться столичный мегаполис, близость объектов недвижимости к которому (при прочих равных условиях), увеличивает их рыночную стоимость на десятки и сотни процентов, по сравнению с подобными объектами, но расположенными на большем расстоянии от МКАД.
На земельном рынке Московской области сохранятся тенденции роста деловой активности и цен на земельные участки, расположенные в непосредственной близости к объектам недвижимости, уже являющихся де-факто собственностью представителей крупного и среднего капитала.
Поскольку значительная часть земель сельхозназначения в пределах 20-40 км от МКАД была выкуплена с помощью операций купли-продажи юридических лиц, в собственности которых эти земли находились, существенно возрастут объемы операций по переводу земель сельхозназначения в земли поселений. Получит распространение не только продажа этих земель, но и сдача их в долгосрочную аренду, что обеспечит их собственникам гарантированные доходы на протяжении длительного периода времени.
На рынке коммерческой недвижимости Московской области продолжится увеличение общего объема современных торговых и складских помещений. Этот процесс будет происходить не только за счет нового строительства, но и за счет реконструкции уже имеющегося нежилого фонда.
Наиболее привлекательными местами расположения торговых и складских помещений останутся районы с внешней стороны МКАД, особенно в местах пересечения с радиальными транспортными магистралями с интенсивными потоками автомобильного транспорта.
Велика вероятность продолжения создания крупных торговых комплексов на основных автомагистралях Области на удалении 15-30 км от МКАД.
Подобное расположение торговых комплексов позволит осуществлять «перехват» платежеспособных покупателей из Области и других близлежащих регионов у торговых центров столицы.
Мощнейшим фактором, способствующим процессу развития коммерческой недвижимости на территории Московской области, будет стремление как отечественных, так и зарубежных торговых операторов расширять свой бизнес на территории Московской области.
В настоящее время ежегодный торговый оборот на территории России составляет порядка $165 млрд., при этом доля Московского региона составляет более одной трети этого оборота.
В ближайшее время продолжит свое развитие и рынок производственных помещений, который развивается также достаточно интенсивно. Основные направления его развития ориентированы на удовлетворение населения Московского региона в продуктах питания, а также ряде других товаров.
Развитие этого рынка будет происходить в большинстве случаев за счет реконструкции уже имеющегося нежилого фонда, как правило, расположенного на удалении свыше 10-20 км от МКАД в зависимости от конкретного направления.
Реконструкция имеющегося нежилого фонда на расстояниях более 25-30 км от МКАД позволяет привлекать меньшие инвестиции для решения конкретных целевых задач.
Каширский район
Город Кашира - областного подчинения, центр Каширского района, Московской области. Основан в ХIV веке. Расположен на правом берегу р. Оки, в 105 км к югу от Москвы, Железнодорожная ст. Кашира Павелецкого направления, речной порт на р. Оке, автомагистрали Москва Ростов на Дону, Москва Волгоград.
В 2003г. администрацией каширского района выдано 1112 разрешений на право торговли. Количество объектов торговли и общественного питания за год увеличилось на 7% и составило 721 единицу. Товарооборот в 2003г. увеличился на 41,9% (1547,2 млн. руб.). В макроструктуре оборота розничной торговли в 2003г. 60,3% составили продовольственные товары, 39% - непродовольственные товары, 0,7% - услуги общественного питания. Наибольший объем товарооборота приходится на стационарную торговую сеть. Удельный вес юридических лиц и индивидуальных предпринимателей в общем объеме товарооборота составил 58% и 42% соответственно.
В 2003г. продано 13 нежилых помещений общей площадью 562,4 кв. м, заключено 158 договоров купли-продажи земельных участков. 5
По конфиденциальной информации, в зависимости от местоположения, ставки арендной платы за торговые площади в г. Кашире и Каширском районе в январе 5005г. составляют от 90$ до 120$ за кв. м в год.
Этапы и тенденции развития среды местоположения объекта
Можно выделить четыре основных этапа цикла жизни среды местоположения:
- Рост - период, в течение которого район завоевывает признание и популярность, что проявляется в растущем спросе на участки данной местности;
- Стабильность - период равновесия, без сколько-нибудь заметных подъемов или спадов;
- Угасание (упадок) - этап, который характеризуется снижением спроса;
- Возрождение - этап обновления, модернизации и вновь повышающегося спроса.
Рассматриваемая здесь территория находится в г. Кашира, Московской области. Прилегающие территории заняты в основном административными и коммерческими объектами.
Район рассматриваемых объектов находится в состоянии стабильности.
Сервитуты
Предполагается, что на границы участка распространяются типичные сервитуты, такие как право проезда и проведения коммуникаций.
Маркетинговое время
Оценочное маркетинговое время для объекта, как время обоснованного выставления его для продажи на существующий рынок, составляет от 4 до 6 месяцев, при этом принимается во внимание тот факт, что оцениваемый объект принадлежит к классу недвижимости, пользующейся большим спросом на рынке.
Это заключение сделано на основании бесед с риэлтерами по недвижимости, которые активно работают на рынке загородной недвижимости в Московской области и на основании публикаций специализированных изданий. 6
2.1.5. Анализ наилучшего и наиболее эффективного использования
Из всех факторов, влияющих на рыночную стоимость, важнейшим является суждение о наилучшем и наиболее эффективном использовании объекта недвижимости. Это суждение является основополагающей предпосылкой его стоимости.
Заключение о наилучшем использовании отражает мнение оценщика в отношении наилучшего использования собственности, исходя из всеобъемлющего анализа рынка. Понятие “Наилучшее и наиболее эффективное использование", применяемое в данном отчете, подразумевает такое использование, которое из всех рациональных физически осуществимых, финансово приемлемых, юридически допустимых видов использования имеет своим результатом максимально высокую текущую стоимость объекта.
Анализ наилучшего и наиболее эффективного использования выполняется путем проверки соответствия рассматриваемых вариантов использования следующим критериям:
Юридическая правомочность: рассмотрение законных способов использования, которые не противоречат распоряжениям о зонировании, положениям об исторических зонах и памятниках, экологическим законодательствам.
Физическая осуществимость: рассмотрение технологически реальных для данного участка способов использования.
Финансовая оправданность: рассмотрение тех физически осуществимых и разрешенных законом вариантов использования, которые будут приносить доход владельцу участка.
Максимальная эффективность: рассмотрение того варианта застройки, который из физически осуществимых, правомочных и финансово оправданных вариантов использования объекта будет приносить максимальный чистый доход или максимальную текущую стоимость.
Анализ рынка недвижимости и коммерческая привлекательность обуславливают реальное физически осуществимое использование объекта оценки в качестве здания торгового назначения.
Данное использование является, по мнению Оценщика, так же финансово осуществимым, юридически правомочным и максимально эффективным в рамках вышеуказанных условий.
В нашем случае, наиболее эффективное использование оцениваемого объекта недвижимости, является использование как торгового.
2.1.6. Обоснование методов определения стоимости объекта
При оценке недвижимости под залог наиболее приемлемо применение определение ликвидационной стоимости величина в денежном выражении (в текущих ценах), представляющая собой типичную сумму, которую ожидается получить от открытой продажи имущества «россыпью» или «системно», за вычетом расходов по осуществление ускоренной продажи.
Понятие ликвидационной стоимости, как вида ограниченной стоимости или, согласно терминологии МСОИ, отнесенной к базе оценки, отличной от рыночной стоимости, достаточно точно сформулировано в Международных стандартах.
Два основных обстоятельства являются обязательными для квалификации вида стоимости, как ликвидационной:
- объект оценки продается в сроки, слишком короткие для проведения адекватного маркетинга, необходимого для его продажи по рыночной цене;
- ввиду того, что ни один разумный собственник не будет продавать имущество в неоправданно короткие сроки, подобная “быстрая” продажа всегда является вынужденной, независимо от конкретных побуждений, которыми руководствуется продавец.
Продажа в короткие сроки, безусловно, приводит к потерям. Поэтому соотношение между рыночной и ликвидационной стоимостью может быть выражено простейшей формулой:
Сл = Ср * Кл, где Кл коэффициент ликвидности, причем 0 < Кл < 1.
Основное отличие рыночной стоимости от планомерной ликвидационной стоимости это продажа имущества в сроки слишком короткие для нахождения «хорошего» покупателя. В связи с этим многие банки, кредитуя организации под залог имущества, применяют к рыночной стоимости коэффициенты от 0,5 - 0,7.
На основании выше сказанного при оценке данного имущества, Оценщик на первом этапе рассчитывал рыночную стоимость, на втором этапе ликвидационную стоимость.
Для определения рыночной стоимости объекта в процессе оценки необходимо учитывать физические, экономические, социальные и другие факторы, влияющие на его стоимость.
Как указывалось ранее и в соответствии со “Стандартами оценки обязательными к применению субъектами оценочной деятельности” утвержденными Постановлением Правительства РФ от 06.07.01. № 519; при оценке того или иного вида стоимости объекта оценки используют три основных подхода: затратный подход; сравнительный подход; доходный подход.
Использование трех подходов приводит к получению трех различных величин стоимости одного и того же объекта. После анализа результатов, полученных в рамках названных подходов, окончательная оценка стоимости объекта устанавливается, исходя из того, какой подход в наибольшей степени соответствует виду оцениваемой стоимости, целям для которых она определяется и точности использованных при ее расчете методов.
