Анализ торгового предприятия
Анализ торгового предприятия
Введение
Переход к рыночной экономике требует от предприятия торговли повышения эффективности деятельности, конкурентоспособности реализуемых товаров и услуг на основе внедрения достижений научно-технического прогресса, эффективных форм хозяйствования и управления торговой деятельностью, преодоления бесхозяйственности, активизации предпринимательства, инициативы и т. д.
Важная роль в реализации этой задачи отводится анализу хозяйственной деятельности торговых предприятий. С его помощью вырабатываются отражения и тактика развития торгового предприятия, обосновываются планы и управленческие решения, осуществляется контроль за выполнением, выявляются резервы повышения эффективности торговой деятельности, осуществляются результаты деятельности предприятия, его подразделений и работников. Квалификационный экономист, финансист, бухгалтер, аудитор должен хорошо знать не только общие закономерности и тенденции развития экономики в условиях перехода к рыночным отношениям, но и также понимать проявления общих, специфических и частных экономических законов в практике своего предприятия, своевременно замечать тенденции и возможности повышения эффективности торговой деятельности. Он должен владеть современными методами экономических исследований, методикой системного, комплексного экономического анализа, мастерством точного, своевременного, всестороннего анализа результатов хозяйственной деятельности.
В современных экономических условиях деятельность каждого экономического субъекта является предметом внимания обширного круга участников рыночных отношений (организаций и физических лиц), заинтересованных в результатах его функционирования. На основе доступной им отчетно-учетной информации указанные лица стремятся оценить финансовое положение предприятия. Основным инструментом для этого служит финансовый анализ, при помощи которого можно объективно оценить внутренние и внешние отношения анализируемого объекта: охарактеризовать его платежеспособность, эффективность и доходность деятельности, перспективы развития, и затем по его результатам принять основные решения.
Целью данной работы является: на основе изучения экономической литературы и переработке теоретического материала, проанализировать и оценить хозяйственную деятельность торгового предприятия.
Для реализации этой цели определим ряд задач, которые должны быть решены в процессе работы:
Определить сущность, виды, методы и значения экономического анализа в современных условиях;
Дать краткую характеристику исследуемого объекта;
Проанализировать и оценить основные экономические и финансовые показатели деятельности предприятия в динамике;
Спрогнозировать основные экономические и финансовые показатели деятельности торгового предприятия.
Объектом исследования является розничное торговое предприятие ООО «Камелия». Анализируются цифровые данные за 2003-2004 гг.
1. Экономический анализ сущность, виды, методы, его значение в современных условиях
1.1. Сущность, содержание и задачи экономического анализа
Под наукой в широком смысле слова понимается совокупность знаний о природе, обществе и мышлении. Эта совокупность отражает достигнутое на каждом историческом этапе и соответствует степени осознания объективных законов развития природы и общества.
Экономический анализ как наука представляет собой систему специальных знаний, связанную с:
А) с исследованием экономических процессов в их взаимосвязи, складывающихся под воздействием объективных экономических законов и факторов субъективного порядка;
Б) с научным обоснованием бизнес-планов, с объективной оценкой их выполнения;
В) с выявлением положительных и отрицательных факторов и количественным изменением их действия;
Г) с раскрытием тенденций и пропорций хозяйственного развития, с определением неиспользованных внутрихозяйственных резервов;
Д) с обобщением передового опыта, с принятием оптимальных управленческих решений.
Под анализом в широком плане понимается способ познания предметов и явлений окружающей среды, основанный на расчленении целого на составные части и изучения их во всем многообразии связей и зависимостей [3].
В науке и на практике применяются разные виды анализа: физический, химический, математический, статистический, экономический и др. Они отличаются объектами, целями и методикой исследования. Экономический анализ в отличие от физического, химического и прочих относится к абстрактнологическому методу исследования экономических явлений, где невозможно использовать ни микроскоп, ни химические реактивы, где то и другое должно заменить сила абстракции. Развитие производительных сил, производственных отношений, наращивание объемов производства, расширение объемов обмена содействовало выделению экономического анализа как самостоятельной отрасли науки.
Сегодня нужно отличать [10]:
Общестратегический экономический анализ, который изучает экономические явления и процессы на макроуровне (на уровне общественно-экономической формации, на государственном уровне национальной экономики и ее отдельных отраслей);
Конкретно-экономический анализ на микроуровне анализ хозяйственной деятельности, который применяется для изучения экономики отдельных предприятий.
Если общестратегический экономический анализ как научный подход значительное развитие получил в трудах экономистов еще прошлого столетия, то анализ хозяйственной деятельности как наука (специальная отрасль знаний) выделился сравнительно недавно.
Большой вклад в развитие методологии комплексного анализа хозяйственной деятельности внесли такие ученые-экономисты, как М.И. Баканов; А.Д. Шеремет; С.Б. Барнгольц; В.Ф. Палий; И.И. Поклад; П.И. Савичев; И.И. Каракоз; Е.В. Долгополов; М.Ф. Дьячков; А.Ш. Маргулис; А.И. Муравьев; Г.М. Таций; В.И. Стражев; Н.А. Русак; Л.И. Кравченко; Р.С. Сайфулин; А.Ф. Аксененко и многие другие.
Исследование экономических явлений и процессов начинается, если пользоваться методами индукции, с малого, с единичного, с отдельного хозяйственного факта, явления, ситуации, которые в совокупности и представляют хозяйственный процесс, выражающий сущность хозяйственной деятельности в том или ином звене управляемой подсистемы и управляющей системы. Однако, способ индукции, как известно, должен использоваться в единстве с методом дедукции. Это означает, что, анализируя единичное, нужно в тоже время учитывать и общее. Изучая деятельность торгового предприятия, его подразделений и его исполнителей, следует одновременно принимать во внимание показатели подразделения и место в нем данных исполнителей.
В ходе экономического анализа хозяйственные процессы изучаются в их взаимосвязи, взаимозависимости и взаимообусловленности. Установление взаимосвязи, взаимозависимости и взаимообусловленности наиболее важный момент анализа. Причинная связь опосредует все хозяйственные факты, явления, ситуации, процессы. Вне этой связи хозяйственная жизнь немыслима.
Раскрыть и понять основные причины, оказавшее определяющее влияние на выполнение бизнес-плана, выяснить их действие значит разобраться в особенностях хозяйственной деятельности анализируемого объекта. Но в процессе анализа не только вскрываются и характеризуются факторы, влияющие на хозяйственную деятельность, но и измеряется степень (итог) их развития. Для этого применяются соответствующие способы и приемы экономических и математических расчетов, которые будут рассмотрены ниже.
Экономический анализ имеет свой предмет. Под предметом экономического анализа понимаются хозяйственные процессы предприятий, социально-экономическая эффективность и конечные финансовые результаты их деятельности, складывающиеся под воздействием объективных и субъективных факторов, получающие отражение через систему экономической информации [7].
Как видно из определения, экономический анализ имеет дело с хозяйственными процессами предприятий и конечными производственно-финансовыми результатами их деятельности. Экономика предприятия изучается при этом не только в динамике, но и в статике.
Далее предметом экономического анализа являются хозяйственные процессы и конечные результаты, складывающиеся в результате влияния объективных внешних факторов. Постоянно воздействуя на хозяйственную деятельность, они отражают, как правило, действия экономических законов.
В определение указываются также, что предметом экономического анализа являются хозяйственные процессы и конечные результаты, складывающиеся в результате воздействия субъективных (внутренних) факторов. Их влиянию на хозяйственную деятельность в ходе анализа уделяется самое пристальное внимание. Эти факторы связаны с конкретной деятельностью человека, целиком и полностью зависят от него. Успешное хозяйствование, ритмичное и полное выполнение бизнес-планов определяются умелым руководством тем или иным трудовым коллективом правильной организацией деятельности, (производства, реализации, экономики, финансов и т. п.); глубоким знанием дела, конкретным исполнителем; его экономической и организационной подготовленностью.
И, наконец, в определении предмета экономического анализа указывается, что хозяйственные процессы и их результаты, складывающиеся под воздействием объективных и субъективных факторов, получают соответствующее отражение в системе экономической информации. Эта система представляет собой совокупность данных, всесторонне характеризующих хозяйственную деятельность на различных условиях. Информационная система динамична; она включает в себя совокупность входных данных, результаты их промежуточной обработки, выходные данные и конечные результаты, поступающие в систему управления. Рационально организованный и соответствующим образом регулируемый информационный поток служит надежной базой для экономического анализа, а следовательно, и для принятия оптимальных управленческих решений.
Значением, содержанием и предметом экономического анализа определяются и стоящие перед ним задачи. К числу важнейших из них следует отнести [6]:
1. Повышение научно-экономической обоснованности бизнес-планов нормативов (в процессе их разработки). Построение временных рядов за значительный период позволяет установить определенные экономические закономерности в хозяйственном развитии. Далее выявляются факторы, которые оказывали в прошлом и могут оказывать в будущем существенное влияние на хозяйственную деятельность данного предприятия. Особое внимание уделяется анализу хозяйственной деятельности за текущий период, который является в тоже время и предплановым. Ретроспективный и текущий анализ завершается перспективным (прогнозным) анализом, который дает прямой выход на планово-предположительные показатели.
2. Объективное и всестороннее исследование выполнения бизнес-планов и соблюдения нормативов (по данным учета и отчетности). В торговле особое внимание в ходе решения этой задачи обращается на объем оптового и розничного товарооборота, на его ассортиментную структуру, на соотношение элементов товарного баланса, качества торгового обслуживания населения.
3. Определение экономической эффективности использования трудовых, материальных и финансовых ресурсов (отдельно и в совокупности).
4. Контроль за осуществлением требований коммерческого расчета и оценка конечных финансовых результатов.
Отличительные черты коммерческого расчета
А) самостоятельности предприятий в рамках закона и ответственность их перед государством по налогообложению, эффективность использования ресурсов;
Б) принцип материальной заинтересованности и распределение по труду.
При оценке финансовых результатов деятельности предприятий используют количественные и качественные показатели (в их увязке). Так, например, прибыль торгового предприятия зависит как от выполнения плана товарооборота (по объему и структуре), так и от фактически сложившегося уровня издержек обращения.
5. Выявление и измерение внутренних резервов на всех стадиях торговой деятельности.
Повышения темпов развития экономики непосредственно зависит от того, приведены ли в действие все имеющиеся в хозяйстве резервы, соблюден ли режим экономии достижение наибольших результатов с наименьшими затратами.
6. Обоснование и испытание (проверка) оптимальности управленческих решений.
Успех хозяйственной деятельности на всех стадиях управленческой иерархии непосредственно зависит и от руководства, от своевременно принимаемых управленческих решений. Принять правильно управленческое решение, выявить его рациональность и эффективность можно лишь на основе предварительного экономического анализа.
Задачи экономического анализа, конечно, не исчерпываются приведенным выше перечислений. Многогранность хозяйственных ситуаций ставят перед ним многие задачи активного характера. И их можно решить с помощью общих и частных аналитических методик.
Опыт хозяйственного развития показывает, что перед экономической наукой и в целом и перед экономическим анализом в частности на различных этапах выдвигались новые задачи, усиливались ранее поставленные, по-иному обозначались соответствующие акценты. Этот процесс будет происходить, естественно и в дальнейшем.
1.2. Классификация видов, особенности организации и методики экономического анализа
Классификация видов экономического анализа имеет важное значение для правильного понимания его содержания и задач.
Общая схема экономического анализа представлена на рис. 1.1. Она еще не охватывает всех видов экономического анализа. Разработка специальных методов базируется на научно обоснованной классификации его видов, обусловленной потребностями практики управления. В основе классификации видов экономического анализа лежит классификация функций управления, поскольку экономический анализ является необходимым элементом выполнения каждой функции управления экономикой [17].
Рис. 1.1. Схема экономического анализа деятельности предприятия.

Развитая рыночная экономика рождает потребность в дифференциации анализа на внутренний управленческий и внешний финансовый анализ. Внутренний управленческий анализ составная часть управленческого учета, то есть информационно-аналитического обеспечения администрации, руководства предприятия. Внешний финансовый анализ составная часть финансового учета, обслуживающего внешних пользователей информации о предприятии, выступающих самостоятельными субъектами экономического анализа по данным публичной финансовой отчетности.
Функция управления это особый вид управленческой деятельности, продукт спецификации в процессе управления. Общие, главные функции экономического управления, или как их иногда называют, основные функции экономической деятельности, можно определить так [14]:
1. информационное обеспечение управления (сбор, обработка, упорядочение информации об экономических явлениях и процессах);
2. анализ (анализ хода и результатов экономической деятельности, оценка ее успешности и возможностей совершенствования на основании научно обоснованных критериев);
3. планирование (перспективное и текущее);
4. организация управления в целях оптимизации использования всех ресурсов;
5. контроль за ходом выполнения бизнес-планов и управленческих решений.
По содержанию процесса управления выделяют:
Перспективный (прогнозный, предварительный) анализ;
Оперативный анализ;
Текущий (ретроспективный) анализ по итогам работы за тот или иной период.
Такая классификация экономического анализа соответствует содержанию основных функций, отражающих временные этапы управления:
А) этап предварительного управления (функция планирования);
Б) этап оперативного управления (функция организации управления);
В) заключительный этап управления (функция контроля).
Все эти три вида анализа присутствуют в процессах управления хозяйственными объектами. Наибольшее развитие получил текущий анализ.
В зависимости от характера объектов управления принята следующая классификация видов анализа, отражающих:
Оперативную структуру народного хозяйства;
Уровни общественного производства и управления;
Стадии процесса расширенного воспроизводства (производства, обмена, распределения, потребления);
Составные элементы производства (трудовые и материальные ресурсы) и отдельные составные части производственных отношений (например, трудовые, финансовые, кредитные).
В социальной литературе классификация видов экономического анализа не ограничивается двумя главными признаками по содержанию процесса и объектом управления.
