Практическое применение теории мотивации в организации
Казахский экономический университет им. Т. Рыскулова
|
«Допущен к защите» Зав. кафедрой «Менеджмент», д.э.н., профессор ___________ Саткалиева Т.С. «6» мая 2013 г., протокол №18 |
ДИПЛОМНАЯ РАБОТА
на тему «Практическое применение теории мотивации в организации»
по специальности «5B050700 Менеджмент»
|
Выполнила: студентка 3 курса (3 г.о.), заочного обучения с применением ДОТ |
Д.Н.Какимжанова |
|
|
Научный руководитель: ст. преподаватель |
Г.Т.Шахманова |
Алматы, 2013
Содержание
|
Введение |
3 |
||
|
1 |
Теоретические аспекты мотивации в организации |
5 |
|
|
1.1 |
Мотивация как функция процесса управления |
5 |
|
|
1.2 |
. Теории и виды мотивации и стимулирования |
8 |
|
|
1.3 |
Система мотивации: факторы, методы и принципы
|
13 |
|
|
2 |
Оценка ситемы мотивации в АО «БТА Ипотека» |
24 |
|
|
2.1 |
Современно состояние и и уровень развития АО «БТА Ипотека» |
24 |
|
|
2.2 |
Анализ системы мотивации в организации |
36 |
|
|
3 |
Основные направления совершенствования мотивации в АО «БТА Ипотека» |
58 |
|
|
3.1 |
Проблемы мотивации труда на казахстанских предприятиях |
58 |
|
|
3.2 |
Основные направления в повышении эффективности процесса мотивации работников АО «БТА Ипотека» |
70 |
|
|
Заключение |
79 |
||
|
Список использованной литературы |
82 |
||
|
Приложения |
83 |
||
Введение
Актуальность темы данной работы заключается в том, что путь к эффективному управлению человеком лежит через понимание его мотивации. Только зная то, что движет человеком, что побуждает его к деятельности, какие мотивы лежат в основе его действий, можно попытаться разработать эффективную систему форм и методов управления человеком. Для этого необходимо знать, как возникают, или вызываются те или иные мотивы, как и какими способами, мотивы могут быть приведены в действие, как осуществляется мотивирование людей.
Понятие мотивации тесно связано с проблемой управления персоналом. Новые экономические отношения в современных условиях , выдвигают и новые требования к персоналу. Это не только подбор, обучение и расстановка кадров, но и формирование нового сознания, менталитета, а, следовательно, и методов мотивации.
В практике управления одной из самых распространенных его форм является материальное стимулирование. Роль данного процесса стимулирования исключительно велика.
Однако очень важно учитывать ситуацию, в которой материальное стимулирование осуществляется, и стараться избрать преувеличения его возможностей, так как человек имеет очень сложную и не однозначную систему потребностей, интересов, приоритетов и целей.
«Стимулирование принципиально отличается от мотивирования. Суть этого отличия состоит в том, что стимулирование это одно из средств, с помощью которого может, осуществляется мотивирование. При этом, чем выше уровень развития отношений в организации, тем реже в качестве средств управления людьми применяется стимулирование. Это связано с тем, что воспитание и обучение как один из методов мотивирования людей приводит к тому что члены организации сами проявляют заинтересованное участие в делах организации, осуществляя необходимые действия, не дожидаясь или же вообще не получая соответствующего стимулирующего воздействия».
Основная деятельность человека это труд, который занимает, как минимум, треть взрослой самостоятельной жизни. Ряд этапов трудовой жизни человека захватывает более ранние и поздние периоды его жизни (выбор профессии, трудовое и профессиональное обучение, передача трудового опыта в семье, использование профессиональной помощи других людей и т.п.). Становится очевидным, что труд, а, следовательно, и все вопросы с ним связанные имеют большое значение для любого человека и всегда находятся в поле внимания.
Главным в менеджменте становится побуждение работников к развитию их способностей для более интенсивного и продуктивного труда. «Менеджер не должен приказывать своим подчиненным, а ориентировать их на проблемы, стоящие перед компанией, ранжируя их по значимости, направлять усилия, помогать раскрытию способностей людей, концентрировать их на самом главном, формировать вокруг себя группу единомышленников, свою команду»
Руководители всегда сознавали, что необходимо побуждать людей работать на организацию. Однако они полагали, что для этого достаточно простого материального вознаграждения. В данной дипломной работе мы постараемся раскрыть, почему это обычно оказывается успешным, хотя, по существу, и неверно. Но одновременно, мы надеемся рассеять стойкое заблуждение, что деньги всегда побуждают человека трудиться усерднее, а также заложить основы современных взглядов на мотивацию деятельности человека.
Целью дипломной работы является разработка рекомендаций по совершенствованию системы мотивации персонала организации в современных условиях. Для достижения поставленной цели в работе решались следующие задачи:
Исходя из поставленной цели, мы можем сформулировать основные задачи данного исследования:
- изучение теоретических основ и современных тенденций мотивации труда и ее роли в повышении эффективности деятельности предприятия;
- анализ эффективности системы мотивации в АО «БТА Ипотека»
- изучение действия мотивационного в процессе управления АО «БТА Ипотека».
- предложить возможное направление работы по повышению мотивации работников АО «БТА Ипотека».
Объектом исследования выступает АО «БТА Ипотека».
Предмет исследования - система мотивации и стимулирования труда работников АО «БТА Ипотека».
При написании работы были использованы законодательные акты, научные и учебные издания по менеджменту и управлению персоналом, материалы периодических изданий, посвященные вопросам мотивации персонала, формирования систем оплаты труда и управления карьерой, внутренние нормативные акты и положения АО «БТА Ипотека».
Дипломная работа состоит из введения, трех глав, заключения и списка использованных источников и приложений.
В первой главе дано понятие мотивации, описаны категории и концепции содержательные и процессуальные теории мотивации, а также методы и формы мотивации.
Во второй главе дана краткая характеристика АО «БТА Ипотека», проанализированы основные технико-экономические показатели деятельности предприятия и оценка мотивации персонала.
В третьей главе на основе проведенного анализа предоставлены практические рекомендации по совершенствованию мотивационной системы персонала с использованием зарубежного опыта мотивации.
В заключительной части работы даны общие выводы и рекомендации в целом по работе.
1 Теоретические аспекты мотивации в организации
1.1. Мотивация как функция процесса управления.
Трудовая деятельность человека стала объектом систематических научных исследований сравнительно недавно только со второй половины XIX в. Как и в любой области знания, в науках о труде и персонале осуществляется процесс выделения отдельных направлений в самостоятельные науки. Однако границы этих наук еще не получили достаточной определенности, особенно в области мотивации и стимулировании. Понятие мотивации тесно связано с проблемой управления персоналом. Новые экономические отношения, порожденные переходным периодом, выдвигают и новые требования к персоналу. Это не только подбор, обучение и расстановка кадров, но и формирование нового сознания, менталитета, а следовательно, и методов мотивации.
В практике управления одной из самых распространенных его форм является материальное стимулирование. Роль данного процесса стимулирования исключительно велика.
Однако очень важно учитывать ситуацию, в которой материальное стимулирование осуществляется, и стараться избрать преувеличения его возможностей, так как человек имеет очень сложную и не однозначную систему потребностей, интересов, приоритетов и целей.
Стимулирование принципиально отличается от мотивирования. Суть этого отличия состоит в том, что стимулирование это одно из средств, с помощью которого может, осуществляться мотивирование. При этом, чем выше уровень развития отношений в организации, тем реже в качестве средств управления людьми применяется стимулирование. Это связано с тем, что воспитание и обучение как один из методов мотивирования людей приводит к тому что члены организации сами проявляют заинтересованное участие в делах организации, осуществляя необходимые действия, не дожидаясь или же вообще не получая соответствующего стимулирующего воздействия.
Эффективное управление невозможно без понимания мотивов и потребностей человека и правильного использования стимулов к труду.
Вся деятельность человека обусловлена реально существующими потребностями. Люди стремятся либо чего-то достичь, либо чего-то избежать. В узком смысле слова, мотивированная деятельность - это свободные, обусловленные внутренними побуждениями действия человека, направленные на достижение своих целей, реализацию своих интересов. В мотивированной деятельности работник сам определяет меру своих действий в зависимости от внутренних побуждений и условий внешней среды.
Влияние мотивации на поведение человека зависит от множества факторов, оно очень индивидуально и может меняться под воздействием мотивов и обратной связи с деятельностью человека.
Мотивация это процесс побуждения каждого сотрудника и всех членов его коллектива к активной деятельности для удовлетворения своих потребностей и для достижения целей организации [20, с. 398].
Основная деятельность человека это труд, который занимает, как минимум, треть взрослой самостоятельной жизни (выбор профессии, трудовое и профессиональное обучение, передача трудового опыта в семье, использование профессиональной помощи других людей и т.п.). Становится очевидным, что труд, а, следовательно, и все вопросы с ним связанные имеют большое значение для любого человека и всегда находятся в поле внимания.
Результаты, достигнутые людьми в процессе работы, зависят не только от знаний, навыков и способностей этих людей. Эффективная деятельность возможна лишь при наличии у работников соответствующей мотивации, то есть желания работать. Позитивная мотивация активирует способности человека, освобождает его потенциал, негативная тормозит проявление способностей, препятствует достижению целей деятельности [11, c. 286].
Мотивация включает в себя внутреннее состояние человека, называемое потребностью, и нечто вне него, определяемое как стимул или задача. Поведение человека определяется потребностью, которая доминирует в данный момент времени. Удовлетворение своих потребностей, являющихся важнейшим мотивирующим фактором человеческой деятельности, человек осуществляет, предъявляя свои возможности на рынке труда.
Таблица 1 Мотивационная модель
|
Претворение в жизнь потребностей своей личности |
Реализация своего потенциала |
|
Уважение к себе признание со стороны других |
Компетентность в своей профессии. Право самостоятельно принимать решения. |
|
Социальные контакты |
Быть признанным в родственной по духу группе. Контакты с людьми. Быть приятным |
|
Уверенность в завтрашнем дне |
Долгосрочное обеспечение денежным доходом, с целью удовлетворения физиологических потребностей. Гарантия рабочего места на длительный срок. |
|
Физиологические потребности |
Питание. Квартира. Одежда. |
Процесс мотивации можно разбить на 4 этапа:
- возникновение потребности (голод, жажда, желание получить образование и т.д.);
- разработка стратегии и поиск путей удовлетворения потребности (купить пищу, поступить в вуз и т.п.);
- определение тактики деятельности и поэтапное осуществление действий (быстро или медленно, определение путей, анализ альтернатив, выбор решения);
- удовлетворение потребности и получение материального или духовного вознаграждения.
Важное значение в удовлетворении потребностей имеют стимулы. Широко бытует мнение, что стимул - это вознаграждение. В переводе с латинского, буквально, остроконечная палка, которой подгоняли животных, имеет значение - принуждение. Поэтому более правильно рассматривать стимул как побуждение к действию или причину поведения человека.
Различают четыре основные формы стимулов:
- принуждение. В демократическом обществе на предприятиях используются административные методы принуждения: замечание, выговор, перевод на другую должность, строгий выговор;
- материальное поощрение. Сюда относятся стимулы в материально-вещественной форме: заработная плата, вознаграждения за результаты, премии из дохода или прибыли, компенсации, путевки, кредиты, ссуды;
- моральное поощрение. Стимулы, направленные на удовлетворение духовных и нравственных потребностей человека: благодарности, почетные грамоты, доска почета, почетные звания, ученые степени, дипломы, публикации в прессе, правительственные награды;
- самоутверждение. Внутренние движущие силы человека, побуждающие его к достижению поставленных целей без прямого внешнего поощрения. Например, защита диссертации, публикация книги, авторские изобретения. Это самый сильный стимул из известных.
Типология предметов, на которые направляется мотивационно-стимулирующее воздействие, может иметь разные основания. В таблице 2 приводятся возможные акценты стимулирования, которые определяются в зависимости от приоритетов действующей организации. При построении иерархии акцентов стимулирования должны учитываться очень многие факторы: стадия жизни организации, сложившиеся традиции, стратегия дальнейшей жизни организации, направленность корпоративной культуры, характер кадровой политики и т.д., и т.п. В связи с этим дать единственно верную систему приоритетов для стимулирования представляется вряд ли возможным. (Отметим в скобках, что штрафование сотрудников, рассматривается нами как стимулирование с обратным знаком.)
Таблица 2 Предметы и акценты стимулирования
|
Предметы стимулирования |
Акценты стимулирования |
|
Предмет ответственности |
Оборудование, помещение ,качественность материалов, адекватность технологии своевременность технического обслуживания качество продукции ,уровень издержек в производстве,безопасность сотрудников обучение сотрудников |
|
Продолжение таблицы 2 |
|
|
Карьерный рост |
рядового исполнителя, менеджера нижнего звена менеджера среднего звена ,обслуживающего персонала |
|
Руководство группами |
созданная под задачу творческая группа, отдел, подразделение другое участие |
|
Смежную взаимопомощь |
консультирование выполнение части работы |
|
Рациональное предложение |
внесение рационального предложения, участие во внедрении рационального предложения, за результат внедрения |
|
социальные выплаты и льготы |
оплата праздничных дней, оплата отпусков, оплата за отсутствие больничных листов, оплата больничных листов, оплата декретных отпусков медицинское страхование , дополнительное пенсионное обеспечение бесплатное питание и т.д. |
|
восстановление энергетических затрат, стаж работы в организации |
краткосрочные (релаксация), долгосрочные (рекреация) испытательный срок, 1 год работы в организации, 2 года работы в организации,3 года работы в организации и т.д. |
|
сопричастность в |
увеличении объема продаж увеличении прибыли в загрузке производственных мощностей продвижении товара выполнение плана и т.д. |
|
экономия |
рабочего времени материал финансов |
|
Продолжение таблицы 2 |
|
|
степень риска (опасности) |
здоровье деньги |
|
субъект стимулирования |
отдельный работник группа (отдел, подразделение и т.п.) коллектив организации в целом |
|
нормативная адекватность |
нарушение нормативных показателей соответствие нормативным показателям превышение нормативных показателей |
|
уровень профессионализма |
соответствие уровню квалификации повышение уровня квалификации повышение уровня образования расширение набора специальностей передача мастерства коллегам |
|
степень напряжения при выполнении работы |
физическое, эмоциональное, умственное, организационное |
|
степень ответственности |
минимальная средняя высокая |
1.2 Роль материальных и моральных стимулов в системе мотивации
Экономические факторы мотивации труда. Экономические методы носят косвенный характер управленческого воздействия. Такие методы осуществляют материальное стимулирование коллективов и отдельных работников, они основаны на использовании экономического механизма.
Оплата труда является основным мотивом трудовой деятельности и денежным измерителем стоимости рабочей силы. Она обеспечивает связь между результатами труда и его процессом и отражает количество и сложность труда работников различной квалификации. Устанавливая должностные оклады для служащих и тарифные ставки для рабочих, руководство предприятия определяет нормативную стоимость рабочей силы с учётом средних затрат труда при его нормальной продолжительности. Дополнительная заработная плата позволяет учесть сложность и квалификацию труда, совмещение профессий, сверхнормативную работу, социальные гарантии предприятия в случае беременности или обучения сотрудников и др. Вознаграждение определяет индивидуальный вклад работников в конечные результаты производства в конкретные периоды времени. Премия на прямую связывает результаты труда каждого подразделения и работника с главным экономическим критерием предприятия прибылью. Руководитель предприятия может с помощью перечисленных выше пяти компонентов оплаты труда регулировать материальную заинтересованность работников с экономически возможными расходами на производство по статье «заработная плата», применять различные системы оплаты труда сдельную или повременную, формировать материальные и духовные потребности работников и обеспечивать рост их жизненного уровня. Если руководитель чрезмерно жаден или расточительно щедр в оплате труда, то его перспективы не безоблачны, т.к. в первом случае работники «разбегутся», а во втором доживут до разорения предприятия. В качестве примера проявления экономических методов управления персонала, можно привести следующее:
Субсидирование персонала. Многие компании имеют субсидированные столовые и рестораны для своего персонала. Это может быть невозможно для малого бизнеса в финансовом отношении, но можно рассмотреть возможность установки автоматов для продажи горячих напитков и лёгкой закуски и предложить талоны на завтрак.
Товары со скидкой. Большинство бизнесменов позволяют приобретать своим работником товары и услуги фирмы со скидкой от 10% и выше. Всегда следует предоставлять своим работникам большие скидки. Это позволит увеличить лояльность персонала.
Ссуды. Некоторые работодатели дают своим работникам беспроцентные ссуды или ссуды с низким процентом на различные цели (например, для переезда).
Частное страхование здоровья. Некоторые фирмы производят частное страхование здоровья своих работников. Многие из этих работников будут чувствовать себя спокойнее и увереннее, зная, что о них позаботятся, если они заболеют. Быстрая медицинская помощь работникам также будет приносить пользу работник скорее возвратится на работу и будет готов выполнять свои обязанности.
Также руководители через вознаграждение, премии, надбавки вызывают у персонала заинтересованность в конечных результатах своего труда, качестве продукции или услуг, тем самым, принося доход себе и компании в целом.
Административные факторы мотивации труда. Административные методы являются способом осуществления управленческих воздействий на персонал и базируются на власти, дисциплине и взысканиях. Административные методы ориентированы на такие мотивы поведения, как осознанная необходимость дисциплины труда, чувство долга, стремление человека трудиться в определённой организации и т.п. Эти методы воздействия отличает прямой характер воздействия: любой регламентирующий или административный акт подлежит обязательному исполнению. Для административных методов характерно их соответствие правовым нормам, действующим на определённом уровне управления, а также актам и распоряжениям вышестоящих органов управления. Различают пять основных способов административного воздействия: организационные воздействия, распорядительные воздействия, материальная ответственность и взыскания, дисциплинарная ответственность и взыскания, административная ответственность. Организационные воздействия основаны на подготовке и утверждении внутренних нормативных документов, регламентирующих деятельность персонала конкретного предприятия. К ним относятся устав предприятия или организации, коллективный договор между администрацией и трудовым коллективом, Правила внутреннего трудового распорядка, организационная структура управления, штатное расписание предприятия, положения о структурных подразделениях, должностные инструкции сотрудников и организация рабочих мест.
Распорядительные воздействия направлены на достижение поставленных целей управления, соблюдение внутренних нормативных документов или поддержание системы управления предприятием в заданных параметрах путём прямого административного регулирования. К известным способам распорядительного воздействия следует отнести приказы, распоряжения, указания, инструкции, целевое планирование, нормирование труда, координацию работ и контроль исполнения.
Наиболее категоричной формой распорядительного воздействия является приказ. Он обязывает подчинённых точно выполнить принятое решение в установленные сроки, а его неисполнение влечёт за собой соответствующую санкцию. Приказ обычно состоит из пяти частей: констатация ситуации или события, меры по устранению недостатков или обеспечению административного регулирования, выделенные ресурсы для реализации решения, сроки исполнения решения, контроль исполнения. Пример приказа приведён ниже. Распоряжение выступает в качестве второго основного вида распорядительного воздействия. Оно обязательно для исполнения в пределах конкретной функции управления и структурного подразделения. Распоряжение может содержать все перечисленные выше части приказа и так же, как и приказ, обязательно для исполнения перечисленными в нём подчинёнными. Отличие распоряжения от приказа заключается в том, что оно не охватывает все функции предприятия и обычно подписывается заместителями руководителя предприятия. Указания и инструкции являются локальным видом организационного воздействия и чаще всего направлены на оперативное регулирование управленческого процесса в короткие сроки и для ограниченного числа сотрудников. Если указания или инструкции даются в устной форме, то они нуждаются в чётком контроле исполнения или должны быть основой высокого доверия в схеме отношений “руководитель - подчинённый”. Кроме того, при их реализации выше степень исполнения решений.
