Пути увеличения эффективности производства и реализации продукции
Содержание
Введение …………………………………………………………………........5
. Теоретические аспекты эффективности производства и реализации продукции …………………………………………………………………………....8
1.1 Роль торговой деятельности как процесса эффективности производства и реализации продукции………………………………………….....8
1.2. Состав и структура товарооборота общественного питания ………..12
1.2.1 Система показателей эффективности производства и реализации продукции ………………………………………………………………………….18
1.3 Факторы, влияющие на товарооборот …………………………………29
1.4 Методика анализа товарооборота …………………………………... 42
. Анализ товарооборота и выпуска продукции предприятия ……….. 44
2.1 Организационно-экономическая характеристика предприятия … …44
.2. Общий анализ показателей товарооборота ……………………… …..47
2.3 Расчёт факторов, влияющих на товарооборот …………………….….52
. Пути увеличения эффективности производства и реализации продукции …………………………………………………………………….……56
3.1 Товарное обеспечение и маркетинговые мероприятия пути увеличения эффективности производства и реализации продукции……..........................................................................................................56
3.2 Повышение производительности труда …………………………… 64
3.3 Совершенствование планированияпуть увеличения эффективности производства и реализации продукции………………………………..………… 66
Заключение ………………………………………………………………….73
Список использованной литературы …………………………………… 77
Введение
Переход к рыночной экономике, многообразию форм собственности, развитие маркетинга и менеджмента требует от руководителей и менеджеров предприятий, фирм и ассоциаций повышения эффективности использования экономического потенциала, оптимальных форм хозяйствования, достижения наилучших результатов при наименьших затратах труда и средств. Следовательно, необходимо развитие теории и практики анализа хозяйственной деятельности, как одного из основных методов научного управления экономикой. В условиях рыночного механизма хозяйствования анализ должен не только давать объективную оценку выполнения планов и динамике производственно-торговой, финансово-хозяйственной и другой деятельности предприятий, но и выявлять, изучать и мобилизовывать резервы экономического и социального развития, помогать разрабатывать оптимальные тактические и стратегические управленческие решения.
В рыночной экономике (на любом этапе ее формирования) торговля является составным элементом хозяйственного механизма. В ходе торгового процесса складываются определенные пропорции спроса и предложения, и соответственно устанавливается товародвижение и дистрибьюция (формирование системы торговых посредников, дистрибьюторов). В торговле проявляют свое действие экономические законы рынка, формируется и функционирует система маркетинга.
В современном обществе статистика является одним из важнейших инструментов управления торгово-экономическими процессами. Она собирает информацию, характеризующую развитие экономики страны, культуры и жизненного уровня народа. С помощью статистической методологии вся полученная информация обобщается, анализируется и в результате дает возможность увидеть стройную систему взаимосвязей в экономике, яркую картину и динамику развития, позволяет делать международные сопоставления. Именно статистика, которая обладает соответствующим аппаратом научного и достаточно оперативного исследования, имеет возможность отразить состояние торговой деятельности, охарактеризовать структуру и динамику ее основного продукта товарооборота.
Кроме того, актуальность темы дипломной работы связана и с тем, что товарооборот это важнейший показатель не только для торгующей организации, но и для национальной экономики в целом. Для торговых предприятий этот показатель отражает успех организации, спрос покупателей на реализуемые товары, положение фирмы на рынке. От объема товарооборота зависят все важнейшие финансово-экономические показатели торговли, включая валовой доход, уровень издержек обращения, размер и эффективность использования товарных ресурсов, фонд заработной платы, прибыль рентабельность и др.
Целью дипломной работы является статистическое изучение товарооборота предприятия и прогнозирование его уровня на перспективу на основе оценки тенденции его изменения.
Для реализации поставленной цели необходимо решить следующие задачи дипломной работы:
- определить роль торговой деятельности в процессе товарно-денежного обмена;
- исследовать сущность и категории товарооборота;
- исследовать аспекты эффективности производства и реализации продукции;
- дать характеристику основных технико-экономических показателей объекта исследования;
- проанализировать объем, структуру и динамику товарооборота объекта исследования;
- оценить размер влияния факторов цен и объема продаж на динамику товарооборота предприятия;
- спрогнозировать уровень товарооборота предприятия на перспективу с целью выработки дальнейший торговой политики.
Объектом исследования дипломной работы является ресторан «Бирхофф».
Предметом исследования является анализ товарооборота на примере ресторана «Бирхофф».
Информационной базой при написании дипломной работы являлись учебники и учебные пособия по теории статистики, статистике торговле, коммерческой деятельности, рынку товаров и услуг, научные публикации в периодических изданиях, Интернет-ресурсы, а также предоставленная предприятием бухгалтерская отчетность за 2010-2013 годы.
Анализ, выполненный в дипломной работе, построен с учётом всех теоретических и методологических положений и принципов анализа хозяйственной деятельности принципа системного (комплексного) подхода, а также принципов объективности, конкретности, точности и эффективности. В работе широко используются методы функционально-стоимостного, финансового и статистического анализа хозяйственной деятельности предприятия.
Изложены основные теоретические и методологические вопросы, связанные с анализом товарооборота предприятия общественного питания, построена система факторов, оказывающих влияние на его величину, выявлены причины изменения факторных показателей и величины их воздействия на изменение товарооборота.
Особое внимание уделяется вопросам выявления резервов роста товарооборота, в частности, за счёт оптимизации товарного обеспечения, повышения производительности труда и совершенствования системы планирования на предприятии.
При проведении анализа широко используются как традиционные, так и математические, статистические приёмы. Комплексное их использование позволяет выявить и количественно измерить степень влияния факторов на выполнение плановых заданий и формирование результатных показателей, подсчитывать внутренние резервы и разрабатывать эффективные организационно-экономические мероприятия по приведению в действие выявленных резервов, и устранению недостатков в работе.
Общественное питание наряду с розничной торговлей выполняет главную социально-экономическую задачу развития нашего общества удовлетворение материального и культурного уровня жизни населения. Эта проблема решается прежде всего путём развития розничного товарооборота. Общественное питание Республики Казахстан достигло определённых успехов в росте товарооборота и выпуска собственной продукции.
Поэтому актуальность данной темы состоит в том, чтобы на основе научно обоснованного анализа товарооборота разработать такую стратегию деятельности предприятия общественного питания, которая бы обеспечила максимальную эффективность его деятельности. Величину товарооборота планируется увеличить, в частности, за счёт активизации маркетинговой политики предприятия, оптимального управления ассортиментом и товарными запасами, а также за счёт совершенствования системы планирования.
Среди всех факторов роста товарооборота самыми динамичными и доступными являются факторы внутреннего характера совершенствование маркетинга на предприятии, выработка оптимальной ценовой политики, обеспеченность трудовыми ресурсами и эффективность труда торговых работников. Наиболее приемлемым предлагается следующий план действий.
Для увеличения величины товарооборота предлагается формировать ассортимент каждой товарной группы исходя из времени суток, что позволит максимально эффективно использовать имеющиеся торговые площади и максимально удовлетворить потребности посетителей. Но это вовсе не значит, что какое-то блюдо будет вообще отсутствовать в продаже. В продаже присутствует весь ценовой спектр товарной группы, однако центр тяжести его смещается в зависимости от времени работы ресторана и спроса посетителей. Этот способ позволяет увеличить эффективность продажи блюд на предприятии на 7-10%.
1. Теоретические аспекты эффективности производства и реализации продукции
.1 Роль торговой деятельности как процесса эффективности производства и реализации продукции
Процесс, в результате которого в обмен на товар продавец в соответствии со сложившейся ценой получит денежный эквивалент, именуемый выручкой, называется торговой деятельностью, или торговлей.
Торговля (торговая деятельность) - сложное и многогранное явление, которое нельзя истолковывать однозначно. Во-первых, торговля- это процесс перехода товара от одного владельца к другому путем обмена товара на деньги по согласованной в ходе торга цене. Именно этот процесс, имеющий целью продать товар для получения прибыли, является коммерцией. Он имеет ряд синонимов: сбыт, реализация товара и т.п. Во-вторых, торговля- это отрасль экономики со своей инфраструктурой, иерархической организацией, региональной распространенностью, разделением функций и т.д., которая специализируется на доведении товара до потребителя, т.е. играет посредническую роль.
В рыночной экономике (на любом этапе ее формирования) торговля является составным элементом хозяйственного механизма. В ходе торгового процесса складываются определенные пропорции спроса и предложения, и соответственно устанавливается товародвижение и дистрибьюция (формирование системы торговых посредников, дистрибьюторов). В торговле проявляют свое действие экономические законы рынка, формируется и функционирует система маркетинга [11, С. 216].
Объектом торговой деятельности является товар. Товар, как и сама торговая деятельность - сложное многогранное понятие.
Под товаром понимается продукт (предмет трудовой или природной деятельности) или услуга (какое-то действие, обладающее потребительскими, полезными свойствами), предназначенные для продажи.
Сочетание физического и экономического процессов перехода товара из сферы производства в сферу товарного обращения и из последней в сферу потребления составляет сущность товародвижения в торговле. Физическое движение товара заключается в его территориальном перемещении из одного географического пункта в другой. Движение в экономическом пространстве состоит в переходе товара от одного владельца к другому, в смене прав собственности на товар.
В условиях рынка товародвижение тяготеет к многозвенности, т. е. к возможности многократного перехода товара от одного владельца к другому. Сложность и многозвенность торговой деятельности вызывает необходимость выделения двух ее этапов: первый оптовый, где перемещаются и меняют владельца крупные партии товара, а покупателями (как торговыми посредниками, так и потребителями, производственными и массовыми) являются юридические лица, достаточно крупные предприятия; второй розничный, где товары в размерах, достаточных для личного потребления, переходят к индивидуальным потребителям, населению.
Основным процессом торговой деятельности является купля-продажа товаров, т.е. движение товаров в экономическом и географическом пространстве - от продавца к покупателю, и встречный процесс движение денежной массы от покупателя к продавцу. Купля-продажа товаров характеризуется показателем товарооборота. Его дуализм (двойственный характер) проявляется в том, что он одновременно отражает объем проданной (купленной) товарной массы, и, следовательно, масштаб торговой деятельности, и размер денежной выручки торговли. Таким образом, в нем сочетается экономическая и финансовая характеристики торгового процесса.
С одной стороны, товарооборот синтетический показатель, суммирующий множество единичных актов купли-продажи, с другой он сложное многоструктурное явление, в частности, включающий все элементы своего формирования, зафиксированные в цене товара. Можно сказать, что товарооборот сумма реализованных цен. В основе формирования товарооборота лежат три основных ценообразующих элемента: затраты на производство товаров, расходы на их продажу (включая транспортировку) и прибыль. Все эти элементы оплачиваются потребителем (если товарное предложение соответствует покупательскому спросу). Поэтому товарооборот можно рассматривать как реализованный, или удовлетворенный спрос.
Розничная продажа представляет собой акт обмена денег на товар и услуги. Согласно «Инструкции по учёту розничного товарооборота и товарных запасов в торговле», розничным товарооборотом является продажа потребительских товаров населению, юридическим лицам и их обособленным подразделениям. Продажа товаров осуществляется за наличный расчёт, по безналичному расчёту или посредством кредитных карточек.
Розничным товарооборотом является продажа, продовольственных и непродовольственных товаров населению через специально организованную торговую сеть, рынки, а также непосредственно на предприятиях, в организациях, учреждениях. В розничный товарооборот включается продажа продовольственных товаров по безналичному расчету организациям социального назначения: детским, лечебным, лечебно-оздоровительным учреждениям, интернатам для престарелых, домам инвалидов, учебным заведениям, оздоровительным детским лагерям.
Продажа по безналичному расчету непродовольственных товаров юридическим лицам и их обособленным подразделениям, включая организации социального назначения в объеме розничного товарооборота не учитывается и входит в состав общего объема оборота предприятия торговли.
В розничном товарообороте учитывается продажа потребительских товаров:
- юридическими лицами, их обособленными подразделениями, осуществляющими розничную торговлю и общественное питание, для которых торговая деятельность является основной;
- юридическими лицами, их обособленными подразделениями, осуществляющими торговлю, но для которых торговая деятельность не является основной;
- физическими лицами, осуществляющими продажу товаров на продовольственных, вещевых и смешанных рынках.
Обособленными подразделениями юридических лиц являются представительства и филиалы юридического лица, которые расположены вне места его нахождения, наделены имуществом и выделены в самостоятельный участок учета.
Юридические лица, их обособленные подразделения данные об объеме розничного товарооборота представляют в органы статистики по месту нахождения предприятия торговли.
Объем продажи населению физическими лицами товаров на продовольственных рынках определяется на основании данных учета дирекций рынков и специально организованного статистического наблюдения, на вещевых и смешанные рынках - используются данные выборочного квартального обследования домашних хозяйств в соответствии с Методическими указаниями по расчету общего объема розничного товарооборота через все каналы реализации.
В розничный товарооборот включается продажа товаров и питания в ценах фактической реализации по моменту отпуска товаров и питания покупателям независимо от времени уплаты денег и сдачи торговой выручки в банк. Объем розничного товарооборота определяется строго за отчетный период.
Розничный товарооборот делится на товарооборот розничной торговли и товарооборот общественного питания. Товарооборот количественный показатель, характеризующий объём продаж. Розничный товарооборот представляет собой заключительную стадию движения потребительских товаров из сферы обращения в личное потребление путём их обмена на денежные доходы.
Товарооборот общественного питания выражает экономические отношения, возникающие при реализации собственной продукции, покупных товаров, оказания услуг по организации питания.
Товарооборот предприятия питания состоит из двух основных частей:
реализации продукции собственного производства;
продажи покупных товаров.
К продукции собственного производства относятся пищевые продукты и полуфабрикаты, изготовленные на предприятиях питания либо подвергшиеся здесь какой-либо обработке. Она включает в себя блюда, горячие и холодные напитки, кулинарные, кондитерские, мучные изделия, полуфабрикаты и т.д.
Продукция собственного производства по степени готовности подразделяется на готовые блюда и кулинарные изделия и полуфабрикаты, которые требуют в дальнейшем дополнительной обработки.
В зависимости от форм потребления, назначения в питании человека продукцию собственного производства можно подразделить на обеденную и прочую продукцию.
Обеденная продукция это блюда, реализуемые и потребляемые в залах, а также отпускаемые на дом. Блюдо порция пищи, приготовленная из определённого набора сырья, прошедшую полную или частичную тепловую или первичную обработку, и готовая к потреблению. Все блюда в зависимости от назначения подразделяются на первые, вторые, третьи, горячие и холодные закуски. Из общего выпуска продукции собственного производства на долю обеденной продукции собственного производства на предприятиях общественного питания приходится 75-80%.
Остальные виды продукции собственного производства (бутерброды, изделия, запечённые в тесте, горячие напитки, мороженое, безалкогольные напитки собственного производства, молочно-кислая продукция и др.), а также полуфабрикаты, изготовленные для продажи (мясные, рыбные, крупяные, овощные, очищенный картофель и др.), кондитерские, мучные изделия как блюда не учитываются и относятся к прочей продукции собственного производства.
Продукция собственного производства учитывается и планируется в стоимостных и натуральных показателях. Так, главным измерителем и показателем обеденной продукции является блюдо, то есть натуральный показатель. Количественный выпуск блюд характеризует объём производства и реализации обеденной продукции. Учёт прочей собственной продукции осуществляется в стоимостных показателях, лишь отдельные виды её учитываются штуках, стаканах, порциях, килограммах. реализация продукции собственного производства потребителям в стоимостном выражении представляет собой товарооборот продукции собственного производства. Удельный вес оборота по продукции собственного производства зависит от типа предприятия питания (столовая, кафе, ресторан, закусочная, бар). Он колеблется от 45 до 90 %. На предприятиях питания, кроме производства и реализации продукции собственного производства, осуществляется продажа покупных товаров, к которым относится готовая продукция, не требующая кулинарной обработки. Покупные товары поступают в готовом виде от других предприятий (например, предприятий пищевой промышленности). Покупные товары дополняют, а в ряде случаев и заменяют некоторые виды продукции собственного производства. Следовательно, к покупным относятся товары, приобретённые в других организациях и отпускаемые населению без какой-либо обработки. Это хлеб и хлебобулочные изделия, консервы, реализуемые в банках, кондитерские изделия, мороженое, фрукты, ягоды и др. Кроме того, к покупным товарам относят изделия, которые не являются продуктами питания, алкогольные и безалкогольные напитки, пиво, табачные изделия, спички. Реализация покупных товаров в стоимостном выражении составляет оборот по покупным товарам.
Реализация продукции собственного производства, а также покупных товаров непосредственно потребителям через обеденные залы, буфеты, кулинарные магазины и т.п. составляет розничный товарооборот предприятий питания.
Отдельные предприятия продают готовую продукцию или полуфабрикаты другим предприятиям общественного питания и розничной торговли. В результате такого рода реализации продукты питания ещё не поступают в сферу личного потребления, поэтому их товарооборот является оптовым. Поскольку товары при этом не выходят за пределы отрасли, такой товарооборот самостоятельного отраслевого значения не имеет.
Сумма оборота от реализации продукции собственного производства (розничного и оптового) и оборота от реализации выкупных товаров образует общий оборот общественного питания, то есть валовой. Валовой товарооборот характеризует полный объём производственной и торговой деятельности предприятия общественного питания. По отношению к нему планируют и учитывают другие показатели: издержки производства и обращения, расходы на оплату труда, прибыль и др. Товарооборот планируют и учитывают в розничных ценах, включая наценку общественного питания.
Роль и значение товарооборота как экономического показателя заключаются в следующем:
товарооборот является объёмным показателем, характеризующим масштабы деятельности предприятия питания;
по удельному весу товарооборота предприятия питания в товарообороте региона отрасли можно судить о доли предприятия на рынке;
товарооборот в расчёте на душу населения характеризует один из аспектов жизненного уровня населения;
по доле товарооборота предприятия питания, в товарообороте региона определяется предприятие-монополист (оно считается таковым, если удельный вес товарооборота предприятия в товарообороте региона превышает 30%);
по отношению к товарообороту учитываются, анализируются и планируются показатели, оценивающие эффективность деятельности предприятия (товарооборачиваемость, рентабельность, уровень издержек и др.).
2. Состав и структура товарооборота общественного питания
Под товарооборотом понимается объем продаж товаров в стоимостном выражении во всех звеньях в процессе их экономического движения к конечному потребителю.
В основе товарооборота лежит уступка права собственности на товар в обмен на его денежный эквивалент.
Для правильного определения сущности товарооборота необходимо учитывать следующие важные факторы: во-первых, объектом товарооборота являются материальные блага, предметы народного потребления; во-вторых, единственной формой движения этих предметов является процесс купли-продажи. Поэтому реализация всякого рода услуг, не имеющих вещную форму материальных благ (выручка бань, прачечных, парикмахерских, зрелищных предприятий и т. д.), к товарообороту не относится. Кроме того, не относится к товарообороту безвозмездная передача материальных благ либо их простое перемещение из склада на склад.
Товарооборот в системе показателей выступает в роли макропоказателя, который может быть дифференцирован по ряду признаков, и образует несколько микропоказателей, отражающих отдельные стороны процесса движения товарной массы.
В зависимости от роли и значения отдельных актов купли-продажи товаров различают несколько категорий товарооборота:
- оптовый товарооборот - продажа товаров предприятиями торговым организациям или одними торгующими организациями другим для их последующей продажи. Таким образом, одна партия товаров может быть продана дважды, трижды и т. д., так как она проходит несколько торговых звеньев. Следовательно, оптовый товарооборот содержит повторный или многократный счет продажи товаров;
- розничный товарооборот - продажа товаров непосредственно потребителю, в основном населению, а также продажа предприятиям, учреждениям товаров, предназначенных для хозяйственных нужд и общественного питания. Известно, что из общего объема розничного товарооборота доля товаров, продаваемых населению, составляет значительную часть;
- валовой товарооборот - сумма всех продаж товаров в сфере товарного обращения. Применительно к отдельному торговому предприятию валовой товарооборот исчисляется как сумма всех продаж товаров, произведенных предприятием, или как сумма продаж товаров отдельной торгующей системой; для всего народного хозяйства валовой товарооборот образуется как сводный итог всех продаж товаров, включая и внутренний оборот между торгующими организациями. Таким образом, валовой товарооборот содержит в себе повторный или многократный счет продаж;
- чистый товарооборот - однократная сумма продаж товаров, исключающая повторный счет оборотов или, другими словами, чистый товарооборот - это конечная продажа товаров, т. е. товар продан и больше продаваться не будет. В целом по народному хозяйству чистый товарооборот равен розничному. Показатель чистого товарооборота широко применяется в статистике торговли во всех тех случаях, когда необходимо определить реальную массу проданных товаров [2, С.8-14].
По роли в товародвижении можно выделить товарооборот производителей (товарная масса, вовлеченная в сферу товарного обращения) и товарооборот торговых предприятий (торгово-посреднический товарооборот).
В территориальном разрезе выделяют товарооборот каждого региона (региональный товарооборот), отдельных городов и районов. В региональном товарообороте выделяю объем покупок местных жителей за пределами региона, а также покупок приезжих в данном регионе (мигрирующий или мобильный товарооборот).
Розничный товарооборот делится на:
розничный товарооборот торговой сети;
розничный товарооборот общественного питания.
В состав розничного товарооборота торговой сети включается:
1 Продажа товаров населению:
а) за наличный расчет, по кредитным, пластиковым карточкам банков, электронным картам, расчетным чекам сберегательных банков, по перечислениям со счетов вкладчиков банков по их поручениям, включая ссуды молодым семьям на приобретение товаров за иностранную валюту, в том числе по перечислениям с валютных счетов населения; продажа товаров на борту самолетов, в пассажирских поездах, с аукционов, через комиссионные магазины, реализация товаров непосредственно производителями, с оплатой через кассу предприятия;
б) в кредит с рассрочкой платежа, при этом в объем товарооборота включается полная стоимость товаров по ценам фактической реализации по моменту получения товара покупателем;
в) по безналичному расчету организациями, фирмами, выполняющими заказы населения на покупку товаров по почте (по времени сдачи ими посылок в отделения связи);
г) в порядке встречной торговли между производственными предприятиями и населением при закупках сельскохозяйственной продукции.
2. Продажа через торговую сеть юридическим лицам и их обособленным подразделениям:
а) продовольственных товаров по безналичному расчету для питания обслуживаемых ими контингентов населения, а именно: детским, лечебным, лечебно-оздоровительным учреждениям, интернатам для престарелых, домам инвалидов, учебным заведениям, оздоровительным детским лагерям; судам речного флота для организации питания экипажей судов, туристов и пассажиров в судовых ресторанах; геологопоисковым партиям для организации питания работников экспедиций; производственным предприятиям лечебно-профилактического питания для рабочих и служащих, занятых в цехах с вредными условиями труда;
б) продовольственных и непродовольственных товаров за наличный расчет;
в) продовольственных и непродовольственных товаров по безналичному расчету исправительно-трудовым учреждениям для отпуска спецконтингентам за счет их личных денежных средств,
3. Порядок отражения отдельных продаж в объеме розничного товарооборота торговой сети:
а) по кредитным, пластиковым карточкам, электронным картам, расчетным чекам сберегательных банков, по перечислениям со счетов вкладчиков по их поручениям, включая ссуды молодым семьям на приобретение товаров отражается, как продажа за наличный расчет:
б) за иностранную валюту - в пересчете на национальную валюту исходя из среднемесячного курса валют, установленного Национальным банком республики;
в) на борту самолетов, в пассажирских поездах - в розничном товарообороте магазина-склада по моменту сдачи ему выручки бортпроводниками и проводниками;
г) на аукционах, через комиссионные магазины - по ценам фактической реализации;
д) товаров длительного пользования по образцам (мебели, холодильников, легковых автомобилей и т.п.) - по времени фактической доставки их покупателю, независимо от времени уплаты денег;
е) печатных изданий (книг, газет, журналов), изданий видео и грамзаписей по подписке - по времени фактической выдачи подписных изданий;
ж) некоторых товаров (лекарств, топлива, транспортных средств, инвалидных колясок и т.п.) отдельным категориям населения со скидкой - в размере оплачиваемой населением стоимости;
з) форменной одежды рабочим и служащим со складов материально-технического снабжения предприятий, организаций, учреждений - по времени ее выдачи в размере оплачиваемой стоимости;
и) выдача товаров по всем видам выигрышей (денежно-вещевым лотереям, при проведении спортивных и других мероприятий), при погашении товарами облигаций государственных целевых беспроцентных займов - по их фактической стоимости по времени отпуска населению.
4. В розничный товарооборот включается стоимость стеклянной посуды, проданной населению с товаром, за вычетом стоимости возвращенной населением порожней стеклянной посуды, а также стоимости стеклопосуды, принятой от населения в обмен на товар.
5. В объем торговой выручки предприятий, колхозов, совхозов, организаций, учреждений, подсобных хозяйств, подведомственных юридическим лицам и их обособленным подразделениям включается реализация населению продукции собственного производства, в том числе живой скот и птица, отходы производства, потребительские товары, полученные по бартеру, в порядке самостоятельных закупок.
6. Стоимость расфасованных в предприятиях торговли продовольственных товаров учитывается в розничном товарообороте, включая стоимость упаковки.
. В состав розничного товарооборота торговой сети не включается;
1.Продажа по безналичному расчету непродовольственных товаров юридическим лицам, их обособленным подразделениям, включая организации социального назначения; продовольственных товаров - юридическим лицам, их обособленным подразделениям, не относящимся к организациям социального назначения.
2.Выдача рабочим и служащим товаров в погашение заработной платы.
3. Стоимость возвращенных покупателями товаров, а также стоимость порожней стеклянной посуды, возвращенной в торговую сеть, или принятой в обмен на товар.
4. Отпуск товаров в счет взаиморасчетов или в порядке товарообмена между магазинами и другими организациями (кроме организаций социального назначения).
5. Стоимость товаров, числящихся на балансе предприятия торговли и использованных на его внутрихозяйственные нужды.
6. Продажа в предприятиях торговли проездных билетов, талонов на все виды транспорта, лотерейных билетов, телефонных карточек.
7. Продажа населению почтовых марок, конвертов и почтовых открыток с марками, телефонных карточек отделениями связи.
8. Стоимость входных билетов на рынки, ярмарки, аукционы, выставки-продажи и т.п.
. В состав розничного товарооборота общественного питания включается:
1. Продажа предприятиями общественного питания населению:
а) за наличный расчет готовых изделий и полуфабрикатов собственной выработки (блюд, кулинарных, мучных кондитерских и хлебобулочных изделий) и покупных товаров, реализованных через обеденный зал или буфет, включая отпуск обедов на дом, через магазины и отделы кулинарии, палатки, ларьки, киоски, развозную, разносную и другую торговую сеть, принадлежащую предприятию общественного питания;
б) готовых изделий и полуфабрикатов собственной выработки, покупных товаров рабочим и служащим с последующим удержанием их стоимости из заработной платы - включается в розничный товарооборот по моменту фактического отпуска питания или товара по ценам фактической реализации;
в) стоимость питания, отпускаемого по абонементам и талонам работникам других юридических лиц и их обособленных подразделений - включается в розничный товарооборот по моменту фактического отпуска питания по цене фактической реализации;
г) стоимость питания, отпускаемого работникам колхозов, совхозов (включая механизаторов и лиц, привлеченных на сельхозработы), других предприятий и организаций с оплатой по безналичному расчету, в счет взаиморасчетов или товарообмена - включается в розничный товарооборот по моменту фактического отпуска питания по цене реализации. Если обеденная продукция производится из давальческого сырья, то в объем розничного товарооборота включается только выручка за ее изготовление;
д) выручка предприятий общественного питания от продажи цветов, сувениров, табачных изделий и других непродовольственных товаров.
2. Продажа по безналичному расчету готовых изделий и полуфабрикатов собственной выработки организациям социального назначения, а именно: детским, лечебным, лечебно-оздоровительным учреждениям, интернатам для престарелых, домам инвалидов, учебным заведениям, оздоровительным детским лагерям для организации питания обслуживаемых ими контингентов населения.
3. Продажа за наличный расчет юридическим лицам, их обособленным подразделениям готовых изделий и полуфабрикатов собственной выработки, покупных товаров.
4. Предприятия общественного питания, находящиеся на балансе юридических лиц, в объем розничного товарооборота включают только ту часть стоимости питания работников своего предприятия, которая оплачена самими работниками; стоимость питания, отпускаемого работникам других предприятий, организаций учитывается в объеме розничного товарооборота по фактической цене реализации по моменту отпуска питания, включая доплату предприятия.
. В состав розничного товарооборота общественного питания не включается:
1 Продажа по безналичному расчету готовых изделий и полуфабрикатов собственной выработки, покупных товаров юридическим лицам и их обособленным подразделениям, не относящимся к организациям социального назначения.
2. Стоимость питания отпущенного бесплатно (за счет средств бюджета) отдельным категориям населения (учащимся, больным, находящимся на стационарном лечении, пенсионерам, безработным и др.).
Стоимость питания и товаров, реализованных этими предприятиями общественного питания за наличный расчет населению и по безналичному расчету организациям социального назначения, включается в объем розничного товарооборота.
3. Стоимость питания и обслуживания на банкетах, презентациях, поминках и других мероприятиях, оплаченных юридическими лицами, их обособленными подразделениями по безналичному расчету.
4. Стоимость возвращенной поставщикам тары.
5. Внутренний отпуск продукции и товаров в пределах предприятия (организации) общественного питания.
6. Стоимость сырья заказчика (давальческое сырье).
7. Выручка за просмотр концертных программ, биллиардных, танцевальных, игровых залов, видеосалонов, входная плата в рестораны, бары и т.п.
. В состав товарных запасов розничной торговли включаются:
- запасы в розничной сети;
- запасы в сети общественного питания.
1. В товарные запасы розничной торговой сети включаются;
а) товары, имеющиеся на отчетную дату в наличии в торговом зале и подсобных помещениях розничной сети (магазинах, аптеках, палатках, ларьках, киосках, развозной, разносной и другой торговой сети), а также на базах, складах, овощехранилищах, принадлежащих розничным торговым организациям;
) товары текущего хранения, обеспечивающие повседневную продажу и запасы товаров сезонного хранения (картофель, овощи, фрукты);
в) товары закупленные и оплаченные, но оставленные на ответственном хранении у поставщиков, а также сданные в переработку.
2. В товарные запасы общественного питания включаются товары, имеющиеся на отчетную дату в наличии в предприятиях общественного питания (столовых, кафе, ресторанах, барах, палатках, ларьках, киосках, развозной, разносной и другой торговой сети), а также на базах и складах, принадлежащих организациям общественного питания, числящиеся на их балансе и предназначенные для общественного питания и розничной торговли.
3. Товарные запасы в розничной торговой сети и сети общественного питания показываются в розничных ценах на дату учета, в овощехранилищах - в ценах, по которым они находятся на балансе этих предприятий.
. В состав товарных запасов розничной торговли не включаются.
а) товары в пути;
б) тара всех видов: мягкая, жесткая, стеклянная, как свободная, так и занятая под товаром;
в) товары материально-технического снабжения;
г) товары на складах предприятий, занимающихся заготовительной деятельностью;
д) товары в комиссионных магазинах и магазинах по продаже скупленных вещей;
е) готовая продукция в подсобных производственных предприятиях торговых организаций;
ж) товары отгруженные, по которым расчетные документы не сданы на инкассо в учреждения банков;
з) товары поставщика, принятые на ответственное хранение (под сохранную расписку).
1.2.1 Система показателей эффективности производства и реализации продукции
Статистика оптового товарооборота призвана изучать важный этап движения товаров, начиная от производства и кончая оптовым покупателем. Она характеризует и анализирует образование и распределение товарных ресурсов торговли, товарные связи производства и торговли, внутриторговые товарные связи, степень выполнения планов поставки товаров [1, С. 30-33].
Основными задачами статистики оптового товарооборота являются:
- получение статистической информации о товарообороте оптовой торговли;
- анализ выполнения плана товарооборота торговой сети;
- анализ динамики оптового товарооборота предприятия;
- расчет и анализ товарной структуры оптового товарооборота предприятия;
- факторный анализ оптового товарооборота и его прогнозирование на перспективу.
Статистика розничного товарооборота выполняет две функции: дает характеристику розничного товарооборота как основного показателя деятельности торговой отрасли и как показателя товарного потребления. В последнем случае задачи статистики розничного товарооборота смыкаются с задачами статистики уровня жизни населения.
К основным задачам статистического изучения розничного товарооборота относят:
- определение объема розничного товарооборота и анализ его структуры;
- сводка и обработка данных о розничном товарообороте в группировках по торговым системам и торгующим организациям, в территориальном разрезе и т. д.;
- анализ выполнения плана розничного товарооборота;
- изучение динамики розничного товарооборота;
- характеристика товарной структуры розничного товарооборота;
- изучение и моделирование взаимосвязей розничного товарооборота с различными социально-экономическими факторами;
- прогнозирование объема розничного товарооборота на перспективу.
Решение задач статистики как оптового, так и розничного товарооборота осуществляется с помощью системы статистических показателей. Рассмотрим основные показатели статистики товарооборота.
В каждом отдельном акте купли-продажи, а, следовательно, и в общем объеме товарооборота можно выделить два компонента: количество проданного товара и цену. Их перемножение дает сумму товарооборота, или денежной выручки (O):
где q количество единиц проданного товара;
р цена единицы проданного товара.
На пути своего движения к потребителю товары проходят ряд звеньев, например, из производства поступают на базу, с базы - на другую базу, расположенную в другом районе, затем - в магазин, откуда он будет продан населению. Таким образом, товар может быть продан несколько раз и каждая такая продажа отражается в учете. Следовательно, чем меньше звеньев проходит товарная масса, тем быстрее удовлетворяются потребности населения, тем меньше издержки обращения, т. е. все виды затрат по обслуживанию процесса товарооборота. В этом и заключается экономический смысл показателя звенности товародвижения - оптимальная величина которого равна единице, если между производством и торговлей существует прямая связь и товар, минуя различные торгово-складские звенья, поступает к потребителю.
Коэффициент звенности (
) может быть выражен целым или дробным числом, так как он отражает среднее число звеньев, которое проходят различные товары, и исчисляется по формуле:

где
- валовой товарооборот;
- чистый товарооборот.
При расчете коэффициента звенности (числа перепродаж товара) необходима поправка на изменение товарных запасов (
). С учетом изменения товарных запасов коэффициент звенности будет иметь следующий вид:

При этом необходимо руководствовать правилом: при увеличении товарных запасов числитель и знаменатель коэффициента звенности надо увеличить (+) на сумму прироста; при сокращении товарных запасов надо уменьшить (-) числитель и знаменатель коэффициента на сумму сокращения. Если изменение товарных запасов произошло не в розничном, а оптовом звене, то поправку надо вносить только в числитель коэффициента.
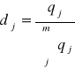
Качественной характеристикой торговой деятельности являются микропоказатели товарной структуры товарооборота. К ним относят:
- абсолютный размер продажи отдельного товара или товарной группы;
- удельный вес (доля) каждого товара или товарной группы в общем объеме товарооборота

где
- продажа отдельного i-го товара;
- объем товара оборота всех i-х товаров;
n число i-х товаров (товарных групп);
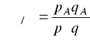
- соотношение продажи двух товаров:

где
- объем продажи товара А;
- объем продажи товара Б.
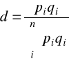
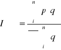
Самостоятельным микропоказателем торговой деятельности выступает товарооборот на душу населения. Он может быть исчислен в целом по розничному товарообороту, а также по каждому отдельному продукту и виду услуг (как в стоимостных, так и в натуральных единицах). Этот показатель выполняет двойную функцию: обеспечивает сравнимость региональных показателей товарооборота, исключая фактор размерности (численности населения), а также используется в динамических сопоставлениях, характеризуя средний индивидуальный уровень покупки товаров, т.е. является показателем социальной эффективности торговли. Товарооборот на душу на селения (
) рассчитывается по формуле:

где
- объем товарооборота;
- средняя численность населения.
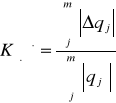
Дисциплина поставок необходимое требование нормальных коммерческих отношений. Полное и неукоснительное выполнение всех условий контракта (договора или заказа) фундамент торговой деятельности. В развитой рыночной экономике нарушители условий договора караются не только системой пени, штрафов и других санкций, но и прямым отторжением от рынка. Для статистической оценки степени соответствия фактической поставки договорным обязательствам используются несколько относительных и абсолютных показателей отклонения, а также сравнения аналогичных по способам расчета динамических показателей.
Исходным относительным показателем такого рода является коэффициент выполнения контракта (
), который характеризуется отклонением фактически поставленного количества товара от предусмотренного контрактом:

где
и
- количества товара по контракту и поставленного фактически.
Абсолютный размер отклонения поставки от условий договора (
) определяется как разность между фактической поставкой и контрактом:

Коммерческий результат сравнения выражается следующими стоимостными показателями поставки:
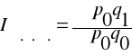
- индекс стоимости поставки (
):

где
и
- цены i го товара по договору и фактические;
m число i х товаров;
- абсолютное отклонение стоимости поставки от условий договора (
):

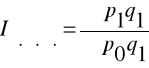
- индекс выполнения контракта по количеству (
):

- абсолютный показатель отклонения стоимости поставки за счет количественного фактора (
):

- индекс выполнения контракта по уровню цен (
):

- абсолютный показатель отклонения стоимости поставки за счет ценностного фактора (
):

Этот метод расчета используется в тех случаях, когда контракт предусматривает поставку различных видов товаров, каждому из которых соответствует своя цена.
Однако необходимо учитывать, что поставленный товар мог предназначаться для дальнейшей перепродажи, естественно, по ценам, превышающим цену покупки. Следовательно, при недопоставке имеет место упущенная выгода. Ее можно определить как разность между стоимостью фактически поставленных товаров по розничным ценам и стоимостью товара в оптовых ценах по условиям контракта. Расчет осуществляется по формуле

где
- фактическая розничная цена продажи i го товара.
Контрактом предусматривается определенный ассортимент поставки. Его следует строго соблюдать, так как нарушение может повлечь за собой неблагоприятные коммерческие последствия для фирмы-клиента: она не сможет полностью удовлетворить спрос на тот ассортиментный вид товара, который недопоставлен, и у нее образуются излишние товарные запасы. Перед статистикой стоит задача обнаружить и оценить нарушения согласованной ассортиментной структуры поставки, определить степень отклонений от условий контракта и выявить возможные финансовые потери для фирмы-клиента.
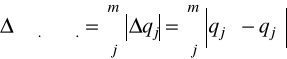
Для характеристики ассортиментных различий используется показатель линейного отклонения ассортиментных позиций (
):

где
- отклонение фактически поставленного j-го ассортиментного вида товара от условий контракта;
m число j-х ассортиментных видов.
Выполнение контрактных обязательств по ассортименту характеризуется коэффициентом (
), где все отклонения, независимо от знака (+,), относятся к общему объему поставки, предусмотренной контрактом

Дополнительную информацию о влиянии отклонений ассортиментной структуры поставки от предусмотренной контрактом можно получить с помощью индекса ассортиментных сдвигов (
):

где
и
- удельный вес j-го ассортиментного вида в общем количестве поставки товара соответственно по контракту и фактически:

- контрактная цена j-го ассортиментного вида товара;
m число ассортиментных видов товара.
Произведение
истолковывается как стоимость поставки в расчете на каждые 100 единиц количества товара. Поэтому абсолютный прирост стоимости поставки за счет ассортиментных отклонений (
) определяется с поправкой на число сотен, которое содержится в количестве товаров текущего периода

Изменение стоимости поставки по сравнению с условиями договора за счет количественного фактора включает как собственно отклонение количества товара, так и его ассортиментные сдвиги, т.е. необходима поправка на изменение количества товара:

Общее абсолютное отклонение фактической поставки от договорной (
) будет выражаться следующей формулой:

Исключительно важным является требование контракта соблюдать согласованные сроки поставки. В договоре может быть зафиксировано условие о поставке товара равными партиями через равные промежутки времени (равномерно). Неравномерность поставки крайне отрицательно сказывается на экономических показателях фирмы-клиента, и она в праве требовать от фирмы-поставщика компенсации своих прямых и косвенных потерь.
Одним из наиболее простых и доступных методов оценки уровня равномерности поставки является построение линейного графика поставки. На графике нормальный (средний) уровень поставки обозначается прямой красной линией, по отклонениям от которой судят о соблюдении условий поставки и интенсивности колебаний. Однако, когда поставщиков много, или, если необходимы объективные количественные данные об интенсивности колебания, лучше использовать метод расчета показателей колеблемости, в частности коэффициента вариации (
) как антагониста показателя равномерности (
). Оба этих показателя измеряются в процентах и теоретически изменяются от 0 до 100. Чем выше уровень коэффициента вариации и соответственно чем ниже уровень коэффициента равномерности, тем неравномернее поставка.
Коэффициент равномерности определяется по формуле:

Коэффициент вариации рассчитывается по следующей формуле:

где
- среднее квадратическое отклонение объемов поставки за каждый равный отрезок времени от среднего уровня за весь период:

- поставка за i-й отрезок времени;
- средний уровень поставки за весь период:

n число отрезков времени.
В контракте может быть учтено явление цикличности поставки, в частности сезонности. Кроме того, поставка может нарастать в соответствии с характером жизненного цикла товара (например, на этапах вывода товара на рынок и роста продажи), что также может быть зафиксировано в договоре. В то же время описанный выше метод расчета коэффициента вариации любые, даже согласованные изменения объема поставки отразит как колебания, как отклонение от среднего уровня. В этих случаях не имеет смысла рассчитывать показатели равномерности поставки, а следует оценивать ее ритмичность.
Ритмичность поставки это соблюдение сроков и размеров поставки, оговоренных контрактом с учетом сезонных и цикличных особенностей производства, продажи или потребления.
Оценку ритмичности поставки осуществляют двумя способами. Первый способ применим, если в договоре указан объем поставки за каждый период, и заключается в вычислении коэффициента аритмичности поставки (
):

где
- фактическая поставка за i-й отрезок времени;
- поставка за i-й промежуток времени, предусмотренная контрактом.
Чем ближе коэффициент аритмичности к 0, тем ритмичнее поставка, и наоборот, чем он удаленнее от 0, тем существеннее аритмичность.
Второй способ заключается в оценке отклонений фактической поставки за период от тренда (основной тенденции, отражающей цикличность или другие постоянные изменения поставок). По существу это совпадает с расчетом коэффициента аппроксимации (
):

где
- среднеквадратическое отклонение фактической поставки за i-й промежуток времени от тренда;
- выровненное значение поставки за соответствующий промежуток времени (тренд), т.е.
;
- номер промежутка времени.
Для выравнивания используется одна из временных функций (трендовых моделей), отражающая тенденцию поставки.
Важным условием выполнения контракта является соблюдение определенного уровня качества товара. В контракте производится подробная спецификация товара, описание его параметров и полезных свойств, дается общая характеристика качества.
Под качеством товара понимают совокупность его свойств, способных удовлетворять потребителя.
Для оценки качества поставляемых товаров рекомендуется использовать метод бальной оценки. Согласно этому методу сначала составляется перечень параметров (признаков, свойств) товара, которые делятся на жесткие (технологические) и мягкие (дизайн, эргономика). Каждому параметру присваивается балл (жестким по степени отклонения от норм и стандартов, а мягким по экспертной оценке). Одновременно каждому параметру, вне зависимости от его величины, назначается ранг или вес в соответствии с его ролью в формировании образа товара в представлении потребителей и значением в обеспечении функционирования товара. Общий, интегральный, показатель качества (
) рассчитывается как средняя арифметическая величина их параметрических баллов, взвешенных по рангам параметров

где
- балл i-го параметра, характеризующий его соответствие требованиям технологии и потребительским требованиям;
- вес (ранг) i-го параметра;
n число i-х параметров.
Наряду с бальными оценками качества в практике анализа договорных условий применяют индекс сортности, который позволяет установить, в какой мере структура поставки по признаку сортности соответствует условиям договора. Индекс сортности строится в двух вариантах:
- По средним ценам ( цена выступает мерилом сорта):

где
- установленная в контракте цена i -го сорта;
- фактически поставленное количество товаров i -го сорта;
- средняя контрактная цена для каждого сорта:

- договорное количество товаров i -го сорта;
n число i х сортов.
. По непосредственным бальным оценкам соответствующего сорта:

где
- баллы или ранги сортности (высшему сорту соответствует самый высокий балл, низшему наиболее низкий);
- фактически поставленное количество товаров i -го сорта;
- средний балл по структуре сортности, предусмотренной договором:

где
- договорное количество товаров i -го сорта;
n число i х сортов.
Поскольку структура товаров в договоре определена в соответствии со спросом населения, то любые отклонения сортности от 1 (100%) представляют собой серьезное нарушение договорных обязательств.
В статистике динамики товарооборота выдвигаются две главные задачи: первая оценка вектора и скорость изменения товарооборота, выявление его основной тенденции развития; вторая характеристика и моделирование причинно-следственных факторов товарооборота, их влияние на коммерческий эффект.
В оценке развития товарооборота используют методы анализа динамических рядов.
Самостоятельным направление анализа динамики товарооборота является построение многофакторных уравнений регрессии, позволяющих не только осуществлять прогноз, но и выявлять действие тех или иных факторов (
) на динамику продажи товаров (численности и состава потребителей, денежного дохода, цен и т.д.). Обычно в динамическую модель вводится фактор времени (t), что позволяет исключить влияние авторегрессии. Общий вид динамической модели товарооборота, используемой для прогнозирования и оценки факторов, предоставлен линейным многофакторным уравнением регрессии:

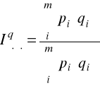
В анализе товарооборота значительное место занимает индексный метод, который позволяет одновременно решить две задачи: определить вектор и скорость изменения товарооборота и разложить динамику товарооборота на факторы количества и цен.
Показатель изменения стоимости товаров, который можно рассматривать как общий индекс товарооборота (Ipq), отражает комплексное появление совместных изменений объема продажи и цен, по которым продаются

где
и
- цены соответственно базисного и текущего периодов;
и
- количество проданных товаров соответственно в базисном и текущем периодах.
Характеристику динамики объема каждого из проданных товаров можно дать с помощью индивидуального (одновариантного) индекса количества (iq), исчисляемого по формуле

Характеристика динамики продажи совокупности товаров опирается на использование общего индекса физического объема товарооборота (Iф.о.т.), который отражает динамику товарооборота за счет изменения количества реализованных товаров (количественного фактора. Этот индекс можно строить или по текущим ценам или по базисным. Выбор измерителя не связан с экономическими условиями, а обусловлен особенностями регистрации цен и учета товарооборота.
Индекс физического объема товарооборота по базисным ценам имеет то преимущество, что позволяет строить и продолжать динамические ряды, охватывающие длительный отрезок времени

Индекс физического объема товарооборота по базисным ценам сопоставим с индексом ценностного фактора товарооборота с весами текущего периода (Iц.ф.т.):

В результате такого расчета строится мультипликативная факторная индексная модель динамики товарооборота:


а также аддитивная форма этой модели:


Индекс физического объема товарооборота по текущим ценам строится по следующей формуле:

Индекс физического объема товарооборота по текущим ценам образует единую индексную модель товарооборота совместно с индексом ценностного фактора товарооборота, построенного по базисным весам:
, (44)

