Пространство и время. Принципы относительности
|
Минский филиал государственного образовательного учреждения высшего профессионального образования «Московский государственный университет экономики, статистики и информатики (МЭСИ)» |
Минский филиал МЭСИ |
|||||
|
Кафедра Гуманитарных наук Контрольная работа по дисциплине «Концепция современного естествознания» |
||||||
|
Тема: «Пространство и время. Принципы относительности». |
||||||
|
Студент (гр.ЗАУ 05-42) |
|
|
|
|||
|
Ф.И.О., № зачетки |
подпись |
Дата |
||||
|
Руководитель |
|
|
|
|||
|
Ф.И.О. |
подпись |
Дата |
||||
|
Зарегистрировано на кафедре |
||||||
|
Ф.И.О. |
Подпись |
Дата |
||||
|
Минск 2009 г. |
Содержание
Пространство и время_______________________________________________________3
Принцип относительности___________________________________________________10
Литература________________________________________________________________12
Пространство и время
Существование материи связано с такими двумя субстанциями как пространство и время. Пространство характеризует структурность и протяженность материальных объектов, определяет вид их взаимодействия. Время характеризует длительность явлений, быстроту протекания процессов, определяет их последовательность. Пространство и время имеют объективный характер. Они неотделимы от материи, неразрывно связаны с ее движением с одной стороны, и друг с другом, с другой, обладают количественной и качественной бесконечностью.
К свойствам пространства относятся протяженность, единство прерывности и непрерывности. Свойствами времени являются длительность, неповторяемость, необратимость.
Изучая Землю, окружающие ее звезды и их движение, люди научились измерять пространство и время, разработали методы и изобрели приборы для их измерения. Они позволяют фиксировать движение материков и неравномерность вращения Земли, измерять тысячные, миллионные, миллиардные и даже биллионные доли секунды, восстанавливать многое из истории древней жизни, определять время и продолжительность событий, происходивших на Земле многие тысячелетия назад, определять возраст горных пород, составляющий миллионы и сотни миллионов лет, изучать движения небесных тел: Солнца, планет, звезд и их скоплений.
В своей повседневной жизни и деятельности человеку постоянно приходится перемещать различные материальные объекты (включая самого себя и отдельные части своего тела) в пространстве и во времени. При этом, как правило, человек сталкивается с проблемами управления этими перемещениями.
Рассмотрим некоторые свойства пространства и времени. Опишем современные представления о них. Начнем со времени.
Система отсчета длительных промежутков времени, в которой установлен определенный порядок отсчета дней в году и указана эпоха, от которой ведется счет лет, называется календарем. Если бы между временем одного полного оборота Земли вокруг своей оси и временем ее обращения вокруг Солнца существовало простое отношение, то создать удобный календарь было бы нетрудно. Это же относится и к счету дней в лунном месяце. Однако структура Солнечной системы такова, что длительность года составляет 365 суток 5 часов 48 минут 46,1 секунды, или 365,2422 суток, а длительность лунного месяца - 29,5306 суток. Причем эти величины со временем меняются, и то, что указано, справедливо лишь для нашего времени: так было не всегда и так не будет в будущем.
Так как отношения длительности года и лунного месяца к длительности суток не выражаются никакими точными числами, то разработать простую и удобную систему счета дней в месяце и в году не так-то просто. С древних времен и до наших дней было придумано множество различных систем, но каждая из них, включая используемую нами, имеет определенные неудобства.
В I веке до н.э. в Риме был принят календарь, получивший название юлианского (по имени правившего в то время Римской империей Юлия Цезаря). Этот календарь известен также под названием старого стиля. В нем за основу отсчета времени взята длительность одного оборота Земли вокруг Солнца, причем отсчет ведется от одного до другого последовательного прохождения центра Солнца через точку весеннего равноденствия. Этот промежуток времени называется тропическим годом. В настоящее время с точностью до 0,1с. он содержит 365,2422 суток.