Затратный подход
Затратный подход в оценке основывается на принципе замещения, который гласит, что осведомлённый инвестор не заплатит за объект большую сумму, по сравнению с затратами на производство (приобретение) аналогичного объекта одинаковой полезности с сопоставимыми технико-эксплуатационными показателями.
Затратный подход использует полную восстановительную стоимость в качестве базы, из которой затем вычитается износ (стоимость воспроизводства или стоимость замещения) и прибавляется стоимость земельного участка.
Сравнительный подход (рыночный метод)
В Сравнительном подходе для того, чтобы получить наиболее вероятную цену продажи оцениваемой собственности, анализируются данные о недавних продажах и цены предложений на аналогичные объекты. Использование метода прямого сравнительного анализа продаж зависит от наличия данных по сравнимым объектам собственности, проданным или предлагаемым на рынке.
Трудность в использовании сравнительного подхода для оценки собственности заключается в нахождении достаточного количества достоверных данных о сравнимых продажах, по которым имеется вся необходимая и проверяемая информация.
Рыночные данные анализируются с точки зрения сравнимости и соответствия оцениваемой собственности. Как правило, нельзя найти точно такой же проданный объект, поэтому в данные о сравнимой продаже необходимо вносить корректировки, чтобы устранить различия между проданным и оцениваемым объектом. Следует подчеркнуть, что корректируются данные по сравнимому, а не по оцениваемому объекту.
Доходный подход
Подход с точки зрения дохода представляет собой процедуру оценки стоимости, исходя из того принципа, что стоимость имущества непосредственно связана с текущей стоимостью всех будущих чистых доходов, которые принесёт данное имущество. Другими словами, инвестор приобретает приносящее доход имущество на сегодняшние деньги в обмен на право получать в будущем доход от его коммерческой эксплуатации (например, от сдачи в аренду) и от последующей продажи.
Доходный подход, как правило, используется для оценки всего делового предприятия (бизнеса) или всей производственной установки, когда отдельные активы как бы теряют свою индивидуальность. При этом бывает сложно определить получаемые прибыли по отдельным активам на каком-либо разумном основании, из-за совокупности действия всех факторов, оказывающих влияние на прибыльность компании.
Выбор методов оценки
Оценка стоимости имущества предприятия несколькими подходами очерчивает границы обоснованной рыночной стоимости. При этом оценщик не обязан использовать все имеющиеся подходы. Можно ограничиться лишь теми, которые более всего соответствуют ситуации.
Для оценки недвижимости, Оценщик использовал три подхода:
- Затратный: улучшения - метод удельной стоимости, стоимость земельного участка метод капитализации земельной ренты.
- Сравнительный: рыночный метод, цены предложения на вторичном рынке недвижимости.
- Доходный: метод прямой капитализации.
2.1.7. Оценка стоимости объекта недвижимости
Затратный подход
В основе затратного подхода лежит принцип замещения, согласно которому инвестор не заплатит за объект недвижимости сумму большую, чем та, в которую обойдется получение соответствующего участка под застройку и возведение аналогичного по назначению и качеству объекта без чрезмерной задержки. Исходя, из вида определяемой в данном отчете стоимости, в рамках затратного подхода, стоимость недвижимости определяется в рыночных ценах, существующих на дату проведения оценки как сумма стоимости участка земли и затрат по строительству на нем нового объекта идентичного (либо аналогичного) оцениваемому по функциональным, конструктивным и эксплуатационным характеристикам, за вычетом накопленного износа.
Процедура оценки включает следующие последовательные шаги:
- Расчет стоимости приобретения свободной и имеющейся в распоряжении земли в целях её оптимального использования.
- Расчет затрат на строительство нового идентичного (аналогичного) объекта, получение восстановительной стоимости объекта.
- Определение величины накопленного износа объекта оценки.
- Уменьшение восстановительной стоимости на сумму износа для получения стоимости воспроизводства здания.
- Добавление к рассчитанной стоимости воспроизводства здания, стоимости земельного участка.
Расчет стоимости земельного участка.
Особенности купли-продажи земельных участков. 7
Определение земельного участка дано в статье 6 Земельного кодекса РФ, а более точное и полное в статье 1 Федерального закона "О государственном земельном кадастре". Главное, что земельный участок имеет границы, которые описаны и удостоверены в ходе осуществления государственного кадастрового учета и внесены в Единый государственный реестр земель, который ведут районные комитеты по земельным ресурсам и землеустройству.
В соответствии с п. 3 ст. 3К РФ совершение сделок с земельными участками регулируется гражданским законодательством (если иное не предусмотрено земельным), лесным, водным и иным специальным законодательством.
Из этого следует, что договор купли-продажи должен заключаться с соблюдением требований статей 454-491 и 549-557 ГК РФ и особенностей, установленных статьей 37 Земельного кодекса РФ (продавать можно земельный участок, прошедший государственный кадастровый учет) и статьей 8 ФЗ "Об обороте земель сельскохозяйственного назначения" (преимущественное право на покупку предоставлено органу исполнительной власти субъекта РФ или в случаях, установленных законом субъекта РФ, органу местного самоуправления).
Таким образом, продать можно земельный участок, который прошел государственный кадастровый учет (установлены границы участка) и купить его может третье лицо только после отказа органа власти субъекта РФ приобрести участок по заявленной цене.
Доходный подход оценки стоимости застроенных земельных участков.
В данном отчете стоимость земельного участка определялась методом остатка. Метод остатка основан на принципе добавочной продуктивности. Стоимость земли рассчитывается как остаток после учета всех необходимых затрат.
Техника остатка используется в тех случаях, когда здания и сооружения сравнительно новы их стоимость (или предполагаемые затраты на здания и сооружения) может быть определена с высокой степенью точности, так же как и продолжительность их полезной жизни.
Метод остатка 8
Метод применяется для оценки застроенных и незастроенных земельных участков. Условие применения метода - возможность застройки оцениваемого земельного участка улучшениями, приносящими доход.
Метод предполагает следующую последовательность действий:
- расчет стоимости воспроизводства или замещения улучшений, соответствующих наиболее эффективному использованию оцениваемого земельного участка;
- расчет чистого операционного дохода от единого объекта недвижимости за определенный период времени на основе рыночных ставок арендной платы;
- расчет чистого операционного дохода, приходящегося на улучшения, за определенный период времени как произведения стоимости воспроизводства или замещения улучшений на соответствующий коэффициент капитализации доходов от улучшений;
- расчет величины земельной ренты как разности чистого операционного дохода от единого объекта недвижимости за определенный период времени и чистого операционного дохода, приходящегося на улучшения за соответствующий период времени;
- расчет рыночной стоимости земельного участка путем капитализации земельной ренты.
Метод допускает также следующую последовательность действий:
- расчет стоимости воспроизводства или замещения улучшений, соответствующих наиболее эффективному использованию оцениваемого земельного участка;
- расчет чистого операционного дохода от единого объекта недвижимости за определенный период времени на основе рыночных ставок арендной платы;
- расчет рыночной стоимости единого объекта недвижимости путем капитализации чистого операционного дохода за определенный период времени;
- расчет рыночной стоимости земельного участка путем вычитания из рыночной стоимости единого объекта недвижимости стоимости воспроизводства или замещения улучшений.
Чистый операционный доход равен разности действительного валового дохода и операционных расходов. При этом из действительного валового дохода вычитаются только те операционные расходы, которые, как правило, несет арендодатель.
Действительный валовой доход равен разности потенциального валового дохода и потерь от простоя помещений и потерь от неплатежей за аренду.
Потенциальный валовой доход равен доходу, который можно получить от сдачи всей площади единого объекта недвижимости в аренду при отсутствии потерь от невыплат арендной платы. При оценке земельного участка арендные ставки за пользование единым объектом недвижимости рассчитываются на базе рыночных ставок арендной платы (наиболее вероятных ставок арендной платы, по которым объект оценки может быть сдан в аренду на открытом рынке в условиях конкуренции, когда стороны сделки действуют разумно, располагая всей необходимой информацией, а на величине ставки арендной платы не отражаются какие-либо чрезвычайные обстоятельства).
Для пустующих и используемых собственником для собственных нужд помещений также используются рыночные ставки арендной платы. В потенциальный доход включаются и другие доходы, получаемые за счет неотделимых улучшений недвижимости, но не включенные в арендную плату.
Величина операционных расходов определяется исходя из рыночных условий сдачи в аренду единых объектов недвижимости. Операционные расходы подразделяются на: постоянные - не зависящие от уровня заполняемости единого объекта недвижимости, переменные - зависящие от уровня заполняемости единого объекта недвижимости и расходы на замещение элементов улучшений со сроком использования меньше чем срок использования улучшений в целом (далее - элементов с коротким сроком использования). В состав операционных расходов не входят амортизационные отчисления по недвижимости и расходы по обслуживанию долговых обязательств по недвижимости.
Расчет расходов на замещение элементов улучшений с коротким сроком использования производится путем деления суммы затрат на создание данных элементов улучшений на срок их использования. В процессе выполнения данных расчетов целесообразно учитывать возможность процентного наращивания денежных средств для замены элементов с коротким сроком использования.