Виды экономического анализа классифицируются, кроме того, по:
Субъектам, то есть, кто проводит анализ (руководство и экономические службы, собственники и органы хозяйственного управления, поставщики, покупатели, аудиторские фирмы, кредитные, финансовые органы);
Периодичности (периодический годовой, квартальный, месячный, декадный, каждодневный, сменный анализ и разовый, непериодический анализ);
Содержанию и полноте изучаемых вопросов (полный анализ хозяйственной деятельности, локальный анализ деятельности отдельных подразделений, тематический анализ отдельных вопросов экономики);
Методом изучения объекта (комплексный, системный анализ, функционально-стоимостный, сравнительный, сплошной и выборочный, корреляционный анализ и т. д.);
Степени механизации и автоматизации вычислительных работ (анализ в условиях электронной обработке данных с применением ЭВМ и т. д.).
По пространственному признаку можно выделить:
Внутрихозяйственный анализ, который изучает деятельность только исследуемого предприятия и его структурных подразделений;
межхозяйственный анализ, при котором сравниваются результаты деятельности двух или более предприятий. Это позволяет выявить передовой опыт, резервы, недостатки и на основе этого дать более объективную оценку эффективности деятельности предприятия.
Важное значение имеет классификация экономического анализа по объектам управления. Хозяйственная деятельность (управляемая система) состоит из отдельных подсистем: экономики, техники, технологии, организации деятельности, социальных условий труда, природоохранной деятельности и др. Аспект анализа по желанию управляющего органа может быть смещен в сторону каких-либо подсистем хозяйственной деятельности. В связи с этим выделяют:
технико-экономический анализ, которым занимаются технические службы предприятия. Его содержанием является изучение взаимодействия технических и экономических процессов и установление их влияния на экономические результаты деятельности предприятия;
финансово- экономический анализ (финансовая служба, финансовые, кредитные органы) основное внимание уделяет финансовым результатам деятельности предприятия: выполнению финансового плана, эффективности использования собственного и заемного капитала, выявлению резервов увеличения суммы прибыли, роста рентабельности и т. д.;
аудиторский (бухгалтерский) анализ это экспертная диагностика финансового «здоровья» предприятия. Проводится аудиторами или аудиторскими фирмами с целью оценки и прогнозирования финансового состояния и финансовой устойчивости предприятия;
социально-экономический анализ изучает взаимосвязь социальных и экономических процессов, их влияние друг на друга и на экономические результаты хозяйственной деятельности;
экономико-статистический анализ (статистические органы) применяется для изучения массовых общественных явлений на разных уровнях управления: предприятия, отрасли, регионы;
экономико-экологический анализ (орган охраны окружающей среды) используют взаимодействие экологических и экономических процессов, связанных с сокращением и улучшением окружающей среды и затратами на экологию;
маркетинговый анализ применяется для изучения внешней среды функционирования предприятия, рынков сырья и сбыта готовой продукции, ее конкурентоспособности, спроса и предложения, коммерческого риска, спроса и предложения, коммерческого риска, формирования ценовой политики, разработки тактики и стратегии маркетинговой деятельности.
На практике отдельные виды экономического анализа в чистом виде встречаются редко, но знание важнейших принципов их организации и методов необходимо. На каждом уровне управления каждодневно применяется множество решений, для обоснования которых используются различные виды экономического анализа.
Основой принятых решений по регулированию хозяйственной деятельности является оперативный анализ, для которого характерным является «проигрывание» (экспериментирование) хозяйственных ситуаций, применение стандартных решений.
Цель его оперативно выявить недостатки и воздействовать на хозяйственные процессы.
Для более высоких уровней управленческой иерархии более характерно стратегическое управление, связанное с планированием и прогнозированием. Для решения задач стратегического управления, как правило, применяется итоговый комплексный экономический анализ. Его ценность в том, что деятельность предприятия изучается комплексно и всесторонне по отчетным данным за соответствующий период.
Особенности организации и методики текущего, стратегического и перспективного анализа [18].
1. Текущий (ретроспективный) анализ.
Он базируется на бухгалтерской и статистической отчетности и позволяет оценить работу предприятия за месяц, квартал, год нарастающим итогом.
Главная задача объективная оценка результатов коммерческой работы, комплексное выявление неиспользованных резервов, мобилизация их для повышения экономической эффективности деятельности в будущих периодах, а также выявления недочетов в работе и виновников, достижение полного соответствия материального и морального стимулирования по результатам труда и качеству работы.
Особенность методики текущего анализа состоит в том, что фактические результаты деятельности оцениваются в сравнении с планом и данными предшествующих периодов. Отклонения от базы сравнения расшифровываются по технико-экономическим факторам, определяющим эти отклонения, устанавливаются причины этих отклонений, но и ответственные лица, службы, намечаются меры по ликвидации недочетов в работе.
Текущий анализ наиболее полный анализа хозяйственной деятельности, вбирающий в себя результаты оперативного анализа и служащий базой перспективного анализа.
2. Оперативный анализ.
Это один из видов экономического анализа, направленный на решение проблем и задач, которые стоят перед оперативным управлением хозяйственной системы.
Его главная задача постоянный контроль за рациональным функционированием хозяйственной системы, за выполнением плановых заданий, процессами производства и реализации продукции, а также своевременное выявление и использование резервов.
В отличие от текущего анализа оперативный анализ приближен во времени к моменту совершения хозяйственных операций. Он основан на данных первичного учета (оперативно-технического, бухгалтерского и статистического) и непосредственного наблюдения за процессом производства, беседах с работниками.
Вследствие этого с его помощью легче вскрывать причины недостатков в работе и их виновников, выявлять резервы и своевременно принимать соответствующие методы.
Оперативный анализ охватывает:
определение отклонений от бизнес-плана по основным качественным и количественным показателям работы предприятия в целом и его подразделений за смену, сутки, пятидневки, декады,
оценку степени влияния различных факторов на отклонения от плана по этим показателям,
выяснения конкретных причин действия отдельных факторов, установления виновных,
быструю разработку и осуществление мероприятий, направленных на устранение отрицательных факторов, распространения передового опыта.
Этот анализ проводят обычно по следующим показателям (розничное торговое предприятие): объем продаж, использование рабочей силы, торгового оборудования, материальных ресурсов, себестоимости, прибыль и рентабельность, платежеспособность и ликвидность. В процессе анализа каждый из этих обобщающих показателей детализируется и дополняется частными.
Недостатком этого вида анализа является относительная неточность показателей, связанная с приближенностью в расчетах. Но этот не снижает его значения.
3. Перспективный (прогнозный) анализ.
Перспективным анализом называют анализ результатов хозяйственной деятельности с целью определения их возможных значений в будущем. Особенность этого вида анализа заключается в рассмотрении явлений и процессов хозяйственной деятельности с позиции будущего, то есть перспективы развития, с точки зрения проекции составляющих элементов прошлого и настоящего хозяйственной деятельности в элементы будущего.
Исходным пунктом перспективного анализа является признание факта преемственности, или определенной устойчивости, изменений экономических показателей от одного отчетного периода к другому, от предыдущего к настоящему, от настоящего к последующему.
Важнейшими задачами этого вида анализа являются:
прогнозирование хозяйственной деятельности,
научное обоснование перспективных планов,
оценка ожидаемого выполнения планов.
При составлении планов перспективный анализ выступает как форма предплановых исследований экономики предприятия, в ходе выполнения бизнес-планов это инструмент предвидения и оценки ожидаемых результатов.
В практических методиках и исследованиях задачи перспективного анализа конкретизируются по:
объектам анализа (предприятие, его подразделения, отделы),
показателям деятельности (объем реализации, производительность труда и т. д.),
горизонтам перспективы (анализ текущей перспективы смена, сутки; анализ ближайшей перспективы месяц; анализ краткосрочной перспективы год, квартал; анализ среднесрочной перспективы 2 3 года; анализ долгосрочной перспективы 5 лет и более).
Разработка планов предприятия весьма сложный и трудоемкий процесс, включающий тщательное изучение и анализ настоящего и прошлого предприятия, предвидения новых фактов хозяйственной деятельности. Перспективный анализ как разведка будущего и научно-аналитическая основа перспективного плана на данном этапе тесно смыкается с прогнозирование и такой анализ называют прогнозом.
1.3. Роль экономического анализа в управлении на приватизированных предприятиях
В настоящее время анализ хозяйственной деятельности занимает важное место среди экономических наук. Его рассматривают, как было отмечено ранее, в качестве одной из функций управления производством. Место анализа в системе управления упрощенно можно отразить схемой, изображенной на рис. 1.2.
Известно, что система управления состоит из следующих взаимосвязанных функций:
планирование,
учет,
анализ,
принятие управленческих решений.
Планирование представляет очень важную функцию в системе управления деятельностью на предприятии. С его помощью определяются направления и содержание деятельности предприятия, его структурных подразделений и отдельных работников. Главной задачей планирования, как было сказано ранее, является обеспечение планомерности развития экономики предприятия и деятельности каждого его члена, определение путей достижения лучших конечных результатов деятельности [21].
Рис. 1.2. Место экономического анализа в системе управления

Для управления любой деятельностью нужно иметь полную и правдивую информацию о ходе выполнения работ и планов. Поэтому одной из функций управления деятельностью предприятия является учет. Он обеспечивает постоянный сбор, систематизацию и обобщение данных, необходимых для управления деятельностью предприятия и контроля за ходом выполнения планов.
Однако для управления деятельностью на предприятии нужно иметь представление не только о ходе выполнения плана, результатах хозяйственной деятельности, но и о тенденциях и характере происходящих изменений в экономике предприятия. Осмысление, понимание информации достигаются с помощью экономического анализа. В процессе анализа первичная информация:
проходит аналитическую обработку: приводится сравнение достигнутых результатов деятельности с данными за прошлые отрезки времени, с показателями других предприятий и среднеотраслевыми;
определяется влияние разных факторов на величину результативных факторов;
выявляются недостатки, ошибки, неиспользованные возможности, перспективы и т. д.
На основе результатов анализа разрабатываются и обосновываются управленческие решения. Экономический анализ предшествует решениям и действиям, обосновывает их и является основой научного управления деятельностью приватизированного предприятия, обеспечивает его эффективность. Таким образом, экономический анализ это функция управления, которая обеспечивает научность практических решений.
Как функция управления экономический анализ тесно связан с планирование и прогнозированием деятельности предприятия, поскольку без глубокого анализа не возможно осуществление этих функций.
Экономический анализ является не только средством обоснования планов, но и контроля за их выполнением. Планирование начинается и заканчивается анализом результатов деятельности предприятия. Он позволяет повысить уровень планирования, сделать его научно-обоснованным.
Большая роль отводится анализу в деле определения и использования резервов повышения эффективности деятельности. Он содействует экономному использованию ресурсов, выявлению и внедрению передового опыта, научной организации труда, новой техники и технологии на предприятии, предупреждению излишних затрат, разных недостатков в работе и т. п. В результате этого укрепляется экономика предприятия, повышается эффективность деятельности предприятия.
Таким образом, экономический анализ является важным элементом в системе управления предприятием, действенным средством выявления резервов, основой разработки научно-обоснованных планов и управленческих решений.
Роль анализ как средства управления деятельностью предприятия с каждым годом возрастает. Это обусловлено разными обстоятельствами. Во-первых, необходимостью неуклонного повышения эффективности деятельности в связи с ростом потребности, повышением науко- и капиталоемких производств. Во-вторых, отходом от командно-административной системы управления и постепенным переходом к рыночным отношениям. В-третьих, созданием новых форм хозяйствования в связи с разгосударствлением экономики, приватизации предприятий и прочими мероприятиями рыночной реформы.
В этих условиях руководитель предприятия не может рассчитывать только на свою интуицию на примерные «прикидки в уме». Управленческие решения и действия сегодня должны быть основаны на точных расчетах, глубоком и всестороннем экономическом анализе. Они должны быть научно-обоснованными, мотивированными, оптимальными. Ни одно организационное, технические и технологическое мероприятие не должно осуществляться до тех пор, пока не обоснована его экономическая целесообразность. Недооценка роли экономического анализа, ошибки в планах и управленческих действиях в современных условиях приносят чувствительные потери. И, наоборот, те предприятия, на которых серьезно относятся к экономическому анализу, имеют хорошие результаты, высокую экономическую эффективность.
2. Краткая организационно-экономическая характеристика исследуемого объекта
Общество с ограниченной ответственностью «Камелия» (ООО «Камелия») как юридическое лицо, ранее товарищество с ограниченной ответственностью «Камелия», зарегистрировано Постановлением Главы администрации г. Хабаровска 08.12.92 г. №1181 с изменениями от 04.06.94 г. №1208.
ООО «Камелия» учреждено в соответствии с ГК РФ, принятым Государственной Думой РФ 21.10.94 г. и Федеральным законом «Об обществах с ограниченной ответственностью» от 08.02.98 г., а также на основании Решения учредителей.
Юридический адрес ООО «Камелия». Данное предприятие является юридическим лицом с моментом его государственной регистрации, обладает обособленным имуществом, которое арендует у муниципалитета (договор заключен с Комитетом по управлению имуществом г. Хабаровска), имеет самостоятельный баланс, расчетный счет, круглую печать, товарный знак и иные реквизиты.
Целью создания ООО «Камелия» является более полное насыщение рынка товарами народного потребления и услугами для удовлетворения потребностей организаций и физических лиц, а также создания дополнительных рабочих мест и получения дополнительной прибыли.
Предметом деятельности предприятия является:
розничная торговля товарами народного потребления, включая одежду, обувь из кожи, сувениры, предметы народного творчества и декоративно-прикладного назначения,
осуществление хозяйственной, коммерческой, торгово-посреднической и торгово-закупочной деятельности,
производство товаров народного потребление,
оказания дополнительных услуг покупателям,
иные виды деятельности, не запрещенные законом.
Деятельность общества осуществляется в соответствии с законом РФ «О лицензировании».
ООО «Камелия» обязано в соответствии с Уставом:
выполнять обязательства, вытекающие из законодательства РФ и заключенных им договоров,
заключать трудовые договоры,
полностью и в срок рассчитываться с работниками предприятия по заработной плате и социальным пособиям,
осуществлять все виды обязательного страхования,
своевременно предоставлять декларацию о доходах и бухгалтерскую отчетность,
уплачивать налоги в соответствии с налоговым законодательством.