В юлианском календаре длительность года была принята равной 365,25 суток. При этом три года считались содержащими по 365 дней, а каждый четвертый состоял из 366 дней и назывался високосным. С этой поправкой длительность года по юлианскому календарю в среднем оказывается на 11 мин. 14с. больше длительности тропического года, что составляет одни сутки за 128 лет.
С течением времени неучтенное расхождение длительности календарного и тропического годов постепенно накапливалось, и действительное начало весны (равенство дня с ночью) стало все больше расходиться с календарным. В XIV веке это расхождение уже превысило 7 дней, и встал вопрос об исправлении календаря. В 1582 году папа Григорий XIII утвердил проект нового календаря, который используется и поныне. Он известен под названием григорианского, но его часто называют также новым стилем.
При введении григорианского календаря предписывалось день, следующий после четверга 4 октября 1582 г., считать пятницей 15 октября того же года. Это позволило исправить накопленное расхождение в счете дней. Согласно новому календарю предписывалось считать високосными из каждых 400 лет лишь 97, а не 100, как это было принято в юлианском календаре. Високосными в григорианском календаре считаются годы, делящиеся на четыре без остатка, кроме тех, которые оканчиваются на два нуля, но не делятся на 400 (например, 1700, 1800, 1900). Приближающийся 2000 год будет, таким образом, високосным.
При использовании григорианского календаря расхождение с моментами равноденствий составляет сутки за 3280 лет.
К настоящему времени предложено много проектов нового календаря. Один из них носит название "стабильного". В нем год делится на 12 месяцев продолжительностью 30 дней каждый. В месяце выделяется 5 шестидневных недель. Каждый квартал состоит из 90 дней, причем все дни недели всегда приходятся на одни и те же числа месяцев. Для согласования календаря с солнечным годом в конце каждого квартала вставляются праздничные дни. В обычном году их пять, в високосном - шесть. Для этих праздников предложены названия: День весны, День лета, День осени, День зимы, День мира и дружбы народов, День високосного года.
Так как истинный полдень в различных пунктах земного шара наступает в разное время, то для согласования отсчета времени суток на разных континентах, в разных странах и местностях весь земной шар поделен на часовые пояса. Они проходят через каждые 15o по долготе, начиная от Гринвичского меридиана. Такое деление было принято сначала в США и Канаде (в 1883 году), а затем в других государствах, в частности, в нашей стране - в 1919 году.
Поясное время установлено следующим образом. Весь земной шар разбит на 24 часовых пояса. Внутри каждого из них время считается одинаковым - среднепоясным. При переезде из одного пояса в другой стрелки часов переводят на один час. Таким образом, на часах всех стран, живущих по поясному времени, в один и тот же момент положение минутных стрелок совпадает, а часовых - различается на нуль или целое число часов. Например, у жителей Варшавы, живущих по среднеевропейскому поясному времени, часы "отстают" от московских на один час. Напротив, в Тбилиси местное поясное время на один час впереди московского, а в дальневосточных областях России Солнце встает на семь, восемь и девять часов раньше, чем в Москве: когда в Москве 12 часов, в Петропавловске-Камчатском - 21 час.
Границы часовых поясов не везде проведены точно по меридианам. Иначе граничной линией иногда пересекались бы, например, города, и в разных концах одного и того же города время было бы разным. Границы часовых поясов большей частью проведены по рекам или иным естественным рубежам. Они учитывают также административное деление территорий.
По международной договоренности при переходе через границу между часовыми поясами, которая проходит вблизи меридиана 180o наряду с изменением времени на один час производится и изменение даты. Это означает, что день начинается для землян сначала на Камчатке, потом в Сибири, затем в Европе, после этого в Америке и на Аляске. Таким образом, при пересечении на корабле или самолете линии изменения даты в восточном направлении, одно и то же число месяца приписывается двум последовательным дням; при пересечении же ее в западном направлении один день из счета изымается.
