Стоимость интеллектуальной собственности, нематериальные активы и их оценка
Содержание
Введение 5
1.Международные стандарты оценки объектов интеллектуальной собственности и анализ возможностей их применения в РК 9
1.1 Теоретические основы сравнительного анализа международных, европейских и национальных стандартов оценки 9
.1.1 Международные стандарты оценки 9
.1.2 Стандарты оценки США 10
.1.3 Европейские стандарты оценки 13
.1.4 Национальные стандарты оценки 15
1.2. Сравнительный анализ международных, европейских и национальных стандартов оценки 17
1.2.1 Сравнительный анализ международных, европейских стандартов с национальными стандартами оценки 17
1.2.2 Соответствие терминологии Международным стандартам оценки 2007 20
1.3 Характеристика интеллектуальной собственности и нематериальных активов фирмы 21
.3.1 Интеллектуальная собственность, основные виды 21
.3.2 Нематериальные активы и их классификация 23
1.3.3 Авторское право и смежные права 24
2. Стоимость интеллектуальной собственности, нематериальные активы и их оценка 28
.1 Стоимость интеллектуальной собственности 28
2.2 Методы оценки нематериальных активов 29
. Проблемы использования интеллектуальной собственности и нематериальных активов в условиях инновационно-ориентированной экономики 33
3.1.Роль и место интеллектуальной промышленной собственности в эффективном развитии предприятия 33
3.2.Формы экономического оборота интеллектуальной промышленной собственности 41
3.3 Основные проблемы оценки интеллектуальной промышленной собственности и пути их решения. 44
3.3.1 Основные виды и методы оценки интеллектуальной промышленной собственности 44
.3.2 Проблемы оценки интеллектуальной промышленной собственности 51
.3.3 Основные направления совершенствования оценки интеллектуальной промышленной собственности 54
3.4 Определение стоимости объекта интеллектуальной собственности 56
Заключение 62
Список использованной литературы 65
Приложения………………………………………………………………….67
ВВЕДЕНИЕ
Оценка имущества играет все большую роль в современной экономике. Такие операции, как купля - продажа жилья и другой недвижимости, кредитование под залог, страхование, налогообложение недвижимости, имущественные споры, реализация инвестиционных проектов невозможно представить себе сегодня вне связи с профессией оценщика.
В различных странах профессиональные организации оценщиков присваивали профессиональный статус тем, кто имел необходимое образование и достаточный опыт. Постепенно возникла потребность в формулировке общих для мировой экономики принципов, идей и правил, что нашло свое отражение в Стандартах оценки, Кодексах профессиональной этики оценщика и других документах, разработанных в 60 - 70-х годах. В 1981 году был образован Международный комитет по стандартам оценки имущества (МКСОИ). Задачей Комитета стала корректировка стандартов с учетом мнений разных стран и выявление различий в формулировках или в применении Стандартов. Особенно важно для МКСОИ, чтобы международные Стандарты оценки были признаны в международной бухгалтерской и другой финансовой отчетности. Поэтому МКСОИ поддерживает постоянные связи с Международным комитетом по стандартам бухгалтерского учета, Международной федерацией бухгалтеров, Международным комитетом по аудиторской деятельности, Международной организацией комиссий по ценным бумагам.
Первая редакция Международных стандартов оценки была опубликована в 1985 г. В настоящее время ведется большая работа по принятию Стандартов в тех областях оценки, которые пока еще не стандартизированы.
Свод стандартов оценки основан на следующих нормативных документах:
Закон Республики Казахстан от 30 ноября 2000 года № 109-II Об оценочной деятельности в Республике Казахстан (с изменениями и дополнениями по состоянию на 12.01.2013 г.)
Приказ Председателя Комитета регистрационной службы Министерства юстиции Республики Казахстан от 24 августа 2007 года № 95 Об утверждении Правил проведения государственного технического обследования недвижимого имущества и Правил присвоения кадастрового номера первичным и вторичным объектам недвижимости.
Правила по проведению технической инвентаризации объектов водоснабжения и канализации для государственной регистрации прав на недвижимое имущество и сделок с ним (утверждены приказом Председателя Комитета регистрационной службы Министерства юстиции Республики Казахстан от 14 августа 2000 г. N 185-Л)
закон РК О государственной регистрации прав на недвижимое имущество и сделок с ним 26 июля 2007 года № 310-III ЗРК
Закон Республики Казахстан от 9 июля 2012 года N 585-II О внесении дополнений в Указ Президента Республики Казахстан, имеющий силу закона, "О государственной регистрации прав на недвижимое имущество и сделок с ним"
Постановление Правительства Республики Казахстан от 16 мая 2003 года № 454 Об утверждении ставок сбора за государственную регистрацию прав на недвижимое имущество и сделок с ним (с изменениями по состоянию на 12.09.2007 г.)
Постановление Правительства Республики Казахстан от 15 августа 1997 года № 1261. О преобразовании учреждений и предприятий по оценке и регистрации недвижимого имущества в государственные предприятия «Центры по недвижимости Агентства по регистрации недвижимости и юридических лиц Министерства юстиции Республики Казахстан» (с изменениями и дополнениями по состоянию на 29.01.2007 г.)
Совместный приказ Министра Юстиции РК от 21 ноября 2002 г. № 171 и Министра финансов РК от 02 декабря 2002 г. № 597. Зарегистрирован в МЮ РК 05 декабря 2002 г. № 2067. «Об утверждении правил по применению субъектами оценочной деятельности требований к методам оценки предприятия‚ как имущественного комплекса»
Совместный приказ Министра Юстиции РК от 21 ноября 2002 г. № 172 и Министра финансов РК от 02 декабря 2002 г. № 598. Зарегистрирован в МЮ РК 05 декабря 2002 г. № 2068. «Правила по применению субъектами оценочной деятельности требований к содержанию и форме отчета об оценке»
Совместный приказ Министра Юстиции РК от 21 ноября 2002 г. № 173‚ Министра финансов РК от 02 декабря 2002 г. № 600 и министра индустрии и торговли РК от 26 ноября 2002 г. № 96 и председателя Агентства РК по управлению земельными ресурсами от 23 ноября 2002 г. № 90. Зарегистрирован в МЮ РК 05 декабря 2002 г. № 2069. «Об утверждении правил по применению субъектами оценочной деятельности требований к методам оценки недвижимого имущества (за исключением предприятий как имущественных комплексов)
Совместный приказ Министра Юстиции РК от 21 ноября 2002 г. № 174‚ Министра финансов РК от 02 декабря 2002 г. № 599 и Министра транспорта и коммуникаций РК от 25 ноября 2002 г. № 391-1. Зарегистрирован в МЮ РК 05 декабря 2002 г. № 2070. «Об утверждении Правил по применению субъектами оценочной деятельности требований к методам оценки движимого имущества (за исключением объектов индустриальной собственности)»
Приказ Министра Юстиции от 23 ноября 2002 г. № 179‚ зарегистрированный в МЮ РК 05 декабря 2002 г. № 2071. «Правила по применению субъектами оценочной деятельности требований к качеству выполнения работ по оценке‚ используемым принципам оценки»
Приказ Министра юстиции РК от 2 декабря 2002 года № 184, зарегистрированный в МЮ РК 5 декабря 2002г. № 2076. «Правила по применению субъектами оценочной деятельности требований к методам оценки объектов интеллектуальной собственности»
Приказ Министра финансов РК от 31 марта 2003 г. №130 «Рекомендации по применению методов оценки стоимости объектов республиканской государственной собственности»
Постановление Правительства РК от 17 апреля 2002 г. № 447 «Правила определения стоимости объектов налогообложения физических лиц
Международные стандарты оценки (МСО) 2007 (International valuation standards (IVS) 2007)
В современном мире, мире информации и новых технологий, в мире в котором общество и техника развиваются стремительнейшим образом, защита авторских прав является очень важной проблемой. Ведь каждый ученый, поэт, писатель, программист, музыкант и т.п. стремиться защитить созданный им «продукт» от посягательств на него и присвоения его трудов. Поэтому разработка методов защиты интеллектуальной собственности от хищения и несанкционированного использования является чрезвычайно важным процессом в современном мире.
Следовательно, данная тема является актуальной на сегодняшний день
Из всего вышесказанного, можно сделать однозначный вывод о том, что сравнительный анализ международных, европейских и национальных стандартов оценки в нашем современном мире - это очень актуальная тема, исследованию которой и посвящена представленная дипломная работа.
Изучение выбранной темы предполагает достижение следующей цели - исследовать основные теоретические и практические аспекты международных, европейских и национальных стандартов. В соответствии с определенной целью в представленной дипломной работе были поставлены и решены следующие задачи:
рассмотреть теоретические основы стандартов оценки;
охарактеризовать международные, европейские и национальные стандарты оценки;
провести сравнительный анализ международных, европейских и национальных стандартов оценки;
изучение проблем интеллектуальной собственности и нематериальных активов;
изучить теоретические основы интеллектуальной собственности и нематериальных активов;
провести анализ и выяснить структуру интеллектуальной собственности;
выявить проблемы, связанные с существованием интеллектуальной собственности;
исследовать эти проблемы;
сделать выводы и предложить возможные пути решения проблем;
обобщить полученный материал в данной работе и сделать выводы.
Объектом исследования является - оценка имущества в мировой экономике.
Предмет исследования дипломной работы - определим, как международные, европейские и национальные стандарты оценки.
Теоретической и методической базой исследования явились теория рыночной экономики, теория управления, теория оценки стоимости.
Проблема оценки имущества по международным стандартам имеет достаточно широкое освещение в источниках современной научной экономической литературы. Так, в качестве теоретической основы изучения в курсовой работе применялись труды и учебные пособия по таким экономическим наукам, как - "Экономика", "Финансовый и экономический анализ", "Основы бизнеса", "Оценка стоимости предприятия" и т.п. Это работы таких именитых авторов, как А.Д. Шеремет, М.С. Абрютина, П.П. Табурчак, В.С. Валдайцев, А.Г. Грязнова, М.А. Федотова, В.В. Ковалев.
Структура дипломной работы представлена в соответствии с целями и задачами исследования.
Во введении обоснована актуальность, практическая и теоретическая значимость дипломной работы, определены методическая и теоретическая основы, цель, задачи, объект и предмет исследования.
В первой главе дипломной работы "Теоретические основы стандартов оценки" рассматриваются Международные стандарты оценки, стандарты оценки США, Европейские стандарты оценки и Национальные стандарты оценки; «Сравнительный анализ Международных, Европейских и национальных стандартов оценки» проводится сравнительный анализ Международных, Европейских стандартов с национальными стандартами оценки и приводится соответствие терминологии Международным стандартам оценки 2007.
Вторая глава посвящена теоретическим основам интеллектуальной собственности и нематериальных активов, в ней рассматриваются причины существования, появления интеллектуальной собственности и нематериальных активов и их оценке, рассмотрены проблемы использования интеллектуальной собственности и нематериальным активам в условиях инновационно-ориентированной экономики.
В заключение дипломной работы представлены основные выводы проведённого исследования. Данная работа изложена на 77 страницах, в процессе ее подготовки и написания использовано 25 научных источников.
1. Международные стандарты оценки объектов интеллектуальной собственности и анализ возможностей их применения в РК
1.1 Теоретические основы сравнительного анализа международных, европейских и национальных стандартов оценки
- Международные стандарты оценки
Международные стандарты оценки разрабатываются Международным комитетом по стандартам оценки (International Valuation Standards Committee - IVSC), международной организацией, объединяющей профессиональные организации оценщиков более чем 50 стран мира.
Ни в США, ни в Европе "нормативы" или "стандарты" оценки не рассматриваются в качестве незыблемого свода законов. Вот почему одной из основных задач IVSC является достижение согласованности между национальными стандартами оценки и стандартами, которые наиболее подходят для нужд международного сообщества.
Стандарты и связанные с ними нормативные материалы на данный момент выражают общее мнение около 50 государств членов.
Многолетняя деятельность IVSC по разработке стандартов привела к осознанию того факта, что сама стандартизация на международном уровне существенно отличается от процесса создания национальных стандартов.
Во многих странах торговое право и соответствующий комплекс регулирующих процедур предопределяют некоторое направление, иногда весьма специфическое, для стандартизации оценочной деятельности. Фонд оценки США, различные организации в рамках ЕЭС и регулирующие учреждения стран Центральной и Восточной Европы - вот далеко не полный перечень национальных организаций и властных структур, которые на национальном уровне закладывают фундамент стандартов практической оценки. [3]
Национальные стандарты отражают:
внутреннюю политику и установившиеся принципы практической деятельности;
национальные политические и общественные цели;
влияние самых разнообразных обычаев и языковых особенностей.
Международные стандарты оценки имеют некоторую единую основу, прочный фундамент, представляющий единство экономических принципов и не зависящий от политических границ.
В настоящее время IVSC в своей деятельности уделяет особое внимание взаимной увязке Стандартов оценки и Стандартов финансовой отчетности, разрабатываемых Международным комитетом по стандартам финансовой отчетности.
Исчерпывающее обсуждение области знаний, включающей в себя методы и практические процедуры оценки, выходит за рамки задач, стоящих перед Стандартами. Однако для обеспечения лучшей согласованности между различными профессиональными дисциплинами и для уменьшения трудностей, связанных с языковыми барьерами, Стандарты включают в себя вступительный раздел, озаглавленный "Общие понятия и принципы оценки", который служит основой для каждого из Стандартов. Рыночная стоимость и базы, отличные от рыночной стоимости, рассматриваемые в Стандартах 1 и 2, соответственно, являются основой для Стандарта 3 - "Оценка в целях финансовой отчетности и смежной документации".
В дополнительных Стандартах МКСО рассматриваются некоторые аспекты и ситуации оценки, типичные для различных направлений деловой активности, но отличающиеся от процесса оценки имущества, к которому применим Стандарт 3. Разработка Стандартов такого типа также входит в круг задач МКСО, в силу того, что отчеты об оценке, проведенной в целях кредитования, купли-продажи, а также отчеты об оценке предприятий и некоторые другие иногда путают с отчетами, рассмотренными в Стандарте 3. Формулировка специальных Стандартов для всего разнообразия ситуаций может способствовать более ясному пониманию и уверенному практическому применению Стандартов оценки.
1.1.2 Стандарты оценки США
Единые стандарты профессиональной оценочной практики (ЕСПОП), являющиеся обязательными для применения в США и других странах (Канада, Мексика), разрабатываются и утверждаются Советом по стандартам оценки Фонда оценки - некоммерческой, образовательной организацией, основанной в 1987 г. ведущими профессиональными организациями США (Институт оценки, Американское общество оценщиков, Национальная ассоциация магистров оценки) для достижения единообразия и профессионализма в оценке. Сейчас более 50 организаций вступили в Фонд - либо в качестве организаций-спонсоров (попечителей), либо в качестве членов консультативных советов.
Фонд оценки управляется Советом попечителей, который выполняет две основные функции:
обеспечивает финансовую поддержку деятельности;
назначает членов Совета по стандартам оценки и Совета по квалификации оценщиков.
В данное время Совет попечителей состоит из 32 членов. Каждая профессиональная оценочная и попечительская организация назначает одного представителя в Совет попечителей. Кроме того, 14 независимых постоянных попечителей избираются Советом самостоятельно. Для участия в Совете попечителей лица не обязательно должны быть оценщиками. Раз в полугодие Совет попечителей проводит публичные заседания. [12]
Совет по стандартам оценки (ССО) разрабатывает, интерпретирует и вносит поправки в Единые стандарты профессиональной оценочной практики (ЕСПОП), которые являются обязательными для применения оценщиками в своей практической деятельности. ССО состоит из 5 высококвалифицированных оценщиков и проводит публичные совещания каждый месяц. Все предлагаемые положения и дополнения к ЕСПОП выносятся на публичные обсуждения перед принятием ССО. Для рассмотрения и оценки работ, проводимых под эгидой ССО, в Фонде оценки создан Консультативный совет по стандартам оценки (КССО), который включает представителей 32 организаций и правительственных агентств, представляющих потребителей услуг по оценке. КССО заседает каждый квартал. КССО консультирует ССО по важным проблемам технического характера и списку проектов, вынесенных на повестку дня ССО. Все совещания КССО проводятся в Вашингтоне и открыты для публики.