Управленческие расходы включаются в состав операционных расходов независимо от того, кто управляет объектом недвижимости - собственник или управляющий.
При расчете коэффициента капитализации для улучшений земельного участка следует учитывать наиболее вероятный темп изменения дохода от улучшений и наиболее вероятное изменение стоимости улучшений (при уменьшении стоимости улучшений - учитывать возврат капитала, инвестированного в улучшения).
Общая требуемая ставка дохода для недвижимости составляет:
RB = RL + Rв.и. = 15,31 + 1,67 = 16,97% 9
где RB ставка капитализации для объекта недвижимости,
RL ставка капитализации для земельного участка.
Норма возврата инвестиций определялась по методу Ринга по формуле:
Rв.и. = 1 / Твл,
где Твл период владения имуществом.
Период владения зданием, рассчитывается на основании “Сборника единых норм амортизационных отчислений на полное восстановление основных фондов народного хозяйства СССР”, г. Москва, 1991г.“, составляет 100 лет. Учитывая тот факт, что здание эксплуатируется 40 лет, (износ 40%), экономическая жизнь рассчитывается по формуле:
Тэ = Тф * 40% / 100%
где Тэ срок экономической жизни, лет;
Тф срок физической жизни, лет.
Следовательно, оставшийся срок экономической жизни у зданий на дату проведения оценки 60 лет. При этом норма возврата капитала равна: 100% / 60 = 1,67%.
Таблица 9
Стоимость земельного участка рассчитана в таблице:
|
№ п/п |
Показатель |
Значение |
|
1 |
Чистый операционный доход 10, руб. |
1 112 915 |
|
2 |
Стоимость воспроизводства или замещения улучшений 11, руб. |
5 021 510 |
|
3 |
Коэффициент капитализации для улучшений |
0,1697 |
|
4 |
Коэффициент капитализации для земли |
0,1531 |
|
5 |
Чистый операционный доход, приходящийся на улучшения, руб., (стр. 2 * стр. 3) |
852 318 |
|
6 |
Чистый операционный доход приходящийся на зем. участок, руб., (стр. 1 - стр. 5) |
260 598 |
|
7 |
Стоимость земельного участка, руб., (стр. 6 / стр. 4) ~ |
1 700 000 |
Вклад стоимости земельного участка в стоимость объекта оценки составляет: 1 700 000 рублей.
Расчет полной восстановительной стоимости улучшений.
Величину затрат на строительство можно оценить двумя способами: по стоимости воспроизводства или по стоимости замещения.
Стоимость воспроизводства сумма затрат в рыночных ценах, существующих на дату проведения оценки, на создание объекта, идентичного объекту оценки, с применением идентичных материалов и технологий, с учетом износа объекта оценки.
Стоимость замещения сумма затрат на создание объекта аналогичного объекту оценки, в рыночных ценах, существующих на дату проведения оценки, с учетом износа объекта оценки.
Расчет полной восстановительной стоимости.
Восстановительная стоимость улучшений определялась на основании укрупненных показателей восстановительной стоимости зданий и сооружений для целей переоценки основных фондов (УПВС), разработанных в 1970-1972 годах.
Укрупненные показатели восстановительной стоимости учитывают все прямые затраты, накладные расходы, плановые накопления, а также общеплощадочные расходы по отводу и освоению строительного участка, стоимость проектно-изыскательских работ, затраты, связанные с производством работ в зимнее время, затраты по сдельно-премиальной оплате труда, стоимость содержания дирекции строящегося предприятия и технического надзора, проектно-изыскательские работы, резерв на непредвиденные работы и затраты.
Укрупненные показатели включают в себя стоимость всех общестроительных и специальных строительных работ, в том числе: санитарно-технических устройств (отопление, вентиляция, водопровод, канализация), электрических и слаботочных устройств (электроосвещение, телефон).
Переход к ценам на дату оценки
Пересчет сметной стоимости из цен 1969 года в цены января 2005 г. производился через отраслевой индекс на строительно-монтажные работы в отрасли «Жилищное строительство», приведенный в Межрегиональном информационно-аналитическом бюллетене «Индексы цен в строительстве» КО-ИНВЕСТ (2004 г. выпуск 48).
На основании вышеизложенного стоимость воспроизводства составляет:
Свс о = V * УС69 * К1 * К2 * И69-84 * И84-2004 * Пинв * КНДС, где:
V строительный объем улучшения;
УС69 - стоимость 1 куб.м., в ценах 1969 года по сборнику УПВС;
К1, К2 поправочные коэффициенты на несоответствие оцениваемого улучшения к выбранному аналогу.
И69-84; И84-2005 - индексы изменения сметной стоимости СМР;
Кндс налог на добавленную стоимость (18 %);
Пинв предпринимательская прибыль, - это требуемая сумма превышения выручки над общими затратами на строительство, которая позволяет назвать данный проект финансово-оправданным для застройщика. Величина предпринимательской прибыли определена в размере 25% от полной стоимости строительства для объекта оценки (по данным девелоперских фирм);
Информационной основой базисных стоимостных показателей послужили:
- приказы Министра архитектуры, строительства и жилищного хозяйства РФ от 04.04.92. № 87 “Порядок оценки строений, помещений и сооружений”;
- Постановление Госстроя № 94 от 11.05.83;
- Рекомендации по технической инвентаризации и регистрации зданий гражданского назначения, 1991 год.
Таблица 10
Результаты расчетов представлены в таблице:
|
Здание торгового центра |
|||
|
№ п/п |
Наименование параметра |
Обозначение |
Значение |
|
1 |
Строительный объем, куб.м. |
V |
4 854,0 |
|
2 |
Восстановительная стоимость 1куб.м. объекта (аналога) в ценах 1969 г. Сборник УПВС № 33, табл. № 5 , Москва, Госстрой СССР, 1970г.; (руб.) |
25,6 |
|
|
2а |
Поправочный повышающий коэффициент на несоответствие К1 |
1,000 |
|
|
2б |
Поправочный понижающий коэффициент на несоответствие К2 |
1,000 |
|
|
3 |
Стоимость строительства 1куб.м. объекта (аналога) в ценах 1969 г. [базисный стоимостной показатель] с учетом поправочных коэффициентов |
25,6 |
|
|
4 |
Индекс изменения сметной стоимости СМР по отраслям народного хозяйства на 01.01.1984 г. (Постановление Госстроя № 94 от 11.05.83) |
И69-84 |
1,17 |
|
5 |
Индекс пересчета стоимости СМР от базовых цен 1984 г. в цены 2004 г. (Межрегиональный информационно-аналитический бюллетень «Индексы цен в строительстве» изд. Ко-Инвест, вып. 48). |
И84-04 |
41,545 |
|
6 |
Темп прироста цен июнь 2004г./январь 2005г. |
И06.04/01.05 |
1,064 |
|
7 |
Стоимость строительствава 1 куб.м. на дату проведения оценки, руб., (стр. 3 х стр. 4 х стр. 5 х стр. 6) |
1 324 |
|
|
8 |
Прибыль инвестора, % |
Пинв |
25% |
|
9 |
НДС, % |
Кндс |
18% |
|
10 |
ПВС 1куб.м. в текущих (на дату проведения оценки) ценах 2005г. с учетом прибыли инвестора и НДС, стр. 7+(стр. 7 * стр. 8)+(стр. 7 * стр. 9), (руб.) |
1 894 |
|
|
11 |
Итого принимаем для дальнейшего расчета полную восстановительную стоимость улучшения, (руб.) |
9 191 433 |
Полная восстановительная стоимость улучшений, составляет: 9 191 433 руб.
Расчет накопленного износа
Накопленный износ это уменьшение восстановительной стоимости улучшений, которое может происходить в результате их физического разрушения, функционального и внешнего (экономического) устаревания, или комбинации этих источников.
Накопленный износ определяется как разница между восстановительной стоимостью объекта недвижимости и реальной его рыночной стоимостью.
Физический износ, или физическое разрушение, вызывается разрушением строительных конструкций и материалов под действием различных факторов (физическое и химическое выветривание, перегрузки, неправильная эксплуатация и т.д.). Различают неустранимый физический износ и устранимый физический износ.
Функциональный износ уменьшение стоимости объекта недвижимости из-за его несоответствия современным рыночным требованиям по архитектурно- эстетическим, объемно- планировочным, конструктивным решениям, благоустроенности, безопасности и другим функциональным характеристикам.
Внешний (экономический) износ уменьшение стоимости объекта вследствие изменения внешней среды: социальных стандартов общества, законодательных и финансовых условий, градостроительных решений, экологической обстановки и других качественных параметров окружения.
Срок физической жизни отрезок времени, в течении которого объект способен реально использоваться по своему назначению. В оценочной практике он выступает естественным ограничителем экономической жизни.
Срок экономической жизни время, в течении которого улучшения вносят вклад в стоимость объекта, превышающий затраты на улучшения, т. е. когда износ носит устранимый характер. Этот срок может быть продлен благодаря качественному обслуживания объекта, его ремонту.
Фактический возраст время от сдачи объекта в эксплуатацию до даты оценки, по паспорту объекта.
Эффективный возраст время, которым оценивается продолжительность жизни объекта исходя из его физического состояния, дизайна, экономических факторов, влияющих на его стоимость.