Определение моментов точного времени производится по результатам астрономических наблюдений Солнца, а если требуется большая точность, то по звездам. При этом приходится учитывать, что звездные сутки короче солнечных. Для того, чтобы убедиться в этом достаточно пронаблюдать за расположением звезд на небе несколько ночей подряд: звезды, сохраняя неизменным свое взаимное расположение, будут появляться каждую ночь все раньше и раньше.
Различие в звездных и солнечных сутках связано с тем, что Земля наряду с суточным вращением вокруг своей оси совершает еще и годичное обращение вокруг Солнца. По этой причине видимое движение Солнца таково, что промежуток времени между двумя последовательными кульминациями Солнца удлиняется на 3 мин 56 с. Именно настолько звездные сутки короче солнечных. Так как соотношение между звездным и солнечным временем известно, то никаких затруднений в переходе от одного времени к другому не имеется.
В настоящее время разработаны методы и приборы, которые позволяют получать, хранить и передавать время с весьма высокой степенью точности. Создана Всемирная система единого времени WOSAC, названная так по первым буквам слов: World-wide Sinchronisation of Atomic Clocks). Главные первичные часы этой системы расположены в г. Риме (штат Нью-Йорк, США) и состоят из трех атомно-цезиевых часов. При проведении измерений их показания усредняются. Часы обеспечивают погрешность, не превышающую 3*10-11с. Эти первичные часы связаны с всемирной сетью вторичных часов.
Для получения отметок времени по наблюдениям звезд применяют, например, так называемую фотографическую зенитную трубу. Для определения момента прохождения звезды через меридиан, ее фотографируют четыре раза:
1) несколько ранее момента прохождения звезды через меридиан;
2) чуть позже, но все же до прохождения звезды через меридиан, с предварительным поворотом объектива вместе с фотопластинкой на 180o относительно вертикальной оси;
3) после прохождения звезды через меридиан и второго поворота объектива с фотопластинкой на 180o;
4) чуть позже и после третьего поворота объектива с фотопластинкой на 180o.
При этом получают четыре точечных изображения звезды. По ним путем несложного расчета определяют положение изображения звезды на фотопластинке в момент ее прохождения через меридиан. При проведении этих измерений на фотопластинку по показаниям астрономических часов в виде черточек наносят соответствующие метки времени.
Подобными измерительными приборами оборудованы все навигационные Обсерватории, ведущие службу времени. Полученные с помощью нескольких таких приборов значения моментов времени усредняются и направляются в Международное бюро времени. Здесь вычисляют средние значения результатов национальных служб времени и вводят необходимые поправки. Найденные таким образом значения моментов времени и принимают за истинные.
В промежутках между астрономическими определениями времени приходится решать задачу хранения точного времени. Она выполняется с помощью маятниковых, кварцевых, молекулярных, атомно-цезиевых и лазерных часов. В самых лучших маятниковых часах суточная вариация хода составляет 0,001-0,003с. Точность хода цезиевых часов характеризуется максимальной ошибкой в 1с за 10 тыс. лет. Лазерные часы имеют еще более высокую точность.
Физический эталон времени, принятый в 1967 году XIII Генеральной конференцией по мерам и весам, базируется на астрономических атомно-цезиевых часах. За основную единицу времени в Международной системе единиц СИ принята секунда. Это - промежуток времени, в течение которого происходит 9 192 631 770 колебаний электромагнитной волны, испускаемой атомом цезия-133, в отсутствие внешних электромагнитных полей, при переходе его из одного состояния в другое между двумя сверхтонкими уровнями энергии.