Единые стандартны профессиональной оценочной практики были первоначально разработаны Специальным комитетом по разработке Единых стандартов в 1986-87 гг. и переданы Фонду оценки в 1987 гг. К этому времени Фонд установил свои авторские права на ЕСПОПО. На своей организационной встрече 30 января 1989 г. ССО единодушно принял и утвердил ЕСПОП в качестве первоначальных два первых оценочных стандарта, выработанных ССО. Данные Стандарты предназначены для оценщиков и пользователей услуг оценки. Соблюдать данные Стандарты необходимо профессиональным оценщикам для повышения уровня оценки. Потребителям услуг оценщиков надлежит требовать проведения работ в соответствии с данными Стандартами.
Согласно реформе законодательства в области оценки, одобренной Конгрессом, вся оценка недвижимости, связанная со сделками государственного уровня, должна проводиться на основе и в соответствии с ЕСПОП. Закон о реформе финансовых институтов, подъеме экономики и соблюдении законов (FIRREA), принятый конгрессом в 1989 г., требует, чтобы оценки, подготовленные государственными сертифицированными и лицензированными оценщиками, составлялись в соответствии с ЕСПОП. В 1992 г. Административно бюджетное управление (OMB) выпустило бюллетень в котором также требуется, чтобы при приобретении земли и предоставлении земельных займов кредитными организациями были представлены оценки в соответствии с требованиями ЕСПОП. [3]
В ЕСПОП представлены процедуры:
которым нужно следовать при осуществлении оценки, проверке отчета об оценке или предоставлении консультативных услуг;
способы, которыми производятся оценка, ревизия или консультативные услуги.
Стандарт 1 и 2 регулируют процесс оценки и составления отчета по оценке недвижимости. Стандарт 3 устанавливает нормы проверки отчетов по оценке и составления отчета на основании этих норм. Стандарты 4 и 5 направлены на развитие и обобщение консультативных функций оценщика по оценке недвижимости и недвижимого имущества. Стандарт 6 устанавливает необходимые критерии для разработки и сообщения результатов по массовой оценке для целей налогообложения недвижимого имущества или любых других видов собственности. Стандарты 7 и 8 устанавливают нормы для развития и обобщения оценок личной собственности. Стандарты 9 и 10 устанавливают нормы для развития и обобщения оценок бизнеса. [3]
Стандарты включают в себя Положение о стандартах оценки, выпущенное Комитетом по стандартам оценки для целей прояснения, интерпретации, толкования или выработки Стандартов или Правил Стандартов.
Пояснительные комментарии являются неотъемлемой частью Единых стандартов и должны рассматриваться в качестве толкования к Положениям, Определениям и Правилам стандартов. Комментарии предоставляют интерпретации Комиссии по Оценочным стандартам (ASB) относительно предпосылок и приложений к определенным Положениям, Определениям или Правилам стандартов.
Комментарии не прилагаются к тем Положениям, Определениям или Правилам стандартов, которые являются аксиоматическими или не требуют дальнейших разъяснений. Однако дополнительные комментарии будут разрабатываться, устаревшие пересматриваться, по мере возникновения необходимости. Примечания к Правилам стандартов, относящиеся к Консультативным мнениям, служат лишь ориентиром и не включают Консультативные мнения в Правила Стандартов.
Важную роль в деятельности оценщика занимают этические обязательства. Стандарты включают в себя разъяснительные комментарии и начинаются с ПОЛОЖЕНИЙ ОБ ЭТИКЕ, которые включают четыре раздела: Поведение, Менеджмент, Конфиденциальность и Ведение отчетности, и обуславливают требования целостности, объективности, независимости суждения и этического поведения. Дополнительно данные Стандарты включают в себя ПОЛОЖЕНИЯ О КОМПЕТЕНТНОСТИ, налагающие прямую ответственность на оценщика до принятия решения. Также включены ОПРЕДЕЛЕНИЯ для данных Стандартов. Стандарты содержат как обязательные требования, так и специфические требования, к которым при определенных ограниченных условиях применимы ПОЛОЖЕНИЯ ОБ ОТКЛОНЕНИЯХ. Эти определенные условия не включают в себя отклонений от ПРЕАМБУЛЫ, ПОЛОЖЕНИЙ ОБ ЭТИКЕ, ПОЛОЖЕНИЙ О КОМПЕТЕНТНОСТИ и ОПРЕДЕЛЕНИЙ. [5]
В дополнение к 10 Стандартным правилам ЕСПОП включают также Документы о стандартах, которые специально служат упрощению, толкованию, разъяснению или совершенствованию ЕСПОП.
Документы обязательны к применению наряду с Правилами стандартов. ССО также публикует консультативные мнения, в которых содержатся советы ССО по решению спорных вопросов при применении ЕСПОП в оценочной практике.
Начиная с издания 1994 г., ЕСПОП содержит также глоссарий всех оценочных терминов.
1.1.3 Европейские стандарты оценки
Европейская группа оценщиков основных фондов (ТЕGOVOFA) была создана как некоммерческая ассоциация национальных организаций оценщиков западноевропейских стран в 1977 году. После слияния с аналогичной организацией EUROVAL группа в настоящее время называется Европейская группа ассоциаций оценщиков (The European Group of Valuers Associations - ТЕGoVA). Одной из главных целей при создании этой организации было создание общих стандартов оценки, представляющих взгляды профессиональных организаций во всех странах Европейского Союза.
В настоящее время членами ТЕGoVA являются профессиональные оценочные организации Европейского Союза с активным и возрастающим участием партнеров из стран Центральной и Восточной Европы.
TEGoVA работает в тесном сотрудничестве с Международным комитетом по стандартам оценки. Общие стандарты и методология позволяют проводить достоверные оценки в общественных и частных интересах с существенными выгодами для коммерции и промышленности, финансового и институционального инвестиционного сектора, так же, как и для более широких слоев населения, которые зависят непосредственно или косвенно от экономической эффективности этих секторов. [5]
Одной из главных особенностей Европейских стандартов оценки (ЕСО) является их ориентация на оценки, выполняемые для целей составления финансовой бухгалтерской отчетности в соответствии с принятым европейским законодательством. Указывается на возможность распространения их действия и на другие виды оценок, выполняемых в общественно значимых целях.
С точки зрения рядового оценщика и клиента-потребителя оценочных услуг, настоящие стандарты являются ориентиром, устанавливающим минимально допустимый уровень качества выполнения оценки, обусловленный статусом и квалификацией оценщика, содержанием договоров на выполнение оценки и отчетов об оценке, а также применяемыми методическими подходами к оценке в конкретных ситуациях.
Следует отметить, что Европейские стандарты оценки не имеют обязательного характера для членов организации, но рекомендуются для применения как представляющие лучший опыт, разработанный для включения в соответствующие нормативные акты Европейского Союза и дающие импульс к принятию соответствующих национальных стандартов стран ЕЭС. Требования национального законодательства учитываются в конкретных случаях, и при существенной важности они отдельно комментируются в главе 10 ЕСО.
Третье издание ЕСО было полностью пересмотрено и дополнено с учетом введенных изменений и расширения области применения, выходящей за рамки оценок для финансовых отчетов, включая оценки для разнообразных коммерческих целей.
Цели ЕСО - обеспечение:
помощи оценщикам в подготовке согласованных отчетов для их клиентов путем предоставления ясных руководств;
согласованных оценок путем использования стандартного определения рыночной стоимости и подходов к оценке;
стандартов качества с помощью утверждения общепринятого уровня квалификации;
точной основы для экономического анализа эффективного использования земли и строительных ресурсов;
внедрения среди оценщиков ориентированных на клиента и полученное задание подходов к оценке;
повышения понимания роли оценщика;
установления процедур, обеспечивающих ясное, точное, однозначное определение стоимости в соответствии с национальным и наднациональным законодательством, стандартами оценки и бухгалтерского учета.
Международные стандарты оценки, изданные МКСО, должны поддерживаться в тех странах ЕС, где они совместимы с национальным законодательством, для того чтобы гарантировать согласованность оценки в соответствии с лучшей мировой практикой.
В соответствии со Статьей 110 Римского Договора от 1957 года, а также последующими договорами, TEGoVA поручено устанавливать стандарты, которые являются совместимыми с интернационализацией деловой активности и мировой торговли. GATT (General Agreement on Trade and Tariffs - генеральное соглашение по тарифам и торговле) особо оговаривает необходимость соблюдения международных стандартов во всех случаях, когда это необходимо, для обеспечения ясности понимания и избегания дискриминации, что является двумя ключевыми областями либерализации торговли.
В то же время Международные стандарты оценки разрабатываются в тесном сотрудничестве между МКСО и ЕГАО, которые поддерживают принципы свободной конкуренции и развития мировой торговли. Если требования ЕСО сильно отличаются от МСО, в тексте стандартов приводятся соответствующие комментарии. Следует так же отметить, что ЕСО отличаются большей детальностью изложения и в них также освещаются дополнительные вопросы, которые не рассматриваются в МСО, однако по своим основным принципам они сходны с МСО. [3]
Европейские стандарты оценки (так называемая голубая книга) излагаются последовательно в 11 главах, при этом сначала рассматриваются вопросы общего регулирования и особенностей составления договора на оценку, а затем в главе 4 ЕСО рассматриваются основные определения и базы оценки и даются рекомендации относительно их применения в конкретных ситуациях. Рекомендации по соответствующим толкованиям специальных случаев, относящихся к нетипичным активам, а также по учету внешних факторов, влияющих на стоимость (различных типов загрязнений и экологических ограничений), приводятся в главах 5 и 6 ЕСО. Оценки, производимые для специфических целей, рассматриваются в главе 7 ЕСО. Расчеты стоимости и нерыночные оценки, требования, предъявляемые к отчетности, а также оформление и необходимое содержание Сертификатов оценки рассмотрены в главах 8 и 9 ЕСО. В главе 10 ЕСО рассматриваются некоторые ограниченные специфические особенности оценки в отдельных странах, в то время как глава 11 ЕСО включает Европейский кодекс практики и технические аспекты работ по оценке.
Следует отметить, что оценка для целей налогообложения и принудительного отчуждения собственности не является предметом Европейских стандартов оценки. Однако общие принципы, изложенные в них, могут применяться в тех случаях, когда какого-либо другого определенного руководства не существует.
Любое отклонение от рекомендаций в ЕСО может повлечь коммерческие или правовые санкции. И наоборот, соответствие стандартам может являться частью действенной правовой защиты при отсутствии доказательства в пользу противного в ходе рассмотрения судебного иска по вмененной небрежности.
В некоторых случаях неприменение или уклонение от применения стандартов оправдано особыми обстоятельствами. Подобные отклонения должны быть указаны в официальном договоре на выполнение оценки и в Отчете об оценке.
1.1.4 Национальные стандарты оценки
Правовые основы стандартизации в РК установлены Законом "О стандартизации".
Стандартизация представляет собой деятельность по установлению норм, правил, характеристик продукции, услуг, процессов.
Исходя из общих целей стандартизации, основными задачами Системы стандартизации услуг в области оценки являются:
обеспечение взаимопонимания и взаимодействия между всеми сторонами - участниками процесса оценки имущества;
формирование нормативной базы для обеспечения проведения сертификации услуг по оценке;
установление единых требований к методам оценки, содержанию и форме отчетов по оценке;
создание и ведение системы классификации и кодирования технико-экономической информации, используемой при оценке;
гармонизация терминологии, классификации услуг, методов оценки с международными стандартами;
содействие соблюдению законодательства РК средствами и методами стандартизации;
создание условий для формирования эффективной системы информации (баз данных) для оперативного представления членам НОО периодической информации.
В настоящее время общее число утвержденных и разрабатываемых стандартов составляет более 30. Их использование призвано обеспечить процесс оценки имущества и проведения сертификации услуг.
Рассмотрим перечень стандартов.
Система нормативных документов включает в себя следующие составляющие:
Классификатор услуг по оценке имущества;
Декларация общества оценщиков;
Кодекс профессиональной этики;
Общие понятия и принципы оценки;
Базы оценки, отличные от рыночной стоимости;
Оценка в целях финансовой отчетности и смежной документации;
Оценка ссудного обеспечения, залога и долговых обязательств;
Стандарты профессиональной деятельности в области оценки недвижимого имущества;
Оценка производственных средств, машин и оборудования;
Стоимость действующего предприятия как база оценки;
Оценка нематериальных активов;
Оценка объектов интеллектуальной собственности;
Оценка минерального сырья;
Оценка лесных ресурсов и лесных земель;
Учет в процессе оценки факторов окружающей среды. [14]
Система нормативных документов общества оценщиков создается в соответствии с экономическими условиями развивающихся рыночных отношений и структуры управления в РК на базе действующего законодательства, норм, правил и государственных стандартов инвестиционной сферы экономики.
Главная направленность разрабатываемых нормативных документов НОО - защита прав и охраняемых законом интересов потребителей, общества и государства при развитии самостоятельности и инициативы организаций, предприятий и специалистов-оценщиков.
Одним из основных средств решения этой задачи является использование методических принципов, которые находят все большее распространение в международной и отечественной практике стандартизации. В отличие от ранее используемого подхода, когда в нормативных документах приводят подробное описание методов обоснования и расчета, создаваемая система нормативных документов НОО должна содержать, в первую очередь, характеристики оценки, основанные на требованиях потребителей. Разрабатываемые в соответствии с настоящим подходом, нормативные документы должны устанавливать, прежде всего требования к результатам оценки как услуги, которые должны быть удовлетворены, или цели, которые должны быть достигнуты на основе использования результатов оценки
1.2 Сравнительный анализ международных, европейских и национальных стандартов оценки
1.2.1 Сравнительный анализ международных, европейских стандартов с национальными стандартами оценки
Основная идея данной главы - показать соответствия, общности и некоторые расхождения в национальной и международных системах организации и стандартов оценочной деятельности. Материалы для сопоставления представлены в таблицах 2.1 и 2.2.
За структурную базу сравнения (последовательность строк табл.2.1 и 2.2) взята содержательная структура основных разделов международных документов: стандартов ISVC (Международных стандартов оценки) и стандартов TEGoVA (Европейских стандартов оценки).
Для более логичного и полного аналитического сопоставления (имея в виду возрастающую регулирующую роль государства и определенные задержки в разработке и согласовании обновленной системы отечественных профессиональных стандартов оценки) положениям зарубежных стандартов ставится в соответствие информация из следующей совокупности национальных документов:
Закон Республики Казахстан от 30 ноября 2000 года № 109-II Об оценочной деятельности в Республике Казахстан (с изменениями и дополнениями по состоянию на 12.01.2007 г.)
Приказ Председателя Комитета регистрационной службы Министерства юстиции Республики Казахстан от 24 августа 2007 года № 95 Об утверждении Правил проведения государственного технического обследования недвижимого имущества и Правил присвоения кадастрового номера первичным и вторичным объектам недвижимости.
Правила по проведению технической инвентаризации объектов водоснабжения и канализации для государственной регистрации прав на недвижимое имущество и сделок с ним (утверждены приказом Председателя Комитета регистрационной службы Министерства юстиции Республики Казахстан от 14 августа 2000 г. N 185-Л)
закон РК О государственной регистрации прав на недвижимое имущество и сделок с ним 26 июля 2007 года № 310-III ЗРК
Закон Республики Казахстан от 9 июля 2004 года N 585-II О внесении дополнений в Указ Президента Республики Казахстан, имеющий силу закона, "О государственной регистрации прав на недвижимое имущество и сделок с ним"
Постановление Правительства Республики Казахстан от 16 мая 2003 года № 454 Об утверждении ставок сбора за государственную регистрацию прав на недвижимое имущество и сделок с ним (с изменениями по состоянию на 12.09.2007 г.)
Постановление Правительства Республики Казахстан от 15 августа 1997 года № 1261. О преобразовании учреждений и предприятий по оценке и регистрации недвижимого имущества в государственные предприятия «Центры по недвижимости Агентства по регистрации недвижимости и юридических лиц Министерства юстиции Республики Казахстан» (с изменениями и дополнениями по состоянию на 29.01.2007 г.)