Дисциплинарная ответственность и взыскания. Применяются в случае нарушения трудового законодательства, когда имеет место дисциплинарный проступок, под которым понимается противоправное виновное неисполнение или ненадлежащее исполнение трудовых обязанностей работником. Невыполнение работником трудовых обязанностей существует тогда, когда доказана его личная вина и он действовал умышленно и неосторожно. Если же работник нарушил свои трудовые обязанности по причине от него не зависящей (отсутствие нормальных условий труда, недостаточная квалификация для выполнения порученной работы и др.), то он не может быть привлечён к дисциплинарной ответственности. Для привлечения работника к дисциплинарной ответственности необходимо наличие трёх условий: неисполнение или ненадлежащее исполнение трудовых обязанностей; противоправные действия или бездействие работника; нарушение правовых норм по вине работника. Дисциплинарные взыскания налагаются руководителем предприятия, а также другими должностными лицами, которым делегированы в установленном законном порядке соответствующие права. Право налагать дисциплинарные взыскания могут иметь начальники цехов, руководители отделов и служб, руководители самостоятельных структурных подразделений, начальники участков. Увольнение могут осуществлять только руководители предприятия, руководители же структурных подразделений могут ходатайствовать о применении этих взысканий. За проступки в сфере трудовых правоотношений могут также применяться наказания, которые по своему статусу не являются дисциплинарными взысканиями и которые могут применяться одновременно с дисциплинарными взысканиями. К таким мерам можно отнести лишение провинившегося сотрудника премий, предусмотренных Положением об оплате труда. Руководство предприятия вправе лишить провинившегося работника вознаграждения по итогам за год, не предоставлять ему льготные путёвки в санатории и дома отдыха, перенести очередь на получение жилой площади. В ряде случаев допускается одновременное наложение административного и дисциплинарного взыскания. Так, работник за появление на работе в нетрезвом виде может быть подвергнут мерам дисциплинарного наказания и административному штрафу.
Материальная ответственность и взыскания. Материальная ответственность работников выражается в их обязанности возместить ущерб, причинённый виновным действием или бездействию предприятию, на котором они работают. Материальная ответственность возлагается на работников за ущерб, причинённый предприятию, с которым они состоят в трудовых отношениях, а также за ущерб, возникший в связи с возмещением им ущерба, причинённого его работниками третьим лицам, если этот ущерб возмещён предприятием. В этом случае по заявленному иску на работника может быть в порядке регресса возложена обязанность возместить этот ущерб предприятию в пределах, предусмотренным гражданским законодательством. Чаще всего к видам ущерба, который необходимо возмещать, относятся следующие случаи: уничтожение или порча имущества по небрежности рабочего; утрата документов, оборудования; вынужденный простой на предприятии по вине работника и др. Материальная ответственность может быть полной и ограниченной, индивидуальной и коллективной.
Административная ответственность и взыскания применяются в случаях совершения административных правонарушений. Различают такие виды административного взыскания, как предупреждения, штрафы, административный арест, исправительные работы, конфискация или возмездное изъятие предметов.
Административные методы управления являются мощным рычагом достижения поставленных целей в случаях, когда нужно подчинить коллектив и направить его на решение конкретных задач управления. Демократизация управления и развитие рыночных отношений в стране, развал централизованной административной системы и деформация Морального кодекса строителя коммунизма понизили роль административных методов управления на предприятиях. Ряд противоречивых процессов в обществе также препятствует использованию административных методов. К ним относятся рост безработицы и частичная занятость на предприятиях, значительная инфляция в течение последних лет, превышение темпов роста цен на потребительные товары над темпами роста заработной платы, нарушение привычного уклада жизни в семье.
Социально-психологические методы мотивации труда. Социально-психологические методы - это способы осуществления управленческих воздействий на персонал, базирующиеся на использовании закономерностей социологии и психологии. Объектом воздействия этих методов являются группы людей и отдельные личности. По масштабу и способам воздействия эти методы можно разделить на две основные группы: социологические методы, которые направлены на группы людей и их взаимодействия в процессе производства (внешний мир человека); психологические методы, которые направленно воздействуют на личность конкретного человека (внутренний мир человека). Такое разделение достаточно условно, т.к. в современном общественном производстве человек всегда действует не в изолированном мире, а в группе разных по психологии людей. Однако эффективное управление человеческими ресурсами, состоящими из совокупности высокоразвитых личностей, предполагает знание как социологических, так и психологических методов.
Социальное планирование обеспечивает постановку социальных целей и критериев, разработку социальных нормативов (уровень жизни, оплата труда, потребность в жилье, условия труда и др.) и плановых показателей, достижение конечных социальных результатов. Например: увеличение продолжительности жизни, снижение уровня заболеваемости, рост уровня образования и квалификации работников, сокращение производственного травматизма, увеличение жилой площади на 1 работника и др. Конкретной формой социального планирования является план социального развития коллектива, который в 70-80-х гг. имелся на всех крупных предприятиях СССР (ГАЗ, ВАЗ, "Электросила", ЗМЗ и др.). В настоящее время проблема социального планирования актуальна для многих крупных западных и японских компаний, которые успешно используют передовой опыт советского периода. Психологические методы играют очень важную роль в работе с персоналом, т. к. направлены на конкретную личность рабочего или служащего и, как правило, строго персонифицированы и индивидуальны. Главной их особенностью является обращение к внутреннему миру человека, его личности, интеллекту, чувствам, образам и поведению с тем, чтобы направить внутренний потенциал человека на решение конкретных задач предприятия.
Психологическое планирование составляет новое направление в работе с персоналом по формированию эффективного психологического состояния коллектива предприятия. Оно исходит из необходимости концепции всестороннего развития личности человека, устранения негативных тенденций деградации отсталой части трудового коллектива. Психологическое планирование предполагает постановку целей развития, и критериев эффективности, разработку психологических нормативов, методов планирования психологического климата и достижения конечных результатов. К наиболее важным результатам психологического планирования относится:
- формирование подразделений ("команд") на основе психологического соответствия сотрудников;
- комфортный психологический климат в коллективе;
- формирование личной мотивации людей исходя из философии предприятия;
- минимизацию психологических конфликтов (скандалов, обид, стрессов, раздражений);
- разработку служебной карьеры на основе психологической ориентации работников;
- рост интеллектуальных способностей членов коллектива и уровня их образования
- формирование корпоративной культуры на основе норм поведения и образов идеальных сотрудников. Целесообразно, чтобы психологическое планирование и регулирование выполняла профессиональная психологическая служба предприятия, состоящая из социальных психологов.
1.3 Содержательные и процессуальные теории мотивации
Различные теории мотивации разделяют на две категории: содержательные и процессуальные.
Содержательные теории мотивации в первую очередь стараются определить потребности, побуждающие людей к действию, особенно при определении объема и содержания работы. При закладке основ современных концепций мотивации наибольшее значение имели работы трех человек: Абрахама Маслоу, Фредерика Герцберга и Дэвида МакКлелланда.
Иерархия потребностей по Маслоу. Одним из первых бихевиористов, из работ которого руководители узнали о сложности человеческих потребностей и их влиянии на мотивацию, был Абрахам Маслоу. Создавая свою теорию мотивации в 40-е годы, Маслоу признавал, что люди имеют множество различных потребностей, но полагал также, что эти потребности можно разделить на пять основных категорий. Эта мысль была детально разработана его современником, психологом из Гарварда, Мурреем.
- Физиологические потребности являются необходимыми для выживания. Они включают потребности в еде, воде, убежище, отдыхе и сексуальные потребности.
- Потребности в безопасности и уверенности в будущем включают потребности в защите от физических и психологических опасностей со стороны окружающего мира и уверенность в том, что физиологические потребности будут удовлетворены в будущем. Проявлением потребностей уверенности в будущем является покупка страхового полиса или поиск надежной работы с хорошими видами на пенсию.
- Социальные потребности, иногда называемые потребностями в причастности, это понятие, включающее чувство принадлежности к чему или кому-либо, чувство, что тебя принимают другие, чувства социального взаимодействия, привязанности и поддержки.
- Потребности в уважении включают потребности в самоуважении, личных достижений, компетентности, уважении со стороны окружающих, признании.
- Потребности самовыражения потребность в реализации своих потенциальных возможностей и росте как личности.
По теории Маслоу все эти потребности можно расположить в виде строгой иерархической структуры, показанной на рисунке 2. Этим он хотел показать, что потребности нижних уровней требуют удовлетворения и, следовательно, влияют на поведение человека прежде, чем на мотивации начнут сказываться потребности более высоких уровней. В каждый конкретный момент времени человек будет стремиться к удовлетворению той потребности, которая для него является более важной или сильной. Прежде, чем потребность следующего уровня станет наиболее мощным определяющим фактором в поведении человека, должна быть удовлетворена потребность более низкого уровня.

Рисунок 2 Иерархия потребностей по Маслоу
Поскольку с развитием человека как личности расширяются его потенциальные возможности, потребность в самовыражении никогда не может быть полностью удовлетворена. Поэтому и процесс мотивации поведения через потребности бесконечен. Человек, испытывающий голод, будет сначала стремиться найти пищу, и только после еды будет пытаться построить убежище. Живя в удобстве и безопасности, человек сначала будет побуждаться к деятельности потребностью в социальных контактах, а затем начнет активно стремиться к уважению со стороны окружающих. Только после того, как человек почувствует внутреннюю удовлетворенность и уважение окружающих, его важнейшие потребности начнут расти в соответствии с его потенциальными возможностями. Но если ситуация радикально изменяется, то и важнейшие потребности могут круто измениться. Как быстро и сильно могут спуститься по иерархической лестнице высшие потребности, и какими сильными могут быть потребности самых низких ее уровней показывает поведение людей, выживших при авиакатастрофе в Андах в 1975 г. чтобы выжить, эти вполне нормальные люди были вынуждены съесть своих погибших товарищей.
Для того чтобы следующий, более высокий уровень иерархии потребностей начал влиять на поведение человека, не обязательно удовлетворять потребность более низкого уровня полностью. Таким образом, иерархические уровни не являются дискретными ступенями. Например, люди обычно начинают искать свое место в некотором сообществе задолго до того, как будут обеспечены их потребности в безопасности или полностью удовлетворены их физиологические потребности. Этот тезис можно отлично проиллюстрировать на примере той большой важности, которую имеют ритуалы и социальное общение для примитивных культур джунглей Амазонки и некоторых частей Африки, хотя там всегда присутствуют голод и опасности. Критика теории Маслоу. Хотя, казалось бы, теория человеческих потребностей Маслоу дала руководителям весьма полезное описание процесса мотивации, последующие экспериментальные исследования подтвердили ее далеко не полностью. Конечно, в принципе, людей можно отнести к той или иной достаточно широкой категории, характеризующейся какой-либо потребностью высшего или низшего уровня, но четкой пятиступенчатой иерархической структуры потребностей по Маслоу, по-видимому, просто не существует. Не получила полного подтверждения и концепция наиважнейших потребностей. Удовлетворение какой-либо одной потребности не приводит к автоматическому задействованию потребностей следующего уровня в качестве фактора мотивации деятельности человека. Основная критика теории Маслоу сводилась к тому, что ей не удалось учесть индивидуальные отличия людей.
Эдвард Лоулер напротив ввел иерархическую структуру индивидуальных потребностей предпочтений, которую человек формирует на основании своего прошлого опыта. Теория потребностей МакКлелланда. Другой моделью мотивации, делавшей основной упор на потребности высших уровней, была теория Дэвида МакКлелланда. Он считал, что людям присущи три потребности: власти, успеха и причастности. Потребность власти выражается, как желание воздействовать на других людей. В рамках иерархической структуры Маслоу потребность власти попадает куда-то между потребностями в уважении и самовыражении. Люди с потребностью власти чаще всего проявляют себя как откровенные и энергичные люди, которые не боятся конфронтации и стремящиеся отстаивать первоначальные позиции. Зачастую они хорошие ораторы и требуют к себе повышенного внимания со стороны других.
Управление очень часто привлекает людей с потребностью власти, поскольку оно дает много возможностей проявить и реализовать ее. Люди с потребностью власти это не обязательно рвущиеся к власти карьеристы в негативном и наиболее часто употребляемом значении этих слов. Потребность успеха также находится где-то посередине между потребностью в уважении и потребностью в самовыражении. Эта потребность удовлетворяется не провозглашением успеха этого человека, что лишь подтверждает его статус, а процессом доведения работы до успешного завершения.
Люди с высокоразвитой потребностью успеха рискуют умеренно, любят ситуации, в которых они могут взять на себя личную ответственность за поиск решения проблемы и хотят, чтобы достигнутые ими результаты поощрялись вполне конкретно.
Таким образом, если вы хотите мотивировать людей с потребностью успеха, вы должны ставить перед ними задачи с умеренной степенью риска или возможностью неудачи, делегировать им достаточные полномочия для того, чтобы развязать инициативу в решении поставленных задач, регулярно и конкретно поощрять их в соответствии с достигнутыми результатами.
Мотивация на основании потребности в причастности по МакКлелланду схожа с мотивацией по Маслоу. Такие люди заинтересованы в компании знакомых, налаживании дружеских отношений, оказании помощи другим. Люди с развитой потребностью причастности будут привлечены такой работой, которая будет давать им обширные возможности социального общения. Их руководители должны сохранять атмосферу, не ограничивающую межличностные отношения и контакты. Руководитель может также обеспечить удовлетворение их потребности, уделяя им больше времени и периодически собирая таких людей отдельной группой.
Двухфакторная теория Герцберга. Во второй половине 50-х годов Фредерик Герцберг с сотрудниками разработал еще одну модель мотивации, основанную на потребностях. Эта группа исследователей попросила ответить 200 инженеров и конторских служащих одной крупной лакокрасочной фирмы на следующие вопросы: Можете ли вы описать подробно, когда после выполнения служебных обязанностей чувствовали себя особенно хорошо?» и «Можете ли вы описать подробно, когда после выполнения служебных обязанностей чувствовали себя особенно плохо?».
Согласно выводам Герцберга, полученные ответы можно подразделить на две большие категории, которые он назвал «гигиеническими факторами» и «мотивацией» (таблица 1).
Таблица 1 «Гигиеническими факторами» и «мотивацией» Герцберга
|
Гигиенические факторы |
Мотивации |
|
Политика фирмы и администрации |
Успех |
|
Условия работы |
Продвижение по службе |
|
Заработок |
Признание и одобрение результатов работы |
|
Межличностные отношения с начальниками, коллегами и подчинёнными |
Высокая степень ответственности |
|
Степень непосредственного контроля над работой |
Возможности творческого и делового роста |
Гигиенические факторы связаны с окружающей средой, в которой осуществляется работа, а мотивации с самим характером и сущностью работы. Согласно Герцбергу, при отсутствии или недостаточной степени присутствия гигиенических факторов у человека возникает неудовлетворение работой. Однако, если они достаточны, то сами по себе не вызывают удовлетворения работой и не могут мотивировать человека на что-либо. В отличие от этого отсутствие или неадекватность мотиваций не приводит к неудовлетворенности работой. Но их наличие в полной мере вызывает удовлетворение и мотивирует работников на повышение эффективности деятельности.
Сопоставление различных теорий мотивации. Теория мотивации Герцберга имеет много общего с теорией Маслоу. Гигиенические факторы Герцберга соответствуют физиологическим потребностям, потребностям в безопасности и уверенности в будущем. Его мотивации сравнимы с потребностями высших уровней Маслоу (таблица 2).
Таблица 2 Соотношение теорий потребностей Маслоу и Герцберга
|
Теория Маслоу |
Теория Герцберга |
|
Самовыражение Уважение |
Мотивирующие факторы |
|
Социальные потребности безопасности и уверенности в будущем, физиологические |
Гигиенические факторы |
Но в одном пункте эти две теории резко расходятся. Маслоу рассматривал гигиенические факторы, как нечто, что вызывает ту или иную линию поведения. Если менеджер дает рабочему возможность удовлетворить одну из таких потребностей, то рабочий в ответ на это будет работать лучше. Герцберг напротив считает, что работник начинает обращать внимание на гигиенические факторы только тогда, когда сочтёт их реализацию неадекватной или несправедливой.
Критика теории Герцберга. Хотя эта теория эффективно использовалась в ряде организаций, в её адрес раздавались и критические замечания. В основном они были связаны с методами исследований. Действительно, когда людей просят описать ситуации, когда им бывало хорошо или плохо после выполнения работы, то они инстинктивно связывают благоприятные ситуации с ролью своей личности и объектов, которые они контролируют, а неблагоприятные с ролью других людей и вещей, которые объективно от опрашиваемых не зависят. Таким образом, результаты, которые получил Герцберг, были, по крайней мере, частично, результатом того, как он задавал вопросы. Кроме того, Герцберг предполагал наличие сильной корреляции между удовлетворением от работы и производительностью труда. Как показывают другие исследования, такая корреляция существует далеко не всегда. Таким образом, несмотря на высокую степень удовлетворения работой, производительность может оказаться низкой. В силу того, что социальные потребности играют очень важную роль, введение таких может не оказать мотивирующего воздействия и не привести к росту производительности.
Это будет именно так, особенно в том случае, если другие работники воспримут возрастание производительности труда данного работника как нарушение негласно установленных норм выработки. Все эти критические замечания ясно показывают, что мотивацию надо воспринимать как вероятностный процесс. То, что мотивирует данного человека в конкретной ситуации, может не оказать никакого воздействия на него в другое время или на другого человека в аналогичной ситуации. Таким образом, хотя Герцберг и сделал важный вклад в понимание мотивации, его теория не учитывает многих переменных величин, определяющих ситуации, связанные с ней.
Впоследствии исследователям стало понятно, что для того, чтобы объяснить механизм мотивации, необходимо рассмотреть многочисленные поведенческие аспекты и параметры окружающей среды. Реализация этого подхода привела к созданию процессуальных теорий мотивации.
Содержательные теории мотивации базируются на потребностях и связанных с ними факторах, определяющих поведение людей. Процессуальные теории рассматривают мотивацию в ином плане. В них анализируется то, как человек распределяет усилия для достижения различных целей и как выбирает конкретный вид поведения. Процессуальные теории не оспаривают существования потребностей, но считают, что поведение людей определяется не только ими. Согласно процессуальным теориям поведение личности является также функцией его восприятия и ожиданий, связанных с данной ситуацией, и возможных последствий выбранного им типа поведения.
Имеется три основные процессуальные теории мотивации: теория ожиданий, теория справедливости и модель Портера-Лоулера.
Теория ожиданий, часто ассоциирующаяся с работами Виктора Врума, базируется на положении о том, что наличие активной потребности не является необходимым единственным условием мотивации человека на достижение определенной цели. Человек должен также надеяться на то, что выбранный им тип поведения действительно приведет к удовлетворению или приобретению желаемого. Ожидания можно рассматривать как оценку данной вероятности определенного события.
Большинство людей ожидают, например, что окончание колледжа позволит им получить лучшую работу и что, если работать с полной отдачей, можно продвинуться по службе. При анализе мотивации к труду теория ожидания подчеркивает важность трех взаимосвязей: затраты труда результаты; результаты вознаграждение и валентность (удовлетворенность вознаграждением). Ожидания в отношении затрат труда результатов (З-Р) это соотношение между затраченными усилиями и полученными результатами. Ожидания в отношении результатов вознаграждений (Р-В) есть ожидания определенного вознаграждения или поощрения в ответ на достигнутый уровень результатов.
Третий фактор, определяющий мотивацию в теории ожидания это валентность или ценность поощрения или вознаграждения. Валентность это предполагаемая степень относительного удовлетворения или неудовлетворения, возникающая вследствие получения определенного вознаграждения.
Теория справедливости. Другое объяснение того, как люди распределяют и направляют свои усилия на достижение поставленных целей, дает теория справедливости. Теория справедливости постулирует, что люди субъективно определяют отношение полученного вознаграждения к затраченным усилиям и затем соотносят его с вознаграждением других людей, выполняющих аналогичную работу.
Если сравнение показывает дисбаланс и несправедливость, т.е. человек считает, что его коллега получил за такую же работу большее вознаграждение, то у него возникает психологическое напряжение. В результате необходимо мотивировать этого сотрудника, снять напряжение и для восстановления справедливости исправить дисбаланс. Люди могут восстановить баланс или чувство справедливости, либо, изменив уровень затрачиваемых усилий, либо пытаясь изменить уровень получаемого вознаграждения. Таким образом, те сотрудники, которые считают, что им не доплачивают по сравнению с другими, могут либо начать работать менее интенсивно, либо стремиться повысить вознаграждение. Те же сотрудники, которые считают, что им переплачивают, будут стремиться оставить интенсивность труда на прежнем уровне или даже увеличивать ее. Исследования показывают, что обычно, когда люди считают, что им недоплачивают, они начинают работать менее интенсивно. Если же они считают, что им переплачивают, она менее склонны изменять свое поведение и деятельность.
Модель Портера-Лоулера. Лайман Портер и Эдвард Лоулер разработали комплексную процессуальную теорию мотивации элементы теории ожиданий и теории справедливости. В их модели фигурирует пять переменных: затраченные усилия, восприятие, полученные результаты, вознаграждение, степень удовлетворения. Согласно модели Портера-Лоулера, достигнутые результаты зависят от приложенных сотрудником усилий, его способностей и характерных особенностей, а также осознания им своей роли.