Для определения стоимости физического износа применяются следующие методы:
- Метод экономической жизни (эффективного возраста).
- Модифицированный метод экономической жизни.
- Метод сравнения продаж.
- Метод разбивки.
В нашем случае применялся метод разбивки и метод эффективного возраста.
Физический износ по методу эффективного возраста.
Накопленный физический износ: И = (ЭВ / ЭЖ) * ВС, где,
И накопленный износ,
ЭВ эффективный возраст, т.е. условный возраст, соответствующий состоянию и полезности здания, определяемый экспертом на основе технического состояния элементов или здания в целом;
ЭЖ срок экономической жизни.
ВС восстановительная стоимость.
Метод разбивки заключается в подробном рассмотрении и учете всех видов износа, к которым относят:
- Устранимый физический износ;
- Неустранимый физический износ 12;
- Устранимый функциональный износ;
- Неустранимый функциональный износ;
- Внешний (экономический) износ.
Накопленный физический износ: И = НФИ + УФИ, где,
НФИ неустранимый физический износ: НФИ = (ВС УФИ) * ФВ / ФЖ, где,
УФИ устранимый физический износ элемента.
ФВ фактический возраст элемента.
ФЖ срок физической жизни элемента.
Расчет неустранимого физического износа в короткоживущих элементах (нормативные сроки эксплуатации отдельных видов конструктивных элементов укрупненных видов работ взяты по «Правилам и нормам технической эксплуатации жилищного фонда», утвержденных приказом Государственного комитета РФ по жилищной и строительной политике №17-139 от 26.12.1997г. / ГУП Академия коммунального хозяйства им К.Д. Панфилова, 1998).
Функциональный износ для объекта оценки не выявлен.
Внешний износ для объекта оценки не выявлен.
Следовательно, в стоимостном выражении, относительно полной восстановительной стоимости улучшений, накопленный износ равен физическому.
Расчет износа и рыночной стоимости здания выполнены в среде MS Excel и представлены в таблицах.
Таблица 11
Расчет физического износа короткоживущих элементов здания:
|
Наименования короткоживущих элементов |
Удельные веса конструктивных элементов и устройств, % |
Восстановительная стоимость элемента, рр |
Устранимый физический износ, % |
Устранимый физический износ, рр |
Эффективный возраст, лет |
Нормативный срок службы, лет |
Неустранимый физический износ, % |
Неустранимый физический износ, рр |
Накопленный физ износ, рр |
|
Кровля |
12,0% |
1 102 972 |
20% |
220 594 |
10,0 |
20 |
50% |
441 189 |
661 783 |
|
Полы |
6,0% |
551 486 |
10% |
55 149 |
4,0 |
20 |
20% |
99 267 |
154 416 |
|
Окна и двери |
11,0% |
1 011 058 |
10% |
101 106 |
4,0 |
30 |
13% |
121 327 |
222 433 |
|
Внутренняя отделка |
4,0% |
367 657 |
10% |
36 766 |
4,0 |
10 |
40% |
132 357 |
169 122 |
|
Водопровод |
0,8% |
71 877 |
15% |
10 782 |
10,0 |
20 |
50% |
30 548 |
41 329 |
|
Канализация |
1,4% |
128 129 |
15% |
19 219 |
15,0 |
30 |
50% |
54 455 |
73 674 |
|
Отопление |
6,2% |
568 766 |
15% |
85 315 |
10,0 |
25 |
40% |
193 380 |
278 695 |
|
Газоснабжение |
2,4% |
218 756 |
0% |
- |
10,0 |
20 |
0% |
- |
- |
|
Эл/освещение |
2,6% |
234 382 |
15% |
35 157 |
4,0 |
30 |
13% |
26 563 |
61 720 |
|
Телефон |
3,7% |
340 635 |
10% |
34 063 |
4,0 |
20 |
20% |
61 314 |
95 378 |
|
Итого |
50,0% |
4 595 716 |
13% |
598 151 |
25% |
1 160 400 |
1 758 551 |
Таблица 12
Расчет физического износа долгоживущих элементов здания:
|
Наименования долгоживущих элементов |
Удельные веса конструктивных элементов и устройств, % |
Восстановительная стоимость элемента, рр |
Устранимый физический износ, % |
Устранимый физический износ, рр |
Фактический возраст, лет |
Срок экономической жизни / Нормативный срок службы, лет |
Неустранимый физический износ, % |
Неустранимый физический износ, рр |
Накопленный физ износ, рр |
|
Фундаменты |
6,0% |
551 486 |
2% |
11 030 |
40,0 |
80 |
50% |
270 228 |
281 258 |
|
Стены и перегородки |
31,0% |
2 849 344 |
5% |
142 467 |
40,0 |
80 |
50% |
1 353 438 |
1 495 906 |
|
Перекрытия |
10,0% |
919 143 |
5% |
45 957 |
40,0 |
80 |
50% |
436 593 |
482 550 |
|
Прочие |
3,0% |
275 743 |
10% |
27 574 |
40,0 |
80 |
50% |
124 084 |
151 659 |
|
Итого |
50,0% |
4 595 716 |
5% |
227 028 |
48% |
2 184 344 |
2 411 372 |
В стоимостном выражении, относительно полной восстановительной стоимости здания, физический износ равен 4 169 923 руб., в том числе устранимый физический износ 825 179 руб., неустранимый 3 344 744 руб.
Определение стоимости объекта оценки
После определения полной восстановительной стоимости, вклада стоимости земельного участка и накопленного износа, итоговая стоимость объекта оценки рассчитывается по формуле:
Со.о. = Спв о Ин.из. + Сзем.уч.
где,
Со.о значение стоимости объекта оценки;
Спв.о значение полной восстановительной стоимости улучшений;
Ин.из. накопленный износ улучшений.
Сзем.уч. вклад стоимости земельного участка.
Таблица 13
Результаты расчета приведены в таблице:
|
№ п/п |
Наименование |
Условное обозначение |
Стоимость |
|
1 |
Полная восстановительная стоимость улучшений, (руб.) |
Спв о |
9 615 964 |
|
2 |
Накопленный износ улучшений, (руб.) |
И |
4 169 923 |
|
3 |
Вклад стоимости земельного участка в стоимость оцениваемых улучшений, (руб.) |
Сзем.уч. |
1 700 000 |
|
4 |
Стоимость оцениваемого объекта (стр. 1 стр. 2 + стр. 3), (руб.) |
Со.о. |
7 146 041 |
|
5 |
Итоговая стоимость объекта оценки на основе затратного подхода с учетом НДС округленно, (руб.) |
7 146 000 |
Стоимость объекта оценки, полученная на основе затратного подхода,
с учетом НДС составляет: 7 146 000 рублей.
Сравнительный подход.
Подход к оценке с позиций сравнительного подхода основывается на прямом сравнении оцениваемого объекта с другими объектами недвижимости, которые были проданы, или включены в реестр на продажу/покупку. В основе данного подхода лежит принцип замещения, согласно которому рыночная стоимость недвижимости определяется ценой, которую заплатит типичный покупатель за аналогичный по качеству и полезности объект. Данный подход наиболее эффективен для объектов недвижимости, по которым имеется достаточное количество информации о сделках купли-продажи, в противном случае он не применим.
Основным методом определения стоимости недвижимости в рамках данного подхода является метод сравнения продаж. Применение метода заключается в последовательном выполнении следующих действий:
- изучение рынка и сбор данных. На этом этапе, из представленных на рынке, отбираются объекты сопоставимые с оцениваемым в одном и том же сегменте рынка и по основным позициям. Основными критериями при этом служат: условия продажи, время продажи, месторасположение, конструктивные особенности строения (расстояние от МКАД, этажность, год постройки, материал стен, общая площадь, наличие парковки, качество отделки и т.п.);
- проверка и анализ полученных данных. На этом этапе из сделанной выборки отбираются, как правило, 3 - 5 объектов в максимальной степени соответствующих оцениваемому объекту и уточняются (у собственника или его представителя) данные, указанные в объявлении на продажу. Основными критериями при этом служат в основном конкретные характеристики объекта - аналога (юридический статус, площадь земельного участка, капитальность зданий, год постройки, общая площадь, внутреннее состояние, наличие охраны и т.д.);
- внесение корректировок и определение стоимости объекта оценки: На этом этапе в стоимость выбранной единицы сравнения (стоимость 1 м2 общей площади) вносятся корректировки, учитывающие имеющиеся различия между оцениваемым объектом и каждым из аналогов. При этом корректировки вносятся со знаком:
- плюс, если сравниваемый объект по корректируемому показателю хуже оцениваемого;
- минус, если сравниваемый объект по корректируемому показателю лучше оцениваемого.
- Оценка точности результата.
В данной работе оценка по рыночному методу основывалась исходя из анализа данных на вторичном рынке (цены предложения), данных по фактическим сделкам Оценщиком не выявлено.
На этапе сбора исходной информации Оценщику не удалось найти данные о ценах предложениях объектов, сходных со зданием склада. Рынок предложений о продаже объектов, аналогичных оцениваемому в доступных источниках информации отсутствует. Это связано с тем, что на сегодняшний день объекты складские здания (малого метража) продаются в комплексе с объектами торгового назначения, при этом в аренду такие площади сдаются, о чем у Оценщика имеется информация.