Совместный приказ Министра Юстиции РК от 21 ноября 2002 г. № 171 и Министра финансов РК от 02 декабря 2002 г. № 597. Зарегистрирован в МЮ РК 05 декабря 2002 г. № 2067. «Об утверждении правил по применению субъектами оценочной деятельности требований к методам оценки предприятия‚ как имущественного комплекса»
Совместный приказ Министра Юстиции РК от 21 ноября 2002 г. № 172 и Министра финансов РК от 02 декабря 2002 г. № 598. Зарегистрирован в МЮ РК 05 декабря 2002 г. № 2068. «Правила по применению субъектами оценочной деятельности требований к содержанию и форме отчета об оценке»
Совместный приказ Министра Юстиции РК от 21 ноября 2002 г. № 173‚ Министра финансов РК от 02 декабря 2002 г. № 600 и министра индустрии и торговли РК от 26 ноября 2002 г. № 96 и председателя Агентства РК по управлению земельными ресурсами от 23 ноября 2002 г. № 90. Зарегистрирован в МЮ РК 05 декабря 2002 г. № 2069. «Об утверждении правил по применению субъектами оценочной деятельности требований к методам оценки недвижимого имущества (за исключением предприятий как имущественных комплексов)
Совместный приказ Министра Юстиции РК от 21 ноября 2002 г. № 174‚ Министра финансов РК от 02 декабря 2002 г. № 599 и Министра транспорта и коммуникаций РК от 25 ноября 2002 г. № 391-1. Зарегистрирован в МЮ РК 05 декабря 2002 г. № 2070. «Об утверждении Правил по применению субъектами оценочной деятельности требований к методам оценки движимого имущества (за исключением объектов индустриальной собственности)»
Приказ Министра Юстиции от 23 ноября 2002 г. № 179‚ зарегистрированный в МЮ РК 05 декабря 2002 г. № 2071. «Правила по применению субъектами оценочной деятельности требований к качеству выполнения работ по оценке‚ используемым принципам оценки»
Приказ Министра юстиции РК от 2 декабря 2002 года № 184, зарегистрированный в МЮ РК 5 декабря 2002г. № 2076. «Правила по применению субъектами оценочной деятельности требований к методам оценки объектов интеллектуальной собственности»
Приказ Министра финансов РК от 31 марта 2003 г. №130 «Рекомендации по применению методов оценки стоимости объектов республиканской государственной собственности»
Постановление Правительства РК от 17 апреля 2002 г. № 447 «Правила определения стоимости объектов налогообложения физических лиц"
Отметим также, что поскольку Европейские стандарты TEGoVA разрабатывались в тесной взаимосвязи с Международными стандартами ISVC, то многие положения обоих документов идентичны (в этих случаях в табл.2.2 дается ссылка на табл.2.1). Кроме того, в графе "Положение международных стандартов" указаны обе версии названий стандартов и приложений (до и после 2000 г.).
Проводя сравнительный анализ Международных и Европейских стандартов и основных отечественных документов, регулирующих оценочную деятельность в РК, следует также обратить внимание на ряд исключительно полезных (уже для национальных систем стандартов) положений и рекомендаций "Красной книги" оценщиков Королевского общества RICS Великобритании. Это тем более логично и в том плане, что методологически и практически Европейские стандарты оценки TEGoVA формировались во многом на базе структуры "Красной книги" и опыта британских оценщиков как наиболее авторитетного и многолетнего отряда европейских специалистов в данной области. [5]
Методологически наиболее важными выводами при сравнительном рассмотрении структуры и состава стандартов IVSC, TEGoVA и британской "Красной книги" будут следующие:
1) при всей концептуальной общности международно-признанных подходов и принципов, рекомендуемых методов, моделей и процедур оценки (что в целом характерно и для национальной системы) стандарты оценки могут иметь определенные различия;
2) эти различия, не затрагивая главных положений всеобще признанных стандартов оценки, в основном определяются достижимой глубиной и детализацией в рассмотрении объектов оценки и проводимых с ними операций;
3) мера детализации стандартов и ее направленность определяются реально существующей региональной (национальной) спецификой (например, законодательного и социально-экономического развития, сложившейся ролью государства в регулировании оценочной деятельности), практической востребованностью на рынках недвижимости.
Все это позволяет с оптимизмом продолжать работу в направлении развития национальной системы стандартов оценочной деятельности, которая, с одной стороны, обеспечивает все необходимые аспекты социально-экономических реформ и активного роста отечественного рынка недвижимости, а с другой - гармонирует со стандартами мирового сообщества и обеспечивает результативное продвижение в общем направлении глобализации бизнеса.
В табл.2.1 и 2.2 использованы следующие сокращения:
ЗО - закон "Об оценочной деятельности в РК";
НК - Налоговый кодекс РК;
БУ - Закон "О бухгалтерском учете";
ЗИ - Закон "Об ипотеке (залоге недвижимости)";
ЗП - Закон "О приватизации государственного имущества и об основах приватизации муниципального имущества";
ПЖ - Закон "О приватизации жилья";
ЗБ - Закон "О несостоятельности (банкротстве)";
ГКРК - Гражданский кодекс РК;
ВСН - Ведомственные строительные нормы "Техническая инвентаризация и оценка физического износа жилых зданий" ВСН 53-86 (р);
СНиП - Строительные нормы и правила (сметные расчеты и др.);
ГС - ГОСТы (в области оценки), принятые до ЗО;
СТО - Стандарты Национального общества оценщиков;
МР - Методические рекомендации по оценке эффективности инвестиционных проектов. Официальное издание (М., 2000);
ЗМ/ЗП - региональные законы :
"Об основах платного землепользования в Астане" (№34, 2007),
"О государственной поддержке инвестиций в Алматы" (№185-36, 2008).
Сравнительная таблица 2.1 Сопоставление Международных стандартов (IVSC) с системой отечественной документации, связанной с оценкой в приложении.
Сравнительная таблица 2.2 Сопоставление Европейских стандартов (TEGoVA) с отечественной документацией, связанной с оценкой в приложении.
1 Используя зарубежный опыт Международных и Европейских стандартов, а также фундаментальный характер материалов "Красной книги", было бы целесообразно активизировать работу по следующим актуальным и еще недостаточно освоенным направлениям стандартов (рекомендаций, руководств, ведомственных нормативных положений и правил): [5]
1) конфликт интересов (из PS5);
2) оценка недвижимости в целях включения в биржевые проспекты (из PS13, см. аналогичные положения TEGoVA);
3) оценка для ситуаций поглощения и слияния фирм, для схем расширения бизнеса, совместных предприятий (PS14, PS15, GN18);
4) оценка недвижимости для специальных типов организаций - страховых и пенсионных фондов и др., трастов, для благотворительных вложений (из PS17-PS20, PSA6, PSA14);
5) оценка объектов незавершенного строительства и коммерческого резерва (из PS21);
6) методическая информация для разработки руководств по оценке объектов государственной и муниципальной собственности (из PSA13, GN10, GN11);
7) руководство по анализу арендных операций с коммерческой недвижимостью (из GN4, GNA4);
8) оценка конкретных типов коммерческой недвижимости: автозаправочных станций, ресторанов и др. (из GN8, GN9);
9) регулирование отношений оценщиков и аудиторов (из GN13);
10) рекомендации по работе с памятниками архитектуры, культуры и истории, природоохранными зонами, необычными сооружениями (из GNA2).
1.2.2 Соответствие терминологии Международным стандартам оценки 2007
В связи с принятием Стандартов оценки, обязательных к применению субъектами оценочной деятельности (Постановление Правительства РК N519 от 6 июля 2007г.) (НСО) возникает вопрос о соответствии терминологии используемой в этих стандартах терминологии новой редакции Международных стандартов оценки 2007 (МСО 2007).
При составлении таблицы 2.3 использовался перевод Международных стандартов оценки в редакции в части, соответствующей Международным стандартам оценки 2007 в таблице 2.3.
1.3 Характеристика интеллектуальной собственности и нематериальных активов фирмы
1.3.1 Интеллектуальная собственность, основные виды
Интеллектуальная собственность (Intellectual property) собирательное понятие, означающее права на конкретные результаты интеллектуальной творческой деятельности человека в любой области (производственной, научной, литературной, художественной и пр.), а также права на средства индивидуализации юридического лица, продукции, выполненные работы или услуги [3].
Несколько упрощая, можно сказать, что к интеллектуальной собственности относится информация, которая может быть представлена на материальном носителе и распространена в неограниченном количестве копий по всему миру. Собственностью выступают не эти копии, а отражаемая в них информация.
Впервые понятие «Интеллектуальная собственность» введено в 1967г. Конвенцией об учреждении Всемирной организации интеллектуальной собственности (ВОИС), которая установила, что к объектам права интеллектуальной собственности относятся:
. Литературные, художественные произведения и научные труды;
. Исполнительская деятельность артистов, фонограммы и радиопередачи;
. Изобретения во всех областях человеческой деятельности;
. Научные открытия;
. Промышленные образцы;
. Товарные знаки, знаки обслуживания и фирменные наименования, и коммерческие обозначения;
. Пресечение недобросовестной конкуренции, а также все другие объекты, относящиеся к интеллектуальной деятельности.
Данный перечень в настоящее время расширен. Более того, он может быть дополнен национальным законодательством (см. Приложение 1).
Научные открытия установление неизвестных ранее, объективно существующих закономерностей, свойств и явлений материального мира. Научные открытия не относятся ни к объектам авторского права, ни к объектам промышленной собственности. Существует точка зрения, что научные открытия не должны упоминаться среди видов интеллектуальной собственности, поскольку ни одно национальное законодательство и ни один международный договор не дают какого-либо права на собственность применительно к научным открытиям. Тем не менее научное сообщество обычно присваивает открытиям имена их первооткрывателей (циклы Кондратьева, оптимум Парето, закон Архимеда, палочка Коха, периодическая таблица Менделеева, пастеризация и т.д.) [4].
Отдельно следует выделить промышленную собственность (Industrial property) вид интеллектуальной собственности, включающий права на изобретения, ноу-хау, полезные модели, промышленные образцы, товарные знаки и знаки обслуживания, фирменные наименования, наименование места происхождения товара, а также пресечение недобросовестной конкуренции. В соответствии с Соглашением о торговых аспектах права интеллектуальной собственности в понятие «промышленная собственность» вошли также понятия «топология интегральных схем» и «охрана закрытой (неразглашаемой) информации».
Промышленная собственность играет важную роль в управлении как научно технической деятельностью на уровне государства, так и инновационными процессами в любой организации, что обусловило выделение объектов промышленной собственности.
Отличительная особенность объектов интеллектуальной собственности обусловлена их нематериальным характером. Соответственно различается содержание прав вещной и интеллектуальной собственности.
Содержание интеллектуальной собственности как права включает права автора и исключительное (имущественное) право.
К правам автора на объекты интеллектуальной собственности относят такие права, как:
. Право авторства право любого гражданина быть названным автором произведения науки, литературы, искусства, изобретения, и т.д. при условии, что это произведение создано его личным творческим трудом;
. Право на имя, которое реализуется в виде права автора на присвоение по имени тому произведению, которое он создал (аппараты Елизарова, методики хирурга офтальмолога Федорова, автомат Калашникова, и т.д.);
. Право на публикование это право автора обнародовать свое произведение или сохранить его в тайне;
. Право на неприкосновенность произведения заключается в том, что никто не имеет право изменять, искажать авторский вариант произведения с сохранением имени автора, поскольку это может нанести ущерб его репутации.
Исключительное право на объекты интеллектуальной собственности связано с понятием использования, под которым следует понимать воспроизведение объектов интеллектуальной собственности в виде материальных объектов. В этом смысле исключительное право это, прежде всего, право владельца объекта интеллектуальной собственности использовать его, а также разрешать (запрещать) это делать другому лицу. С исключительным правом связаны все вопросы коммерческого использования результатов интеллектуального труда.
В отличие от прав автора исключительное право отчуждаемо и его владельцем может быть любое физическое или юридическое лицо, которому по закону или по договору это право будет предоставлено.
Можно отметить общие черты имущественных прав, относящиеся к различным объектам интеллектуальной собственности:
. Права ограничены сроком действия и территорией;
. Права носят абсолютный характер, т.е. не имеют каких-либо условий и ограничений, кроме оговоренных в законодательстве;
. Права исключительны по отношению ко всем другим лицам;
. Все граждане и юридические лица могут свободно использовать результаты творческой деятельности, оформленные как объекты интеллектуальной собственности, в некоммерческих целях. Но в ряде случаев после такого использования может возникнуть вопрос о компенсации правообладателю;
. Возникает право преждепользования при получении аналогичных результатов ранее и независимо от правообладателя, но при условии, что их использование ограничивается объемами, достигнутыми на момент оформления охраны объекта интеллектуальной собственности.
. Исключительные права исчерпываются после продажи экземпляров охраняемой продукции, и допускается их дальнейшее распространение без согласия правообладателя и без выплаты ему вознаграждения;
. Уступка прав на использование объекта интеллектуальной собственности осуществляется на основании специального договора, исключение составляет только наименование мест происхождения товаров, права на которые нельзя передавать.
1.3.2 Нематериальные активы и их классификация
К нематериальным активам относятся объекты, которые не имеют материально-вещественной формы, не обладают физическими свойствами, но обеспечивают предприятию возможность получения дохода постоянно или в течение длительного периода. В зависимости от своего назначения и функций выполняемых в хозяйственной деятельности, нематериальные активы подразделяются на 3 основных группы:
интеллектуальная собственность;
имущественные права;
отложенные затраты.
Гражданский кодекс РК дает определение интеллектуальной собственности: «…это исключительное право гражданина или юридического
лица на результаты интеллектуальной деятельности и приравненные к ним средства индивидуализации либо самого физического лица, либо юридического лица, либо выполнение работ или услуг.»
Интеллектуальная собственность не является разновидностью права собственности. В случае интеллектуальной собственности это отношение связано с использованием и защитой результатов духовной деятельности. В каждой стране существуют законодательства, которые определяют круг
охраняемых государством объектов интеллектуальной собственности и определяют условия этой охраны. В РК к основным законодательным актам относятся:
патентный закон РК;
закон о товарных знаках;
закон о правовой охране программ для ЭВМ и баз данных;
закон об авторских правах.
В зависимости от результатов выделяют две группы прав:
) Права, относящиеся к промышленной собственности;
) Права, относящиеся к науке, литературе и искусству.
Промышленная собственность это исключительные права на результаты интеллектуальной деятельности, применяемые в производстве: изобретения, модели, промышленные образцы, товарные знаки, фирменные наименования. На свои изобретения изобретатель получает документ, который называется патент и он является охранным документом патентообладателя. Если предприятие заинтересовано в использовании новшеств, оно заключает договор о выдаче лицензии или полной уступке прав.
Промышленный образец это художественное, конструкторское решение изделия, определяющее его внешний вид.
Товарный знак применяется для обозначения различных товаров и граждан. С его помощью достигается индивидуализация товара. Для полной охраны товарного знака требуется его регистрация в Роспатенте, а документом является «свидетельство на товарный знак». [16]
Охрана программ для ЭВМ и баз данных осуществляется средствами авторского права.
К имущественным правам относятся организационные работы, расходы на научно-исследовательские и опытно-конструкторские работы, организационные работы при образовании предприятия, организационные расходы в ходе деятельности предприятия.
В западной методологии используется элемент нематериальных активов как цена фирмы, или деловая репутация фирмы. Это стоимостная категория, которая характеризует разницу между стоимостью фирмы и стоимостью ее активов. В РК репутация фирмы равна разнице между покупной стоимостью имущества и оценивающей стоимостью.
1.3.3 Авторское право и смежные права
Гражданско-правовой институт авторского права и смежных прав регулирует неимущественные отношения и связанные с ними имущественные отношения в сфере создания и использования произведении литературы, науки и искусства.
Нормативно-правовое регулирование указанного; института наряду с законодательством о собственности осуществляется непосредственно Законом Украины «Об авторском праве и смежных правах», в ст. 1 которого указывается, что настоящий Закон охраняет личные (неимущественные) и имущественные права авторов и их правопреемников, связанные с созданием и использованием произведений науки, литературы и искусства (авторское право), и права исполнителей, производителей фонограмм, организаций вещания (смежные права). Иными словами, в законе прямо закреплены двуединое содержание авторского права и смежных прав как разновидности права интеллектуальной собственности и приоритет в содержании личных (неимущественных) прав.
Объекты авторского права:
Это произведения литературы, искусства и науки, удовлетворяющие следующим требованиям:
Во-первых, произведение должно быть творческим.
Творчество это интеллектуальная работа, направленная на создание нового. Творческий характер произведения означает, что оно является новым по сравнению с ранее известными. Новизна может выразиться как в новом содержании, так и в новой форме. Для объектов авторского права существенное значение имеет как новизна содержания, так и новизна формы. Новая форма отражения известного содержания характеризует произведение как творческое и влечет признание его объектом авторского права. История литературы и искусства знает немало этому примеров: Шекспир брал темы для ряда своих трагедий из произведений античных греческих авторов, Стендаль широко использовал для своих новелл итальянские средневековые хроники, библейские сюжеты нашли отображение на полотнах многих великих живописцев и т.д. [2].