Материальная база торговли характеризуется числом торговых предприятий, их размерами и площадью, уровнем оснащения различным технологическим, измерительным и другими видами торгового оборудования.
Для характеристики степени специализации торговли применяется показатель, определяемый как отношение количества специализированных магазинов к общему числу магазинов данного района, города, области, республики. Анализ показателей специализации магазинов показывает, что более высокими темпами идет специализация непродовольственных магазинов, отвечающих растущим запросам населения.
Одним из показателей, косвенно характеризующих подъем народного благосостояния, является рост обеспеченности населения розничной торговой сетью. Этот показатель исчисляется в двух вариантах:
- по числу торговых предприятий - как отношение количества торговых предприятий на 10 тыс. жителей;
- по размеру торговой площади - как отношение размера торговой площади предприятий торговли или торговых залов на 1 тыс. чел. либо обратный показатель - сколько приходится человек на 1 м.кв. торговой площади.
Отражение товарооборота предприятий торговли в государственной статистической отчетности осуществляется на ежеквартальной и ежемесячной основе. Основными формами статистической отчетности, используемыми при анализе товарооборота, являются: форма №1-торг «Отчет о товарообороте и запасах товаров» (срочная, месячная); форма №3-торг (краткая) «Отчет о продаже и запасах товаров» (срочная, месячная); форма №3-торг «Отчет по розничной торговле» (квартальная).
Информацию о розничном товарообороте за месяц можно получить из регистров бухгалтерского учета по счету «Реализация продукции (работ, услуг)», данных статистического и оперативного учета развития товарооборота и движения товаров [13, С. 12-13].
1.3 Факторы, влияющие на товарооборот
Выполнение плана по товарообороту и динамика основных показателей производственно-хозяйственной деятельности предприятия общественного питания зависят от трёх групп факторов:
) от обеспеченности товарными ресурсами, правильности их распределения и использования;
) от обеспеченности трудовыми ресурсами, эффективности использования рабочего времени, производительности труда работников общественного питания;
) от состояния, развития и использования материально-технической базы предприятия питания.
Первая группа факторов
Главный фактор успешного развития товарооборота и выпуска собственной продукции обеспеченность и рационального использования товарных ресурсов. Анализ использования товарных ресурсов на предприятии общественного питания обычно начинают с изучения продуктового баланса. В ходе анализа определяют, как товарные ресурсы обеспечивали успешное выполнение плана и развитие товарооборота в динамике. Товарооборот предприятия общественного питания зависит от поступления сырья и покупных товаров, состояния товарных запасов. На его объём оказывает влияние прочее выбытие продуктов. Эта зависимость может быть выражена формулой продуктового баланса:
Зн + П = Р + В + Зк ,
где Зн товарные запасы на начало изучаемого периода;
П поступление сырья, полуфабрикатов и покупных товаров;
Р реализация продукции собственного производства и покупных товаров;
В прочее выбытие продуктов;
Зк товарные запасы на конец анализируемого периода.
Влияние показателей товарного баланса на развитие товарооборота можно определить, применив следующую формулу:
Р = Зн + П В Зк .
Следовательно, на выполнение плана и динамику товарооборота положительное влияние оказывают завышенные товарные запасы на начало изучаемого периода и рост поступления продуктов, а отрицательное увеличение прочего выбытия продуктов и завышенные запасы сырья и покупных материалов на конец периода.
Так как товарооборот планируют, учитывают и анализируют в продажных ценах, то и все другие показатели включают в продуктовый баланс в аналогичной оценке. Данные по продуктовому балансу изучают в целом по предприятию питания, так как отсутствует необходимая информация для его составления в ассортиментном разрезе.
Анализ поступления сырья, полуфабрикатов и покупных товаров проводят по общему объёму, ассортименту, количеству, качеству, источникам поступления и отдельным поставщикам. Прежде всего, исходя из плана товарооборота и выпуска собственной продукции определяют потребность в товарных ресурсах и сравнивают с возможностями их закупки. Особое внимание уделяют выявлению, изучению и мобилизации дополнительных источников поступления сырья, полуфабрикатов и покупных товаров на льготных условиях. Закупки зелени, ранних овощей, ягод и фруктов на колхозных рынках, продовольственных товаров непосредственно у производителей расширяют и разнообразят ассортимент продукции собственного производства, повышают калорийность и качество выпускаемых блюд. Приобретение продуктов непосредственно у производителей, поступление сырья из подсобных хозяйств и пунктов потребительской кооперации, как правило, производятся дешевле, чем при их закупке через оптовых посредников, что является важным фактором снижения стоимости питания и повышения рентабельности хозяйствования. В связи с этим при анализе необходимо изучить, как предприятия питания используют возможности вовлечения в товарооборот дополнительных товарных ресурсов из указанных выше источников и какие имеются резервы для их роста. Особое внимание уделяется изучению частоты и своевременности завоза продуктов.
Большое значение имеет проверка соблюдения договоров поставки сырья и покупных товаров отдельными поставщиками. В процессе анализа определяют степень выполнения договоров поставки по общему объёму, ассортименту и качеству продуктов, срокам их отгрузки, условиям транспортировки и упаковки и т.п.; выявить случаи нарушения договорных обязательств, если они имели место, и установить их причины. Нарушения в выполнении договоров поставки сырья и покупных товаров могут быть по вине поставщиков (из-за несвоевременного заключения договоров, согласования спецификаций; нарушения договорных обязательств по объёму, ассортименту и качеству поставляемых продуктов, срокам отгрузки и другим условиям их поставки) или по вине предприятий питания (несвоевременное заключение договоров и предоставление разнарядок и заявок поставщикам, отказ от заказанных продуктов, нарушение действующего порядка расчётов и др.). В первом случае необходимо проверить, приняло ли предприятие питания все необходимые меры воздействия на поставщиков, предусмотренные законом и договорами, по устранению и предупреждению недостатков в поставке сырья, полуфабрикатов и покупных товаров. Во втором случае следует установить причины и конкретных виновников, приведших к ухудшению снабжения продуктами.
Несвоевременное поступление сырья и полуфабрикатов по дням, а по некоторым из них и по часам отрицательно сказывается на развитии товарооборота и выпуска собственной продукции. Для оценки равномерности и ритмичности завоза продуктов по каждому поставщику следует изучить соблюдение сроков поступления сырья и покупных товаров (в ассортиментном разрезе), определить коэффициенты вариации и равномерности.
Предприятия-доготовочные нередко получают полуфабрикаты высокой степени готовности и быстрозамороженные блюда, что положительно сказывается на их производственно-торговой деятельности. Проводя анализ, следует установить, как удовлетворяются потребности столовых, кафе, ресторанов, других предприятий-доготовочных в полуфабрикатах высокой степени готовности и быстрозамороженных блюдах (в ассортиментном разрезе и в целом по предприятию) и как изменяется их доля в общем расходе продуктов. Используя следующую формулу, целесообразно также по отдельным видам продуктов определить коэффициент индустриализации приготовления пищи (Кинд):
Кинд = 
где Гпр готовые продукты;
Пфабр полуфабрикаты;
Кгот коэффициенты готовности продуктов к потреблению;
Рпр расход продуктов (общее количество).
Для обеспечения ритмичной работы, широкого выбора собственной продукции и покупных товаров, наиболее полного удовлетворения спроса потребителей на предприятиях питания должны быть определённые товарные запасы. По назначению их подразделяют на текущие и сезонные. Основными являются текущие товарные запасы, предназначенные для обеспечения повседневной, бесперебойной производственно-торговой деятельности предприятий. Запасы продуктов текущего хранения постоянно и равномерно пополняются. Предприятия питания должны иметь их в размере на установленное по плану количество дней производственно-торговой деятельности. Текущие товарные запасы должны быть средними, т.е. не завышенными и не заниженными. Завышенные запасы продуктов ведут к замедлению товарооборачиваемости, росту товарных потерь и других издержек производства и обращения, а главное ухудшению качества и даже порчи продуктов. Заниженные товарные запасы могут привести к перебоям в производственно-торговой деятельности предприятий, к снижению объёма товарооборота и выпуска собственной продукции.
Сезонные запасы продуктов создают в определённые периоды года и их образование связано с сезонностью производства. В общественном питании к сезонным товарным запасам относится заготовка картофеля, овощей, фруктов и другой сельскохозяйственной продукции на зимний период.
Текущие товарные запасы обычно планируют отдельно от сезонных. Нормативы текущих запасов продуктов каждое предприятие питания планирует поквартально в сумме или днях. При этом норматив текущих товарных запасов в днях на квартал одновременно является и нормативом товарооборачиваемости.
В деятельности предприятий питания текущие товарные запасы рассматривают, с одной стороны, как источник товарного обеспечения, выполнения планов и динамики развития товарооборота и выпуска собственной продукции и, с другой как составную часть финансового плана и основу расчёта потребности в собственном капитале. В связи с этим нормативы текущих товарных запасов, а равно и фактическое их наличие, должны оцениваться при анализе товарного покрытия товарооборота по продажным ценам, а при планировании финансов и изучении финансового положения предприятия по себестоимости.
Так как нормативы товарных запасов устанавливают поквартально, то и их изучение проводят прежде всего по каждому кварталу в отдельности. Анализ текущих товарных запасов начинают с сопоставления фактических их размеров с установленными нормативами. Изучение товарных запасов проводят не только в сумме, но и в днях. Для определения товарных запасов в днях необходимо их сумму разделить на объём товарооборота и умножить на количество дней изучаемого периода.
В процессе анализа устанавливают, как товарные запасы обеспечивали развитие товарооборота и выпуска собственной продукции: изучают причины отклонений фактических остатков продуктов от установленных нормативов. Такими причинами могут быть:
- невыполнение или перевыполнение планов товарооборота и выпуска собственной продукции;
- невыполнение или перевыполнение плана поступления сырья и покупных товаров;
- завоз продуктов в размерах, превышающих потребность;
- неравномерное их поступление;
- неправильное распределение товарных ресурсов между отдельными предприятиями и их подразделениями;
- наличие других недостатков производственно-торговой деятельности.
Товарные запасы в сумме обычно снижаются, если поступление продуктов отстаёт от темпов увеличения товарооборота, и повышаются при опережающих темпах роста поступления сырья и покупных товаров.
Если на предприятии питания не планируют товарные запасы, то их анализ проводят в динамике. Рекомендуется фактические остатки сырья и покупных товаров на первые числа месяцев в каждом квартале в сумме и в днях сравнивать с данными на начало квартала. В результате определяют, не было ли резких изменений в фактических товарных запасах в течение каждого квартала и отчётного года.
Наряду с анализом товарных запасов на отдельные даты проводят изучение их средних размеров. При определении средних товарных запасов привлекают как можно большее число данных, что обеспечивает репрезентативность расчётов. Плановые среднегодовые товарные запасы (Зср) могут определяться по формуле средней арифметической (путём суммирования их нормативов на четыре квартала отчётного года и деления полученного итога на 4) или по средней хронологической:
Зср = 
где З1, З2, …, Зn запасы товаров на отдельные даты изучаемого периода; n число дат, за которые взяты данные.
Товарооборачиваемость является одним из важнейших качественных показателей в общественном питании. Под товарооборачиваемостью понимается время обращения продуктов со дня их поступления до дня их расхода, а также скорость оборота сырья и покупных товаров.
Время обращения характеризует среднюю продолжительность пребывания продуктов в виде товарного запаса.
Скорость оборота показывает, сколько раз в течение изучаемого периода произошло обновление товарных запасов. Следует отметить, что оборачиваются не сами продукты, а вложенные в них средства.
Ускорение товарооборачиваемости имеет большое значение для экономики: высвобождаются оборотные средства, вложенные в сырьё и покупные товары; снижаются товарные потери и другие издержки производства и обращения; сохраняется качества продукта и т.п.
Товарооборачиваемость в днях (время обращения сырья и покупных товаров) определяют на основе данных о средних товарных запасах и товарообороте по одной из следующих формул:
Тдн =
, или Тдн =
,
где Тдн товарооборачиваемость в днях,
Зср средние товарные запасы;
Д количество дней анализируемого периода;
Р реализация продукции собственного производства и покупных товаров (товарооборот);
Рдн среднедневной объём товарооборота.
Анализ товарных запасов и товарооборачиваемости может проводиться также и по отдельным предприятиям питания. Методика и последовательность их изучения на предприятии такая же, как и по организации общественного питания.
Вторая группа факторов
Вторым фактором успешного развития товарооборота и выпуска собственной продукции является обеспеченность трудовыми ресурсами; правильность установления режима труда; эффективность использования рабочего времени; рост производительности труда.
Анализ начинают с изучения укомплектованности штатов поваров, кассиров, раздатчиц, официантов, других работников и эффективности использования рабочего времени. Если по отдельным категориям работников фактическая численность ниже плановой, то выясняют причины и принимают меры по укомплектованию штатов и повышению эффективности труда работников.
На предприятиях питания часто недоукомплектованы штаты рабочих по первичной обработке сырья, поваров, грузчиков, уборщиц и некоторых других работников, что требует изыскания резервов комплексного централизованного снабжения в течение года полуфабрикатами высокой степени готовности и быстрозамороженными блюдами в достаточном количестве, механизации и автоматизации мойки посуды, уборки помещений, выполнения транспортных и других трудоёмких работ. Тем более что уровень механизации труда в общественном питании в настоящее время не превышает 25 процентов.
Численность работников общественного питания изучают в разрезе следующих групп:
) работники производства;
) работники обеденного зала;
) торговые работники (включая работников склада);
) административно-управленческий персонал.
Изучают также качественный состав работников: обеспеченность специалистами с высшим и средним специальным образованием (работников производства по разрядам), стаж работы, в том числе на данном предприятии, возраст и т.п.
Среднегодовую выработку на одного работника предприятия питания можно представить как произведение среднечасовой их выработки на среднюю продолжительность рабочего дня и на среднее число дней, отработанных одним работником за год. Отсюда на выполнение плана и динамику товарооборота можно измерить влияние четырёх трудовых факторов:
) среднесписочной численности работников;
) среднего количества дней, отработанных одним рабочим за год;
) средней продолжительности рабочего дня;
) среднечасовой выработки на одного работника.
Используя данные статистического учёта и отчётности по труду, следует изучить эффективность использование фонда календарного времени. В частности, определяют потери рабочего времени по болезни, в связи с прогулами, скрытой и явной безработицей и по другим причинам (в целом по предприятию и в расчёте на одного работающего).
Далее проводят анализ режима труда и рациональности использования рабочего времени. Исследования показывают, что работники кухни примерно 2/3 своего рабочего времени используют на выполнение основных функций, а остальное время заняты вспомогательными работами или простаивают, Повышения эффективности труда можно добиться путём разделения труда, совмещения профессий, должностей, функций, расширения зон обслуживания, сокращения текучести кадров, привлечения на работу лиц на неполный рабочей день, внедрения достижений научно-технического прогресса, научной организации труда, прогрессивных форм обслуживания потребителей, совершенствования оплаты труда и т.п.
Значительного повышения эффективности труда можно достичь за счёт сокращения и предупреждения текучести кадров. Социологические обследования показывают, что после принятия решения об увольнении у работника снижается интерес к работе, падает производительность труда. В первый месяц работы на новом месте даже по той же специальности у него уровень производительности труда ниже на 25-30%, тем на прежнем месте работы. Значительно ниже выработка и в последующие месяцы. Проводя анализ, необходимо установить, какая работа проводится по закреплению кадров, изучить состояние трудовой дисциплины и дать оценку текучести рабочей силы.
При изучении движения рабочей силы, текучести кадров рассчитывают ряд коэффициентов. К ним относят:
коэффициенты по приёму и увольнению, определяемые отношением количества принятых и уволенных работников к среднесписочной их численности;
коэффициент текучести кадров, представляющий собой отношение количества уволенных работников за нарушения трудовой дисциплины, по собственному желанию из-за неудовлетворённости работой, а также по сокращению штатов (в связи с безработицей, ликвидацией предприятия и т.п.) к среднесписочной их численности;
коэффициент безработицы, рассчитываемый отношением уволенных работников по сокращению штатов и в связи с ликвидацией предприятия к среднесписочной численности работающих;
коэффициент общего оборота рабочей силы, исчисляемый отношением принятых и уволенных работников к среднесписочной их численности.
Для оценки постоянства (закреплённости) кадров определяют долю работников, проработавших на данном предприятии более года.
Производительность труда работников общественного питания определяется экономическими, техническими, технологическими, организационными и социальными факторами. Комплексное и глубокое их изучение позволяет полнее выявить и реализовать резервы повышения эффективности труда. Производительность труда на предприятиях питания обычно анализируют в целом по всем работникам и по отдельным их группам. В частности, рассчитывают в стоимостном выражении выработку на одного работника предприятия (отношением объёма товарооборота к среднесписочной численности работающих) и на одного работника производства (отношением выпуска собственной продукции к численности работников производства).
Для измерения влияния на производительность труда изменения трудоёмкости товарооборота необходимо сопоставить темпы роста выработки, исчисленной к товарообороту в действующей и сопоставимой трудоёмкости.
Уровень производительности труда зависит от изменения доли в общей численности работающих административно-управленческих работников. Количественно измерить влияние этого фактора на темп изменения производительности труда можно, используя следующую формулу:
Тпр =
,
где Тпр темп повышения или снижения производительности труда за счёт изменения структуры численности работников (изменения в ней доли административно-управленческого персонала), %;
А0 удельный вес административно-управленческого персонала в базисном периоде, %;
А1 то же в отчётном периоде.
Влияние внедрения новой техники на определённом участке работы на повышение производительности труда всех работников предприятия можно измерить при помощи следующей формулы:
Тпр. общ. =
,
где Тпр.общ. темп роста производительности труда всех работников предприятия;
Тпр.част. темп роста производительности труда определённой группы работников на основе внедрения научно-технического прогресса, %;
Дл удельный вес (доля) данной группы работников в общей численности работников предприятия.
На уровень производительности труда оказывают влияние изменения с структуре сети, так как значительно выше выработка на одного работника в специализированных предприятиях питания, магазинах кулинарии и т.п.
Влияние этого фактора на уровень производительности труда работающих по организации общественного питания можно измерить путём расчёта выработки на одного работника с учётом и без учёта изменений в структуре сети и сопоставления полученных показателей.
Производительность труда работников производства может также изучаться в количестве произведённой продукции в расчёте на одного работающего (в блюдах, в условных блюдах, килограммах, штуках и т.д.). Выработка вспомогательных работников может определяться в натуральных единицах: хлеборезов в количестве нарезанного хлеба, коренщиц в количестве переработанных овощей и картофеля, грузчиков в количестве переработанного груза и т.п.
Особое внимание уделяют выявлению, изучению и мобилизации резервов повышения производительности труда работников и улучшения обслуживания потребителей. Решению данной проблемы во многом содействует переход на централизованное, комплексное снабжение предприятий-доготовочных полуфабрикатами высокой степени готовности и быстрозамороженными блюдами. Особенно большой социально-экономический эффект достигается при снабжении ими с предприятий пищевой промышленности. В связи с этим изучают, насколько предприятия питания удовлетворяют свои потребности в продуктах за счет полуфабрикатов и быстрозамороженных блюд. Поставка их в недостаточном количестве или неравномерное поступление вынуждает иметь на предприятиях-доготовочных полный штат работников производства, полный комплект машин и оборудования по первичной переработке сырья. Все это приводит к нерациональному использованию производственных мощностей, снижению производительности работников и вместо экономии затрат труда и средств предприятия питания несут большие потери.
Анализ эффективности использования рабочего времени и режима труда помогает изучить рациональность использования трудовых ресурсов, выявить и реализовать резервы повышения производительности труда. Исследования показывают, что потери рабочего времени в связи с внутрисменными простоями у многих работников общественного питания превышают 1/5 часть фонда рабочего времени. Роста производительности труда можно достичь путем привлечения на работу на неполный рабочий день студентов, учащихся средних специальных учебных заведений, старшеклассников, домохозяек и пенсионеров (особенно в часы «пик»), совмещение профессий, специальностей, функций, внедрение научной организации труда, технического прогресса, совершенствования технологии производства пищи и т.п. Большое влияние на повышение производительности труда оказывает улучшение условий работы. Так, при установке усовершенствованной вентиляции производительность труда повышается на 5%, правильном освещении помещений на 5% и даже счет окраски стен и других окружающих предметов на рабочих местах в специально подобранные тона на 2%.
Все это должно быть изучено и учтено при выявлении и подсчете резервов повышения производительности труда работников общественного питания. Резервы должны быть обоснованы соответствующими экономическими и техническими расчетами, данными опыта работы других предприятий отрасли. Особое внимание уделяют выявлению и мобилизации прогнозных (перспективных) резервов повышения производительности труда работников, которые имеют реальный и целенаправленный характер.