В большинстве стран мира организована также передача точного времени. В России ее ведут Государственный астрономический институт им. П.К.Штернберга (г. Москва) и ряд других организаций. Для передачи информации используются прежде всего радиоканалы. В частности, широковещательная программа сигналов времени передается в конце каждого часа и состоит из шести коротких импульсов. Начало последнего из них соответствует времени того или иного часа и 00 мин 00с. Морскую и воздушную навигацию обеспечивает программа из пяти серий по 60 импульсов и трех серий по шесть коротких и шесть длинных сигналов, чередующихся между собой. Есть и другие специальные программа. Сведения о них публикуются в соответствующих периодических изданиях. Погрешность передачи сигналов времени по широковещательным программам составляет 10-2 - 10-3с, а по специальным 10-4 - 10-5с.
Для отсчета больших промежутков времени используются " радиоактивные " часы. В основе их работы лежит явление радиоактивного распада ядер изотопов. Интервал времени, в течение которого количество радиоактивного вещества уменьшается вдвое, называют периодом полураспада. Например, период полураспада висмута-212 составляет 60,5 мин., углерода-14 - 5568 лет, урана-238 - 4,5 млрд. лет. Скорость распада радиоактивных веществ не зависит от температуры и давления окружающей среды. Это и позволяет использовать процесс радиоактивного распада для отсчета больших промежутков времени, в частности, определять абсолютный возраст горных пород, даты минувших событий, историю формирования Земли, развития Солнца и звезд.
Радиоактивные методы определения абсолютного возраста материалов органического и неорганического происхождения позволили датировать важнейшие этапы развития Вселенной и углубить понимание протекающих в ней процессов. Так, в середине 1950-х годов с использованием уран-свинцового метода был определен абсолютный возраст большой группы метеоритов и ряда материалов земного происхождения. Считается, что земная кора сформировалась приблизительно на 108 лет позже исходных метеоритных тел и, таким образом, возраст Земли составляет 4,6 0,1 млрд. лет, а возраст Солнечной системы 4,7 0,1 млрд. лет. С помощью радиоактивных методов удалось определить возраст всех химических элементов, звезд и нашей Галактики.
Что касается пространства, в котором мы живем, то разработан целый ряд моделей Вселенной. Все они построены на основе космологического уравнения Эйнштейна, которое описывает взаимодействие составляющих материи и геометрию пространства. В него входят такие параметры, как средняя плотность вещества Вселенной, гравитационная постоянная, космологический коэффициент. От их значений существенно зависят структура мира и ее изменение во времени. Некоторые из этих параметров (например, гравитационная постоянная) известны с достаточной точностью; другие (например, средняя плотность вещества Вселенной) - определены пока лишь приближенно.
В 1922 году наш соотечественник А.А.Фридман (1888-1925 гг.) показал, что мир должен либо расширяться, либо сжиматься, причем решающее значение для его поведения имеет средняя плотность вещества. Если она больше так называемой критической плотности, то мир сферичен, имеет положительную кривизну, а его геометрия не является евклидовой. Такой мир должен был быть когда-то сверхплотным и занимать очень малый объем. Затем он расширился и достиг некоторого предельного объема, после чего началось его убыстряющееся сжатие, сменившееся расширением. Такой мир называется пульсирующим: у него нет границ, его объем ограничен. Другими словами, он является закрытым.
Если же средняя плотность вещества Вселенной меньше критической, то от некоторого сверхплотного состояния с малым объемом мир должен был неограниченно расшириться. Так как пространство такого мира имеет кривизну (в данном случае отрицательную), то его геометрия тоже неевклидова. Согласно этой модели объем мира с течением времени неограниченно возрастает. Другими словами, он является открытым.
Для каждой из предложенных моделей мира его структура, характер развития и возраст существенно различны. Например, в одних моделях структура мира считается стационарной, в других - пульсирующей, в третьих - с начальным сверхплотным состоянием и различным образом расширяющейся. Возраст мира в одних моделях считается конечным, в других - бесконечным.
Недостаточное знание величин некоторых основных параметров космологического уравнения пока не позволило выбрать модель мира однозначно. Если бы удалось определить хотя бы возраст нашего мира, то это позволило бы узнать каков он. С другой стороны, если бы удалось определить другие важные параметры нашего мира, то это позволило обоснованно выбрать его модель и вычислить возраст мира.