Уровень приложенных усилий будет определяться ценностью вознаграждения и степенью уверенности в том, что данный уровень усилий действительно повлечет за собой вполне определенный уровень вознаграждения. Более того, в теории Портера-Лоулера устанавливается соотношение между вознаграждением и результатами, т.е. человек удовлетворяет свои потребности посредством вознаграждений за достигнутые результаты, которые показаны на рисунке 3:
Рисунок 3 Модель Портера-Лоулера
Для того чтобы лучше понять, как Портер и Лоулер объяснили механизм мотивации, давайте последовательно разберем их модель элемент за элементом. Цифры, приводимые в тексте в скобках, взяты из Рисунка 3. Согласно модели Портера-Лоулера результаты, достигнутые сотрудником, зависят от трех переменных: затраченных усилий (3), способностей и характерных особенностей человека (4), а также от осознания им своей роли в процессе труда (5). Уровень затрачиваемых усилий в свою очередь зависит от ценности вознаграждения (1) и того, насколько человек верит в существование прочной связи между затратами усилий и возможным вознаграждением (2). Достижение требуемого уровня результативности (6) может повлечь внутренние вознаграждения (7а), такие, как чувство удовлетворения от выполненной работы, чувство компетентности и самоуважения, а также внешние вознаграждения (76), такие, как похвала руководителя, премия, продвижение по службе. Пунктирная линия между результативностью и внешним вознаграждением означает, что может существовать связь между результативностью какого-либо сотрудника и выдаваемыми ему вознаграждениями. Дело в том, что эти вознаграждения отражают возможности вознаграждения, определяемые руководителем для данного сотрудника и организации в целом. Пунктирная линия между результативностью и вознаграждением, воспринимаемым как справедливое (8), использована для того, чтобы показать, что в соответствии с теорией справедливости, люди имеют собственную оценку степени справедливости вознаграждения, выдаваемого за те или иные результаты. Удовлетворение (9) это результат внешних и внутренних вознаграждений с учетом их справедливости (8). Эта оценка будет влиять на восприятие человеком будущих ситуаций.
Задачей современного менеджмента является создание таких условий, при которых потенциал персонала будет использован наилучшим образом. Традиционная теория Х, или как её называют, метод “кнута и пряника” в цивилизованных странах перестаёт срабатывать даже применительно к работникам физического труда. Поэтому все процветающие корпорации США придерживаются подхода Y, по которому главной обязанностью эффективного менеджера является достижение заинтересованности работников в труде и эффективности их работы. Дуглас Мак Грегор создал свою теорию, применительно к американским компаниями, а японец Уильям Оучи, основываясь на его теории, развил свой подход в управлении персоналом и назвал его теорией Z.
Согласно “Теории Y” любой сотрудник, приходя на новое место работы, хотел бы проявить себя, и заинтересован в своей новой деятельности. Кроме того, руководство заинтересованно в том, чтобы сотрудники творчески и с воодушевлением относились к своим обязанностям. Однако в силу ряда факторов у работника может наступить разочарование в своей деятельности.
Это, как правило, бывает вызвано следующими причинами:
- чрезмерное вмешательство со стороны непосредственного руководителя;
- отсутствие психологической и организационной поддержки;
- недостаток необходимой информации;
- чрезмерная сухость и недостаток внимания руководителя к запросам подчиненного;
- отсутствие обратной связи, т.е. незнание работником результатов своего труда;
- неэффективное решение руководителем служебных проблем работника;
- некорректность оценки работника руководителем.
Эти факторы вызывают у рядового работника чувство приниженности. Подрываются чувство гордости, уверенности в себе, в стабильности своего служебного положения и возможности дальнейшего продвижения.
Процесс потери интереса к труду можно рассмотреть как состоящий из шести стадий (рисунок 4).
Рисунок 4 Стадии потери интереса работника к труду
При растерянности замечаются симптомы стрессового состояния, которое начинает испытывать новый работник. Работник перестает понимать, что ему нужно делать и почему работа у него не ладится. Он задает себе вопрос о том связано ли это с ним самим, с начальником или с работой.
Нервные усилия работника пока не сказываются на производительности. Он легко контактирует с сослуживцами, а иногда даже пытается справиться с трудностями за счет более интенсивной работы, что в свою очередь может только усилить стресс.
Разноречивые указания руководителя, неопределенность ситуации вскоре вызывают раздражение работника, связанное с ощущением собственного бессилия. Поведение работника приобретает демонстративные черты. Он подчеркивает свое недовольство в сочетании с повышенной производительностью. Тут он преследует две цели - зарекомендовать себя с лучшей стороны, а так же подчеркнуть на своем фоне бездеятельность руководства.
На третьей стадии подчиненный перестает сомневаться в том, кто виноват в возникших у него трудностях. Теперь он надеется на промах начальника, после которого можно аргументировано доказать правильность своей точки зрения. Это выражается в утаивании служебной информации, необходимой для решения задач данного подразделения. Подчиненный начинает избегать начальника. Производительность и качество труда остаются в норме.
На стадии разочарования восстановить подорванный интерес к работе гораздо труднее. Производительность труда снижается до минимально допустимой. Но на этой стадии работник еще не потерял последней надежды. Его поведение напоминает маленького ребенка, он полагает, что если будет “вести себя плохо”, начальник обратит на него внимание. В этот период страдают такие чувства работника, как уверенность в уважении со стороны подчиненных, сознание своего авторитета, привычка к хорошему отношению со стороны других сотрудников.
Симптомом стадии потери готовности к сотрудничеству является подчеркивание работником границы своих обязанностей, сужение их до минимума. Некоторые начинают вызывающе пренебрегать работой, а то и вымещать дурное расположение духа на коллегах, находя удовлетворение в унижении других. Суть этой стадии - не борьба за сохранение интереса к работе, а попытка сохранить самоуважение.
Окончательно разочаровавшись в своей работе (стадия 6), сотрудник перейдет на другое место, либо будет относиться к работе как к каторге. Один такой работник может сыграть в группе роль катализатора, привести к выплеску скрытого чувства недовольства всего коллектива.
Получение нового места работы, а так же изменение привычных условий деятельности стимулирует работника, вызывает в нем желание проявить себя с лучшей стороны. Не получив возможности почувствовать себя необходимым, самостоятельным работником, которому доверяют и которого уважают, он разочаровывается в своей работе.
Отвечая на этот вопрос, «какой должна быть идеальная работа для подчиненных?», не следует стремиться к чрезмерной специфичности и оригинальности. Все равно учесть различие во вкусах и личных мнениях каждого удается редко, поэтому руководитель, как правило, стремится к повышению интегральной производительности. Если руководитель будет учитывать приведенные ниже факторы, у него есть шанс получить подтверждение максимального количества своих подчиненных.
Итак, идеальная работа должна:
- иметь цель, т.е. приводить к определенному результату;
- оцениваться сослуживцами как важная и заслуживающая быть выполненной;
- давать возможность служащему принимать решения, необходимые для ее выполнения, т.е. должна быть автономия (в установленных пределах);
- обеспечивать обратную связь с работником, оцениваться в зависимости от эффективности его труда;
- приносить справедливое с точки зрения работника вознаграждение.
Спроектированная в соответствии с этими принципами работа обеспечивает внутреннее удовлетворение. Это очень мощный мотивационный фактор, который стимулирует качественное выполнение работы, а также, по закону возвышения потребностей, стимулирует к выполнению более сложной работы.
Работа, удовлетворяющая всем описанным факторам, внутренне мотивирует работников, обеспечивает хорошее качество выполненного задания, приносит удовлетворение. Она создает ощущение личного вклада в выпускаемую продукцию или оказываемые услуги, дает работникам чувство сопричастности. Только такая работа дает возможность человеку к самовыражению, заложенная в его социальности.
2 Оценка современного уровня организации мотивации и стимулирования труда в АО «БТА Ипотека»
2.1 Современное состояние и характеристика АО «БТА Ипотека»
АО «БТА Ипотека» (далее Компания) создано 20 ноября 2000 года. Компания имеет статус юридического лица и осуществляет свою деятельность на основании действующего законодательства РК, Устава и внутренних положений (правил) Компании. Местонахождение Головного офиса Компании: Республика Казахстан, г. Алматы, ул. Абая 52 Б, Бизнес центр «Прогресс».
На сегодняшний день Компания является одним из лидеров на рынке ипотечного кредитования, поскольку каждый пятый заемщик Казахстана является клиентом Компании БТА Ипотека.
В ноябре 2012 года компания отметила свой двенадцатый юбилей.
Миссия Компании:
Наша Компания - пионер отечественной ипотеки - улучшает качество жизни казахстанцев, делая жилье доступнее и комфортнее.
Для удовлетворения потребностей Клиента мы создаем широкий ряд ипотечных продуктов, используя передовые технологии и профессионализм команды.
АО «БТА Ипотека»:
- Первая казахстанская частная ипотечная компания
- Первая компания в Казахстане, начавшая использовать ипотечное свидетельство как ценную бумагу
- Первая компания в Казахстане, снизившая размер первоначального взноса в сочетании с обязательным страхованием гражданско-правовой ответственности
- Первая компания в Казахстане, которая использовала понятие ипотечных пакетов и предложила клиентам целый спектр разных ипотечных продуктов
- Вторая частная компания, выпустившая ипотечные облигации, обеспеченные залогом прав требования по договорам ипотечного займа (включая залог ипотечных свидетельств).
Компания БТА Ипотека имеет лицензию Агентства Республики Казахстан по регулированию и надзору финансового рынка и финансовых организаций (АФН) на проведение заемных операций.
Сегодня, компания "БТА Ипотека" является одним из крупнейших операторов на рынке ипотечного кредитования Республики Казахстан. По различным оценкам порядка 30-40% вновь выданных жилищных ипотечных кредитов, являются результатом деятельности компании.
В настоящее время функционируют центральный офис в городе Алматы, а также представительства компании в 17 городах Казахстана.
В настоящий момент Компания временно не кредитует и основным приоритетом является:
- Пост обслуживание действующих заемщиков;
- Работа с проблемным портфелем;
- Сдача в аренду недвижимости, обращенной в собственность Компании.
В период бурного развития кредитования 2003 2007 года Компания входила в тройку финансовых учреждений, выдавших наибольший объем ипотечных кредитов. Не смотря на кризис именно в сфере ипотечного кредитования (т.е. в основной сфере деятельности Компании) Компания не просто продолжает существовать, а твердо стоит на ногах и продолжает развиваться.
АО "Дочерняя ипотечная организация акционерного общества "Банк ТуранАлем" "БТА Ипотека" успешно размещает RMBS (ценные бумаги, обеспеченные жилищной ипотекой) на общую сумму $141,4 млн. в рамках первой международной секьюритизации ипотечных активов в Казахстане.
Среди ведущих банков БТАИ, по доли на рынке ипотечного кредитования, заняла второе место, что показано в виде диаграммы ниже на рисунке 5:

Рисунок 5 Доли финансовых учреждений на рынке ипотечного кредитования
Услугами АО «Ипотечная организация «БТА Ипотека» могут воспользоваться более 65% городского населения Республики Казахстан. В 2005 году Компания стала оказывать информационно-консультативные услуги своим партнерам в странах СНГ.
Капитал в отчете БТАИ сгруппирован, представлен следующим образом в таблице 3:
Таблица 3 Консолидированный отчет об изменениях в собственном капитале БТАИ (за год, закончившийся 31 декабря 2012 года, в тысячах тенге)
|
Уставный капитал |
Дополнительный оплаченный капитал |
Собственные выкупленные акции |
Нераспределенный доход |
Итого |
Доля меньшинства |
Итого собственного капитала |
|
|
31 декабря 2010 года Взносы в капитал Чистый доход Приобретение собственных акций |
1 269 992 230 008 - - |
- 115 004 - (115 004) |
- - - (230 008) |
466 468 - 962 290 - |
1 736 460 345 012 962 290 (345 012) |
- - - - |
1 736 460 345 012 962 290 (345 012) |
|
31 декабря 2011 года Взносы в капитал Чистый доход Продажа собственных выкупленных акций Доля меньшинства по приобретению |
1500 000 1 500 000 - - - |
- - - - - |
(230 008) - - 230 008 - |
1 428 758 - 1 128 907 - - |
2 698 750 1 500 000 1 128 907 230 008 - |
- - - - 2 964 |
2 698 750 1 500 000 1 128 907 230 008 2 964 |
|
31 декабря 2012 года |
3 000 000 |
- |
- |
2 557 665 |
5 557 665 |
2 964 |
5 560 629 |
На 01/01/2013 года собственный капитал АО «Ипотечная организация БТА Ипотека» составил 5 615 187 тенге.
В составе собственного капитала Компании учитывается уставной, добавочный и резервный капитал, нераспределенный доход, непокрытый убыток и прочие резервы.
Величина уставного капитала регистрируется в учредительных документах как совокупность вкладов его учредителей. На начало 2012 года количество объявленных акций Компании составляло 15 млн. экземпляров. В сентябре 2012 года решением общего собрания акционеров количество объявленных акций было увеличено на 40 млн. штук. Дополнительная эмиссия была зарегистрирована 12 октября 2012 года. Таким образом, общее количество объявленных простых акций составляет 55 млн. экземпляров
В отчетном году Компанией было размещено 15 млн. простых акций, собственником которых стало АО «БанкТуран Алем». По состоянию на 01/01/13 года размещено 30 млн. акций, количество неразмещенных акций 25 млн. штук. Регистратором акций Компаний является АО «Регистр Центр».
Резервный капитал Компании по состоянию на 01/01/13 года составил 1 432 883 тыс. тенге.
На 31 декабря 2012 года количество объявленных, выпущенных и полностью оплаченных простых акций составляло 30 000 000, номинальной стоимостью 100 тенге за одну акцию (на 31 декабря 2011 года 15 000 000 выраженных в тенге простых акций, номинальной стоимостью 100 тенге каждая). Каждая простая акция дает право на один голос.
Уставный капитал Компании был сформирован за счет вкладов акционеров в тенге, при этом акционеры имеют право на получение дивидендов и распределения капитала в тенге.
Ниже в таблице 4 приводятся данные о движении выпущенных, полностью оплаченных и находящихся в обращении акциях:
Таблица 4 Собственный капитал АО «БТА Ипотека» на 01/01/2013 года
|
Количество акций |
Номинальная стоимость |
|
|
31 декабря 2010 года Взносы в капитал |
12 699 920 2 300 080 |
1 269 992 230 008 |
|
31 декабря 2011 года Взносы в капитал |
15 000 000 15 000 000 |
1 500 000 1 500 000 |
|
31 декабря 2012 года |
30 000 000 |
3 000 000 |
В течение 2012 и 2011 годов Компания не объявляла и не выплачивала дивиденды.
Экспресс-оценка финансово-экономической устойчивости бизнеса, может быть приведена на основе расчетов следующих ключевых показателей:
Коэффициент текущей ликвидности:
Ктл=(ДС+ЦБ+ДЗ+ МЗ)/КО,
где: Кпл2;
ДС - денежные средства;
ЦБ - ценные бумаги;
ДЗ - дебиторская задолженность(Деньги + Прочие текущие активы + Финансовые инвестиции + Авансы выданные + Доходы будущих периодов + Прочая дебиторская задолженность + Дебиторская задолженность дочерних товариществ) / Текущие обязательства.
МЗ - товарно-материальные запасы
КО - краткосрочные обязательства.
Также данный коэффициент может быть рассчитан сл. образом:
Ктл=ТА/КО,
где: Кпл2;
ТА - текущие активы
КО - краткосрочные обязательства.
Коэффициент текущей ликвидности БТАИ представлен на рисунке 6:
Ктл2011 = 51 933 075 / 1 255 846=41,35
Ктл2012= 72 588 970 / 1 582 468,= 45,87

Рисунок 6 Коэффициент текущей ликвидности БТАИ по состоянию на 01 января 2011 и 2012 годов
Уменьшение данного коэффициента в декабре месяце связано со снижением кредитного портфеля и денежных средств на корреспондентских счетах, а также увеличением текущих обязательств Компании. В целом, на основе рассчитанных показателей можно сделать вывод: уровень ликвидности БТАИ стабилен и не имеет подозрений.
Следует обратить внимание, что БТАИ ведет рациональную политику, выбрав для себя оптимальный вариант соотношения денежных средств, быстрореализуемых активов и активов, приносящих доход.
Прежде чем перейти к группе показателей прибыльности, рассмотрим структуру активов и пассивов банка и их изменения, которая дана ниже в таблице 5.
Таблица 5 Структура активов и пассивов БТАИ 2011-2012 гг.
|
БАЛАНС |
|
Анализ дата тек. года |
Анализ дата тек. года |
|
Наименование |
код |
01/01/11 |
01/01/12 |
|
А К Т И В |
|||
|
ТЕКУЩИЕ АКТИВЫ |
|
|
|
|
Товарно-материальные запасы: |
|
25 755 |
9 257 |
|
Материалы (20) |
100 |
25 755 |
9 257 |
|
Незавершенное производство (21) |
101 |
0 |
0 |
|
Товары (22) |
102 |
0 |
0 |
|
Готовая продукция (221) |
110 |
0 |
0 |
|
Прочие (223) |
120 |
0 |
0 |
|
Дебиторская задолженность |
|
|
0 |
|
Дебиторская задолженность |
|
0 |
0 |
|
Задолженность покупателей и заказчиков (30) |
130 |
47 683 302 |
70 129 830 |
|
Дисконт по займам, предоставленным клиентам |
|
|
|
|
Дебиторская задолженность дочерних зависимых товариществ (32) |
140 |
0 |
0 |
|
Прочая дебиторская задолженность (33) |
150 |
692 267 |
951 394 |
|
в том числе: |
|
|
0 |
|
НДС (331) |
151 |
0 |
0 |
|
- созданы провизии |
152 |
-512 589 |
-1 577 233 |
|
Общая провизия |
|
-230 008 |
0 |
|
Расходы будущих периодов (34) |
160 |
125 |
4 625 |
|
Авансы выданные (35) |
170 |
0 |
0 |
|
Финансовые инвестиции (40) |
180 |
2 598 616 |
2 769 748 |
|
Денежные средства (41,42,43,44,45) |
|
1 332 678 |
528 572 |
|
в том числе: |
|
|
0 |
|
-денежные средства на р/счете (44) |
191 |
1 332 654 |
528 569 |
|
-денежные переводы в кассе (451) |
192 |
24 |
3 |
|
-денежные средства на валютном счете (431) |
193 |
0 |
0 |
|
-денежные средства на валютном счете (423) |
194 |
0 |
0 |
|
Прочие текущие активы |
220 |
0 |
0 |
|
Итого (текущие активы) |
|
51 933 075 |
72 588 970 |
|
Итого (текущие активы-КП) |
|
6 147 364 |
2 459 140 |
|
доходный актив |
|
51 101 983 |
71 850 914 |
|
ДОЛГОСРОЧНЫЕ АКТИВЫ |
|
|
|
|
Нематериальные активы: |
|
|
|
|
первоначальная стоимость (10) |
102 |
16 880 |
17 098 |
|
амортизация (11) |
110 |
-6 039 |
-8 784 |
|
остаточная стоимость |
|
10 841 |
8 314 |
|
Основные средства |
|
|
|
|
первоначальная стоимость (12) |
|
160 890 |
249 181 |
|
Земля 121 |
|
0 |
0 |
|
Здания и сооружения 122 |
|
22 346 |
22 144 |
|
Машины и оборудование 123 |
|
83 085 |
144 852 |
|
Транспортные средства 124 |
|
12 475 |
15 058 |
|
Другие виды основных средств -125 |
|
42 984 |
67 127 |
|
амортизация (13) |
152 |
40 926 |
83 137 |
|
остаточная стоимость |
|
119 964 |
166 044 |
|
Земля - 121(0) |
|
0 |
0 |
|
Здания и сооружения - 122 (0) |
|
18 257 |
15 895 |
|
Машины и оборудование - 123 (0) |
|
54 698 |
87 358 |
|
Транспортные средства-124 (0) |
|
14 484 |
9 393 |
|
Другие виды основных средств -124,125 (0) |
|
36 543 |
53 398 |
|
Незавершенные строительства (126) |
191 |
0 |
0 |
|
Инвестиции (14) |
192 |
0 |
0 |
|
Долгосрочная дебиторская задолженность |
193 |
0 |
0 |
|
Убытки отчетного года |
194 |
0 |
0 |
|
I. Основные средства, введенные в эксплуатацию за счет централизованных источников и переданных дочерним предприятиям безвозмездно (321.05,322.02) |
|
0 |
0 |
|
Итого (долгосрочные активы) |
|
130 805 |
174 358 |
|
ВСЕГО АКТИВЫ |
|
52 063 880 |
72 763 328 |
|
П А С С И В |
|||
|
I.СОБСТВЕННЫЙ КАПИТАЛ |
|
|
|
|
Уставный капитал (50) |
300 |
3 000 000 |
5 615 004 |
|
Дополнительно оплаченный капитал (53) |
330 |
|
0 |
|
Дополнительно неоплаченный капитал (54) |
340 |
0 |
0 |
|
Резервный капитал (55) |
350 |
1 432 883 |
2 500 184 |
|
нераспределенный доход (непокрытый убыток): |
|
0 |
0 |
|
-предыдущих лет (562) |
360 |
0 |
0 |
|
-отчетного года (561) |
370 |
1 110 439 |
1 697 789 |
|
Основные средства, введенные в эксплуатацию за счет |
380 |
0 |
0 |
|
Итого (собственный капитал) |
|
5 543 322 |
9 812 977 |
|
ДОЛГОСРОЧНЫЕ ОБЯЗАТЕЛЬСТВА |
|
|
|
|
Долгосрочные кредиты (60) |
400 |
19 663 687 |
29 975 505 |
|
Долгосрочный субординированный долг (605) |
401 |
948 710 |
794 090 |
|
Долгосрочная кредиторская задолженность |
410 |
24 651 159 |
30 597 132 |
|
Отсроченные налоги |
420 |
1 156 |
1 156 |
|
Итого (долгосрочные обязательства) |
|
45 264 712 |
61 367 883 |
|
ТЕКУЩИЕ ОБЯЗАТЕЛЬСТВА |
|
|
|
|
Краткосрочные кредиты (60) |
440 |
0 |
0 |
|
Кредиторская задолженность (63): |
450 |
0 |
0 |
|
в том числе: |
|
|
0 |
|
НДС (633) |
451 |
0 |
0 |
|
Кредиторская задолженность дочерним зависимым товариществам(64) |
460 |
0 |
0 |
|
Прочие расчеты по платежам (65) |
470 |
4 284 |
9 304 |
|
Авансы полученные (66) |
480 |
504 726 |
575 268 |
|
Расчеты с поставщиками и подрядчиками (67) |
490 |
0 |
0 |
|
Расчеты с персоналом по оплате труда (681) |
500 |
109 |
102 |
|
Начисленная задолженность по отпускам работников (685) |
510 |
0 |
0 |
|
Прочая кредиторская задолженность (62.68) |
520 |
2 283 |
127 303 |
|
Доходы будущих периодов |
|
0 |
0 |
|
Прочие расчеты по начисленным вознаграждениям |
|
744 444 |
870 491 |
|
Прочие (68) |
530 |
0 |
0 |
|
Итого (текущие обязательства) |
|
1 255 846 |
1 582 468 |
|
ВСЕГО ПАССИВЫ |
|
52 063 880 |
72 763 328 |
Для того чтобы дать всесторонне объективную оценку состояния банка рассмотрим следующие показатели:
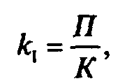
Коэффициент доходности капитала (k1), получивший в мировой практике название ROE, исчисляется как отношение чистой после налоговой прибыли банка (П) к его собственному капиталу (К) или оплаченному уставному фонду, в случае, когда капитал банка полностью принадлежит держателям акций, и определяется по формуле
(1)
или (когда капитал равен уставному фонду) - как отношение чистого дохода, приходящегося на одну акцию, к балансовой стоимости одной акции (чистый доход на одну акцию равен отношению чистой прибыли к количеству акций в обращении). Он показывает эффективность работы банка с позиции интересов его акционеров, характеризуя производительность вложенных ими средств (в последние годы средняя норма рентабельности капитала в банках США составляет 13-16%, французских - 5%, британских - 20%).