Третья группа факторов
Большое влияние на развитие товарооборота и выпуска собственной продукции оказывают состояние и использование материально-технической базы общественного питания. Под материально-технической базой прежде всего имеют в виду основные средства (фонды). В общественном питании по принадлежности они подразделяются на собственные, арендованные и безвозмездно предоставленные. В процессе анализа основные средства должны изучаться комплексно, независимо от их принадлежности. Основные средства подразделяют также на производственные и непроизводственные. Производственные основные фонды классифицируются по отраслям народного хозяйства: промышленности, сельского хозяйства, строительства, транспорта, торговли, общественного питания и т.п. Непроизводственные основные средства включают здания, сооружения и инвентарь, находящиеся в ведении жилищно-коммунальных хозяйств, предприятий бытового обслуживания, органов просвещения, культуры, здравоохранения, физкультуры и социального обеспечения. Проводя анализ, в первую очередь изучают производственные основные фонды, обеспечивающие нормальное функционирование предприятий питания. По выполняемым функциям они подразделяются на активные и пассивные. К активным относят машины, оборудование, приборы и т.п. основные средства, непосредственно-торговом процессе предприятий питания. Пассивные основные средства включают здания, сооружения, передаточные устройства и транспортные средства, обеспечивающие нормальное функционирование активных основных средств.
Анализ материально-технической базы общественного питания обычно начинают с изучения состава и структуры основных производственных фондов. В отрасли происходит перевооружение предприятий современными машинами и оборудованием и поэтому их доля в общем объёме основных средств должна расти. Техническая оснащённость многих предприятий питания низка. Далеко не полностью удовлетворяются потребности отрасли по выпуску технологического, торгового оборудования и машин. В связи с этим ставится задача улучшать использование имеющегося парка машин и оборудования, своевременно оснащать предприятия современной техникой.
При анализе состояния и обеспеченности основными средствами предприятий питания исчисляют следующие показатели:
) Долю активной части основных производственных фондов в общей их стоимости, которая характеризует технический уровень предприятий;
) Коэффициент физического износа основных средств, определяемый отношением суммы износа к первоначальной или восстановительной их стоимости;
) Коэффициент обновления, рассчитываемый отношением суммы вновь поступивших основных средств за год (или за более длительный период) к их остатку на конец года;
) Коэффициент выбытия, определяемый отношением выбывших основных средств за год (или за более длительный период) к их остатку на конец года;
) Коэффициент прироста основных средств, исчисляемый отношением суммы прироста основных средств за год к их остатку на начало года;
) Показатель фондовооружённости труда, рассчитываемый отношением среднегодовой стоимости основных производственных фондов с среднесписочной численности работников;
) Показатель технической вооружённости труда, определяемый отношением среднегодовой стоимости активных основных средств к среднесписочной численности работников.
Коэффициенты обновления, выбытия и прироста основных средств следует изучать взаимосвязано по всем основным средствам и отдельно по основным производственным фондам, а внутри их по отдельным видам, что позволяет глубже оценить воспроизводство материально-технической базы общественного питания.
Обобщающими показателями, характеризующими уровень обеспеченности предприятий питания основными производственными фондами являются фондовооруженность и техническая вооруженность труда. Рост фонда фондовооруженности и особенно технической вооруженности труда ведет к повышению производительности труда. Поэтому их изучают взаимосвязано: сопоставлением за ряд лет темпов роста производительности труда, фондовооруженности и технической вооруженности труда. Кроме того, исчисляют коэффициент механизации труда, представляющий собой долю работников, у которых труд механизирован более чем на 50% в общей их численности, и коэффициент механизации работ, определяемый отношением затрат времени на выполнение работ механизированным путём к общим затратам рабочего времени. Коэффициенты механизации труда и механизации работ изучают по отдельным группам работников, что помогает полнее выявить возможности дальнейшей механизации и автоматизации производственно-торговых процессов.
Важным показателем технического состояния основных производственных фондов является возрастной состав машин и оборудования. Машины и оборудование со сроком службы свыше 10 лет физически и морально устаревают, и их необходимо заменять. Анализ возрастного состава машин и оборудования проводится по отдельным их видам с использованием стоимостных, натуральных и относительных показателей. Относительным показателем, в частности, может быть удельный вес (доля) каждой возрастной группы или в общей стоимости машин и оборудования. Машины и оборудование по срокам их службы обычно группируют в следующих интервалах: до 5 лет, 5-10, 10-15, 15-20 и свыше 20 лет. Кроме того, определяют и изучают средний их возраст (по отдельным видам машин и оборудования и в целом).
В процессе анализа устанавливается, как изменяется материально-техническая база общественного питания, изучается своевременность ввода в действие построенных и приобретённых основных средств. Если план по этим показателям не выполнен, то подсчитываются и изучаются потери в товарообороте, выпуске продукции и прибыли, в том числе в связи с удлинением сроков проведения текущего и капитального ремонтов, инвентаризаций и ремонтов. Потери в товарообороте и выпуске собственной продукции определяются прямым счётом.
Большое внимание уделяют анализу эффективности использования основных производственных фондов. Для обобщающей оценки использования материально-технической базы общественного питания определяют и изучают фондоотдачу, рассчитываемую отношением годового объёма товарооборота к среднегодовой стоимости основных производственных фондов. Обычно фондоотдачу исчисляют, исходя из товарооборота в действующих и в сопоставимых ценах, что позволяет изучить влияние ценового фактора на её размер. По активным производственным фондам, находящимся в производстве, фондоотдача определяется исходя из выпуска собственной продукции.
Обратным показателем фондоотдачи является фондоёмкость, определяемая отношением среднегодовой стоимости основных производственных фондов к годовому объёму товарооборота. Фондоотдача показывает, сколько тенге товарооборота (или выпуска собственной продукции) получено с каждого тенге основных производственных фондов, а фондоёмкость сколько основных средств приходится на один тенге товарооборота. Эти показатели рассчитываются по всем основным производственным фондам (собственным, арендованным и безвозмездно предоставленным). Для оценки эффективности использования производственно-торговых помещений, пропускной способности обеденного зала, мощности машин и оборудования определяют частные показатели. Так, для характеристики использования производственных и торговых площадей исчисляют объём товарооборота и выпуска собственной продукции на 1 м2 всей площади предприятия или производственно-торговой площади на одно место. Сравнение фактического выпуска продукции с единицу времени (сутки, месяц, год) с максимально возможным, позволяет оценить эффективность использования производственных мощностей.
В общественном питании эффективность использования производственных мощностей во многом зависит от пропускной способности обеденного зала и её использования. Пропускная способность обеденного зала зависит от количества мест в зале, времени его работы и средней продолжительности обслуживания потребителя. Для оценки эффективности использования обеденного зала определяют коэффициенты: использования его пропускной способности (отношением фактического числа обслуженных потребителей за рабочий день к максимально возможному), оборачиваемости мест (делением числа обслуженных за рабочий день потребителей на количество мест обеденного зала) и использования мест (отношением числа потребителей, находящихся за столами, к общему количеству мест обеденного зала). Последний коэффициент исчисляют для оценки использования мест в отдельные часы работы обеденного зала.
Нормальное время на приём пищи составляет 15-20 минут, оптимальное время на передвижение к столовой и ожидание в очереди составляет 10 минут. Согласно установленным нормативам, продолжительность отпуска обедов в столовых и буфетах при промышленных предприятиях не должно превышать 10 минут, а на промышленных предприятиях с непрерывным технологическим циклом не более 5 минут. Следовательно, если потребитель затрачивает больше указанного выше времени, то его обслуживание считается неэффективным и необходимо устранить причины, порождающие непроизводительные затраты времени потребителей.
Как показывают исследования, предприятия питания открытого типа, расположенные в центральной части города и на транспортных магистралях, должны работать не менее, чем в две смены. Удлинение времени их работы даёт значительную прибавку в товарообороте и выпуске собственной продукции. Однако, прежде, чем продлить время работы предприятия, необходимо провесит хронометражные наблюдения потоков потребителей и определить выручку в отдельные часы, что позволит экономически обосновать изменение времени их работы.
При анализе эффективности использования машин и оборудования определяют коэффициенты экстенсивной их загрузки (отношением фактического времени работы машин и оборудования к календарному) и интенсивной загрузки (отношением фактической производительности машин и оборудования в единицу времени к производительности по паспорту), а также коэффициент интегральной их загрузки (путём умножения коэффициента экстенсивной загрузки на коэффициент интенсивной загрузки). Одновременно изучают сменность работы машин и оборудования, выявляют неустановленные и установленные, но не используемые машины и оборудование. Анализ практики работы предприятий питания показывает, что они имеют значительные резервы повышения эффективности использования активных основных средств.
Если в анализируемом периоде была переоценка основных средств (дооценка или уценка), то необходимо измерить влияние на фондоотдачу и этого ценового фактора. В конечном итоге на фондоотдачу оказывают влияние два ценовых фактора:
) изменение продажных цен на продукцию собственного производства и покупные товары;
) изменение стоимости основных средств (их дооценки или уценки).
При этом применяют приём цепных подстановок, предварительно составив специальную аналитическую таблицу.
Заканчивается анализ разработкой мер по реализации выявленных резервов повышения эффективности использования материально-технической базы предприятий питания, и прежде всего за счёт внедрения в практику достижений научно-технического прогресса. Так, установка механизированных высокопроизводительных линий раздач комплексных обедов позволяет повысить производительность труда в 2,5-3 раза и значительно уменьшить время, затрачиваемое на обед. За счёт этого фактора оборачиваемость мест обеденного зала повышается на 20-30% и сокращается продолжительность времени обслуживания потребителей и на приём пищи на 30-40%. Одновременно повышается производительность труда рабочих и других потребителей. Применение высокочастотных аппаратов для приготовления пищи по сравнению с обычными электроплитами позволяет не только ускорить время её приготовления, но и сокращает расход электроэнергии на 50-70%. В процессе подсчёта резервов повышения эффективности использования материально-технической базы общественного питания делают экономические и технические расчёты.
1.4 Методика анализа товарооборота
Анализ товарооборота предприятия питания позволяет оценить достигнутые результаты, изучить развитие товарооборота по видам и формам, оценить правильность, реалистичность стратегии предприятия в развитии товарооборота, сравнить масштабы деятельности данного предприятия с конкурентами. Оценка достигнутых результатов основа планирования объема реализации предприятия питания.
Методика экономического анализа товарооборота включает в себя:
) изучение выполнения плана товарооборота по собственной продукции, в том числе обеденной и прочей, по розничной реализации, оптовой продаже, выполнение плана по валовому товарообороту;
) изучение динамики валового, розничного, оптового оборота, а также оборота по собственной продукции, в том числе обеденной и прочей;
) анализ производственной программы предприятия питания;
) исследование влияния важнейших факторов на выполнение плана и динамику товарооборота (товарного обеспечения, запасов, товарооборачиваемости, производительности труда и др.);
) выявление резервов роста товарооборота и разработка конкретных мероприятий по увеличению товарооборота.
Анализ товарооборота проводится в фактических (действующих) и сопоставимых ценах. Для определения товарооборота в сопоставимых ценах необходимо его объем с момента действия новых продажных цен разделить на индекс цен. Необходимо также проанализировать, какие изменения произошли в составе товарооборота по сравнению с прошлым периодом.
Важным показателем, характеризующим торгово-производственную деятельность предприятия питания, является доля собственной продукции в валовом товарообороте.
Анализ выполнения плана и динамики товарооборота.
Общественное питание наряду с розничной торговлей выполняет главную социально-экономическую задачу развития нашего общества удовлетворение материального и культурного уровня жизни народа. Эта проблема решается прежде всего путём развития розничного товарооборота. Товарооборот общественного питания является составной частью розничного товарооборота страны и от его развития во многом зависит благосостояние народа.
Общественное питание Республики Казахстан достигло определённых успехов в росте товарооборота и выпуска собственной продукции. Однако его состояние и развитие не удовлетворяют современным требованиям. Нередко низка культура обслуживания потребителей и качество приготовленной пищи, высокая стоимость питания. На многих предприятиях неудовлетворительно используют материально-техническую базу, товарные, трудовые, финансовые ресурсы.
Основной задачей анализа деятельности предприятий питания являестя выявление, изучение и мобилизация резервов повышения качества и эффективности их работы, улучшения обслуживания потребителей путём устранения недостатков в хозяйствовании, улучшения использования экономического потенциала.
Производственно-торговая деятельность предприятий питания характеризуется прежде всего показателями товарооборота и выпуска собственной продукции. Товарооборот подразделяется на розничный, оптовый и валовой (общий). Розничный товарооборот включает продажу продукции собственного производства и покупных товаров непосредственно населению для личного потребления, а также предприятиям и учреждениям для коллективного потребления. В состав оптового товарооборота входит кулинарных и кондитерских изделий, полуфабрикатов и другой продукции собственного производства предприятиям питания для последующей их обработки и реализации, а также предприятиям розничной торговли для продажи населению.
Розничный и оптовый товарооборот в совокупности составляют валовой (общий) товарооборот предприятий питания.
Анализ товарооборота и выпуска собственной продукции проводят по данным производственно-торгового плана, бухгалтерской и статистической отчётности, данных текущего учёта, контрольных проверок и других источников информации.
Проведение анализа товарооборота предприятия общественного питания затруднено в связи с недостатками в планировании, учёте и отчётности. Так, нормативы товарных запасов обычно устанавливаются в целом по предприятию без их подразделения по товарным группам. Не составляют планы по поступлению и прочему выбытию сырья и покупных товаров. Многие предприятия питания вообще не составляют планы хозяйственной и другой деятельности. В отчётности отсутствует информация о поступлении отдельных видов сырья и покупных товаров, прочем выбытии продуктов, о товарных запасах в ассортиментном разрезе и др. В связи с этим приходится делать дополнительные трудоёмкие расчёты, выборки, и не всегда можно полностью решить задачи, поставленные при проведении анализа хозяйственной деятельности.
2. Анализ товарооборота и выпуска продукции предприятия
2.1 Организационно-экономическая характеристика предприятия
Ресторан «Бирхофф» дочернее предприятие туристическо-экскур-сионного предприятия «Балу». Предприятие является самостоятельным хозяйствующим субъектом, созданным для производства продукции, выполнения работ и оказания услуг в целях удовлетворения общественных потребностей и получения прибыли.
г. Астана, Ул. Кенесары, 44
Предприятие самостоятельно осуществляет свою деятельность, распоряжается своей продукцией, полученной прибылью, оставшейся в его распоряжении после уплаты налогов и других обязательных платежей.
Вид деятельности предприятия розничная торговля организация общественного питания.
Предприятие заключает сделки (договоры, контракты) со многими предприятиями Астаны и области на поставку продуктов питания. Предприятие может закупать товары у различных юридических и физических лиц.
Источниками формирования финансовых результатов предприятия являются прибыль, амортизационные отчисления, средства целевого финансирования.
На предприятии созданы следующие фонды: уставный, социального развития, резервный и другие фонды общего и специального назначения. Предприятие имеет самостоятельный баланс, в котором отражается его имущество. Имущество предприятия состоит из основных и оборотных средств, а также иных материальных и финансовых ценностей.
Управление деятельностью предприятия осуществляется его собственником, который является директором предприятия. Директор самостоятельно определяет структуру управления предприятия и формирует штаты.
Предприятие обеспечивает гарантированный законом минимальный размер оплаты труда, условия труда и меры социальной защиты работников. Размеры оплаты труда работников предприятия установлены согласно штатному расписанию.
Предприятие ведёт бухгалтерскую и статистическую отчётность в порядке, установленном законодательством Республики Казахстан.
Хозяйственно-финансовая деятельность ПР «Бирхофф» характеризуется следующими данными:
Размер товарооборота предприятия достиг в 2013г. 3105,2 млн. тенге. и увеличился по сравнению с 2012г. на 18,5%. В товарообороте предприятия преобладающую долю занимают продовольственные товары. Так, в 2013 г. их удельный вес в товарообороте предприятия составил более 90%, на долю непродовольственных товаров (табачные изделия, печатная продукция) приходится только 6% от общей суммы товарооборота. Среди продовольственных товаров больше всего реализуется мясопродуктов, салатов, ликероводочной продукции и др.
Предприятие «Бирхофф» имеет хозяйственные связи со многими поставщиками. Всего от этих и других предприятий в 2013 году поступило в предприятие товаров на 3170 млн. тенге. Объем товарных ресурсов увеличился по сравнению с 2012 годом на 19,3% или на 513,0 млн. тенге.
За 2013 год было закуплено сельскохозяйственных продуктов на 510 млн. тенге., что составило 15% к общему товарообороту предприятия, в том числе закуплено мяса тонн, овощей тонн, муки тонн.
Средний срок реализации товаров в 2013 году составил 32 дня. По сравнению с 2012 годом оборачиваемость средств, вложенных в товарные запасы, замедлилась на один день (2012 год - 31 день). Это повлияло на ухудшение финансового состояния предприятия, так как замедление оборачиваемости товаров влечет за собой нерациональные расходы и снижение прибыли.
На замедление оборачиваемости товаров повлиял рост остатков товаров в предприятии на начало и конец 2013 года. Если на начало года сумма остатков возросла на 33,8 млн. тенге., то на конец года - на 63,1 млн. тенге. Увеличение остатков товаров в предприятии снижает обеспеченность розничного товарооборота товарными ресурсами.
Упрощенный список продуктов, реализуемых предприятием приведен в таблице 1. Номенклатура продуктов по каждому типу составляет от 5 до 15 наименований. В ресторане традиционно осуществляется торговля элитными сортами товаров.
Большое влияние на развитие товарооборота предприятия оказывают состояние, развитие и использование материально-технической базы предприятия. В 2013 году была проведена реконструкция обеденного зала. В результате сокращения подсобных и складских помещений, перепланировке обеденного зала удалось получить дополнительно 20 кв. м. полезной площади. В 2013 году общая полезная площадь составила 420 кв. м., в том числе площадь обеденного зала - 250 кв. м. Обеденный зал и складские помещения предприятия оснащены современными видами оборудования, кассовыми аппаратами, электронными весами и др.
Эффективность использования материально-технической базы предприятия характеризуется объемом товарооборота на 1 кв.м. полезной площади. Этот показатель составил за 2013 год 7,8 млн. тенге., а в 2012 году он был равен 6,6 млн. тенге.
Использование материально-технической базы торговли непосредственно связано с режимом работы предприятия и, в частности, со сменностью их работы, временем начала и окончания рабочего дня, временем обеденного перерыва, выходными и санитарными днями. Предприятие работает с 8 до 24 часов. Средняя продолжительность рабочего дня составляет почти 16 часов. В 2013 году в результате простоя предприятия из-за ремонта и других причин продолжительность рабочего дня в предприятии снизилась на 0,1 часа, в результате чего потеряно товарооборота на сумму 23 млн. тенге.
Таблица 1.
АССОРТИМЕНТ ПРОДУКТОВ, РЕАЛИЗУЕМЫХ ПРЕДПРИЯТИЕМ.
|
Наименование продукта |
Единицы измерения продуктов. |
Цены (в тенге) |
|
Кофе |
Чашка |
|
|
Кофе из свежемолотых зерен |
Чашка |
|
|
Кофе «капуччино» |
Чашка |
|
|
Мороженное |
Порция |
От 800 |
|
Коктейли молочные |
г |
От 550 |
|
Пирожные |
шт. |
От 200 |
|
Бутерброды |
шт. |
От 250 |
|
Горячие блюда |
порция |
От 1500 |
|
Десертные блюда |
порция |
От 1200 |
|
Вино |
бутылка |
От 7000 |
|
Пиво |
бутылка |
От 650 |
|
Окорочка гриль |
порция |
От 900 |
|
Салаты |
порция |
От 1500 |
|
Фрукты |
г. |
От 900 |
|
Пицца |
порция |
От 1000 |
|
Первые блюда |
г. |
От 1000 |
|
Шампанское |
бутылка |
От 6500 |
В предприятии работает 28 человек, из них 21 являются официантами. Удельный вес официантов в общей численности работников предприятия составляет 75%, По сравнению с прошлым годом соотношение между численностью официантов и административных работников изменилось в пользу официантов (в 2012 году - 74%). Растет эффективность труда официантов. Если в 2012 году на одного официанта приходилось 131,0 млн. тенге. товарооборота, то в 2013 году - 142,0 млн. тенге. За счет роста эффективности труда получено 73,3% прироста общей суммы товарооборота, а за счет увеличения численности официантов (экстенсивный фактор) ,7%.
Предприятие уделяет особое внимание осуществлению режима экономии. Уровень издержек обращения составил в 2013г. 16,75% к товарообороту. По сравнению с прошлым годом он снизился на 0,22% к обороту (2012г.,97%), что позволило за счёт этого получить больше прибыли на 7,0 млн. тенге. Издержки обращения (расходы на продажу) распределяются на остаток товаров и реализацию пропорционально покупной стоимости товаров.
Доходы предприятия от реализованных торговых надбавок и прочих внереализационных доходов составили 19,88% к обороту. При сложившемся уровне издержек обращения (16,75% к обороту) это обеспечило предприятию рентабельность 2,85% к обороту. За 2013г. предприятие получило прибыли 88,5 млн. тенге. На её увеличение оказали влияние рост объёма товарооборота, рост доходности предприятия и снижение уровня издержек обращения по предприятию.
