Система релейной защиты и автоматики, применяемой на подстанции
СОДЕРЖАНИЕ
ВВЕДЕНИЕ…………………………………………………………………………..6
- Анализ существующей схемы подстанции и
установленного оборудования……………………………………………………...8
2. Выбор видов РЗиА………………………………………………………………...9
2.1 Трансформатор 110/35/6 кВ…………………………………………………….9
2.2 Линии 110 кВ…………………………………………………………………...10
2.3 Секционный выключатель 35 и 6 кВ………………………………………….11
2.4 Вводной выключатель 35 и 6 кВ………………………………………………12
3. Расчет уставок РЗиА…………………………………………………………….13
3.1 Секционный выключатель 35 кВ……………………………………………...13
3.2 Вводной выключатель 35 кВ…………………………………………………..14
3.3 Трансформатор 110/35/6 кВ……………………………………………………15
3.4 Линии 110 кВ…………………………………………………………………...24
4. Основная защита силового трансформатора…………………………………..31
5. Безопасность жизнедеятельности………………………………………………39
6. Экономическая часть…………………………………………………………….51
7. Экология. Охрана окружающей среды…………………………………………59
Заключение………………………………………………………………………….65
СПИСОК ИСПОЛЬЗОВАННОЙ ЛИТЕРАТУРЫ………………………………..66
ВВЕДЕНИЕ
При эксплуатации на изоляцию линий, подстанций и высоковольтных электрических машин, наряду с длительным рабочим напряжением воздействуют кратковременные перенапряжения. Всякое превышение мгновенным значением напряжения амплитуды наибольшего рабочего напряжения будем называть перенапряжением [1].
Актуальность проблемы заключается в том, что изоляция электрических сетей и электрооборудования должна длительно (в течение десятков лет) выдерживать приложенное к ней рабочее напряжение с учетом загрязнения, увлажнения и других воздействий окружающей среды, а также старения вследствие частичных разрядов, электродинамических усилий, коррозии и других электрофизических, электрохимических и электромеханических воздействий в процессе эксплуатации. Кроме того, изоляция должна надежно выдерживать многократные грозовые, квазистационарные и коммутационные перенапряжения и обеспечивать, возможно, быструю и легкую ликвидацию последствий в случае ее перекрытия. При этом необходимо учитывать защитное действие нелинейных ограничителей перенапряжений (ОПН), разрядников, молниеотводов, оптимизацию действия релейной защиты, автоматического повторного включения (АПВ) и другие меры ограничения перенапряжений и защиты сети от нарушений ее нормальной работы.
Поэтому, исходя из вышеизложенного, необходимо осуществлять мероприятия по приведению изоляции к норме, т.е. создать комплекс мер ограничения и защиты от перенапряжений, при котором изоляция линий и подстанций определялась бы в основном длительным приложением рабочего напряжения. Важно также выбрать оптимальную последовательность коммутаций, в том числе автоматических повторных включений. Уточненное определение перенапряжений требует обязательного и тщательного учета основных естественных демпфирующих факторов, таких как частотные зависимости потерь в проводящих средах BЛ и KЛ и коронирование проводов воздушных линий. Поэтому в дипломной работе предлагается систематическое рассмотрение перенапряжений и мер защиты от них в высоковольтных кабельных линиях различного конструктивного исполнения; всестороннее рассмотрение вопросов оценки перенапряжений и способов защиты от них в электропередачах сверхвысокого напряжения. Рассмотрение процессов перенапряжений в электрических сетях может быть построено по двум принципам:
-либо пообъектно (воздушные линии, кабельные линии);
-либо на основе объединения процессов, имеющих одинаковую или близкую физическую природу (грозовые перенапряжения в BЛ и KЛ, коммутационные перенапряжения в BЛ и KЛ).
Цель исследования проанализировать средства защиты от коммутационных перенапряжений, применяемой на подстанции. Предложить возможные пути улучшения применяемых средств за счет внедрения более современных технологий защиты.
Задачи исследования обосновать и упростить планирование по реконструкции устройств РЗА, разработать основные критерии замены и рекомендации:
а) техническое перевооружение энергообъекта (его части) с заменой основного оборудования (генератора, трансформатора, выключателей и другое);
б) несоответствие технических характеристик или функциональных возможностей устройства требованиям селективности, быстродействия, чувствительности, резервирования при действующих (предусматриваемых в ближайшей перспективе) схемах или режимах работы энергообъекта (прилегающей сети);
в) нерентабельность дальнейшей эксплуатации устройства из-за значительного возрастания затрат на техническое обслуживание и ремонт;
г) фактический износ электромеханического устройства до состояния, требующего замены. Значительное превышение числа его неправильных срабатываний;
д) неудовлетворительная механическая или электрическая прочность, а также уровень сопротивления изоляции контрольных кабелей и монтажных проводов. Существенные изменения внешнего вида значительной части монтажных проводов устройства, катушек, изоляционных трубок и так далее;
е) рост числа случаев изменения характеристик и (или) повреждений элементов устройства, выявленных при техническом обслуживании и анализе их неправильной работы;
ж) прекращение производства устройств и запасных частей к ним.
Объект исследования: повышение качества электроснабжения потребителей электроэнергии.
Предмет исследования: система релейной защиты и автоматики, применяемой на подстанции.
Гипотеза: внедрение микропроцессорных (МП) устройств, обладающих существенными преимуществами перед электромеханическими и микроэлектронными аналогами.
Методы исследования: анализ различных конструкций, исследование преимуществ и недостатков различных систем релейной защиты.
Структура дипломной работы отражает логику исследования и его результаты и состоит из введения, шести разделов, заключения, списка использованных источников, приложений.
1. Анализ существующей схемы подстанции и установленного оборудования
Подстанция «Костанайская» является тупиковой подстанцией, принадлежащей ОАО «КостанайЭнергоцентр».
На стороне 110кВ ПС выполнена по типовой схеме электрических соединений « Блок (линия-трансформатор) с разъединителем». В работе обе секции шин 110кВ. Подстанция питается от ПС 110 кВ «Сатка».
ЗРУ-35 кВ выполнено по схеме две секции секционированные выключателем.
На стороне 6 кВ используется схема «Две, секционированные выключателями, системы шин». Присоединение секций к силовому трансформатору осуществляется через сдвоенный реактор. СВ-6кВ отключен. ЗРУ-6 выполнено из шкафов КРУН типа К-47.
В состав основных сооружений подстанции «Костанайская» входят:
-силовые трансформаторы ТДТН-40000/110/35/6;
-заградители -600-0,25;
-конденсаторы связи СМИ 110/V3-6,4У 1;
-разъединитель РНД 32-110/1000У1;
-масляные выключатели;
-разрядник РВС-110;
-трансформаторы тока ТВТ-110-3;
Автоматика на ПС:
-автоматическое отключение отделителя при повреждениях силового трансформатора;
-АРН (автоматика регулирования напряжения под нагрузкой) на силовых трансформаторах - нормально выведена. Используется дистанционное управление РПН;
-АЧР и ЧАПВ (автоматика частотной разгрузки и частотная автоматика повторного включения) на шинах 6 кВ - нормально выведена;
-АВР (автоматическое включение резерва) на шинах собственных нужд.
На основании того, что основная реконструкция подстанции «Костанайская» была проведена в 1980 г. можно сделать вывод, что на данной подстанции установлено устаревшее оборудование, которое уже давно отработало свой нормативный срок эксплуатации и требует замены на более современное. Необходимо выбрать выключатели. Замене подлежат разъединители, трансформаторы тока и напряжения, а так же разрядники. Реконструкция будет производиться пошагово, то есть отключается ячейка и на ней заменяется оборудование, после чего она вводится в работу.
2. Выбор видов РЗиА
В процессе эксплуатации энергетических систем возникают повреждения и ненормальные режимы работы, несвоевременная ликвидация которых может привести к потере дорогостоящего оборудования.
Развитие аварии может быть предотвращено быстрым отключением поврежденного участка сети или же включение предусмотренного резерва при помощи специальных автоматических устройств релейной защиты и автоматики.
Для каждого объекта подстанции выбираем по ПУЭ /1/ и НТП /2/ виды РЗиА.
2.1 Трансформатор 110/35/6 кВ
Релейная защита по ПУЭ:
3.2.51. Для трансформаторов должны быть предусмотрены устройства релейной защиты от следующих видов повреждений и ненормальных режимов работы: (смотрите таблицу 2.1)
1) многофазных замыканий в обмотках и на выводах;
2) однофазных замыканий на землю в обмотке и на выводах, присоединенных к сети с глухозаземленной нейтралью;
3) витковых замыканий в обмотках;
4) токов в обмотках, обусловленных внешними КЗ;
5) токов в обмотках, обусловленных перегрузкой;
6) понижения уровня масла.
3.2.53. Газовая защита от повреждений внутри кожуха, сопровождающихся выделением газа, и от понижения уровня масла должна быть предусмотрена для трансформаторов мощностью 6,3 МВА и более.
Газовая защита должна действовать на сигнал при слабом газообразовании и понижении уровня масла и на отключение при интенсивном газообразовании и дальнейшем понижении уровня масла.
3.2.54. Для защиты от повреждений на выводах, а также от внутренних повреждений на трансформаторах мощностью 6,3 МВА и более должна быть предусмотрена продольная дифференциальная токовая защита без выдержки времени t=0.
3.2.55. Продольная дифференциальная токовая защита должна осуществляться с применением специальных реле тока, отстроенных от бросков тока намагничивания, переходных и установившихся токов небаланса (например, насыщающиеся трансформаторы тока, тормозные обмотки). Продольная дифференциальная защита должна быть выполнена так, чтобы в зону ее действия входили соединения трансформатора со сборными шинами. Допускается использование для дифференциальной защиты трансформаторов тока, встроенных в трансформатор, при наличии защиты, обеспечивающей отключение (с требуемым быстродействием) КЗ в соединениях трансформатора со сборными шинами.
3.2.59. На понижающих трансформаторах мощностью 1 МВА и более в качестве защиты от токов в обмотках, обусловленных внешними многофазными КЗ, должна быть предусмотрена максимальная токовая защита с комбинированным пуском напряжения или без него с действием на отключение.
3.2.69. На трансформаторах мощностью 0,4 МВА и более в зависимости от вероятности и значения возможной перегрузки следует предусматривать максимальную токовую защиту от токов, обусловленных перегрузкой, с действием на сигнал.
Автоматика согласно ПУЭ:
В соответствии с 3.2.18 для общего повышения надежности на подстанции используется ближнее резервирование (УРОВ).
Согласно пункту НТП:
9.7.1. На трансформаторе должны быть предусмотрены следующие защиты:
- дифференциальная токовая защита;
- газовая защита;
- резервные защиты на сторонах высшего и низшего напряжения;
- защита от перегрузки.
Таблица 2.1
Защита и автоматика трансформатора 110/6 кВ
|
Вид защиты/автоматики |
Тип защиты |
|
От повреждений внутри кожуха, сопровождающихся выделением газа, и от понижения уровня масла |
Газовая защита |
|
От повреждений на выводах, и от внутренних повреждений (замыкание на корпус) |
ДЗТ |
|
От токов, обусловленных внешними многофазными КЗ |
МТЗ |
|
От токов, обусловленных перегрузкой |
МТЗ |
|
Ближнее резервирование |
УРОВ |
2.2 Линии 110 кВ
Согласно ПУЭ:
3.2.106. Для линий в сетях 110-500 кВ с эффективно заземленной нейтралью должны быть предусмотрены устройства релейной защиты от многофазных замыканий и от замыканий на землю.
3.2.110. На одиночных линиях с односторонним питанием от многофазных замыканий следует устанавливать ступенчатые токовые защиты или ступенчатые защиты тока и напряжения. Если такие защиты не удовлетворяют требованиям чувствительности или быстроты отключения повреждения, должна быть предусмотрена ступенчатая дистанционная защита. В последнем случае в качестве дополнительной защиты рекомендуется использовать токовую отсечку без выдержки времени.
От замыканий на землю должна быть предусмотрена ступенчатая токовая направленная или ненаправленная защита нулевой последовательности. Защита должна быть установлена только с тех сторон, откуда может быть подано питание.
3.2.115. Для линий 110-220 кВ рекомендуется осуществлять основную защиту с использованием дистанционной и токовой направленной нулевой последовательности защит.
Согласно пунктам НТП:
9.9.6. На линиях 110-220 кВ с односторонним питанием используются два комплекта ступенчатых защит, каждый из которых включает:
- токовую (если удовлетворяется требование селективности) или дистанционную защиту от многофазных КЗ,
- токовую направленную/ненаправленную защиту от КЗ на землю.
9.9.7. Защиты, имеющие цепи напряжения, неисправность которых приводит к ложному отключению, должны блокироваться при нарушении цепей напряжения.
Автоматика на ВЛЭП согласно ПУЭ:
В соответствии с 3.2.18 для общего повышения надежности на подстанции используется ближнее резервирование (УРОВ).
3.3.6. Могут применяться устройства ТАПВ двукратного действия. Выдержка времени ТАПВ во втором цикле должна быть не менее 15-20 с.
Для заданной ЛЭП будем использовать устройство ТАПВ двукратного действия.
Согласно пунктам НТП:
9.10.1. Должно предусматриваться автоматическое повторное включение (АПВ) воздушных линий электропередачи и сборных шин (ошиновок) открытых распределительных устройств.
9.10.4. На воздушных линиях, обходном выключателе, шинах (ошиновке) напряжением 110-220 кВ должно применяться 3-фазное АПВ (ТАПВ) с пуском по цепи «несоответствия» и/или от защит.
На линиях с односторонним питанием, а также с двухсторонним питанием, если при отключении выключателя нет опасности потери синхронизма, пуск АПВ должен выполняться без контроля напряжения и синхронизма (простое АПВ).
Таблица 2.2
Защита и автоматика для ВЛЭП 110 кВ
|
Вид защиты/автоматики |
Тип защиты |
|
От многофазных замыканий |
Дистанционная защита (2 комплекта), ТО |
|
От замыканий на землю |
ТЗНП |
|
ТАПВ двухкратное |
|
|
УРОВ |
2.3 Секционный выключатель 35 и 6 кВ
Согласно ПУЭ:
3.2.129. На секционном выключателе 6-35 кВ должна быть предусмотрена двухступенчатая токовая защита от многофазных КЗ.
Согласно пункту 9.15.2 НТП на секционном выключателе предусматривать:
максимальную токовую защиту;
дуговую защиту;
автоматическое включение резерва.
Таблица 2.3
Защита и автоматика секционного выключателя
|
Вид защиты |
Тип защиты |
|
От многофазных замыканий |
МТЗ |
|
Ближнее резервирование |
УРОВ |
|
АВР |
2.4 Вводной выключатель 35 и 6 кВ
Согласно пункту 9.15.1 НТП на вводных ячейках предусматривать:
максимальную токовую защиту с возможностью комбинированного пуска по напряжению;
дуговую защиту;
защиту минимального напряжения;
УРОВ.
Таблица 2.4
Защита и автоматика вводного выключателя
|
Вид защиты/автоматики |
Тип защиты |
|
От многофазных КЗ |
МТЗ с пуском по напряжению |
|
Минимального напряжения |
ЗМН |
|
Ближнее резервирование |
УРОВ |
3. Расчет уставок РЗиА
3.1 Секционный выключатель 35 кВ
МТЗ с постоянной выдержкой времени.
На секционном выключателе установлен трансформатор тока типа ТВ-35-II-1000. Вычисление коэффициента трансформации измерительного трансформатора тока (8.10):
.
Ток срабатывания защиты выбирается исходя из двух условий:
1) согласование с максимальной уставкой предыдущей защиты отходящих линий:
А (8.23)
А
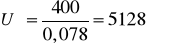
2) отстройка от максимальной нагрузки, проходящей через СВ так как точная нагрузка на каждый фидер не известна, то нагрузку через СВ примем равную половине всей нагрузки на среднем напряжении подстанции, которую вычислим по формулам пункта 5:
А.
Принимаем большую уставку
А.
Вычислим ток срабатывания реле:
А (8.12)
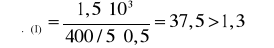
Определим коэффициент чувствительности (8.13):
1,5.
Значение коэффициента чувствительности соответствует требованиям ПУЭ.
Выбор выдержки времени (8.14):
=1,8+0,3=2,1 с.
УРОВ
Тип секционного выключателя ВБЭТ-35-III-25/1600 УХЛ1, для него полное время отключения tоткл выкл=0,06 с. Выдержка времени УРОВ равна (8.16):
с.
3.2 Вводной выключатель 35 кВ
МТЗ с пуском по напряжению с постоянной выдержкой времени.
На вводном выключателе установлены трансформаторы тока аналогично секционному выключателю типа ТВ-35-II-1000.
Ток срабатывания защиты выбирается исходя из двух условий:
1) согласование с максимальной уставкой предыдущей защиты секционного выключателя:
А: (8.23)
А.
2) отстройка от максимального тока нагрузки максимального тока на стороне СН силового трансформатора.
Определим ток срабатывания защиты (8.24):
А.
Принимаем большую уставку
А.
Вычислим ток срабатывания реле (8.12).
А.
Определим коэффициент чувствительности (8.13):
1,5.
Значение коэффициента чувствительности соответствует требованиям ПУЭ.
Выбор выдержки времени (8.14):
=2,1+0,3=2,4 с. (3)
Защита минимального напряжения
ЗМН необходима для пуска МТЗ по напряжению.
Рабочее минимальное напряжение определим на уровне 70% от номинального значения (8.25):
В.
Рассчитываем значение напряжения срабатывания реле (8.26):
В.
Принимаем уставку
В.
Вычисление коэффициента трансформации измерительного трансформатора напряжения по формуле (8.27):
.
Вычислим напряжение срабатывания реле защиты (8.28):
В.
3.3 Трансформатор 110/35/6 кВ
Дифференциальная защита.
Определим первичные и вторичные номинальные токи, коэффициенты трансформаторов тока и схемы их соединения. Со сторона ВН вторичные обмотки ТТ соединяются по схеме “звезда с нулевым проводом”. Со сторона НН вторичные обмотки ТТ соединяются по схеме «звезда». Расчет уставок защиты проводится в относительных величинах. За базисное значение принимается номинальный ток стороны ВН силового трансформатора.
Для выбора номинального тока преобразователя измерительного тока (ПИТ) на стороне ВН и НН необходимо определить входной расчетный ток Iвх.расч по выражению:
, (8.29)
где Sном номинальная мощность трансформатора, кВА;
Uном номинальное напряжение стороны ВН или НН трансформатора, кВ;
;
;
.
Выбирается номинальный ток ПИТ Iн =5 А, ближайший больший к входному расчетному току таблица 33.
Таблица 3.3
Расчет уставок защиты трансформатора 110/35/6 кВ
|
Номинальный ток Iн, А |
Рабочий диапазон токов |
Перемычки |
|
|
Iмин, А |
Iмакс, А |
||
|
5,0 |
1,0 |
500 |
ХТ1:1-ХТ1:3 ХТ1:2-ХТ1:4 |
|
2,5 |
0,5 |
200 |
ХТ1:2-ХТ1:4 |
|
1,0 |
0,2 |
80 |
ХТ1:3-ХТ1:4 |
|
0,5 |
0,1 |
37 |
- |
Относительное значение начального дифференциального тока срабатывания Iдзт.нач определяется по выражению:
, (8.30)
где Котс коэффициент отстройки; Котс = 1,3;
относительная погрешность первичного трансформатора тока в установившемся режиме; = 0,1;
Uрег принимается равным половине используемого диапазона регулирования при блокировке учета реального коэффициента трансформации по текущему положению РПН, так как трансформатор без РПН, то Uрег = 0,16;
Fвыр относительное значение погрешности выравнивания токов плеч; Fвыр = 0,03;
коэффициент 0,5 учитывает, что тормозная характеристика имеет первый излом при значении тормозного тока, равном 0,5 Iном.
А.
Алгоритм защиты автоматически выбирает нужную группу уставок, которые целесообразно использовать в данном режиме защищаемого трансформатора.
Расчет коэффициента торможения Кторм.2 на втором участке проводится исходя из отстройки от тока небаланса. Расчет относительного значения тока небаланса Iнб.расч выполняется по выражению:
, (8.31)
где Кпер коэффициент, учитывающий возрастание погрешности трансформаторов тока в переходном режиме, является расчетной величиной.
Погрешности трансформаторов тока в переходном режиме определяются предельной кратностью К10, под которой понимается наибольшая кратность первичного тока, при которой полная погрешность в установившемся режиме при заданной вторичной нагрузке не превышает 10 %. Чем больше предельная кратность К10, тем меньше возрастание погрешности трансформаторов тока в переходном режиме. С учетом этого принято соединение трансформаторов тока по схеме «звезда» с нулевым проводом. В этом случае расчетное сопротивление нагрузки трансформаторов тока при трехфазных КЗ уменьшается примерно в три раза, а предельная кратность К10 во столько же раз возрастает.
Оценка коэффициента К10 проводится для сторон ВН и НН следующим образом. Определяется параметр К10 отн по выражению:
,
где I1 ном.ТА первичный номинальный ток трансформатора тока соответствующей стороны;
Iном.тр номинальный ток той же обмотки защищаемого трансформатора.
К10 расчетная кратность ТТ, равная:
(8.32)
.
.
.
При выполнении для всех сторон условия К10 отн больше или равно 20 принять Кпер равным 2,0, в противном случае принять Кпер равным 2,5. Принимаем Кпер равным 2,5, тогда:
А.
Коэффициент торможения Кторм.2 определяется по выражению:
, (8.33)
где Котс = 1,3 коэффициент отстройки;
коэффициент 1,5 учитывает положение второй точки излома характеристики торможения при значении тормозного тока, равном 1,5 Iном;
.
Принимаем
.
Коэффициент торможения Кторм.3 на третьем участке выбирается с учетом того, что при больших кратностях токов внешних КЗ наблюдается значительное искажение формы кривой токов небаланса. Методика точного расчета значения Кторм.3 с учетом всех влияющих факторов довольно сложна. Целесообразно использовать следующие приближенные расчетные значения: для трансформаторов мощностью 25 МВА и менее следует принять Кторм.3 равным 0,7; для трансформаторов мощностью 40 МВА и более следует принять Кторм.3 равным 0,9. Принимаем Кторм.3 равным 0,9 (в соответствии с рисунком 23).
Рисунок 23. Тормозная характеристика ДЗТ.
Выбор уставки информационного параметра блокировки.
Основным режимом, определяющим значение коэффициента информационного параметра блокировки Кипб, является режим отстройки от броска тока намагничивания силового трансформатора при его включении на холостой ход. Для защит трансформаторов распределительных сетей рекомендуется значение Кипб. равное 0,38.
Коэффициент чувствительности Кч определяется соотношением:
, (8.34)
где Iд.min минимальное относительное значение дифференциального тока при КЗ за трансформатором расчетного вида. Поскольку Iдзт.нач меньше 0,5 (о.е.) и тормозная характеристика имеет горизонтальный участок до тока торможения, равного 0,5 (о.е.), то для дифференциальных защит понижающих двухобмоточных трансформаторов всегда получается Кч > 2 с большим запасом и проводить проверку чувствительности не обязательно.
Дифференциальная токовая отсечка.
По условию отстройки от броска тока намагничивания силового трансформатора при его включении на холостой ход рекомендуется принять уставку отсечки на уровне 6 Iн.
По условию отстройки от тока небаланса при внешнем КЗ уставку выбрать по выражению:
, (8.35)
где Котс = 1,2 коэффициент отстройки;
Кнб отношение амплитуды первой гармоники тока небаланса к приведенной амплитуде периодической составляющей тока внешнего КЗ; Кнб =0,7
Iкз.внеш.max относительное значение максимального тока внешнего КЗ.
.
Из двух полученных значений уставок отсечки выбираем наибольшее, равное 6.
МТЗ НН с пуском по напряжению.
Первичный ток срабатывания МТЗ НН определяется по условию отстройки от максимального тока нагрузки (8.18):
А.
Принимаем уставку
А.
Вычислим ток срабатывания реле (8.12).
А.
Определим коэффициент чувствительности (8.13):
1,5.
Значение коэффициента чувствительности соответствует требованиям ПУЭ.
Выбираем выдержку времени на ступень селективности 0,3 с выше, чем у защиты вводного выключателя (8.14):
=1,8+0,3=2,1 с.
Для минимального реле междуфазного напряжения уставка выбирается исходя из:
1) отстройка от минимального напряжения после отключения внешнего КЗ:
, (8.36)
где kОТС коэффициент отстройки, kОТС = 1,2 /6/;
междуфазное напряжение в месте установки реле в режиме самозапуска двигателей, после отключения внешнего КЗ, согласно рекомендациям по выбору уставок ориентировочно 0,85-0,9 Uном;
В.
2) отстройки от напряжения самозапуска при включении от АПВ или АВР заторможенных двигателей нагрузки:
, (8.37)
где
междуфазное напряжение в месте установки реле в условиях самозапуска заторможенных двигателей нагрузки при включении их от АПВ или АВР в ориентировочных расчетах может быть принято равным 0,7 Uном;
В.
Принимаем минимальную уставку
В.
Вычислим напряжение срабатывания реле защиты (8.28):
В.
МТЗ СН с пуском по напряжению.
В терминале предусмотрены МТЗ на сторонах ВН, СН и НН трансформатора. Для пусков по напряжению предусмотрены реле напряжения на стороне НН. При этом на ней контролируется снижение междуфазных напряжений UАВ и UВС и увеличение напряжения обратной последовательности U2.
Первичный ток срабатывания МТЗ СН определяется по условию отстройки от максимального тока трансформатора (8.18):
А.
Принимаем уставку Iсз=340А.
Вычислим ток срабатывания реле (8.12).
А.
Определим коэффициент чувствительности (8.13):
1,5.
Значение коэффициента чувствительности соответствует требованиям ПУЭ.
Пуск по напряжению осуществляется по сигналу минимального реле междуфазного напряжения, работающего на напряжениях НН, уставки рассчитаны в расчете МТЗ НН.
Выбираем выдержку времени на ступень селективности 0,3 с выше, чем у МТЗ НН (8.14):
=2,4+0,3=2,7 с.
МТЗ ВН с пуском по напряжению.
В терминале предусмотрены МТЗ на сторонах ВН, СН и НН трансформатора. Для пусков по напряжению предусмотрены реле напряжения на стороне НН. При этом на ней контролируется снижение междуфазных напряжений UАВ и UВС и увеличение напряжения обратной последовательности U2.
Первичный ток срабатывания МТЗ ВН определяется по условию отстройки от максимального тока трансформатора (8.18):
А.
Принимаем уставку
А.
Вычислим ток срабатывания реле (8.12).
А.
Определим коэффициент чувствительности (8.13):
> 1,2.
Значение коэффициента чувствительности соответствует требованиям ПУЭ.
Пуск по напряжению осуществляется по сигналу минимального реле междуфазного напряжения, работающего на напряжениях НН, уставки рассчитаны в расчете МТЗ НН.
Выбираем выдержку времени на ступень селективности 0,3 с выше, чем у МТЗ СН, так как у нее большая выдержка времени (8.14):
=2,7+0,3=3с.
Расчет защиты от перегрузки на стороне ВН.
Ток срабатывания защиты:
; (8.38)
где kОТС коэффициент отстройки, равный 1,05;
kВ коэффициент возврата, равный 0,94.
А;
Принимаем уставку
А.
Находим ток срабатывания реле (8.12):
А.
Типичное значение уставки 9…10 с. Принимаем значение уставки
.
Газовая и струйная защита.
Газовая защита трансформатора выполнена на реле РГТ-80. Основным элементом газовой защиты является газовое реле, устанавливаемое в рассечку маслопровода между баком трансформатора и расширителем.
Струйная защита отсека РПН выполнена на реле типа РCТ-25
В терминалах обеспечивается прием сигналов от сигнальной и отключающей ступеней газовой защиты трансформатора и струйной защиты РПН. С помощью программной накладки сигнальная ступень может быть переведена на отключение.
3.4 Линии 110 кВ
Рассчитаем комплект ДЗ установленный на питающей линии.
Исходные данные к расчету: UНОМ = 110 кВ, тип и длина провода: АС-70/11 1,9 км.
Расстояние между фазами защищаемой линии принимаем: LМФ = 5 м.
Параметры защищаемой линии
Сопротивление линии найдем по формуле:
(8.39)
где rЛ активное сопротивление линии;
хЛ реактивное сопротивление линии.
(8.40)
где r0 удельное активное сопротивление линии;
L длина линии.
(8.41)
где х0 удельное реактивное сопротивление линии.
Удельные сопротивления ВЛ 110 кВ с проводом АС-70/11 /9/:

Ом;
Ом.
Ом.
Угол сопротивления защищаемой линии:
; (8.42)
.
Максимальный ток нагрузки найдет в пункте 5 и равен 215,2 А. На линиях 110 кВ установлены трансформаторы тока типа ТВ-400/5.
Параметры энергосистемы.
Принимается ЭДС энергосистемы:
(8.43)
где
номинальное напряжение.
кВ.
Активное сопротивление энергосистемы прием равным 0, так как система по заданию является системой бесконечной мощности:
Реактивное сопротивление энергосистемы:
(8.44)
Ом.
Параметры нагрузки защищаемой линии.
Минимальное сопротивление нагрузки при самозапуске электродвигателей:
, (8.45)
где
минимальное напряжение в месте установки защиты при самозапуске электродвигателей, в расчетах принимается
;
коэффициент самозапуска, учитывающий увеличение тока нагрузки при самозапуске электродвигателей, в расчетах принимается 1,5…2.
Ом.
Если неизвестен максимальный угол нагрузки защищаемой линии, то в ориентировочных расчетах можно принимать
.Примем
.
Угол наклона характеристики РС 1 ступени ДЗ принимается примерно равным углу сопротивления защищаемой линии (Л = 47,6):
1(I) = 50
Сопротивление срабатывания 1 ступени ДЗ.
Сопротивление срабатывания выбираем по условию отстройки от металлического КЗ на шинах низшего напряжения подстанции.
Сопротивление срабатывания первой зоны
выбирается из условия, чтобы дистанционный орган зоны не мог сработать за пределами защищаемой линии.
Первичное сопротивление срабатывания первой ступени /10/:
, (9.46)
где
погрешность, вызванная неточностью расчета первичных электрических величин (принимаем
);
погрешности трансформаторов тока, трансформаторов напряжения и релейной аппаратуры в сторону увеличения защищаемой зоны (принимается
);
сопротивление трансформатора в именованных единицах.
Определим сопротивления трансформатора /2/:
сопротивление обмотки высшего напряжения:
; (9.47)
где UK ВС напряжение короткого замыкания между обмотками ВС, %;
UK ВН напряжение короткого замыкания между обмотками ВН, %;
UK СН напряжение короткого замыкания между обмотками СН, %;
SТ номинальная мощность трансформатора, ВА.
Ом.
сопротивление обмотки среднего напряжения равно нулю.
сопротивление обмотки низшего напряжения:
; (9.48)
Ом.
Ом.
Принимаем
Ом.
Уставка 1 ступени ДЗ по реактивному сопротивлению:
(9.49)
Ом.
Максимально допустимое активное сопротивление срабатывания 1 ступени ДЗ по условию отстройки от сопротивления самозапуска:
(9.50)
Ом.
Сопротивление электрической дуги является чисто активным и его величина обратно пропорциональна величине тока КЗ. Следовательно, максимальное сопротивление дуги будет при двухфазном КЗ в конце защищаемой зоны ДЗ:
(9.51)
где
падение напряжения на дуге.
минимальный ток двухфазного металлического КЗ в конце защищаемой зоны ДЗ.
Падение напряжения на дуге :
(9.52)
где
длина дуги с учетом ее раздувания за время срабатывания защиты. Для 1 ступени ДЗ, действующей без выдержки времени, длина дуги принимается равной:
(9.53)
Падение напряжения на дуге при КЗ в конце 1 ступени ДЗ:
кВ.
Минимальный ток двухфазного металлического КЗ в конце защищаемой зоны 1 ступени ДЗ:
(9.54)
кА.
Сопротивление дуги при двухфазном КЗ в конце защищаемой зоны 1 ступени ДЗ:
Ом.
Минимально допустимое активное сопротивление срабатывания 1 ступени ДЗ по условию обеспечения чувствительности к КЗ через дугу в конце защищаемой зоны :
(9.55)
Ом
Принимается минимальная уставка
Ом.
Ток точной работы РС 1 ступени ДЗ
А.
Коэффициент чувствительности РС 1 ступени ДЗ по току точной работы при двухфазном КЗ в конце защищаемой зоны:
(9.56)
.
Наклон нижней и левой части характеристики РС для всех трех ступеней ДЗ и верхней части характеристики РС для 1 ступени ДЗ обычно принимается достаточно произвольно, никаких рекомендаций и методик на этот счет нет:

Вторичное сопротивление срабатывания 1 ступени ДЗ:
; (9.57)
Ом.
; (9.58)
Ом.
; (9.59)
Ом.
Вторая ступень ДЗ.
Второй ступени для данного участка сети нет по руководящим указаниям /10/.
Третья ступень ДЗ.
Отстраиваем по условию от минимального сопротивления самозапуска:
(9.60)
где
коэффициент возврата реле сопротивления, равный 0,95 /10/;
коэффициент надежности, равный 1,2 /10/;
Ом.
Уставка 3 ступени ДЗ по реактивному сопротивлению (9.49):
Ом.
Максимально допустимое активное сопротивление срабатывания 3 ступени ДЗ по условию отстройки от сопротивления самозапуска:
Ом.
Минимальный ток двухфазного металлического КЗ в конце защищаемой зоны 2 ступени ДЗ (9.54):
кА.
Принимается уставка 3 ступени ДЗ по активному сопротивлению по условию отстройки от сопротивления самозапуска:

Ток точной работы РС 3 ступени ДЗ:
А.
Коэффициент чувствительности РС 3 ступени ДЗ по току точной работы при двухфазном КЗ в конце защищаемой зоны (9.56):
.
Вторичное сопротивление срабатывания 3 ступени ДЗ (9.57,.9.58,.9.59):
Ом;
Ом;
Ом.
Рисунок 24. Характеристика ДЗ в комплексной плоскости сопротивлений
4. Основная защита силового трансформатора
Блок микропроцессорной релейной защиты БМРЗ-ТД-10-30-21 ДИВГ.648228.070-03 (в дальнейшем - блок) предназначены для выполнения функций основной быстродействующей дифференциальной защиты, измерения и сигнализации двухобмоточных и трехобмоточных трансформаторов и автотрансформаторов (АТ) с напряжением стороны высшего напряжения (ВН) до 220 кВ включительно.
Питание блока может производиться от источника постоянного, выпрямленного или переменного тока с номинальным напряжением 220 В (диапазон изменения напряжения оперативного питания от 88 до 264 В).
Функциональные возможности
Блок применяется в схемах трехфазного подключения трансформаторов тока (ТТ) по схеме звезда, независимо от схемы соединения обмоток силового трансформатора. Допускается использовать двухфазное подключение ТТ только для обмоток силового трансформатора, соединенных по схеме «треугольник», при этом ТТ подключаются к фазам A, C, на вход блока фазы B должен быть подан в противофазе суммарный ток фаз A и С. За положительное направление токов сторон принимается направление токов в сторону защищаемого объекта (силового трансформатора или автотрансформатора). Все подключения ТТ должны обеспечивать подачу вторичных токов положительного направления на входы блока.
В блоке предусмотрена компенсация поворота фазы при различных комбинациях соединений обмоток защищаемого объекта - операция "цифровой треугольник", включаемая автоматически для требуемой стороны при задании уставкой соответствующей группы соединения обмоток трансформатора
В блоке производится цифровое выравнивание токов сторон, благодаря чему не требуется применения промежуточных трансформаторов (автотрансформаторов) тока.
Блок обеспечивает учет положения устройства регулирования под нагрузкой (РПН), что позволяет снизить составляющую тока небаланса, обусловленную влиянием РПН трансформатора, и повысить чувствительность дифференциальной защиты с торможением.
В блоке производится удаление токов нулевой последовательности для любых обмоток силового трансформатора, соединенных по схеме «звезда», что предотвращает излишнее срабатывание ДЗТ и дифференциальной токовой отсечки при внешних однофазных замыканиях на землю.
В блоке предусмотрена вызывная сигнализация, срабатывающая при возникновении небаланса токов плеч дифференциальной защиты, что позволит осуществлять контроль состояния измерительных токовых цепей и трансформаторов тока.
Блок обеспечивает защиту общей обмотки автотрансформатора от перегрузки. Значение тока общей обмотки АТ вычисляется математически, что не требует установки дополнительного ТТ в нейтрали АТ
Блок обеспечивает хранение двух независимых программ уставок защит и автоматики. Выбор программы 2 осуществляется при подаче входного дискретного сигнала "Программа 2".
Функции защиты:
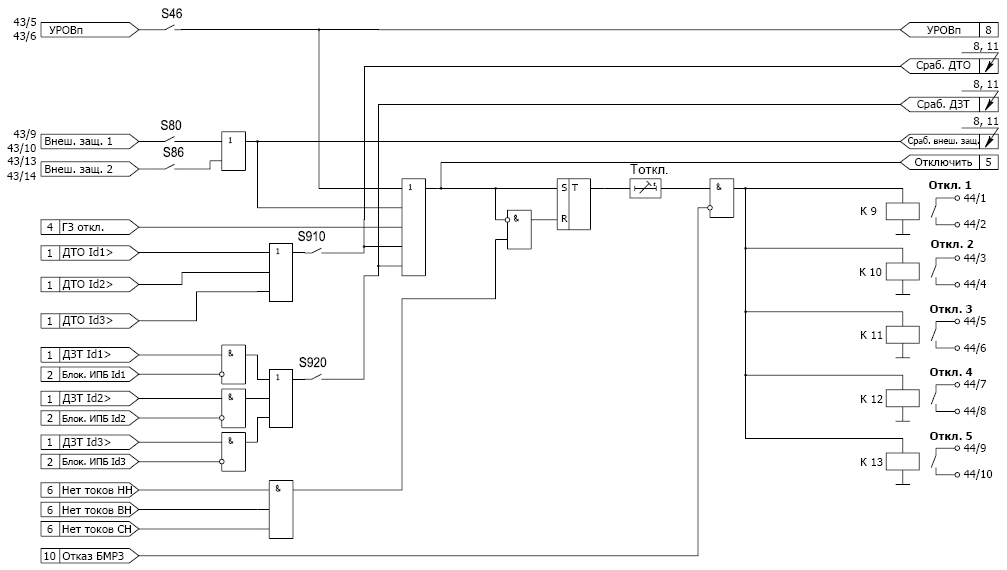
1) Дифференциальная токовая отсечка (ДТО) предназначена для быстрого и селективного отключения КЗ (со значительным дифференциальным током) в зоне действия защиты. ДТО срабатывает без применения блокировок, дополнительных торможений, выдержек времени. Срабатывание ДТО происходит при превышении дифференциальным током заданной уставки IДТО. Возврат ДТО происходит при снижении дифференциального тока с учетом коэффициента возврата, задаваемого уставкой Kв ДТО. ДТО является вспомогательным элементом основной защиты трансформатора и должна всегда применяться совместно с функцией ДЗТ. Функция ДТО может быть введена в действие программным ключом S910.
2) Дифференциальная токовая защита с торможением (ДЗТ). Функция ДЗТ может быть введена в действие программным ключом S920. Защита предназначена для быстрого и селективного отключения КЗ (с дифференциальным током малой кратности) в зоне действия защиты. В ДЗТ используется торможение от сквозного тока, протекающего через защищаемый объект, осуществляется эффективная блокировка при бросках тока намагничивания. Срабатывание ДЗТ происходит при превышении дифференциальным током значения, определяемого по характеристике ДЗТ (рисунок 25). Возврат происходит при снижении дифференциального тока с учетом коэффициента возврата.