Вторым признаком объекта авторского права является объективная выраженность объект должен существовать в какой-либо форме, доступной для восприятия другими людьми. Если идеи, мысли, образы автора не получили выражения вне его сознания нет объекта авторского права. Из истории отечественной музыки известно, что композитор М.И. Глинка, написавший две гениальные оперы «Иван Сусанин» и «Руслан и Людмила», сочинил третью оперу, которую он назвал «Двумужница». Глинка говорил: «Опера у меня вся тут, в голове, дайте мне либреттиста, и через месяц опера будет готова». Не найдя либреттиста и заболев, Глинка уехал в Германию, «на воды» лечиться, где умер и таким образом эта опера не увидела свет. Для признания произведения объектом авторского права достаточно двух названных признаков. Не имеет значения, обнародовано оно или нет. Произведение становится объектом авторского права с момента его создания в какой-либо обыкновенной форме. Не требуется официального оформления этих произведений. Не имеет значения достоинство и назначение произведения. Не имеет значения внешняя форма его выражения. [17]
Согласно ст. 5 Закона «Об авторском праве и смежных правах» объектами его охраны являются следующие произведения в области науки, литературы и искусства:
литературные, письменные произведения беллетристического, научного, технического или практического характера (книги, брошюры, статьи, компьютерные программы и т.д.);
выступления, лекций, речи, проповеди и другие устные произведения;
музыкальные произведения с текстом и без текста;
драматические, музыкально-драматические произведения, пантомимы, хореографические и другие произведения, созданные для сценического показа;
аудиовизуальные произведения;
скульптуры, картины, рисунки, гравюры, литографии и другие произведения изобразительного искусства;
произведения архитектуры;
фотографии;
произведения прикладного искусства, если они не охраняются специальным законом о промышленной собственности;
иллюстрации, карты, планы, эскизы, пластические произведения, касающиеся географии, геологии, топографии, архитектуры и других областей науки;
сценические обработки произведений, указанных в подпунктах 1 настоящей статьи, и обработки фольклора, пригодные для сценического показа;
переводы, адаптации, аранжировки, другие переработки произведений и обработки фольклора (производные произведения) без причинения ущерба охране оригинальных произведений, на основании которых созданы производные произведения;
сборники произведений, сборники обработок фольклора, энциклопедии и антологии, сборники обычных данных, другие составные произведения, при условии, что они являются результатом творческой работы по подбору, координации или упорядочению содержания без причинения ущерба охране входящих в них произведений.
Не являются объектами авторского права:
. официальные документы (тексты законов и других правовых актов, решения судов и т.п.);
. государственная символика (флага, гербы, ордена и т.п.);
. произведения народного творчества;
. сообщения о событиях и фактах, имеющие официальный информационный характер.
Автор главный субъект авторского права. Это физическое лицо, творческим трудом которого создано произведение, являющееся объектом авторского права. Не имеет значения его дееспособность. Моментом возникновения авторского права является завершение создания произведения, без официального оформления авторства, независимо от опубликования. Для возникновения и осуществления авторского права не требуется регистрации произведения, или иного специального оформления, или соблюдения каких-либо формальностей [2].
Смежные права
Это права исполнителей, производителей фонограмм и организаций радио- и телевещания [2].
Они являются смежными по отношению к авторским правам, т.е. это права близкие, примыкающие, связанные с авторскими. Их роль своего рода посредническая между авторами и широкой аудиторией. Вместе с тем они являются вторичными по отношению к авторским правам, ибо обеспечивают использование произведений авторов.
Смежные права обеспечивают защиту творческого труда лиц, доносящих произведения авторов до широкой аудитории, от нелегального использования результатов их работы.
Субъекты смежных прав:
исполнители (актеры, музыканты, режиссеры, дирижеры и т.д.);
производители фонограмм (лица, первыми осуществившие звуковую запись исполнения);
организации эфирного или кабельного вещания (те, которые сами создали передачу либо по заказу и за счет которых создана передача).
Субъекты смежных прав должны иметь договор с автором произведения, а производители фонограмм и организации эфирного и кабельного вещания ещё и договор с исполнителем. Все субъекты смежных прав имеют исключительное право на использование произведения (исполнения, постановки, фонограммы, передачи). Это означает, что другие лица должны получать разрешение на первичную запись исполнения, постановки, передачу в эфир или по кабелю от субъектов этих прав. Они дают также разрешение на воспроизведение фонограммы, переделку, переработку и ряд других действий. Субъекты смежных прав имеют также право на вознаграждение. Эти права регулируются посредством договоров с пользователями, а сбор и выплата вознаграждения специальными организациями, управляющими смежными правами, которые создаются их субъектами. Срок действия смежных прав лет.
2. Стоимость интеллектуальной собственности, нематериальные активы и их оценка
2.1 Стоимость интеллектуальной собственности
Интеллектуальный капитал считается наиболее важным активом многих крупнейших и наиболее мощных мировых компаний; он служит основой для доминирования на рынке и обеспечения постоянной прибыльности ведущих корпораций. Он часто играет ключевую роль в слияниях и поглощениях, и хорошо осведомленные компании все шире используют лицензионные возможности для перемещения этих активов в юрисдикции с низким налогообложением. [10]
Тем не менее, роль ПИС в бизнесе понимается еще не в полной мере. Стандарты бухгалтерского учета обычно не могут отразить стоимость прав интеллектуальной собственности и нематериальных активов (ПИС) в счетах компании, и права интеллектуальной собственности часто не в полной мере оцениваются, используются и управление ими не всегда бывает на должном уровне. Несмотря на важность и сложность вопросов, касающихся прав интеллектуальной собственности, как правило, отсутствует необходимая координация между различными профессиональными специалистами, занимающимися вопросами ПИС. В целях лучшего понимания роли ПИС для компании, необходимо знать ответы на приводимые ниже вопросы: Какие права интеллектуальной собственности используются в бизнесе? Какова их стоимость (и следовательно, уровень риска)? Кто владеет ими (могу ли я подать иск, или может ли кто-либо подать иск против меня)? Как их можно лучше использовать (например, продажа или покупка технологии по лицензии)? На каком уровне мне нужно застраховать риск в области ПИС?
Одним из ключевых факторов, оказывающих влияние на успехи или неудачи компании, является степень эффективного использования интеллектуального капитала и оценка риска. Безусловно, руководство компании должно знать стоимость ПИС и взаимосвязанных рисков по той же причине, по какой оно должно знать стоимость принадлежащих компании материальных активов, потому что руководители предприятия должны знать стоимость всех активов и обязательств, находящихся под их управлением и контролем, для поддержания этой стоимости. Использование ПИС может иметь разные формы, начиная от непосредственной продажи активов, организации совместного предприятия или заключения лицензионного соглашения. Безусловно, их использование увеличивает оценку риска.
Оценка представляет собой, прежде всего, объединение экономической концепции стоимости и правовой концепции собственности. Наличие активов представляет собой функцию их возможности обеспечивать доход и определять дисконтную ставку этого дохода. Кардинальное правило коммерческой оценки заключается в следующем: стоимость чего-либо не может быть указана абстрактно; все что может быть указано является стоимостью вещи в конкретном месте, в конкретное время, в конкретных обстоятельствах. Я придерживаюсь этого правила, и перед проведением оценки всегда задаю вопрос «кому?» и «для какой цели?»
Это правило особенно важно при оценке прав интеллектуальной собственности. Как правило, речь идет об одной или двух заинтересованных сторонах и оценка для каждой из них будет зависеть от конкретных обстоятельств. Если эти обстоятельства, и обстоятельства владельца прав не будут приняты во внимание, оценка будет бессмысленной.
Для того, кто проводит оценку нематериальных активов, расчет стоимости нематериальных активов обычно не представляет большой проблемы, если они получили официальную охрану с помощью товарных знаков, патентов или авторского права. Однако это не относится к таким нематериальным активам, как ноу-хау (которое может включать талант, профессиональные навыки и знание рабочих ресурсов), системы и методы подготовки, технические процессы, списки покупателей, сети распространения и т.д. Эти активы могут быть в равной степени ценными, но более трудными для определения с точки зрения обеспечиваемых ими поступлений и прибыли. В отношении многих нематериальных активов необходимо проводить очень тщательный предварительный анализ вместе с юристами, занимающимися вопросами ИС и бухгалтерами компании. [23]
Существует четыре основных понятия, а именно: владельческая стоимость, рыночная стоимость, справедливая стоимость и налоговая стоимость. Владельческая стоимость часто определяет цену в обсуждаемых сделках и часто зависит от точки зрения владельца в отношении стоимости, если бы он был лишен права собственности. Основой рыночной стоимости служит предположение о том, что если сравнимая стоимость имеет определенную цену, то цена рассматриваемой собственности будет близка к ней. Концепция справедливой стоимости, по своей сути, представляет собой желание обеспечить справедливые условия для обеих сторон. Она признает, что сделка осуществляется не на открытом рынке, и что контакт продавца с покупателем происходит в предусмотренной законом форме. Налоговая стоимость с начала века стала предметом прецедентного права во всем мире и она представляет собой малопонятную практику. Существуют квази-концепции стоимости, которые затрагивают каждую из этих основных областей, в частности, инвестиционная стоимость, ликвидационная стоимость и стоимость действующего предприятия.
2.2 Методы оценки нематериальных активов
Приемлемые методы оценки определяемых нематериальных активов и интеллектуальной собственности подразделяются на три широкие категории. Это методы, основанные на рыночных отношениях, основанные на стоимости, или основанные на оценке прошлых и будущих экономических выгод.
В идеальной ситуации независимый эксперт всегда предпочтет определить рыночную стоимость путем ссылки на сравнимые рыночные операции. Это достаточно трудно при оценке таких активов, как кирпичи и строительный раствор, потому что здесь невозможно найти абсолютно сравнимую сделку. При оценке объекта интеллектуальной собственности, поиск сравнимой рыночной операции становится практически бесполезным. Это не только связано с отсутствием совместимости, но также и с тем, что критерии продажи интеллектуальной собственности, как правило, еще недостаточно разработаны, и многие случаи продажи представляют собой только небольшую часть более крупной сделки, подробности которой остаются строго конфиденциальными. Существуют другие препятствия, которые ограничивают пользу такого метода, в частности, специальные покупатели, различные переговорные навыки и искажающие эффекты пиков и низших точек экономических циклов. В целом, это подтверждает мое возражение против таких заявлений, как «это является правилом большого пальца в этом секторе».
Оптимизированные по стоимости методологии, такие как «стоимость создания» или «стоимость замены» конкретного актива предполагают, что существует определенная взаимосвязь между стоимостью и ценностью, и этот подход ничем не привлекателен, за исключением простоты использования. Этот метод игнорирует изменения стоимости денег с учетом фактора времени и не учитывает расходы на содержание. [9]
Методы оценки, вытекающие из оценки прошлых и будущих экономических выгод (также называемые методами оценки дохода) могут быть разбиты на четыре группы: 1) капитализация исторических прибылей, 2) методы оценки разницы в валовой прибыли, 3) методы оценки сверхприбыли, и 4) метод освобождения от роялти.
. Капитализация исторической прибыли позволяет определять стоимость ПИС путем умножения поддерживаемой исторической прибыльности актива на кратное число, которое было определено после достижения относительной силы ПИС. Например, кратное число определяется после оценки бренда в свете таких факторов, как лидерство, стабильность, доля на рынке, интернациональность, тенденция прибыльности, маркетинговая и рекламная поддержка и охрана. В то время как данный процесс капитализации учитывает некоторые из факторов, которые следует принимать во внимание, он имеет серьезные недостатки, связанные, главным образом, с получением прошлых доходов. Этот метод почти не учитывает будущие возможности.
. Методы оценки разницы в валовой прибыли часто ассоциируются с оценкой товарных знаков и брендов. Эти методы рассматривают различия в продажных ценах, скорректированные с различиями в рыночной стоимости, то есть разницу между пределом колебания цены марочного и / или патентованного продукта и продукта без марочного названия или с родовым названием. Эта формула используется для обеспечения движения денежной наличности и расчета стоимости. Нахождение родовых эквивалентов для патента и определяемых различий в цене значительно более сложная задача, чем определение различий в цене на розничный бренд.
. Метод определения сверхприбыли рассматривает текущую стоимость чистых материальных активов, используемых в качестве базы для расчетной нормы прибыли. Он используется для расчета прибыли, которая требуется для поощрения инвесторов вкладывать средства в эти чистые материальные активы. Любые доходы, полученные в дополнение к прибыли, необходимой для поощрения инвестиций, рассматриваются как сверхдоходы, обеспечиваемые ПИС. Хотя теоретически этот метод основывается на будущих экономических выгодах за счет использования активов, он связан с трудностью корректировки альтернативного использования активов.
. Метод освобождения от роялти учитывает, что может позволить покупатель, или что он готов уплатить за лицензию на аналогичные ПИС. После этого поток роялти капитализируется, что отражает взаимосвязь между риском и доходностью инвестирования в данный актив.
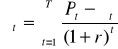
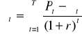
Анализ дисконтированного денежного потока учитывает последние три методологии и вероятно представляет собой наиболее всеобъемлющий метод оценки. Необходимо сделать тщательную оценку потенциальной прибыли и денежных потоков и после этого сопоставить их с существующей стоимостью путем использования дисконтной ставки или ставок. Математическое моделирование дисконтного денежного потока подтверждает тот факт, что 1 евро в вашем кармане сегодня стоит больше, чем 1 евро в следующем году или 1 евро еще через один год. Ценность денег с учетом фактора времени рассчитывается путем корректировки ожидаемых будущих доходов по отношению к сегодняшней стоимости денег с использованием дисконтной ставки. Дисконтная ставка используется для расчета экономической ценности и включает компенсацию за риск и за ожидаемые уровни инфляции.
При рассмотрении вашего актива, оценщик должен будет учитывать среду использования актива для определения потенциала роста рыночных доходов. Прогнозирование рыночных доходов будет критическим этапом в процессе оценки. Потенциальные доходы необходимо оценивать посредством соотношения с долговечным характером актива и его реализуемостью на рынке, и поэтому рассмотрение расходов должно увязываться с оценкой остаточной стоимости или конечной стоимости, если таковые имеются. Этот метод учитывает условия рынка, возможную производительность и потенциал, и стоимость денег с учетом фактора времени. Он иллюстративен в отношении потенциала денежного потока, и не иллюстративен в отношении собственности, он привлекает большое внимание и широко используется в финансовом сообществе.
Применяемая к денежным потокам дисконтная ставка может быть определена путем использования различных моделей, включая здравый смысл, метод накопления, модели роста дивидендов и модель ценообразования основного капитала, использующую взвешенное среднее значение стоимости капитала. Последнее, по всей вероятности, будет предпочитаемым вариантом.
Эти процессы не приведут ни к чему, если должное внимание и процесс оценки не позволят определить оставшийся срок полезной службы и темпы распада. Это даст возможность определить самый короткий из следующих периодов: физический, функциональный, технологический, экономический и правовой. Этот процесс необходим потому, что как и любые другие активы, ПИС обладают различной возможностью обеспечивать экономические доходы в зависимости от этих основных периодов. Например, в модели дисконтированного денежного потока было бы неправильным рассчитывать на получение денежных потоков в течение всего правового периода охраны авторского права, который может составлять более 70 лет, когда оценка относится к компьютерному программному обеспечению, имеющему короткий экономический срок службы в течение 1лет. Однако, тот факт, что правовой срок действия патента составляет 20 лет, может быть очень важным для целей оценки, что часто можно наблюдать в фармацевтическом секторе, когда конкуренты, выпускающие воспроизводимые лекарственные средства, спешат как можно быстрее пробиться на рынок, когда прекращается срок действия охраны с целью ослабления монопольных позиций. Идея заключается в том, что при проведении оценки с использованием модели дисконтированного денежного потока, оценщику никогда не следует делать прогнозы на срок, больший чем эти основные периоды.
Следует отметить, что во многих ситуациях после тщательного рассмотрения этих периодов с целью прогнозирования денежных потоков, часто невозможно дать достоверный прогноз на период более 4лет. Математическое моделирование учитывает это таким образом, что в конце периода, когда прогнозирование становится бесполезным, а денежные потоки не «свалятся с неба», используется конечная стоимость, которая рассчитывается путем использования умеренных темпов роста (например, инфляции), сохраняющих постоянный уровень в течение года, но также не учитывающих этот прогноз применительно к дате оценки.
Несмотря на то, что некоторые из вышеупомянутых методов широко используются финансовым сообществом, важно отметить, что оценка представляет собой больше искусство, чем науку, и носит характер междисциплинарного исследования, охватывающего такие области, как право, экономика, финансы, бухгалтерский учет и инвестиции. Было бы опрометчиво пытаться выполнить оценку с использованием, так называемых промышленных/отраслевых стандартов без учета фундаментальной теоретической базы оценки. При проведении оценки ПИС очень важное значение имеет контекст и оценщик должен учитывать это при определении реальной стоимости активов.