По данным бухгалтерского баланса предприятия на 1 января 2012г., активы предприятия «Бирхофф» составили на конец года 442,9 млн. тенге. За год они возросли на 140,9 млн. тенге.
Увеличение валюты баланса свидетельствует о расширении хозяйственного оборота, объёмов торговой деятельности. Это увеличение произошло, в основном, за счёт прироста оборотных активов на 108,6 млн. тенге. Недвижимое имущество возросло за год на 32,3 млн. тенге.
По состоянию на 1 января 2012г. у предприятия отсутствуют убытки (раздел III актива баланса).
На предприятии применяется журнально-ордерная частично механизированная форма учета, разработанная учетная политика отражает выбранные способы ведения учета, учет ведется на основании общих нормативных актов по бухгалтерскому учету и специальных инструкций предусмотренных для предприятий общественного питания и торговли. Особенностью является то, что ведется учет затрат на счете 44, где предусматривается группировка калькуляционных статей затрат в соответствии с отраслевой структурой, в частности к таким статьям можно отнести:
Износ санитарной и специальной одежды, столового белья, посуды, приборов, другого инвентаря и хозяйственных принадлежностей;
Расходы на хранение, подработку, подсортировку и упаковку товаров;
На предприятии разработана наценочная политика: для детских дошкольных учреждений наценка 20%, столовым общеобразовательных школ до 45%. Учет наценок ведется на счете 42 "Торговая наценка".
На основании полученного товарооборота и среднего % наценки определяется доход предприятия, который и является выручкой от продажи.
Увеличение имущества предприятия обеспечено за счет роста собственного капитала. Сумма заемного капитала за год снизилась с 41,8 млн. тенге. на начало года до 18,8 млн. тенге. на конец года. Это снижение явилось следствием сокращения дорогостоящих краткосрочных кредитов банка и кредиторской задолженности на 46,2 млн. тенге.
На начало года предприятие «Бирхофф» испытывало недостаток собственных оборотных средств, но в результате предпринятых мер по привлечению средств достигнут излишек средств в обороте и 39,4 млн. тенге. Это создало условия для досрочного погашения банковских кредитов.
Способность предприятия своевременно погашать свои обязательства характеризуется его ликвидностью. По данным предприятия можно сказать, что баланс на конец года является ликвидным, так как каждая группа актива покрывает сопоставимую с ней группу пассивных обязательств предприятия. Предприятие является платежеспособным и кредитоспособным.
2.2 Общий анализ показателей товарооборота
Анализ розничного товарооборота по периодам.
Основным видом деятельности государственного предприятия «Бирхофф» является общественное питание и мелкорозничная торговля продуктами питания. Развитие фактического товарооборота предприятия за последние четыре года характеризуется следующими данными:
Таблица 4.
Динамика товарооборота ПР «Бирхофф» за 2011-2013 гг.
|
Годы |
Фактический розничный товарооборот (млн. тенге.) |
Цепные темпы роста товарооборота, % |
Базисные темпы роста товарооборота, % |
|
В действующих ценах |
В сопоставимых ценах |
В действующих ценах |
В сопоставимых ценах |
В действующих ценах |
В сопоставимых ценах |
|
|
2010 |
,2 |
,2 |
||||
|
2011 |
,5 |
,3 |
,6 |
,3 |
,6 |
,3 |
|
2012 |
,7 |
,8 |
,4 |
,8 |
,4 |
,2 |
|
2013 |
,2 |
,4 |
,5 |
,9 |
,6 |
,1 |
Данные таблиц показывают, что за последние три года темпы роста розничного товарооборота изменялись неодинаково: в 2011 году рост товарооборота составил 115,6% (увеличился по сравнению с прошлым годом на 15,6% в действующих ценах), в 2012 году ,4% (увеличился на 22,4%), а в 2013 году ,5%. Эго объясняется тем, что цены на товары, реализуемые в предприятии, выросли в 2013 году по сравнению с 2012 годом, но меньше, чем в 2012 году по сравнению с 2011 годом (средний индекс цен в 2011 году по отношению к 2010 г. составил 1,223 или в 2012 году ,204 или 120,4%, в 2013 году ,158 или 115,8%).
Динамика фактического объёма товарооборота в сопоставимых ценах приведена в диаграмме 1. Сравнительный анализ динамики показывает, что в 20102011 гг. объём товарооборота увеличивался более быстрыми темпами, чем в 20112013 гг.
Физический объём товарооборота увеличился в 2011 году по сравнению с 2010 годом на 2,5%, 2012году по сравнению с 2011 годом на 1,7%, в 2013 году по сравнению с 2012 годом на 2,3%. Темпы роста физического объема товарооборота (количества товаров) невысокие, но тенденция намечается положительная.
За четыре года розничный товарооборот предприятия возрос на 67,6% (в действующих ценах) или на 1252,0 млн. тенге. (3105,2 ,2). Этот прирост произошел за счет увеличения количества реализованных товаров (физического объема товарооборота) на 6,5%, что составило 139,7 млн. тенге. (1992,9 ,2), и в связи с увеличением розничных цен на товары на 1112,3 млн. тенге. (3105,2 ,9).
По данным этих расчетов можно сказать, что около 90% прироста товарооборота получено за счет роста цен. Потери покупателями денежных средств от повышения розничных цен (в связи с покупкой товаров по более высоким ценам в предприятии) составили 1112,3 млн. тенге.
За 2010-2013 гг. среднегодовой темп роста товарооборота предприятия в действующих ценах составил Тср действ. =
=
= 1,188, или 118,8%, а в сопоставимых ценах Тср сопост. =
=
= 1,020, или 120,0%.
По кварталам розничный товарооборот предприятия распределялся неравномерно.
Наибольший удельный вес в годовом товарообороте занимает оборот четвертого квартала свыше 27,0%, а наименьший удельный вес в годовом обороте приходится на первый квартал свыше 23,0%. И распределение оборота по кварталам года продолжает изменяться.
Ритмичность развития товарооборота предприятия общественного питания по кварталам рассмотрим на основе данных таблицы 5.
Данные таблицы 5 свидетельствуют о неритмичном развитии товарооборота предприятия по кварталам: наиболее напряженным был четвертый квартал, а наименее напряженным - первый.
Самый низкий темп роста товарооборота достигнут в первом квартале (116,9%), а самый высокий - в третьем и четвертом кварталах (119,0% и 120,0%). Это связано в первую очередь с рождественскими и новогодними праздниками.
Неритмичное развитие розничного товарооборота по кварталам привело к изменению удельного веса оборота каждого квартала в годовом объеме товарооборота. Так, снизился удельный вес оборотов первого квартала на 0,3% и второго квартала на 0,2% по сравнению с 2012 годом, потому что в этих кварталах темпы роста оборота ниже, чем в целом за год (118,5%).
Доля оборота третьего квартала возросла с 24,7% в 2012 году до 24,8% в 2013 году (темп роста оборота в этом квартале 119,0%), а доля оборота четвертого квартала составила в 2013 году 27,4% и возросла по сравнению с 2012 годом на 0,4% (темп роста товарооборота -119,6%).
Таким образом, товарооборот предприятия по кварталам года распределялся неравномерно и развивался неритмично.
Еще более неритмичное развитие получил товарооборот по месяцам года. (см. Таблицу 6.)
товарооборота по месяцам еще больше, чем по кварталам. Темп роста товарооборота колеблется от 110,1 % (апрель) до 124,0% (март).
Самыми напряженными периодами реализации товаров в каждом квартале являются последние месяцы квартала.
Например, рост оборота в целом за первый квартал составил 116,9%, а в марте ,0%, за второй квартал соответственно 117,3% и 123,7%, за третий квартал ,05 и 119,5% и за четвертый квартал ,2% и 122,0%.
Эта напряженность в работе последних месяцев квартала ведет к неравномерному удовлетворению спроса потребителей на товары. Причинами этого были недостатки в снабжении товарами, в организации торговли, в рекламе и др.
Из данных таблицы видно, что размах колебаний роста розничного
Анализ розничного товарооборота по товарным группам.
Таблица 6.
Ритмичность развития розничного товарооборота ПР «Бирхофф»
по месяцам года.
|
Кварталы |
2012 год |
2013 год |
Отклонение в сумме (+, - ) |
2013 г. в % к 2012г. |
||
|
сумма, млн. тенге. |
удельный вес, % |
сумма, млн. тенге. |
удельный вес, % |
|||
|
Январь |
,1 |
,1 |
.2 |
.0 |
+26,1 |
,9 |
|
Февраль |
,3 |
,5 |
,0 |
,5 |
+26,7 |
,5 |
|
Март |
,4 |
,4 |
,8 |
,5 |
+50,4 |
,0 |
|
Итого за 1 кв, |
,8 |
,0 |
,0 |
,0 |
+103,2 |
,9 |
|
Апрель |
,9 |
,7 |
,3 |
,5 |
+22,4 |
,1 |
|
Май |
,4 |
,9 |
,4 |
,3 |
+41,0 |
,0 1 |
|
Июнь |
,9 |
,4 |
,8 |
,2 |
+51,9 |
,7 |
|
Итого за 2 кв. |
,2 |
,0 |
,5 |
,0 |
+115.3 |
,6 |
|
Июль |
,0 |
,4 |
,2 | |
,3 |
+40,2 |
.6 |
|
Август |
,8 |
,2 |
,2 |
,1 |
+40,4 |
,8 |
|
Сентябрь |
,5 |
,4 |
,7 |
,6 |
+42,2 |
.5 |
|
Итого за 3 кв. |
,3 |
,0 |
,1 |
,0 |
+122,8 |
,0 |
|
Октябрь |
,5 |
,9 |
,7 |
,9 |
+47,2 |
,3 |
|
Ноябрь |
,0 |
,4 |
,8 |
.8 |
+41,8 |
,3 |
|
Декабрь |
,0 |
,4 |
,8 |
,8 |
+41,8 |
,3 |
|
Итого за 4 кв. |
,4 |
,0 |
,6 |
,0 |
+143,2 |
,2 |
|
Всего за год |
,7 |
|
,2 |
|
+484,5 |
,5 1 |
Таблица 7.
Розничный товарооборот ПР «Бирхофф» по товарным группам за 2012-2013 г.г.
|
Товарные группы |
2012 год |
2013 год |
2013г. в % к 2012г. |
|
сумма млн. тенге. |
удельный вес, % |
в действующих ценах |
в сопоставимых ценах |
в сопоставимых цепях ценах |
в действующих ценах |
|||
|
сумма млн. тенге. |
удельный вес ,% |
сумма тыс. тенге. |
удельный вес, % |
|||||
|
1 |
||||||||
|
Мясо и птица |
,1 |
,2 |
,0 |
,4 |
,2 |
,0 |
.1 |
,2 |
|
Колбасные изделия |
,8 |
,0 |
,4 |
,0 |
,7 |
,8 |
,4 |
,6 |
|
Рыба |
.1 |
,9 |
,3 |
,9 |
,3 |
,8 |
,7 |
.6 |
|
Хлеб и хлебобулочные изделия |
.0 |
,7 |
,9 |
,2 |
,8 |
,2 |
.5 |
,9 |
Продолжение таблицы?7
|
Плоды, фрукты, ягоды, арбузы, дыни |
,8 |
,2 |
.7 |
,0 |
,2 |
,9 |
,8 |
.8 |
|
Пиццы |
,2 |
,6 |
,9 |
,6 |
,8 |
,6 |
,6 |
.3 |
|
Табачные изделия |
.3 |
,1 |
,3 |
,2 |
,0 |
,2 |
,1 |
,3 |
|
Кондитерские изделия |
,3 |
,0 |
,8 |
,0 |
,5 |
,9 |
.8 |
.0 |
|
Пиво |
,9 |
,5 |
,6 |
,4 |
,5 |
.4 |
,9 |
,5 |
|
Мороженое |
,7 |
,4 |
,7 |
,4 |
,2 |
.4 |
,1 |
,4 |
|
Водка и ликероводочные изделия |
,4 |
,0 |
,7 |
,1 |
,5 |
,1 |
.5 |
,9 |
|
Вина, шампанское, коньяк |
,0 |
,8 |
,3 |
.4 |
,2 |
,5 |
.4 |
,4 |
|
Прочие продовольственные товары |
,7 |
,1 |
,8 |
,4 |
,8 |
,4 |
,6 |
,1 |
|
Непродовольст-венные товары |
,4 |
,5 |
,8 |
,3 |
,3 |
,3 |
,9 |
,8 |
|
Всего товаров |
,7 |
,0 |
,2 |
,0 |
,5 |
,0 |
,5 . „ |
,3 |
Розничный товарооборот в действующих ценах возрос по всем товарным группам. Особенно значительный рост достигнут по реализации мяса и птицы, рыбы и рыбопродуктов, кондитерских изделий, ликероводочных изделий и прочих продовольственных товаров.
Однако в сопоставимых ценах темпы роста товарооборота по товарным группам значительно ниже, и это говорит о том, что большой заслуги предприятия в росте суммы товарооборота нет, так как она растет за счет увеличения цен. Об удовлетворении спроса покупателей на отдельные товары и товарные группы ресторан заботится мало. Снизился физический объем товарооборота (количество реализованных товаров) но таким товарным группам хлебобулочные изделия на 0,5%, непродовольственные товары - на 1,2%, вина, шампанское, коньяк на 0,6%.
Неравномерность развития розничного товарооборота в ассортиментном разрезе привела к изменению его структуры. В частности, по сравнению с 2012 годом в общем объеме товарооборота (в сопоставимых ценах) возросла доля продажи водки и ликероводочных изделий, прочих продовольственных товаров при: относительном снижении реализации мяса и птицы, колбасных изделий, кондитерских изделий, хлебобулочных изделий, вина, шампанского и коньяка, непродовольственных товаров. Это говорит об ухудшении структуры розничного товарооборота предприятия.
2.3 Расчёт факторов, влияющих на товарооборот
На развитие розничного товарооборота предприятия общественного питания оказали следующие факторы:
обеспеченность трудовыми ресурсами и эффективность труда
торговых работников;
состояние и эффективность использования материальны технической базы предприятия.
Главный фактор успешного развития товарооборота - обеспеченность и рациональность использования товарных ресурсов.
По ресторану «Бирхофф» данные о движении товарных ресурсов приведены в таблице 8.
Таблица 8.
Продуктовый баланс по ПР «Бирхофф» за 2012 -2013 г.г.(суммы в млн. тенге.)
|
Показатели |
2012 год |
2013 год |
Отклонение в сумме (+,) |
Влияние на изменение товарооборота (+,) |
|
Запасы товаров на начало года |
,2 |
,0 |
+33,8 |
+33,8 |
|
Поступление товаров |
,3 |
,3 |
+513,0 |
+513,0 |
|
Прочее выбытие товаров |
1.8 |
,0 |
-0,8 |
+0,8 |
|
Запасы товаров на конец года |
,0 |
,1 |
+63,1 |
-63,1 |
|
Величина товарооборота предприятия |
,7 |
,2 |
+484,5 |
+484,5 |
Розничный товарооборот предприятия возрос в 2013 году по сравнению с 2012 годом на 484,5 млн. тенге. за счет завышенных товарах запасов на начало года (+33,8 млн. тенге.), роста поступления товаров в ресторан (+513,0 млн. тенге.) и уменьшения прочего выбытия товаров (+0,8 млн. тенге.). Но возможности роста товарооборота в динамике уменьшились в результате увеличения товарных запасов на конец года (,1 млн. тенге.).
Недостатком использования поступающих в предприятие товарных ресурсов является их неполное вовлечение в товарооборот, что явилось следствием завоза в ресторан товаров, имеющих высокую цену, что снижало спрос покупателей на них, нарушением ритмичности отгрузки товаров поставщиками, связанными с рестораном договорными обязательствами.
Часть товаров, поступивших в ресторан в излишнем количестве и в конце года, осело на остатках товаров в ресторане, что может привести к замедлению оборачиваемости оборотных средств, вложенных в товарные запасы, и возникновению потерь.
В предприятии в 2013 году прочее выбытие товаров снизилось по сравнению с 2012 годом на 0,8 млн. тенге. Прочее выбытие товаров включило товарные потери, бой, лом, недостачу товаров. Следует назвать работу ресторана по снижению прочего выбытия товаров в 2013 году положительной.
Показатели товарного баланса по товарным группам приведены в таблице 8.
Большое влияние на динамику розничного товарооборота оказывает эффективность использования материально-технической базы предприятия. По ПР «Бирхофф» имеются следующие данные об использовании материально-технической базы:
Таблица 11.
Показатели эффективности использования материально-технической базы ПР «Бирхофф» за 2012-2013 гг.
|
Показатели |
2012 |
2013 |
Отклоне- ние (+,-) |
2013 г. в % к 2012 г. |
|
Торговая площадь, м2 |
420 |
+20 |
,0 |
|
|
Количество рабочих дней за год |
-5 |
,5 |
||
|
Средняя продолжительность рабочего дня, час |
,6 |
,5 |
-0,1 |
,1 |
|
Выработка на 1м2 торговой площади за час работы, тенге. |
,3 |
,5 |
+27,2 |
,6 |
|
Розничный товарооборот в действующих ценах, млн. тенге. |
,7 |
,2 |
+484,5 |
,5 |
Из данных таблицы видно, что в 2013 году возросла торговая площадь ресторана за счет проведенной реконструкции, переоборудования и лучшей планировки торгового зала, оптимального размещения в нем товаров. Прирост составил 20 кв. метров или 5,0%.
Количество рабочих дней в году сократилось с 324 дней в 2012 году до 319 дней в 2013году.
Это произошло в результате нарушения сроков проведения реконструкции, которая затянулась из-за недостатка строительных материалов, несвоевременного поступления оборудования. Сократилась и средняя продолжительность рабочего дня на 0,1 часа.
Выработка на один квадратный метр торговой площади за час работы составила в 2013 году 201,5 тенге против 174,3 тенге в 2012 году. Это свидетельствует о повышении эффективности использования торговой площади.
Все эти факторы оказали влияние на динамику развития розничного товарооборота (см. таблицу 12.).
Таблица 12.
Расчет влияния показателей эффективности использования материально-технической базы предприятия на динамику розничного товарооборота.
|
Показатели |
2011 год |
Цепная подстановка |
2013 год |
||
|
торговая площадь |
число рабочих дней |
средняя продолжи-тельность рабочего дня |
|||
|
1 |
|||||
|
Фактическая полезная площадь, кв.м. |
|||||
|
Фактическое число рабочих дней |
|||||
|
Фактическая средняя продолжительность рабочего дня, час |
,6 |
,6 |
,6 |
,5 |
,5 |
|
Фактическая выработка на 1 кв.м. полезной площади за час работы, тенге. |
,3 |
,3 |
,3 |
,3 |
,5 |
|
Розничный товарооборот в действующих ценах за год, млн. тенге. |
,7 |
,4 |
,9 |
,6 |
,2 |
Из данных таблицы следует, что на динамику товарооборота предприятия повлияли следующие факторы:
рост торговой площади: 2751,4 - 2620,7 = + 130,7 млн. тенге.
уменьшение количества рабочих дней: 2708,9 - 2751,4 = - 42,5 тыс. тенге,
уменьшение продолжительности рабочего дня: 2685,6 - 2708,9 = - 23,3 млн. тенге.
повышение выработки на 1 кв. метр торговой площади за час работы 3105,2 - 2685,6 = + 419,6 млн. тенге.
Итого: 3105,2 - 2620,7 = + 484,5 млн. тенге.
Использование материально-технической базы позволяло предприятию добиться роста товарооборота в 2013 году на 550,3 млн. тенге. (130,7 +419,6), но в результате нарушения режима работы предприятия розничный товарооборот уменьшился на 65,8 млн. тенге. (42,5+23,3). В совокупности эти факторы обеспечили прирост товарооборота в 2013 году на 484,5 млн. тенге.
В ПР «Бирхофф», как показал анализ документального оформления и учета розничной продажи товаров, бухгалтерский учет ведется в соответствии с законодательными актами, нормативно-методическими документами и инструктивными материалами. Данные бухгалтерского учета дают разнообразную экономическую информацию для проведения всестороннего и глубокого анализа хозяйственно-финансовой деятельности предприятия, что позволяет утверждать о тесной связи между бухгалтерским счетом и анализом хозяйственной деятельности на данном предприятии.
Проведенный на основе данных бухгалтерского учета анализ динамики развития розничного товарооборота ПР «Бирхофф» за 2011-2013 гг. позволяет сделать следующие выводы:
розничный товарооборот предприятия из года в год увеличивается, темпы роста его высокие;
достигнут рост товарооборота по всем отделам предприятия и по всем товарным группам которыми торгует предприятие;
прирост товарооборота, в основном, достигнут за счет эффективного использования всех видов ресурсов: товарных, трудовых и др.
Вместе с этим предприятие не использовало всех возможностей роста товарооборота в 2013 году. Так, объем розничного товарооборота мог бы возрасти за счет:
улучшения обеспеченности и эффективности использования товарных ресурсов на 63,1 млн. тенге.;
повышения эффективности использования труда на 70,4 млн. тенге.;
повышения эффективности использования материально-технической базы предприятия на 68,8 млн. тенге.
Таким образом, неиспользованные резервы роста товарооборота составили 202,3 млн. тенге.
3. Пути увеличения эффективности производства и реализации продукции
.1 Товарное обеспечение и маркетинговые мероприятия пути увеличения эффективности производства и реализации продукции
Как известно, существует ряд факторов, влияющих на эффективность реализации блюд, а также на динамику и величину товарооборота на предприятии общественного питания. Все эти факторы можно разделить на две группы.
Первая группа это внешние факторы, на которые предприятие общественного питания влиять не может или влияет в незначительной степени.
К таким факторам, в частности, относится диктат со стороны крупных производителей и поставщиков продуктов питания, диктующих свои условия, как в отношении цен, так и по ассортименту и условиям поставки. Противостоять такому диктату могут только крупные сети предприятий питания, обладающие собственными распределительными центрами. Все остальные участники рынка должны безропотно принимать поставленные условия. Такое поведение, выбранное производителем, обусловлено выбранной маркетинговой стратегией, основанной на применяемой технологии и стратегических задачах, стоящих перед производителем.
Вторым внешним фактором можно назвать конкурентов предприятие общественного питания, имеющих общую с ПР «Бирхофф» зону обслуживания. Влиять на конкурентов можно только при условии значительного превосходства, как по оборотам, так и предоставляя посетителям наилучшие качество и условия обслуживания, по наиболее выгодным ценам.
Следующий пункт законодательство. С одной стороны, существует большое число законодательных актов, регламентирующих деятельность участников рынка общественного питания, а с другой стороны отсутствие "Закона о торговле" в значительной степени вносит в работу предприятий питания элементы неопределенности.
Ко второй категории относятся внутренние факторы, т.е. те на которые администрация любого предприятия общественного питания может и должна активно влиять, для того, чтобы добиться наибольшей эффективности.
Во главе этого списка, конечно, нужно поставить ценовую политику, а именно три основных пункта, влияющих на ценовую политику.
. Уровень цен закупки товаров у поставщиков. Как говорилось ранее, крупные торговые объединения могут добиться значительной оптовой скидки, и получить ряд льгот по условиям и срокам поставки товара, это при прочих равных условиях ведет к снижению розничных цен, и используются как элемент формирования валового дохода.
Уровень цен закупки обычно колеблется в определенном диапазоне и устанавливается производителем.
. Уровень цен реализации товаров. Обычно торговые предприятия устанавливают розничные цены дифференцированно по отдельным товарным группам, исходя из состояния спроса, уровня издержек обращения и ряда других.
. Объем реализации товара также является одним из основных компонентов влияющих на ценовую политику, т.к. дает возможность получить ощутимые скидки.
Остановимся коротко на остальных некоторых других внутренних факторах таких как, например, дополнительный сервис для посетителя, в который входят, как это не кажется парадоксальным, весь спектр современного торгового оборудования, начиная от систем охраны и наблюдения, кассовых аппаратов и всех остальных электронных приборов, призванных облегчить процесс торговли, до "бесплатных" пакетов для покупок и крытого паркинга. Все вышеперечисленное влияет на величину торговой наценки, и поэтому к их внедрению нужно подходить только после детального изучения и тщательных расчетов.
Вопросы кадровой работы с персоналом, его подбор, обучение, мотивация к продвижению по служебной лестнице, решаются в каждом ресторане по-разному. Подход к кадровой работе сродни творческому процессу, и поэтому эти вопросы руководитель ПР «Бирхофф» решает индивидуально, исходя из собственных знаний и опыта.
Требования, предъявляемые современными технологиями продаж в сфере общественного питания, невыполнимы без знаний логистики, науки о перемещении материальных ценностей, с целью оптимизации транспортных расходов и эффективного использования торговых и складских помещений.
Несколько слов о рекламе двигателе торговли. Грамотная, удачно организованная реклама, используемая при оформлении обеденного зала и(или) звучащая по внутренней радиосети способна привлечь внимание посетителей к новым или малознакомым блюдам.
Один из основных факторов повышения эффективности работы ресторана и роста товарооборота это ассортимент блюд в меню. Ассортимент ресторана способен активно влиять на уровень продаж блюд. Широкий ассортимент блюд может удовлетворить самые неожиданные запросы посетителей, однако неоправданное расширение ассортимента может привести к оседанию товара в ресторане, снижению оборачиваемости средств, а то и вовсе к "замораживанию" денег.
Вторым неудовлетворительным фактором является то, что в часы пиковых нагрузок, превышающих пропускную способность ресторана, возникают очереди не только у кассовых аппаратов, но и у дверей ресторана. Возможно так же временное отсутствие блюда в продаже, не из-за того, что его нет в ресторане, а из-за того, что ограниченное пространство не позволяет выложить весь ассортимент в необходимом количестве. Обычно в утренние часы ощущается нехватка товаров дешевого ассортимента, а в вечернее время более дорогих.
Отсутствие блюда в меню это упущенная выгода и элемент недовольства со стороны посетителей.
Существуют некоторые способы управления потоком посетителей, и их уже применяют некоторые предприятия общественного питания это, например, предоставление скидок в утренние часы, когда в ресторане не так много посетителей, таким образом, снижается наплыв посетителей в пиковые часы, при сохранении общего количества посетителей. Способ неплохой и имеет только один минус для ресторана это скидки, а любая скидка это недополученные деньги. Выход есть и из этой ситуации.