В результате поиска информации о сравнимых объектах были выбраны 3 объекта - аналога торгового назначения заявленных (выставленных) на продажу. Характеристики выбранных объектов-аналогов и расчет корректировок указаны в табл.
Таблица 14
Характеристики объектов аналогов:
|
|
Оцениваемый объект |
Аналог 1 |
Аналог 2 |
Аналог 3 |
|
Месторасположение |
Московская обл., г. Кашира, Старый рынок, 12 |
Московская обл., г. Ступино |
Московская обл., г. Троицк |
Московская обл., Нарофоминский р-н, г. Апрелевка |
|
Удаленность от МКАД, км. |
95 |
80 |
22 |
24 |
|
Функциональное назначение |
торговое |
торговое |
торговое |
торговое |
|
Характеристика |
2-этажное ОСЗ |
4-этажное ОСЗ, 2005 года постройки |
1-этажное ОСЗ |
1-этажное ОСЗ |
|
Общая площадь, кв.м. |
1214 |
1600 |
237 |
300 |
|
Техническое состояние |
хорошее/косметич ремонт |
под чистовую отделку/требует ремонта |
хорошее/типовой ремонт |
хорошее/типовой ремонт |
|
Наличие парковки |
имеется |
имеется |
имеется |
имеется |
|
Оцениваемые права |
право собственности |
право собственности |
право собственности |
право собственности |
|
Возможность уторгования |
- |
имеется |
имеется |
имеется |
|
Период предложения |
- |
январь 2005г. |
декабрь 2004г. |
декабрь 2004г. |
|
Стоимость в долл. США |
- |
1 040 000 |
160 000 |
190 000 |
|
Источник информации |
- |
АН "Юпитер Капитал", тел. 730-4079 |
www.dm-realtu.ru, тел. 299-3304 |
www.dm-realtu.ru, тел. 8-903-201-5485 |
Расчет корректировок и определение рыночной стоимости
Для того чтобы определить рыночную стоимость объекта оценки, необходимо провести корректировку цен объектов-аналогов в соответствии с имеющимися различиями между ними и оцениваемым объектом. Ниже представлено объяснение примененных корректировок.
Объем передаваемых прав на здание и земельный участок
Разница между оцениваемой недвижимостью и сопоставимым объектом, влияющая на его стоимость, достаточно часто определяется разницей их юридического статуса (набора прав). Право аренды и право собственности имеют различную стоимость.
В нашем случае корректировка по данному фактору для здания равна нулю, так как и объекты-аналоги и оцениваемый объект подразумевают право собственности на объект недвижимости (владение, распоряжение и пользование).
Рыночные условия (дата продажи)
Анализ приводимых в Отчете данных основывается на информации, полученной декабрем 2004г. и январем 2005г. Соответственно размер данной поправки принимаем равной нулю.
Корректировка на уторгование
Цены объектов-аналогов являются ценами предложения. Реальные цены, по которым заключаются договора, как правило, ниже цен предложения. По справочным данным фирм, занимающихся риэлтерской деятельностью для перехода от цен предложения к ценам сделок, следует снижать цены предложения ориентировочно на 5%. Значения поправок принимаются со знаком минус, поскольку цена корректируется в сторону уменьшения.
Корректировка на месторасположение и масштаб/общую площадь
Оцениваемый объект, как и объекты-аналоги, расположен в МО. Корректировка на месторасположение определялась на основании информации, полученной Агентством на основе обработки информации о ценовой ситуации на вторичном рынке нежилых помещений МО в период с начала мая по середину июля 2003 года 13.
Таблица 15
Таблица корректировок на местоположение:
|
Назначение |
Ценовая зона (расстояние от МКАД, км) |
Размер помещения, кв. метров |
Стоимость продажи, $ за 1 кв. метр |
Арендные ставки, $ за 1 кв. метр |
|
Торговые |
До 20 |
До 100 |
530-690 |
160-280 |
|
150-300 |
525-690 |
155-295 |
||
|
500-1000 |
490-650 |
140-255 |
||
|
От 20 до 50 |
До 50 |
350-480 |
145-220 |
|
|
150-300 |
320-430 |
130- 195 |
||
|
300-500 |
290-400 |
100-175 |
||
|
Свыше 50 |
До 50 |
275-290 |
100-130 |
|
|
100-200 |
220-230 |
70-110 |
||
|
300-500 |
160-220 |
60-85 |
Корректировка на износ
Расчет данной корректировки производится по формуле:
Пи = (100-Ио)/(100-Иа), где,
Пи искомая величина поправки;
Ио износ оцениваемого объекта (рассчитан в затратном подходе), %
Иа износ аналога, %
Корректировка на техническое состояние
Корректировка на техническое состояние была определена в результате анализа предложений фирм, занимающихся оказанием ремонтно-строительных услуг в г. Москве и Московской обл. таких как: ЗАО «Костар», тел. 286-15-56, 283-82-11, www.costar.ru; ООО «Ремстрой.ком», тел. 741-85-46, www.remstroy.com.
Таблица 16
Результаты корректировок сведены в таблицу:
|
Требует ремонта |
Хорошее/типовой ремонт |
50 долл. США за 1 кв.м. |
|
Хорошее/типовой ремонт |
Отличное/качественный ремонт |
140 долл. США за 1 кв.м. |
|
Отличное/качественный ремонт |
Отличное/евроремонт |
250 долл. США за 1 кв.м. |
Весовые коэффициенты объектов-аналогов
Весовые коэффициенты присваивались в зависимости от месторасположения объекта оценки и объекта-аналога.
Таблица 17
Расчет стоимости торгового центра выполнен MS Excel и представлен в таблице:
|
Элемент сравнения |
Оцениваемый объект |
Аналог 1 |
Аналог 2 |
Аналог 3 |
|
Стоимость за 1 кв.м., $ |
|
650 |
675 |
633 |
|
Оцениваемые права |
Полное право собственности |
Полное право собственности |
Полное право собственности |
Полное право собственности |
|
Корректировка, % |
|
0 |
0 |
0 |
|
Скорректированная цена, $ |
|
650 |
675 |
633 |
|
Условия продажи |
|
Рыночные |
Рыночные |
Рыночные |
|
Корректировка, % |
|
0 |
0 |
0 |
|
Скорректированная цена, $ |
|
650 |
675 |
633 |
|
Условия финансового расчета |
|
Рыночные |
Рыночные |
Рыночные |
|
Корректировка |
|
0 |
0 |
0 |
|
Скорректированная цена, $ |
|
650 |
675 |
633 |
|
Возможность уторгования |
|
имеется |
имеется |
имеется |
|
Корректировка, % |
|
-5 |
-5 |
-5 |
|
Скорректированная цена, $ |
|
618 |
641 |
602 |
|
Месторасположение |
Московская обл., г. Кашира, Старый рынок, 12 |
Московская обл., г. Ступино |
Московская обл., г. Троицк |
Московская обл., Нарофоминский р-н, г. Апрелевка |
|
Корректировка |
|
0,8 |
0,46 |
0,46 |
|
Скорректированная цена, $ |
|
494 |
293 |
275 |
|
Наличие парковки |
имеется |
имеется |
имеется |
имеется |
|
Корректировка, % |
|
0 |
0 |
0 |
|
Скорректированная цена, $ |
|
494 |
293 |
275 |
|
Наличие охраны |
имеется |
имеется |
имеется |
имеется |
|
Корректировка, % |
|
0 |
0 |
0 |
|
Скорректированная цена, $ |
|
494 |
293 |
275 |
|
Износ |
55% |
1% |
50% |
50% |
|
Корректировка |
|
0,46 |
0,91 |
0,91 |
|
Скорректированная цена, $ |
|
226 |
266 |
250 |
|
Техническое состояние |
хорошее/косметич ремонт |
под чистовую отделку/требует ремонта |
хорошее/типовой ремонт |
хорошее/типовой ремонт |
|
Корректировка, $ |
|
0 |
-50 |
-50 |
|
Скорректированная цена, $ |
|
226 |
216 |
200 |
|
Общая площадь, кв.м. |
1214 |
1600 |
237 |
300 |
|
Корректировка |
|
1 |
1,05 |
1,05 |
|
Скорректированная цена, $ |
|
226 |
227 |
210 |
|
Весовой коэффициент |
|
3 |
2 |
1 |
|
Стоимость за 1 кв.м., $ |
224 |
|||
|
Стоимость объекта оценки, $ |
271 936 |
|||
|
Стоимость объекта, руб. |
7 601 000 |
Проверка результата на точность
Проверка результата на точность определялась на основании коэффициента вариации, который определяется как отношение среднеквадратичного отклонения к среднему значению скорректированной цены. Результат считается точным, если коэффициент вариации составляет 30 %.
Таблица 18
Расчет выполнен MS Excel и представлен в таблице:
|
Показатель |
Значение |
|
Аналог 1 |
226 |
|
Аналог 2 |
227 |
|
Аналог 3 |
210 |
|
Количество объектов в выборке |
3 |
|
Средняя скорректированная цена (Х) |
221 |
|
Медиана ряда |
226 |
|
Среднеквадратичное отклонение (Sx) скорректированной цены |
8 |
|
Отношение Sx/Х (коэффициент вариации) |
3% |
|
Минимальное значение |
210 |
|
Максимальное значение |
227 |
Стоимость объекта оценки, полученная на основе сравнительного подхода,
с учетом НДС составляет: 7 601 000 рублей.