Схема управления обществом представлена на рисунке 2.1.
Рис. 2.1. Организационная схема управления ООО «Камелия»

К оперативным работникам на предприятии относится торговый персонал это продавцы и кассиры, административно-управленческий персонал это директор, главный бухгалтер, заведующая секциями, специалисты товароведы.
Как видно из рис. 2.1 руководство предприятием осуществляет директор магазина, который одновременно является основным его учредителем. Директор без доверенности от имени предприятия имеет право представлять его интересы, заключать договоры, выдавать доверенности, утверждать штатное расписание, издавать приказы и указания.
Директору подчиняются товароведы, главный бухгалтер и заведующая секциями, которым в свою очередь, подчиняются, торговый и обслуживающий персонал.
Финансовое состояние предприятия зависит не только от внешних факторов, таких как его местонахождения, отдаленность от поставщиков и потребителей, экономическая и политическая ситуация в стране и т. п., а также зависит и от работников, которые являются «лицом магазина» и от них зависит успех деятельности предприятия. Следовательно, имеет смысл проанализировать состав и структуру кадрового персонала на ООО «Камелия», для этого рассмотрим табл. 2.1.
По состоянию на 1.12.99 г. среднесписочная численность работников магазина составила 20 человек, из которых 8 человек относятся к административно-управленческому персоналу.
Далее рассмотрим укомплектованность магазина кадрами с высшим и средним специальным образованием и определим их удельный вес в общей численности персонала (табл. 2.2).
Из диаграммы на рисунке 2.3 видно, что в структуре персонала 80% приходится на женщин, 20% - мужчины, причем среди женщин 45% в возрасте от 25 до 30 лет, 20% - 30 35 лет и 15% - 35 45 лет.
Таблица 2.1
Кадровый состав ООО «Камелия»
|
Должность |
Количество человек |
|
Директор |
1 |
|
Заведующая секциями |
4 |
|
Товароведы |
2 |
|
Главный бухгалтер |
1 |
|
Продавец-кассир |
3 |
|
Продавцы |
6 |
|
Обслуживающий персонал: уборщицы грузчики сторож |
1 1 1 |
|
Итого |
20 |
Таблица 2.2
Структура работников с высшим и средним специальным образование
|
Образование |
Должность |
Количество, чел. |
Удельный вес, % |
|
1 |
2 |
3 |
4 |
|
Высшее |
Директор Главный бухгалтер Зав.секциями Продавец-кассир Товароведы Продавцы |
1 1 3 2 2 2 |
- |
|
Всего с высшим образованием |
11 |
55 |
Окончание табл. 2.2
|
1 |
2 |
3 |
4 |
|
Среднее специальное |
Зав.секциями Продавец-кассир Продавцы уборщица |
1 1 4 1 |
- |
|
Всего со средне-специальным образованием |
7 |
35 |
|
|
Средне-техническое образование |
Сторож Грузчик |
1 1 |
- |
|
Всего со средне-техническим образованием |
2 |
10 |
|
|
Всего |
20 |
100 |
Рис. 2.2. Использование кадров по образовательному цензу и специальностям

Рис. 2.3. Использование кадров по полу и возрасту

Следует отметить, что в большинстве своем работники работают по своим специальностям и полностью справляются со своими обязанностями, так как имеют большой опыт в торговле. Кроме того, на протяжении 6 лет работы в магазине сохраняется постоянный состав работников, то есть отсутствует текучесть кадров.
В таблице 2.3 представлены показатели торгово-экономической деятельности магазина за 2003 г, 2004 г.
Из таблицы 2.3 видно, что в 2004 г. магазин значительно улучшил показатели всей деятельности. Так, видно, что товарооборот увеличился на 93%. Валовой доход увеличился почти в 6,5 раз. В связи с чем уровень валового дохода к товарообороту в 2004 г. составил 67,4%, что на 47,4% больше, чем в предыдущем году.
Более чем в 8 раз увеличилась прибыль от реализации товаров. Уровень рентабельности возрос на 37,6%, составив в 2004 г. 49,2%.
Сумма издержек обращения увеличилась на 86%, положительным моментом является снижение уровня издержек в процентах к обороту на 1,8%.
Внереализационные доходы снизились ровно на половину, одновременно в 3,5 раза возросли внереализационные расходы.
Таблица 2.3
Экономические показатели торгово-хозяйственной деятельности за 2003-2004 гг.
Сумма - тыс. руб.
Уровень в % к обороту
|
Показатели |
2003 |
2004 |
Отклонение |
Темп роста, %% |
|
Товарооборот, сумма |
335,7 |
646,7 |
311 |
193 |
|
Валовой доход, сумма |
67,14 |
435,8 |
368,66 |
649,2 |
|
Уровень |
20 |
67,4 |
47,4 |
- |
|
Издержки обращения, сумма |
176,7 |
328,7 |
152 |
186 |
|
Уровень |
52,6 |
50,8 |
-1,8 |
- |
|
Прибыль от реализации товаров, сумма |
39,1 |
318 |
278,9 |
813 |
|
Уровень рентабельности |
11,6 |
49,2 |
37,6 |
- |
|
Внереализационные доходы (прибыль) |
5,8 |
2,9 |
-2,9 |
50 |
|
Внереализационные расходы |
1,2 |
4,2 |
3,0 |
350 |
|
Балансовая прибыль |
43,7 |
316,7 |
273 |
725 |
Исходя из этого, сумма балансовой прибыли в 2004 г. увеличилась на 273 тыс. руб., или более, чем в 7 раз.
3. Анализ и оценка основных экономических и финансовых показателей деятельности предприятия в динамике
3.1. Анализ экономических показателей
3.1.1. Анализ розничного товарооборота
Основу коммерческой деятельности розничного торгового предприятия на потребительском рынке составляет процесс продажи товаров. Экономическое содержание этого процесса отражает товарооборот, который является одним из основных экономических показателей хозяйственной деятельности предприятия.
Общий объем товарооборота (выручка от реализации товаров) за 2003 2004 гг. представлен в таблице 2.3, из этой таблицы видно, что сумма товарооборота в 2004 г. составила 646,7 тыс. руб., что на 93% больше, чем в 2003 г.
Ассортиментный перечень реализации товаров представлен в приложении 1, из него видно, что в магазине реализуется 7 групп товаров: промышленные, хозяйственные, культтовары и трикотажные товары, а также обувь, ткани, мебель, всего на общую сумму в 330 наименования.
В таблице 3.1 представлен состав и структура реализации по видам товаров.
Из таблицы 3.1 видно, что наибольший удельный вес в объеме розничного товарооборота магазина в 2003-2004 гг. приходится на изделия парфюмерные, их доля, соответственно, составила 61,4% и 67,6%, то есть происходит увеличение в структуре на 6,2%.
Таблица 3.1
Объем и структура розничного товарооборота
|
Наимено-вания |
2003 |
2004 |
отклонение |
|||
|
Тыс. руб. |
Удельный вес, % |
Тыс. руб. |
Удельный вес, % |
В сумме |
В удельном весе |
|
|
Ткани |
19,04 |
5,64 |
47,89 |
7,42 |
28,85 |
1,78 |
|
СМС |
5,6 |
1,66 |
21,99 |
3,4 |
16,39 |
1,74 |
|
Мыло туалетное |
3,34 |
0,99 |
15,97 |
2,47 |
12,63 |
1,48 |
|
Мыло хозяйст-венное |
1,01 |
0,3 |
4,3 |
0,67 |
3,3 |
0,37 |
|
Изделия парфю-мерные |
207,2 |
61,4 |
437,2 |
67,6 |
230 |
6,2 |
|
Посуда стеклянная |
8,9 |
2,64 |
19,8 |
3,06 |
10,9 |
0,42 |
|
Посуда фарфоровая |
10,6 |
3,15 |
51,2 |
7,92 |
40,6 |
4,77 |
|
Материалы строи-тельные |
44,9 |
13,3 |
23,3 |
3,6 |
-21,6 |
-9,7 |
|
Мебель |
17,9 |
5,3 |
11,83 |
1,83 |
-6,07 |
-3,47 |
|
Обувь кожаная |
19,04 |
5,64 |
13,64 |
2,11 |
-5,5 |
-3,53 |
|
Итого |
337,5 |
100 |
646,7 |
100 |
309,2 |
- |
Рост объема реализации наблюдается практически по всем товарам, за исключением строительных материалов (снижение составило 9,7%), мебели (объем их реализации снизился на 6,07 тыс. руб., а удельный вес на 3,7\47%) и обуви (удельный вес их снизился на 3,53%).
Кроме реализации представленных выше товарных групп, магазин оказывает услуги по раскрою одежды и проявке фотопленки.
Основными потребителями товаров, реализуемых в анализируемом магазине, являются покупатели, живущие недалеко от магазина. Объем их закупок разный, это зависит от имеющихся у них средств и составов семей.
Как известно, на объем розничного товарооборота оказывают влияние факторы внутреннего характера, связанные с использованием основных фондов (таблица 3.2).
Таблица 3.2
Расчет влияния на товарооборот факторов, связанных с использованием основных фондов
|
Показатели |
2003 |
2004 |
Отклонение |
Влияние на товарооборот |
|
Товарооборот, тыс. руб. |
337,5 |
646,5 |
309,2 |
309,2 |
|
Торговая площадь, кв. м. |
252,17 |
301,2 |
49,03 |
65,7 |
|
Товарооборот на 1 кв. м., тыс. руб. |
1,34 |
2,15 |
0,81 |
243,97 |
Благоприятное влияние на товарооборот оказывает прирост торговой площади и более рациональное ее использование.
Расчет влияния:
А. изменение торговой площади:
1,34 * 49,03 = 65,7 тыс. руб.
Б. изменение эффективности использования торговых площадей:
0,81 * 301,2 = 243,97 тыс. руб.
В. общее влияние:
65,7 + 243,97 = 309,6 тыс. руб.
Далее следует провести расчет степени колебания продаж, коэффициента рентабельности товарооборота. Такой расчет для оптимального планирования объема закупок и определения потребности в оборотных средствах.
Таблица 3.3
Расчет степени колебания продаж
|
Кварталы |
Объем продаж, тыс. руб. |
|||
|
2003 г. |
Удельный вес, % |
2004 г. |
Удельный вес, % |
|
|
1 |
84,4 |
25 |
168,1 |
26 |
|
2 |
64,1 |
19 |
129,3 |
20 |
|
3 |
80,3 |
23,8 |
155,2 |
24 |
|
4 |
108,7 |
32,2 |
194,0 |
30 |
|
Всего за год |
337,5 |
100 |
646,7 |
100 |
|
Среднеквартальный уровень |
84,4 |
25 |
161,7 |
25 |
Степень колебания продаж в течение года по отдельным кварталам определим на основе расчета среднего квадратического отклонения:
,
где Х объем продаж за квартал, тыс. руб.;
Хср среднеквартальный уровень, тыс. руб.;
П количество кварталов.
2003 г.:
= 15,96 тыс. руб.
Коэффициент вариации (V) составит:
V =
= 15,96 * 100 / 84,4 = 18,9.
Коэффициент равномерности (Кр) составит:
Кр = 100 V = 81,1.
2004 г.:
= 23,3 тыс. руб.
V = 23,3 * 100 / 161,7 = 14,4.
Кр = 100 14,4 = 85,6.
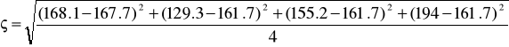
По расчетам можно отметить, что степень колебания продаж в 2004 г. ниже, чем в 2003 г. на 4,5, в связи с чем коэффициент равномерности возрос на 4,5.
Проведенный анализ свидетельствует об увеличении темпов роста товарооборота, расширении ассортимента реализуемых товаров, но отмечается ухудшение обслуживания. Основными причинами создавшегося положения стали недостающиеся ритмичность и равномерность выполнения плана товарооборота в течение нескольких кварталов. План товарооборота не выполнен во втором и третьем квартале, незначительно перевыполнен в первом и четвертом квартале. Отсутствие ритмичности в работе предприятия подтверждается удельным весом каждого квартала. Самым низким он был во втором квартале (20%), самым высоким в четвертом квартале (30%). Это подтверждает и отсутствие равномерной нагрузки.
Основной вклад в увеличение товарооборота внесло увеличение торговой площади и рост эффективности ее использования.
Негативным моментом является падение в структуре товарооборотов доли товаров, которые бы увеличили его размер строительных материалов, обуви, одежды. Такая тенденция в развитии товарооборота результат снижения покупательской способности населения и др. причины.
Низкая эффективность управления торговым предприятием подтверждается нарушенной индексной цепочкой взаимосвязи показателей как в 2003 г., так и в 2004 г. Высокий темп роста валового дохода (таблица 2.3) при более низком темпе роста товарооборота свидетельствует о росте цен. Вместе с тем все увеличивающиеся темпы роста издержек обращения не позволили реализовать возможности роста цен.
3.1.2. Анализ издержек обращения
Таблица 3.4
Состав и структура издержек обращения
|
Показатели |
2003 |
2004 |
Отклонение |
2004 пересчитанный |
||||
|
Тыс. р. |
Уд. вес |
Тыс. р. |
Уд. вес |
Тыс. р. |
Уд. вес |
Тыс. р. |
Уд. вес |
|
|
Условно-переменные издержки |
70,8 |
21,1 |
135,1 |
20,9 |
64,3 |
-0,2 |
136,5 |
21,1 |
|
Условно-постоянные издержки |
105,7 |
31,5 |
193,6 |
29,9 |
87,9 |
-1,6 |
105,7 |
16,3 |
|
Всего |
176,7 |
52,6 |
328,7 |
50,8 |
152 |
-1,8 |
242,2 |
37,4 |
|
Товарооборот |
335,7 |
- |
646,7 |
- |
311 |
- |
- |
- |
Проиллюстрируем методику расчета влияния изменения товарооборота и других факторов на сумму и уровень издержек обращения по данным таблицы 3.4.