Рисунок 25 Характеристика ДЗТ
ДЗТ является одним из основных элементов основной защиты трансформатора. Характеристика ДЗТ включает три участка. Угол наклона характеристики на 1-м участке нулевой, на 2 и 3-м участках задается коэффициентами торможения КТОРМ. 2 и КТОРМ. 3. Ток торможения IТОРМ. рассчитывается как полусумма токов сторон ВН, среднего напряжения (СН) и низшего напряжения (НН) в приведении к стороне ВН.
Функциональная схема ДЗТ и ДЗО представлена на рисунке 26.

Рисунок 26. Функциональная схема алгоритмов ДЗТ, ДТО
Функция ДЗТ использует две группы уставок срабатывания: грубые и чувствительные. Блок осуществляет работу по грубым уставкам в следующих случаях:
действующие значения всех токов сторон меньше 0,05·IН (режим холостого хода), в том числе в течение 1/3 с после прекращения указанного условия;
при отклонении фактического положения устройства РПН от расчетного более чем на 2 положения;
при включении блока в ходе загрузки и инициализации программного обеспечения.
При работе по грубым уставкам цифровое выравнивание токов сторон осуществляется с учетом номинального коэффициента трансформации силового трансформатора, вычисляемого автоматически по введенным уставкам номинальных напряжений сторон. Работа по грубым уставкам сопровождается свечением светоизлучающего диода далее светодиода "Грубые уставки" на лицевой панели блока. При работе по чувствительным уставкам производится расчет фактического коэффициента трансформации, что позволяет снизить составляющую тока небаланса дифференциального тока, обусловленную влиянием устройства РПН. Блок может учитывать работу устройств РПН с временем переключения на одно положение не менее 0,5 с, установленных на сторонах ВН, СН трансформатора или АТ, и в нейтрали АТ. Фактический коэффициент трансформации рассчитывается ступенчато, с учетом значения шага регулирования устройства РПН, задаваемого уставкой «Шаг РПН», расчет производится периодически с интервалом 1 с, что обеспечивает надёжное срабатывание защит при КЗ с малыми кратностями токов.
При наличии устройства РПН должны быть заданы уставки количества отпаек устройства РПН NСТ, значение шага (одной ступени) регулирования устройства РПН. Количество отпаек устройства РПН NСТ может иметь только нечетное значение. При наличии устройства РПН шаг регулирования не должен быть равен нулю. Если блок применяется для трансформатора без устройства РПН, то должно быть установлено количество отпаек NСТ, равное 1.
При вводе грубых и чувствительных уставок ДЗТ (Iдзт нач, Кторм. 2 и Кторм. 3) необходимо убедиться, что они удовлетворяют следующим условиям:
Iдзт нач чувств. Iдзт нач груб.;
Кторм. 2 чувств. Кторм. 2 груб;
Кторм. 3 чувств. Кторм. 3 груб.
Кроме того, необходимо, чтобы выполнялись условия:
Кторм. 2 чувств. Кторм. 3 чувств.;
Кторм. 2 груб. Кторм. 3 груб.
В случае ввода уставок, не удовлетворяющих вышеприведенным условиям, мигает светодиод "ГОТОВ", блок выдает кратковременный выходной сигнал "Отказ БМРЗ" с индикацией на дисплее сообщения "Ошибка записи уставок" на время 5 с, после чего происходит возврат к прежним уставкам.
Блокировка срабатывания защиты при бросках тока намагничивания в условиях включения трансформатора на холостой ход и при внешних КЗ, сопровождающихся значительным насыщением первичных трансформаторов тока, осуществляется в соответствии с алгоритмом блокировки ДЗТ.
Информационный признак блокировки рассчитывается как отношение суммы действующих значений второй и четвертой гармоники к действующему значению первой гармоники дифференциального тока. При превышении уставки КИПБ и при наличии дифференциального тока, значение которого больше 0,1Iн, вырабатывается сигнал блокировки.
Срабатывание ДЗТ блокируется пофазно при появлении соответствующего сигнала блокировки по ИПБ.
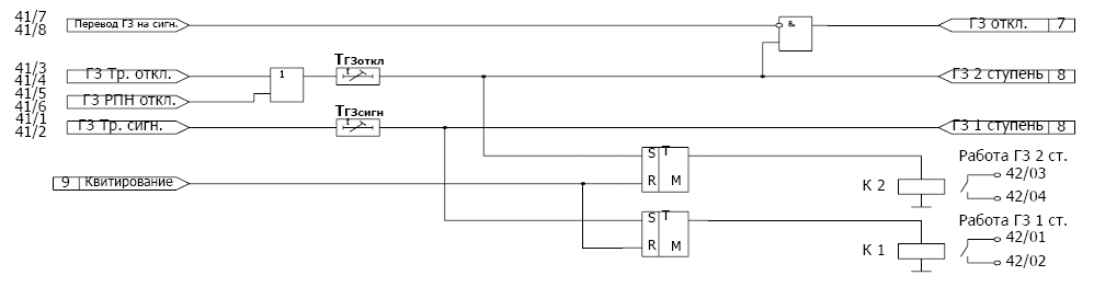
3) Газовая защита (ГЗ).
Блок обеспечивает исполнение сигналов ГЗ с действием на сигнализацию по дискретному входу "ГЗ Тр. сигн." (1-я ступень ГЗ) с выдержкой времени ТГЗсиг.

Рисунок 27. Функциональная схема алгоритма газовой защиты
Обеспечивается исполнение сигналов срабатывания газовой защиты (ГЗ) силового трансформатора и устройства РПН на отключение по дискретным входам "ГЗ Тр. откл.", "ГЗ РПН откл." (2-я ступень ГЗ) с выдержкой времени ТГЗоткл. Предусмотрена возможность перевода действия второй ступени ГЗ на сигнализацию при подаче входного дискретного сигнала "Перевод ГЗ на сигнал".При срабатывании газовой защиты блок обеспечивает выдачу выходных дискретных сигналов "Работа ГЗ 1 ст.", "Работа ГЗ 2 ст." и индикацию на светодиоде лицевой панели "Работа ГЗ".
Блок обеспечивает запоминание срабатывания сигналов "Работа ГЗ 1 ст.", "Работа ГЗ 2 ст." при потере питания. Время хранения информации о состоянии сигналов при отключенном оперативном токе составляет не менее 200 ч. Сброс сигналов срабатывания ГЗ производится квитированием.
4) Внешние защиты.
Блок обеспечивает действие внешних защит на отключение при введенных программных ключах S80 и S86 для дискретных входов "Внеш. защ. 1" и "Внеш. защ. 2" соответственно.

Рисунок 28. Функциональная схема алгоритмов управления выключателем - отключение
При появлении дискретных входов "Внеш. защ. на сигн. 1" или " Внеш. защ. На сигн. 2" происходит срабатывание вызывной сигнализации.
5) Функции автоматики и управления выходными реле защит.
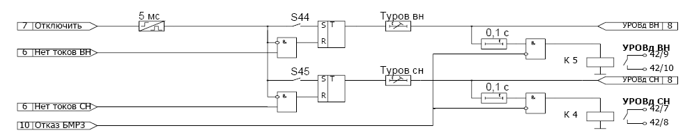
Блок обеспечивает выполнение функций приемника (УРОВП) и датчиков (УРОВД ВН, УРОВД СН) устройства резервирования при отказе выключателей сторон ВН и СН, а также действие УРОВ «на себя».

Рисунок 29 - Функциональная схема алгоритма УРОВ
Ввод функции УРОВП осуществляется программным ключом S46, ввод функции УРОВД ВН - программным ключом S44, ввод функции УРОВД СН - программным ключом S45.
Пуск УРОВ происходит:
- при срабатывании ДТО;
- при срабатывании ДЗТ;
- по сигналам газовой защиты на отключение "ГЗ Тр. откл.", "ГЗ РПН откл.";
- по сигналам внешних защит на отключение "Внеш. защ. 1" и "Внеш. защ. 2";
- по сигналу "УРОВП" от нижестоящей защиты.
Сигналы "УРОВД ВН", "УРОВД СН" выдаются с выдержкой времени ТУРОВ ВН и ТУРОВ СН соответственно, после выдачи команды на отключение выключателя при условии его неотключения. Отключение выключателей ВН и СН фиксируется по факту отсутствия тока соответствующей стороны. Признаком отсутствия токов является срабатывание всех трехфазных реле минимального тока соответствующей стороны, включенных на фазные токи. Сигналы "УРОВД ВН", "УРОВД СН" снимаются по факту снижения соответствующих токов ниже уставки IУРОВ.
При получении сигнала "УРОВП" выдается команда на отключение выключателей без выдержки времени и вызывная сигнализация.
Команда отключения выдается одновременно на выходные реле "Откл. 1","Откл. 2", "Откл. 3", "Откл. 4", "Откл. 5" и удерживается до отключения выключателей, определяемому по снижению токов всех сторон ВН, СН, НН ниже уставки IУРОВ. Уставкой ТОТКЛ может быть задано время дополнительного удержания команды отключения. Любое из реле "Откл. 1", "Откл. 2", "Откл. 3", "Откл. 4" или "Откл. 5" может быть задействовано для выдачи сигнала на отключение выключателя питающей стороны по высокочастотному (ВЧ) каналу.
Функции сигнализации.
Блок обеспечивает формирование выходного сигнала "Вызов".