Доходный подход
Подход с точки зрения дохода представляет собой процедуру оценки стоимости недвижимости, исходя из того принципа, что стоимость недвижимости непосредственно связана с текущей стоимостью всех будущих чистых доходов, которые принесет данная недвижимость. Другими словами, инвестор приобретает приносящую доход недвижимость на сегодняшние деньги в обмен на право получать в будущем доход от её коммерческой эксплуатации (например, от сдачи в аренду) и от последующей продажи. Как правило, на практике в рамках данного подхода используют три метода оценки стоимости недвижимости:
- метод прямой капитализации. Данный метод наиболее применим к объектам, имеющим стабильные, предсказуемые суммы доходов и эксплуатационных расходов;
- метод дисконтирования денежных потоков. Данный метод применяется для объектов, имеющих нестабильные потоки доходов и расходов в течение прогнозного периода;
- метод связанных инвестиций. Данный метод применяется для объектов инвестиции, в которые осуществляются с привлечением заемных средств.

В данном отчете при расчете стоимости объекта был использован метод прямой капитализации. Основная формула расчета следующая:
Выбор метода основывается на предположении о том, что:
- на момент оценки оцениваемый объект может сдаваться в аренду без каких-либо существенных дополнительных вложений.
- прогнозный период от сдачи в аренду предсказуем и поддается оценке;
- чистый годовой доход, получаемый собственником, предполагается постоянным в течение срока эксплуатации (в основе лежит тезис о том, что возможное увеличение доходов на начальном этапе эксплуатации объекта компенсируется их снижением в дальнейшем в результате увеличения эксплуатационных расходов).
Оценка величины коэффициента капитализации
Существует несколько способов оценки величины коэффициента капитализации. В данном случае оценка производилась методом кумулятивного построения (суммирования); выбор метода связан, прежде всего, с тем, что в настоящее время отсутствуют достоверные статистические сведения, полученные по результатам рыночных сделок в данном секторе рынка.
При использовании метода суммирования величина коэффициента капитализации определяется по формуле:
Rоб = Rб.р. + Rр + Rн.л. + Rф.м. + Rв.и., где,
|
Rоб |
общий коэффициент капитализации; |
|
Rб.р |
безрисковая (безопасная) ставка дохода; |
|
Rр |
премия учитывающая риск инвестирования в данный объект (сегмент рынка); |
|
Rн.л. |
премия за низкую ликвидность; |
|
Rф.м |
премия за инвестиционный менеджмент; |
|
Rв.и |
норма возврата инвестиций. |
Безрисковая ставка дохода безопасная ставка дохода, которую можно получить по вкладам в высоко надежные финансовые инструменты в течение установленного периода времени. Учитывая, сложившиеся в настоящий момент реалии российского фондового рынка в качестве безрисковой ставки принята средняя доходность по валютным еврооблигациям.
Таблица 19
Итоги торгов еврооблигаций РФ: 14.
|
Наименование |
Валюта |
Погашение |
Купон (% от ном.) |
YTM (% год.) |
|
Russia 18 |
USD |
24.07.2018 |
11 |
7,59 |
|
Russia 28 |
USD |
24.06.2028 |
12,75 |
8,12 |
|
Russia 30 |
USD |
31.03.2030 |
5 |
7,17 |
|
Среднее значение |
7,63 |
Премия за риск инвестирования учитывает более высокую степень риска при размещении средств в более рискованных (по сравнению с государственными ЦБ) инвестиционных инструментах. В связи с тем, что в отечественной печати отсутствуют данные о степени риска вложения в те или иные инвестиционные инструменты, величина данной поправки определялась как размер страховых отчислений за полную страховку недвижимости в страховых компаниях высшей категории надежности. Размер страховых отчислений на дату проведения оценки составляет 0,30,5%. Учитывая текущую ситуацию на рынке недвижимости, а также местоположение, состояние и характер использования объекта оценки принимаем величину премии за риск в размере 0,5%;
Премия за низкую ликвидность учитывает тот факт, что возврат инвестиций в недвижимость требует значительно большего времени по сравнению с финансовыми инвестициями. При известной безрисковой ставке дохода величина данной премии рассчитывается по формуле:
Rн.л. = Rб.р * Тэксп / 12, где
Тэксп период экспозиции объекта на рынке.
Имеющиеся в нашем распоряжении данные, по продажам объектов, сопоставимых с оцениваемыми, позволяют оценить время экспозиции в рамках 4 - 6 месяцев. Принимаем для расчета период экспозиции 5 месяцев. Тогда величина премии за низкую ликвидность составит - 3,18%;
Премия за инвестиционный менеджмент учитывает риск, связанный с управлением инвестициями при вложениях в недвижимость. По нашим оценкам степень данного риска для объекта оценки можно оценить величиной » 4,0%;
Норма возврата инвестиций отражает процент ежегодного возврата инвестиций в зависимости от времени, которое по расчетам инвестора потребуется для возврата вложений инвестиций в имущество. Расчет нормы возврата инвестиций определен в Затратном подходе, п. Расчет стоимости земельного участка: 100% / 60 = 1,67%.
В итоге, общий коэффициент капитализации, рассчитанный методом суммирования оцениваемого объекта, составляет - 0,1697.
Таблица 20
Составляющие ставки капитализации и их значения для объектов оценки:
|
Элементы ставки капитализации |
Значение, % |
|
Безрисковая ставка |
7,63 |
|
Компенсация за риск вложения инвестиций в объект оценки |
0,50 |
|
Компенсация за низкую ликвидность |
3,18 |
|
Компенсация за инвестиционный менеджмент |
4,00 |
|
Ставка возврата инвестиций |
1,67 |
|
Ставка капитализации |
16,97 |
Оценка доходов и расходов от эксплуатации недвижимости
Доходы:
Доходы, приносимые оцениваемым объектом, складываются, прежде всего (принято в рамках данного отчета) из доходов получаемых в случае сдачи имеющихся площадей в аренду. Для оценки величины рыночной арендной платы использованы данные по аренде помещений сопоставимых с оцениваемым на территории Московской обл. При оценке прогнозного состояния оцениваемого объекта была использована информация, полученная в результате инспекции объекта недвижимости, которая была принята за основу при отборе объектов аналогов по физическому признаку. Дополнительно при анализе учитывались такие критерии как: местоположение, рыночная привлекательность и совокупность дополнительных удобств.
Расчет эффективной величины ставки арендной платы:
По конфиденциальной информации, в зависимости от месторасположения, величина ставки арендной платы за торговые площади в г. Кашире и Каширском районе составляют от 90$ до 120$ за 1 кв.м. в год.
Магазин расположен в г. Кашира, Старый рынок, 12. С учетом месторасположения, с точки зрения проходимости, и технического состояния, для расчета принята арендная ставка: 105$ за 1 кв.м. в год для магазина.
Потери от недоиспользования объекта оценки:
После определения прогнозной величины ставки арендной платы и величины коэффициента капитализации расчет произведен при следующих допущениях:
- Помещение сдается в аренду на длительное время (более 1-го года); договор аренды заключается на всю общую площадь; однако в случае выбытия одного арендатора его место не сразу занимает другой. Таким образом, коэффициент недозагрузки по нашим оценкам может составлять 0,95;
- Коэффициент недосбора арендной платы по нашим оценкам может составлять 0,951,0. Учитывая характер потенциальных арендаторов, коэффициент недосбора арендной платы принят равным 0,95.
Расходы
Эксплутационные расходы:
Представители предприятия арендатора не смогли предоставить соответствующих данных, поэтому размер эксплуатационных расходов был определен экспертным путем, на основании имеющейся информации. Их размер для аналогичных объектов составляет 20 долларов США за 1 кв.м. в год без учета НДС.
Налоги:
Налог на имущество принят в размере 2,0 % от стоимости воспроизводства оцениваемого Объекта недвижимости, рассчитанной затратным подходом.
Налог на добавленную стоимость принят в размере 18 % от действительного валового дохода.
Земельный налог составляет 0,796 руб. за 1 кв.м. в год (данные Заказчика).
Налог на прибыль. Ставка налога принята в размере 24% от действительного валового дохода.
Страховые платежи:
Страховые платежи составляют 0,5 % от стоимости воспроизводства оцениваемого Объекта недвижимости, рассчитанной затратным подходом.
Расходы на управление объектом недвижимости:
Включение расходов на управление объектом недвижимости в операционные издержки связано с особенностью объекта недвижимости как источника доходов. Для объектов аналогичных оцениваемому, расходы на управление принимаются равными 2 % от действительного валового дохода.
Затраты на текущий ремонт:
Учитывая, что типичный договор аренды, возлагает на арендатора обязанности по поддержанию помещения в рабочем состоянии, то необходимо учитывать расходы на периодическую замену быстроизнашивающихся элементов. Предполагается, что косметический ремонт проводится 1 раз в 5 лет и его стоимость, согласно проведенному анализу рынка строительных услуг, составляет 70 долларов США на 1 м. кв. для магазина, следовательно, ежегодно на эти цели следует резервировать соответственно 16 доллара США на 1 кв.м.