Расчет: (2004 г.).
1. Расчет пересиленной плановой суммы условно-переменных издержек:
646,7 * 21,1 / 100 = 136,5.
2. Пересчитанный плановый (2003 г.) уровень условно-постоянных издержек обращения:
105,7 * 100 / 646,7 = 16,3%.
3. Изменение издержек обращения за счет товарооборота:
условно-переменные издержки обращения:
136,5 70,8 = 65,7.
условно-постоянные издержки обращения:
16,3 31,5 = -15,7%.
4. Отклонение издержек обращения за счет других факторов:
по условно-переменным:
64,3 65,7 = -1,4.
По условно-постоянным:
29,9 16,3 = 13,6%.
5. Относительная экономия условно-переменных издержек:
по уровню:
20,9 21,1 = -0,2.
по сумме:
646,7 * (-0,2) / 100 = -1,29.
6. Общая сумма относительной экономии издержек обращения:
328,7 242,2 = 86,5.
7. Темп изменения издержек обращения:
-1,8 / 52,6 * 100 = -3,42%.
Оценка полученных результатов свидетельствует о низкой управляемости издержками обращения. За анализируемый период они возросли по сумме на 152 тыс. руб., а по уровню снизились на 1,8% к товарообороту. В то же время следует отметить, что снижение уровня издержек обращения было вызвано за счет снижения доли условно-переменных издержек в товарообороте (-0,2), вызванного влиянием прочих факторов (-1,4), в то время как за счет роста товарооборота они возросли на 65,7 тыс. руб. При этом условно-постоянные затраты росли высокими темпами (83,2%) (87,9 тыс. руб.). Это увеличение было обусловлено ростом объема товарооборота на 15,7% и влиянием прочих факторов (87,9 тыс. руб.).
Далее рассмотрим состав и структуру издержек обращения (таб. 3.5).
Таблица 3.5
Состав и структура издержек обращения
|
Показатели |
2003 |
2004 |
Отклонение |
Темп роста, % |
|||
|
Тыс. руб. |
Уд. вес |
Тыс. руб. |
Уд. вес |
Тыс. руб. |
Уд. вес |
||
|
Условно-переменные издержки, всего |
70,8 |
40,1 |
135,1 |
41,1 |
64,3 |
1 |
191 |
|
В том числе: -транспортные расходы |
18,1 |
10,2 |
35,4 |
10,8 |
17,3 |
0,6 |
196 |
|
-расходы по хранению и подготовке товаров к продаже |
15,8 |
8,9 |
31,3 |
9,5 |
15,5 |
0,6 |
198 |
|
-расходы по оплате труда |
29,1 |
16,5 |
46,6 |
14,2 |
17,5 |
-2,3 |
160 |
|
-отчисления от ФОТ |
7,8 |
4,4 |
21,8 |
6,6 |
14 |
2,2 |
279 |
|
Условно-постоянные издержки, всего: |
105,7 |
59,9 |
193,6 |
58,9 |
87,9 |
28 |
183 |
|
В том числе: -аренда |
34,1 |
19,3 |
68,9 |
21 |
34,8 |
1,7 |
202 |
|
-расходы по содержанию и текущему ремонту основных средств |
31,4 |
17,7 |
44,7 |
13,6 |
13,3 |
-4,1 |
142 |
|
Расходы на рекламу |
40,2 |
22,8 |
80 |
24,3 |
39,8 |
1,5 |
199 |
|
Всего |
176,7 |
100 |
328,7 |
100 |
152 |
- |
186 |
Из таблицы 3.5 видно, что на протяжении 2003 2004 гг. в структуре издержек преобладают условно-постоянные издержки, их величина в 2004 г. составила 193,6 тыс. руб., что на 83% больше, чем в 2003 г.
Условно-переменные издержки также увеличиваются, составив в 2004 г. 135,1 тыс. руб., что на 64,3 тыс. руб. или на 91% больше, чем в 2003 г.
Как в 2003 г., так и в 2004 г. значительной статьей в расходах являются расходы на рекламу, соответственно, 22,8% и 24,3%.
По всем статьям расходов происходит увеличение, причем наибольшими темпами растут отчисления от ФОТ и расходы по аренде (за счет увеличения ставок арендной платы).
В общем же издержки обращения возросли на 86%.
3.1.3. Анализ использования ресурсов труда
Анализ показателей по труду производится в определенной последовательности:
анализ численности работников,
анализ производительности труда, анализ расходов на оплату труда.
В процессе анализа численности работников устанавливается:
соответствие фактической среднесписочной численности предусмотренной в штатном расписании,
динамика численности работников в сравнении с динамикой товарооборота,
движение и текучесть рабочей силы в отчетном периоде,
изменения в профессионально-квалификационном составе,
использование календарного фонда рабочего времени,
влияние на изменение численности работников внедрения мероприятий по механизации трудоемких процессов, рационализации рабочих мест и др.
Кадровый состав ООО «Камелия», а также профессионально-квалификационный состав работников представлен в главе второй настоящей работы.
Проанализируем производительность труда работников магазина.
Таблица 3.6
Производительность труда
|
Показатели |
2003 |
2004 |
Отклонение |
Темп роста, % |
|
Товарооборот, тыс. руб. |
335,7 |
646,7 |
311 |
193 |
|
Среднесписочная численность персонала, чел. |
23 |
20 |
-3 |
87 |
|
Производительность труда в расчете на одного работника, тыс. руб. |
||||
|
Годовая |
14,6 |
32,3 |
17,7 |
221 |
|
Месячная |
1,22 |
2,69 |
1,47 |
220 |
|
Дневная |
0,04 |
0,09 |
0,05 |
225 |
Как видно из таблицы, производительность труда в 2004 г. увеличилась по сравнению с предыдущим годом. Так, в 2004 г. на одного работника приходилось 32,3 тыс. руб. товарооборота в год, что на 221% или 17,7 тыс. руб. больше, чем в 2003 г. Среднемесячная и среднедневная производительность соответственно, составили в 2004 г. 2,69 тыс. руб. и 0,09 тыс. руб. на одного работника, что на 220% и 225% больше, чем в 2003 г.
Рост производительности труда обусловлен, прежде всего, увеличением объемов товарооборота, а также увеличением числа работников.
Показателями, характеризующими движение рабочей силы, являются: коэффициенты оборота рабочей силы, соотношения принятых и выбывших, текучести кадров, а также коэффициент постоянства работников.
Для характеристики оборота рабочей силы исключаются два коэффициента: по приему и увольнению работников. Они определяются как отношение числа принятых (уволенных) работников в отчетном периоде к среднемесячной численности работников.
Коэффициент общего оборота рабочей силы представляет собой сумму коэффициентов по приему и увольнению работников или отношение числа принятых и уволенных в отчетном периоде к общей среднесписочной численности работников.
На начало 2004 г. среднесписочная численность работников в ООО «Камелия» составляла 23 человека.
За отчетный период (2004 г.) среднесписочная численность уменьшилась на 3 человека и составила 20 человек, принят 1 человек, выбыло 4 работника. Коэффициент по приему составил 0,05 (1 / 20); коэффициент по увольнению 0,2 (4 / 20). Коэффициент соотношения принятых к выбывшим исчисляется как соотношение принятых к числу выбывших в отчетном периоде работников. Он равен 0,25, таким образом, число выбывших на 75% превысило принятых работников.
Коэффициент текучести кадров определяется путем деления числа уволенных за прогулы и др. нарушения трудовой дисциплины и выбывших по собственному желанию в отчетном периоде на среднесписочную численность работников за этот же период. Он равен в 2004 г. 0,2, то есть текучесть кадров в 2004 г. составила 20%, что на 5% меньше, чем в 2003 г.
Коэффициент постоянства работников рассчитывается путем деления численности работников, состоящих в среднесписочном составе весь отчетный год, на среднесписочную численность работников за этот же период. Он равен 0,95, то есть 95% от среднесписочной численности работников работают на предприятии постоянно (2003 г. 87%).
Интегральный показатель эффективности использования труда исчисляется по формуле:
У =
,
где У интегральный показатель эффективности использования труда;
СО средний оборот на одного работника, тыс. руб.;
ПР прибыль на одного работника.
У2003 г. =
= 5,27.
У2004 г. =
= 511,5.
Таким образом, можно сказать, что эффективность использования труда в 2004 г. по сравнению с предыдущим годом более чем в 5 раз.
Фонд оплаты труда в 2004 г. составил 46,6 тыс. руб., что на 60% больше, чем в 2003 г. Это произошло за счет того, что средняя заработная плата одного работника увеличилась с 2000 руб. (2003 г.) до 2400 руб. (2004 г.)
3.1.4. Анализ валового дохода
Основной целью анализа валовых доходов является поиск резервов их роста и достижения на этой основе оптимального соотношения с финансовыми результатами, создание работающей модели управления ими.
С изучения валового дохода начинают обычно анализ финансовых результатов. От величины валового дохода зависит финансовое положение торгового предприятия, оплаты труда работников, поскольку источником образования прибыли является валовой доход.
Для анализа валового дохода используются традиционные и математические методы анализа. К числу основных способов и приемов экономического анализа относится: оценка абсолютных, относительных и средних величин, метод сравнения, группировка, индексный, графический, метод ценных подставок, балансовый.
Состав и структура валового дохода ООО «Камелия» представлены в таблице 3.7.
Из представленных данных видно, что сумма валовых доходов увеличилась почти в 6,5 раз, составив 435,8 тыс. руб.
Общая сумма валового дохода на анализируемом торговом предприятии формируется за счет доходов, полученных от реализации товаров, а также за счет доходов от прочей неосновной деятельности. При этом, наибольший удельный вес в составе валового дохода как в 2003 г. , так и в 2004 г. приходится на доходы от основной деятельности реализации товаров. Их удельный вес в 2004 г. составил 95% от общей суммы валового дохода, что на 8,3% больше, чем в 20048 г.
Доля доходов от неосновной деятельности снижается в 2004 г. на 8,5%, составив всего 4,8%. Но в стоимостном выражении доходы возросли более чем в 2 раза, причем в основном за счет роста доходов от услуг по проявке фотопленки, которые возросли почти в три раза, доходы от кроя возросли на 92%.
Величина валового дохода зависит от ряда факторов, основными из которых являются: объем товарооборота и уровень валовых доходов к товарообороту. На основе данных таблицы 3.8 проведем факторный анализ валового дохода.
Таблица 3.7
Состав и структура валового дохода
|
Показатели |
Ед. изм. |
2003 |
2004 |
Отклонения |
Темп роста, % |
|
Валовой доход, всего |
Тыс. руб. |
67,14 |
435,8 |
368,66 |
649,2 |
|
В том числе: 1.Валовой доход от реализации товаров |
Тыс. руб. |
58,2 |
414 |
355,8 |
761 |
|
Удельный вес в общей сумме валовых доходов |
% |
86,7 |
95 |
8,3 |
- |
|
2.Прочие доходы от неосновной деятельности |
Тыс. руб. |
8,9 |
20,9 |
12 |
234 |
|
2.1крой |
Тыс. руб. |
4,9 |
9,4 |
4,5 |
192 |
|
2.2. проявка фото |
Тыс. руб. |
4,0 |
11,5 |
7,5 |
288 |
|
Удельный вес в общей сумме валового дохода |
% |
13,3 |
4,8 |
-8,5 |
- |
|
Уровень валового дохода (в % к обороту) |
% |
20 |
67,4 |
47,4 |
337 |
1. За счет роста товарооборота на 93% валовой доход увеличился на 62,2 тыс. руб.
(646,7 * 20 : 100) 67,14);
2. В результате увеличения валового дохода к товарообороту общая сумма валового дохода возросла на 306,46 тыс. руб.
435,8 (646,7 * 20 : 100)
Таким образом, рост валового дохода на 368,66 тыс. руб. (62,2 + 306,46) или на 649,2% обусловлен ростом товарооборота на 311 тыс. руб. или 93% и ростом уровня валового дохода к обороту на 47,4% или на 337%.
Таблица 3.8
Факторный анализ валового дохода
|
Показатели |
2003 |
2004 |
Отклонения |
Темпы роста, % |
|
Товарооборот, тыс. руб. |
335,7 |
646,7 |
311 |
193 |
|
Валовой доход, тыс. руб. |
67,14 |
435,8 |
368,66 |
649,2 |
|
Уровень валового дохода, % |
20 |
67,4 |
47,4 |
337 |
3.1.5. Анализ прибыли и рентабельности
В ходе анализа прибыли и рентабельности хозяйствующего субъекта изучают динамику изменения объема балансовой, чистой прибыли, уровня рентабельности, факторы их определяющие (величину валового дохода, уровень издержек обращения, доходы от других видов деятельности, включая сальдо внереализационных доходов, размер налогов и др.).
Анализ прибыли проведем по данным таблицы 3.9.
Из таблицы 3.9 видно, что показатели, характеризующие прибыльность предприятия, увеличиваются, так, прибыль от реализации товаров увеличивается в 2004 г. на 813%. Но снижается прибыль от неосновной деятельности на 5,9 тыс. руб. или 72%, хотя ранее мы определили, что доходы от неосновной деятельности возросли более чем в 2 раза. Значительно снизились доходы по этой статье расхода, поэтому снижается прибыль. В связи с этим сумма балансовой прибыли возросла на 725%.