Рисунок 30. Функциональная схема алгоритма формирования сигнала "Вызов"
При срабатывании выходного реле "Вызов" горит светодиод "ВЫЗОВ" на лицевой панели блока.
Сигнал "Вызов" выдается в следующих случаях:
при срабатывании ДТО или ДЗТ;
при отключении по сигналам "Внеш. защ. 1", "Внеш. защ. 2", "ГЗ Тр. откл.", "ГЗ РПН откл." или "УРОВП";
при подаче сигналов "Внеш. защ. на сигн. 1", "Внеш. защ. на сигн. 2" или "ГЗ Тр. сигн.";
при срабатывании защиты от перегрузки общей обмотки АТ;
при формировании сигнала "УРОВД";
при превышении в течение более 10 с любым из дифференциальных токов уставки сигнализации небаланса;
при обнаружении неисправности блока.
Возврат сигнала "Вызов" производится квитированием.
Квитирование сигнализации производится нажатием кнопки СБРОС на пульте блока в режиме управления "Местное", подачей соответствующей команды по каналу связи в режиме управления "Дистанционное" или подачей входного дискретного сигнала "Квитирование" независимо от режима управления.

Рисунок 31 - Функциональная схема алгоритма квитирования
Вспомогательные функции.
Измерение параметров сети. Блок обеспечивает измерение или вычисление:
токов фаз IA, IB, IC сторон ВН, СН и НН;
дифференциальных токов IdA, IdB, IdC;
токов торможения ITA, ITB, ITC (только при использовании программы "МТ Реле Монитор" или АСУ)
частоты F.
На дисплее в подменю "ПАРАМЕТРЫ СЕТИ" отображаются действующие значения первой гармонической составляющей фазных токов сторон ВН, СН и НН во вторичных значениях. Значения дифференциальных токов фаз А, В и С отображаются в кратностях к номинальному току стороны ВН силового трансформатора.
Измерение частоты производится при значениях фазных токов, превышающих 0,2 IПТН. В том случае, когда все токи имеют значение ниже указанного, на дисплей выводится надпись "F=??.??".
Регистрация параметров аварий. Блок обеспечивает регистрацию параметров девяти отключений. Параметры аварий отображаются на дисплее в подменю "АВАРИИ".
Осциллографирование аварийных событий. Блок фиксирует 15 осциллограмм мгновенных значений, каждая длительностью 2,1 с: 0,2 с до срабатывания защиты (предыстории) и 1,9 с аварийного процесса. В каждой осциллограмме фиксируется девять аналоговых и 48 дискретных сигнала.
Пуск осциллографа происходит по факту срабатывания защит блока, а также при подаче команды из программы "МТ Реле Монитор", по каналам АСУ, при подаче сигнала на дискретный вход "Пуск ОСЦ".
Состав регистрируемых аналоговых сигналов:
фазные токи стороны ВН (IA ВН, IВ ВН, IC ВН);
фазные токи стороны СН (IA СН, IВ СН, IC СН);
фазные токи стороны НН (IA НН, IВ НН, IC НН).
Состав регистрируемых дискретных сигналов содержится в файле осциллограммы аварийного события.
Связь с ПЭВМ и АСУ. В блоке предусмотрена возможность подключения ПЭВМ в соответствии со стандартами RS-232 или USB, а также включение блока в АСУ в качестве подсистемы нижнего уровня. Подключение к АСУ осуществляется в соответствии со стандартом RS-485.
5. Безопасность жизнедеятельности
Компоновка ОРУ 110 кВ, ОРУ 35 кВ и КРУ 6 кВ.
Технико-экономическую эффективность, надежность и удобство эксплуатации отдельных объектов подстанции определяют их конструктивные и компоновочные решения. В соответствии с выбранной структурной схемой на подстанции есть ОРУ 110 кВ, ОРУ 35 кВ и КРУ 6 кВ.
Оборудование ОРУ располагается таким образом, чтобы обеспечивались возможности выполнения монтажа и ремонта оборудования с применением машин и механизмов, транспортировки трансформаторов, проезда пожарных машин и передвижных лабораторий. Территория подстанции ограждается сетчатым забором высотой 1,8 м. Вспомогательные сооружения (масляное хозяйство, склады, здание ОПУ и т.п.), расположены на территории ОРУ и огорожены внутренним забором высотой 1,6 м.
Наименьшие расстояния от токоведущих частей до различных элементов ОРУ указаны в таблице 34 /1/.
Таблица 34
Наименьшие расстояния от токоведущих частей до различных элементов
|
Наименование расстояния |
Изоляционное расстояние, мм |
|
|
110 кВ |
35 кВ |
|
|
От токоведущих частей или от элементов оборудования и изоляции, находящихся под напряжением, до заземленных конструкций или постоянных внутренних ограждений высотой не менее 2 м. |
900 |
400 |
|
Между проводами разных фаз |
1000 |
440 |
|
От токоведущих частей или от элементов оборудования и изоляции, находящихся под напряжением, до постоянных внутренних ограждений высотой не менее 1,6 м, до габаритов транспортируемого оборудования |
1650 |
1150 |
|
Между токоведущими частями разных цепей в разных плоскостях при обслуживаемой нижней цепи и не отключенной верхней |
1650 |
1150 |
|
От не огражденных токоведущих частей до земли или кровли зданий при наибольшем провисании проводов |
3600 |
3100 |
|
Между токоведущими частями разных цепей в разных плоскостях, а так же между токоведущими частями разных цепей по горизонтали при обслуживании одной цепи или не отключенной другой, от токоведущих частей до верхней кромки внешнего забора, между токоведущими частями и зданиями или сооружениями |
2900 |
2400 |
|
От контакта и ножа разъединителя в отключенном положении до ошиновки, присоединенной ко второму контакту |
1100 |
485 |
По территории подстанции обеспечен проезд для автомобильного транспорта с улучшением грунтовой поверхности твердыми добавками и засевом трав. Автодороги с покрытием предусматриваются к следующим зданиям и сооружениям: порталу для ревизии трансформаторов, зданию ЗРУ-35кВ, выключателям ОРУ 110 кВ. Ширина проезжей части внутриплощадных дорог принята 3,5 м.
ОРУ 35 кВ выполнено подобно ОРУ 110 кВ. КРУ 6 кВ выполнено с двусторонним расположением ячеек КРУ. Все ячейки КРУ имеют механическую блокировку, которая исключает выкат тележки при включенном выключателе. КРУ расположено в отдельном здании, имеет два выхода, расположенные с противоположных торцов здания. Двери ЗРУ имеют самозакрывающиеся замки, открываемые без ключа со стороны РУ.
Арматура изоляторов ОРУ и шин подстанции окрашена в желтый, зеленый и красный цвета (соответственно фазам А, В, и С). Все кабели подстанции в местах присоединения имеют таблички с адресом, маркой и сечением.
Для обеспечения сохранности оборудования при авариях и пожарах, под силовыми трансформаторами выполнены маслоприемники с бортовым ограждением, заполненные гравием. Маслоприемники соединены с маслосборником, выполненным в виде подземного резервуара при помощи трубопровода. Для осмотра высоко расположенных частей трансформаторов установлены стационарные лестницы.
Электробезопасность на подстанции.
Электробезопасность система организационных и технических мероприятий, способов и средств, обеспечивающих защиту людей от вредного и опасного воздействия электрического тока, электрической дуги, электромагнитного поля, электромагнитного излучения, статического и атмосферного электричества.
Контроль изоляции в сетях 6-35 кВ.
Для защиты человека от поражения электрическим током и обеспечения нормальной работы электроустановок состояние изоляции было проверено после монтажа, ремонта и пребывания в нерабочем состоянии, а также в рабочем состоянии, под напряжением. В соответствии с ПУЭ в сетях 6-35 кВ предусмотрен автоматический контроль изоляции, действующий на сигнал при снижении сопротивления изоляции одной из фаз ниже заданного значения (рисунок 32), с последующим контролем асимметрии напряжения при помощи показывающего прибора (с переключением).
Рисунок 32. Принцип схемы контроля изоляции в сети 6(35) кВ
Устройства контроля подключаются к сети через группу однофазных трансформаторов типа ЗНОЛ.
Вторичные обмотки измерительных трансформаторов соединяются по схемам: (I)-звезда , (II)-разомкнутый треугольник. Обмотка I позволяет измерить напряжение всех фаз , II для контроля геометрической суммы напряжений всех фаз.
Нормально на зажимах обмотки II напряжение равно 0, поскольку равна 0 геометрическая сумма фазных напряжений всех трех фаз в сети с незаземленной нейтралью. При металлическом замыкании одной фазы в сети первичного напряжения на землю на зажимах обмотки II появляется напряжение, равное геометрической сумме напряжений двух неповрежденных фаз. Число витков обмотки II подбирается так, чтобы напряжение на ее выводах при металлическом замыкании фазы первичной сети на землю равнялось 100 В. При замыкании на землю через переходное сопротивление напряжение на обмотке II в зависимости от сопротивления в месте замыкания будет 0-100 В.
Реле напряжения, подключаемое к обмотке II , будет при соответствующей настройке реагировать на повреждение изоляции первичной сети и приводить в действие сигнальные устройства (звонок, табло).
Персонал электроустановки может проконтролировать напряжение небаланса (вольтметром V2) и установить поврежденную фазу (вольтметром V1 и переключателем SN). Напряжение в поврежденной фазе будет наименьшим.
Защитное зануление.
Зануление на подстанции «Костанайская» применяется в установках 220 и 380 В, работающих с глухозаземленной нейтралью. При коротком замыкании происходит отключение поврежденного оборудования автоматами и предохранителями. Схема зануления приведена на рисунке 33.
Рисунок 33. Схема зануления: НЗП нулевой защитный проводник; rо заземление нейтрали; rп повторное заземление
Сопротивление заземляющего устройства, к которому присоединены нейтрали трансформаторов, с учетом естественных и повторных заземлителей нулевого провода принимаем 4 и 8 Ом соответственно при междуфазных напряжениях 380 и 220 В, трехфазного источника питания и 220 и 127 В однофазного источника питания (ГОСТ 12.1.03081). При удельном электрическом сопротивлении “земли” выше 100 Омм допускается увеличение приведенной нормы сопротивления в /100 раз.
Ток плавкой вставки предохранителя определяется из условия:
. (10.1)
Молниезащита подстанции.
Молния это электрический разряд в атмосфере между заряженным облаком и землей или между разноименно заряженными частями облака. Защита от прямых ударов молнии обеспечивается молниеотводами. На данной подстанции будем использовать стержневые молниеотводы, которые состоят из четырех конструктивных элементов: молниеприемника 1, несущей конструкции 2, токоотвода 3 и заземлителя 4 (рисунок 34).
Рисунок 34. Конструкция стержневого молниеотвода
Молниеприемник непосредственно воспринимает прямой удар молнии, поэтому он должен надежно противостоять механическим и тепловым воздействиям тока и высокотемпературного канала молнии. Падение молниеотвода на токоведущие элементы электроустановки может вызвать тяжелую аварию, поэтому несущая конструкция молниеотвода имеет высокую механическую прочность, которая исключает подобные случаи при эксплуатации оборудования.
Для данного района характерное количество грозовых часов в году 40…60, поэтому по требованиям ПУЭ установлено четыре молниеотвода (рисунок 35). Они установлены на порталах и осветительных вышках подстанции.
4 стержневой молниеотвод; 2 зона защиты молниеотвода;
3 сечение зоны защиты на высоте hx от земли.
Рисунок 35 Молниезащита подстанции
Металлоконструкции порталов используются в качестве токоотводов. Молниеотводы устанавливаются таким образом, чтобы при минимальном числе молниеотводов обеспечить защиту ОРУ от прямых ударов молнии.
Необходимое условие защищенности всей площади ОРУ /14/:
, (10.5)
где
диагональ прямоугольника в вершинах которого расположены молниеотводы, м.
р коэффициент для разных высот молниеотвода, р = 1, при h 30м; р =
, при h > 30м;
м высота защищаемого объекта;
высота молниеотвода.
Диагональ прямоугольника в вершинах которого расположены молниеотводы можно найти как:
, (10.6)
где а = 54, b =72 м соответственно длина и ширина площади, занимаемой распределительным устройством.
м.
Все объекты будут защищены, если активная высота молниеотвода /14/:
м,
Высота молниеотвода равна /14/:
, (10.7)
где
м высота защищаемого объекта;
м.
Тогда:
; (10.8)
м.
Зона защиты молниеотвода /14/:
; (10.9)
м.
Проверим условие защищенности всей площади ОРУ:
;
условие выполняется.
Рисунок 36. Зона молниезащиты на высоте
Следовательно для ОРУ используем для защиты от прямых ударов молний четыре молниеотвода, два их которых расположены на линейных порталах, а два совмещены с прожекторными мачтами.
Кроме установленных молниеотводов установим еще один для защиты силового трансформатора на прожекторе, расположенном недалеко от него, так как трансформатор не входит в зону их действия.
Молниезащита ЗРУ 6 кВ выполнена в виде молниеприемной сетки, которая выполнена из стальной проволоки диаметром 6 мм и уложена на кровлю сверху. Шаг ячеек сетки 6х6 м. Узлы сетки соединены сваркой. Выступающие над крышей металлические элементы присоединены к молниеприемной сетке, а выступающие неметаллические элементы оборудованы дополнительными молниеприемниками, также присоединенными к молниеприемной сетке /14/.
Молниезащита подстанции.
Заземляющее устройство является составной частью электроустановки и предназначено для обеспечения необходимого уровня электробезопасности в зоне обслуживания электроустановки и за ее пределами, для отвода в землю импульсов токов с молниеотводов, для создания цепи при работе защиты от замыканий на землю и для стабилизации напряжения фаз электрической сети относительно земли.
В целях выравнивания потенциала и обеспечения присоединения электрооборудования к заземлителю на территории, занятой оборудованием, осуществлена прокладка продольных и поперечных горизонтальных заземлителей соединенных между собой в заземляющую сетку. Расстояние между продольными и поперечными заземлителями не превышает 30м /1/.
Напряжение на заземляющем устройстве при стекании с него тока замыкания на землю не превышает 6 кВ /1/. Для вертикальных электродов применяется прутковая сталь круглого сечения 10…12мм и длиной до 10м. Для горизонтальных электродов используется сталь круглого сечения диаметром не менее 6мм.
Размещение заземляющего устройства на подстанции приведено на рисунке 37.
Рисунок 37. План а) и разрез б) заземляющего устройства ОРУ
1 ограждение подстанции; 2 площадь, занятая оборудованием; 3 заземляющий контур; l длина вертикальных заземлителей; t глубина заложения заземлителей; h1 толщина верхнего слоя грунта.
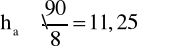
Рассчитаем заземляющее устройство для ОРУ площадью Sору = 4000м2. Удельное сопротивление верхнего слоя грунта 1 = 500Ом/м (с учетом промерзания), при h1 = 2м; удельное сопротивление нижнего слоя грунта 2 = 100Ом/м. Глубина заложения t = 0,7м; длина вертикального заземлителя lз = 5м; расстояние между вертикальными заземлителями а = 10м.
Определим длительность воздействия электрического тока:
(10.10)
с.
При в = 0,2 с наибольшее допустимое напряжение прикосновения Uпр = 400В /2/.
Коэффициент прикосновения найдем по формуле:
(10.11)
где S площадь заземляющего устройства, м2;
Lг длина горизонтальных заземлителей, м;
а расстояние между вертикальными заземлителями, м;
М коэффициент, зависящий от соотношения 1/2;
коэффициент, определяемый по сопротивлению тела человека Rч, и сопротивлению растекания тока от ступней Rc.
(10.12)
В расчетах принимают Rч = 1000Ом, Rc = 1,51 = 1,5500 = 750Ом /2/.