В первой половине XX века было обнаружено, что все звезды и галактики движутся в направлении от нас. В дополнение к этому американский астроном Э.Хаббл (1889-1953 г.г.) установил, что чем дальше они находятся от нас, тем больше их скорость. Наблюдаемое ныне расширение Вселенной позволяет сократить число подлежащих рассмотрению моделей мира. Но все равно различных расширяющихся моделей остается достаточно много.
Сравнительно недавно при исследовании ряда удаленных космических объектов обнаружено, что между ними встречаются образования, которые не являются туманностями, не идентифицируются с галактиками, но обладают яркостью, превышающей яркость галактик в десятки раз. У многих из них красное смещение линий в спектрах составляет почти 200%. Это указывает на их большую удаленность от Солнечной системы (очевидно, несколько тысяч мегапарсек). Эти объекты имеют сравнительно малые угловые размеры, огромную массу и похожи на звезды. Излучаемая ими энергия в десятки раз превышает энергию самых мощных галактик. Поэтому они скорее всего не устойчивы. Эти небесные тела получили название квазизвездных объектов, или, сокращенно, квазаров.
В настоящее время остается открытым вопрос о связи между направлением течения времени и расширением Вселенной. Если такая связь существует, то не обратится ли направление времени вспять, когда Вселенная перестанет расширяться и начнет сжиматься вновь?
Как известно, законы физики не проводят различия между направлениями времени и не отдают предпочтения какому-то направлению в пространстве. Например, вряд ли кто-нибудь наблюдал самособирание осколков разбитой чашки и ее запрыгивания назад на стол: о невозможности этого говорит второе начало термодинамики. Согласно ему беспорядок или мера беспорядка - энтропия* - со временем могут только возрастать. Это, в частности, отражает тот факт, что со временем вещи становятся все хуже и хуже. Например, стоящая на столе чашка находится в состоянии высокой упорядоченности, а состояние чашки, упавшей со стола на пол и разбитой, является неупорядоченным. Чашка на столе в прошлом или в настоящем может быть разбитой в будущем, но обратного пути, к сожалению, нет. Увеличение беспорядка (или энтропии) со временем служит лишь одним примером того, что называют стрелой времени.
Но существуют, по меньшей мере, три разные стрелы времени: термодинамическая стрела, определяющая направление времени, в котором беспорядок, или энтропия, возрастает; психологическая стрела, определяющая наши ощущения, связанные со временем (мы помним прошлое, но не знаем будущего); космологическая стрела, определяющая направление, в котором расширяется (а не сжимается) Вселенная.
Один из ведущих специалистов в области космологии, английский ученый С.Хокинг (род. в 1942 году) считает, что термодинамическая стрела времени предопределяет психологическую и что обе они всегда указывают в одном и том же направлении. Исходя из нынешнего состояния Вселенной, естественно предположить, что они не только взаимосвязаны, но и связаны с космологической стрелой времени. Это, правда, не означает, что они должны при этом указывать одно и то же направление. С.Хокинг считает, что, если все они имеют одинаковое направление, то существуют подходящие условия для развития разумных существ.
Второе начало термодинамики основано на том факте, что неупорядоченных состояний имеется намного больше, чем упорядоченных. Предположим, что система начинает свое существование в одном из упорядоченных состояний. С течением времени она будет эволюционировать, то есть ее состояние будет меняться. Существует большая вероятность того, что какое-то время спустя система окажется в менее упорядоченном состоянии. Это может произойти, в частности, потому, что менее упорядоченных состояний существует множество. Именно поэтому если в начальном состоянии система удовлетворяет условию высокого порядка, то беспорядок имеет тенденцию со временем только расти.