Таблицы 3.9
Анализ прибыльности
|
Показатели |
2003 |
2004 |
Отклонения |
Темпы роста, % |
|
Товарооборот |
335,7 |
646,7 |
311 |
193 |
|
Валовые доходы |
67,14 |
435,8 |
368,66 |
649,2 |
|
Уровень валового дохода, % |
20 |
67,4 |
47,4 |
337 |
|
Издержки обращения |
167,7 |
328,7 |
152 |
186 |
|
Уровень издержек, % |
52,6 |
50,8 |
-1,8 |
96,6 |
|
НДС, тыс. руб. |
4,2 |
7 |
2,8 |
167 |
|
Прибыль от реализации |
39,1 |
318 |
278,9 |
813 |
|
Прибыль от неосновной деятельности |
4,6 |
-1,3 |
5,9 |
28 |
|
Балансовая прибыль |
43,7 |
316,7 |
273 |
725 |
|
Налог на прибыль |
16,6 |
120,3 |
103,7 |
725 |
|
Чистая прибыль |
27,1 |
196,4 |
169,3 |
725 |
|
Фонд накопления (45%) |
12,2 |
88,38 |
76,2 |
724 |
|
Фонд потребления (35%) |
9,5 |
68,7 |
59,2 |
723 |
|
Резервный фонд (20%) |
5,42 |
39,3 |
33,88 |
725 |
Балансовая прибыль, уменьшилась на величину налога на прибыль, дает чистую прибыль, которая увеличилась на 725%.
Чистая прибыль распределяется между тремя фондами в следующем процентном соотношении:
фонд потребления 35%,
фонд накопления 45%,
резервный фонд 20%.
На величину прибыли от реализации оказали влияние следующие факторы:
1. рост товарооборота в 2004 г. по сравнению с 2003 г. на 311 тыс. руб. (с 335,7 до 646,7 тыс. руб.) увеличил балансовую прибыль на 152,39 тыс. руб. (311 * 49 / 100).
2. увеличение среднего уровня валового дохода с 20% до 67,4% способствовало росту прибыли на 174,7 тыс. руб. (368,66 * 47,4 / 100).
3. рост издержек обращения на 86% привел к снижению прибыли на 11,6 тыс. руб. (646,7 * (-1,8) / 100 = -11,6). Знак минус в данном случае обусловлен тем, что уменьшение издержек обращения и прибыли находится в обратной зависимости, то есть снижение издержек ведет к росту прибыли, и, наоборот, их рост к ее уменьшению.
4. общее влияние факторов на прибыль от реализации:
152,39 + 174,7 11,6 27,5 = 278,9 тыс. руб.
Снижение прибыли от прочей деятельности с 4,6 тыс. руб. до (-1,3 тыс. руб.) привело к соответствующему снижению величины балансовой прибыли.
Общее влияние на сумму чистой прибыли складывается из влияния факторов на объем прибыли от реализации, снижения прибыли от прочих операций, роста налога на прибыль:
278,9 5,9 103,7 = 169,3 тыс. руб.
С положительной стороны работу торгового предприятия характеризуют показатели рентабельности. По сравнению с 2003 г. рентабельность продаж возросла более чем в 4 раза (по прибыли от реализации) и на 36% (по балансовой прибыли) более чем в 3,7 раза и на 22,3% или более чем в 3,8 раза (по чистой прибыли).
Рентабельность затрат, соответственно, возросла на 74,6% (или более чем в 4,4раза).
Прибыль в расчете на кв. м. торговой площади увеличилась на 0,9%, хотя по значениям это относительно небольшие цифры.
На каждого работника в 2004 г. приходится на 14,2% прибыли больше, чем в 2003 г.
Таблица 3.10
Показатели рентабельности
|
Показатели |
2003 |
2004 |
Отклонение |
Темпы роста |
|
Рентабельность продаж, % |
11,6 |
49,2 |
37,6 |
424 |
|
Рентабельность затрат, % |
22,1 |
96,7 |
74,6 |
438 |
|
Фондорентабельность, % |
0,06 |
0,33 |
0,27 |
550 |
|
Прибыль в расчете на один кв. м. торговой площади, тыс. руб. |
0,16 |
1,06 |
0,9 |
663 |
|
Прибыль в расчете на одного торгового работника |
1,7 |
15,9 |
14,2 |
935 |
Это говорит о том, что в 2004 г., деятельность магазина была эффективнее, чем в 2003 г.
3.2. Анализ финансовых показателей
Систематический анализ финансового состояния и умелое управление финансовыми ресурсами являются важнейшими условиями эффективной деятельности предприятия.
Показатели оценки финансового состояния торгового предприятия можно подразделить на несколько групп:
- показатели эффективности управления активами предприятия,
- показатели эффективности управления финансовыми ресурсами,
- показатели ликвидности и платежеспособности,
- показатели прибыльности.
Задачи финансового анализа заключаются, прежде всего, в том, чтобы дать развернутую характеристику финансового положения предприятия на начало и конец отчетного периода, с тем, чтобы видеть, какими активами (имуществом) располагает предприятие, как они размещены, насколько эффективно используются и за счет каких источников сформированы.
Еще одна задача определение платежеспособности предприятия, изучение конечных результатов деятельности.
Конечная цель анализа выявить недостатки в финансово-хозяйственной деятельности и определить меры по укреплению финансового положения.
Основные источники информации для анализа финансового состояния:
баланс предприятия (ф. №1).
отчет о прибылях и убытках (ф. №2).
приложение к балансу (ф. №3).
данные к статистической отчетности и оперативного учета по соответствующим показателям.
3.2.1. Анализ состава и структуры имущества предприятия
Анализ финансового состояния начинается с изучения состава и структуры имущества предприятия.
Имуществом предприятия являются долгосрочные, нематериальные и текущие активы.
В процессе анализа, необходимо установить, каким имуществом (активом) располагает предприятие и какие изменения произошли в его объеме и составе. Для этого данные баланса (приложение ) за 2004 г. сравниваются с аналогичными данными балансов за 2002 г. и 2003 г.
Как видно из таблицы 3.2.1, общая сумма имущества ООО «Камелия» в 2002 г. составила на конец года 30,9 тыс. руб. и снизилась за 2002 г. на 16,1%.
Таблица 3.2.1
Данные для анализа состава и структуры имущества ООО «Камелия» за 2002 г.
|
Показатели |
Начало года |
На конец года |
Изменение |
Темп изменения, % |
|||
|
Тыс. руб. |
Уд. вес |
Тыс. руб. |
Уд. вес |
Тыс. руб. |
Уд. вес |
||
|
1. Долгосрочные активы, в том числе: |
2,4 |
4,9 |
2,1 |
4,7 |
-0,3 |
-0,2 |
87,5 |
|
Основные средства |
2,4 |
4,9 |
2,1 |
4,7 |
-0,3 |
-0,2 |
87,5 |
|
Долгосрочные финансовые вложения |
- |
- |
- |
- |
- |
- |
- |
|
Прочие долгосрочные активы |
- |
- |
- |
- |
- |
- |
- |
|
2. Нематериальные активы |
- |
- |
- |
- |
- |
- |
- |
|
3. Текущие активы (оборотные активы), в том числе: |
34,4 |
70,8 |
28,9 |
65,1 |
-5,5 |
-5,7 |
84 |
|
Запасы и затраты (НДС) |
7,1 |
14,6 |
11,3 |
25,5 |
4,2 |
10,9 |
159 |
|
Товары |
6,8 |
13,99 |
1,2 |
2,7 |
-5,6 |
-11,3 |
17,6 |
|
Дебиторская задолженность |
23,6 |
48,6 |
4,8 |
10,8 |
-18,8 |
-37,8 |
20,3 |
|
Денежные средства |
3,4 |
7 |
7,7 |
17,3 |
4,3 |
10,3 |
226 |
|
Прочие активы |
- |
- |
4,9 |
11,0 |
4,9 |
11,0 |
- |
|
Баланс |
36,8 |
100 |
30,9 |
100 |
-5,9 |
- |
83,9 |
Имущество предприятия представлено в основном текущими активами (оборотными средствами). Сумма их снизилась с 34,4 тыс. руб. до 28,9 тыс. руб. или на 16%, в том числе наибольшими темпами снизились товары на 82,4%, дебиторская задолженность на 80%.
Запасы и затраты возросли на 59%, денежные средства более чем в 2,2 раза. Доля текущих активов составила в общей стоимости имущества в 2002 г. 65,1%, в том числе запасы и затраты 25,5% против 70,8% на начало 2002 г.
Стоимость недвижимого имущества снизилась на 0,3%, причем его доля незначительна (4,7%).
Таблица 3.2.3
Динамика состава и структуры имущества ООО «Камелия» за 2003 г.
|
Состав имущества |
Начало года |
На конец года |
Изменение |
Темп роста, % |
|||
|
Тыс. руб. |
Уд. вес |
Тыс. руб. |
Уд. вес |
Тыс. руб. |
Уд. вес |
||
|
1. Долгосрочные активы, в том числе: |
4,2 |
6,8 |
3,8 |
3,1 |
-0,4 |
-3,7 |
90 |
|
Основные средства |
4,2 |
6,8 |
3,8 |
3,1 |
-0,4 |
-3,7 |
90 |
|
2. Текущие активы (оборотные активы), в том числе: |
57,8 |
93,8 |
119,8 |
97,1 |
62 |
3,7 |
207 |
|
Запасы и затраты, прочие запасы и затраты |
22,6 |
36,7 |
69,6 |
56,9 |
47,6 |
20,2 |
310,6 |
|
МБП |
18,8 |
30,1 |
18,8 |
15,2 |
- |
-14,9 |
- |
|
Товары |
2,4 |
3,9 |
46 |
37,3 |
43,6 |
33,4 |
1917 |
|
Дебиторская задолженность (краткосрочная) |
17,6 |
28,6 |
31,8 |
25,8 |
14,2 |
-2,8 |
181 |
|
Денежные средства |
15,4 |
25 |
3,6 |
2,9 |
-11,8 |
-22,1 |
23,4 |
|
Прочие оборотные активы |
17,8 |
28,9 |
15,2 |
12,3 |
-2,6 |
-16,6 |
85,4 |
|
Баланс |
61,6 |
100 |
123,4 |
100 |
61,8 |
- |
200,3 |
Из таблицы 3.2.3 видно, что за 2003 г. имущество магазина увеличилось чуть более чем в 2 раза. Это обусловлено в основном ростом текущим активов также в 2 раза, среди которых более чем в 3 раза увеличились запасы и затраты, почти в 20 раз товары и на 81% - дебиторская (краткосрочная) задолженность.
Снижение произошло по таким статьям оборотных средств, как: денежные средства, их величина сократилась значительно на 76,6%, прочие оборотные активы сократились на 14,6%.
Балансовую стоимость имущества на 0,4 тыс. руб. сократило снижение стоимости основных средств, которые снизились на 10%.
Наибольшая доля в структуре имущества приходится на оборотные средства, как в начале, так и в конце 2003 г., соответственно, 97,1% и 93,8%. Доля основных средств незначительна, причем она на 3,7% снижается к концу 2003 г., составив 3,1%. Это происходит за счет того, что магазин не имеет собственного здания, находится в арендуемом помещении и располагает только активными основными фондами.
За 2004 г. имущество ООО «Камелия» увеличилось более чем в 11 раз, составив к концу года 470 тыс. руб. Это обусловлено прежде всего ростом долгосрочных активов основных средств почти в 40 раз (магазин закупил торговое оборудование) и текущих активов в 10 раз. Среди текущих активов наибольшими темпами увеличилась статья «товары» - более чем в 15 раз, запасы и затраты в 10 раз, и денежные средства также в 10 раз.
Падение произошло только по прочим оборотным активам на 16,7%.
К концу года в числе оборотных активов появилась новая статья долгосрочная дебиторская задолженность, где отмечены суммы выданных активов. Кроме того, к концу года погашена краткосрочная дебиторская задолженность.
Обобщим данные таблиц 3.2.1 3.2.4 в общую таблицу 3.2.5 (данные на конец года).
Таблица 3.2.4
Динамика состава и структуры имущества ООО «Камелия» за 2004 г.
|
Состав имущества |
Начало года |
На конец года |
Изменение |
Темп роста, % |
|||
|
Тыс. руб. |
Уд. вес |
Тыс. руб. |
Уд. вес |
Тыс. руб. |
Уд. вес |
||
|
1. Долгосрочные активы, в том числе: |
1,7 |
4,1 |
67 |
14,3 |
65,3 |
10,2 |
3941 |
|
Основные средства |
1,7 |
4,1 |
67 |
14,3 |
65,3 |
10,2 |
3941 |
|
2. Текущие активы, в том числе: |
39,4 |
95,9 |
403 |
85,7 |
363,6 |
-10,2 |
1023 |
|
Запасы и затраты, НДС |
21 |
51,1 |
211 |
44,9 |
190 |
-6,2 |
1005 |
|
МБП |
9 |
21,9 |
11 |
2,3 |
2 |
-19,6 |
122 |
|
Товары |
12 |
29,2 |
190 |
40,4 |
178 |
11,2 |
1583 |
|
Долгосрочная дебиторская задолженность (авансы выданные) |
- |
- |
105 |
22,3 |
105 |
22,3 |
- |
|
Краткосрочная кредиторская задолженность |
3,4 |
8,3 |
- |
- |
-3,4 |
-8,3 |
- |
|
РБП |
- |
- |
4 |
0,9 |
4 |
0,9 |
- |
|
Денежные средства |
8 |
19,5 |
82 |
17,4 |
74 |
-2,1 |
1025 |
|
Прочие оборотные активы |
6 |
14,6 |
5 |
1,1 |
-1 |
-13,5 |
83,3 |
|
Баланс |
41,1 |
100 |
470 |
100 |
428,9 |
- |
1144 |
Таблица 3.2.5
Динамика состава и структуры имущества ООО «Камелия» за 2002-2004 гг.
|
Состав имущества |
2002 |
2003 |
2004 |
Отклонение в удельном весе |
Темпы роста, % |
|||||||
|
Тыс. руб. |
Уд. вес |
Тыс. руб. |
Уд. вес |
Тыс. руб. |
Уд. вес |
98 от 97 |
99 от 97 |
99 от 98 |
98 от 97 |
99 от 97 |
99 от 98 |
|
|
1. Долгосрочные активы, в т.ч.: |
2,1 |
4,7 |
3,8 |
3,1 |
67 |
14,3 |
-1,6 |
9,6 |
11,2 |
181 |
3190 |
1763 |
|
Основные средства |
2,1 |
4,7 |
3,8 |
3,1 |
67 |
14,3 |
-1,6 |
9,6 |
11,2 |
181 |
3190 |
1763 |
|
2. Текущие активы (оборотные средства), в т.ч.: |
28,9 |
65,1 |
119,8 |
97,1 |
403 |
85,7 |
32 |
20,6 |
-11,2 |
414 |
1394 |
336 |
|
Запасы и затраты |
11,3 |
25,5 |
70,2 |
56,9 |
211 |
44,9 |
31,4 |
19,4 |
-12 |
621 |
1867 |
301 |
|
Товары |
1,2 |
2,7 |
46 |
37,3 |
190 |
40,4 |
34,6 |
37,7 |
3,1 |
3833 |
15833 |
413 |
|
Дебиторская задолженность, долгосрочная |
- |
- |
- |
- |
105 |
22,3 |
- |
- |
- |
- |
- |
- |
|
Краткосрочная дебиторская задолженность |
4,8 |
10,8 |
31,8 |
25,8 |
- |
- |
15 |
- |
- |
239 |
- |
- |
|
МБП |
- |
- |
18,8 |
15,2 |
11 |
2,3 |
- |
- |
-12,9 |
- |
- |
15 |
|
РБП |
- |
- |
- |
- |
4 |
0,9 |
- |
- |
- |
- |
- |
- |
|
Денежные средства |
7,7 |
17,3 |
3,6 |
2,9 |
82 |
17,4 |
-14,4 |
0,1 |
13,8 |
46,8 |
1065 |
2278 |
|
Прочие оборотные активы |
4,9 |
11,0 |
15,2 |
12,3 |
5 |
1,1 |
1,3 |
-9,9 |
-11,2 |
310 |
102 |
32,9 |
|
Баланс |
30,9 |
100 |
123,4 |
100 |
470 |
100 |
- |
- |
- |
399 |
1521 |
381 |
Анализируя данные о составе и структуре имущества магазина за 2002 г. 2004 г., можно сказать, что сложилась тенденция к увеличению суммы активов предприятия. Причем, рост имущества происходит по всем статьям.