При значении 1/2 = 5 получим М = 0,75 /2/.
При среднем расстоянии между горизонтальными заземлителями 10м их дина составит Lг = 520м.

Потенциал на земле равен:
< 10кВ (в пределах допустимого).
Сопротивление заземляющего устройства:
, (10.13)
где Iз ток, стекающий с заземлителя заземляющего устройства при однофазном коротком замыкании.
Iз = 6,22 кА ( расчет к.з. в программе Токо).
Ом.
Действительный план заземляющего устройства преобразуем в расчетную модель со стороной:
м.
Число ячеек по стороне квадрата:
; (10.14)
.
Примем m = 5.
Длина полос в расчетной модели:
(10.15)
м.
Определим число вертикальных заземлителей по периметру контура при а/lв=2:
, (10.16)
.
Примем 18 вертикальных заземлителей.
Общая длина вертикальных заземлителей:
(10.17)
м.
Относительная глубина:
> 0,1, тогда
(10.18)

По таблице /2/ при 1/2 = 5, а/lв = 2;
.
определяем э/2 = 1,45, тогда э = 1,4590 = 130,5Омм.
Общее сопротивление сложного заземлителя:
(10.19)
Ом.
Полученное значение общего сопротивления заземлителя больше допустимого (Rз.доп = 0,32Ом).
Напряжение прикосновения:
U = kпIзRз (10.20)
U = 0,256,221,2 = 1,8 кВ (> 400В).
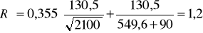
Для снижения Uпр применим подсыпку гравия слоем гравия толщиной 0,2м в рабочих местах. Удельное сопротивление верхнего слоя (гравия) в этом случае будет в,с = 3000Омм, тогда:
;

;