Коэффициент доходности капитала БТА Ипотека равен (показан на рисунке 7):
2011 k1=1 110 439тыс.тг/5 543 322тыс.тг =0,20 (20,03%)
2012 k1= 1 697 789 тыс.тг / 9 812 977 тыс.тг = 0,177 (17,70%)
Рисунок 7 Коэффициент доходности капитала БТА Ипотека за 2011-2012 годы
Рост дохода на средний капитал связан с тем, что чистый доход взят с нарастающим итогам, что увеличивает коэффициент. В августе, сентябре месяце уменьшения данного коэффициента связано с тем, что в июне месяце было увеличение уставного капитала.
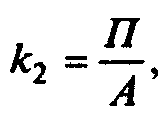
Другим важным показателем рентабельности является коэффициент прибыльности активов (k2), получивший в мировой практике название ROА, характеризующий объем прибыли, полученной на каждый тенге банковских активов. Он предназначен как для проведения анализа эффективности отдельных активных операций банка и управления банком в целом, так и для сравнительного анализа с другими банками. Его можно определить следующим образом:
(2)
где: А - средняя величина активов.
Коэффициент прибыльности активов БТАИ, приведен ниже на рисунке 8:
2011 k2=1 110 439тыс.тг/ 46 653 740тыс.тг = 0,238 (2,38%)
2012 k2= 1 697 789 тыс.тг. / 71 843 474 тыс.тг = 0.237 (2.37%)
Рисунок 8 Коэффициент прибыльности активов БТАИ за 2011-2012 годы
Рост доходности на средние активы в активном темпе в апреле, в мае и в июне месяце связано с тем, что в данных месяцах была высокая прибыль, что значительно повлияло на данный коэффициент. А в июле, августе и в сентябре месяце прибыль была незначительной, что данный коэффициент значительно не изменялся.
Недостатком указанного показателя является то, что значение прибыли по балансу за рассматриваемый период формально может возрастать за счет создания не облагающихся налогом резервов из валовой прибыли, которые уменьшают сумму налогов с оставшейся части прибыли и, следовательно, увеличивают размер самой чистой прибыли, но реального прироста ее при этом не происходит. Кроме того, высокая доходность собственного капитала может быть обратно пропорциональна его достаточности, т.е. данный коэффициент может иметь высокое значение в связи с низким уровнем собственного капитала. Показатели рентабельности показаны в таблице 6 и на рисунке 9:

Рисунок 9 Показатели рентабельности БТАИ ROА и ROЕ
Таблица 6 Характеристика рентабельности активов и капиатала БТАИ на 1 января 2011-2012 гг.
|
|
Нормативы |
1 янв 11 |
1 янв 12 |
|
Рентабельность активов (ROA) |
4,60% |
2,38% |
2,36% |
|
Рентабельность СК (ROE) |
35,00% |
29,13% |
21,02% |
Анализ: из таблицы 6 видно, что на 1 января 2012 года коэффициент прибыльности активов БТАИ уменьшился на 0,02 %, а коэффициент доходности капитала уменьшился на 8,11 % по сравнению с 1 январем 2011 года.
Невыполнение норматива ROЕ и ROA связано с недополучением прибыли в декабре месяце.
Собственный капитал АО «Ипотечная организация БТА Ипотека» на 31 декабря 2012 года составляет 5 560 629 тыс. тг.
Коэффициент достаточности собственного капитала банковского конгломерата рассчитывается следующим образом:
К = СК / А, (5)
где: К - коэффициент достаточности собственного капитала;
СК - собственный капитал банковского конгломерата;
А - сумма активов, условных и возможных обязательств участников банковского конгломерата, взвешенных по степени риска.
В нашем случае коэффициент достаточности собственного капитала АО «Ипотечная организация БТА Ипотека» по состоянию на 01 января 2011 и 2012 года составляет (приведен в таблице 7):
К2011= 5 543 322 тыс. тг / 52 063 880 тыс. тг = 0,11
К2012= 9 860 994 тыс. тг. / 72 763 328 тыс. тг = 0,13
Таблица 7 коэффициент достаточности собственного капитала БТАИ на 1 января 2011 и 2012 гг.
|
|
1 янв 11 |
1 янв 12 |
|
СК/Активы |
0,11 |
0,13 |
|
СК/Активы+забалансовые активы |
0,07 |
0,10 |
|
СК/Рисковые активы |
0,12 |
0,14 |
Анализ: из таблицы 7 видно, что на 1 января 2012 года коэффициент простых активов БТАИ увеличился на 0,02 %, коэффициент активов + забалансовые активы увеличился на 0,03 %, а коэффициент рисковых активов увеличился на 0,02 % по сравнению с 1 январем 2011 года.
Вывод: В финансовой отчетности БТАИ раскрывает каждый отдельный вид дохода, что позволяет пользователям отчета оценить эффективность работы компании. Отчет о финансовых результатах дает представление о тенденциях развития предприятия, его финансовых и производственных возможностях не только в прошлом и настоящем, но и в будущем.
В организационной структуре Компании к ТОП руководителям относятся Главный бухгалтер, Вице-президент и три управляющих Директора. В Компании разграничиваются понятия функциональной и административное подчинение. Т.е. каждый из сотрудников имеет собственного руководителя, но при выполнении определенных задач он также ответственен перед функциональным руководителем Координирующим данный процесс. Организационная структура Компании приведена ниже на рисунке 10:
Рисунок 10 Организационная структура АО «БТА Ипотека»
2.2 Оценка стимулирования труда и мотивации в АО «БТА Ипотека»
Основная задача АО «БТА Ипотека» в области управления персоналом обеспечение Компании высококвалифицированными кадрами, способными выполнять поставленные цели и задачи. Реализация стратегии включает в себя решение таких вопросов, как определение ключевых показателей эффективности для всех подразделений Компании, создание систем подбора, обучения, аттестации и расстановки кадров в соответствии со стратегическими задачами, стоящими перед Компанией, а также создание системы оценки и мотивации персонала. Большое значение придается формированию единых корпоративных ценностей для всех сотрудников. Развитие корпоративной культуры, воспитание командного духа, создание коллектива единомышленников, стремящегося к достижению поставленных целей, является важным этапом в осуществлении поставленных стратегических задач.
Кадровая стратегия АО «БТА Ипотека» основывается на следующих базовых принципах, разделяемых всеми подразделениями и Региональными представительствами», как организационной системы:
- Компания рассматривает персонал, как человеческий ресурс, способный обеспечить ей конкурентные преимущества и достижение лидерских позиций при условии планирования и обеспечения его оптимального использования, развития и качества;
- управление персоналом основывается в первую очередь на преобладании экономических и социально-психологических способов и составляет одну из важнейших функций управления АО «БТА Ипотека» на всех иерархических уровнях управления. При этом линейное руководство делегирует службам управления персоналом определенные полномочия в области работы с персоналом, оставляя за собой право принятия решения в пределах установленной компетенции;
- персонал АО «БТА Ипотека» рассматривается как капитал, приобретенный в ходе конкурентной борьбы, а расходы на персонал - как долгосрочные инвестиции в развитие АО «БТА Ипотека»;
- персонал АО «БТА Ипотека» является носителем ее корпоративной культуры и ценностей и во многом способствует созданию положительного обобщенного образа Компании» (Corporate image), способствующего созданию потенциала, идентификации и поддержки, атмосферы доверия, приемлемости и благорасположенности общества к деятельности АО «БТА Ипотека» на региональном, государственном и международном уровнях;
- Компания, как работодатель, и персонал выступают как социальные партнеры, разделяющие цели производства и способы их достижения, определяемые стратегией и стратегией АО «БТА Ипотека». Компания обеспечивает своему персоналу удовлетворение социальных, духовных и материальных потребностей в соответствии с вкладом каждого из сотрудников в достижение целей и задач АО «БТА Ипотека»;
- Компания ориентируется на установление длительных трудовых отношений с каждым сотрудником, основанных на соблюдении требований трудового законодательства и позволяющих сотруднику полностью реализовывать имеющуюся систему профессиональной компетентности, а также совершенствовать ее в направлениях, определяемых потребностями АО «БТА Ипотека» и уровнем должностной компетенции сотрудника;
- управление персоналом АО «БТА Ипотека» реально интегрировано в общекорпоративную стратегию. Руководство служб управления персоналом в полной мере участвует в процессе подготовки корпоративной стратегии, а не только в ее реализации.
Реализация кадровой стратегии в АО «БТА Ипотека» определяет наличие двух этапов, для каждого из которых характерна постановка и реализация своей группы целей (таблица 8).
Таблица 8 Реализация кадровой стратегии в АО «БТА Ипотека»
|
На первом этапе основной целью реализации является обеспечение экономической эффективности управления персоналом АО «БТА Ипотека». Для решения этой цели наиболее характерна постановка следующих задач: |
На втором этапе основная цель кадровой стратегии - обеспечение социальной эффективности управления персоналом АО «БТА Ипотека». Основными задачами этого этапа являются: |
|
|
|
|
|
Компания уделяет внимание и системе социально-материальной поддержки работников. Социальная поддержка оказывается работникам Компании с целью создания благоприятных условий для их эффективной работы, удержания и привлечения высококвалифицированных работников. Компания обязательно проверяет наличие основания и объективной необходимости оказания социальной поддержки работнику. Сумма средств на оказание материальной помощи включается в ежегодно утверждаемый бюджет Компании в порядке, установленном внутренними регламентирующими документами Компании. Работникам за счет средств Компании могут выплачиваться следующие виды материальной помощи:
- для оздоровления при предоставлении оплачиваемого ежегодного трудового отпуска в размере не более 2 (двух) месячных заработных плат;
- в связи с рождением/усыновлением/удочерением ребенка, - в размере не более 1 (одной) месячной заработной платы работника. В случае если оба родителя являются работниками Компании, единовременная материальная помощь выплачивается одному из них по их выбору;
- в связи со смертью работника - в размере не более 1 (одной) месячной заработной платы работника. В связи со смертью супруга/и, детей, родителей работника в размере 1 (одной) месячной заработной платы работника, но не более 10 МРЗП.
- иные случаи, по решению Президента Компании на основании заявления работника либо служебной записки руководителя структурного подразделения
Система социальной поддержки работников также включается в себя медицинское страхование. Средства на медицинское страхование расходуются на случай болезни в соответствии с договорами, заключенными в установленном законодательством Республики Казахстан порядке со страховыми организациями, либо по договорам на медицинское обслуживание с медицинскими организациями. Компания может осуществлять медицинское страхование работников на основе долевой добровольной программы медицинского страхования, которая финансируется за счет средств Компании и Работника, желающего получить более широкий выбор медицинских услуг. Порядок и условия долевого участия работника в добровольной программе медицинского страхования определяются внутренним регламентирующим и/или иным документом Компании.
Система оплаты труда Компании основывается на следующих принципах:
- условия оплаты труда устанавливаются таким образом, чтобы мотивировать работников к эффективной деятельности и должны быть конкурентными для привлечения высококвалифицированных специалистов;
- система оплаты труда должна быть прозрачной и понятной;
- уровень оплаты должен зависеть от достижения Компанией в целом и отдельными работниками согласованных целей и задач.
Ну конечно, в БТА Ипотеке есть еще одно условие повышения производительности труда программа стимулирования. Как и во всех организациях, уполномоченным органом или уполномоченным лицом утверждается схема оплаты труда, штатное расписание. Система оплаты труда работников Компании предусматривает определение размера заработной платы для каждой должности, исходя из возложенных должностных обязанностей, уровня ответственности, требуемого уровня квалификации и необходимых знаний. Интересным отличием хотел бы отметить деление оклада на две части:
- постоянная часть (75%), которая является гарантированным денежным вознаграждением Работника за выполнение закрепленных за ним должностных обязанностей и выплачивается ежемесячно в полном объеме;
- переменная часть (25%) которая является ежемесячной выплатой и определяется по результатам выполнения работ, исполнительской и трудовой дисциплины Работника за отчетный период (один месяц). Данное соотношение показано на рисунке 11:

Рисунок 11 Система оплаты труда работников в АО «БТА Ипотека»
Руководство Компании, руководители структурных подразделений вправе снижать размер переменной части выплаты за:
- ненадлежащее исполнение функциональных обязанностей;
- действия, повлекшие за собой финансовый ущерб, неисполнение плановых работ;
- нарушения трудовой дисциплины.
Система оплаты труда Компании предусматривает премирование работников по итогам отчетного квартала при наличии средств в бюджете Компании. Персонал премируется по итогам квартала за выполнение показателей премирования, выполнения плана работы, надлежащие исполнение должностных обязанностей, выполнения поставленных перед работником целей и задач, соблюдения работниками трудовой дисциплины.
Размер премии определяется по формуле:
П = ЗП * К,
где: П - размер премии;
ЗП заработная плата за месяц, рассчитанная пропорционально фактически отработанному времени за отчетный период;
К коэффициент премирования по итогам оценки деятельности за отчетный квартал.
За выполнение внеплановых работ лимит фонда премирования административных сотрудников может быть увеличен на основании ходатайства курирующего Топ-руководителя по решению Президента Компании в пределах экономии фонда премирования.
Для отдельных подразделений Компании разработаны бонусные системы оплаты труда.
В период кредитования Компания использовала бонусную систему для кредитных офицеров и аналитиков, а также для ипотечных брокеров и агентов.
- Бонусная система для кредитных офицеров и аналитиков. В данном случае для каждой из категорий устанавливался план. Дополнительно к утвержденному окладу за каждый заключенный договор сотрудник получал бонус 1 (к примеру 1000 тенге). В случае, если сотрудник превышал установленный план, за каждый договор сверхплана он получал бонус 2 (к примеру 1500 тенге).
- Бонусная система для сотрудников, привлекающих ипотечных брокеров и агентов. Для данной категории использовалась аналогичная система бонусирования. Отличием было только размер бонуса1 и бонуса2. Первоначально привлечение ипотечных брокеров и агентов шло очень медленными темпами. В течение 3 лет объем продаж через сеть брокеров и агентов составляло не более 5 7 %. С момента создания системы бонусирования как для сотрудников, так и для самих брокеров и агентов объемы продаж начали стремительно расти. В 2007 2008 году (на 2 год внедрения системы) Годовой объем портфеля «созданного» ипотечными брокерами и агентами составлял порядка 27%. Данный показатель так и не был достигнут ни одним Казахстанским банком.
- Бонусная система для ипотечных брокеров и агентов. Суть данной системы заключался в определении классификации брокеров и агентов в зависимости от объема и качества портфеля. В зависимости от своей категории брокеры могли претендовать на скидки в услугах, рекламном содействии, и конечно по итогам отчетных периодах материальном обеспечении офисов.
Данные системы позволили достичь невероятных объемов продаж (Напомню, Компания входила в тройку финансовых учреждений по объему портфеля ипотечных кредитов, в числе которых были самые крупные Банки РК). На данный момент компания не отказалась от применения бонусных систем. Они используются в Управлении проблемных кредитов, Управлении претензионно-исковой работы. Данные системы бонусирования также предусматривают ряд нормативов по различным категориям. При достижении норматива сотрудники получают утвержденный бонус, при снижении показателя (к примеру, проблемных займов 1 категории) размер бонуса увеличивается.
Затраты на оплату труда занимают значительный удельный вес в себестоимости оказанных услуг. В соответствии с таблицей 9 мы видим, что затраты на оплату труда в АО «БТА Ипотека» составляют 21,1 %.
Таблица 9 Структура затрат в себестоимости услуг 2012 г., в %.
|
|
% |
|
Материальные затраты |
54,8 |
|
Затраты на оплату труда |
21,1 |
|
Отчисления на социальные нужды |
8,2 |
|
Амортизация основных фондов |
4,2 |
|
Прочие затраты |
11,6 |
В соответствии с таблицей 9 можно рассмотреть основные факторы, формирующие расходы на оплату труда.
Прежде всего, формирование расходов на оплату труда зависит от категорий работников, поскольку оплата труда сотрудников в большей степени подвержена влиянию объема оказанных услуг (при сдельной оплате труда), или отработанного времени (при повременной оплате труда). Оплата труда служащих производится по установленным должностным окладам, т.е. напрямую не связана с объемом производства.
Переменная часть расходов на оплату труда включает оплату по сдельным расценкам, выплаты премий сдельщикам и повременщикам, т.к. последние осуществляются за достижения лучших показателей по выполнению работ, и часть отпускных, относящуюся к переменной части оплаты труда.
Прежде всего, указанные виды оплат зависят от объема выполненных работ. Чем он больше, тем больше оплаты начисляется сотрудникам. Объемный фактор действует совместно со структурным, т.е. с изменением удельных весов отдельных видов работ, имеющих большую или меньшую трудоемкость и соответственно оплату за единицу продукции, что приводит к изменению начисленной оплаты труда. Проведем анализ расходов на оплату труда по АО «БТА Ипотека» таблица 10.