Наибольшими темпами увеличиваются активы в 2004 г. по сравнению с 2002 г.
В структуре имущества на протяжении всех трех лет преобладают оборотные средства.
3.2.2. Анализ источников формирования имущества (активов) предприятия
Источниками формирования имущества предприятия являются собственные, заемные и привлеченные средства.
Структура и динамика формирования имущества предприятия представлена в таблице 3.2.6.
Изучение структуры источников средств (таблица 3.2.6) показывает, что их рост в 2003 и 2004 гг. обеспечен главным образом за счет заемных средств, а именно кредиторской задолженностью. При росте общей суммы средств на 200% в 2003 г. кредиторская задолженность увеличилась на 61%; при росте общей суммы средств в 11 раз в 2004 г. кредиторская задолженность возросла более чем в 5,5 раза.
Собственные средства хотя и увеличиваются в абсолютном значении, их доля в составе имущества невелика. Причем в 2004 г. собственные средства были сформированы за счет нераспределенной прибыли этого года и лишь немного (8,5 тыс. руб.) за счет уставного капитала.
Хотелось бы отметить, что в структуре кредиторской задолженности наибольшая доля в 2002 г. приходится на задолженность перед поставщиками (33%), перед прочими кредиторами (31%) и задолженность по полученным авансам (13,4%).
Таблица 3.2.6
Структура источников формирования имущества за 2002 2004 гг.
|
Показа-тели |
2002 |
2003 |
2004 |
темпы роста, % на конец года |
|||||||||||
|
н. г. |
к.г. |
+,- |
темп роста |
н. г. |
к.г. |
+,- |
темп роста |
н. г. |
к.г. |
+,- |
темп роста |
98 97 |
99 97 |
99 98 |
|
|
Стоимость имущества |
36,8 |
30,9 |
-5,9 |
83,9 |
61,6 |
123,4 |
61,8 |
200,3 |
41,1 |
470 |
428 |
1144 |
399 |
1521 |
381 |
|
В том числе |
|||||||||||||||
|
Собст-венные средства, из них |
2,5 |
2,5 |
- |
- |
5 |
17 |
12 |
340 |
8,5 |
217,5 |
209 |
2528 |
20 |
870 |
1279 |
|
-уставный капитал |
2,5 |
2,5 |
- |
- |
5 |
17 |
12 |
340 |
8,5 |
8,5 |
- |
- |
20 |
870 |
50 |
|
-в % к стоимости имущества |
6,8 |
8,1 |
1,3 |
- |
8,1 |
13,8 |
5,7 |
- |
20,7 |
46,7 |
25,6 |
- |
- |
- |
- |
|
Заемные средства |
- |
- |
- |
- |
- |
- |
- |
- |
- |
- |
- |
- |
- |
- |
- |
|
Креди-торская задол-женность |
46,1 |
41,8 |
-4,3 |
90,7 |
83,6 |
134,8 |
51,2 |
161 |
44,1 |
244 |
199,9 |
553 |
322 |
583 |
181 |
|
Прочие пассивы |
- |
0,1 |
- |
- |
0,2 |
0,02 |
-0,18 |
10 |
- |
- |
- |
- |
- |
20 |
- |
В 2003 г. это:
также задолженность перед поставщиками (33%),
задолженность по полученным авансам (13,4%),
на оплату труда (11,2%),
В 2004 г. это:
задолженность по авансам (73%),
перед бюджетом (15,6%),
по оплате труда (5,3%),
перед поставщиками (4,9%),
по социальному страхованию (0,8%),
прочие кредиторы (0,4%).
Таким образом, можно сделать вывод, что имущество ООО «Камелия» на протяжении трех лет формируется в основном за счет кредиторской задолженности и лишь частично за счет собственных средств.
Кроме того, структура кредиторской задолженности неоднозначна и меняется по годам. Так, если вы 2002 и 2003 гг. она сформирована за счет задолженности перед поставщиками, то к концу 2004 г. это задолженность по полученным авансам, а также задолженности перед бюджетом.
В целом, по анализу собственных средств, можно сказать, что деятельность предприятия в большей степени обеспечивается заемными источниками - кредиторской задолженностью.
3.2.3. Анализ платежеспособности
Одним из наиболее важных показателей финансовой устойчивости предприятия является его платежеспособность.
Под платежеспособностью понимается способность предприятия своевременно выполнять свои финансовые долгосрочные и краткосрочные обязательства перед поставщиками, банками, финансовыми органами и другими кредиторами, используя свои активы.
Платежеспособным считается предприятие, у которого текущие активы превышают текущие финансовые обязательства.
Платежеспособность предприятия зависит прежде всего от ликвидности оборотных средств. Проверка баланса на ликвидность позволяет оценить платежеспособность с помощью показателей текущей и перспективной ликвидности.
Анализ ликвидности баланса заключается в сравнении средств по активу, сгруппированных по степени ликвидности с обязательствами по пассиву, сгруппированных по сроку погашения обязательств.
Текущая ликвидность свидетельствует о платежеспособности или неплатежеспособности предприятия в ближайший к рассмотренному моменту промежуток времени. Об этом свидетельствует факт, когда наиболее ликвидные активы покрывают наиболее срочные обязательства и краткосрочные пассивы.
Перспективная ликвидность прогноз платежеспособности предприятия на основе прогноза будущих поступлений и платежей. Это происходит, когда медленнореализуемые активы покрывают долгосрочные обязательства и у предприятия имеются собственные оборотные средства.
Таблица 3.2.7
Данные для анализа ликвидности за 2002 2004 гг.
|
актив |
2002 |
2003 |
2004 |
пассив |
2002 |
2003 |
2004 |
платежный излишек (недостаток) |
||
|
2002 |
2003 |
2004 |
||||||||
|
А1 наиболее ликвидные активы |
7,7 |
3,6 |
82 |
П1 наиболее срочные обязательства |
41,9 |
134,8 |
244 |
-34,2 |
-131,2 |
-162 |
|
А2 быстро реализуемые активы |
9,7 |
47 |
110 |
П2 краткосрочные пассивы |
0 |
0 |
0 |
9,7 |
47 |
110 |
|
А3 медленно реализуемые активы |
11,3 |
69,6 |
208 |
П3 долгосрочные пассивы |
0 |
0 |
0 |
11,3 |
69,6 |
208 |
|
А4 трудно реализуемые активы |
2,1 |
3,8 |
67 |
П4 постоянные пассивы |
2,5 |
17 |
226 |
0,4 |
13,2 |
159 |
|
Баланс |
30,9 |
123,4 |
470 |
Баланс |
30,9 |
123,4 |
470 |
Х |
Х |
Х |
Текущая ликвидность предполагает выполнение неравенств: А1 больше П1, А2 больше П2. О выполнении перспективной ликвидности свидетельствует выполнение неравенств: А3 больше П3, А4 менее П4.
Исходя из данных таблицы 3.2.7 получены следующие неравенства:
2002 г. 2003 г. 2004 г.
А1 < П1 А1 < П1 А1 < П1
А2 > П2 А2 > П2 А2 > П2
А3 > П3 А3 > П3 А3 > П3
А4 < П4 А4 < П4 А4 < П4
На протяжении трех лет сложилась постоянная тенденция частичного выполнения условий текущей ликвидности (условие А1 > П1 не выполняется), причем к концу 2004 г. недостаток наиболее ликвидных активов (А1) денежных средств все более ощутим, в связи с чем предприятие испытывает значительные трудности при погашении кредиторской задолженности (П1). Недостаток денежных средств для покрытия наиболее срочных обязательств к концу 2004 г. составил 162 тыс. руб., что на 25% больше чем к концу 2003 г.
Следующее условие текущей ликвидности выполняется (А2 > П2), это из-за отсутствия краткосрочных пассивов.
В течение трех лет соблюдаются условия перспективной ликвидности:
А. А3 > П3, так как отсутствуют долгосрочные кредиты;
Б. А4 < П4Ю, то есть постоянные пассивы собственные средства (уставный капитал), покрывают труднореализуемые активы основные средства. Платежный избыток по этой статье составил 159 тыс. руб.
Таким образом, можно сделать вывод о том, что предприятие в настоящее время не обладает стопроцентной ликвидностью, так как не выполняются ее текущие условия: имеется недостаток денежных средств для расчетов по кредиторской задолженности, но в перспективе этот недостаток можно покрыть за счет использования избытка средств по статье быстрореализуемые активы, то есть предприятие имеет возможность в ближайшее время восстановить свою платежеспособность.
Для того, чтобы обеспечить финансовую устойчивость и платежеспособность предприятия, необходимо знать его критические (предельные) характеристики и запас финансовой прочности.
Для торгового предприятия наиболее важными критическими характеристиками являются точки критической величины валового дохода и товарооборота, при которых предприятие может покрыть издержки обращения, но еще не имеет прибыль. Критическую точку называют порогом рентабельности или точкой безубыточности.
Порог рентабельности означает, что если валовой доход или объем товарооборота опустится ниже критической точки, то произойдет резкое улучшение финансового состояния, возникнут убытки и недостатки ликвидных средств.
Определим критическую точку валового дохода в тысячах рублей на основе следующих данных (на конец 2004 г.):
1. валовой доход 435,8,
2. постоянные издержки обращения 193,6,
3. переменные издержки обращения 135,1,
4. прибыль от реализации товаров 318.
Критическая точка валового дохода составит:
ВДкр = 193,6 : (1 135,1 : 435,8) = 280,6 тыс. руб.
Запас финансовой прочности:
ВД ВДкр = 435,8 280,6 = 155,2 тыс. руб.
Запас финансовой прочности (Зфп) в относительном выражении может быть рассчитан по формуле:
Зфп =
* 100,
Зфп = 155,2 / 435,8 * 100 = 35,6%.
Согласно произведенным расчетам, порог рентабельности, или критическая величина валового дохода, составляет 280,6 тыс. руб., а запас финансовой прочности 155,2 тыс. руб. или 35,6%. Это означает, что магазин может выдержать снижение валового дохода на 35,6% без угрозы для своего финансового положения. При дальнейшем уменьшении валового дохода магазин будет убыточен.
Критическую величину объема товарооборота, обеспечивающую безубыточную работу, рассчитывали исходя из величины валового дохода и издержек обращения, по формуле:
* 100,
где Туб объем товарооборота, обеспечивающий безубыточность;
ИОпост сумма постоянных издержек;
УИДпер уровень переменных издержек в процентах к товарообороту;
УВД уровень валового дохода в процентах к товарообороту.
К предыдущим расчетам добавим следующие:
1. Объем товарооборота 646,7 тыс. руб.
2. УВД = 67,4%
3. УИДпер = 20,9%.
Туб = 193,6 / (67,4 20,9) * 100 = 416,3 тыс. руб.
Результат расчетов показывает, что для обеспечения безубыточности работы минимальный объем розничного товарооборота должен быть равен 416,3 тыс. руб.
Таким образом, можно сказать, что к концу 2004 г. предприятие опережало минимальный объем товарооборота и имелся значительный запас финансовой прочности.
3.2.4. Анализ результатов хозяйственной деятельности магазина
Финансовое состояние любого предприятия определяется конечными результатами его деятельности.
Обобщающим показателем конечных результатов работы является, как известно, прибыль.
Анализ прибыли анализируемого предприятия был рассмотрен в разделе 3.1 данной работы.
В условиях развития рыночных отношений важное значение при оценке финансового состояния предприятия имеет комплексное измерение прибыльности через систему показателей и коэффициентов. К числу таких показателей относятся:
1. Прибыль на общие инвестиции = Прибыль до вычета налогов и процентов по кредитам : Среднегодовая сумма собственного капитала и долгосрочных финансовых обязательств.
Этот показатель характеризует величину прибыли, приходящуюся на единицу инвестированных средств.
2. Прибыль на общие активы = Чистая прибыль : Общая среднегодовая сумма активов.
Показатель характеризует величину чистой прибыли, полученную на единицу совокупных (долгосрочных, нематериальных, текущих) активов.
3. Прибыльность функционирующего капитала = Прибыль от реализации : Среднегодовая сумма капитала и инвестиций за минусом долгосрочных обязательств.
4. Прибыльность собственного капитала = Чистая прибыль : Среднегодовая сумма собственного капитала.