В данной дипломной работе предлагается другой, менее затратный способ.
Проанализировав работу нескольких ресторанов различных размеров и «различного имиджа», было установлено, что люди с различными уровнями доходов не только посещают рестораны в разное время, но и совершаемые ими заказы блюд в одной товарной группе относятся к разным частям ценового спектра. Учитывая эти факты, можно с большой долей уверенности сказать, что блюда дешевого ассортимента будут лучше продаваться в утренние и дневные часы. Блюда средней ценовой группы в дневное и вечернее время, а дорогие блюда в вечернее и ночное время.
Следовательно, можно формировать ассортимент каждой товарной группы исходя из времени суток, что позволит максимально эффективно использовать имеющиеся торговые площади и максимально удовлетворить потребности посетителей. Но это вовсе не значит, что какое-то блюдо будет вообще отсутствовать в продаже. В продаже присутствует весь ценовой спектр товарной группы, однако центр тяжести его смещается в зависимости от времени работы ресторана и спроса посетителей.
Этот способ позволяет увеличить эффективность продажи блюд на предприятии на 7-10%%.
Большинство предприятий общественного питания ведут свою маркетинговую деятельность без всяких планов, мотивируя тем, что рынок меняется слишком быстро, поэтому от планов нет никакой пользы в конце концов все планы будут пылиться на полке.
Но постепенно на практике приходит осознание необходимости планирования деятельности службы маркетинга. Планирование побуждает руководство постоянно думать о будущем, заставляет предприятие четче определять свои цели и политику, приводит к лучшей согласованности в работе и дает объективные показатели эффективности работы. Аргумент о бессмысленности планирования в условиях постоянных изменений не выдерживает критики. Как раз наоборот тщательное планирование помогает предприятию предвидеть изменение среды и оперативно реагировать на них, а также быть готовыми к непредвиденным обстоятельствам. Разумеется, план должен составляться таким образом, чтобы не ограничивать предпринимательские инициативы.
В общественном питании весь маркетинг обычно сводится к мероприятиям по реализации блюд, которые проводятся стихийно, в зависимости от их наличия, поступления, «затоваривания» или в преддверии какого-нибудь праздника. Нельзя сказать, что они не приносят определенного повышения товарооборота. Однако при стихийности трудно планировать бюджет, фактические затраты могут намного превосходить над планируемыми.
Чтобы составить план мероприятий по маркетингу в общественном питании, нужно сделать анализ сложившейся ситуации по отдельным блюдам, группам блюд и всему предприятию. Для этого, в частности, можно использовать метод прогнозирования на основе сезонных колебаний. Под сезонными колебаниями понимаются такие изменения уровня динамического ряда, которые вызываются влияниями времени года. Их роль очень велика в общественном питании. Для изучения сезонных колебаний необходимо иметь уровни за каждый квартал, а лучше за каждый месяц, иногда даже за декады, хотя декадные уровни могут уже сильно исказиться мелкомасштабной случайной колеблемостью. Для измерения сезонных колебаний обычно исчисляются индексы сезонности (Isi) по формуле:
Isi = Yi / Y ·100,
где Yi среднее значение товарооборота в определенный месяц на основании фактического товарооборота последних лет;
Y среднее значение товарооборота в месяц на основании фактического товарооборота последних лет.
На предприятии общественного питания ПР «Бирхофф» индексы сезонности можно исчислять по каждой группе блюд, так как в основном планирование товарооборота осуществляется именно по ним. В более проблемных случаях, например, когда группы блюд объединены категории (первые блюда, вторые блюда, закуски и т.д.), индексы нужно исчислять по каждой категории в отдельности и по всем категориям в целом.
Так, выделим в ПР «Бирхофф» категорию “вторые блюда”, состоящий из групп:
мясные блюда,
рыбные блюда,
овощные блюда,
салаты
гарниры.
Затем составим тактический годовой план маркетинга на следующий год на основе графиков спада и подъема товарооборота в группах, составленных на основе прогноза индексов сезонности.
Первоначально, по каждой группе составляется таблица прогнозирования товарооборота с использованием индексов сезонности по аналогии с таблицей 3.1.1.
Для наглядности для каждой секции строится график ежегодных перепадов товарооборота по графе 8 таблицы 3.1.1 - рисунок 3.1.4, который представляет собой последовательность положительных и отрицательных пиков, расположенных по разные стороны от среднего товарооборота, в процентах.
Данные из графы 8 по каждой секции заносятся в сводную таблицу 3.1.2.
Анализируя пики, рассчитанные при помощи индексов сезонности видно, что основные подъемы товарооборота предприятия общественного питания ПР «Бирхофф» совпадают с праздниками:
Валентинов день (14 февраля);
Татьянин день;
Марта;
Марта;
7 Мая
Новогодние праздники.
Для группы «овощные блюда» подъемы товарооборота в августе, когда цены на овощи и сопутствующие им полуфабрикаты невелики и у предприятия имеется возможность закупать их в большем количестве.
В группе «мясные блюда» на обобщенный подъем товарооборота (таблица 3.1.2) оказал влияние сезонности (Это привело к росту спроса на мясные блюда на предприятиях общественного питания, где цены на них практически не изменились) это фактор непостоянный. В сентябре 2012 и 2013 годов подъёма товарооборота в данной группе не происходило, так как был сравнительно небольшой спрос на мясные блюда, и не было влияния случайных факторов.
После проведения анализа можно приступать непосредственно к планированию маркетинговой деятельности:
уточнение целей маркетинговой деятельности для каждой группы, категории, всего предприятия;
разработка альтернативных стратегий и выбор наилучшей из них;
формирование плана маркетинговой деятельности;
оперативно-календарное планирование;
бюджет маркетинга.
Из анализа таблицы 3.1.2 видно, что летний период отличается наибольшим спадом товарооборота всех групп категорий, и чтобы определить цели маркетинга
В качестве оптимальных вариантов стратегий в летний период для групп категорий можно использовать: расширение торговых площадей, формирование набора блюд, для которых ищется новая стратегия маркетинга.
При формировании плана маркетинговой деятельности можно идти двумя путями.
Путь 1:
Предлагается прирост к планируемому товарообороту распределять не равномерно, а прямо пропорционально скачкам товарооборота то есть где выше положительная пика, там и выше прирост, Аналогично планируются и маркетинговые мероприятия, где больше назначается прирост товарооборота, там должно больше проводиться мероприятий.
В данном случае учитывается, что спад обуславливается летним сезоном дач и отпусков, то есть уменьшается количество посетителей, приходящих в ресторан и, следовательно, уменьшается действенность методов маркетинга. Распределяя же бюджет маркетинга большей частью на время наплыва посетителей, имеется возможность разработать более эффективный план реализации блюд.
Путь 2:
Прирост товарооборота делается равномерно по всем месяцам. Мероприятия по реализации блюд сосредотачиваются большей частью в проблемный (летний) период.
При использовании данного пути предполагается сглаживание кривой товарооборота, путем массированных маркетинговых мероприятий по продвижению блюд в проблемный период упадка товарооборота. План мероприятий в этом случае отличается тем, что здесь не обойтись просто традиционными методами продвижения, необходим более творческий подход. Формирование плана маркетинговой деятельности в ПР «Бирхофф» проводится в основном сложившимся творческим коллективом предприятия и отчасти руководством.
Во время праздников можно использовать все виды продвижения: рекламу, стимулирование продаж, пропаганду, консультирование официантов; но только они должны быть лучше, чем у конкурентов, так как человек, желающий посетить ресторан, стоит перед выбором: в какой ресторан идти. Следовательно, нужно помочь ему сделать выбор.
После проведения аналитической и творческой работы необходимо непосредственно приступать к составлению плана маркетинговых мероприятий, который состоит из следующих разделов:
первый обзор плана маркетинговых мероприятий предоставляет основные тезисы предлагаемого плана для беглого просмотра руководством;
второй текущее состояние рынка предоставляет основную информацию о рынке сбыта, предлагаемых блюдах и конкурентах;
третий угрозы и возможности описывает основные угрозы и возможности, которые могут оказать влияние на реализацию блюд;
четвертый задачи и проблемы кратко формулирует задачи компании по реализации блюд (группам, категориям), включая вопросы реализации блюд, прибыли, а также проблемы, с которыми может столкнуться ПР «Бирхофф» при выполнении этих задач;
пятый маркетинговая стратегия представляет общий маркетинговый подход, который будет использоваться для достижения запланированных целей;
шестой программа действий определяют, что, кем, когда будет сделано и сколько это будет стоить.
Программа действий является одним из заключительных разделов маркетингового плана с кратким изложением основных и целей и рекомендаций. Перед проведением мероприятий, которые должны проводиться в проблемные периоды спада товарооборота (конкурсы, презентации, дегустации блюд и другие акции рекламного характера), желательно проводить маркетинговые исследования: анализ вторичных источников бухгалтерских данных, работы конкурентов, анализ первичных источников результата опроса посетителей.
Седьмой раздел предполагаемые доходы и расходы, по которым просчитывается предварительная финансовая оценка результатов выполнения данного плана.
Последний восьмой раздел указывает, каким образом будет контролироваться выполнение плана.
Успех или неудача розничного торгового предприятия во многом определяется степенью приверженности к нему посетителей. Лояльность же посетителей зависит от субъективной оценки ресторана, которая формируется в их сознании. В связи с этим любое торговое предприятие необходимо рассматривать не только с функциональной, но и с рыночно-психологической точки зрения. Прежде всего, автор имеет в виду формирование имиджа ресторана (его персонального восприятия). Наличие привлекательного имиджа помогает посетителю воспринимать ресторан как нечто отличное от других, увидеть в нем преимущества, отсутствующие у конкурентов, выбрать его в качестве постоянного места для совершения покупки.
Особенности формирования имиджа розничного торгового предприятия довольно часто рассматриваются зарубежными специалистами в области маркетинга. В отечественной научной литературе данному вопросу, несмотря на его очевидную актуальность, уделяется недостаточное внимание. Поэтому, автору дипломной работы представляется необходимым ответить на следующие вопросы:
из каких элементов складывается имидж ресторана;
как можно измерить (оценить) имидж ресторана;
как имидж ресторана влияет на выбор посетителей.
Имидж часто определяется как совокупность всех представлений, знаний, опыта, желаний, чувств, связанных с определенным предметом. Имидж «конструируется» и внедряется в сознание для достижения определенных целей. При этом для его формирования посетителям необходимы постоянные сравнения предприятий друг с другом.
Некоторые авторы выделяют такие элементы имиджа, как:
осязаемый имидж (первое впечатление от предприятия);
неосязаемый имидж (ответная реакция посетителя на обслуживание и отношение к нему сотрудников);
внутренний имидж (атмосфера внутри предприятия, отношение сотрудников к политике руководства);
внешний имидж (воздействие первых трех элементов плюс общественное мнение о предприятии).
Существует точка зрения, что имидж ресторана складывается из двух пересекающихся компонент из общих функциональных преимуществ типа торгового предприятия (специализированного, универсального, дисконтного, ресторана-склада и т.д.) и специфики конкретного ресторана, принадлежащего к тому или иному типу. Это означает, что посетители осуществляют выбор ресторана как места для отдыха, исходя из двух групп факторов: собственных предпочтений (оценочных критериев) и конкретных характеристик ресторана. В каждом сегменте рынка посетители формируют для себя имидж ресторана, руководствуясь показателями, которые им самим кажутся наиболее значимыми.
Другими словами, происходит сравнение воспринимаемых характеристик ресторана (его имиджа) с некими оценочными критериями. Исследования показывают, что посетители могут быстро вспомнить конкретное торговое предприятие (извлечь его название из долгосрочной памяти), если их спросить о том, какой ресторан (кафе, бар) в первую очередь приходит им на ум при упоминании таких показателей, как «самый низкий уровень цен», «наиболее удобный» и т.д. Причем эти ответы полностью совпадают с названиями наиболее известных и популярных в целевом сегменте ресторанов, баров и кафе. Таким образом, чем точнее соответствие между представлениями посетителей о том, каким должен быть ресторан, и реальной картиной, тем слабее психологическое противодействие покупке в этом ресторане.
Не менее важной является мысль о том, что посетители в выборе определенной торговой точки должны видеть важное преимущество, отсутствующее у конкурентов. Этот аспект формирования имиджа выделяет известный французский аналитик Ж.-Ж. Ламбен и предлагает термин «концепция ресторана как совокупность атрибутов». Такими атрибутами, по мнению Ламбена, являются: близость ресторана, ассортимент, уровень цен, услуги, время, затрачиваемое посетителями на покупку, атмосфера ресторана. Данные характеристики для розничного торговца рассматриваются в качестве активных переменных и позволяют ему творчески сформулировать «концепцию ресторана», отвечающую ожиданиям целевого сегмента и позволяющую ему выделить ресторан среди конкурентов.
Перечисленные атрибуты можно рассматривать как группы свойств и разделить их на отдельные составляющие; например, такой атрибут, как атмосфера ресторана, характеризуется следующими признаками: визуальные компоненты ресторана (изображения, знаки, указатели), освещение, цвет, музыка, запахи. Такой подход позволяет более четко определить параметры, характеризующие ресторан, сформировать его имидж, привлекательный для целевого сегмента.
Таким образом, процесс создания и поддержания имиджа имеет непосредственное отношение к процедуре позиционирования, разработке стратегии дифференциации розничного торгового предприятия и формированию его конкурентных преимуществ на рынке.
Для того чтобы остановиться в своем выборе среди атрибутов искомой позиции (концепции ресторана), необходимо оценить существующий имидж ресторана, проверить степень его соответствия ожиданиям целевого сегмента.
Маркетологи утверждают, что для оценки имиджа может быть использован практически весь диапазон методов изучения отношения посетителей, включая семантический дифференциал, прототипы посетителей, построение различных шкал, психолингвистику, и многие другие.
Профиль ресторана «Бирхофф» показывает, что он имеет устойчивые преимущества по таким атрибутам, как «качество товара» и «качество обслуживания». Можно сделать вывод, что «Бирхофф» обладает имиджем престижного ресторана с высококачественными и дорогими блюдами. А исследование позиций конкурентов показывает, что фирме «Бирхофф» необходимо поддерживать сложившийся имидж и продолжать его «конструирование». Для этого следует совершенствовать такие атрибуты, как «насыщенность ассортимента», его «соответствие тенденциям спроса», а также улучшать «атмосферу обеденного зала» и «средства рекламы и стимулирования продажи блюд». Это позволит четко позиционировать ресторан в целевом сегменте «взыскательных и состоятельных посетителей», создать конкурентные преимущества и обеспечить наличие постоянных клиентов, запросы которых совпадают с концепцией предприятия «Бирхофф».
Следует также учитывать, что выбор посетителей зависит от степени соответствия между имиджем ресторана и собственным имиджем посетителя. Многие посетители приписывают отдельным ресторанам определенные категории клиентов и сравнивают их имидж с имиджем, который они приписывают себе.
В этой связи нельзя не упомянуть о том, что при формировании имиджа необходимо принимать во внимание его эмоциональное, чувственное восприятие. Имидж часто создается с помощью определенных ассоциаций, возникающих в сознании посетителей. Поэтому в рекламных обращениях, позиционирующих торговое предприятие на рынке, эффективно использование приема «свидетельства», когда известная и популярная в целевом сегменте личность «свидетельствует» в пользу рекламируемого ресторана. Этот прием помог фирме «Бирхофф» создать имидж престижного ресторана, так как в рекламных обращениях фирмы участвовали известные в городе топ-модели.
Интересным является вопрос о соотношении имиджа блюда и имиджа ресторана. Исследования показывают, что имидж ресторана играет второстепенную роль, если товарные марки, присутствующие в его ассортименте, имеют четко выраженные позиции. Наоборот, чем слабее выражена «личность» марки, тем большую роль начинает играть имидж предприятия.
И, наконец, нельзя не отметить значение правильного выбора названия ресторана для создания его имиджа. Задача заключается в том, чтобы не только создать понятный посетителям образ, но и суметь выразить его в фирменном названии и других элементах фирменного стиля.
3.2 Повышение производительности труда
Производительность труда в стоимостном выражении представляет собой среднюю сумму товарооборота, приходящуюся на одного работника в единицу времени (год, квартал, месяц, день, час). Производительность труда рассчитывается делением валового объёма товарооборота предприятия питания на среднесписочную численность работников. Этот показатель также называют выработкой на одного работника:
ПТ = ВТ : Ч,
где ВТ валовой товарооборот;
Ч среднесписочная численность работников.
Данные таблицы показывают, что по всем товарным группам розничная реализация возросла за счет роста поступления товаров. Причем темпы роста поступления товаров выше темпов реализации, что привело к увеличению их остатков. В целом за счет этого фактора не использованы резервы роста товарооборота на 63,1 млн. тенге.
Одним из факторов успешного развития розничного товарооборота является обеспеченность трудовыми ресурсами и эффективность труда торговых работников.
Оценку показателей по труду ПР «Бирхофф» произведём на основе следующей таблицы:
Таблица 3.2.1.
Показатели по труду ПР«Бирхофф» за 2012 -2013 гг.
|
Откло- |
2013 г. |
|||
|
Показатели |
2012 |
2013 |
нение |
в % к |
|
(+,-) |
2012 г. |
|||
|
Розничный товарооборот, млн. тенге.: |
||||
|
в действующих ценах |
,7 |
3105,2 |
+484,5 |
,5 |
|
в сопоставимых ценах |
,7 |
,5 |
+60,8 |
,3 |
|
Среднесписочная численность |
||||
|
торговых работников - всего ,чел. |
+1 |
,7 |
||
|
в т.ч. официантов |
+1 |
105,0 |
||
|
Удельный вес официантов в общей численности работников, % |
,2 |
,0 |
+1,8 |
|
|
Среднегодовая выработка на одного торгового работника, млн. тенге.: |
||||
|
в действующих ценах |
,06 |
110,90 |
+13,84 |
,2 |
|
в сопоставимых ценах |
,06 |
,77 |
-1,29 |
,7 |
|
Среднегодовая выработка на |
||||
|
одного продавца, млн. тенге. |
||||
|
в действующих ценах |
,04 |
147,87 |
+16,83 |
,9 |
|
в сопоставимых ценах |
,04 |
,69 |
-3,35 |
,5 |
|
Прирост товарооборота в действующих ценах за счет роста производительности труда, % |
,8 |
,3 |
+1,5 |
|
Как видно из таблицы 3.2.1, среднегодовая выработка одного торгового работника в действующих ценах составила 110,9 млн. тенге. и по сравнению с 2012 годом возросла на 13,8 млн. тенге. или на 14,2%. За счет роста производительности труда получена сумма прироста товарооборота в размере 354,9 млн. тенге. (+16,9 млн. тенге. · 21 чел.). В общей сумме прироста товарооборота в действующих ценах за 2013 год это составило 73,3%.
На изменение суммы розничного товарооборота в 2013 году оказало влияние и увеличение численности продавцов на одного человека или на 5,0% по сравнению с 2012 годом. За счет роста численности продавцов получена дополнительная сумма розничного товарооборота в размере 131,0 млн. тенге. (+1 чел. · 131,0 млн. тенге.) или 26,7% общей суммы прироста товарооборота.
Влияние трудовых факторов на динамику розничного товарооборота в действующих ценах рассмотрим на основе таблицы 3.2.2.
Таблица 3.2.2.
Расчет влияния трудовых ресурсов на динамику розничного товарооборота
|
Наименование факторов |
Влияние на динамику товарооборота |
|
|
расчет |
сумма, млн. тенге. |
|
|
1 |
||
|
Изменение численности официантов |
(21-20) · 131,0 |
+131.0 |
|
Изменение среднегодовой выработки официантов |
(147,9-131,0) · 21 |
+354,9 |
|
Всего |
+484,5 |
В 2012 году руководство ПР «Бирхофф» планирует создать два дополнительных рабочих места для обслуживающего персонала. Определим резерв увеличения товарооборота (в части выпуска собственной продукции) за счет создания дополнительных рабочих мест. Он определяется умножением их прироста на фактическую среднегодовую выработку одного работника:
,
где
- резерв увеличения товарооборота в части выпуска собственной продукции;
= 2 резерв увеличения количества рабочих мест;
- фактическая среднегодовая выработка рабочего.
С учётом того, что фактическая среднегодовая выработка рабочего в 2013 году в действующих ценах составила 110,90 млн. тенге./чел., резерв увеличения товарооборота в части выпуска собственной продукции составит
110,90 2= 221,80 млн. тенге.
3.3 Совершенствование планированияпуть увеличения эффективности производства и реализации продукции
Механизм экономического обоснования объёма и структуры товарооборота предприятия питания включает в себя определение приоритетных целей, обеспечение взаимосвязи между показателями, учёт факторов и конъюнктуры развития рынка, эффективности действующего законодательства.
Планирование предполагает определение перспективных целей, анализ способов их реализации и ресурсного обеспечения. Основными стадиями целевого планирования являются:
поиск целей;
придание цели количественной определённости;
анализ и упорядочение цели;
проверка цели на реализуемость;
принятие решения;
осуществление целей;
проверка и уточнение целей.
Для ПР «Бирхофф», в условиях насыщенного рынка, характерно долгосрочное и текущее оперативное планирование.
В условиях достаточно высокого уровня монополизма и отсутствия конкуренции среди предприятий питания в условиях переходной экономики плановые решения принимаются в следующем порядке. Идея, закладываемая в план, пока ещё во многих случаях задаётся высшими органами отраслевого и административного управления. Затем следуют формулировка целей; выработка стратегии или нахождение путей достижения целей; выбор средств; контроль.
Формулировка целей в процессе планирования связывается с созданием основ мотивации и пробуждением заинтересованности работников предприятия в их достижении.
По возможности измерения цели подразделяются на экономические, качественные, стратегические. Суть экономических целей в общем виде формулируются как повышение прибыли на вложенный капитал.
Классификация экономических целей:
результативные (степень использования мощностей предприятия питания; качество обслуживания; доля предприятия на рынке; каналы товародвижения; пропускная способность; качество продукции);
количественные (объем и состав товарооборота; готовность продукции к потреблению; уровень и структура издержек; товарооборачиваемость; прибыль, рентабельность, ликвидность);
финансовые (высокая платежеспособность, ликвидность; возможность резервирования прибыли; размеры резервных фондов; соотношение собственных и заемных средств, высокая эффективность их функционирования, структура и объем инвестиционной и финансовой программы).