Таблица 10 Среднесписочная численность работников и заработная плата АО «БТА Ипотека» за 2011-2012 гг.
|
ПОКАЗАТЕЛИ |
за отчетный период 2012 г. |
За период предыдущего 2011 года |
|
410 |
380 |
|
расходы на оплату труда, тг. |
2940000 |
2324000 |
|
объем работ и услуг в сопоставимых ценах, тг. |
14000000 |
10104347 |
|
затраты на оплату труда на 1 тг. услуг |
4.76 |
4.34 |
По сравнению с предыдущим годам объем выполненных работ возрос на 38%, а расходы на оплату труда увеличены при этом на 27%
Поскольку в современных условиях хозяйствования повышения расходов на оплату труда тесно связано с ростом цен на работы, услуги, то представляют интерес данные на оплату труда на 1 тенге выполненных работ в действующих ценах. Из таблицы 11 видим, что уровень расходов на оплату труда повысился на 616 000 тенге, что свидетельствует о повышении трудоемкости работ.
|
Показатели |
Базовый |
Отчетный |
изменение затрат |
||
|
период |
период |
всего |
в т.ч. за счет |
||
|
2011 г. |
2012 г. |
сред. спис. числ-ти |
Средней з/пл |
||
|
1. Расходы на оплату труда, тыс. тг. |
2324 |
2940 |
+616 |
+320 |
+296 |
|
2. Среднесписочная численность |
166 |
196 |
+ 30 |
- |
- |
|
3. Средняя заработная плата, тг. |
14000 |
15000 |
+1000 |
- |
- |
Таблица 11 Анализ влияния отдельных факторов на изменение расходов на оплату труда в АО «БТА Ипотека» в 2011-2012 гг.
В качестве базового периода взят предыдущий год. Как уже отмечалось, величина расходов на оплату труда увеличена на 616 тыс. тенге.
При этом среднесписочная численность увеличена на 30 человек, что при неизменной заработной плате одного работника могло привести к увеличению расходов на оплату труда на 320 тыс. тенге. Однако в отчетном периоде произошел рост средней заработной платы работников на 1000 тенге, следствие чего расходы были увеличены еще на 296 тыс. тенге.
Основная заработная плата начисляется в зависимости от принятых на предприятии форм оплаты труда. То есть, может быть, сдельная оплата труда, повременная или контрактная. Основная заработная плата согласно действующему трудовому законодательству не должна выплачиваться работникам не реже, чем два раза в месяц.
Дополнительная заработная плата начисляется на основании документов, подтверждающее право работника на оплату за неотработанное время. К таким выплатам относятся: оплата основного, дополнительного или учебного отпуска; компенсация за неиспользованный отпуск; выплаты выходного пособия при увольнении; выплаты при направлении работника на курсы повышения квалификации; оплата времени выполнения государственных обязанностей; прочие выплаты согласно действующему законодательству.
Выплаты работнику дополнительной заработной платы производятся в сроки, определенные действующим законодательством.
Все перечисленные выплаты рассчитываются на основе среднего заработка. Во всех случаях средний заработок на день его выплаты не может быть менее установленного федеральным законом минимального размера.
Приведем анкетирование работников банка. Целью анкетирования является выявление общей удовлетворенности.
При этом различают общую удовлетворенность (в анкете этот вид удовлетворенности оценивается через ответы на вопросы 1 -"Удовлетворены ли вы в общем и целом своей жизнью?" и 2 - "Удовлетворены ли вы в целом своей нынешней работой?") и частную удовлетворенность отдельными сторонами трудового процесса, например, "Удовлетворены ли вы организацией труда на Вашем предприятии?" (вопрос 9); "Удовлетворяет ли вас продуктивность труда работников предприятия?" (12) и т.д.
На эти вопросы даны 5 вариантов ответов, средний из которых является нейтральным и выражается такими ответами, как "Не могу сказать, удовлетворен или нет" либо "Большинство затрудняется определить свою позицию".
Этому ответу присваивается нулевое значение. Тогда, второй ответ оценивается (+1), первый - (+2), третий - (-1) и четвертый - (-2). "
При обработке анкеты суммируется количество респондентов, ответивших по тому или иному варианту и определяется индекс I удовлетворенности по следующей формуле:
(+2) * N1 + (+1) * N2 +(0) * N3 +(-1) * N4 +(-2) * N5
I = ----------------------------------------------------------------------
N
где: (+2), (+1), (0), (-1), (-2) - шкала удовлетворенности;
Ni - число респондентов, ответивших на данный вариант;
N - общее число респондентов.
1. Удовлетворены ли вы своей жизнью?"
1. Вполне удовлетворен - 2 человек.
2. Скорее удовлетворен, чем нет - 2 человека.
3. Не могу сказать, удовлетворен или нет - 3 человека.
4. Скорее неудовлетворен - 4 человека.
5. Совершенно неудовлетворен - 1 человек.
Тогда индекс удовлетворенности составит - 0,25 из расчета:
(+2) * 2 + (+1) * 2 + (0) * 3 + (-1) * 4 + (-2) * 1
------------------------------------------------------------ = - 0,25
12
Индекс удовлетворенности очень низкий, что говорит о плохом состоянии мотивации трудовой деятельности.
2. Удовлетворены ли вы в целом своей нынешней работой?
1. Вполне удовлетворен - 2 чел.
2. Скорее удовлетворен, чем нет 2 чел.
3. Не могу сказать, удовлетворен или нет 3 чел.
4. Скорее неудовлетворен 4 чел.
5. Совершенно неудовлетворен 1 чел.
Индекс удовлетворенности составит:
(+2) * 2 + (+1) * 2 + (0) * 3 + (-1) * 4 + (-2) * 1
------------------------------------------------------------ = - 0,25
12
Индекс удовлетворенности очень низкий, что говорит о плохом состоянии мотивации трудовой деятельности.
4. А как бы вы оценили уверенность в завтрашнем дне у персонала вашей организации?
1. Большинство вполне уверено 0 чел.
2.Большинство скорее уверено, чем нет 4 чел.
3. Большинство затрудняется определить свою позицию 5 чел.
4. Пожалуй, большинство не уверено 2 чел.
5.Болыпинство совершенно не уверено в завтрашнем дне 1 чел.
Индекс удовлетворенности составит:
(+2) * 0 + (+1) * 4 + (0) * 5 + (-1) * 2 + (-2) * 1
------------------------------------------------------------ = 0
12
Индекс удовлетворенности равен нулю, что показывает неустойчивую уверенность в завтрашнем дне
6. Как бы вы оценили положение дел на вашем организации?
1. Положение дел на предприятии очень хорошее 0 чел.
2. Скорее хорошее, чем нет 5 чел.
3. Затрудняюсь оценить 2 чел.
4. Скорее плохое, чем хорошее 5 чел.
5. Определенно плохое
Индекс удовлетворенности составит:
(+2) * 0 + (+1) * 5 + (0) * 2 + (-1) * 5 + 0 * 1
------------------------------------------------------------ = 0
12
Индекс удовлетворенности также равен О, что говорит о неустойчивой оценке положения дел на предприятии
7. Как бы вы оценили конкурентоспособность продукции на вашей организации?
1. Конкурентоспособность продукции высокая 5 чел.
2. Конкурентоспособность средняя 3 чел.
3. Затрудняюсь оценить 4 чел.
4. Скорее продукция неконкурентоспособна 0 чел.
5. Определенно неконкурентоспособная 0 чел.
Индекс удовлетворенности составит:
(+2) * 5 + (+1) * 4 + (0) * 3 + (-1) * 0 + 0 * 0
------------------------------------------------------------ = +1,17
12
Индекс удовлетворенности равен +1,17, что говорит о высокой конкурентоспособности продукции предприятия
8. Как бы вы оценили отношение работников вашей организации к тем условиям, в которых они работают?
1. В целом отношение положительное. Большинство довольны существующими условиями 1 чел.
2. Отношение скорее положительное, чем отрицательное 5 чел.
3. Затрудняюсь сказать 2 чел.
4. Отношение скорее отрицательное, чем положительное 3 чел.
5. В целом отношение отрицательное. Большинство недовольны сложившимися условиями - 1 чел.
Индекс удовлетворенности составит:
(+2) * 1 + (+1) * 5 + (0) * 2 + (-1) * 3 + 0 * 1
------------------------------------------------------------ = +0,33
12
Индекс удовлетворенности также равен +0,33, что говорит об общей удовлетворенности условиями работы
9. Удовлетворены ли вы организацией труда на вашем предприятии?
1. Вполне удовлетворен 0 чел.
2. Скорее удовлетворен, чем нет 3 чел.
3. Не могу сказать, удовлетворен или нет 3 чел.
4. Скорее неудовлетворен 5 чел.
5. Совершенно неудовлетворен 1 чел.
Индекс удовлетворенности составит:
(+2) * 0 + (+1) * 3 + (0) * 3 + (-1) * 5 + 0 * 1
------------------------------------------------------------ = -0,17
12
Индекс удовлетворенности также равен -0,17, что говорит об общей неудовлетворенности организацией труда
12. Удовлетворяет ли вас нынешняя продуктивность труда работников предприятия ?
1. Вполне удовлетворяет 2 чел.
2. Скорее удовлетворяет, чем нет 3 чел.
3. Затрудняюсь сказать 2 чел.
4. Скорее не удовлетворяет 3 чел.
5. Совершенно не удовлетворяет 2 чел.
Индекс удовлетворенности составит:
(+2) * 2 + (+1) * 3 + (0) * 2 + (-1) * 3 + (-2)* 2
------------------------------------------------------------ = 0
12
Индекс удовлетворенности также равен 0, что говорит о нестабильной оценке продуктивности труда
33. А вас лично устраивает величина ваших заработков (зарплата плюс премии)?
1. Да, устраивает 0 чел.
2. Скорее да, чем нет 5 чел.
3. Не могу сказать 2 чел.
4. Пожалуй, не устраивает 2 чел.
5. Совершенно не устраивает 3 чел.
Индекс удовлетворенности составит:
(+2) * 0 + (+1) * 5 + (0) * 2 + (-1) * 2 + (-2) * 3
------------------------------------------------------------ = -0,25
12
Индекс удовлетворенности равен -0,25, что говорит об общей неудовлетворенности величиной заработка
Блок вопросов об идеальной для себя работе разбивается на 4 подгруппы, каждая из которых включает определенный перечень вопросов и в соответствии с предложенной ранее гипотезой дает представление об идеальной работе, как работе, направленной в первую очередь на:
1. Содержание работы - (вопросы NN 13,20,23,25).
2. Общественную полезность (NN 15,19,24).
3. Оплату труда (NN 14,17,22).
4. Статус работника (NN 18,21,26).
В этот перечень не включен ответ на вопрос под N 16, который является антимотивационным и означает отсутствие трудовой мотивации.
Эти подгруппы объединяются в 2 группы, первая из которых включает 1 и 2 подгруппу, и направлена на ценностную ориентацию, а 2-я включает 3 и 4 подгруппы и имеет прагматическую ориентацию.
По каждой группе рассчитывается среднее количество баллов.
Полученные по каждому респонденту баллы суммируются по группам и делятся на количество вопросов в группе. Так, суммарное количество баллов, например, по первой группе делится на 7, а по второй группе на 6. Средние баллы по каждому респонденту по группам позволяют отнести его к тому или иному типу мотивации: если средний балл по первой группе выше среднего балла по второй группе, то респондент относится к первому типу мотивации -ценностная ориентация. Если наоборот, то у него в основном прагматическая ориентация и III тип мотивации. При равном количестве баллов он относится ко II типу мотивации с нейтральной ориентацией.
Респондентов следует классифицировать по типам мотивации. Результаты могут быть оформлены в таблицу (таблица 12) в зависимости от ориентации (ЦО - ценностная ориентация; ПО - прагматическая ориентация).
Таблица 12 Классификация респондентов по типам мотивации
|
№ |
ЦО |
ПО |
Тип мотивации |
|
1 |
2,71 |
2,67 |
I |
|
2 |
2,28 |
2,17 |
I |
|
3 |
2,28 |
2,17 |
I |
|
4 |
2,43 |
2,67 |
III |
|
5 |
2,43 |
2,0 |
I |
|
6 |
2 |
3 |
4 |
|
7 |
2,43 |
2,17 |
I |
|
8 |
2,86 |
2,5 |
I |
|
9 |
2,71 |
2,67 |
I |
|
10 |
2,28 |
2,17 |
I |
|
11 |
2 |
3 |
4 |
|
12 |
2,0 |
2,83 |
III |
Для определения силы мотивации полученное количество баллов по каждому респонденту корректируется на оценку в баллах ответа на 16 вопрос (минусуется как антимотивационный) и затем делится на общее количество вопросов в данном блоке (14).
Сила мотивации определяется по следующим критериям: - если средний балл находится в диапазоне от 3 до 2,4 включительно, то это сильная мотивация; - при среднем балле в диапазоне 2,39 до 1,6 включительно средняя мотивация и - при среднем балле от 1,59 до 1 - слабая мотивация.
Классифицируем респондентов по силе и типу мотивации и сведем данные в таблицу 13.
Таблица 13 Классифицикация респондентов по силе и типу мотивации
|
Средний бал |
Сила мотивации |
Тип мотивации |
|
|
1 |
2,0 |
Средняя |
1 |
|
2 |
1,43 |
Слабая |
III |
|
3 |
2,14 |
Средняя |
III |
|
4 |
2,14 |
Средняя |
I |
|
5 |
1,85 |
Средняя |
III |
|
6 |
2,07 |
средняя |
III |
|
7 |
2,36 |
средняя |
I |
|
8 |
2,36 |
средняя |
I |
|
9 |
1,86 |
средняя |
I |
|
10 |
2,5 |
средняя |
Ш |
|
11 |
1,93 |
средняя |
I |
|
12 |
2,11 |
средняя |
II |
Таблица 14 Результаты обработки анкет
|
№№ и варианты вопросов |
№№ |
Средний |
|
|
подгруппы |
группы |
Балл |
|
|
1 |
2 |
. 3 |
4 |
|
13. Хорошая работа - это |
1 |
I |
2,46 |
|
самостоятельная работа, позволяющая |
|||
|
решать самому, что и как делать. |
|||
|
14. Хорошая работа позволяет получить |
3 |
II |
2,27 |
|
жилье, устроить ребенка в хороший |
|||
|
детский сад, получить путевку. |
|||
|
15. Работа - наш долг перед обществом. |
2 |
I |
1,6 |
|
Любая работа хороша, если она |
|||
|
необходима. |
|||
|
16. Хорошая работа должна оставлять |
- |
- |
|
|
время и силы, чтобы пользоваться всем, |
|||
|
что даем жизнь. |
|||
|
17. Хорошая работа та, которая дает |
3 |
П |
2,67 |
|
хороший заработок. |
|||
|
18. Если тебя окружают люди, с |
4 |
П |
2,42 |
|
которыми можно общаться, - это |
|||
|
хорошая работа. |
|||
|
19. Хорошая работа та, которая дает возможность приносить пользу людям. |
2 |
I |
2,5 |
|
20. Хорошая работа та, которая позволяет всесторонне использовать свои знания и способности. |
1 |
I |
2,73 |
|
21. Хорошая работа та, которая дает возможность продвижения по службе. |
4 |
II |
. 2,42 |
|
22. Хорошая работа обеспечивает достаток в доме, возможность приобретать, что хочется. |
3 |
П |
2,67 |
|
23. Хорошая работа - это прежде всего интенсивная работа, доставляющая удовольствие. |
1 |
I |
2,75 |
|
24. Хорошая работа позволяет выпускать продукцию, пользующуюся спросом. |
2 |
I |
2,55 |
|
25. Хорошая работа заставляет повышать квалификацию, пополнять знания. |
1 |
I |
2,67 |
|
26. Хорошая работа та, которая дает возможность заслужить уважение окружающих. |
4 |
П |
2,58 |
На основе средних баллов производится ранжирование ценностей труда таким образом, что ценности, получившие равные баллы, делят ранги между собой. Результаты ранжирования заносятся в таблицу (таблица 15).
Таблица 15 Ранжирование ценностей труда на основе результатов обработки по средним баллам
|
Ранг |
Ценности труда |
Ср. балл |
|
1 |
2 |
3 |
|
1 |
«Хорошая работа - это прежде всего интересная работа, доставляющая удовольствие. |
2,75 |
|
2 |
«Хорошая работа та, которая позволяет всесторонне применять свои знания и способности. |
2,73 |
|
3-5 |
«Хорошая работа та, которая дает хороший заработок. |
2,67 |
|
3-5 |
«Хорошая работа обеспечивает достаток в доме, возможность приобретать, что захочется. |
2,67 |
|
3-5 |
«Хорошая работа заставляет повышать квалификацию, пополнять знания. |
2,67 |
|
6 |
«Хорошая работа та, которая дает возможность заслужить уважение окружающих. |
2,58 |
|
7 |
«Хорошая работа позволяет выпускать продукцию, пользующуюся спросом. |
2,55 |
|
8 |
«Хорошая работа та, которая дает возможность приносить пользу людям. |
2,50 |
|
9 |
«Хорошая работа - это самостоятельная работа, позволяющая решать самому что и как делать. |
2,46 |
|
10-11 |
«Если тебя окружают люди, с которыми можно общаться - это хорошая работа. |
2,42 |
|
10-11 |
«Хорошая работа та, которая дает возможность продвижения по службе. |
2,42 |
|
12 |
«Хорошая работа позволяет получить житье, устроить ребенка в детский сад, получить путевку и т.д. |
2,27 |
|
13 |
«Работа - наш долг перед обществом. Любая работа хороша, если она необходима. |
1,67 |
На основе этой таблицы выделяются приоритетные ценности труда.
Все факторы, влияющие на удовлетворенность работников, были разделены на две группы: поддерживающие и мотивирующие (таблица 16). Согласно этому подходу поддерживающие (или удерживающие) факторы создают необходимые (но не достаточные) условия для высокой удовлетворенности работников. Вместе с тем, мотивирующие факторы способны существенно увеличить удовлетворенность этих же работников при соблюдении всех необходимых условий. Стало быть, и те, и другие имеют определенное влияние на общую оценку удовлетворенности, однако степень этого влияния может различаться для разных сотрудников и профессиональных групп. Все факторы, используемые в предлагаемой методике, перечислены ниже в таблице 9.
В разработанной анкете сотрудникам предлагалось вначале оценить степень важности для них каждого из указанных факторов в баллах от 0 («совсем неважно») до 10 («критически важно»). Затем полученные балльные оценки использовались для вычисления корректирующих коэффициентов, отражающих относительную важность или «долю» каждого фактора в общей удовлетворенности работника. Эти коэффициенты рассчитываются путем нормирования исходных оценок важности факторов и представляют собой набор чисел от 0 до 1, дающих в сумме 1.
Таблица 16 Факторы, влияющие на удовлетворенность работников
|
Поддерживающие факторы |
Мотивирующие факторы |
|
|
Далее удовлетворенность работника по каждому фактору в отдельности оценивается по следующей шкале (таблица 17):
Таблица 17 Шкала удовлетворенности работников
|
Совершенно не удовлетворен |
Не удовлетворен |
Скорее не удовлетворен, чем удовлетворен |
Удовлетворен |
Совершенно удовлетворен |
|||||
|
1 |
2 |
3 |
4 |
5 |
6 |
7 |
8 |
9 |
10 |
Чтобы учесть отношение сотрудника к каждому из этих факторов, полученные оценки удовлетворенности (от 1 до 10) умножаются на корректирующие коэффициенты и затем складываются. В результате получаем индекс удовлетворенности работника.
Поскольку опрос сотрудников выполняется анонимно, перечисленные выше коэффициенты вычисляются для определенных профессиональных групп и/или подразделений организации. Выше приведены результаты оценки удовлетворенности персонала АО «БТА Ипотека».
Из таблицы видно, что средняя удовлетворенность сотрудников по всем категориям персонала находится в интервале от 6 до 7 баллов, что не влияет существенно на производительность и качество труда, но, тем не менее, согласно введенной шкале индексы удовлетворенности все-таки немного ниже нормы. Практически это выражалось в пассивности и равнодушии, преобладающих у большинства сотрудников (предприятие напоминало «плохо надутый мяч»), что и подтвердилось впоследствии результатами более глубокой организационной диагностики.
На мотивацию сотрудников БТА И влияют следующие факторы:
Непосредственно влияют (группа А):
А 1: Так как в банке труд изначально носит коллективный характер, то каждый сотрудник осознаёт важность хорошего климата в рабочей группе, также они прекрасно понимают свою зависимость от финансового состояния банка, его клиентов, имиджа.
А 2: Компьютерные технологии постоянно обновляются, новые программы сокращают время многих банковских операций, но вызывают проблему обучения сотрудников старшего возраста.
А 3: Степень всех сотрудников банка чрезвычайно высока, вся их работа в какой-то степени связана с рисками, а их последствия сказываются на банке в целом, поэтому менеджеры банка пытаются стимулировать заинтересованность в максимально возможном безошибочном проведении операций и взвешенном принятии решений, кроме того поощряется принятие положительно результативных решений.