5. Маржа прибыли = Чистая прибыль : Валовой доход.
Маржа прибыли показывает величину чистой прибыли, полученную с каждого рубля валового дохода от реализации товаров.
Проведем анализ этих показателей за 2002 2004 гг. (табл. 3.2.8).
Таблица 3.2.8
Динамика финансовых результатов деятельности предприятия
|
показатели |
2002 |
2003 |
2004 |
отклонения |
темпы роста, % |
||||
|
98 от 97 |
99 от 97 |
99 от 98 |
98 от 97 |
99 от 97 |
99 от 98 |
||||
|
Прибыль на общие инвестиции |
6,8 |
2,1 |
1,3 |
-4,7 |
-5,5 |
-0,8 |
30,9 |
19,1 |
61,9 |
|
Прибыль на общие активы |
0,0038 |
0,29 |
0,89 |
0,29 |
0,89 |
0,6 |
7632 |
23421 |
307 |
|
Прибыльность функционирующего капитала |
7,7 |
1,88 |
1,34 |
-5,82 |
-6,36 |
-0,54 |
24,4 |
17,4 |
71,3 |
|
Прибыльность собственного капитала |
13,87 |
2,3 |
1,34 |
-11,57 |
-12,57 |
-0,96 |
16,6 |
9,7 |
58,3 |
|
Маржа прибыли |
0,78 |
0,58 |
0,53 |
-0,2 |
-0,25 |
-0,05 |
74 |
65 |
91,4 |
Из таблицы 3.2.8 видно, что на единицу инвестированных средств предприятие получило в 2004 г. 1,3 руб., что на 80,9% меньше, чем в 2002 г. и на 38,1%, чем в 2003 г. Таким образом, можно сказать, что эффективность управления инвестициями низкая и ухудшается с течением времени.
На единицу совокупных активов в 2004 г. получено 0,89 руб. чистой прибыли, что в 23 раза больше, чем в 2003 г. и в 76 раз чем в 2002 г. То есть, можно отметить, что финансовые управляющие стали работать эффективнее.
С каждого рубля валового дохода от реализации в 2004 г. получено чистой прибыли меньше чем в предыдущие периоды, так в 2002 г. на 1 рубль валового дохода от реализации товаров было получено 0,78 руб., что на 35% больше, чем в 2004 г. и на 26% - больше, чем в 2003 г., в 2003 г. получено на 1 руб. валового дохода 0,58 руб., что на 8,6% больше, чем в 2004 г.
Далее проанализируем рентабельность оборота и активов (табл. 3.2.9).
Таблица 3.2.9
Исходные данные, тыс. руб.
|
Показатели |
Сумма |
||
|
2003 |
2004 |
Темп роста, % |
|
|
Общие активы предприятия, в том числе: |
123,6 |
470 |
380 |
|
-долгосрочные и нематериальные |
120,0 |
388 |
323 |
|
-денежные средства |
3,6 |
82 |
2278 |
|
Собственный капитал |
17 |
237,5 |
1397 |
|
Выручка от реализации товаров |
335,7 |
646,7 |
193 |
|
Чистая прибыль |
27,1 |
228,9 |
845 |
На основе приведенных данных определим коэффициент оборачиваемости активов, рентабельность актива и оборота:
2003 г.:
Коэффициент оборачиваемости активов:
335,7 / 123,6 = 2,7 раза.
2. Рентабельность оборота:
27,1 / 335,7 * 100 = 8,1%.
3. Рентабельность активов:
8,1 * 2,7 = 21,8%.
2004 г.:
1. Коэффициент оборачиваемости активов:
646,7 / 470 = 1,4 раза.
2. Рентабельность оборота:
228,9 / 646,7 * 100 = 35%.
3. Рентабельность активов:
35 * 1,4 = 49%.
Рентабельность активов, или прибыль, полученная на каждый рубль, вложенный в активы, зависит, как видно из приведенных расчетов, от скорости оборачиваемости активов и величины чистой прибыли, полученной на 1 руб. товарооборота:
2003 г.:

2004 г.:

В свою очередь рентабельность оборота находится в непосредственной зависимости от объема реализации товара.
Отношение суммы общих активов к сумме собственного капитала называется мультипликатором. Он показывает, во сколько раз общие активы превышают собственный капитал. Для анализируемого магазина мультипликатор в 2004 г. составил 1,98 раза, что на 5,29 раза меньше, чем в 2003 г.
Умножив показатель рентабельности активов на мультипликатор, определим рентабельность собственного капитала. Он составил в 2004 г. 159%, а в 2002 г. 97%.
Взаимосвязь коэффициента прибыльности может быть представлена следующим образом:
2003 г.:
=159%.
2004 г.:
= 97%.
3.2.5. Общая оценка финансового состояния торгового предприятия
Чтобы дать общую оценку финансового состояния, необходимо систематизировать рассмотренные в ходе анализа показатели и коэффициенты, рассмотреть тенденции их изменения. Для этого рассмотрим табл. 3.2.10.
По результатам проведенного анализа можно сделать следующие выводы:
1. На протяжении трех лет остается неизменным состав активов магазина, в него входят основные средства и денежные средства, меняется лишь их структура в сторону их увеличения, так, сумма основных средств в 2004 г. увеличилась по сравнению с 2002 г. на 64,9 тыс. руб., а по сравнению с 2003 г. на 63,2 тыс. руб.; сумма денежных средств соответственно на 74,3 тыс. руб. по сравнению с 2002 г. и на 78,4 тыс. руб. по сравнению с 2003 г.
2. Источники средств предприятия собственные средства, которые в 2004 г. возросли в 19,5 раз по сравнению с 2002 г. и более чем в 2 раза с 2003 г. и заемные средства, которые увеличились в 2 раза по сравнению с 2002 г. и на 9,2% по сравнению с 2003 г.
3. Рентабельность в 2004 г. составляет 49%, что говорит о том, что на каждый рубль, вложенный в активы, прибыль составляет 49 рублей, что на 31,9 руб. больше, чем в 2002 г. и на 27,2 руб. больше, чем в 2003 г.
Таблица 3.2.10
Схема обобщения показателей финансового состояния предприятия
|
Показатели |
2002 |
2003 |
2004 |
Изменения |
||
|
98 от 97 |
99 от 97 |
99 от 98 |
||||
|
1 |
2 |
3 |
4 |
5 |
6 |
7 |
|
1. Структура активов: |
||||||
|
-основные средства |
2,1 |
3,8 |
67 |
1,7 |
64,9 |
63,2 |
|
-денежные средства |
7,7 |
3,6 |
82 |
-4,1 |
74,3 |
78,4 |
|
2. Структура источников средств: |
||||||
|
-собственные средства |
2,5 |
17 |
237,5 |
14,5 |
195,7 |
235 |
|
-заемные средства, из них |
41,8 |
134,8 |
244 |
93 |
202,2 |
109,2 |
|
+кредиторская задолженность |
41,8 |
134,8 |
244 |
93 |
202,2 |
109,2 |
|
3. Эффективность использования активов: |
||||||
|
3.1. Коэффициенты (в сопоставимых ценах): |
||||||
|
-оборачиваемость оборотных активов, раз |
19,3 |
45,4 |
4,3 |
26,1 |
-15 |
-41,1 |
|
-оборачиваемость денежных средств, раз |
24,5 |
93,3 |
7,9 |
68,8 |
-16,6 |
-85,4 |
|
3.2. Рентабельность активов |
17,1 |
21,8 |
49 |
4,7 |
31,9 |
27,2 |
|
4. Эффективность управления финансовыми ресурсами |
||||||
|
4.1. Коэффициент общей капиталоотдачи или отдачи всего имущества |
4,2 |
2,2 |
1,3 |
-2 |
-2,9 |
-0,9 |
|
4.2. Коэффициент оборачиваемости всех оборотных средств |
24,5 |
93,3 |
7,9 |
68,8 |
-16,6 |
-85,4 |
Окончание табл. 3.2.10
|
1 |
2 |
3 |
4 |
5 |
6 |
7 |
|
4.3. Коэффициент отдачи собственного капитала |
75,4 |
19,7 |
2,7 |
-55,7 |
-52,7 |
-17 |
|
4.4. Коэффициент оборачиваемости запасов и затрат |
16,7 |
4,8 |
3,1 |
-11,9 |
-13,6 |
-1,7 |
|
5. Платежеспособность, коэффициенты: |
||||||
|
5.1. Абсолютной ликвидности |
0,18 |
0,03 |
0,34 |
-0,15 |
0,16 |
0,31 |
|
5.2. Промежуточного покрытия |
1 |
0,37 |
0,78 |
-0,65 |
0,22 |
0,41 |
|
5.3. Текущей ликвидности |
0,7 |
0,9 |
1,7 |
0,2 |
1 |
0,8 |
|
6. Рентабельность, коэффициенты |
||||||
|
6.1. прибыль на общие инвестиции |
6,8 |
2,1 |
1,3 |
-4,7 |
-5,5 |
-0,8 |
|
6.2. прибыль на общие активы |
0,0038 |
0,29 |
0,89 |
0,29 |
0,89 |
0,6 |
|
6.3. прибыль функционирующего капитала |
7,7 |
1,88 |
1,34 |
-5,82 |
-6,36 |
-0,54 |
|
6.4. прибыль собственного капитала |
13,87 |
2,3 |
1,34 |
-11,57 |
-12,53 |
-0,96 |
|
6.5. маржа прибыли |
0,78 |
0,58 |
0,53 |
-0,2 |
-0,25 |
-0,5 |
4. Негативным моментом является снижение эффективности управления финансовыми ресурсами:
коэффициент отдачи всего имущества в 2004 г. составил 1,3%, что на 2,9% меньше, чем в 2002 г. и на 0,9% - чем в 2003 г.;
коэффициент оборачиваемости всех оборотный средств в 2004 г. на 16,6% ниже, чем в 2002 г. и на 85,4% - чем в 2003г.;
коэффициент оборачиваемости запасов и затрат в 2004 г. ниже чем в 2002 г. на 13,6%, и чем в 2003 г. на 1,7%.
Коэффициенты платежеспособности в 2004 г. практически находятся в пределах норм:
коэффициент абсолютной ликвидности (норма 0,2-0,7) равен 0,34, что на 0,16 пунктов больше, чем в 2002 г. и на 0,31 пункт, чем в 2003 г.;
коэффициент промежуточного покрытия (норматив 0,8-1) равен 0,8, что на 0,22 пункта больше, чем в 2002 г. и на 0,41 чем в 2003 г.;
коэффициент текущей ликвидности (норматив 2), равен 1,7, что близко к 2, больше на 1 пункт, чем в 2002 г. и на 0,8 чем в 2003 г..
По коэффициенту абсолютной ликвидности можно, сказать, что предприятие платежеспособно и может погасить 34% своих краткосрочных обязательств;
6. Отрицательным является снижение практически всех показателей рентабельности, за исключением прибыли на общие активы, она увеличилась на 0,89 пунктов в 2004 г. по сравнению с 2002 г. и на 0,6 по сравнению с 2003 г.
4. Планирование (прогнозирование) основных экономических показателей деятельности предприятия
4.1. Планирование розничного товарооборота
Прогноз продаж включает как субъективный (мнение специалистов), так и объективный (экономико-математические расчеты) элементы.
План розничного товарооборота торгового предприятия состоит из следующих разделов: реализация (продажа) товаров по общему объему и отдельным товарным группам (структура товарооборота); товарные запасы и товарооборачиваемость; поступление товаров (товарное обеспечение).
Все разделы плана товарооборота взаимосвязаны, между ними существует балансовая связь:
Пф = <=Рт,
где Пф покупательные фонды;
Т объем товарооборота;
Рт товарные ресурсы.
Прогнозы бывают двух типов: «от общего к частному» (от объема к структуре) и «от частного к общему». Второй подход более эффективен для небольших и средних предприятий.
Существует несколько методик планирования розничного товарооборота:
с учетом потребности в прибыли,
метод технико-экономических расчетов (нормативный),
методы, основанные на учета покупательского спроса.
Воспользуемся третьей разновидностью методик.
Удовлетворение покупательского спроса населения является важнейшей функцией торгового предприятия. В связи с этим целесообразно использовать для прогнозирования розничного товарооборота метод, основанный на применении коэффициента эластичности, который показывает, насколько изменится товарооборот при изменении покупательских фондов (доходов) населения на 1%. Коэффициент эластичности (Е) можно рассчитать по формуле:
,
где Iт индекс (темп) роста розничного товарооборота;
Iпф - индекс (темп) роста покупательских фондов населения.
По данным статистического ежегодника, индекс покупательских фондов населения в 2003 г. составил 1,1, а розничный товарооборот 1,02.
Тогда коэффициент эластичности будет равен:
.
В предстоящем периоде (2001 г.) покупательские фонды возрастут на 6%, если не произойдут другие изменения, то с увеличением покупательских фондов объем розничного товарооборота возрастет на 30% (5 * 6), то есть расчетный товарооборот для магазина ООО «Камелия» составит 840,7 тыс. руб. (646,7 * 1,3).
Как известно, спрос может быть выражен в виде формулы:
С = NMB * Кn,
где N число покупателей;
М место;
В время;
Кn средний коэффициент совершения покупки.
Как было выяснено ранее, при анализе структуры товарооборота, наибольший удельный вес в объеме товарооборота приходится на парфюмерные изделий.
Так, по выборочным наблюдениям было зафиксировано, что парфюмерные товары ежемесячно покупает 580 человек, по 2 единицы, тогда их совокупный месячный спрос составит 1160 ед. Средняя розничная цена единицы равна 67 рублей, тогда планируемый объем продаж парфюмерных товаров составит 777,52 тыс. руб. ((1160 ед. + 67 руб.) * (92,5%)).
4.2. Планирование издержек обращения
Для успешного развития фирмы необходим четко разработанный бизнес-план. Следование ему шаг за шагом позволяет фирме укрепиться на рынке и добиться решающих преимуществ перед конкурентами. Одним из самых важных разделов в бизнес-плане составление смет предстоящих расходов на запланированные мероприятия.