3. Проблемы использования интеллектуальной собственности и нематериальных активов в условиях инновационно - ориентированной экономики
3.1.Роль и место интеллектуальной промышленной собственности в эффективном развитии предприятия.
Один из таких ресурсов накопленный научно-технический потенциал, обусловленный историческим положительным опытом развития и совершенствования образования и науки, Очевидно, роль этого ресурса для Казахстана постоянно возрастает, особенно учитывая отмеченные выше тенденции. Как следствие, все больше внимания должно уделяться повышению отдачи от имеющегося научно-технического потенциала, в частности путем создания нормативно-правовых условий, обеспечивающих вовлечение в гражданский оборот результатов интеллектуальной деятельности (далее РИД), созданных прежде всего за счет средств государственного бюджета. В настоящее время (и в ближайшей перспективе) в Казахстане наиболее значимые научные и научно-технические результаты достигаются именно за счет средств государственного бюджета. Этим в первую очередь и объясняется поставленная Правительством РК задача обеспечить повышение эффективности использования средств государственного бюджета, выделяемых на проведение научных исследований фундаментальных и прикладных, выполнения за счет средств государственного бюджета научно-исследовательских, опытно-конструкторских и технологических работ. [25]
Для гражданского оборота РИД требуется разрешительная практика использования научно-технических достижений. Однако нематериальный характер данных результатов обусловливает необходимость установления особого режима их правовой охраны в отличие от материальных объектов. Основу такого режима обеспечивает специальная законодательная база, включающая, в частности, Патентный закон РК (далее Патентный закон), законы РК «О правовой охране топологий интегральных микросхем» и «О правовой охране программ для электронных и вычислительных машин и баз данных». Аналогичные правовые нормы уже несколько веков действуют во всех цивилизованных государствах, обеспечивая исключительные права на РИД автора создателя технологии или фирмы-производителя.
Трансформация РИД, не имеющих правовой охраны, в объекты интеллектуальной собственности, охраняемые в соответствии с Патентным законом или в режиме коммерческой тайны, создает необходимые условия для их легального оборота наравне с материальными объектами. Разрешительный режим использования запатентованных изобретений, а также результатов, охраняемых в режиме коммерческой тайны, например, технической документации, служит правовой основой процесса коммерциализации научно-технических достижений. При этом главной проблемой, препятствующей развитию рынка технологий, является отсутствие во многих случаях правовой охраны РИД. Недооценка необходимости правовой охраны полученных результатов препятствует эффективному, юридически корректному использованию научно-технического потенциала, развитию рынка отечественных технологий.
Практически во всех трудах представителей экономической науки в качестве завершающей стадии инновационного цикла инновационно-ориентированной экономики, называется распространение инноваций. Попутно обозначаются проблемы, препятствующие их распространению. Большинство ученых связывают данное обстоятельство с недостатками законодательства в области ИС, период цивилизованного владения которой как особым видом товара не имеет длительной истории. Следствием этого является тот факт, что цельной теории права ИС и системного законодательства в указанной области долгое время в Казахстане не было, а существующие правовые институты, оформляющие порядок владения и передачи объектов ИС, долгое время оставались довольно экзотичными.
С уходом в прошлое безраздельного господства государства в сфере использования продуктов ИС возникла потребность в определении границ индивидуального, а не всеобщего государственного контроля над различными духовными ресурсами, выступающими в виде результатов интеллектуальной деятельности, в том числе в процессе отчуждения. В 90-е годы, в период кардинальной перестройки экономики нашей страны, стало складываться убеждение в необходимости системного законодательства в сфере правового регулирования ИС. [23]
Согласно действующей Конституции РК ИС охраняется законом. Данная норма раскрывается в Гражданском кодекса РК, а также в ряде важнейших законов, относящихся к институту ИС. Издаются специальные труды и учебники, ряд вузов разработал блок учебных программ по вопросам ИС, эта тема стала объектом научно-исследовательских статей. Однако, несмотря на усилия ученых и законодателей, ИС продолжает быть «вещью в себе», а традиционные концепции авторского и патентного права остаются ориентированными в большей степени на интересы государства, нежели на интересы создателей продуктов ИС и их потребителей. Здесь продолжает сказываться факт длительного формирования интеллектуальных запасов за счет бюджетных ассигнований, что не создавало стимулов к анализу механизмов коммерциализации накопленного потенциала. Готовясь к вступлению во Всемирную торговую организацию (ВТО), в Казахстане постепенно начинают понимать, что ИС может и должна использоваться, в том числе в прагматических, коммерческих целях.
Современная идея маркетинга исходит из того, что сами по себе новшества не конечная цель, а лишь средство удовлетворения потребностей потребителя. При таком подходе инновационный процесс рассматривается как передача знаний в сферу удовлетворения нужд потребителей. Это побуждает юридическую науку к поиску новых аспектов в теории права ИС, когда недостаточно исследовать лишь сам институт ИС и отдельные правовые формы коммерческого использования объектов ИС. Для плодотворного развития теории ИС на почве новых правовых реалий в первую очередь требуется разработка ее методических основ, которые помогли бы не только решить проблемы, связанные с толкованием понятий, являющихся до сих пор предметом дискуссий, но и сняли бы остроту некоторых конкретных практических вопросов. Особую значимость обретает уже не только факт создания объектов ИС и прав на нее, но и адаптация таких объектов к развивающимся рыночным отношениям, точнее проблема их оборота, больше известная как проблема коммерциализации, либо, говоря ординарными терминами экономической науки, проблема диффузии или трансфера технологий.
Ориентир на инновационную экономику существенно видоизменил место и роль ИС в современной экономической жизни и хозяйственном обороте, а степень вовлечения в коммерческий оборот ее объектов становится важным фактором развития рынка. Наличие четких прав собственности это лишь средство достижения цели. Конечная цель состоит не в выявлении прав собственности как таковых, а в создании действенной системы вовлечения промышленных инноваций и технологий в хозяйственный оборот на основе эффективной передачи и распространения ИС от лаборатории до рынка.
В странах с давно сложившимися цивилизованными формами бизнес-отношений история создания и жизни продукта, будь то товар или услуга, состоит из четырех, замкнутых в цикл, этапов. Первый этап это исследования, разработка нового продукта, его «раскрутка» и презентация. Для этого периода характерно постепенное наращивание объемов производства или реализации продукта без каких-либо гарантий на высокий и стабильный доход. Более того, данный этап является периодом больших затрат в виде инвестиций в научные исследования, технические разработки и изобретения, которые позволяют создавать конкурентоспособный продукт. Инвестиции осуществляются за счет так называемого венчурного капитала. Второй этап жизни продукта начинается тогда, когда продукт становится узнаваем и конкурентоспособен на рынке, а, следовательно, успешно продвигается. Прибыль от его реализации постепенно увеличивается. Третий этап плавное снижение спроса на продукт и, как следствие этого, снижение уровня рентабельности его производства и реализации. Для четвертого этапа характерно столь существенное снижение спроса на продукт, что продолжение его производства или реализации становятся невыгодным, а потому прекращается.
Для западных коммерческих и производственных структур наступление четвертого этапа жизни их продукта не означает завершения деятельности самой структуры и уход с рынка. Уже на втором этапе жизни продукта западные фирмы и предприятия приступают к разработке нового, еще более конкурентоспособного продукта, продолжая вкладывать свой венчурный капитал в научно-исследовательские работы и эксперименты, или покупая чужие идеи и изобретения, способные после их внедрения приносить прибыль. Таким образом, когда первый продукт достигает третьего этапа своей жизни и спрос на него начинает падать, а объемы производства сокращаться, предприятие приступает к наращиванию объемов выпуска нового продукта. На четвертом этапе, полностью прекращая работу с неконкурентоспособным продуктом, структура выходит на максимальную отметку спроса на свой новый продукт, продолжая при этом вкладывать средства в создание все новых и новых продуктов. Благодаря этому структура может долгие годы успешно работать на рынке, постепенно увеличивая уровень рентабельности своей деятельности.
Судьба продукта, созданного коммерческими или производственными структурами, в большинстве своем складывается иначе. В истории его жизни практически полностью отсутствуют первый и второй этапы. Существование же в рамках третьего и четвертого этапов обрекает этот продукт на быстрое «вымирание». Что же касается самого производителя продукта, то его активность также затухает, поскольку он, как правило, не имеет либо новых идей, либо средств на их изыскание и разработку. А чаще всего у него нет ни того, ни другого.
Дело в том, что положение по бухгалтерскому учету №14/01 «Учет нематериальных активов», действующее с 1 января 2001 года не предусматривает возможности оформления через бухгалтерские документы, а значит, законного поступления на счета предприятий средств для проведения исследований и разработок и, по сути, препятствует ведению активной исследовательской деятельности.
Рассмотрим, чем отличается отечественное предприятие от западного. Прежде всего, структурой баланса, вернее, структурой активов и их стоимостью. В стоимости активной части баланса любого западного предприятия или коммерческой фирмы не менее 30, а то и 70% занимают нематериальные активы. При этом к нематериальным активам на западе относятся все виды интеллектуальной собственности, то есть не только такие устоявшиеся, «конкретные», как торговые марки, промышленные образцы, научные, маркетинговые и управленческие разработки и изобретения, но и более «эфемерные» категории, например, имидж, репутация предприятия, гарантирующая неизменно высокое качество его продукту.
В балансе же национального предприятия все выглядит иначе. Активы здесь более чем на 100% состоят из основных средств, незавершенного производства, товаров на складе, машин и оборудования и так далее. Таким образом, нематериальные активы у нас составляют не более, а чаще менее 1% от стоимости всей активной части баланса.
К нематериальным активам у нас, в отличие от западных норм, относятся только те виды интеллектуальной собственности, которые могут быть зафиксированы на каком-либо материальном носителе информации. Тот же товарный знак, например, патенты, изобретения, промышленные образцы и тому подобное. Что же касается имиджа предприятия, то этот вид нематериальных активов для национальных балансов просто недоступен. Его нельзя даже учесть до продажи предприятия, поскольку имидж на материальном носителе информации, не фиксируется.
Между тем, западные экономисты довольно успешно и точно обсчитывают имидж, невзирая на то, что термин этот ассоциируется скорее с эмоциями и ощущениями. Стоимостное выражение имиджа предприятия находится следующим образом. Берется стоимость предприятия в целом, затем определяется стоимость его материальной составляющей. Разница между двумя этими величинами будет являться стоимостью всех нематериальных активов предприятия. Далее, из полученного показателя вычитается стоимость тех нематериальных активов, которые можно зафиксировать на материальных носителях информации, например, на бумаге, дискете или еще на чем-либо. Полученная разница и будет стоимостью репутации. В «раскрученных» западных фирмах она составляет 30% от стоимости всего предприятия. Для того, чтобы убедиться в весомости суммы, достаточно привести пример продажи за $20 млн. торговой марки фирмы «Adidas». Вслед за этим придет понимание того, каких средств недосчитываются наши предприятия, не имея возможности ставить на свой баланс нематериальные активы, которые просто невозможно фиксировать на материальных информационных носителях.
С теми нематериальными активами, которые фиксируются на указанных носителях, у нас также не все благополучно. Балансовая стоимость их определяется неверно. Например, стоимость товарных знаков и торговых марок в нашей стране определяется по затратной части. То есть в балансах наших предприятий найдут отражение лишь небольшие денежные суммы, связанные с расходами на изготовление товарного знака, его регистрацию и поддержание, что составляет, обычно, не более одного процента от стоимости имиджа, поддерживать который могли бы эти торговые марки.
Не лучше обстоят дела и с определением балансовой стоимости другого вида нематериальных активов патентами и изобретениями, которые самым непосредственным образом участвуют в формировании имиджа предприятия. Их балансовая стоимость также определяется по затратной части, на основании тех сумм, которые были выплачены авторам или разработчикам, но не исходя из размера возможной прибыли, которую эти изобретения смогут принести предприятию в будущем. Понятно, что заранее оценить отдачу от изобретения всегда сложно. Тем не менее, методики, позволяющие это делать с достаточно высокой степенью точности, существуют давно и западные предприниматели весьма успешно ими пользуются.
Еще менее проработана ситуация с таким видом нематериальных активов, как ноу-хау в сфере управления и организации производства, маркетинговых и рекламных технологий. Наше законодательство пока не позволяет их защищать и даже регистрировать, тем более невозможно это оценивать, а значит, и отражать на балансе предприятия. И на западе не все в этой области интеллектуальной собственности подлежит регистрации. В основном предприниматели хранят подобного рода ноу-хау, как коммерческую тайну столько, сколько это будет возможно.
Благодаря тому, что действующее законодательство не признает, а значит и не допускает в балансы предприятий ту часть нематериальных активов, которая не может быть зафиксирована на материальных носителях информации, то есть имидж, а стоимость «легальных» нематериальных активов в виде товарных знаков, патентов, изобретений и т.д. рассчитывается некорректно, то данные балансовой отчетности предприятия оказываются весьма далекими от реальной стоимости его нематериальных активов, а значит и от реальной стоимости самого предприятия. Это приводит, как минимум, к двум неприятным последствиям: нематериальные активы должным образом не амортизируются и не развиваются, а «подешевевшее» предприятие не имеет возможности привлекать инвестиции для исследований и разработок, то есть получать нужные для создания венчурного капитала кредиты, а, следовательно, создавать все новые и новые виды продукта.
Опасность этой ситуации уже начинают осознавать многие серьезные предприниматели и приступают к поиску выхода из сложившегося положения. Простейший алгоритм действий в этом направлении может быть таким.
во-первых, необходимо пересмотреть все материальные активы своего предприятия и заново определить их реальную стоимость;
во-вторых, прибавив к этому показателю корректно рассчитанную (не по затратному принципу) стоимость нематериальных активов, увеличить, таким образом, стоимость своего предприятия в два-три раза;
в-третьих, взять заем под стоимость акций или средств своего предприятия и развиваться дальше.
При этом, необходимо принять во внимание, что доля нематериальных активов в стоимости акций предприятий, котирующихся на фондовом рынке, составляет около 50 процентов. Это серьезная сумма, позволяющая компании уже на втором этапе своего развития начать разработку следующего продукта, а к моменту выхода компании на третий-четвертый этапы предложить его рынку и сохранить, таким образом, свою активность и конкурентоспособность.
Есть и другие, более сложные методики решения проблемы создания венчурного капитала. В любом случае, этой задачей надо заниматься серьезно и начинать это делать немедленно. Если не найти способ исправить ситуацию и запустить нормальный, четырехэтапный цикл жизни для наших товаров, то технологические и производственные возможности предприятий будут все больше отставать от запада. Тогда нам придется вечно покупать иностранные патенты и технологии. К тому же, стоимость патентов и плата за их использование может составлять в стоимости готового товара до 80%. То есть деньги будут опять уходить на запад, а наши предприятия так и не получат средства на развитие собственных технологий.
В настоящее время в США, Франции, Великобритании и других странах успешно используется страхование, как способ защиты интересов правообладателей объектов ИС. Отечественный рынок пока, к сожалению, не может похвастаться успехами в этой области, делаются первые шаги как в деле коммерциализации ИС, так и в разработке методики её страхования. Отсутствие адекватной защиты права на ИС делает бессмысленным её создание, поэтому правообладатели и страховщики должны работать вместе. Зарубежные страховщики связывают перспективы страхования в сфере ИС не столько с расширением объёма своей ответственности (т.е. разнообразием рисков), сколько с вовлечением в сферу страхования большего количества предпринимателей, в первую очередь предприятий малого и среднего бизнеса.
Хозяйствующему субъекту любой формы собственности необходимо уметь грамотно анализировать ситуацию на рынке продукции (услуг), вести учет тенденций спроса на свои разработки или продукцию (услуги), закреплять за собой рыночную «нишу» и быть серьезно подготовленным в области предпринимательской деятельности, маркетинга, знать правовые, юридические основы отношений с партнерами. [22]
Тактика игнорирования подобных действий неизбежно обернется для предприятий в будущем полной потерей конкурентной способности их продукции на внешних и внутренних рынках.