Если предположить, что Вселенная должна развиваться, приближаясь к состоянию высокого порядка, то, очевидно, необходимо знать, с какого состояния она стартовала. При этом следует предположить, что в ранние времена Вселенная должна была пребывать в неупорядоченном состоянии, а со временем беспорядок должен был уменьшаться. Например, разбитые чашки должны были самособираться из осколков и запрыгивать обратно на стол, а разумные существа, наблюдавшие за чашками, должны были бы иметь психологическую стрелу времени, направленную в обратную сторону.
Наше субъективное ощущение направления времени, то есть психологическая стрела, определяется термодинамической стрелой. Беспорядок со временем возрастает потому, что мы измеряем время в том направлении, в котором он возрастает. В этом фактически и состоит второе начало термодинамики.
Почему же Вселенная должна пребывать в состоянии высокого порядка только на одном конце времени, который мы называем прошлым? Почему она не находится в состоянии полного беспорядка во все времена, что является вроде бы более вероятным? Почему направление времени, в котором беспорядок возрастает, одинаково с направлением, в котором Вселенная расширяется?
В настоящее время считается, что лучше всего на эти и другие подобные вопросы отвечает общая теория относительности, сформулированная А.Эйнштейном в 1915 году. В ней связаны воедино три измерения пространства и одно измерение времени. Образуемое при этом четырехмерное пространство-время является искривленным. Последнее объясняется наличием во Вселенной вещества и энергии.
Согласно теории Эйнштейна Вселенная должна была начаться с состояния с бесконечно большой плотностью вещества и энергии. При этом пространство-время должны искривляться с бесконечно малым радиусом, но тогда все известные законы физики теряют силу. Следовательно, их нельзя использовать для изучения начала Вселенной.
В частности, она могла начаться с очень гладкого и упорядоченного состояния, что должно было бы привести к четко выраженным термодинамической и космологической стрелам времени. Но она могла также начаться с неприглаженного и неупорядоченного состояния, то есть полного беспорядка. Это означает, что он не мог нарастать со временем. Могло быть и так, что беспорядок оставался постоянным, но тогда не было бы четко выраженной термодинамической стрелы. Наконец, беспорядок мог уменьшаться, но тогда космологическая стрела времени должна была быть направленной противоположно термодинамической стреле. Ни одна из перечисленных возможностей не соответствует тому, что наблюдается в настоящий момент.
В классической общей теории относительности рассматривается только три возможных варианта существования Вселенной во времени:
1) Вселенная может существовать в течение бесконечно долгого времени в прошлом и будущем,
2) Вселенная может иметь начало или конец,
3) Вселенная может периодически меняться во времени.
С. Хокинг и его коллеги показали, что, скорее всего, имеет место второй вариант: Вселенная началась с состояния с бесконечно большой плотностью вещества и бесконечной кривизной пространства-времени около 15 млрд. лет тому назад. Так как законы физики возле такого состояния должны быть иными, то невозможно предсказать, каким образом должна была начаться Вселенная и какова должна быть термодинамическая стрела времени. Они считают, что "граничное условие для Вселенной состоит в том, что она не имеет границ ". Это означает, что Вселенная должна быть замкнута и, следовательно, она никогда не нуждалась в каком-либо внешнем агенте для своего " запуска ".
По мнению С. Хокинга и его коллег, пространство-время можно уподобить поверхности Земли, с нанесенной сеткой меридианов и параллелей. Градусы географической широты можно рассматривать как время. Если перемещаться по поверхности Земли, например, из такого центра, как Северный полюс, то по мере продвижения на юг широтные круги увеличиваются в своем размере. Это похоже на Вселенную, начавшуюся в очке и расширяющуюся. Вселенная достигает максимального размера возле экватора и начинает вновь стягиваться при приближении к Южному полюсу. Аналогично Северному и Южному полюсам начало, и конец времени должны быть одними из точек пространства-времени. При этом предполагается, что расширение Вселенной должно было начаться с очень гладкого и упорядоченного состояния.
Но что должно случиться, если Вселенная прекратит расширение и начнет сжиматься? Должна ли термодинамическая стрела в этом случае обернуться вспять? Должен ли беспорядок начать уменьшаться со временем?