Качественные цели тесно связаны с экономическими. Если они не определены, то экономические цели могут быть не доступны вообще или достигнуты при больших нерациональных затратах.
В условиях демополизации предприятий торговли и питания, разгосударствления и приватизации перед хозяйствующими субъектами встают три важнейшие проблемы, которые могут стать целевыми (стратегическими) установками:
) получение прибыли;
) завоевание и расширение доли рынка, на котором работает предприятие;
) завоевание доверия клиентов.
От решения этих проблем зависят объем и темпы роста товарооборота предприятия общественного питания.
Исходя из сути товарооборота, механизм экономического обоснования планового объема и структуры реализации включает в себя определение условий осуществления продаж и контроль за процессом реализации.
В коньюктурных колебаниях (циклах) различают четыре стадии: депрессию, подъем, бум и спад.
Для стадии депрессии характерны самые низкие уровни производства, оборота, цен, спроса на товары, основные фонды, труд и капитал, безработица и низкая прибыль. При подъеме начинает увеличиваться производство, оборот прибыли, замедляется рост цен, увеличивается число рабочих мест. В стадии бума обеспечивается полная загрузка производственных мощностей, растут цены. При спаде из-за высоких цен сдерживается реализация всех услуг (товаров), спрос уменьшается, наблюдается спад производства, и все это ведет к кризису.
Вторым основополагающим принципом экономического обоснования объема розничного товарооборота является обеспечение необходимой взаимосвязи динамики показателей эффективности работы предприятий общественного питания и форм интенсификации.
В таком нормативе на первый план выдвигается получение необходимой массы прибыли, достижение конкретного объема товарооборота и рост физической массы продаж. С одной стороны, данная стратегия основана на обеспечении сбалансированности товарооборота и прибыли, с другой товарных ресурсов, товарооборота и спроса населения по объему и структуре, а также на выработке оптимальных пропорций их развития.
При обосновании планового объема структуры товарооборота, кроме перечисленных выше принципов, необходимо учесть сложившуюся и потенциальную сегментацию рынка, жизненный цикл товара и предприятия, концепцию полезности и удовлетворенности посетительского выбора, обеспеченность населения данной продукцией, коэффициент насыщенности рынка.
Кроме того, важными исходными данными для разработки планов товарооборота по предприятию являются объем централизованно распределяемых товаров из государственных ресурсов (ликероводочные изделия, вино, сахар, масло растительное, рыботовары, маргарин, и др.), предполагаемые изменения контингента питающихся, технология приготовления пищи, внедрение индустриализации и т.п.
Чтобы решать задачи различного уровня сложности и повысить точность расчетов, при разработке прогноза товарооборота используется комплекс простых и сложных методов прогнозирования, поскольку никакой из методов не может в полной мере учесть все параметры и аспекты развития рынка.
План товарооборота общественного питания составляется в определенной последовательности. Основная его часть реализация продукции собственного производства. Поэтому первоначально рассчитывают производственную программу предприятия.
К основным методам расчета производственной программы и обеденной продукции относятся:
используемый при сравнительно постоянном контингенте посетителей;
используемый на предприятиях с изменяющимися контингентами посетителей;
основанный на расчете пропускной способности зала и степени ее использования;
исходя из производственной мощности и степени ее использования;
основанный на расчете и прогнозировании коэффициентов комплексности (расчет производится по вторым и третьим блюдам).
На предприятиях, обслуживающих сравнительно постоянный контингент посетителей, рекомендуется использовать нормы среднего количества потребляемых блюд одним посетителем в единицу времени (день, неделю, месяц, год), данные о количестве посетителей, коэффициент изменения количества потребления блюд и др. Например, расчет среднего количества планируемого выпуска блюд для потребления одним человеком в день можно произвести по формуле:
ВБдн = Кб·ВБб / (Чпб·Дб),
где ВБдн выпуск блюд (первых, вторых и др.) в расчете на одного питающегося в день, тыс. блюд;
Кб коэффициент изменения количества потребляемых блюд в среднем на одного питающегося;
ВБб реализация блюд в отчетном периоде, тыс. блюд;
Чпб численность питающихся в среднем за день в отчетном периоде;
Дб количество дней работы предприятия в отчетном периоде.
Используя полученный результат, можно рассчитать годовой, квартальный, месячный план выпуска блюд:
ВБп = ВБдн · Чп· Дп,
где ВБп плановый выпуск блюд за период, тыс. блюд;
Чп среднедневное количество посетителей в плановом периоде, чел.;
Дп количество дней работы в плановом периоде.
При планировании выпуска блюд на основе пропускной способности зала необходимо иметь сведения об интенсивности потока посетителей.
Пропускная способность предприятия характеризуется максимальным количеством посетителей, обслуживаемых за период времени (смену, месяц).
Пропускную способность обеденного зала (чел.) можно определить по формуле:
ПСмакс = ВР·Чм / ВП, или ПСмакс = ВР·S / ВП·Пн,
где ВР продолжительность работы предприятия за день, мин;
Чм число мест;
ВП время приема пищи одним посетителем, мин;
S площадь обеденного зала, м2;
Пн площадь по норме на одного посетителя (1,9 м2).
Пропускная способность предприятия зависит от мощности и технической оснащенности предприятия, от форм обслуживания посетителей, рационального использования площади залов и др. факторов. Поэтому необходимо найти коэффициент использования пропускной способности обеденного зала:
Кпс = (Псфакт / ПСмакс)·100.
Годовой (квартальный, месячный) план выпуска блюд рассчитывается по формуле:
Вбп = ПСмакс·Кпс·Бп·Дп,
где Бп среднее количество блюд на одного посетителя в планируемом периоде.
Другим показателем, характеризующим интенсивность потока посетителей и пропускную способность предприятия, является оборачиваемость одного места. Это число посетителей, приходящееся на одно место на предприятии за день. Оборачиваемость одного места рассчитывается по формуле:
Ом = Чп / Чм.
Этот показатель можно определить исходя из максимального количества посетителей (по пропускной способности), а затем рассчитать коэффициент оборачиваемости:
Ко = (Ом факт / Ом макс)·100.
Одним из методов определения плана выпуска первых блюд является расчет производственной мощности кухни предприятия и коэффициента ее использования.
Производственная мощность максимально возможный выпуск предприятием продукции определенного ассортимента в единицу времени (в смену, за сутки, месяц, год). Производственная мощность рассчитывается в натуральных показателях:
М = (ВП)Ок·Кз / в·Об,
где В продолжительность работы предприятия, мин;
П время простоя оборудования, мин;
в средняя продолжительность одной варки, мин;
Ок емкость котлов, л;
Об емкость одного блюда, л;
Кз коэффициент заполнения емкостей.
Производственная мощность величина не постоянная. Большое влияние на ее изменение оказывают технический прогресс и совершенствование организации труда и производства, ритмичность снабжения предприятия сырьем и др.
Степень использования производственной мощности характеризует коэффициент, который определяется как отношение количества фактически выпущенной предприятием продукции к его производственной мощности:
К = Вбфакт / М.
Плановый выпуск блюд за период (год, квартал, месяц) рассчитывается по формуле:
Вбп = М·К·Дп .
Чтобы перейти от натуральных показателей к стоимостным, следует количество блюд умножить на среднюю цену одного блюда.
Особенно остро стоят на ПР «Бирхофф» вопросы бухгалтерского и оперативного учета реализации и изготовления блюд, другие вопросы оперативного планирования, характерные для предприятия общественного питания. Так как учёт ведётся в основном вручную, то возникает необходимость его механизации и автоматизации.
Автоматизированная система для общественного питания должна позволять вести учет оптовых и розничных продаж блюд, продуктов, производить расчет и списание себестоимости блюд и пищевой продукции, планировать изготовление блюд, вести учет внутренних перемещений, формировать и печатать документы, характерные для предприятий общественного питания, типовые формы и документы строгой отчетности. Все эти возможности должны сочетаться с ведением бухгалтерского учета и автоматическим формированием всей необходимой бухгалтерской отчетности.
Как и в каждой сфере в сфере общественного питания есть процессы, терминология, традиции, которые хорошо известны и понятны работникам таких организаций. Использование известных и естественных рабочих процессов предприятий общественного питания делает решение понятным и доступным пользователям. И, конечно же, в конфигурации используются общеприменимые в общественном питании термины - технологическая карта, калькуляционная карта, марочный отчет, план-меню и т.д.
Необходимо отметить, что решение для предприятий общественного питания компании построено на базе конфигурации "1С:Бухгалтерия", что не только позволило использовать все возможности этой самой популярной бухгалтерской системы, но и добиться постоянной целостности и актуальности информации, поскольку вся она хранится в единой информационной базе. Подобное решение позволило избежать ряд проблем, возникающих при использовании для бухгалтерского учета и отраслевого (управленческого) учета раздельных информационных баз.
Центральным звеном конфигурации для общепита является справочник номенклатуры, включающий информацию о товарах, продуктах, полуфабрикатах (заготовках) и блюдах. Последние два типа специфичны именно для общественного питания. Автоматизированная система позволяет вести карточки блюд и заготовок, где указана рецептура каждого блюда - сколько и каких ингредиентов необходимо затратить для приготовления одной и более порций блюда. Помимо рецептуры в карточке блюда можно указать и технологию его приготовления. После заполнения карточки блюда можно рассчитать его себестоимость, распечатать технологическую карту, которая будет использована поварами при подготовке блюда. Использованная технология заполнения карточек блюд позволяет вводить в рецептуру блюд в качестве ингредиентов как продукты и заготовки, так и блюда, т.е. любое блюдо может состоять из произвольного набора ингредиентов, в том числе - готовых блюд и полуфабрикатов. Ситуация, когда блюда состоят из заготовок (полуфабрикатов) довольно часто встречается. Так один и тот же фарш может использоваться и в пельменях и в блинчиках с мясом. Автоматизированная система позволяет вводить в рецептуру заготовки и блюда, причем уровень вложенности не ограничен. В результате мы можем вести учет, например, типовых (комплексных обедов) состоящих из нескольких блюд.
При составлении рецептуры блюд могут быть использованы ингредиенты, которые не включаются в себестоимость, так называемые технологические ингредиенты, например, вода. Интересна возможность включения в рецептуру и сопутствующих товаров, что потом также будет учтено при списании.
Как известно, для приготовления одного и того же блюда могут быть использованы разные взаимозаменяемые ингредиенты например, в салате можно использовать подсолнечные масла разных марок. Взаимозаменяемые ингредиенты блюд также можно указать в карточке блюда. При формировании документов автоматизированная система помнит список взаимозаменяемых товаров, и если на складе закончился базовый ингредиент, то вписывает вместо него в документ заменитель. Также использование заменителя учитывается при расчете себестоимости, автоматическом списании товаров.
На основании номенклатуры блюд можно автоматически сформировать и вывести на печать меню (прейскурант) - этот повседневный и незаменимый документ для предприятий общественного питания.
Одним из ежедневных процессов предприятий общественного питания является формирование план-меню своего рода плана по производству блюд на предстоящий день. Подобный план формируется в автоматизированной системе для каждой точки (кухни), где будут приготовляться блюда, и в ней же автоматически рассчитывается себестоимость каждого блюда на день. На основании сформированного плана-меню можно вывести и распечатать типовую форму "План-меню", а также калькуляционные карточки на каждое блюдо. Ежедневное формирование калькуляционных карт одно из требований государственных органов к предприятиям общественного питания. Калькуляционная карточка показывает, из чего состоит блюдо, какова его себестоимость, розничная и оптовая цены.
Марочный отчет, как и план-меню, составляется ежедневно. Составляется он для каждой точки реализации. Заполняется марочный отчет на основании кассовых чеков, абонементов, талонов, накладных и других документов. На его основании можно распечатать типовую форму "Акт о реализации и отпуске изделий кухни". Как возможно формирование плана-меню на основании марочного отчета, так и возможно сделать наоборот сформировать марочный отчет на основании плана-меню.
Заключение
В первой части представлены теоретические основы статистического анализа динамики товарооборота коммерческого предприятия, с помощью которых были вычислены основные показатели и индексы. Основными выводами по изучению теоретических основ продукции торговли являются следующие. Товарооборот представляет собой движение материальных благ в форме купли-продажи товаров из сферы производства в сферу обращения. Для правильного определения сущности товарооборота необходимо учитывать следующие факторы: во-первых, объектом товарооборота являются материальные блага, предметы народного потребления; во-вторых, единственной формой движения этих предметов является процесс купли-продажи. Статистика розничного товарооборота выполняет две функции: дает характеристику розничного товарооборота как основного показателя деятельности торговой отрасли и как показателя товарного потребления. В последнем случае задачи статистики розничного товарооборота смыкаются с задачами статистики уровня жизни населения. При анализе выполнения плана розничного товарооборота большое значение имеет группировка предприятий по степени выполнения плана, которая позволяет выявить резервы для перевыполнения плана, определить роль отстающих и передовых предприятий в общем объеме товарооборота.
На основе полученных сведений можно провести статистический анализ товарооборота предприятия на определенный период времени. Проведение такого анализа является важным инструментом управленческой деятельности, так как на его основе можно судить об одном из главных показателей эффективности деятельности торговых предприятия. Использование результатов экономико-статистического анализа товарооборота предприятия позволит более эффективно вести торговую деятельность.
Для объективного и всестороннего анализа товарооборота статистика использует систему показателей, позволяющих комплексно проанализировать эту экономическую категорию. Основным источником статистической информации о товарообороте являются срочные формы государственной статистической отчетности (форма №1-торг «Отчет о товарообороте и запасах товаров» (месячная); форма №3-торг (краткая) «Отчет о продаже и запасах товаров» (месячная); форма №3-торг «Отчет по розничной торговле» (квартальная)).
1. Роль и значение товарооборота как экономического показателя заключаются в следующем:
товарооборот является объёмным показателем, характеризующим масштабы деятельности предприятия питания;
по удельному весу товарооборота предприятия питания в товарообороте региона отрасли можно судить о доли предприятия на рынке;
товарооборот в расчёте на душу населения характеризует один из аспектов жизненного уровня населения;
по доле товарооборота предприятия питания, в товарообороте региона определяется предприятие-монополист (оно считается таковым, если удельный вес товарооборота предприятия в товарообороте региона превышает 30%);
по отношению к товарообороту учитываются, анализируются и планируются показатели, оценивающие эффективность деятельности предприятия (товарооборачиваемость, рентабельность, уровень издержек и др.).
. Выполнение плана по товарообороту и динамика основных показателей производственно-хозяйственной деятельности предприятия общественного питания зависят от трёх групп факторов:
а) от обеспеченности товарными ресурсами, правильности их распределения и использования;
б) от обеспеченности трудовыми ресурсами, эффективности использования рабочего времени, производительности труда работников общественного питания;
в) от состояния, развития и использования материально-технической базы предприятия питания.
. По данным бухгалтерского баланса предприятия на 1 января 2012г., активы предприятия «Бирхофф» составили на конец года 442,9 млн. тенге. За год они возросли на 140,9 млн. тенге. Увеличение валюты баланса свидетельствует о расширении хозяйственного оборота, объёмов торговой деятельности. Это увеличение произошло, в основном, за счёт прироста оборотных активов на 108,6 млн. тенге.
. Увеличение имущества предприятия обеспечено за счет роста собственного капитала. Сумма заемного капитала за год снизилась с 41,8 млн. тенге. на начало года до 18,8 млн. тенге. на конец года. Это снижение явилось следствием сокращения дорогостоящих краткосрочных кредитов банка и кредиторской задолженности на 46,2 млн. тенге.
. За четыре последних года розничный товарооборот предприятия в действующих ценах возрос на 67,6%, или на 1252,0 млн. тенге. Этот прирост произошел за счет увеличения количества реализованных товаров (физического объема товарооборота) на 6,5%, что составило 139,7 млн. тенге., и в связи с увеличением розничных цен на товары на 1112,3 млн. тенге.
. Розничный товарооборот предприятия возрос в 2013 году по сравнению с 2012 годом на 484,5 млн. тенге. за счет завышенных товарах запасов на начало года (+33,8 млн. тенге.), роста поступления товаров в ресторан (+513,0 млн. тенге.) и уменьшения прочего выбытия товаров (+0,8 млн. тенге.). Но возможности роста товарооборота в динамике уменьшились в результате увеличения товарных запасов на конец года (,1 млн. тенге.).
. В 2013 году по сравнению с 2012 годом на динамику величины товарооборота предприятия повлияли следующие факторы:
рост торговой площади: + 130,7 млн. тенге.
уменьшение количества рабочих дней: 42,5 тыс. тенге.,
уменьшение продолжительности рабочего дня: 23,3 млн. тенге.
повышение выработки на 1 м2 торговой площади за час работы: +419,6 млн. тенге.
Общее изменение товарооборота под воздействием всех факторов составило + 484,5 млн. тенге.
. Анализ динамики развития розничного товарооборота ПР «Бирхофф» за 2011-2013 гг. позволяет сделать следующие выводы:
розничный товарооборот предприятия из года в год увеличивается, темпы роста его высокие;
достигнут рост товарооборота по всем отделам предприятия и по всем товарным группам которыми торгует предприятие;
прирост товарооборота, в основном, достигнут за счет эффективного использования ресурсов: товарных, трудовых и др.;
предприятие в 2013 году активно вело работу по дополнительной закупке товаров у производителей и других поставщиков.
. Для увеличения величины товарооборота предлагается формировать ассортимент каждой товарной группы исходя из времени суток, что позволит максимально эффективно использовать имеющиеся торговые площади и максимально удовлетворить потребности посетителей. Но это вовсе не значит, что какое-то блюдо будет вообще отсутствовать в продаже. В продаже присутствует весь ценовой спектр товарной группы, однако центр тяжести его смещается в зависимости от времени работы ресторана и спроса посетителей. Этот способ позволяет увеличить эффективность продажи блюд на предприятии на 7-10%.
. При формировании плана маркетинговой деятельности можно идти двумя путями.
Путь 1:
Предлагается прирост к планируемому товарообороту распределять не равномерно, а прямо пропорционально скачкам товарооборота. Аналогично планируются и маркетинговые мероприятия, где больше назначается прирост товарооборота, там должно больше проводиться мероприятий. В частности, учитывается то, что спад в динамике товарооборота обуславливается летним сезоном дач и отпусков, то есть уменьшается количество посетителей, приходящих в ресторан и, следовательно, уменьшается действенность методов маркетинга. Распределяя же бюджет маркетинга большей частью на время наплыва посетителей, имеется возможность разработать более эффективный план реализации блюд.
Путь 2:
Предполагается сглаживание кривой товарооборота, путем массированных маркетинговых мероприятий по продвижению блюд в проблемный период упадка товарооборота. План мероприятий в этом случае отличается более творческим подходом. Так, например, во время праздников можно использовать все виды продвижения: рекламу, стимулирование продаж, пропаганду, консультирование официантов и т.д.
. Профиль ресторана «Бирхофф» показывает, что он имеет устойчивые преимущества качеству продукции и качеству обслуживания. Поэтому можно считать, что «Бирхофф» обладает имиджем престижного ресторана с высококачественными и дорогими блюдами. А исследование позиций конкурентов показывает, что фирме «Бирхофф» необходимо поддерживать сложившийся имидж и продолжать его «конструирование». Для этого следует совершенствовать такие атрибуты, как «насыщенность ассортимента», его «соответствие тенденциям спроса», а также улучшать «атмосферу обеденного зала» и «средства рекламы и стимулирования продажи блюд». Это позволит четко позиционировать ресторан в целевом сегменте «взыскательных и состоятельных посетителей», создать конкурентные преимущества и обеспечить наличие постоянных клиентов, запросы которых совпадают с концепцией предприятия «Бирхофф».
Список использованной литературы
1. Воронин В.Ф. Статистика: Учеб. Пособие для вузов. М.: Экономистъ, 2004. с.
. Н.И. Щедрин Статистика торговли. 2-е издание. М.: «Финансы и статистика», 1994. с.
. Теория статистики / Под редакцией профессора Р.А. Шмойловой. М.: «Финансы и статистика», 1989. с.
. Ефимова М.Р. Общая теория статистики. Учебник. М.: Экономистъ, 2005. с.
. Пивоваров К.В. Планирование на предприятии: Учеб. пособие. Ростов н/Д.: Феникс, 2006. с.
6. Павлова Л.Н. Финансы предприятий: Учебник для вузов. - М.: Финансы, ЮНИТИ-М, 1998. - 639 с.
7. Салимжанов И.К.Цены и ценообразование.Учебник для вузов. М:ЗАО «Финстатинформ», 2001. с.
. Сиденко А.В. Статистика. Учебник. М.: Дело и сервис, 2000. с.
. Громыко Г.Л. Теория статистики. М.: ИНФА-М, 2006. с.
. Давыдов Л.А. Статистика. Все формулы. М.: Инфа-М, 2005. с.
. Статистика рынка товаров и услуг: Учебник / Под ред. И.К. Беляевского. -М.: Финансы и статистика, 1997. с.
12. Савицкая Г.В. Анализ хозяйственной деятельности предприятия. - М.: Мн.: Новое знание, 2002. - 704 с.
13. Любушин Н.П., Лещева В.Б., Дьякова В.Г. Анализ финансового-хозйственной деятельности предприятии: Учебное пособие для вузов / под ред. Н.П. Любушина. - М.: ЮНИТИ-ДАНА, 2002. - 471 с.
. Экономика и статистика фирм: Учебник / В,Е. Адамов, С.Д. Ильенкова, Т.П. Сиротина и др.; под ред. д-ра экон. Наук, проф. С.Д. Ильенковой. - 2-е изд. - М.: Финансы и статистика, 1997. - 240 с
15. Ярных Э.А. Статистика финансов предприятий торговли. М.: Финансы и статистика, 2005. с.
. Дронов Р.И., Резник А.И. Оценка финансового состояния предпрития // Финансы. 2001. - №4. С. 15-20.
17. Закревская ЕВ., Матевосян Н.А., Рудницкая И.А. Опыт использования результатов мониторинга предприятий//Деньги и кредит. -2001. -№1. С. 51 -53.
18. Николаева Т.И. Системная оценка эффективности коммерческой деятельности предприятий // Маркетинг в России и за рубежом. 2000. - № 4. С. 97 - 100.
19. Парушина И.В. Анализ финансовых результатов по данным бухгалтерской отчетности // Бухучет 2002. -№ 5. С. 68 - 71.
20. Павлов В. Производственно - финансовая деятельность предприятия Ресурсы, Информация, Снабжение, Конкуренция. 2000. -№ 1-2. С. 106 - 107.
77
Пути увеличения эффективности производства и реализации продукции
