Анализ электрической цепи системы управления

ЗАДАНИЕ
Для электрической цепи, соответствующей номеру варианта необходимо выполнить следующие задания (указаны в содержании):
Рис. 1. Электрическая схема системы управления
Таблица 1
|
Номер варианта задания |
Номер рисунка |
Параметры электрической схемы |
||||||
|
R1 |
R2 |
R3 |
L1 |
L2 |
C1 |
C2 |
||
|
Ом |
мГн |
мкФ |
||||||
|
12 |
2 |
300 |
900 |
240 |
5000 |
15000 |
1,12 |
0,2 |
- Провести анализ электрической цепи системы управления. Обозначить узлы схемы и токи ветвей, указать входной и выходной сигналы;
- Определить передаточную функцию четырехполюсника;
- Определить и представить графически амплитудно-частотную (АЧХ) и фазо-частотную (ФЧХ) характеристики;
- По полученному дифференциальному уравнению построить структурную схему системы управления;
- Определить реакцию исследуемой системы на единичное ступенчатое воздействие при нулевых начальных условиях:
Определить устойчивость системы управления, используя критерий устойчивости Михайлова решение представить графически.
Содержание
|
Наименование пункта |
Стр. |
|
|
1. |
Анализ электрической цепи: обозначение узлов, токов; определение входного и выходного сигналов |
3 |
|
2. |
Определение передаточной характеристики четырехполюсника |
4 |
|
3. |
Определение АЧХ и ФЧХ |
4 |
|
4. |
Построение структурной схемы системы управления |
5 |
|
5. |
Определение реакции исследуемой системы на единичное ступенчатое воздействие при нулевых начальных условиях |
7 |
|
6. |
Определение устойчивости системы управления (критерий устойчивости Михайлова) |
8 |
1. Анализ электрической цепи: обозначение узлов, токов;
определение входного и выходного сигналов
Составим модель объекта:

Сопротивления реактивных элементов:




Эквивалентное сопротивление параллельно включенных индуктивностей:

Эквивалентное сопротивление параллельно включенных сопротивлений:

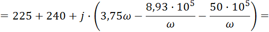
Входное сопротивление цепи:



Ток в цепи:

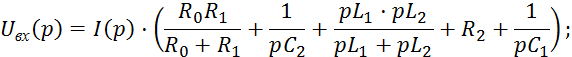
Напряжение на выходе цепи:

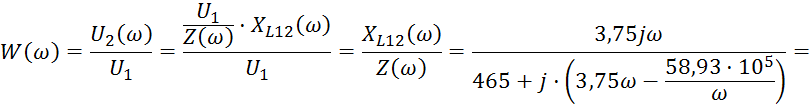
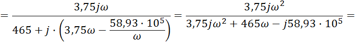
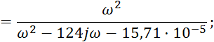
2. Определение передаточной характеристики четырёхполюсника
Определим передаточную характеристику:



3. Определение АЧХ И ФЧХ
Амплитудно-частотная характеристика (АЧХ) цепи модуль передаточной функции.


Фазо-частотная характеристика (ФЧХ) цепи аргумент передаточной функции.
Для ФЧХ цепи необходимо разделить передаточную функцию на действительную и мнимую часть, умножим на комплексно-сопряженное к знаменателю выражение:



4. Построение структурной схемы системы управления




Определим передаточную функцию четырехполюсника в области изображений, выразив входное и выходное напряжение цепи через ток:





Данное выражение сопоставимо с полученным ранее выражением для частотной функции исследуемого четырехполюсника пи выполнении замены сомножителя j на оператор p.

Структурная схема четырехполюсника:

Структурная схема исследуемого четырехполюсника может быть представлена в виде двух последовательно соединенных блоков:




5. Определение реакции исследуемой системы на единичное ступенчатое воздействие при нулевых начальных условиях
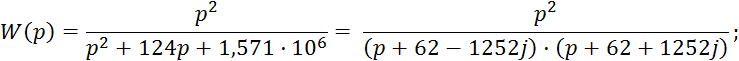
Передаточная характеристика исследуемого четырехполюсника:

При единичном ступенчатом воздействии Uвх=1/p выходное напряжение равно:

Воспользуемся теоремой разложения для перехода в область времени:
, где
M(p) числитель передаточной характеристики;
производная от выражения, стоящего в знаменателе знаменатель передаточной характеристики;
N(p) знаменатель передаточной характеристики;
pk k-й корень производной от полинома N(p).
Производная от полинома знаменателя:



Графическая иллюстрация:
6. Определение устойчивости системы управления (критерий устойчивости Михайлова)
Определим передаточную функцию замкнутой системы:


Запишем характеристический полином:

Перейдем к функции частоты:

Построим годограф Михайлова
Критерий устойчивости по Михайлову:
Чтобы система автоматического управления была устойчивой, необходимо и достаточно, чтобы вектор кривой Михайлова при изменении от 0 до повернулся, нигде не обращаясь в нуль, вокруг начала координат против часовой стрелки на
угол , где n порядок характеристического уравнения. Заметим, что для устойчивых систем кривая Михайлова начинается при = 0 на вещественной положительной полуоси.

Im(F(w)) мнимая составляющая полинома F(w)
Re(F(w)) мнимая составляющая полинома F(w)
В данном случае, на основании критерия устойчивости Михайлова, можно утверждать, что исследуемая система является устойчивой годограф начинается на положительной действительной полуоси и уходит в бесконечность во втором квадранте, что соответствует второй степени полинома.
Зарегистрирована
Дата
Подпись
Кафедра “Электротехника”
Контрольная работа 1.2
Основы теории управления
Волгоградский государственный технический университет
2
3
4
5
Замечания
6
1
4
5
6
3
1
2
Рейтинговая оценка