А 4: На характер, содержание и качество деятельности работников особое влияние оказывают специфические (особые) факторы в процессе труда. Так, на вопрос "Часто ли Вы ощущаете негативные психические состояния (стресс, сильное утомление, раздражительность и т.д.), связанные с Вашей работой?" ответ "достаточно часто" дали каждый третий операционист и руководитель, и каждый пятый специалист отдела. Негативные психические состояния наименее свойственны специалистам (практически никогда их не ощущают 8,33% опрошенных). Причина такого показателя в том, что работа специалиста отдела меньше связана с принятием ответственных решений (по сравнению с руководителями); и в меньшей степени имеет место работа с людьми, с наличными деньгами и т.д.
Из негативных факторов у специалистов на первом месте (21,22%) - неравномерная загруженность в течение дня (месяца, года); например, в период сдачи отчётности и подведения финансовых и экономических итогов работа специалистов более интенсивна, чем в течение года. Высокая степень ответственности имеет место в работе каждого пятого руководителя высшего и среднего звена управления. Из общих для всех категорий работников факторов превалируют длительная работа на компьютере, монотонность и др. Операционисты часто работают в режиме сверхурочного времени, типичны и традиционны переработки: "выключить компьютер" можно лишь подведя все итоги, сведя балансы своего участка работы. В некоторые дни, когда банк работает в режиме "аврал", рабочий день может увеличиваться на несколько часов, если это необходимо для заключения операционного дня.
Клиенты нередко в обычных операционистах видят главных исполнителей и инициаторов всех бед. Это выражается и в агрессии по отношению к операционистам, выражении неудовлетворенности их работой, и в негативном настрое в целом.
Косвенно влияют (группа Б):
Б 1: Высокая степень заинтересованности всех работников в качественном обслуживании клиентов банка, в повышении конкурентоспособности банка, а, следовательно, и в улучшении своего собственного благосостояния.
Б 2: Поддерживаются горизонтальные связи между отделами и подразделениями банка, которые носят как формальный, так и неформальный характер, это восполняет недостаток информации и способствует взаимообогащению знаниями об общей ситуации в банке. Происходит регулярный обмен аналитическими и прогностическими материалами между подразделениями.
Б 3: Так как в основе банковской деятельности лежит квалифицированный интеллектуальный труд, то происходит регулярная подготовка персонала. В таблице 18 рассмотрены слабые и сильные стороны предприятия.
Таблица 18 SWOT-анализ внутренней среды персонала «АО БТА Ипотека»
|
Методы управления персоналом в коммерческом банке |
Значимость |
Возможности |
Оценка |
Угрозы |
оценка |
разница между оценками |
|
|
Сильные |
1.Экономические |
5 |
Повышение мотивации |
5 |
Страх сотрудников потерять работу |
3 |
2 |
|
2.Организационные |
5 |
Улучшение жизни сотрудников |
3 |
Рост стоимости жизни |
3 |
0 |
|
|
2.1эффективные формы контроля |
4 |
Повышение ответственности сотрудников |
4 |
Страх работников не оправдать доверие |
3 |
1 |
|
|
2.2оптимальное использование человеческих ресурсов |
5 |
Универсальность сотрудников |
3 |
Перегрузка работников |
3 |
0 |
|
|
2.3Применение новых технологий |
5 |
Снижение количества времени затрачиваемого на каждую операцию |
5 |
Угроза «отставания в развитии» персонала старшего возраста |
3 |
2 |
|
|
3.Социально-психологические |
5 |
Повышение образовательного и культурного уровня работников |
5 |
Угроза недооценки каждого сотрудника |
1 |
4 |
|
|
Итого |
25 |
16 |
9 |
||||
|
Слабые |
1.Монотонная и длительная работа с компьютером |
4 |
Быстрая физическая и психологическая утомляемость |
5 |
Снижение работоспособности |
5 |
0 |
|
2.Неравномерная загруженность рабочего дня |
5 |
Возможность возникновения стрессовых ситуаций |
4 |
Ухудшение здоровья сотрудников |
4 |
0 |
|
|
Итого |
9 |
9 |
0 |
Из данных отраженных в таблице видно, что сильные стороны превосходят слабые и у Компании есть хорошие возможности выйти из проблемных ситуаций и улучшить существующие методы мотивации персоналом.
Компания имеет сеть региональных представительств (в 16 крупнейших городах Казахстана). Штат сотрудников представлен 419 специалистами, из которых 250 работают в Центральном офисе Компании. Характеристика персонала приведена в таблице 19, а также на рисунке 12.
Таблица 19 Половозрастная характеристика персонала 2012 года в АО "БТА Ипотека"
|
Возраст (лет) |
Мужчины уд.вес(%) |
Женщины д.вес(%) |
Всего уд.вес(%) |
|
16-18 |
5 |
7 |
6 |
|
18-25 |
23 |
26 |
25 |
|
25-35 |
33 |
32 |
32 |
|
35-45 |
29 |
28 |
29 |
|
45-60 |
7 |
6 |
7 |
|
Старше 60 |
3 |
- |
1 |
|
ИТОГО |
100 |
100 |
100 |
Анализ: из таблицы 19 видно, что в Компании преимущественно работают сотрудники, чей воззраст колебелется от 25 до 35 лет.
Рисунок 12 Возрастная характеристика персонала АО "БТА Ипотека"
Количество сотрудников в каждом подразделении утверждаются при планированиии бюджета. При появлении вакантно места Компания объявляет конкурс на вакантное место. Возможные источники для заполнения вакансии определяются ОУП (отдел управления персоналом): внутренние резервы компании (перемещение и продвижение сотрудников), кандидаты по рекомендации, по объявлениям в СМИ, по объявлениям на сайте компании, кандидаты из рекрутинговых и кадровых агентств. как среди сотрудников Компании, так и в средствах масовой информации.
По завершению адаптационного периода и испытательного срока Отдел по управлению персоналом проводит аттестацию на знание сотрудником регламентирующих документов обязательных к исполнению всеми сотрудниками Компании. К таковым относятся:
- Основы ипотеки;
- Стандарты качества обслуживания;
- Кодекс корпоративной этики;
- Положение о конфиденциальности информации
Также для успешного завершения испытательного срока учитывается мнение непосредственного руководителя. Руководителю необходимо заполнить «Оценку успешности прохождения адаптации» (приложение А). Новый сотрудник также заполняет анкету «Самооценка результатов адаптации» (приложение Б). При положительном результате аттестации и одобрении непосредственного руководителя испытательный срок завершается. В случае, если по каким - либо причинам сотрудник увольняется (отрицательные результаты испытательного срока, по собственным желаниям, по статься КЗОТ, и т.п.) сотрудник заполняет «Анкету при увольнении» (приложение С).
Все эти анкеты анализируются Отделом по управлению персоналом с целью оптимизации системы управления персоналом. Учитывая низкую текучесть персонала можно отметить, что действующая система «работает».
В компании разработана система проведения обучения, повышения квалификации персонала. В таблице 20 и на рисунке 13 отображена образовательная характеристика персонала АО «БТА Ипотека».
Таблица 20 Образовательная характеристика персонала
|
Образование |
Мужчины уд.вес (%) |
Женщины уд.вес (%) |
Всего уд.вес (%) |
|
Средне специальное |
1 74 19 6 100 |
2 78 17 3 100 |
1,5 76 18,5 4 100 |
|
Высшее |
|||
|
2 высших |
|||
|
3 высших |
|||
|
Итого |
Анализ: из таблицы 20 видно, что в Компании преимущественно 80 % сотрудников имеют высшее образование, остальные 20 % имеют средне специальное, 2 и 3 высших образования.

Рисунок 13 Образовательная характеристика персонала
Помимо получения стабильного дохода, каждый уважающий себя сотрудник хочет и дальнейшего развития. Компанией предусмотрено два варианта обучений возмещаемый и не возмещаемый. Если обучение проводятся бизнес тренерами Компании данное обучение возмещению не подлежит. Обучение, проводимое посредством привлеченных бизнес тренеров, подлежит возмещению. Суть возмещения заключается в необходимости отработки в Компании определенное время (в зависимости от стоимости обучения и должности сотрудника). В случае увольнения сотрудника до отработки, сотрудник обязан оплатить стоимость, рассчитанную с учетом отработанного периода.
Выводы по главе:
1. В АО «БТА Ипотека» уделяется внимание социальной защите работников, присутствует материальное стимулирование работников, участие в прибылях. Положительным моментом является уделение большого внимания моральным формам стимулирования, которые немаловажны для работников: организация питания, транспорт с полным обслуживанием, выделение средств на организацию дошкольного воспитания детей.
2. В ходе устного опроса была выявлена неудовлетворенность оплатой труда, неуверенность в сохранении за собой рабочего места, что не способствует сформированию нормального психологического климата и психологическому состоянию каждого работника в отдельности.
3. Что касается численного состава банка, то можно заметить, что коэффициент постоянства состава кадров имеет низкое значение. Из этого следует вывод о том, что уровень текучести кадров на данный момент не вызывает опасений.
4. Для успешной работы банка и для работы с клиентами имеются все необходимые технические возможности. По организационному уровню заметим, что в среднем, количество подчиненных соответствует стандартной норме управляемости.
5. Анализ функций управления персонала показал невыполнение многих функций из основных. Наверное, выполнение всех функций в полном объеме необязательно, однако такие ключевые, как эффективный подбор кадров, управление конфликтами и стрессами, разработка стратегии управления персоналом, а также сформирование резерва кадров на выдвижение обязательно должны выполняться.
6. Анализ мотивации персонала банка показал, что на уровне ценностного и практического сознания сотрудники относятся к прагматической ориентации. Ранжирование ценностей труда показало, что первое место было отдано хорошей работе, как интересной, доставляющей удовольствие, с хорошим заработком.
7. Индексы удовлетворенности показали достаточно низкую удовлетворенность сотрудников своей работой и неудовлетворенность размерами оплаты труда. И все-таки разработка системы мотивации персоналом может иметь в своей основе разработку системы оплаты труда в соответствии с профессиональными и личностными качествами работника, а также внедрением системы премирования.
8. Проанализировав систему стимулов, используемых для мотивации работников, были сделаны выводы об уделении недостаточного внимания поддержанию нормального психологического климата, многих материальных форм стимулирования деятельности работников банка.
3 Совершенствование системы мотивации персонала на примере АО «БТА Ипотека»
3.1 Проблемы мотивации труда на казахстанских предприятиях
Итак, в первую очередь, следует определить, что хочет получить от работы тот или иной человек. Это может быть не только денежное вознаграждение, но и социальная защищенность, принадлежность к известной компании, хорошая рабочая обстановка, удовлетворение от интересной для него работы, высокое качество жизни, возможность продвижения по карьерной лестнице, принадлежность к определенной социальной группе, желание приносить пользу людям. Таким образом, первым этапом мотивационной стратегии компании должна быть выработка системы мероприятий, направленных на изучение потребностей персонала.
Следующим шагом мотивационной стратегии должно было определение тех форм стимулирования персонала, которые организация может использовать в своей деятельности. Здесь важно понять, что фирма может позволить себе применять только те меры мотивационного воздействия, использование которых принесет ей реальную прибыль. Затраты на дополнительное стимулирование работников не должны превышать той отдачи, которую компания получит от их применения. Можно разработать гигантские программы стимулирования труда, однако они не принесут никакого эффекта, если не будут правильно адресованы. Таким образом, создание "корпоративного духа" становится важнейшим звеном программы мотивации любого коллектива.
Другим фактором, безусловно оказывающим влияние на эффективность труда работников, является обстановка внутри компании. Перечисленные выше условия являются необходимыми для создания атмосферы заинтересованности в работе в данной компании. Без их выполнения невозможно рассчитывать на привлечение и сохранение высококвалифицированных специалистов, и на высокую отдачу со стороны работников. Однако наличия этих элементов недостаточно для создания эффективной мотивационной стратегии компании. Следует разработать специальные меры стимулирования труда работников.
Вопрос формирования общих форм стимулирования персонала вплотную соприкасается с понятиями "корпоративного духа" и "корпоративной культуры". Для руководителя очень важно "нарисовать" психологический портрет всего коллектива. Это поможет правильно оценить те общие потребности, которые могут быть эффективно удовлетворены организацией. Такой вид мотивации обходиться компании не так дорого, а отдача от него порой бывает очень значительной, так как, помимо удовлетворения потребностей отдельных работников, коллективные формы стимулирования способствуют сплоченности коллектива, формированию "корпоративного сознания", что, несомненно, сказывается на производительности труда. Среди тех форм стимулирования, которые следует рекомендовать для применения:
- организация питания внутри компании;
- оплата транспортных расходов;
- медицинское обслуживание;
- помощь в получении дополнительного образования;
- программы страхования;
- организация корпоративных пенсионных и сберегательных фондов;
- проведение физкультурно-оздоровительных мероприятий;
- организация совместных поездок.
Несмотря на то, что мы рассмотрели множество средств стимулирования персонала, именно эти способы являются наиболее распространенными. Однако, здесь необходим особый подход. Руководству компании необходимо разработать такую стратегию, которая позволяла бы соблюсти баланс между следующими противоположными интересами компании:
- Обеспечение стабильного дохода сотрудников компании, то есть поддержание гарантированной оплаты труда на должном уровне.
- Выделение большого объема средств для дополнительного поощрения наиболее эффективно работающих сотрудников.
Сложность здесь заключается в том, чтобы правильно определить ту долю фонда оплаты труда, которая предназначена для регулярных выплат, при этом оставив достаточно средств для дополнительных выплат. Наиболее перспективной здесь является практика участия в прибылях, поскольку она поощряет работника так строить свою работу, чтобы принести компании максимальную пользу. Важно также создать финансовые ориентиры для каждого сотрудника. Для этого следует отражать все возможные дополнительные материальные вознаграждения в контрактах работников или приложениях к ним и ставить их получение в прямую зависимость от достижения сотрудником тех или иных целей.
Задача менеджера, в случае применения экономической мотивации, заключается в разработке премиальной схемы выплат за производительность, системы сдельной оплаты или трудовых соглашений. Эта задача отнюдь не проста, так как ситуация в каждой фирме уникальна и, следовательно, премиальная система должна быть уникальной для каждого случая. Она также зависит от специализации персонала. Так совершенно неэффективно вводить сдельную премиальную систему производственным рабочим на фирмах с динамичным производственным процессом, ориентированным, главным образом, на работу под заказ. Не все способы экономического поощрения могут оказать мотивационное воздействие на сотрудников, однако, существует несколько основных положений о премиях, которые не затрагивают специфику фирмы и являются универсальными, которые указаны в таблице 21.
Таблица 21 Способы экономического стимулирования различных групп персонала
|
Персонал |
Вознаграждения |
|
Специалисты управления |
|
|
Сотрудники отделов |
|
|
Секретарь |
|
|
Управляющий отделом |
|
Ими должен руководствоваться менеджер при внедрении методов экономической мотивации:
- премии не должны быть слишком общими и распространенными, поскольку в противном случае их будут воспринимать просто как часть обычной зарплаты в обычных условиях;
- премия должна быть связана с личным вкладом работника в производство, будь то индивидуальная или групповая работа;
- должен существовать какой-либо приемлемый метод измерения этого увеличения производительности;
- работники должны чувствовать, что премия зависит дополнительных, а не нормативных усилий;
- дополнительные усилия работников, стимулированные премией должны покрывать затраты на выплату этих премий.
Сопоставление наиболее распространенных систем заработной платы, используемых в развитых странах, по условиям, преимуществами и недостаткам их применения представлено в таблице 22.
Таблица 22 Сравнительная характеристика систем заработной платы
|
Система |
Условия |
Преимущества |
Недостатки |
|
1. Повременная оплата |
Используется там, где трудно измерить и контролировать качество/ количество труда или где производительность далека от критической |
Проста, легко реализуется и легко начисляется, обеспечивает хорошие отношения с работниками |
Плохо стимулирует, терпима к плохим производственным результатам |
|
2. Сдельная оплата |
Используется для специфических видов работ, когда высоко значение денежного вознаграждения |
Вознаграждение непосредственно связано с результатами |
Источник конфликтов и недовольств, если не гарантирует минимального дохода |
|
3. Ставка + надбавка за высокие индивидуальные результаты (в виде премии, комиссионных и т. п.) |
Используется там, где труд можно измерить, деньги мотивируют, система принимается работниками и понятна им |
Хорошо мотивирует, так как непосредственно связана с вознаграждением, способствует росту производства |
Сложна в использовании, способствует конфликтам, не способствует росту групповой отдачи |
|
4. Ставка + надбавка на группу (за показатели работы бригады, цеха, отдела) |
Используется там, где трудно определить индивидуальные показатели и где хорошая атмосфера в рабочих группах |
Хорошая мотивация при условии, что связь между усилиями и надбавкой воспринимается на индивидуальном уровне |
Сложности в использовании из-за неравных индивидуальных усилий, что может вызвать некритичность к слабым показателям |
|
5. Ставка + надбавка по результатам работы всей фирмы (на основе общекорпоративного критерия) |
Хороший климат в отношениях администрации с работниками, стимулирующий сотрудничество |
Обеспечивает перемены, способствует более широкой вовлеченности работников в дела фирмы |
Нечеткая связь между индивидуальным вкладом и вознаграждением, возможно влияние неучтенных факторов |
|
6. Премиальная надбавка в соответствии с заслугами работника. Исчисляется по единой методике (например, на основе стажа или рейтинга) |
Используется там, где трудно с оценкой конечного результата или и ситуациях, когда на результат оказывает действие множество факторов |
Стимулирует не только производственные но и другие значимые для фирмы показатели, способствуют взаимодействию |
Трудно сформулировать общую методику, которая обеспечит сопоставимость неоднородных случаев, велика вероятность субъективности |
|
7. Участие в прибылях в соответствии с оценками финансовых показателей фирмы |
Используется там, где публикуются показатели финансовой деятельности и где имеется участие работников в делах фирмы |
Обеспечивает идентификацию работников с делами фирмы, вознаграждение оказывается связанным с конъюнктурой рынка |
Не существует четкой связи между вознаграждением и индивидуальным вкладом, вознаграждение зависит от факторов, на которые работники не могут влиять |
Каждая система оплаты труда имеет свои особенности, преимущества и недостатки. Это значит, что выбор системы нельзя рассматривать и использовать изолированно от остальных направлений работы с персоналом. Это касается построения работ (работа в группах или индивидуальная), обучения, подготовки и профессионального продвижения работников фирмы и др.
Приведенный список не является исчерпывающим (такой список по отмеченным выше причинам составить практически невозможно). Однако он демонстрирует принципиальную разницу подхода к разработке систем экономического стимулирования по группам персонала. Из него видно, что, например, система вознаграждения за сверхурочную работу обладает значительно большей универсальностью, чем схема долевого участия в бизнесе. Можно предложить три формы повышения квалификации сотрудников (таблица 23).
Таблица 23 Формы повышения квалификации сотрудников
|
1.Повышение квалификации сотрудника в рамках его прежней профессиональной специализации. Данную форму обучения следует использовать при централизованных изменениях в системах бухгалтерского учёта и налогообложения, при появлении на соответствующих рынках новых технологий обслуживания клиентов, при переходе на новый тип межбанковских коммуникаций и т.п. В этом случае необходима своевременность, предельная корректность и рациональная стоимость обучения. Например, при корректировке налогообложения банковской деятельности, слушателям должны быть чётко изложены лишь чисто практические изменения в механизме исчисления соответствующего налога (в идеальном варианте и возможности по минимизации этих выплат), но никак не теория фискальной системы. |
|
2.Повышение профессиональной квалификации сотрудника путём освоения им знаний и практических навыков работы в смежных с его базовой специализацией областях финансовой деятельности. |
|
3.Стажировка в других кредитных организациях, в том числе зарубежных, как возможность овладеть не столько теоретическими знаниями, сколько практическими навыками. Как самостоятельное направление этой формы обучения выступает стажировка на рабочих местах в других структурных подразделениях самой кредитной организации. Чтобы помочь банку минимизировать расходы на повышение квалификации и переподготовку персонала и одновременно повысить эффективность внутрибанковской системы обучения можно предложить вариант подготовки сотрудников банка на основе использования возможностей дистанционного обучения. |
Регулярность повышения квалификации определяется специализацией и должностным положением конкретного специалиста. Мне представляется целесообразным ориентироваться на зарубежный опыт, определяющий следующую среднюю периодичность повышения квалификации по базовым категориям персонала:
- руководители высшего и среднего звена - раз в три года;
- руководители нижнего звена - раз в пять лет;
- ведущие специалисты линейных подразделений - раз в два года;
- исполнители (за исключением обслуживающего персонала) - раз в шесть лет.