Практическое же использование нематериальных активов в экономическом обороте предприятий, превращение их в конкретный механизм для коммерческой оценки результатов интеллектуального труда, интеллектуальной собственности дает возможность современному предприятию (фирме):
- изменить структуру своего производственного капитала за счет увеличения доли нематериальных активов в стоимости новой продукции и услуг, увеличив их наукоемкость, что сыграет определенное значение для повышения конкурентной способности продукции и услуг;
- экономически эффективно и рационально использовать незадействованные и лежащие «мертвым грузом» нематериальные активы, которыми все еще располагают многие предприятия, фирмы, НИИ, КБ, научно-исследовательские лаборатории и т.д.
Процесс коммерциализации инновационной сферы условно можно свести к следующим стадиям:
Первая стадия - это грамотная классификация объектов интеллектуальной собственности, на базе которой должна формироваться предварительная оценка их рыночной стоимости. Однако в настоящее время предприятия либо ее не выполняют, либо делают это по-дилетантски. Поэтому необходима профессиональная разработка базовых методологических и методических рекомендаций.
Вторая стадия - это включение стоимости объектов нематериальных активов в состав имущества предприятий по бухгалтерскому счету 04 «Нематериальные активы».
Третья стадия коммерциализации нематериальных активов заключается:
- в активном выходе предприятий на рынок научно-технической продукции;
-в умении найти своего покупателя, овладевать искусством предпринимателя, т.е. самому искать заказчика (потребителя) для своей идеи или разработки;
- в умении рекламировать их;
- в умении писать в журналы, пробиваться на телевидение и т.д.
Интеллектуальная собственность является объектом собственности, которым можно не только владеть, пользоваться и распоряжаться, но и (при правильном документальном оформлении) использовать в уставном фонде и в хозяйственной деятельности предприятия в качестве нематериальных активов.
Использование интеллектуальной собственности в уставном фонде позволяет предприятию и авторам - создателям интеллектуальной собственности получить следующие практические преимущества:
- сформировать значительный по размерам уставный фонд без отвлечения денежных средств и обеспечить доступ к банковским кредитам и инвестициям (интеллектуальную собственность можно использовать наравне с другим имуществом предприятия в качестве объекта залога при получении кредитов);
- амортизировать интеллектуальную собственность в уставном фонде и заместить интеллектуальную собственность реальными денежными средствами (капитализировать интеллектуальную собственность). При этом амортизационные отчисления на законных основаниях включаются в себестоимость продукции (не облагаются налогом на прибыль);
- авторам и предприятиям - владельцам интеллектуальной собственности участвовать в качестве учредителей (собственников) при организации дочерних и самостоятельных фирм без отвлечения денежных средств.
Использование интеллектуальной собственности в хозяйственной деятельности позволит:
- документально подтвердить права собственности и поставить объекты интеллектуальной собственности на баланс в качестве имущества предприятия. Это дает возможность производить амортизацию интеллектуальной собственности и образовывать соответствующие фонды амортизационных отчислений за счет себестоимости продукции;
- получить дополнительные доходы за передачу прав на использование объектов интеллектуальной собственности, а также обеспечить обоснованное регулирование расценок на продукцию инновационной деятельности предприятия в зависимости от объема передаваемых прав на использование интеллектуальной собственности;
- выплачивать авторское вознаграждение физическим лицам (авторам) минуя фонд оплаты труда с включением затрат в себестоимость (без традиционных отчислений в страховые и иные фонды и без ограничения размеров выплат с отнесением затрат на выплату авторского вознаграждения на статью себестоимости продукции - "прочие расходы").
Кроме этого документальное подтверждение прав собственности и прав на использование интеллектуальной собственности, а также получение официальных охранных документов позволяет обеспечить реальный контроль за долей рынка и возможность законного преследования недобросовестных конкурентов и "пиратов" (нарушителей исключительных прав на объекты интеллектуальной собственности).
Будущие доходы от нематериальных активов зачастую оказываются весьма значительными. Инвестиции в исследования и разработки, обучение и т.п. на самом деле существенно увеличивают в случае успеха стоимость предприятия. Игнорировать этот факт было бы ошибкой. Современная экономика ждет инноваций нового типа: отчетов о результатах работы компании, которые выходят за узкие рамки финансовой отчетности. Нужно расширить прогнозы прибыли, включив в них сферы компетенции и удовлетворенность потребителей, описать потенциал предприятия, используя факторы, от которых зависит ее успех, показатели эффективности управления, а также оценки уровня применяемой технологии. Предприятию выгодно систематически предоставлять заинтересованным сторонам подобные отчеты о своих нематериальных активах и разъяснять им, каков конкретный вклад этих активов в повышение стоимости их производственных процессов. [23]
3.2.Формы экономического оборота интеллектуальной промышленной собственности.
Поступление нематериальных активов на предприятие.
Нематериальные активы зачисляются в состав нематериальных активов на основании акта приемки по мере создания или поступления их на предприятие или окончания работ по доведению их до состояния, пригодного к использованию в запланированных целях.
При наличии охранного документа, выданного уполномоченным государственным органом и подтверждающего права на нематериальные активы, в качестве учетной единицы может быть указан охранный документ как эквивалент прав, вытекающих из этого охранного документа.
Нематериальные активы могут поступать в организацию следующими способами:
приобретение нематериальных активов за плату;
создание нематериальных активов самой организацией;
поступление нематериальных активов от учредителей в счет их вклада в уставный капитал организации;
безвозмездное получение нематериальных активов от других организаций и физических лиц;
поступление нематериальных активов в обмен на другое имущество.
Приобретение нематериальных активов за плату.
Когда предприятие покупает тот или иной нематериальный актив, то оно несет в этих целях определенные расходы. Например, помимо платежей в пользу предыдущего владельца, может понадобиться оплатить услуги посредника, чьими усилиями был найден необходимый объект, работу консультанта, чьими услугами воспользовались при составлении текста договора, стоимость регистрации возникших прав нового собственника и осуществить иные подобные затраты, непосредственно связанные с покупкой данного имущества.
В результате выявится определенная сумма, отдельные части которой объединяет общее целевое предназначение приобретение нематериального актива. Именно эту сумму предписано принять на баланс в качестве первоначальной стоимости нематериального актива, приобретенного за плату.
Создание нематериальных активов самой организацией.
Если нематериальные активы создаются самой организацией, то состав связанных с этим процессом расходов будет достаточно широким и разнообразным. Они могут включать израсходованные материальные ресурсы, заработную плату задействованного в этом процессе персонала, включая всю совокупность начислений на фонд оплаты труда, оплату услуг сторонних организаций по контрагентским и (или) соисполнительским договорам.
Поступление нематериальных активов от учредителей в счет их вклада в уставный капитал организации.
Нематериальный актив, полученный в качестве вклада учредителя в уставный капитал организации, не оплачивается. Однако в этом случае рыночную ситуацию и конъюктуру спроса и предложения во внимание принимать не нужно. Взнос учредителя оценивается, и, следовательно, первоначальная стоимость нематериального актива формируется по согласованию между учредителями (кроме случаев, когда законодательством РК предусмотрен иной порядок).
Безвозмездное получение нематериальных активов от других организаций и физических лиц.
При получении нематериального актива безвозмездно по договору дарения ситуация, несмотря на определенное внешнее сходства, коренным образом отличается от процесса формирования уставного капитала.
Расходы по уплате регистрационных сборов, государственных пошлин, оценке объектов нематериальных активов, полученных безвозмездно, и другие непосредственно связанные с получением нематериальных активов и доведением до состояния, в котором они пригодны к использованию, учитываются в составе затрат на капитальные вложения.
Учет нематериальных активов.
Главные задачи учета нематериальных активов: формирование информации, отражающей движение (поступление, выбытие, получение (передача) прав по лицензионным или авторским, договорам) объектов нематериальных активов в организации; формирование на счетах бухгалтерского учета первоначальной стоимости; отражение в бухгалтерском учете амортизации нематериальных активов; определение результатов реализации и прочего выбытия нематериальных активов.
Единицей бухгалтерского учета нематериальных активов является инвентарный объект. Инвентарным объектом нематериальных активов считается совокупность прав, возникающих из одного патента, свидетельства, договора уступки и тому подобное. Основным признаком, по которому один инвентарный объект идентифицируется от другого, служит выполнение им самостоятельной функции в производстве продукции, выполнении работ или оказании услуг, либо использование для управленческих нужд организации.
Амортизация нематериальных активов.
Немаловажным аспектом учета нематериальных активов является их амортизация, обеспечивающая равномерный перенос на стоимость выпускаемой продукции одномоментных расходов, имевших место при получении в собственность нематериальных активов, используемых в процессе выпуска этой продукции.
Амортизация нематериальных активов начисляется:
- по объектам, используемым в предпринимательской деятельности, - исходя из выбранного срока полезного использования линейным, нелинейным или производительным способами;
по объектам, не используемым в предпринимательской деятельности,
исходя из нормативного срока службы линейным способом.
Инвентаризация нематериальных активов.
Инвентаризации подлежит все имущество организации, в том числе и нематериальные активы.
Как и в общем случае, основными целями инвентаризации нематериальных активов являются:
- выявление фактического наличия нематериальных активов;
- сопоставление фактического наличия нематериальных активов с данными бухгалтерского учета;
проверка полноты отражения в учете.
При обнаружении неучтенного объекта комиссия имеет право выбрать метод оценки его стоимости, учитывая технико-экономические данные объекта, установить его возможный нормативный срок полезного использования.
Выбытие нематериальных активов.
Выбытие (снятие с учета) инвентарных объектов нематериальных активов осуществляется в случае:
- реализации;
- безвозмездной передачи;
- списания по истечении нормативного срока службы или срока его полезного использования;
- внесения в качестве вклада в уставный фонд другой организации с полной передачей (уступкой) имущественных прав;
- а также в других случаях, предусмотренных законодательством РК.
Передача прав на нематериальные активы.
Предприятие может передать права на использование нематериальных активов любому юридическому или физическому лицу, при этом оформляется лицензионный договор. Право собственности остается у лицензиара. К тому же можно оформить исключительную или неисключительную лицензию. При неисключительной - лицензиар сохраняет за собой все права, подтвержденные патентом, при исключительной - лицензиар использует лишь те права, что не перешли к лицензиату. За передачу лицензиар может потребовать единовременное вознаграждение (паушальный платеж), а также получить периодические платежи (роялти). Порядок отражения этих платежей зависит от того, является ли такая деятельность основной или нет.
Списание нематериальных активов.
Нематериальные активы подлежат списанию с баланса, если они больше не используются для целей производства продукции (выполнения работ, оказания услуг) либо для управленческих нужд организации, т.е. в связи с прекращением срока действия патента, свидетельства, других охранных документов, в связи с уступкой (продажей) исключительных прав на результаты интеллектуальной деятельности, либо по другим основаниям. Доходы и расходы от списания нематериальных активов подлежат отнесению на финансовые результаты организации. [23]
3.3 Основные проблемы оценки интеллектуальной промышленной собственности.
.3.1. Основные виды и методы оценки интеллектуальной промышленной собственности.
Как правило, оценка нематериальных активов требуется при решении некоторой конкретной задачи, связанной с использованием имущественных прав на данные нематериальные активы и обусловлена целью этого использования.
Нематериальные активы очень емкое и не всегда четко определенное понятие и поэтому при их оценке необходимо правильно классифицировать объект оценки.
Оценка нематериальных активов и интеллектуальной собственности производится в соответствии с Методическими рекомендациями по оценке стоимости и учету объектов интеллектуальной собственности в составе нематериальных активов.
Документы, необходимые для оценки:
- описание объекта;
- правоустанавливающие документы на объект (патенты, свидетельства, лицензионные соглашения, договоры, авторские договоры и др.);
- срок использования объекта.
При более детальном ознакомлении с объектами, в зависимости от их состава, специфики и целей оценки формируется запрос оценщика на прочую дополнительную информацию и документацию.
Нематериальные активы предприятия оцениваются по тем же видам стоимости, что и другое имущество, т. е. по восстановительной, рыночной, инвестиционной, залоговой, страховой, налогооблагаемой и так называемой первоначальной.
Первоначальная стоимость это стоимость нематериального актива, по которой он (актив) первоначально учитывается на балансе предприятия. Эта стоимость слагается из затрат на создание (или приобретение) актива и его доводку, в результате которой он может использоваться на предприятии (см. Таблицу 1). [22]
Изменение первоначальной стоимости объектов нематериальных активов предусмотрено в следующих случаях:
- проведение переоценки нематериальных активов по решению Правительства РБ;
- внесение установленных в соответствии с законодательством платежей, связанных с подтверждением имущественных прав;
- капитальные вложения в улучшение объектов промышленной собственности, компьютерные программы и базы данных собственного производства;
Таблица 1. Определение первоначальной стоимости нематериальных активов.
|
Канал приобретения (поступления) нематериальных активов |
Под первоначальной стоимостью понимается: |
|
1. Приобретение за плату у других организаций и физических лиц |
стоимость самого нематериального актива, включая паушальный платеж; услуги сторонних организаций, связанные с приобретением и оценкой объектов нематериальных активов; таможенные платежи, регистрационные сборы, государственные пошлины и другие платежи, произведенные в связи с приобретением или получением прав на объекты нематериальных активов; налоги и другие платежи в бюджет в соответствии с законодательством; иные затраты, непосредственно связанные с приобретением объектов нематериальных активов |
|
2. Приобретение в обмен на другое имущество |
стоимость передаваемого имущества, по которой оно было отражено в учете, если иное не предусмотрено законодательством |
|
3. Безвозмездное получение от других организаций |
рыночная стоимость; в случае невозможности оценки по рыночной стоимости стоимость определяется по соглашению сторон, но не ниже балансовой стоимости, по которой данный нематериальный актив числился у передающей стороны |
|
4. Создание самой организацией |
сумма фактических расходов на создание нематериальных активов, которые включают в себя расходы на материальные ценности, оплату труда, услуги сторонних организаций, патентные пошлины и другие расходы |
|
5. Внесение учредителями в счет их вклада в уставный фонд организации |
сумма денежной оценки, согласованной учредителями (участниками) на день подписания договора о создании организации и (или) утверждения устава; сумма экспертной оценки в случаях, установленных законодательством |
- другие случаи в соответствии с законодательством.
Восстановительная стоимость (или стоимость воспроизводства) нематериального актива определяется суммой затрат, которые необходимо произвести, чтобы восстановить утраченный актив. Восстановительная стоимость определяется затратным подходом.
Рыночная стоимость это наиболее вероятная цена, которой должен достичь нематериальный актив на конкурентном и открытом рынке с соблюдением всех условий справедливой торговли, сознательных действий продавца и покупателя, без воздействия незаконных стимулов. При этом должны соблюдаться следующие условия:
- мотивации покупателя и продавца имеют типичный характер;
- обе стороны хорошо проинформированы, проконсультированы и действуют, по их мнению, с учетом своих интересов;
- нематериальный актив был выставлен на продажу достаточное количество времени;
- оплата произведена в денежной форме;
- цена является нормальной, не затронутой специфическими условиями финансирования и продажи.
Инвестиционная стоимость это стоимость нематериальных активов для конкретного инвестора, который собирается купить или вложить в актив свои финансовые средства для его доработки. Расчет этой стоимости актива производится исходя из ожидаемых данным инвестором доходов от его использования и конкретной ставки капитализации доходов, которую определяет сам инвестор.
Оценка нематериальных активов для залога осуществляется на базе рыночной стоимости. В данном случае необходимо различать залоговую стоимость нематериальных активов и размер кредита, ссужаемого под залог нематериального актива. Эти понятия различаются как по сути, так и по величине. Оценка рыночной стоимости нематериального актива производится исходя из параметров рынка нематериальных активов (в том числе ставки дохода данного рынка), тогда как размер кредита, хотя и под залог рассматриваемого нематериального актива, определяется исходя из параметров финансового рынка (в том числе степени риска на финансовом рынке). Поэтому размер кредита должен определять специалист по финансовому рынку» а не эксперт-оценщик.
Страховая стоимость нематериальных активов рассчитывается на основе восстановительной стоимости актива, который подвержен риску уничтожения. На базе страховой стоимости актива определяются страховые суммы, страховые выплаты и страховые проценты.
Стоимость нематериальных активов для налогообложения определяется на основе либо рыночной, либо восстановительной стоимости. Более точные результаты оценки для налогообложения получаются, когда определяется рыночная стоимость нематериальных активов.
На практике часто приходится рассчитывать не стоимость активов, а стоимость передачи прав на их использование, т. е. определять стоимость лицензии на рассматриваемый актив. В данном случае стоимость передачи прав зависит от их объема и условий передачи. Ниже мы рассмотрим методы оценки стоимости нематериальных активов.
Методы оценки нематериальных активов.