U = 0,066,220,82 = 307В (< 400В).
Что в пределах допустимого значения.
6. Экономическая часть
Расчет временных параметров СГ
Составление индивидуального перечня работ и построение СГ
Построим сетевой график и заполним таблицу 36.
Рисунок 39. Сетевой график
Таблица 36
Перечень, параметры и вероятностные характеристики работ СГ
|
Код |
Наименование работы |
Продолжительность, дн |
Исполнители, чел |
Ср.квадр. отклонение |
Дисперсия |
||||
|
мин. |
макс. |
ожид. |
руков. |
инж. |
лаб. |
||||
|
0,1 |
Получение задания на дипломное проектирование |
1 |
2 |
2 |
1 |
1 |
0 |
0,2 |
0,04 |
|
1,2 |
Подбор литературы |
4 |
7 |
5 |
1 |
1 |
2 |
0,6 |
0,36 |
|
1,3 |
Подбор технической документации |
3 |
5 |
4 |
1 |
0 |
3 |
0,4 |
0,16 |
|
1,4 |
Поиск подобных подстанций, которые уже построены или спроектированы |
6 |
9 |
7 |
1 |
0 |
3 |
0,6 |
0,36 |
|
2,4 |
Анализ литературы |
4 |
7 |
5 |
1 |
1 |
2 |
0,6 |
0,36 |
|
3,4 |
Анализ технической документации |
4 |
7 |
5 |
1 |
1 |
1 |
0,6 |
0,36 |
|
4,5 |
Анализ существующей схемы подстанции и установленного оборудования |
2 |
5 |
3 |
1 |
1 |
1 |
0,6 |
0,36 |
|
5,8 |
Выбор числа и мощности трансформаторов |
3 |
5 |
4 |
1 |
1 |
1 |
0,4 |
0,16 |
|
8,10 |
Выбор схемы электрических соединений на стороне ВН, СН и НН |
2 |
5 |
3 |
1 |
1 |
2 |
0,6 |
0,36 |
|
4,6 |
Расчет токов нагрузки в нормальном и утяжеленном режимах |
3 |
5 |
4 |
1 |
1 |
1 |
0,4 |
0,16 |
|
6,7 |
Расчет токов КЗ |
2 |
5 |
3 |
1 |
1 |
2 |
0,6 |
0,36 |
|
7,9 |
Выбор коммутационной аппаратуры и токоведущих частей |
1 |
2 |
2 |
1 |
1 |
2 |
0,2 |
0,04 |
|
9,10 |
Выбор трансформаторов тока и напряжения, измерительных приборов, приборов контроля и учета электроэнергии |
2 |
5 |
3 |
1 |
1 |
1 |
0,6 |
0,36 |
|
10,11 |
Выбор источника оперативного тока |
6 |
9 |
7 |
1 |
2 |
1 |
0,6 |
0,36 |
|
11,13 |
Анализ имеющихся средств РЗиА, систем управления, сигнализации и учета электроэнергии |
3 |
5 |
4 |
1 |
0 |
3 |
0,4 |
0,16 |
|
10,12 |
Выбор структурных схем АСУ ТП, средств управления и сигнализации |
6 |
9 |
7 |
1 |
2 |
1 |
0,6 |
0,36 |
|
12,13 |
Экономическая часть |
2 |
5 |
3 |
1 |
2 |
1 |
0,6 |
0,36 |
|
13,14 |
Безопасность жизнедеятельности |
4 |
7 |
5 |
1 |
0 |
2 |
0,6 |
0,36 |
|
14,15 |
Оформление пояснительной записки и графической части |
5 |
8 |
6 |
1 |
1 |
1 |
0,6 |
0,36 |
Ожидаемая продолжительность работы
в СГ рассчитывается по принятой двухоценочной методике, исходя из минимальной
мин. и максимальной
макс. оценок продолжительности, задаваемых ответственным исполнителем каждой работы. При этом предполагается, что минимальная оценка соответствует наиболее благоприятным условиям работы, а максимальная - наиболее неблагоприятным. Ожидаемая продолжительность каждой работы определяется по формуле:
(11.1)
Среднеквадратическое отклонение
продолжительности в двухоценочной методике рассчитывается по формуле:
. (11.2)
Дисперсия определяется по формуле:
. (11.3)
Расчёт параметров событий сетевого графика
Ранний срок свершения исходного (нулевого) события СГ принимается равным нулю. Ранний срок свершения данного промежуточного события рассчитывается путём сравнения сумм, состоящих из раннего срока свершения события, непосредственно предшествующего данному и длительности работы. Так как данное событие не может свершиться, пока не закончится последняя из непосредственно предшествующих ему работ, очевидно, что в качестве раннего срока свершения события принимается максимальная из сравниваемых сумм.
Рассчитанный таким способом ранний срок свержения завершающего события всего СГ принимается в качестве его же позднего срока свершения. Это означает, что завершающее событие СГ никаким резервом времени не располагает.
Поздний срок свершения данного промежуточного события определяется при просмотре СГ в обратном направлении. Для этого сопоставляются разности между поздним сроком свершения события, непосредственно следующего заданным, и продолжительности работы, соединяющей соответствующее событие с данным. Так как ни одна из непосредственно следующих за данным событием работ не может начаться, пока не свершится само данное событие, очевидно, его поздний срок свершения равен минимуму из подсчитанных разностей.
Правильность расчета поздних сроков свершения событий СГ подтверждается получением нулевого позднего срока свершения исходного события.
Резерв времени образуется у тех событий, для которых поздний срок свершенная больше раннего, и он равен их разности. Если же эти сроки равны, событие резервом времени не располагает и, следовательно, лежит на критическом пути.
Таблица 37
Параметры событий сетевого графика
|
Номер события |
Сроки свершения |
Резерв времени |
|
|
ранний |
поздний |
||
|
0 |
0 |
0 |
0 |
|
1 |
2 |
2 |
0 |
|
2 |
7 |
7 |
0 |
|
3 |
6 |
7 |
1 |
|
4 |
12 |
12 |
0 |
|
5 |
15 |
17 |
2 |
|
6 |
16 |
16 |
0 |
|
7 |
19 |
19 |
0 |
|
8 |
19 |
21 |
2 |
|
9 |
21 |
21 |
0 |
|
10 |
24 |
24 |
0 |
|
11 |
31 |
31 |
0 |
|
12 |
31 |
32 |
1 |
|
13 |
35 |
35 |
0 |
|
14 |
40 |
40 |
0 |
|
15 |
46 |
46 |
0 |
Расчёт параметров работ сетевого графика
Ранний срок начала работы
совпадает с ранним сроком свершения её начального события.
Поздний срок начала работы
можно получить, если из позднего срока свершения её конечного события вычесть её ожидаемую продолжительность.
Ранний срок окончания работы
образуется прибавлением её продолжительности к раннему сроку свершения её начального события.
Поздний срок окончания работы
совпадает с поздним сроком свершения её конечного события.
Для всех работ критического пути, как не имеющих резервов времени, ранний срок начала совпадает с поздним сроком начала, а ранний срок окончания с поздним сроком окончания.
Работы, не лежащие на критическом пути, обладают резервами времени.
Полный резерв времени работы
образуется вычитанием из позднего срока свершения её конечного события раннего срока свершения её начального события и её ожидаемой продолжительности.
Частный резерв времени первого рода
равен разности поздних сроков свершения её конечного и начального событий за вычетом её ожидаемой продолжительности.
Частный резерв времени второго рода
равен разности ранних сроков свершения ее конечного и начального событий за вычетом её ожидаемой продолжительности.
Свободный (независимый) резерв времени работы
образуется вычитанием из раннего срока свершения её конечного события позднего срока свершения её начального события и её ожидаемой продолжительности. Свободный резерв времени может быть отрицательным.
Таблица 38
Параметры работ сетевого графика в днях
|
Код работы |
Ожидаемая продолжительность |
Сроки начала |
Сроки окончания |
Резервы времени |
Коэффициент напряженности |
|||||
|
ранний |
поздний |
ранний |
поздний |
полный |
Частный первого рода |
Частный второго рода |
свободный |
|||
|
0,1 |
2 |
0 |
0 |
2 |
2 |
0 |
0 |
0 |
0 |
1 |
|
1,2 |
5 |
2 |
2 |
7 |
7 |
0 |
0 |
0 |
0 |
1 |
|
1,3 |
4 |
2 |
3 |
6 |
7 |
1 |
1 |
0 |
0 |
0,9 |
|
1,4 |
7 |
2 |
5 |
9 |
12 |
3 |
3 |
3 |
3 |
0,7 |
|
2,4 |
5 |
7 |
7 |
12 |
12 |
0 |
0 |
0 |
0 |
1 |
|
3,4 |
5 |
6 |
7 |
12 |
12 |
1 |
0 |
1 |
0 |
0,9 |
|
4,5 |
3 |
12 |
14 |
17 |
17 |
2 |
2 |
0 |
0 |
0,83 |
|
4,8 |
8 |
12 |
13 |
20 |
21 |
1 |
1 |
1 |
1 |
0,83 |
|
8,10 |
3 |
19 |
21 |
22 |
24 |
2 |
0 |
2 |
0 |
0,83 |
|
4,6 |
4 |
12 |
12 |
16 |
16 |
0 |
0 |
0 |
0 |
1 |
|
6,7 |
3 |
16 |
16 |
19 |
19 |
0 |
0 |
0 |
0 |
1 |
|
7,9 |
2 |
19 |
19 |
21 |
21 |
0 |
0 |
0 |
0 |
1 |
|
9,10 |
3 |
21 |
21 |
24 |
24 |
0 |
0 |
0 |
0 |
1 |
|
10,11 |
7 |
24 |
24 |
31 |
31 |
0 |
0 |
0 |
0 |
1 |
|
11,13 |
4 |
31 |
31 |
35 |
35 |
0 |
0 |
0 |
0 |
1 |
|
10,12 |
7 |
24 |
25 |
32 |
32 |
1 |
1 |
0 |
0 |
0,91 |
|
12,13 |
3 |
31 |
32 |
34 |
35 |
1 |
0 |
1 |
0 |
0,91 |
|
13,14 |
5 |
25 |
35 |
40 |
40 |
0 |
0 |
0 |
0 |
1 |
|
14,15 |
6 |
40 |
40 |
46 |
46 |
0 |
0 |
0 |
0 |
1 |
Правильность расчётов резервов времени работы можно проверить последующим соотношениям:
1) сумма полного и свободного резерва работы равна сумме двух частных её резервов;
2) поздний и ранний сроки начала работы, а также поздний и ранний сроки её окончания всегда отличаются на величину её полного резерва.
Для работ, лежащих на критическом пути, никаких резервов времени нет и, следовательно, коэффициент напряженности
таких работ равен единице. Для остальных работ
подсчитывается как отношение суммы продолжительностей отрезков максимального пути, проходящего через данную работу, не совпадающих с критическим путём к сумме продолжительностей отрезков критического пути, не совпадающих с максимальным путём, проходящим через эту работу.
Расчет стоимостных параметров СГ
Для ИНЖ коэффициент перерасчёта
=1, для научных сотрудников он будет 1,5, а для лаборантов 0,5 согласно таблице 39.
Таблица 39
Должностные оклады персонала НИИ и КБ.
|
Категория персонала |
Месячный должностной оклад, тг./мес. |
|
Научные сотрудники |
75000 |
|
Инженеры |
50000 |
|
Лаборанты |
25000 |
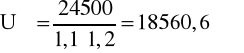
Сметную стоимость работы можно упрощённо подсчитать, зная её приведённую трудоёмкость в ИНЖ-днях и среднюю стоимость одного ИНЖ-дня,
. Последняя складывается из затрат, представленных в укрупнённом виде в таблицах 5 и 6.
Среднедневная заработная плата одного инженера рассчитывается, делением среднемесячной заработной платы одного инженера (основной и дополнительной) на среднее число рабочих дней в месяце, установленное в законодательном порядке.
Таблица 40
Средне-дневная зарплата инженера
|
Наименование |
Соотношение затрат |
В денежном эквиваленте, тенге |
|
Основная з/п, Зосн |
Прямой расчёт |
50000 |
|
Дополнительная з/п, Здоп |
(0,1…0,12)Зосн |
5000 |
|
Единый социальный налог |
0,26(Зосн + Здоп) |
15000 |
|
Фонд травматизма |
0,002(Зосн + Здоп) |
2000 |
|
В год |
864000 |
|
|
В месяц |
72000 |
Таблица 41
Средне-дневные прочие затраты
|
Наименование |
Соотношение затрат |
В денежном эквиватенте, тенге |
|
Стоимость материалов, покупных изделий и полуфабрикатов, См |
(0,15…0,75)Зосн= = 0,45Зосн |
4500 |
|
Накладные расходы, Нр |
(0,45…0,85)Зосн= = 0,65Зосн |
30500 |
|
Командировочные расходы, Кр |
(0,15…0,2)Зосн = =0,15Зосн |
7500 |
|
Контрагентские услуги сторонних организаций, Ку |
(0,2…0,5)Зосн = =0,35Зосн |
15500 |
|
Стоимость оборудования и приборов, Со |
(0,4…0,6)Зосн = =0,5Зосн |
25000 |
|
В год |
000 |
|
|
В месяц |
954,55 |
Таблица 42
Трудоемкость и сметная стоимость работ СГ
|
Код работы |
Ожидаемая продолжительность, дн |
Категория персонала |
Приведенная численность, инж |
Приведенная трудоемкость, инж-дн |
Средне-дневная з/п инж, руб/дн |
Средне-дневные прочие затраты, руб/дн |
Стоимость одного инж-дня, руб/дн |
Сметная стоимость, руб |
||
|
НС |
ИНЖ |
Лаб |
||||||||
|
0,1 |
2 |
1 |
1 |
0 |
20,5 |
5 |
631 |
954,55 |
1585,55 |
7927,75 |
|
1,2 |
5 |
1 |
1 |
2 |
30,5 |
17,5 |
27747,13 |
|||
|
1,3 |
4 |
1 |
0 |
3 |
3 |
12 |
19026,6 |
|||
|
1,4 |
7 |
1 |
0 |
3 |
3 |
21 |
33296,55 |
|||
|
2,4 |
5 |
1 |
1 |
2 |
30,5 |
17,5 |
27747,13 |
|||
|
3,4 |
5 |
1 |
1 |
1 |
3 |
15 |
23783,25 |
|||
|
4,5 |
3 |
1 |
1 |
1 |
3 |
9 |
14269,95 |
|||
|
4,8 |
8 |
1 |
1 |
1 |
3 |
24 |
38053,2 |
|||
|
8,10 |
3 |
1 |
1 |
2 |
30,5 |
10,5 |
16648,28 |
|||
|
4,6 |
4 |
1 |
1 |
1 |
3 |
12 |
19026,6 |
|||
|
6,7 |
3 |
1 |
1 |
2 |
30,5 |
10,5 |
16648,28 |
|||
|
7,9 |
2 |
1 |
1 |
2 |
30,5 |
7 |
11098,85 |
|||
|
9,10 |
3 |
1 |
1 |
1 |
3 |
9 |
14269,95 |
|||
|
10,11 |
7 |
1 |
2 |
1 |
4 |
28 |
44395,4 |
|||
|
11,13 |
4 |
1 |
0 |
3 |
3 |
12 |
19026,6 |
|||
|
10,12 |
7 |
1 |
2 |
1 |
4 |
28 |
44395,4 |
|||
|
12,13 |
3 |
1 |
2 |
1 |
4 |
12 |
19026,6 |
|||
|
13,14 |
5 |
1 |
0 |
2 |
2,5 |
12,5 |
19819,38 |
|||
|
14,15 |
6 |
1 |
1 |
1 |
3 |
18 |
28539,9 |
|||
|
Итого |
444746,8 |
- Экология. Охрана окружающей среды
Все стороны деятельности человечества, и в том числе природоохранная деятельность, неразрывно связаны с производством и потреблением энергии, прежде всего электрической. Однако резкий рост темпов развития энергетики, без которого пока что немыслим научно-технический прогресс, ставит две важнейшие проблемы, от успешного решения которых во многом зависит будущее человечества.
Во-первых, это проблема обеспеченности энергетическими ресурсами, во-вторых, проблема влияния энергетики на состояние окружающей среды.
Энергетика является одной из самых загрязняющих отраслей народного хозяйства. При неразумном подходе происходит нарушение нормального функционирования всех компонентов биосферы (воздуха, почвы, воды, животного и растительного мира), а в исключительных случаях, подобных Чернобылю, под угрозой оказывается и сама жизнь. Поэтому главным должен стать подход с экологических позиций, учитывающий интересы не только настоящего, но и будущего.
Воздействия современных предприятий, в частности энергетических на природную среду, как правило, носит комплексный характер, поскольку в технологических процессах современных производств находят применение физико-механические, физико-химические и химико-биологические процессы. Выявление и определение их качественных и количественных характеристик позволяет характеризовать функционирование природно-промышленных систем и по экологическим показателям, воздействующим на природную среду. Воздействия могут протекать в открытой и скрытой формах. Так. для открытых форм воздействий характерны выбросы (в атмосферу), сбросы (в гидросферу и литосферу) а для закрытых поля электромагнитных и ионизирующих излучений, микроконцентрации вредных веществ, как то бенз(а)пирен, диоксины и др., находящиеся в выбросах производств в окружающую среду.
Воздействия производства на природную среду проявляются в природных компонентах в виде нарушений или загрязнения. Особо следует подчеркнуть тот факт, что человек в процессе техногенеза сам оказался объектом, который в первую очередь испытывает на себе последствия антропогенной негативной деятельности, проявляющейся в нарушениях и загрязнениях природной среды.
Определить воздействия объектов энергетики на природную среду и нооценозы можно по выбросам вредных веществ в атмосферу, сбросам в гидросферу, загрязнению и нарушениям в литосфере, а также шумовому, электромагнитному и ионизирующему излучению и др. показателям. При этом необходимы точные сведения по каждому источнику выработки энергии, например, по количеству отработавшего топлива атомных электростанций, о технологиях захоронения радиоактивных отходов и их контроле, о количествах токсичных тяжелых металлов, выбрасываемых в атмосферу при сжигании многих видов угля и мазута, оксидах серы и азота, диоксинах, бенз(а)пирене, токсичных показателях продукции безотходных производств и др. Говоря об альтернативных источниках энергии, необходимо четко анализировать и альтернативные виды отходов и их токсичность, а также ущербы, наносимые ими природной среде, обществу и средствам труда.