Для людей, переживших переход от фазы расширения к фазе сжатия, указанные вопросы нужно переформулировать, например, следующим образом: должны ли они узреть разбитые чашки, самособирающиеся из осколков и запрыгивающие обратно с пола на стол? Должны ли они при желании вспомнить завтрашние цены, собираясь за покупками? Как себя вести при появлении перед ними живого, хотя и недавно похороненного родственника?
Даже если и возможно обратное сжатие Вселенной в упорядоченное и приглаженное состояние, то это, скорее всего менее вероятно, чем сжатие в сильно неупорядоченное состояние. Ведь менее упорядоченных состояний много! Поэтому вряд ли произойдет, что термодинамическая стрела времени обратится вспять.
Почему термодинамическая и космологическая стрелы времени указывают в одинаковом направлении? Почему беспорядок увеличивается в том же направлении времени, в каком расширяется Вселенная? Почему мы находимся в фазе расширения, а не сжатия?
Ответы на эти вопросы связаны с пониманием того, что при сжатии Вселенной исчезают условия существования мыслящих существ, способных, в частности, задавать эти вопросы. Очевидно, Вселенная еще в течение очень долгого времени не станет сжиматься вновь. А когда это начнет происходить, то все звезды уже выгорят, протоны, нейтроны и другие тяжелые частицы, их составляющие, распадутся на легкие частицы, израсходовав себя на излучение. Вселенная окажется в состоянии почти полного беспорядка, или теплового равновесия, и никакой термодинамической стрелы времени не будет существовать. Беспорядок уже не сможет возрастать далее.
Для поддержания разумной жизни необходима четко определенная стрела времени. Разумным существам, каковы бы они ни были по своему внешнему виду, необходимо потреблять пищу (упорядоченную форму энергии) и обращать ее в тепло (неупорядоченную форму). И, следовательно, разумная жизнь не может существовать в фазе сжатия Вселенной.[5]
Принцип относительности
Одним из первых, кто серьезно задумался над принципом относительности, был Галилей (1564-1642).
Он писал: "…в каюте корабля, движущегося равномерно и без качки, вы не обнаружите ни по одному из окружающих явлений, ни по чему-либо, что станет происходить с вами самими, движется ли корабль или стоит неподвижно".
Принцип относительности. Для двух наблюдателей, движущихся друг относительно друга равномерно и прямолинейно, наблюдаемые ими движения (с учетом разницы в начальных условиях) одинаковы.
Невозможно определить, находимся ли мы в состоянии покоя или в состоянии равномерного движения. Это означает, что не существует выделенной, привилегированной системы отсчета. Выражаясь научно, наблюдатели в различных системах отсчета (системах координат) видят одно и то же.
Инерциальная система отсчёта (ИСО) система отсчёта, в которой справедлив закон инерции (1 закон Ньютона): любое тело, на которое не действуют внешние силы (или сумма сил равно нулю), находится в состоянии покоя или равномерного прямолинейного движения.
Всякая система отсчёта, движущаяся относительно ИСО равномерно и прямолинейно, также является ИСО. Согласно принципу относительности, все ИСО равноправны, и все законы физики в них действуют одинаково.
Обсудим так называемое преобразование Галилея.

Рисунок 1. Пример преобразование Галилея.
Рассмотрим две системы координат (X,Y) и (X',Y'), и пусть при t=0 (абсолютное время) оси координат совпадали.
Затем правая система координат начала двигаться (для простоты вдоль только одной оси) со скоростью V'.
В движущейся системе координат выполняются:
x'=x-v't, y'=y, z'=z, t'=t. (1)
Это так называемое преобразование Галилея.
2-й закон Ньютона:
Посмотрим, сохраняется ли 2-й закон Ньютона:
dx'/dt' = dx/dt -v' и d2x/dt2=dx'2/dt'2 (2)
Но силы F'=F и ускорения одинаковы, поэтому уравнение Ньютона не изменяется.