Расчет стоимости объекта оценки
Расчет стоимости оцениваемого объекта ведется с учетом НДС.
Результаты расчета представлены в табл. Потенциальный валовый доход, приносимый объектом, рассчитывается по формуле:
ПВД = Sоб * А, где
ПВД - потенциальный валовый доход;
Sоб. общая площадь оцениваемого объекта;
А прогнозная величина ставки арендной платы за 1 м2 оцениваемого объекта.
Размер доходов и расходов приведен в годовом исчислении в долларах США, расчет выполнен MS Excel.
Таблица 21
Результаты расчетов:
|
№ п/п |
Характеристика |
Показатель |
|
1 |
Величина ставки арендной платы для магазина, ($/м2 год) |
105 |
|
2 |
Общая площадь магазина, (м2) |
1 214,0 |
|
3 |
Потенциальный валовый доход (стр. 2 х стр. 1) + (стр. 3 х стр. 4), ($) |
127 470 |
|
4 |
Коэффициент недозагрузки |
0,95 |
|
5 |
Коэффициент недосбора арендной платы |
0,95 |
|
6 |
Действительный валовый доход (стр. 5 х стр. 6 х стр. 7), ($) |
115 042 |
|
7 |
Расходы всего (сумма строк 9.1 9.7), ($) |
65 667 |
|
7.1. |
в том числе: НДС, ($) |
17 549 |
|
7.2. |
Налог на имущество, ($) |
3 593 |
|
7.1. |
Страховые платежи, ($) |
898 |
|
7.2. |
Эксплуатационные расходы, ($) |
24 280 |
|
7.1. |
Расходы на управление, ($) |
2 301 |
|
7.2. |
Затраты на текущий ремонт, ($) |
16 996 |
|
7.1. |
Налог на земельный участок, ($) |
50 |
|
8 |
База для расчета налога на прибыль (стр. 8 стр. 9), ($) |
49 374 |
|
8.1 |
Налог на прибыль, ($) |
9 556 |
|
9 |
Чистый операционный доход (стр. 8 - стр. 8.1), ($) |
39 818 |
|
10 |
Коэффициент капитализации |
0,1697 |
|
11 |
Стоимость объекта без НДС (стр. 11 / стр. 12), ($) |
234 592 |
|
12 |
Стоимость объекта с учетом округления и НДС (стр. 13 х 1,18), ($) |
276 800 |
|
13 |
Стоимость объекта с учетом округления и НДС, (руб.) |
7 737 000 |
Стоимость объекта оценки, полученная на основе доходного подхода,
с учетом НДС составляет: 7 737 000 рублей.
Согласование результатов
Окончательное, итоговое суждение о стоимости имущества выносится Оценщиком на основе анализа полученных ориентиров стоимости оцениваемого имущества, полученных в рамках классических подходов к оценке. Для согласования результатов необходимо определить веса, в соответствии с которыми отдельные, ранее полученные ориентиры, сформируют итоговую рыночную стоимость имущества. Для определения весов различных подходов используем четыре приведенных ниже критерия, которыми будем описывать те или иные преимущества или недостатки примененного метода расчета с учетом особенностей настоящей оценки. Обсуждение такого подхода к процедуре согласования опубликовано А. Шаскольским на секции по оценке недвижимости, работавшей в рамках VIII Международном ежегодном конгрессе “СЕРЕАН” 15 19 октября 2002г.
Для расчета весов использованных методов проделаем следующие вычисления:
- построим матрицу (таблицу) факторов, присвоив каждому подходу четыре вида баллов в соответствии с четырьмя критериями;
- найдем сумму баллов каждого подхода;
- найдем сумму баллов всех используемых подходов;
- по отношению суммы баллов данного подхода к сумме баллов всех использованных подходов найдем расчетный вес подхода в процентах;
- округлим расчетные веса подходов с точность до 10% в целях использования данных весов для согласования. Округление необходимо в связи с тем, что неокругленные веса порождают у читателя отчета ошибочное представление о точности полученного результата, что может нанести заинтересованному лицу больше вреда, чем кажущаяся чисто формальная ошибка, якобы вносимая округлением в итоговый результат.
- на основе округленных весов рассчитаем согласованную стоимость оцениваемого имущества путем умножения полученного с помощью данного подхода ориентира стоимости на округленный вес подхода, рассчитанный в целях согласования стоимостей.
Таблица 22
Результаты согласования выполнены в Microsoft Excel:
|
Подход |
Доходный |
Рыночный |
Затратный |
|
Величина стоимости |
7 737 000 |
7 601 000 |
7 146 000 |
|
Критерий |
Баллы |
||
|
Способность учитывать специфические особенности объекта, влияющие на его стоимость (местонахождение, размер, потенциальная доходность). |
2 |
2 |
3 |
|
Способность подхода учитывать структуру ценообразующих факторов, специфичных для объекта |
5 |
6 |
2 |
|
Достоверность и достаточность информации, на основе которой проводились анализ и расчеты |
6 |
6 |
1 |
|
Способность подхода отразить мотивацию, действительные намерения типичного инвестора/продавца |
5 |
6 |
1 |
|
Итого суммы баллов |
18 |
20 |
7 |
|
Подход применялся |
да |
да |
да |
|
Сумма баллов |
45 |
||
|
Вес подхода, % |
40% |
40% |
20% |
|
Рыночная стоимость с учетом НДС, руб. |
7 600 000 |
2.2. Определение ликвидационной стоимости Торгового центра
Формула (28) для расчета ликвидационной стоимости объекта оценки, учитывающая фактор стоимости денег во времени и влияние фактора эластичности спроса по цене:

где,
Сл - ликвидационная стоимость объекта оценки, соответствующая фиксированному периоду (tФ) его экспозиции (руб.);
Ср рыночная стоимость объекта оценки (руб.);
tД - продолжительность периода дисконтирования (лет);
m - количество периодов начисления процентов в течение года;
i - годовая ставка дисконта (выраженная как десятичная дробь).
КЭ - поправочный коэффициент, учитывающий влияние эластичности спроса по цене на ликвидационную стоимость объекта.
Ср 7 600 000 руб.
Продолжительность периода дисконтирования при экспозиции объекта на рынке 5 месяцев:
tД = 5*30/360 = 0,16667 лет.
m = 12.
Ставка дисконтирования принята в размере процентной ставке кредита, i = 15%.
Поправочный коэффициент принят по табл. 5, КЭ = 0,9.
Сл = [7 600 000 / {1/(1 + 0,15/12) ^ (0,16667 * 12)}] * 0,9= 6 672 154 руб.
Ликвидационная стоимость объекта оценки: ~ 6 672 000 руб.
2.3. Определение величины кредита, предоставляемого под залог
Формула (22), которая использовалась для расчета максимально возможной величины кредита, предоставляемого под залог:

С использованием таблицы 1 и Microsoft Excel был выполнен расчет величины кредита, предоставляемого под залог объекта недвижимости, торгового центра.
Таблица 23
Результаты расчета:
|
Исходные данные / Расчет: |
|
|
Рыночная стоимость объекта залога |
7 600 000 |
|
Ликвидационная стоимость объекта залога |
6 672 000 |
|
Номинальная годовая процентная ставка по кредиту, % |
15,0% |
|
Продолжительность периода кредитования, лет |
2 |
|
Число периодов начисления процентов в течение года |
12 |
|
Годовая ставка дисконта, % ( ~ ставка капитализации) |
17,0% |
|
Ежегодные расходы, связанные с содержанием объекта залога, руб., (доходный подход) |
43 577 |
|
Расходы, связанные со страхованием объекта залога, руб. |
898 |
|
Расходы, связанные с осуществлением обеспеченных залогом требований, %, (табл. 2) |
14,0% |
|
Расходы, связанные с осуществлением обеспеченных залогом требований, руб. |
934 102 |
|
Неустойка, выплачиваемая заемщиком, (% от Ликвидационной стоимости) |
5,0% |
|
Неустойка, выплачиваемая заемщиком, руб. |
333 608 |
|
Вероятность нарушения заемщиком условий кредитного договора, (% от Ликвидационной стоимости) |
50,0% |
|
Расчет максимально возможной величины кредита и коэффициента LTLV: |
|
|
Максимально возможная величина кредита (К max), руб. ~ |
5 400 000 |
|
Коэффициент LTLV, соответствующий К max |
0,809 |
|
Коэффициент от рыночной стоимости |
0,714 |
Расчетная величины кредита, предоставляемого под залог объекта недвижимости, торгового центра, составляет: 5 400 000 рублей.
Заключение
Нынешняя неопределенность кредитного механизма вместе с другими негативными социально-экономическими факторами значительно сдерживает развитие ипотеки в России. Чтобы сделать механизм ипотечного кредитования исправно работающим, в нем необходимо учесть не только высокий уровень инфляции, который будет существовать в России еще какое-то время, но и особенности функционирования ее финансовой системы, банковской деятельности, рынка недвижимого имущества, размер и структуру доходов населения, традиции, противоречивые реалии ее экономики.