Взаимодействие энергетического предприятия с окружающей средой происходит на всех стадиях добычи и использования топлива, преобразования и передачи энергии.
Одним из факторов воздействия угольных ТЭС на окружающую среду являются выбросы систем складирования топлива, его транспортировки, пылеприготовления и золоудаления. При транспортировке и складировании возможно не только пылевое загрязнение, но и выделение продуктов окисления топлива. По-разному (в зависимости от принятой системы золошлакоудаления) воздействует на окружающую среду удаление шлака и золы.
Распространение перечисленных выбросов в атмосферу зависит от рельефа местности, скорости ветра, перегрева их по отношению к температуре окружающей среды, высоты облачности, фазового состояния осадков и их интенсивности. Так, крупные градирни в системе охлаждения конденсаторов ТЭС существенно увлажняют микроклимат в районе станции, способствуют образованию низкой облачности, туманов, снижению солнечной освещенности, вызывают моросящие дожди, а в зимнее время иней и гололед. Взаимодействие выбросов с туманом приводит к образованию устойчивого сильно загрязненного мелкодисперсного облака смога, наиболее плотного у поверхности земли. Одним из видов воздействия ТЭС на атмосферу является все возрастающее потребление воздуха, необходимое для сжигания топлива.
Основными факторами воздействия ТЭС на гидросферу являются выбросы теплоты, следствиями которых могут быть: постоянное локальное повышение температуры в водоеме; временное повышение температуры; изменение условий ледостава, зимнего гидрологического режима; изменение условий паводков; изменение распределения осадков, испарений, туманов. Наряду с нарушением климата тепловые выбросы приводят к зарастанию водоемов водорослями, нарушению кислородного баланса, что создает угрозу для жизни обитателей рек и озер.
Основными факторами воздействия ТЭС на литосферу являются осаждение на ее поверхности твердых частиц и жидких растворов продуктов выбросов в атмосферу, потребление ресурсов литосферы в том числе вырубка лесов, добыча топлива, изъятие из сельскохозяйственного оборота пахотных земель и лугов под строительство ТЭС и для устройства золоотвалов. Следствием этих преобразований является изменение ландшафта.
Гидроэлектростанции (ГЭС) также оказывают существенное влияние на природную среду, которое проявляется как в период строительства, так и при эксплуатации. Сооружение водохранилищ перед плотиной ГЭС приводит к затоплению значительной прилегающей территории (лесных и сельскохозяйственных земель, жилых поселков, месторождений полезных ископаемых) и влияет на рельеф побережья в районе сооружения ГЭС, особенно при ее строительстве на равнинных реках. Изменение гидрологического режима и затопление территорий вызывает изменения гидрохимического и гидробиологического режимов водных масс. При интенсивном испарении влаги с поверхности водохранилищ возможны локальные изменения климата: повышение влажности воздуха, образование туманов, усиление ветров и т. п.
Специфичны изменения термического режима водных масс водохранилищ и воды, поступающей в нижний бьеф. Так, при глубинном заборе воды в нижний бьеф будет поступать холодная вода, Которая может угнетать там теплолюбивые растения и микроорганизмы, служащие питательной средой для подводного животного мира, что может привести к изменению видового состава ихтиофауны.
Сооружение ГЭС существенно влияет на ледовый режим водных масс: на сроки ледостава, толщину ледяного покрова и т. п.
При сооружении крупных водохранилищ ГЭС создаются условия для развития сейсмической активности, что обусловлено возникновением дополнительной нагрузки на земную кору и интенсификацией тектонических процессов.
Основной особенностью атомной станции является наличие ядерного реактора, в котором обеспечиваются поддержание регулируемой цепной реакции деления ядер атомов урана, тория и плутония и преобразование энергии, освобождающейся при этой реакции, в теплоту.
При нормальной эксплуатации АЭС дают значительно меньше вредных выбросов в атмосферу, чем ТЭС, работающие на органическом топливе. Так, работа АЭС не влияет на содержание кислорода и углекислого газа в атмосфере, не меняет ее химического состояния. Основными факторами загрязнения окружающей среды здесь выступают радиационные показатели. Радиоактивность контура ядерного реактора обусловлена активацией продуктов коррозии и проникновением продуктов деления в теплоноситель, а также наличием трития. Наведенной активности подвергаются практически все вещества, взаимодействующие с радиоактивными излучениями. Прямой выход радиоактивных отходов ядерных реакций в окружающую среду предотвращается многоступенчатой системой радиационной защиты.
Воздействие воздушных линий электропередач (ВЛ) на окружающую среду связано с отчуждением земли, сокращением сельскохозяйственных, лесных и охотничьих угодий (табл. 4.1). ВЛ нарушают целостность полей и кормовых угодий, способствуют росту сорняков, создают помехи для обработки полей с воздуха, применения агротехники, орошения. Особенно большой ущерб наносится лесным угодьям, поскольку просеки под трассами линий полностью выводятся из хозяйственного оборота, увеличивается лесоповал (вдоль трасс линий). Периодические (1 раз в 5 лет) расчистки трасс линий механическим путем и с помощью гербицидов выводят из процесса воспроизводства кислорода в атмосферу Земли тысячи гектаров лесных угодий.
Таблица 4.1
Характеристика воздушных линий электропередач
|
Напряжение, кВ |
||||
|
220 |
330 |
500 |
750 |
1150 |
|
|
Протяженность ВЛ, тыс. км. |
116,4 |
29,4 |
38,1 |
0,2 |
1,3 |
|
Расстояние между крайними проводами, м |
14 |
18,5 |
3,5 |
40 |
47 |
|
Ширина просеки, м |
54 |
58,5 |
63,5 |
80 |
87 |
|
Отчуждение земли в лесных массивах, тыс. га. * |
300 |
84 |
120 |
25 |
6 |
* При условии, что половина трассы ВЛ проходит в лесном массиве.
Электрические поля под линиями вызывают накопление зарядов и повышение потенциала по отношению к земле на изолированных от земли телах, в том числе на теле человека, в обуви, на теле копытных животных, на корпусах механизмов на резиновом ходу. Повышенный потенциал на теле человека и животных приводит к возникновению разрядов с тела на траву или ветви кустарников. Из-за малости токов такие разряды не опасны для организмов, однако они вызывают неприятные ощущения и могут стать причинами травмы вторичного характера вследствие потери внимания, нескоординированных, непроизвольных движений, испуга и т. п.
Система мер по снижению ущерба от ВЛ состоит из двух групп мероприятий.
1. Совершенствование конструкций воздушных линий электропередач с целью уменьшения площади, отчуждаемой под трассы линий, увеличения их пропускной способности и ограничения напряженности электрического поля под проводами линий.
Для реализации этих задач могут быть использованы следующие технические решения: уменьшение межфазных расстояний за счет проведения мероприятий по снижению расчетной кратности перенапряжения; применение тросов биозащиты; переход от традиционных к компактным линиям электропередач повышенной пропускной способности и сниженного экологического влияния; применение комбинированных электропередач, выполненных как многоцепнные электропередачи по типу «цепь под цепью» при условии сдвига векторов напряжения верхней и нижней цепей относительно друг друга; использование растительных массивов для обеспечения экологической безопасности линий.
3. Рациональное использование трасс линий электропередач: рекультивация и окультуривание земель, отведенных под трассу, с целью вовлечения их в сельскохозяйственный оборот, передача пользователям под покосы, для разведения овощных культур, под парниковое хозяйство; передача земель пользователям для созданий плантаций новогодних елок, выращивания технических и плодово-ягодных культур, а также кустарников, ветки которых систематически подрезаются и используются как корм для скота; передача земли для строительства ферм по разведению кур, уток, кроликов, нутрий и т. п.; передача земли под садовое строительство с соблюдением правил по сооружению жилых построек вблизи трасс ВЛ.
Акустический шум, влияющий на экологическую обстановку на трассе воздушных линий электропередач сверхвысокого напряжения (ВЛ СВН), является проявлением звукового эффекта интенсивной короны, особенно при дожде.
Вредное воздействие магнитного поля проявляется только при его допустимой напряженности при нахождении в 1,0-1,5 м от проводов фазы линий, т. е. опасно только при работах под напряжением.
Для персонала линий и подстанций СВН приняты следующие нормативы:
Допустимая напряженность 5 10 15 20 25
электрического поля, кВ/м
Допустимая продолжительность Нет 180 90 10 5
пребывания персонала, мин./сут.
Выполнение этих условий для ВЛ СВН с применением указанных выше средств защиты обеспечивает самовосстановление физиологического состояния организма в течение суток без остаточных реакций и функциональных или патологических изменений. На подстанциях СВН обеспечение допустимых напряженностей электрического поля достигается применением мер по экранированию рабочих мест.
Для персонала посторонних организаций и местного населения установлены следующие нормативы: 20 кВ/м для труднодоступной местности; 15 кВ/М для ненаселенной местности. Кроме того, нормируется допустимая напряженность на границах жилых застроек 0,5 кВ/м, что допускает пребывание человека в электрическом поле по 24 часа в сутки.
Кроме указанных экологических воздействий, ВЛ являются также источником возникновения радиопомех и помех в высоковольтных каналах связи ВЛ. На их уровень влияют конструктивные параметры проводов, погодные условия и состояние поверхности проводов.
Особое место в экологии занимают экспертные оценки, в основу которых положены теоретические исследования и конкретная экспериментальная информация о состоянии различных компонентов в сообществах нообиогеоценозов, получения как лабораторными, так и натурными исследованиями.
Основной целью экспертных оценок, называемых чаще всего инженерно-экологической экспертизой, является всесторонняя оценка воздействия предприятия на природную среду, как на стадии утверждения проекта, функционирования предприятия, так и при его расширении, составление заключения и выработка решения для утверждения или отклонения проекта, дальнейшего функционирования предприятия, ограничения масштабов выпускаемой продукции или ликвидации; принуждение к установке или применению новых природоохранных мероприятий, модернизации существующих.
Инженерно-экологическая экспертиза выявляет вероятные экологические последствия строительства, функционирования и расширения предприятия в сравнении с желательным и допустимым состоянием природной и окружающей человека среды. Предприятие не должно сверхнормативно воздействовать на природную и окружающую человека среду, не должно препятствовать собственной работе и функционированию близлежащих предприятий, нарушал через окружающую их природную среду ход технологических процессов, наносить ущерб здоровью населения.
Инженерно-экологическая экспертиза включает оценку долговременного воздействия предприятия на природные ресурсы, природные Условия, факторы дальнейшего развития народного хозяйства и условия жизни людей обычно локального участка местности.
Проекты локального уровня (строительство отдельных небольших предприятий, электростанций, осушение болот, распашка земель и т.п.) подлежат отраслевой или территориальной экспертизе лишь в части разделов "Охрана природы". Целью этой экспертизы является оценка полноты представленного материала, правильности и точности выполненных обоснований и расчетов, убедительности принятых решений.
Заключение
1. В процессе разработки данного дипломного проекта была проведена следующая работа:
Проведен анализ имеющихся схем релейной автоматики для защиты от коммутационных перенапряжений. Анализ позволил сделать вывод о необходимости замены существующих схем на более совершенные и современные, а также необходимость внедрения новых технологических разработок в области релейной защиты и автоматики.
2. Сделан теоретический расчет уставок РЗиА.
3. Предложено новое конструктивное решение по замене существующей схемы.
4 Затраты на приобретение комплектующих для новых устройства окупятся за 12 мес.
5. Экономическая эффективность проекта составит 1447000 тенге в год.
СПИСОК ИСПОЛЬЗОВАННОЙ ЛИТЕРАТУРЫ
1.Правила устройства электроустановок. СПб.: ДЕАН, 2001.
2. Нормы технологического проектирования подстанций переменного тока с высшим напряжением 35-750 кВ (НТП ПС) СТО 56947007-29.240.10.028-2009. ОАО «ФСК ЕЭС».
3. Стандарт предприятия. Курсовое и дипломное проектирование. Общие требования к оформлению. СТП ЮУрГУ 04-2001. Челябинск: ЮУрГУ, 2005.
4. Электронный электротехнический справочник. Руководитель: доцент Гайсаров Р.В. Челябинск: ЮУрГУ, кафедра «ЭССиС», 2003-2004.
5. Шабад М. А. Автоматизация распределительных электрических сетей с использованием цифровых реле: Учебное пособие. СПб.: Изд. ПЭИпк, 2002.
6.Справочник по проектированию электрических сетей /Под ред. Д.Л. Файбисовича. М.: НЦ ЭНАС, 2006.
7. Правила пожарной безопасности для энергетических предприятий РД 153.-34.0-03.301-00 (ВППБ 01-02-95). М.: Изд-во стандартов, 2000.
8. Правила технической эксплуатации электрических станций и сетей Российской Федерации. М.: Изд-во стандартов, 2003.
9. Естественное и искусственное освещение СНиП 23-05-95. М: Минстрой России, 1996.
10. Инструкция по устройству молниезащиты зданий, строений и производственных коммуникаций. СО 153-343.21.122-2003.
11. Самсонов В.С. Экономика предприятий энергетического комплекса: Учеб. для вузов / В.С. Самсонов, М.А. Вяткин. М.: Высшая школа, 2003.
12. Неклепаев Б.Н., Крючков И.П. Электрическая часть электростанций и подстанций: Справочные материалы для курсового и дипломного проектирования. М.: Энергоатомиздат, 1989
13. Рожкова Л.Д. Электрооборудование станций и подстанций: Учебник для техникумов. 3-е изд. /Л.Д. Рожкова, В.С. Козулин. М.: Энергоатомиздат, 1987.
14. Чернобровов Н.В. Релейная защита. М.: «Энергия», 1974.
15. Руководящие указания по релейной защите. Выпуск 7. Дистанционная защита линий 35-330 кВ. М.: Изд-во «Энергия», 1966.
PAGE \* MERGEFORMAT 5
Система релейной защиты и автоматики, применяемой на подстанции