Это фундаментальный физический закон, имеющий отношение к классической физике.
Свойство инерциальности можно сформулировать также как утверждение об однородности и изотропии пространства и однородности времени по отношению к такой системе отсчета. Однородность пространства и времени означает эквивалентность всех положений свободной частицы в пространстве во все моменты времени, а изотропия пространства эквивалентность различных направлений в нем. Неизменность характера свободного движения частицы в любом направлении пространства является очевидным следствием этих свойств.
Если две системы отсчета движутся друг относительно друга равномерно и прямолинейно и если одна из них инерциальна, то очевидно, что и другая тоже является инерциальной: всякое свободное движение и в этой системе будет происходить с постоянной скоростью. Таким образом, имеется сколько угодно инерциальных систем отсчета, движущихся друг относительно друга с постоянными скоростями.
Все сказанное достаточно ясно свидетельствует об исключительности свойств инерциальных систем отсчета, в силу которых именно эти системы должны, как правило, использоваться при изучении механических явлений. Везде ниже, где обратное не оговорено особо, будет подразумеваться такой выбор системы отсчета.
Полная физическая эквивалентность всех инерциальных систем отсчета показывает, в то же время, что не существует никакой «абсолютной» системы, которую можно было бы предпочесть всем другим системам.
Теперь приведем простое наблюдение. Пусть вдоль оси х в системе (X,Y) движется автомобиль “Москвич2141” со скоростью v=60 км/час
Пусть правая система координат двигается (для простоты вдоль только одной оси) со скоростью 40 км/час.
vотн=v-v'=(60-40)км/час=20 км/час
Если “Москвич” развернется, то
vотн=v+v'=(60+40)км/час=100км/час
А теперь заменим «автомобиль» на «световой импульс». Казалось, ничего принципиально измениться не должно.

Рисунок 2. Движущаяся система координат.
В системе (X',Y') наблюдатель измеряет скорость света: для этого он измеряет время прохождения t' импульса света между точками А' и B', находящихся на расстоянии L' друг от друга. Наблюдатель определяет скорость света в движущейся системе координат
с' = L'/t' (3)
И вот наблюдатель получает совершенно неожиданный результат
с' = с,
(а не с'=c-v, как было в случае с автомобилем).
Такое предположение о постоянстве скорости света было введено Эйнштейном.
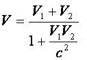
Но сегодня мы должны отметить, что прямые астрономические наблюдения доказывают правильность предположения Эйнштейна. Согласно рассуждениям Эйнштейна, формула для сложения скоростей v1 и v2 должна иметь вид:

(4)
Эйнштейн разрабатывает специальную теорию относительности (СТО), которая описывает поведение тел, движущихся с релятивисткими скоростями (близкими к скорости света).
Следствием постулатов СТО являются преобразования Лоренца, заменяющие собой преобразования Галилея для нерелятивистского, «классического» движения.
Знаменитые эффекты: замедление хода времени и сокращение длины быстродвижущихся тел, существование предельной скорости движения тела (коей является скорость света), относительность понятия одновременности (два события происходят одновременно по часам в одной системе отсчета, но в разные моменты времени по часам в другой системе отсчета).[6]
Литература
- Алексеев С.И. «Концепции современного естествознания » - М., Московский государственный университет экономики, статистики и информатики. 2002. 53 с.
- Кузнецов В.И., Идлис Г.М .,Гутина В.Н.-. Естествознание-М., Агар , 1996. 157 с.
- Карпенков С.Х. Основные концепции естествознания .- М.:Культура и спорт, ЮНИТИ, 1998.- 208 с.
- http://nrc.edu.ru/est/pos/index.html
- http://de.ifmo.ru/bk_netra/page.php?index=10&layer=1&tutindex=12
- http://www.limm.mgimo.ru/science/lect_2.html
Пространство и время. Принципы относительности