Нынешние виды ипотечного кредитования следует рассматривать не более как прототипы будущей системы жилищного финансирования, которая призвана выполнять три основные функции:
- обеспечивать мобилизацию средств на финансирование строительства и покупки жилья;
- предоставлять и обслуживать кредиты (имея в виду и их рефинансирование);
- осуществлять функцию инвестора.
Почти у каждого предприятия наступают такие времена, когда собственных средств не хватает. А в деловой жизни, где доверие стоит на первом месте, не так то просто найти кредитора. КБ - это профессиональные кредиторы. Они исследуют Ваше предприятие вдоль и поперек. И если Вы не уверены в своей кредитоспособности - Вы не получите кредит (КБ сразу же найдет слабое место) или получите его на крайне невыгодных для Вас условиях.
Торговля деньгами - очень рисковое предприятие и работа КБ заключается в минимизации этого риска.
Выполненная дипломная работа кредитования под залог, являются лишь точкой пути более глубокого познания этих проблем. Уже сейчас является очевидной необходимость дальнейшего проведения прикладных исследований по вопросам: "разумно долгого" периода экспозиции объектов на рынке; по выбору ставок дисконтирования, используемых в расчетах; по вопросам эластичности спроса по цене; по вопросам прогнозирования рыночной стоимости различных групп товаров; по вопросам оценки кредитоспособности заемщиков и многим-многим другим.
На мой взгляд, выполненная дипломная работа несет в себе ценность, так как в ней рассматривается методика определения величины кредита под залог конкретного объекта недвижимости, что весьма актуально в экономическом пространстве России.
СПИСОК ЛитературЫ
- Конституция Российской Федерации (принята на всенародном голосовании 12.12.1993г.). «ГАРАНТ-Максимум», версия 02.12.2004г.
- Гражданский кодекс РФ (части первая, вторая и третья) (с изм. и доп. от 20 февраля, 12 августа 1996г., 24 октября 1997г., 8 июля, 17 декабря 1999г., 16 апреля, 15 мая, 26 ноября 2001г., 21 марта, 14, 26 ноября 2002г., 10 января, 26 марта, 11 ноября, 23 декабря 2003г., 29 июня, 29 июля 2004г.). «ГАРАНТ-Максимум», версия 02.12.2004г.
- Земельный кодекс РФ от 25.10.2001г. N 136-ФЗ.
- Федеральный закон от 25.10.2001г. N 137-ФЗ, "О введении в действие Земельного кодекса РФ". «ГАРАНТ-Максимум», версия 02.12.2004г.
- Федеральный закон от 16 июля 1998г. N 102-ФЗ "Об ипотеке (залоге недвижимости)" (с изменениями от 9 ноября 2001г., 11 февраля, 24 декабря 2002г., 5 февраля, 29 июня, 2 ноября 2004г.). «ГАРАНТ-Максимум», версия 02.12.2004г.
- Федеральный закон от 29 июля 1998г. N 135-ФЗ "Об оценочной деятельности в Российской Федерации" (с изм. и доп. от 21 декабря 2001г., 21 марта, 14 ноября 2002г., 10 января, 27 февраля 2003г., 22 августа 2004г.). «ГАРАНТ-Максимум», версия 02.12.2004г.
- Федеральный закон от 02.01.2000г. N 28-ФЗ, "О государственном земельном кадастре". «ГАРАНТ-Максимум», версия 02.12.2004г.
- Федеральный закон РФ от 21.11.96г. № 129-ФЗ «О бухгалтерском учете».
- Закон Российской Федерации от 29 мая 1992 г. N 2872-1 «О залоге».
- Закон РФ от 11.11.1991г. N 1738-1, "О плате за землю".
- Постановление Правительства РФ от 06.07.2001г. №519 "Об утверждении стандартов оценки". «ГАРАНТ-Максимум», версия 02.12.2004г.
- Постановление Правительства РФ от 07.08.2002г. N 576, "О порядке распоряжения земельными участками, находящимися в государственной собственности, до разграничения государственной собственности на землю".
- Распоряжение Минимущества РФ от 06.03.2002г. N 568-р, "Об утверждении методических рекомендаций по определению рыночной стоимости земельных участков".
- Приказ Минфина РФ от 20.03.01 № 62н «Об утверждении положения по бухгалтерскому учету «Учет основных средств» ПБУ 6/2001», зарегистрированный Минюстом РФ 28.04.01, №2689. «ГАРАНТ-Максимум», версия 02.12.2004г.
- Регламент предоставления кредитов юридическим лицам Сбербанком России и его филиалами от 08.12.1997г. N 285-р (утв. Комитетом Сбербанка РФ по предоставлению кредитов и инвестиций) (с изм. и доп. от 01.10.1998г., 29.01.1999г.). «ГАРАНТ-Максимум», версия 02.12.2004г.
- «Стандарты оценки, обязательные к применению субъектами оценочной деятельности», утвержденные постановлением Правительства РФ от 06.07.2001г. № 519.
- «Международные стандарты оценки». Шестое издание 2003 (МСО 2003). М.: ОО Российское общества оценщиков, 2004.
- «Методологические основы оценки стоимости имущества». Г. И. Микерин, В. Г. Гребенщиков, Е. И. Нейман. М.: «ИНТЕРРЕКЛАМА», 2003.
- Фридман, Н. Ордуэй. «Анализ и оценка приносящей доход недвижимости». - М.: «Дело», 1997. 480 с.
- В. А. Прорвич. «Оценка земли в Москве». М.: «Экономика», 1996. 240 с.
- «Оценка урбанизированных земель». Под редакцией В. А. Прорвича. М.: ЗАО «Экономика», 2004.
- Общая редакция В. Н. Зарубин, В. М. Рутгайзер. «Оценка рыночной стоимости недвижимости». М.: «Дело», 1998. 384с.
- Галасюк В.В., Галасюк В.В. Кредитование под залог и ликвидационная стоимость. Под ред. Губенко С.Н. - Днепропетровск: Новая идеология, 2001. - 89 с.
- Рябченко Л. Особенности организации ипотечного кредитования в мировой банковской практике// Аудитор. Москва.-1999.-Ш-2.-С.76-86.
- «Оценка рыночной стоимости недвижимости», С. В. Грибовский, «ПИТЕР», 2001г.
- «Ценообразование в строительстве», В. Т. Александров, Т. Г. Касьяненко, «ПИТЕР», 2000г.
- «Рыночная оценка имущества города». С. В. Орлов, Ю. А. Ципкин. М.: «ЮНИТИ», 2003.
- Черняк В. З. «Управление инвестиционным проектом в строительстве» - М.: «Русская Деловая Литература», 1998.
- В. В. Григорьев, И. М. Островкин, «Оценка предприятий имущественный подход». М.: «Дело», 1998. 244 с.
- «Рынок нежилых помещений Московской области. Современное состояние и прогноз развития 2003». Информационно аналитическое агентство «RWAY». Москва 2003.
- Правила оценки физического износа жилых зданий. ВСН 53- 86(р). М., Госгражданстрой, 1990г.
- «Индексы цен в строительстве» КО-ИНВЕСТ № 48, июль 2004г.
- Сборник УПВС зданий и сооружений для переоценки ..., № 36.
- Информационно аналитический бюллетень рынка недвижимости RWAY за октябрь - декабрь 2004г.
- Журнал «Недвижимость и цены» за декабрь 2004г. и январь 2005г.
- Информация комитета по управлению имуществом при Администрации Каширского района.
- http://www.appraiser.ru/.
- http://www.prime-tass.ru/.
- http://www.realty.ru/.
1 Телефон: (095) 721-35-41. E-mail: info@nz.ru
2 «Рынок нежилых помещений Московской области. Современное состояние и прогноз развития 2003.
Информационно аналитическое агентство «RWAY». Москва, 2003.
3 «Рынок нежилых помещений Московской области. Современное состояние и прогноз развития 2003.
Информационно аналитическое агентство «RWAY». Москва, 2003
4 Ежемесячный информационно аналитический бюллетень рынка недвижимости «RWAY» №112, июль 2004г.
5 Из отчета главы Каширского района Е. Ф. Пузрякова об исполнении программы социально-экономического развития района за 2003г. «КИ» №44-46 от 16.03.2004г.
6 Ежемесячный информационно аналитический бюллетень рынка недвижимости «RWAY»
7 Информационный источник - МОК-Информ, E-mail: mok@valnet.ru, www.ValNet.ru.
8 Распоряжение Минимущества РФ от 06.03.2002г. N 568-р, "Об утверждении методических рекомендаций по определению рыночной стоимости земельных участков".
9 См. Доходный подход, Оценка величины коэффициента капитализации
10 См. Доходный подход, определение ставки капитализации.
11 См. Затратный подход, расчет стоимости здания с учетом износа.
12 Неустранимый износ определялся как отношение фактического срока эксплуатации к нормативному сроку эксплуатации (в качестве нормативной базы для расчета износа использованы «Расчет физического износа жилых и общественных зданий ВСН 53-86(р)» и Положение о планово-предупредительных ремонтах).
13 «Рынок нежилых помещений Московской области. Современное состояние и прогноз развития 2003.
Информационно аналитическое агентство «RWAY». Москва, 2003
14 http://www.finmarket.ru/z/anl/graph.asp?cod=9
|
Дипломная работа: «Оценка торгового центра с целью получения кредита» |
Определение величины кредита выдаваемого под залог недвижимости