Для практической оценки стоимости нематериальных активов специалисты рекомендуют затратный, доходный и сравнительный подходы, обычно используемые в оценке других видов активов.
ДОХОДНЫЙ МЕТОД.
В соответствии с доходным подходом стоимость объекта нематериальных активов принимается на уровне текущей стоимости тех преимуществ, которые имеет предприятие от его использования. В качестве примера можно привести метод освобождения от роялти, который используется для оценки стоимости патентов и лицензий. Роялти это периодическое отчисление лицензеру (продавцу) за пользование интеллектуальной собственностью. Обычно роялти составляет 5-20 % дополнительной прибыли, получаемой предприятием, купившим интеллектуальную собственность. Если объект интеллектуальной собственности является основой нового продукта (технологии), роялти может составлять до 50 %.
На доходный подход опираются два наиболее распространенных метода: метод дисконтированных доходов и метод прямой капитализации. Это наиболее универсальные методы, применимые к любым видам имущественных комплексов.
Метод дисконтированных доходов предполагает преобразование по определенным правилам будущих доходов, ожидаемых инвестором, в текущую стоимость оцениваемых нематериальных активов. Будущие доходы включают:
- периодический денежный поток доходов от эксплуатации нематериальных активов на протяжении срока владения; это чистый доход инвестора, получаемый им от владения собственностью (за вычетом подоходного налога) в виде дивидендов, арендной платы и т.п.;
- денежные поступления от продажи нематериальных активов в конце срока владения, то есть будущая выручка от перепродажи нематериальных активов (за вычетом издержек по оформлению сделки).
Чтобы понять сущность метода дисконтированных доходов, коснемся таких понятий, как сложный процент, накопление, дисконтирование и аннуитет.
Вложенный капитал как бы самовозрастает по правилу сложных процентов. При этом можно указать некоторую норму (ставку) дохода, которая указывает на прирост единицы капитала по истечении определенного периода (года, квартала, месяца). В методе дисконтированных доходов норму дохода называют ставкой дисконта.
Метод прямой капитализации достаточно прост и в этом его главное и единственное достоинство. Однако он статичен, будучи привязанным к данным одного наиболее характерного года, и поэтому требуется особое внимание к правильному выбору показателей чистого дохода и коэффициентов капитализации. Расчет текущей стоимости нематериальных активов данным методом выполняется в три последовательных этапа:
- расчет ежегодного чистого дохода;
- выбор коэффициента капитализации. Коэффициент капитализации должен быть увязан с ранее выбранным показателем капитализируемого дохода;
- расчет текущей стоимости нематериальных активов.
СРАВНИТЕЛЬНЫЙ МЕТОД.
Сравнительный подход используется при оценке рыночной стоимости нематериальных активов исходя из данных о недавно совершенных сделках с аналогичными нематериальными активами.
Сравнительный подход может применяться для тех видов нематериальных активов, сделки по которым часто совершаются на рынке. Исходной информацией для расчета стоимости объекта служат цены продажи аналогичных объектов.
Метод базируется на принципе замещения, согласно которому рациональный инвестор не заплатит за данный объект больше, чем стоимость доступного к покупке аналогичного объекта, обладающего такой же полезностью, что и данный объект. Поэтому цены продажи аналогичных объектов служат исходной информацией для расчета стоимости данного объекта.
Расчеты методами, использующими сравнительный подход осуществляются по следующим этапам.
Этап 1. Изучение соответствующего рынка и сбор информации о недавних сделках с аналогичными объектами на данном рынке. Точность расчетов в значительной мере зависит от количества и качества собранной информации. Когда информации достаточно, необходимо убедиться, что проданные объекты действительно сопоставимы с оцениваемыми нематериальными активами по своим функциям и параметрам.
Этап 2. Проверка информации. Необходимо убедиться, прежде всего в том, что цены не искажены какими-либо чрезвычайными обстоятельствами, сопутствовавшими состоявшимся сделкам. Проверяется также достоверность информации о дате сделки, физических и других характеристиках аналогичных объектов.
Этап 3. Сравнение оцениваемого объекта с каждым из аналогичных объектов и выявление отличия по дате продажи, потребительским характеристикам, местоположению, исполнению, наличию дополнительных элементов и т.д. Все различия должны быть зафиксированы и учтены.
Этап 4. Расчет стоимости данных нематериальных активов путем корректировки цен на аналогичные нематериальные активы. В той мере, в какой оцениваемый объект отличается от аналогичного, в цену последнего вносят поправки с тем, чтобы определить, по какой цене мог быть продан объект, если бы обладал теми же характеристиками, что и оцениваемый объект.
ЗАТРАТНЫЙ МЕТОД.
На основе затратного подхода определяют стоимость воспроизводства. При использовании затратного подхода нематериальные активы оцениваются как сумма затрат на их создание, приобретение и введение в действие.
Хотя при затратном подходе оцененная стоимость может значительно отличаться от рыночной стоимости, так как между затратами и полезностью нет прямой связи, тем не менее встречается немало случаев, когда оправдан именно затратный подход (например:
- для исчисления налога на имущество,
- для целей страхования отдельных составляющих имущества,
- при судебном разделе имущества между собственниками,
- при распродаже имущества на открытых торгах,
- для бухгалтерского учета основных фондов;
- при переоценке основных фондов.)
Главный признак затратного подхода это поэлементная оценка, то есть оцениваемые нематериальные активы расчленяются на составные части, делается оценка каждой части, а затем стоимость всех нематериальных активов получают суммированием стоимостей его частей. При этом исходят из того, что у инвестора в принципе есть возможность не только купить данные нематериальные активы, но и создать их из отдельно покупаемых элементов.
В зависимости от характера оцениваемых нематериальных активов применяют различные методы затратного подхода. Поэтому здесь речь идет об общей последовательности расчетов по данному подходу, выполняемых в несколько этапов.
Этап 1. Анализ структуры нематериальных активов и выделение их составных частей (компонентов), оценка стоимости которых будет производиться дифференцированно различными методами. Если нужно оценить предприятие в целом, а не только его нематериальные активы, то в нем выделяют такие компоненты как: основные фонды (земля, здания, сооружения, машины и оборудование), оборотные материальные средства, денежные средства.
Этап 2. Выбор наиболее походящего метода оценки стоимости для каждого компонента нематериальных активов и выполнение расчетов. Для определения стоимости земельного участка применяют специальные методы, известные из теории оценки недвижимости, или расчеты ведут по ценам за 1 м2, применяемым при исчислении земельного налога.
Этап 3. Оценка реальной степени износа компонентов нематериальных активов. Термин «износ» в теории оценки понимается как утрата полезности объекта, а следовательно и его стоимости по различным причинам, то есть не только вследствие фактора времени. Этот термин в ином смысле употребляется в бухгалтерском учете, где под износом или амортизацией понимается механизм переноса издержек на себестоимость продукции на протяжении нормативного срока службы объекта.
В практике оценки различают два вида износа: физический износ и моральный износ.
Физический износ означает потерю физических возможностей объекта в процессе его эксплуатации. Реальный физический износ оценивается следующими методами:
- по эффективному возрасту;
- по индексам снижения потребительских свойств;
- по снижению чистого дохода (прибыли) в процессе эксплуатации.
Моральный износ характеризует потерю конкурентоспособности и соответственно стоимости, в связи с появлением на рынке новых более совершенных аналогов. Моральный износ принято подразделять на:
- технологический,
- функциональный,
- внешний.
Технологический износ является следствием влияния на стоимость достижений научно-технического прогресса в области конструкции, технологии, материалов.
Функциональный износ есть следствие уменьшения функциональных возможностей оцениваемого объекта в сравнении с новым аналогом.
Внешний износ проявляется в том, что объект в какой-то момент перестает отвечать новым требованиям и ограничениям, например, по экологическим причинам, безопасности и т.д.
Основным методом определения морального износа является метод сравнения с новым, более совершенным объектом.
Этап 4. Расчет остаточной стоимости компонентов нематериальных активов и суммарная оценка остаточной стоимости всех нематериальных активов. Остаточная стоимость на дату оценки получается вычитанием из стоимости размера накопленного износа.
Применительно к таким объектам, как ноу-хау и изобретения, аннуитетом служат платежи роялти, то есть ежегодно выплачиваемые предприятием-лицензиатом суммы обладателю ноу-хау или патента (лицензиару), согласно заключенному между ними договору.
Роялти, выполняя функцию определителя не стоимости нематериальных активов, а размера вознаграждения, как фиксированный процент от прибыли распространяется на весь жизненный цикл данных нематериальных активов.
Роялти как элемент расчета размера вознаграждения имеет глубокий экономический смысл, стимулируя владельца нематериальных активов поддерживать его реализацию в производстве, постоянно его адаптировать к изменяющимся условиям производства и рыночной конъюнктуры.
Ставка роялти такова, что выплаты по ней обычно не являются для производителя ощутимой потерей, а владельцу нематериальных активов периодически начисляется относительно высокая сумма. Поэтому ставки роялти определены, с точки зрения автора, как стихийно сложившийся и принятый в международной практике компромисс между интересами производителя и изобретателя, владельца и покупателя. Причем этот компромисс исторически сложился во времена полного диктата производителя и относительной слабости правовых и рыночных позиций изобретателей и владельцев нематериальных активов. В прежнее время организация внедрения нововведений представляла большую проблему. И если на данном производстве владельцу патента отказывали во внедрении, то шансов внедрить нематериальные активы в другом месте, как правило, было крайне мало.
Сейчас положение в мире существенно меняется в пользу владельцев нематериальных активов:
- различные компании и фирмы организуют системы поиска, генерации и фильтрации полезных идей;
- создается множество венчурных фирм;
- нематериальные активы закладываются в многочисленные инвестиционные проекты;
-информационные системы и издания рекламируют новые высокоэффективные идеи.
Методология оценки нематериальных активов с использованием роялти предполагает знание всего жизненного цикла объекта, реально предсказать который бывает почти невозможно. Тем более не удается обычно достоверно рассчитать массу прибыли по всем жизненному циклу нематериальных активов ввиду того, что, как правило, не удается обосновать ожидаемое моральное старение нематериальных активов. Поэтому использование роялти для расчетов стоимости нематериальных активов представляется неэффективным.
Более правильным представляется расчет стоимости нематериальных активов с использованием массы прибыли за некий обозримый период (лишь несколько лет). Но прибыль, полученную от реализации данных нематериальных активов, было бы разумнее делить поровну между продавцом и покупателем нематериальных активов в течение определенного срока, владельцем нематериальных активов и производителем продукции, его содержащей.
3.3.2. Проблемы оценки интеллектуальной промышленной собственности
Интеллектуальная собственность как объект оценки - исключительное право гражданина или юридического лица на результаты интеллектуальной деятельности и приравненные к ним средства индивидуализации юридического лица, индивидуализации продукции, выполняемых работ или услуг (фирменное наименование, товарный знак, знак обслуживания и т.п.).
Руководствуясь вышеприведенным определением, оценку интеллектуальной собственности можно обозначить как процесс установления (в денежном выражении) полезности результатов интеллектуальной деятельности и приравненных к ним средств индивидуализации юридического лица, индивидуализации продукции, выполняемых работ или услуг.
Современный отечественный рынок оценки рыночной стоимости объектов интеллектуальной собственности можно охарактеризовать как нарождающийся. Уже хорошо просматривается возрастающий интерес со стороны предпринимателей и менеджеров предприятий к использованию её результатов в различных сферах и экономико-правовых ситуациях с целью получения дохода.
На сегодняшний день уже существует методики по оценке стоимости патентов, секретов производства и технологий и других объектов интеллектуальной собственности. В то же время, в условиях современной экономики для ряда объектов интеллектуальной собственности, таких как ноу-хау, товарный знак, имидж предприятия и т.п., строго обоснованную оценку стоимости провести достаточно сложно. Проблемы могут возникать в связи с недостатком объективной информации о состоянии конъюнктуры соответствующих сегментов рынка, при прогнозировании конкурентоспособности данного объекта и моделировании его жизненного цикла. При этом, все расчёты необходимо вести не применительно к гипотетическим программам использования конкретного объекта интеллектуальной собственности, а исходя из реальных практически осуществимых программ и планов.
Сложность оценки объектов интеллектуальной собственности обусловлена, в первую очередь, трудностями количественного определения результатов коммерческого использования данного объекта, находящегося на той или иной стадии разработки, промышленного освоения или использования, в силу влияния многих, порой разнонаправленных по своему воздействию факторов. Как свидетельствует практика, из 100 охраняемых объектов промышленной собственности (т. е. из тех, на которые получены соответствующие патенты или свидетельства) лишь 2-3 при их коммерческом использовании действительно оказываются ценными и приносят высокие прибыли и до 10 позволяют восполнить затраты на их разработку. Остальные охраняемые объекты промышленной собственности убыточные.
В практической деятельности проблема оценки нематериальных активов возникает в связи с:
- куплей-продажей прав на объекты интеллектуальной собственности;
-добровольной продажей лицензий на использование объектов интеллектуальной собственности;
- принудительным лицензированием и определением ущерба в результате нарушения прав интеллектуальной собственности;
- внесением вкладов в уставный капитал;
- оценкой бизнеса;
- акционированием, приватизацией, слиянием и поглощением;
- оценкой нематериальных активов предприятия, проводимой в целях внесения изменений в финансовую отчетность.
До сих пор мы рассматривали методы оценки самих нематериальных активов и говорили о стоимости полных прав собственности на них. Однако на практике гораздо чаще необходимо определить стоимость отдельных частей имущественных прав, например на использование или распоряжение нематериальными активами, т. е. возникает конкретная задача: оценить стоимость разных правомерных лицензионных договоров. Опыт промышленно развитых западных стран доказал, что для оценки стоимости лицензионных договоров можно использовать метод стандартных ставок лицензионных отчислений, например, за использование нематериального актива. Размер этой ставки зависит от обычной рентабельности использования этого актива, объемов производства, периода использования актива, затрат на создание данного актива и других факторов. Лицензионные ставки выражаются в виде процента либо от чистого дохода, либо от цены единицы продукции, выпускаемой за счет использования нематериального актива, либо от суммы продажи продукции, выпускаемой по лицензии. Возможны и другие варианты выражения лицензионных ставок.
При оценке нематериальных активов и лицензионных договоров на их использование наиболее сложная задача определить экономический эффект от использования актива. Некоторые специалисты рекомендуют следующую формулу капитализации дохода:


где
T период использования нематериального актива (количество лет);
Pt величина выручки от использования нематериального актива в
стоимостном выражении t-й период;
r - ставка дохода от использования нематериального актива;
Зt- затраты, связанные с правом использования нематериального актива.
Результатом использования актива может быть:
- вся выручка от реализации продукции, если ее производство невозможно без данной лицензии;
- только часть выручки, определяемая по стоимости узлов и деталей, изготовленных по новой технологии и входящих в состав изделия или реализуемых отдельно;
- часть выручки от реализации продукции, полученной за счет повышения качества продукции и соответствующей надбавки к цене продукции;
- прирост выручки за счет повышения конкурентоспособности продукции и расширения тем самым рынков сбыта;
- экономия капитальных вложений за счет отказа от проведения собственных исследований и разработок;
- экономия текущих затрат за счет сокращения длительности производственного цикла, снижения норм расхода материальных и трудовых ресурсов на производство продукции.
Эти затраты состоят, как правило, из двух частей:
- из платежей единовременных и (или) периодических (периодические платежи могут быть представлены в абсолютном выражении или в процентах в фиксированном либо изменяемом с годами виде);
- из текущих затрат на производство и реализацию лицензионной продукции.
Сложный алгоритм расчета экономического эффекта от использования нематериального актива обусловливает необходимость в детальном бизнес-плане, учитывающем выручку, затраты, инвестиции, другие доходы и расходы, позволяющие точнее определить величину чистого дохода по годам периода полезного использования этого актива.
Важной проблемой оценки нематериального актива является определение доли чистого дохода, получаемого именно от использования оцениваемого актива.
Для определения доли чистого дохода обычно применяют факторный анализ. Например, использование ноу-хау или изобретения позволяет получить чистый доход благодаря:
- снижению себестоимости продукции;
- улучшению качества продукции и за счет этого повышению ее стоимости;
- увеличению объема продаж;
- снижению налога на прибыль.
Проблема определения платежей за использование ноу-хау, изобретения или другого объекта интеллектуальной собственности заключается в том, что для их внедрения в производство требуются инвестиции. Чистый доход от использования ноу-хау или изобретения является частью чистого дохода от реализации определенного инвестиционного проекта. Поэтому сначала разрабатывается инвестиционный проект, составляется бизнес-план, в котором рассчитывают ожидаемый ежегодный чистый доход. Затем выделяют ту часть чистого дохода, которую можно отнести к используемому объекту интеллектуальной собственности. Применяемый при этом долевой коэффициент рассчитывается с учетом фактора получения экономии. Нужно также иметь в виду, что применение некоторых ноу-хау позволяет снизить величину налога на прибыль.