Контроль над результатом повышения квалификации или переподготовки методически достаточно сложен, т.к. сам процесс обучения имеет краткосрочный характер (от двух дней до месяца) и не сопровождается, как правило, специальными процедурами контроля со стороны образовательного учреждения. В этих условиях контроль за качеством программ повышения квалификации могут осуществлять лишь немногие высококвалифицированные специалисты линейных подразделений банка, которые в обязательном порядке должны посетить хотя бы несколько подобных семинаров и дать своё заключение об их уровне. В меньшей степени, но всё же могут использоваться рейтинговые оценки со стороны сотрудников банка, прошедших через курсы повышения квалификации в конкретном образовательном учреждении. При этом можно использовать следующую градацию оценок, которая приведена ниже в таблице 24.
Таблица 24 Форма заключительного контроля прохождения сотрудниками дополнительного обучения (повышения квалификации).
|
№ |
Оцениваемый параметр |
Границы оценки |
Ваша личная оценка |
|
1 |
Профессиональная полезность семинара |
0-10 |
|
|
2 |
Профессиональная компетентность преподавателя |
0-5 |
|
|
3 |
Информационная насыщенность курса |
0-7 |
|
|
4 |
Качество раздаточного материала |
0-3 |
|
|
ИТОГО |
При средней суммарной рейтинговой оценке более 20 баллов качество программы можно признать хорошим, ниже 15- неудовлетворительным.
Рассмотрим проблемы мотивации труда казахстанских предприятий на примере нефтегазовых компаний. Нефтегазовые компании страны через организацию своего производства обеспечивают не только развитие экономики Казахстана, но и реализацию социальных программ государства. Ведущими компаниями отрасли являются АО «НК «КазМунайГаз», «Аджип ККО» и ТОО «Тенгизшевройл», но и в других, более чем в 30-ти нефтегазовых предприятиях Казахстана исследование опыта управления персоналом является полезным, на наш взгляд, для всех остальных производственных предприятий других отраслей страны, формирующих ее экономический потенциал, национальную конкурентоспособность и государственную безопасность. Потому, что в нефтегазовых компаниях сконцентрировался комплексно-национальный и зарубежный опыт кадрового менеджмента, так как большинство данных компаний являются совместными с зарубежными партнерами предприятиями, а также потому, что в нефтегазовой отрасли Казахстана в 2007г. было занято 116,9 тыс. человек или 2,6% общего трудового потенциала страны и 15,97% общего количества работников, осуществляющих свою трудовую деятельность на промышленных предприятиях республики.
Анализ системы управления персоналом в нефтегазовых компаниях Казахстана, проведенный в диссертации, показал, что система кадрового менеджмента в каждой компании своя и является индивидуальной. Однако наблюдаются общие для всей отрасли черты и характеристики, к которым можно отнести следующие:
в нефтегазовых компаниях больше, чем на предприятиях других отраслей уделяется внимание развитию мотивации у персонала;
в крупных компаниях уже созданы определенные элементы участия системы управления персоналом в его профессиональной подготовке и переподготовке, в решении отдельных социальных проблем для наиболее полезных производству сотрудников. Основанием для данного утверждения может служить анализ комплекса методов управления персоналом, существующего у отдельных нефтегазовых компаний РК (таблица 25).
Однако анализ существующей организационно-экономической системы управления персоналом в нефтегазовых компаниях выявил и отрицательные моменты осуществления данного процесса. Исследования показали, что в компании «Аджип ККО», ведущей строительство нефтеперерабатывающего завода «Болашак» на месторождении «Батыс-Ескен» нарушаются конституционные права казахстанских рабочих: работа осуществляется по 60 часов вместо 40, не обеспечена безопасность и охрана труда, допущено в 2008 г. пять несчастных случаев, из которых два со смертельным исходом, по которым вина руководства компании доказана полностью.
Таблица 25 Комплекс методов управления персоналом нефтегазовых компаний Республики Казахстан
|
№ п/п |
Наименование компаний |
Методы управления |
|||||||
|
Жесткость организационных мер |
Зависимость основного оклада от результатов труда |
Наличие надбавок к заработной плате |
Наличие премий |
Наличие бонусов |
Наличие социальной помощи |
||||
|
в образовании |
сохранении здоровья |
в решении жилищно-коммунальных проблем |
|||||||
|
1 |
АО «Мангистауммунайгаз» |
* |
+ |
+ |
+ |
+ |
|
+ |
|
|
2 |
ТОО «СП Арман» |
* |
|
|
+ |
|
|
|
|
|
3 |
АО «КазахойлЭмба» |
* |
+ |
|
+ |
|
|
+ |
|
|
4 |
ТОО «Тенгизшевройл» |
* |
+ |
+ |
+ |
+ |
+ |
+ |
+ |
|
5 |
Аджип ККО |
* |
|
|
|
|
|
|
|
|
* наличие сильного влияния фактора как метода управления + наличие соответствующих мер управления отсутствие соответствующих мер управления |
|||||||||
|
Примечание авторские исследования |
Не во всех нефтегазовых компаниях Казахстана проводится прогнозное планирование обеспечения кадрами в будущем, не везде служба управления персоналом активно участвует в выработке управленческих решений, вовремя осуществляет формирование состава кадрового резерва.
В некоторых компаниях предпочтение отдается больше зарубежным специалистам, чем населению Казахстана. Есть в данных компаниях примеры нарушения трудового законодательства страны в области формирования социального партнерства и использования коллективных трудовых договоров.
Тем не менее, почти во всех нефтегазовых компаниях Республики Казахстан экономическая мотивация построена ступенчато и это можно отметить как положительный момент в их системе управления персоналом, поскольку первой ступенью определена базовая оплата труда, а последующими надбавки за профессионализм, опыт, качество и интенсивность труда в виде премий, бонусов и разовых выплат. Для этого практически во всех компаниях создана система нормативов трудоемкости и минимального режима труда, создающая свою структуру мотивации персонала к эффективному труду (таблица 26).
Особое место в управлении персоналом в нефтегазовых компаниях Казахстана отводится выбору рациональной организационной системы управления в виде структуры соподчиненности и состава производственных служб, а также выбору способов формирования корпоративной культуры. Однако повсеместно в Казахстане появилась закономерность, что результаты труда работников никак не связаны с результатами деятельности компаний и что практически работники отстранены от принятия управленческих решений, слабо информированы о финансовых итогах функционирования своих предприятий.
Таблица 26 Структура мотивации в виде доходов и динамика показателей по труду отдельных нефтегазовых компаний РК
|
Показатели |
Тексако Норc Бузачи ИНК |
АО «Анако» |
Аджип ККО |
||||||
|
годы |
годы |
годы |
|||||||
|
2006 |
2007 |
2007 в % к 2006 |
2006 |
2007 |
2007 в % к 2006 |
2006 |
2007 |
2007 в % к 2006 |
|
|
1 |
2 |
3 |
4 |
5 |
6 |
7 |
8 |
9 |
10 |
|
Основная заработная плата, в % к итогу Надбавки за выслугу лет, профессионализм, в % к итогу Премии, в % к итогу Оплата отпусков, в % к итогу Материальная помощь, в % к итогу Итого общая сумма экономических стимулов, в % |
48,0 19,6 18,0 7,2 7,2 100 |
49,1 22,3 17,1 7,0 4,5 100 |
102,3 113,8 95,0 97,2 62,5 |
62,4 12,0 18,6 7,0 100 |
62,5 12,0 18,2 7,3 100 |
100,2 100 97,8 104,3 |
78,1 15,1 6,8 100 |
78,3 15,5 6,2 100 |
100,2 102,6 91,2 |
|
Число принятых на работу, чел. Число уволенных по всем причинам, чел. Число уволенных по собственному желанию, чел. Коэффициент прибытия Коэффициент текучести Выработка (производительность), тонн: за 1 час за 1 день в среднем на 1 работника, млн. т. |
16 15 5 0,02 0,08 802 4849 1298 |
12 9 4 0,01 0,06 814 4931 1319 |
75,0 60,0 80,0 68,2 75,0 101,5 101,7 101,6 |
9 7 6 0,06 0,07 798 4415 1308 |
8 8 7 0,04 0,08 802 4428 1311 |
88,9 114,3 116,7 67,0 112,9 100,5 100,3 100,2 |
21 23 20 0,1 0,1 769 4218 1264 |
22 24 21 0,12 0,14 770 4269 1265 |
104,8 104,3 105 120 140 100,1 101,2 100,1 |
|
Примечание авторские расчеты по оперативным данным компаний |
В нефтегазовых компаниях Казахстана все больше усиливается авторитарность управления и не всегда ясно, за что может быть повышена заработная плата или выплачена премия. Это позволило разработать в исследовании авторский SWOT-анализ деятельности служб управления персоналом в нефтяных компаниях Республики Казахстан (таблица 27).
Таблица 27 SWOT-анализ систем функционирования кадровых служб нефтегазовых компании Казахстана
|
Слабые стороны |
Сильные стороны |
|
- плохая организация кадрового планирования; - недостаточное участие кадровых служб в мотивации персонала; - недостаточное участие кадровых служб в подготовке кадров, их обучение и создании трудового потенциала; - небольшой спектр функций; - слабое участие в управлении предприятием; - отсутствие связи планов развития персонала с общими планами развития компаний; - отсутствие плана адаптации к возможным рыночным изменениям; - слабая связь с учебными заведениями, готовящих нужных специалистов. |
- наличие определенных социальных программ, привлекательных для персонала; - лучшая, чем в других отраслях, экономическая мотивация; - наличие определенных методов отбора и аттестации кадров; - четкая организация работ в рамках задач компаний; -наличие элементов организационной культуры; - наличие обучающих программ у некоторых нефтегазовых корпораций; -постепенное установление крупными компаниями обратной связи с учебными заведениями. |
|
Угрозы |
Возможности |
|
- возможности замены кадров более молодыми специалистами; - тенденции к увеличению потенциала экспорта иностранных специалистов; - рост перспектив потери собственного национального трудового потенциала; - уменьшение влияния на эффективность использования трудовых ресурсов; - рост отсутствия возможностей влиять на эффективность использования ресурсного потенциала в будущем; - отсутствие связи работников с развитием производственного капитала в виду их отчуждения от собственности; - отсутствие участия работников в управлении производственной деятельностью компании; - не до конца рационально сформированные организационные структуры управления (ОСУ). |
- развитие мотивации у молодёжи к овладению профессиями нефтегазового комплекса; - расширение функций кадровых служб в направлении развития прав и обязанностей, полномочий и власти; - создание условий для участия в принятии оптимальных управленческих решений на плановой основе; - формирование план - заказов на подготовку молодых специалистов; - создание системы ранжирования оценки качества использования труда и использования в экономической и социальной мотивации; - развитие влияния на подготовку специалистов в стране и создание этим национальной безопасности государства; - установление более развитой системы социальных стимулов к труду, влияющих на развитие приверженности работников к собственным предприятиям; - совершенствование ОСУ компаний. |
Из данного SWOT-анализа (таблица 27) видно, что основные угрозы в системе управления персоналом на нефтегазовых компаниях Казахстана находятся в области необходимости расширения власти и полномочий кадровых служб, а способы их преодоления в улучшении кадрового планирования, в совершенствовании методов оценки индивидуальных результатов труда и своевременной подготовке кадрового резерва для осуществления производственной деятельности.
Отсутствие приемлемого механизма мотивации труда сотрудников ведет к утечке квалифицированных кадров во многих компаниях. Материальное вознаграждение за профессиональные успехи должно носить систематический характер и основываться на ясных объективных критериях. Даже благополучные компании постоянно испытывают трудности, связанные с уходом грамотных и инициативных специалистов. Это свидетельствует о недостаточной проработке методики мотивации их профессионализма. Если для компаний с низким уровнем специализации труда данная проблема не актуальна, так как замена ушедшему специалисту может быть подготовлена в короткие сроки, то для инновационных и других организаций с высоким уровнем специализации решение этой проблемы имеет огромное значение.
Было проведено исследование эффективности методов стимулирования работников. Используемые компаниями формы поощрения можно разделить на несколько групп.
Первая группа:
- ценные подарки - в 64 компаниях;
- моральные поощрения (благодарности, почетные грамоты и т.п.) - в 58 компаниях;
- отгулы и дополнительные отпуска - в 40 компаниях.
Вторая группа менее распространена:
- внесение имени сотрудника в анналы истории;
- вывешивание портрета наиболее отличившихся на доску почета;
- награждение памятными значками - в 11 компаниях.
Третья группа выглядит несколько экзотично:
- 6 компаний в качестве поощрений берут у сотрудников в долг под проценты;
- 3 - предлагают сотрудникам участие в прибыли;
- 2 компании даже продают сотрудникам акции.
Если применить комплексную оценку по признаку “эффективно - дешево”, то на первом месте, по оценкам респондентов, стоят медицинское обслуживание и выдача ссуд. На втором - оплата проезда. Далее, в порядке убывания, - страхование, питание, обучение и др.
Обращает на себя внимание и то, что оценка эффективности и затратности компенсационных пакетов вызвала затруднения у весьма значительной части респондентов (от 39 до 67 %% от числа использующих по различным их составляющим).
Доля респондентов, затруднившихся с оценкой иных форм поощрения персонала гораздо ниже (от 17 до 33 %, практикующих ту или иную форму поощрения), чем попавших в это же положении при оценке компенсационного пакета (от 39 до 67 %).
Снова применив комплексную оценку по признаку “эффективно - дешево”, получим следующий рейтинг.
Самое сильное мотивирующее воздействие оказывают (в порядке убывания):
- привлечение средств персонала под %;
- моральные поощрения;
- занесение в книгу истории организации или на доску почета,
- награждение туристическими путевками, памятными значками и т.п.;
- отгулы, дополнительные отпуска и ценные подарки.
Особого комментария требуют случаи долевого участия персонала в прибыли и продажи сотрудникам акций компании.
Количество компаний, реализующих подобные программы невелико, и судя по распределению оценок, использование этих форм поощрения и мотивации только апробируется. Как следствие, у компаний нет однозначного мнения на этот счет.
Не существует единых методов мотивации персонала, эффективных во все времена и при любых обстоятельствах. Однако, любой метод, применяемый руководителем, основан на выбранной фирмой стратегии управления человеческими ресурсами.
3.2 Основные направления в повышении эффективности процесса мотивации работников АО «БТА Ипотека»
Таблица 28 - Руководитель службы управления персоналом
|
Подразделение найма и увольнения персонала |
Подразделение планирования персонала |
Подразделение развития персонала |
Подразделение труда и заработной платы |
Подразделение мотивации персонала |
|
Комплектование предприятия кадрами требуемых профессий, специальностей и квалификации |
Работа с трудящимися по вопросам найма, увольнения, перевода |
Организация аттестации, участие в разработке мероприятий по реализации рекомендаций аттестационной комиссии |
Формирование фонда заработной платы Определение норм по сдельной оплате труда Определение ставок окладов |
Качество трудовой жизни. Морально-психологический климат в коллективе |
|
Организация своевременного оформления и ведения установленной документации по кадрам |
Анализ причин текучести кадров, прогулов и других нарушений трудовой дисциплины, разработка мероприятий по их устранению |
Разработка системы материального стимулирования работников |
Определение форм и систем оплаты труда для отдельных категорий работников |
Материальное и моральное стимулирование труда |
В связи с тем, что отделом кадров не выполняются функции мотивации, у работников банка нет достаточной мотивации для эффективной работы.
Чтобы повысить мотивацию работников, необходимо ввести в структуру отдела кадров подразделение о мотивации (таблица 28).
1.ОБЩИЕ ПОЛОЖЕНИЯ
- Подразделение мотивации является структурным подразделением отдела кадров АО «БТА Ипотека»
Подразделение мотивации находится непосредственно в подчинении у руководителя службы персонала АО «БТА Ипотека», контроль за исполнением функциональных обязанностей осуществляет Руководитель
- Службы персонала АО «БТА Ипотека»
- Структура и штатное расписание Подразделения мотивации утверждаются Председателем Правления АО «БТА Ипотека» по представлению Руководителя службы персонала АО «БТА Ипотека»
- В своей деятельности сотрудники подразделения мотивации руководствуются следующими документами:
- действующими законами РК,
- указами Президента РК;
- правительственными постановлениями и распоряжениями;
- ведомственными нормативными актами;
- приказами и распоряжениями Правления АО «БТА Ипотека»;
- Уставом АО «БТА Ипотека»,
- Инструкцией по документообороту, действующей в АО «БТА Ипотека»;
- нормативными документами в области организации работы отдела кадров на предприятиях РК;
- методическими указаниями и инструкциями, разработанными в отделе кадров;
- настоящим Положением о подразделении мотивации.
2. ОСНОВНЫЕ ЗАДАЧИ
Подразделение мотивации обеспечивает надлежащее и своевременное решение задач в следующих направлениях деятельности:
2.1. Качество трудовой жизни
2.2. Морально-психологический климат в коллективе
2.3. Материальное и моральное стимулирование труда
3. ФУНКЦИИ
Подразделение мотивации выполняет следующие функции:
3.1. Изучение, анализ качества трудовой жизни;
3.2. Изучение, анализ морально-психологического климата в коллективе
3.3. Изучение, анализ систем материального стимулирования труда
3.4. Изучение, анализ систем морального стимулирования труда
Таблица 29 Комплекс мер по повышению мотивации сотрудников АО «БТА Ипотека»
|
Метод мотивации |
Суть метода |
Цель |
|
1. Финансовое вознаграждение |
||
|
1.1 Денежные выплаты за выполнение поставленных целей |
Перед каждым сотрудником будет стоять план выполнения работы, в зависимости от успешности выполнения плана будет приниматься решение о премировании по каждому сотруднику отдельно. |
Каждый сотрудник должен понимать, что только от качества его работы зависит его доход и благополучие. |
|
1.2. Участие в прибыли |
Высшее руководство получает по завершении финансового года процент от чистой прибыли компании |
Благополучие руководства напрямую зависит от успехов компании |
|
2. Нефинансовое вознаграждение |
||
|
2.1. Возможность приобретения имущества под ипотеку по сниженным процентным ставкам сотрудникам, перевыполнившим план работ в течение месяца, следующего за отчетным. |
Для работников кредитных отделов разработка плана работ не составляет труда, для офисных сотрудников и обслуживающего персонала критерием перевыполнения плана являются выполнение дополнительных заданий. |
Стремление к жизнеобеспечению удовлетворяется через возможность приобретения имущества высокого качества по сниженным ипотечным ставкам не только для себя, но и для семьи |
|
2.2. Оплата больничных, отпусков, бесплатные обеды, льготные проездные |
Все работники компании пользуются предоставляемыми компанией льготами |
У сотрудника должна быть уверенность в том, что компания проявляет о нем заботу. |
|
2.3. Возможность прохождения обучения за счет компании |
Каждый сотрудник имеет право подать заявку на прохождение обучения внутри компании или за ее пределами в целях повышения профессионализма и последующего карьерного роста. Руководство принимает решение, исходя из результатов работы сотрудника |
Возможность карьерного роста зависит только от трудолюбия и добросовестности сотрудника |
|
2.4. Корпоративные праздники |
Целесообразно проводить совместные празднования Нового года, 8 марта, Дня здоровья (летом), Дня рождения компании. |
Сотрудник должен ощущать себя членом одной команды, дружного коллектива |
|
2.5. Соревнования между отделами |
Каждый отдел может вызвать на соревнование любой другой отдел. В течение месяца комиссия оценивает качество и скорость обслуживания клиентов, точность документооборота и учета и финансового результата работы отдела. Сотрудники выигравшего отдела получают премию в размере 25% от заработной платы. |
Стимулирования деловой активности и повышения профессионализма, возможность повышения благосостояния, работа в команде. |
|
3. Делегирование |
||
|
3.1. Вознаграждение руководителя по результатам аттестации сотрудника |
Руководитель в течение 3 месяцев стремится поднять профессиональный уровень подчиненных, передавая им часть обязанностей. В конце квартала по желанию сотрудника проводится аттестация, при успешном прохождении которой, руководитель получает вознаграждение, а сотрудник попадает в резерв на повышение. |
Стимулирования деловой активности и повышения профессионализма, возможность повышения благосостояния, работа в команде. |
Таким образом, мы рассмотрели общие вопросы стратегии мотивации персонала компании. Однако для того, чтобы выработать свою программу мотивации, руководители организации должны найти свой собственный комплекс мер, которые лучше подойдут их коллективу. Ясно одно - в астоящее время добиться успеха, игнорируя проблему мотивации персонала, нельзя. Осуществление программ стимулирования труда всегда требует больших затрат, но эффект, который они могут принести, значительно больше. Ведь именно сотрудники являются главным ресурсом любой компании. Достичь наибольшей отдачи можно только в том случае, если выгоду от труда работника имеет и компания, и он сам.