Важным направлением в формировании затрат является планирование издержек обращения.
Содержание плана издержек обращения состоит в определении величины расходов предприятия для осуществления нормального торгового процесса.
В основе плана издержек обращения лежит:
запланированный объем и структура товарооборота;
задания по приросту торговой сети;
изменения в организационной структуре, ставок, тарифов и других условиях расчетов.
План по издержкам обращения торговых предприятий представляет собой смету расходов, в которой указана общая сумма расходов и общий уровень, а также сумма и уровень расходов по каждой статье издержек обращения. Смету, как и другие плановые показатели, составляют исходя из хозяйственной целесообразности и необходимости улучшения обслуживания населения, облегчения выполнения утвержденного плана товарооборота и плана прибыли.
Исходя из имеющейся информации о величине затрат предприятия определим размер издержек обращения при увеличении объема товарооборота на 30%.
Так, в 2004 г. объем товарооборота составил 646,7 тыс. руб., переменные затраты 135,1 тыс. руб., удельные затраты 0,042 тыс. руб., а постоянные 193,6 тыс. руб. Таким образом, суммарные затраты составляют:
И = П + Пер * Х = 193,6 + 0,042 * 646,7 = 220,76 тыс. руб.
Если в 2000 г. объем товарооборота увеличится на 30%, что составит 840,71 тыс. руб., то переменные затраты возрастут тоже на 30%, то есть их величина составит 175,63 тыс. руб. (135,1 * 1,3).
Постоянные затраты остаются неизменными, то есть 193,6 тыс. руб.
В этом случае суммарные затраты составят 369,2 тыс. руб., уровень планируемых издержек составит 43,9%, что на 6,9% ниже, чем в отчетном году.
Планируя издержки обращения по основным статьям, можно использовать метод среднего уровня затрат. Базовым показателем расчета в этом случае является средний уровень расходов по статье затрат по отношению к товарообороту.
Издержки обращения, при использовании этого метода будут определяться по формуле:
И = Т * Уср / 100%,
где Т товарооборот,
Уср средний уровень издержек, %.
Для определения среднего уровня затрат воспользуемся результатами анализа издержек, данными о товарообороте предприятия.
Например, средний уровень расходов по оплате труда составляет 7,8%. Подставив эти данные в формулу, получаем прогнозную величину затрат на оплату труда.
И = 646,4 * 7,8 / 100 = 50,4 тыс. руб.
Средний уровень расходов по хранению и подготовке товаров к продаже составляет 5,2%, тогда прогнозная величина этих расходов составит 33,6 тыс. руб.
При прочих равных условиях и неизменности остальных татей затрат, общая величина издержек обращения составит 334,8 тыс. руб.
Прогнозные расчеты важны не только для самого предприятия, но и для его акционеров, инвесторов, поставщиков, кредиторов, банков, связанных с деятельностью данного торгового предприятия.
4.3. Планирование показателей по труду
Разработка плановых (прогнозных) расчетов по труду включает определение среднесписочной численности работников и составления штатного расписания, расчеты фонда заработной платы и производительности труда.
Составление плана по труду начинается с определения численности работников и составления штатного расписания.
Штатное расписание предусматривает перечень должностей, количество работников по каждой должности, должностной оклад, надбавки и фонд оплаты труда. В штатном расписании магазина показывается вся численность работников.
Прогнозирование общей численности работников и численности основных категорий работников может быть произведено с помощью коэффициента эластичности, численности работников от товарооборота, показателя уровня затрат труда на единицу товарооборота и прогнозируемого темпа роста производительности труда.
Исходные данные для прогноза:
2003 г. 2004 г.
товарооборот, тыс. руб. 335,7 646,7
численность работников, чел. 23 20
уровень затрат труда на 1 тыс. руб.
товарооборота (штатных единиц) 6,9 3,1
1. Коэффициент эластичности численности работников от товарооборота составит:
0,1398(
).
Согласно предыдущим расчетам, товарооборот в планируемом периоде увеличится на 30%, тогда темп прироста численности работников составит 4,2% (0,1398 * 30), а прогнозируемая общая численность работников будет 21 человек (20 * 1,04).
Определим явочную численность продавцов.
Торговая площадь магазина составляет 301,4 кв. м., продолжительность работы магазина в неделю (при полуторасменном режиме) 7,2 часа.
Условное число рабочих мест равно 7,2.
Явочная численность продавца составит 13 чел. (7,2 * 74 / 40).
Среднесписочная численность продавцов определяется путем умножения явочной численности на плановое количество рабочих дней в году и деления на реальный фонд рабочего времени одного продавца и составит 15 человек (13 * 249 / 222).
4.4. Планирование показателей прибыли
Прогнозируемый размер прибыли можно определить исходя из использования в расчетах значения маржинального дохода:
Этот метод можно использовать для определения прибыли от реализации, если известны общая сумма маржинального дохода и постоянных расходов, или удельного веса маржинального дохода в валовом доходе или в общем объеме товарооборота. Если известны удельные веса маржинального дохода в выручке от продаж (валовом доходе) каждой группы реализуемых товаров в общей сумме выручки от продаж, средний удельный вес маржинального дохода подсчитывается как средневзвешенная величина.
Как мы определили, магазин реализует несколько групп товаров. Удельный вес маржинального дохода составляет:
«А». промышленные товар 0,8,
«Б». хозяйственные товары 0,6,
«В». культтовары 0,7,
«Г». трикотажные товары 0,5,
«Д». обувь 0,6,
«Е». ткани 0,7,
«Ж». Мебель 0,5.
Общая сумма продажи товаров составит в 2000 г. 840,7 тыс. руб. (прогноз).
Удельный вес реализуемых товаров «А» - 62%, «Б» - 14,6%, «В» - 5%, «Г» - 4%, «Д» - 5%, «Е» - 7,4%, «Ж» - 2%.
Тогда средний удельный вес маржинального дохода в общей сумме товарооборота составит:
Ду = (0,8 * 62 + 0,6 * 14,6 + 0,7 * 5 + 0,5 * 4 + 0,6 * 5 + 0,7 + 7,7 + 0,5 * 2) / 100 = 0,73%.
Тогда прибыль от реализации при постоянных расходах в размере 193,6 тыс. руб. и переменных (прогноз) 175,63 составит:
П = (840,7 175,62) * 0,73 193,6 = 291,4 тыс. руб.
Если не ожидается серьезных изменений в прогнозируемом периоде, для прогнозирования прибыли можно использовать те же удельные веса маржинального дохода.
Заключение
Современное состояние анализа можно охарактеризовать как довольно основательно разработанную в теоретическом плане науку. Ряд методик, созданными научными работниками, используются в управлении деятельностью предприятий на разных уровнях. Вместе с тем наука находится в состоянии развития. Ведутся исследования в области более широкого применения математических методов, ЭВМ, позволяющих оптимизировать управленческие решения. Идет процесс внедрения теоретических достижений отечественной и зарубежной науки в практику.
Перспективы развития экономического анализа в теоретическом направлении тесно связаны с развитием сменных наук, в первую очередь, математики, статистики, бухгалтерского учета и др. Кроме того, развитие анализа зависит и от запросов практики. В условиях командно-административной системы управления он не находил достаточно широкого практического применения, так как не было нужды в обосновании управленческих решений на местах, все решения исходили сверху.
Что касается перспектив прикладного характера, то анализ хозяйственной деятельности постепенно займет ведущее место в системе управления. Этому содействуют преобразования, которые происходят в нашем обществе. Совершенствования экономического механизма через переход к рынку, конкуренция предприятий и форм собственности будут содействовать повышению заинтересованности в этой науке.
Финансовый анализ может использоваться: как инструмент обоснования краткосрочных и долгосрочных экономических решений, целесообразности инвестиций; как средство оценки мастерства и качества управления; как способ прогнозирования будущих результатов.
Отметим, что в принятой Правительством РФ Конституции реформирования предприятий и иных коммерческих структур отмечена необходимость обучения руководителей и специалистов предприятий приемам финансового анализа, использованию информации учета и отчетности для целей принятию управленческих решений, составлению бизнес-планов.
Все это лишний раз свидетельствует о том, что экономический и финансовый анализ в современных условиях становится элементом управления. Это практически единственный инструмент оценки надежности потенциального партнера (покупателя или поставщика) и ссудозаемщика.
По результатам проведенного нами анализа экономических и финансовых показателей деятельности розничного магазина «Камелия», можно сказать, что в 2004 г. предприятие работало эффективно и улучшило результаты работы по сравнению с 2002 и 2003 гг. по показателям товарооборота, валового дохода, прибыли от реализации, балансовой прибыли и чистой прибыли. Негативным моментом явилось увеличение суммы издержек обращения, хотя их доля в процентном соотношении к товарообороту снизилась.
Улучшились показатели по труду: возросла производительность труда торгового персонала.
Значительно возросли показатели рентабельности: рентабельность продаж, затрат, фондорентабельность; получено больше прибыли в расчете на 1 кв. м. торговой площади, кроме того, увеличилась сама торговая площадь магазина. На одного торгового работника приходится почти в 10 раз прибыли больше, чем в 2003г.
Увеличивается и стоимость имущества магазина (более чем в 11 раз к концу 2004 г.). Это произошло в основном за счет приобретения дополнительных основных средств (оборудование), а также за счет увеличения суммы денежных средств. Кроме того, к концу 2004 г. в активе баланса появилась новая статья долгосрочная дебиторская задолженность, то есть предприятие выдает авансы, к этому же времени с магазином рассчитались все должники, то есть погашена краткосрочная дебиторская задолженность.
На протяжении трех лет (2002-2004 гг.) имущество ООО «Камелия» формируется за счет заемных средств кредиторской задолженности. В 2004 г. это задолженность по авансам, перед бюджетом и по оплате труда и др.
По анализу платежеспособности можно отметить, что в настоящее время предприятие не обладает 100-процентной платежеспособностью, так как не выполняются условия текущей ликвидности баланса: имеется недостаток денежных средств и поэтому нет возможности для полного расчета с кредиторами, но в перспективе этот недостаток можно покрыть с помощью использования избытка средств по статье быстрореализуемые активы (товары к перепродаже, запасы), то есть предприятие имеет возможность в ближайшей перспективе восстановить свою платежеспособность.
Но для этого необходимо более тщательно продумывать управленческие решения, необходимо улучшать культуру обслуживания потребителей, чтобы в конечном итоге получить запланированные размеры товарооборота, прибыли, издержек
Библиографический список
Агеева Н.А. Практикум по анализу финансового состояния предприятия. СПб: СПбУЭФ, 1996.
Алексеева М.М. Планирование деятельности фирмы. М.: Финансы и статистика, 2002.
Анализ финансово-хозяйственной деятельности предприятия. М.: Финансы и статистика, 1991.
Баканов М.И. Теория экономического анализа. М.: Финансы и статистика, 2002.
Бланк И.А. Торговый менеджмент. Киев: Украино-Финский институт менеджмента и бизнеса, 2003.
Валевич Р.П., Давыдов Г.А. Экономика торгового предприятия. - Мн.: Высшая школа, 1996.
Ефимова О.В. Финансовый анализ. М.: Бухгалтерский учет, 2003.
Каракоз И.И. Экономический анализ работы предприятий и объединений. Киев: Высшая школа, 1992.
Кондраков Н.П. Основы финансового анализа. М.: Главбух, 2003.
Кравченко Л.И. Анализ хозяйственной деятельности в торговле и общественном питании. Мн.: Высшая школа, 1989.
Курс экономического анализа / Под ред. М.И. Баканова, А.Д. Шеремета. М.: Финансы и статистика, 2002.
Мудрик Д.Г. Финансовый анализ предприятия: грани управленческих решений. М.: Аудит и налогообложение, 2002.
Российский статистический ежегодник: Статистический сборник / Госкомстат России. М., 2003.
Русак Н.А. Финансовый анализ субъекта хозяйствования: Справочное пособие. М.: Высшая школа, 2002.
Савицкая Г.В. Анализ хозяйственной деятельности предприятия. М.: Экоперспектива, 2003.
Сербник Б.В. Экономика торгового предприятия и сферы услуг. - М.: Финансы и статистика, 1989.
Сергеев И.В. Экономика предприятия. М.: Финансы и статистика, 2002.
Торговое дело: экономика и организация / Под ред. Брагина. М.: Экономика, 2002.
Хайлбронер Р., Гароу А. Экономика для всех. Тверь: Фамилия, 1994.
Хеддервик К. Финансовый и экономический анализ предприятия (Международная организация труда). - М.: Финансы и статистика, 1995.
Экономика предприятия / Под ред. Н.А Сафронова. М.: Юрист, 2003.
Экономика предприятия / Под ред. В.Я. Горфинкеля. М.: Банки и биржи, ЮНИТИ, 2003.
Экономический анализ хозяйственной деятельности предприятия / Под ред. А.Д. Шеремета. М.: Мысль, 1996.
Экономический анализ деятельности предприятий и объединений / Под ред. С.Б. Барнгольца, Г.М. Тация. М.: Финансы и статистика, 1990.
Экономический анализ деятельности предприятия. Мн.: Высшая школа, 1991.
Приложение 1
Ассортиментный перечень товаров для розничной торговли ООО «Камелия»
|
Наименование товара |
Количество разновидностей |
|
Промышленные товары: |
|
|
Парфюмерные товары Косметические товары Туалетное мыло Синтетические моющие средства Текстильная галерея Кожаная галантерея Металлическая галантерея Галантерея из пластмасс |
30 30 10 11 10 5 10 10 |
|
Хозяйственные товары |
|
|
Электротовары Изделия из пластмасс Посуда Товары бытовой химии Инструменты Материалы строительные |
10 2 25 10 5 20 |
|
Культтовары |
|
|
Игрушка Школьно-письменные и канцелярские принадлежности Часы |
20 50 5 |
|
Трикотажные товары |
|
|
Бельевой трикотаж Чулочно-носочные изделия |
10 10 |
|
Обувь |
30 |
|
Ткани |
20 |
|
Мебель |
3 |