Задача упрощается, если инвестиции не требуются. Например, что при оценке стоимости товарного знака, приобретаемого предприятием у другой авторитетной фирмы, достаточно рассчитать прирост чистого дохода предприятия вследствие увеличения цены и расширения рынка сбыта, но при этом нужно вычесть дополнительные расходы на удовлетворение требований обладателя товарного знака. Кстати, стоимость товарного знака может измеряться значительной суммой. [25]
Особое внимание следует обратить на выбор ставки дисконта. Ставка дисконта складывается из безрисковой ставки и премии за риск.
Когда оцениваются объекты интеллектуальной собственности, премия за риск выбирается повышенной, так как вложения в эти объекты отличаются большой рискованностью.
3.3.3 Основные направления совершенствования оценки интеллектуальной промышленной собственности
В настоящее время на предприятиях Республики Казахстан удельный вес нематериальных активов в общей массе всех активов значительно ниже, чем на аналогичных предприятиях в странах с развитой рыночной экономикой. Следовательно, и практического опыта в организации учета и оценки нематериальных активов у предприятий нашей страны еще не достаточно.
Инвестиции в нематериальные активы окупаются в течение определенного периода за счет дополнительной прибыли, получаемой предприятием в результате их использования, а также за счет амортизационных отчислений. Однако в последнее время растет экономический интерес к повышению доходности предприятия за счет использования исключительного права предприятия на результаты интеллектуальной деятельности.
Для оценки нематериальных активов разработана система экономических показателей, которые характеризуют состояние изучаемого объекта.
Рассмотрим направления совершенствования оценки объектов интеллектуальной собственности на примере предприятия «Интеллект».
«Интеллект» обладает знаниями и опытом в области технологий приготовления органических и органо-минеральных композиционных составов различного целевого назначения. В данном случае объектом интеллектуальной собственности является «Ноу-хау». «Ноу-хау» - знание, опыт, секреты производства органо-минеральных удобрений, закрепленные охранным документом (Лицензией).
Лицензиар предоставляет Лицензиату на определенный срок (согласно договора) за вознаграждение, уплачиваемое Лицензиатом, неисключительную лицензию на «Ноу-хау» для производства удобрений, а также право использование и продажу продукции по лицензии. Для осуществления этих действий необходим расчет оптимальной стоимости объекта интеллектуальной собственности.
Для оценки данного объекта интеллектуальной собственности прежде всего требуется изучить документацию, где указаны наименование объекта, его описание и правоустанавливающие документы (в данном случае Лицензия). После ознакомления с основной документацией, учитывая специфику нашего объекта, выясним величину себестоимости данной продукции, возможные объемы выпуска и выручку, качество и цену аналогичных продуктов. От того, насколько детально будут изучены все перечисленные моменты, зависит точность произведенной оценки объекта интеллектуальной собственности.
Расчет цены лицензии на «Ноу-хау».
Расчет выполняется в соответствии с «Методическими рекомендациями по оценке стоимости и учету объектов интеллектуальной собственности в составе нематериальных активов». [22]
Согласно методическим рекомендациям стоимость лицензии, тенге, рассчитывается по следующей формуле:


где:
Vi планируемый объем выпуска продукции по лицензии в натуральном выражении в i-м году, т;
Zi цена единицы реализуемой продукции в i-м году, тенге;
Рi ставка роялти в i-м году, %;
Т срок действия лицензионного договора, лет.
Рассчитаем стоимость лицензии на примере конкретного договора.
V=const=1000т, Z= 144000 тенге/т.
Принимая во внимание, что Лицензиат будет иметь в своем распоряжении техническую документацию, необходимую для производства продукции по лицензии и учитывая сезонный характер спроса на данный вид продукции, в качестве срока действия лицензионного договора при расчете стоимости лицензии возьмем Т=9 лет.
Ставка роялти р=const=3%.Подставляя численные значения в формулу, получим стоимость сублицензии, равную 30 880 000 тенге.
3.4 Определение стоимости объекта интеллектуальной собственности
Оценка выполнена на примере пакета объектов интеллектуальной собственности, вносимых в уставный капитал вновь создаваемой он-лайн трейдинговой компании «Интеллект».
Цель оценки: определение инвестиционной стоимости объекта оценки, так как при оценке имущественных прав на пакет ОИС, вносимых в уставной капитал акционерного общества, используется инвестиционная стоимость, поскольку назначением данного пакета ОИС является запуск инвестиционного проекта по созданию нового коммерческого предприятия по оказанию он-лайн трейдинговых услуг.
Использование данного пакета ОИС обеспечит предоставление корпоративным и частным клиентам в Казахстане полного спектра услуг по торговле ценными бумагами на мировых и российских фондовых рынках в режиме он-лайн.
Перечень объектов, составляющих оцениваемый пакет ОИС:
бизнес-план «Создание и развитие в РК проекта он-лайн-трейдинга посредством использования сети Интернет с доступом на зарубежные биржи» (в печатном и электронном виде);
обучающие материалы (программы, методики) для трейдеров различного уровня (в печатном и электронном виде);
концепция и техническое задание на разработку портала для продвижения бизнеса в сфере он-лайн-трейдинга через Интернет (в печатном и электронном виде);
база данных «Информационные и аналитические материалы и ресурсы по он-лайн трейдингу» (в печатном и электронном виде);
клиентская база - списки клиентов, которые высказали желание сотрудничать и получать услуги (в печатном и электронном виде).
Выбор методов оценки
Технология оценки объектов ИС бывает:
договорная (например, при определении вклада в уставной капитал, когда учредители предприятия, без проведения каких-либо расчетов, договариваются между собой относительно стоимости ИС, образующей собой вклад);
расчетная, или аналитическая (например, при оценке изобретения, когда искомая стоимость изобретения определяется расчетом по определенному алгоритму);
экспертная (когда не работают или слишком дорого обходятся предыдущие технологии, например, при оценке многих объектов авторских прав).
Основной подход к оценке ИС, используемый в РК и принимаемый Налоговой инспекцией расчетный (аналитический), именно он и будет рассмотрен ниже.
При расчетной оценке ОИС используются следующие подходы:
затратный,
сравнительного анализа продаж,
доходный.
Затратный подход
Затратный подход заключается в расчете затрат на воспроизводство оцениваемых ОИС в текущих ценах с учетом прибыли участников и всех видов налогообложения за вычетом износа.
При использовании этого подхода для оценки ОИС проводятся следующие работы:
выявляются все фактические затраты, связанные с созданием, приобретением и введением в действие ОИС;
корректируются затраты на величину индекса цен на дату оценки;
определяется начисленная величина амортизации ОИС;
стоимость ОИС определяется как разница между скорректированной величиной затрат и начисленной амортизацией.
прибавляется предпринимательская прибыль и величина налогов в соответствии с действующим законодательством.
Основными методами затратного подхода являются метод учета затрат на восстановление точной копии оцениваемого ОИС и метод учета стоимости затрат на замещение оцениваемого ОИС путем создания нового объекта-аналога.
Затратный метод используется для целей инвентаризации, балансового учета, а также для определения минимальной цены ОИС, ниже которой сделка для владельца ОИС становится невыгодной. Кроме того, затратный подход является приоритетным для оценки таких объектов ИС как результаты научно-исследовательских, проектно-изыскательских, геологических и прочих работ.
Подход на основе сравнительного анализ продаж
Подход на основе сравнительного анализ продаж или рыночный подход основан на принципе эффективно функционирующего рынка, на котором инвесторы покупают и продают аналогичного типа активы, принимая при этом независимые индивидуальные решения. Данные по аналогичным сделкам сравниваются с оцениваемыми ОИС.
Экономические преимущества и недостатки оцениваемых активов по сравнению с выбранными аналогами учитываются посредством введения соответствующих поправок. При этом вводятся поправки, учитывающие качественные различия между оцениваемыми активами и их аналогами.
При использовании этого подхода проводятся следующие работы:
собирается информация о состоявшихся сделках по аналогичным ОИС;
определяется перечень показателей, по которым проводится сопоставление ОИС;
корректируются фактические цены сделок по ОИС с учетом значений показателей сравнения с оцениваемым ОИС;
определяется стоимость оцениваемого ОИС на основе скорректированных фактических данных по сопоставимым сделкам.
Подход на основе сравнительного анализ продаж имеет ограниченное применение для оценки интеллектуальной собственности в силу уникальности и специфики ОИС, разнообразия условий коммерческих сделок и конфиденциальности сведений по ним.
Доходный подход
Наиболее широко для оценки стоимости ОИС используется доходный подход, который основывается на экономическом принципе ожидания. При использовании данного подхода стоимость ОИС определяется как его способность приносить доход в будущем покупателю или инвестору и приравнивается к текущей стоимости чистого дохода, который может быть получен от использования оцениваемого ОИС за экономически обоснованный срок службы. Расчет чистого дохода можно произвести методом преимущества в прибыли, где прибыль возрастает за счет роста качества и/или количества выпускаемой продукции, в которой используется оцениваемый ОИС. Или методом преимущества в расходах, где чистая прибыль возрастает за счет сокращения расходов на создание и использования ОИС в производстве конкретной продукции.
В зависимости от источника экономии расходов данный подход включает метод освобождения от роялти и метод выигрыша в себестоимости. Может быть использован метод одновременного учета преимуществ в прибыли и в расходах, а также метод дробления (разделения) прибыли, когда прибыль, приносимая ОИС, делится между его владельцем и покупателем или инвестором (например, франчайзером и франчайзи). При этом через ставку дисконта или капитализации учитывается рыночная ситуация и различные риски получения доходов, а также риск, связанный с достижением прогнозных результатов от использования прав на ОИС.
Для определения инвестиционной стоимости объекта ИС в настоящей работе расчеты производились:
в рамках затратного подхода по методу создания ОИС,
в рамках доходного подхода по методу избыточных прибылей.
Использование рыночного подхода (по сравнительному анализу продаж) не представляется возможным в связи со сложностью подбора аналогов и отсутствием надежной рыночной информации.
Расчет стоимости имущественных прав на пакет ОИС по методу стоимости создания ОИС
В таблице 1. приведены прямые затраты на создание ОИС. С учетом косвенных расходов, принимаемых нами на минимальном уровне 50% от заработной платы, общие затраты на создание ОИС составляют 949 тыс. тенге.
Расчет стоимости имущественных прав на пакет ОИС методом избыточных прибылей
Расчет доходов
Расчет будущих доходов за 2 года, составленный на основании данных по ценам и планируемым объемам предоставляемым услуг, с учетом понижающего коэффициента. В расчетах принято предположение о том, что доходы во втором году будут соответствовать уровню 4-ого квартала первого года.
Таблица 1.
Смета затрат на создание ОИС
|
№ п/п |
Объекты интеллектуальной собственности |
Объем затраченного времени, человеко час |
Стоимость разработки при стоимости 1 человекочаса = 400 |
Иные затраты, (тенге.) |
ИТОГО затраты на разработку |
|
Бизнес-план «Создание и развитие в РК проекта он-лайн-трейдинга посредством использования сети Интернет с доступом на зарубежные биржи» (в печатном и электронном виде). |
000 |
Информационные материалы, участие в семинарах и конференциях. 000 |
000 |
||
|
Обучающие материалы (программы, методики) для трейдеров различного уровня (в печатном и электронном виде). |
000 |
Информационные материалы 500 |
500 |
||
|
Концепция и техническое задание на разработку портала для продвижения бизнеса в сфере он-лайн-трейдинга через Интернет (в печатном и электронном виде). |
000 |
000 |
|||
|
База данных «Информационные и аналитические материалы и ресурсы по он-лайн трейдингу» (в печатном и электронном виде). |
000 |
Доступ в Интернет 500 |
500 |
||
|
Клиентская база - списки клиентов, которые высказали желание сотрудничать и получать услуги (в печатном и электронном виде). |
000 |
Транспорт 500 |
500 |
||
|
ИТОГО |
000 |
500 |
500 |
Таблица 2.
Расчет доходов
|
-ый года |
-ый года |
|
кварт. |
кварт. |
кварт. |
кварт. |
кварт. |
кварт. |
кварт. |
кварт. |
|
|
Аренда рабочих мест |
625 |
750 |
250 |
250 |
250 |
250 |
250 |
250 |
|
Подключение клиентов к системе |
925 |
725 |
600 |
550 |
550 |
550 |
550 |
550 |
|
Обучение |
550 |
650 |
475 |
475 |
475 |
475 |
475 |
475 |
|
Доступ через веб-сайт |
438 |
813 |
750 |
750 |
750 |
750 |
750 |
|
|
Итого, округленно |
000 |
000 |
Таблица 3.
Расчет расходов
|
№ |
Статьи расходов |
Затраты 1-ого года |
Затраты 2-ого года |
|
1 |
Зарплата персонала |
108000 |
|
|
2 |
Оплата сторонних преподавателей и специалистов |
||
|
3 |
Начисления на зарплату (42%) |
||
|
4 |
Аренда офиса и офисные расходы |
||
|
5 |
Закупка оборудования и лицензионного программного |
- |
|
|
6 |
Затраты на разработку корпоративного и операционного вед-сайта |
- |
|
|
7 |
Реклама и прочие расходы |
||
|
Итого |
Расчет рыночной стоимости ОИС методом избыточной прибыли
В сфере услуг он-лайн трейдинга горизонт планирования доходов и расходов, в связи с активной динамикой развития Интернет-торговли и высокими рисками, принимается нами равным двум годам:
-ый год год становления Компании;
-ой год год стабильной работы.
Баланс денежных потоков 1-ого года работы Компании:
доходы ;
расходы ;
сальдо (-) 38000.
Баланс денежных потоков 2-ого года работы Компании:
доходы ;
расходы ;
сальдо (+) 339000.
Для определения текущей чистой стоимости от реализации проекта в течении двух лет работы Компании следует привести денежные потоки будущих лет к текущему времени. При этом в качестве ставки дисконта примем среднюю доходность консультационного бизнеса, которая составляет 20% годовых.
Дисконтированное сальдо 1-ого года составляет (округленно)
Дисконтированное сальдо 2-ого года составляет (округленно)
Их сумма, то есть чистая текущая стоимость доходов за прогнозный период составит:
-31700 + 235400 = 203700
Для определения стоимости имущественных прав на пакет ОИС методом избыточных прибылей рассчитаем нормализованную доходность материальных и финансовых активов создаваемой Компании.
Уставный капитал Компании, не включая оцениваемый ОИС, составляет 110000, следовательно, нормативная доходность материальных и финансовых активов при принятой нами ставке доходности будет равна:
х 0,2 = 22000 за один года или 44000 за 2 года работы.
Стоимость имущественных прав на пакет ОИС, рассчитанная методом избыточных прибылей, определяется как разница между чистой стоимостью инвестиционного проекта по созданию он-лайн трейдинговой Компании и нормализованным доходом от ее материальных и финансовых активов:
= 159700 (в расчете за 2 года)
или
/2 = 79850 (за 1 год)
То есть 79850 - величина избыточной годовой прибыли, связанной с использованием ОИС. Капитализируя данную прибыль по ставке 20%, получаем стоимость ОИС, которая составляет:
79850 / 20% = 399250
Итоговые результаты по оценке
Стоимость имущественных прав на пакет ОИС, передаваемых в уставный капитал Компании, определена двумя методами, представляющими различные подходы к оценке.
Стоимость пакета ОИС, определенная в рамках настоящей работы, составляет:
по методу стоимости создания ОИС ;
по методу избыточных прибылей .
Определяя итоговую величину стоимости ОИС, оценщики присвоили больший вес результату затратного подхода, так как он основан на данных по текущим затратам на воспроизводство ОИС, в то время как расчеты по доходному основаны на данных бизнес-плана. Учитывая отсутствие прецедентов и устоявшейся законодательной базы в области Интернет-торговли определить вероятность получения прогнозируемых доходов и достижения планируемых объемов в оказании услуг является крайне затруднительным.
Таким образом, инвестиционная стоимость объекта оценки равна:
х 0,7 + 11115 х 0,3 = 3999
(Три миллиона девятьсот девяносто девять тысяч тенге)
Заключение
Оценка во всем мире рассматривается как один из механизмов эффективного управления собственностью. Оценка является неотъемлемой частью рынка финансовых услуг.