Систему оплаты труда нужно превратить в систему поощрения качество и производительности. Использовать принцип долевого участия работников в доходах предприятия, что материально заинтересует трудящихся. Система материальной заинтересованности должна выстраиваться как система инвестирования в качество рабочей силы. Такие инвестиции не ограничиваются заработной платой, основной их источник - конечный доход.
С этой целью фонд оплаты труда необходимо формировать с учетом коэффициента роста эффективности работы банка.
Мной были разработаны следующие социальные выплаты и льготы, которые должны быть включены в коллективный договор и являться предметом обсуждения при заключении контрактов с сотрудниками.
1. Женщинам, имеющим детей до 3 лет, предоставляется оплачиваемый отпуск по уходу за ребенком в размере 80% основного оклада; при рождении ребенка оказывается материальная помощь семье в размере месячного оклада.
2. В целях обеспечения к моменту выхода на пенсию по старости второй пенсии, сотрудникам предприятия, достигшим 50 лет (для мужчин) и 45 лет (для женщин), банк осуществляет ежемесячные взносы в Негосударственный пенсионный фонд.
3. Для возмещения ритуальных расходов семье в случае смерти работника банка или бывшего работника банка, ушедшего на пенсию из банка, выделяется материальная помощь в размере двух окладов; для похорон близких родственников (детей, родных братьев и сестер) работнику предоставляется трехдневный отпуск с сохранением среднего заработка.
4. Работникам, впервые вступающим в брак, оказывается материальная помощь в размере месячного оклада и трехдневный отпуск с сохранением заработной платы.
5. Сотрудникам предприятия, имеющим 3 и более детей или воспитывающим детей-инвалидов, ежегодно выплачивается по два месячных оклада.
6. Молодой семье (при возрасте супругов до 30 лет), если один из ее членов проработал на фирме не менее 2 лет, предоставляется беспроцентная ссуда сроком на 10 лет в пределах социальной нормы жилищной обеспеченности (до 25 кв.м на человека общей жилой площади).
Таблица 30 Социальные выплаты и льготы
|
Категория работников |
Социальная выплата |
|
Женщины с детьми до 3 лет |
оплачиваемый отпуск по уходу за ребенком в размере 80% основного оклада; при рождении ребенка оказывается материальная помощь семье в размере месячного оклада. |
|
Работники с тремя и более детей |
ежегодно выплачивается по два месячных оклада. |
|
Пенсионеры |
Ежемесячные взносы в Негосударственный пенсионный фонд. |
|
Работники, впервые вступившие в брак |
материальная помощь в размере месячного оклада и трехдневный отпуск с сохранением заработной платы. |
|
Работники, у которых умер член семьи |
материальная помощь в размере двух окладов; для похорон близких родственников (детей, родных братьев и сестер) работнику предоставляется трехдневный отпуск с сохранением среднего заработка. |
|
Молодые семьи |
беспроцентная ссуда сроком на 10 лет в пределах социальной нормы жилищной обеспеченности (до 25 кв.м на человека общей жилой площади). |
Таблица 31 Социальные результаты совершенствования системы и технологии управления персоналом АО «БТА Ипотека»
|
Область формирования |
Социальные результаты |
Последствия принятых решений |
|
Подсистема мотивации персонала |
Обеспечение связи между результативностью и оплатой труда Обеспечение возможностей личного развития работников Формирование чувства причастности работника к банку |
Повышение удельного веса работников, выражающих удовлетворение осознанием полезности труда Повышение удельного веса работающих, выразивших удовлетворение системой вознаграждения Удельный вес работающих, выразивших удовлетворение условиями для самовыражения |
Исходя из всех отрицательных сторон работы банковского персонала, можно предложить следующее:
1. Из-за длительной и монотонной работы на компьютере сотрудники испытывают психологический и физический дискомфорт. Следовательно, снижается эффективность их работы, поэтому, чтобы снизить психологическую и физическую нагрузку, возможно введение дополнительного 10-15 минутного перерыва (помимо обязательного, установленного законом), которым сотрудник сможет распоряжаться по своему усмотрению, а также предоставление какого-либо пространства, где они могли бы отдыхать во время обеденного перерыва (комната отдыха).
2. Что касается проблемы развития персонала (квалификация), то в первую очередь необходимо изменить общий подход к организации процесса дополнительного обучения персонала переведя его на строго системную и формализованную основу. Это определяет необходимость разработки и внедрения специальной операционной подсистемы, базовыми элементами которой выступают планирование процесса дополнительной подготовки, непосредственно его организация и контроль фактических результатов. При этом необходимо определить потребность того или иного сотрудника в дополнительном обучении, подобрать для каждой конкретной категории персонала наиболее рациональную форму и методы обучения, персонифицировать ответственность службы персонала и руководителей линейных подразделений банка за реализацию установленных подсистемой задач в части сроков и общего числа обучаемых.
3. Еще один момент, недочет в системе мотивации и стимулирования персонала - наличие бонусной системы только для ряда подразделений. К примеру, в отделе Поступравления каждый из сотрудников подразделения обслуживает клиента по всем вопросам, возникающим после выдачи займа. Подразделение в центральном офисе состоит из 14 человек. При этом никто не заинтересован обслужить большее количество клиентов. Не установлены нормативы по минимальному количеству клиентов. В результате, один из сотрудников может «отлынивать» от работы, другой выполняя двойной объем, вскоре понимает не справедливость, отсутствие «вознаграждения» вскоре увольняется. Подобная текучка кадров скажется на имидже Компании, а соответственно и на её прибыли. В данном случае считаю правильным провести хронометраж по основным услугам посткредитного обслуживания и установить лимиты. При снижении объемов клиентов возможно проведение сокращения штата. А установив лимиты, у нас появляется возможность введения бонусной программы. За счет экономии в фонде оплаты труда, возможно, осуществлять выплату бонуса. Данная мера позволит избежать текучки, жалоб со стороны клиентов, а соответственно и сохранить авторитет Компании.
Также для осуществления эффективности банка необходимо:
- Сотрудничать с базовыми учебными заведениями, предоставлять будущим специалистам практику на предприятии с целью выявления высококвалифицированных кадров и в будущем привлекать их на работу в данное предприятие.
- Обновить «Программу по закреплению молодых специалистов снижению текучести кадров, омоложения кадрового состава», данная программа обеспечит профессиональную пригодность, комплексную систему эффективности персонала и создание механизма управления.
- Не допустить процесс демотивации, то есть необходимо: при приеме на работу, при собеседовании менеджер по персоналу должен описать реальную картину в АО «БТА Ипотека»; нужно дать понять сотруднику, что вы цените его знания и профессиональные навыки; поддержать идеи и инициативы; дать возможность человеку лично и профессионально расти; в любой, даже небольшой компании есть свой «командный дух», поэтому привлечение сотрудников к общим корпоративным мероприятиям усиливает их мотивацию.
- Обновить «Программу по закреплению молодых специалистов снижению текучести кадров, омоложения кадрового состава», данная программа обеспечит профессиональную пригодность, комплексную систему эффективности персонала и создание механизма управления.
Основные методы формирования и поддержания организационной культуры, которые могут быть использованы в АО «БТА Ипотека»:
- Поведение руководителя. Безусловно, руководителю следует начать с себя. Давно доказано, что люди лучше всего усваивают новые для себя образцы поведения через подражание. Руководитель должен стать примером, ролевой моделью, показывая пример такого отношения к делу, такого поведения, которые предполагается закрепить и развить у подчиненных.
- Заявления, призывы, декларации руководства. Нельзя забывать, что для закрепления желательных трудовых ценностей и образцов поведения большое значение имеет обращение не только к разуму но и к эмоциям, к лучшим чувствам работников: "Мы должны стать первыми!", "Высочайшее качество это залог нашей победы над конкурентами!", "В нашей организации работают лучшие специалисты!", "Этот год станет переломным для нашей компании".
- Реакция руководства на поведение работников в критических ситуациях. Культивируемое в организации отношение к людям, к их ошибкам особенно ярко проявляется в критических ситуациях. Это хорошо иллюстрируется на примере работника, ошибка которого обошлась компании в миллионы долларов. Будучи приглашенным к руководству, он заранее написал заявление об увольнении. Каково же было его изумление, когда ему было предложено новое ответственное направление работы. "Ваше обучение обошлось нам слишком дорого, чтобы мы разбрасывались такими работниками" услышал он от президента компании.
- Обучение персонала. Обучение и повышение квалификации персонала призвано не только передавать работникам необходимые знания, но и развивать у них профессиональные навыки. Обучение является важнейшим инструментом пропаганды и закрепления желательного отношения к делу, к организации и разъяснения того, какое поведение организация ожидает от своих работников, какое поведение будет поощряться, подкрепляться, приветствоваться.
- Развитие системы стимулирования в соответствии с потребностями работников. Принципы построения системы стимулирования и ее основная направленность должны поддерживать именно то поведение, именно то отношение к делу, те нормы поведения и рабочие результаты, в которых находит наиболее полное выражение содержание и основная направленность культивируемой и поддерживаемой руководством оргкультуры. Непоследовательность и расхождение слова и дела здесь недопустимы, поскольку даже однократное нарушение установленных принципов стимулирования сразу вызовет резкое падение доверия к политике, проводимой руководством.
- Критерии отбора в организацию. Каких работников мы хотим видеть в организации: профессионалов, обладающих необходимыми знаниями и опытом, или же для нас не меньшее значение имеет способность нового работника принять ценности и нормы поведения, уже сложившиеся в организации и составляющие ядро ее организационной культуры. Поддержание оргкультуры в процессе реализации основных управленческих функций. Значительное влияние на оргкультуру оказывает то, какое поведение персонала поддерживается, а какое угнетается при сложившейся практике управления. Насколько приветствуются руководством проявления самостоятельности и инициативы со стороны подчиненных.
- Организационные традиции и порядки. Организационная культура закрепляется и транслируется в традициях и порядках, действующих в организации, При этом на оргкультуру могут повлиять даже разовые отступления от установленного (или декларируемого) порядка. К примеру, если вдруг по каким-то причинам руководство один, другой раз не смогло провести ежемесячное подведение итогов работы с поздравлением и награждением лучших работников, то что не только нарушает установленные правила, но и показывает неготовность руководства разделять декларируемые ценности, что, естественно, снижает энтузиазм и желание персонала "выкладываться" на работе.
- Широкое внедрение корпоративной символики. Опыт лучших организаций показывает, что широкое внедрение корпоративной символики (в упаковке готовой продукции, в рекламных материалах, оформлении предприятия, транспортных средств, рабочей одежде, сувенирной продукции) положительно отражается на отношении персонала к компании, повышает приверженность работников своем организации и чувство гордости за свою организацию.
- В предложенной же для АО «БТА Ипотека» улучшенной системе мотивации персонала определяющими факторами стимулирования будут система материального стимулирования и программа управления карьерным развитием. Методы же социально-психологической мотивации носят вспомогательный, хотя и не менее важный характер.
Выводы по главе:
В рамках выделенных направлений совершенствования стимулирования персонала следует осуществить следующие мероприятия:
Для повышения экономического стимулирования существующая на АО «БТА Ипотека» сегодня система оплаты труда должна быть дополнена системой участия работников в прибыли организации и построением управления персоналом по целям, на основании достижения которых будет оцениваться эффективность труда каждого работника. Для формирования фонда участия работников в прибылях предприятия предлагается установить норматив отчислений 4,68 % от выручки предприятия. Разделение же создаваемого премиального фонда должно осуществляться по нормативам, разрабатываемым с участием работниками, чтобы быть понятными им.
Так же может быть усовершенствован действующий список социальных выплат. Дополнительными социально-экономическими выплатами и гарантиями в настоящий момент на АО «БТА Ипотека» могут стать: оплаченные праздничные дни; оплаченное время на обед; медицинское страхование на предприятии; дополнительное пенсионное страхование на предприятии; страхование от несчастных случаев; предоставление бесплатных стоянок для автомобилей; помощь в повышении образования, профподготовке и переподготовке; покупка работниками акций.
Заключение
Основной целью дипломной работы является развитие и совершенствование мотивации трудовой деятельности на примере АО «БТА Ипотека» путем проведения следующих мероприятий:
- Проведение совершенствование организационной структуры системы управления персоналом АО «БТА Ипотека».
- Проведение совершенствования системы оплаты труда
- Внедрение мероприятий по повышению социальной защищенности персонала
- Мероприятия по внедрению аттестации персонала
- Также был произведен расчет социально-экономической эффективности мероприятий по совершенствованию мотивации труда персонала в АО «БТА Ипотека»;
- и наконец, были предложены мероприятия по внедрению совершенствования управления персоналом в АО «БТА Ипотека».
В теоретической части дипломной работы были рассмотрены основные понятия и значение мотивации трудовой деятельности персонала в современных условиях. Здесь же были рассмотрены основные теории мотивационной деятельности, наиболее известные из них: содержательные и процессуальные теории мотивации.
Содержательные теории мотивации базируются на потребностях и связанных с ними факторах, определяющих поведение людей. Процессуальные теории рассматривают мотивацию в ином плане. В них анализируется то, как человек распределяет усилия для достижения различных целей и как выбирает конкретный вид поведения. Согласно процессуальным теориям поведение личности является также функцией его восприятия и ожиданий, связанных с данной ситуацией, и возможных последствий выбранного им типа поведения.
Мною были выделены также три основные процессуальные теории мотивации: теория ожиданий, теория справедливости и модель Портера-Лоулера. В частности были рассмотрены особенности каждой из моделей.
Здесь же была проведена сравнительная характеристика традиционных и современных подходов мотивации персонала.
В заключении была рассмотрена необходимость управления мотивацией персонала в практике Российских организаций путем материального и нематериального стимулирования персонала.
В аналитической части были рассмотрены вопросы связанные с анализом производственно-хозяйственной деятельности АО «БТА Ипотека».
В частности, краткая экономическая характеристика деятельности АО «БТА Ипотека», организационная структура управления АО «БТА Ипотека», проведен анализ численности и ранжирования персонала банка.
Здесь же была проанализирована система управления персоналом АО «БТА Ипотека» путем анализа организационной структуры, состава и функций системы управления персоналом АО «БТА Ипотека».
В целях более полного использования творческого потенциала личности, точного учета специфики выполняемых работ и обеспечения оптимального сочетания коллективных и личных интересов используется целая система трудовых договоров, имеющая в своем составе варианты контрактных отношений различных видов и типов, сроков действия и финансовых условий.
В АО «БТА Ипотека» уделяется внимание социальной защите работников, присутствует материальное стимулирование работников, участие в прибылях. Положительным моментом является уделение большого внимания моральным формам стимулирования, которые немаловажны для работников: организация питания, транспорт с полным обслуживанием, выделение средств на организацию дошкольного воспитания детей.
- В ходе устного опроса была выявлена неудовлетворенность оплатой труда, неуверенность в сохранении за собой рабочего места, что не способствует сформированию нормального психологического климата и психологическому состоянию каждого работника в отдельности.
- Что касается численного состава банка, то можно заметить, что коэффициент постоянства состава кадров имеет низкое значение. Из этого следует вывод о том, что уровень текучести кадров на данный момент не вызывает опасений.
- Для успешной работы фирмы и для работы с клиентами имеются все необходимые технические возможности. По организационному уровню заметим, что в среднем, количество подчиненных соответствует стандартной норме управляемости.
- Анализ функций управления персонала показал невыполнение многих функций из основных. Наверное, выполнение всех функций в полном объеме необязательно, однако такие ключевые, как эффективный подбор кадров, управление конфликтами и стрессами, разработка стратегии управления персоналом, а также сформирование резерва кадров на выдвижение обязательно должны выполняться.
- Анализ мотивации персонала банка показал, что на уровне ценностного и практического сознания сотрудники относятся к прагматической ориентации. Ранжирование ценностей труда показало, что первое место было отдано хорошей работе, как интересной, доставляющей удовольствие, с хорошим заработком.
- Индексы удовлетворенности показали достаточно низкую удовлетворенность сотрудников своей работой и неудовлетворенность размерами оплаты труда. Также исследование показало, что сотрудники не связывают заработную плату с трудовым вкладом в данном банке.
- Проанализировав систему стимулов, используемых для мотивации работников, были сделаны выводы об уделении недостаточного внимания поддержанию нормального психологического климата, многих материальных форм стимулирования деятельности работников банка.
Поэтому для сформирования и поддержания нормального психологического климата в коллективе, а также для осуществления некоторых функций управления персоналом предлагается пригласить профессионального психолога.
На основе вышеперечисленных выводов можно разработать результирующий документ аналитической части проекта, то есть задание на проектирование.
Таким образом, по результатам проведенного анализа можно сделать вывод, что у работников банка нет достаточной мотивации для эффективной работы.
Персонал банка не готов брать на себя всю полному ответственности в ходе принятия решений и их исполнения. Очевидно, большинство работников не отождествляют себя с банком в целом, не осознают желательность и полезность совпадения своих личных интересов с интересами банка.
Таким образом, с целью совершенствования мотивации трудовой деятельности в АО «БТА Ипотека» в проектной части были проведены следующие мероприятия по совершенствованию мотивации трудовой деятельности:
- Проведение совершенствование организационной структуры системы управления персоналом АО «БТА Ипотека».
- Проведение совершенствования системы оплаты труда
- Внедрение мероприятий по повышению социальной защищенности персонала
- Мероприятия по внедрению аттестации персонала
- Также был произведен расчет социально-экономической эффективности мероприятий по совершенствованию мотивации труда персонала в АО «БТА Ипотека»;
- и наконец, были предложены мероприятия по внедрению совершенствования управления персоналом в АО «БТА Ипотека».
Реализация мероприятий позволит в будущем руководству АО «БТА Ипотека» поможет создать более эффективную систему мотивации персонала, что несомненно улучшит экономическую деятельность банка с повышением основных факторов: установление норм производительности труда; оценка эффективности организации труда; изучение проблемы мотивации, вероятности конфликтов; прием на работу; определение затрат времени и средств на управление и конечно же прибыль, рентабельность.
Список литературы
- Отчетные данные АО «БТА Ипотека» за 2000-2012 годы.
- Н. Волгин. Реформирование оплаты труда - проблема неотложная / Человек и труд, №3, 2009.
- Система организации и поощрения труда (опыт методической разработки). С. Губанов // Экономист, №3, 2007.
- Бердалиев К.Б. Менеджмент: Учебное пособие. Алматы: Экономика, 2006.
- Система оплаты, которая может стимулировать эффективный труд. Н. Дмитроченко // Человек и труд, №1, 2010
- Философский энциклопедический словарь. - М.: ИНФРА-М, 2007.
- Статистический ежегодник Казахстана, 2011. Статистический сборник / Под ред. А. Е. Мешимбаевой / Агентство Республики Казахстан по статистике. Астана, 2012.
- Экономика переходного периода: Учебное пособие / Под ред. В.В. Радаева, А.В. Бузгалина. - М.: Из-во МГУ, 2009.
- Эффективный менеджер: Мотивация вашего коллектива.,/ Уч.пособие “ Гончаров В.И. Менеджмент. Минск: Мисанта. 2011
- Дункан Джек. У. Основополагающие идеи менеджмента. - М.: Дело, 2011.
- Мескон М.Х., Альберт М., Хедоури Ф. Основы менеджмента. - М.: "Дело ЛТД", 2009.
- Н. Волгин. Реформирование оплаты труда - проблема неотложная // Человек и труд, №3, 2008.
- Психология управления. - М.: , 2011
- Мотивация труда и повышение эффективности работы. Н. Комарова. // Человек и труд, №10, 2009
- Основы управления персоналом Б.М. Генкин, Г.А. Коновалова, В.И. Кочетков и др. - М.: Высш. школа, 2008
- Ротенберг В.С., Арщавский В.В. Поисковая активность и адаптация. - М.: Наука, 2006
- М.Мейер. Почему ваши подчиненные относятся к работе с прохладицей? // ЭКО.- 2009. - №4. С.12-16.
- Пронников В.А., Ладанов И. Д. “Управление персоналом в Японии”. M.: Экономика, 2011
- Кокорев В.П. Материально-денежная мотивация управленческого труда. hppt://www.dcn-asu.ru/kokorev1/book.html. 28 с.
- Бородкин Л.И. Об эволюции мотивации труда промышленных рабочих. hppt://www.hist.msu.ru/Departmets/Ecohist/ОВС/borodkin.htm
- www.afn.kz - Постановление Правления Агентства Республики Казахстан по регулированию и надзору финансового рынка и финансовых организаций.
- www.ipoteka.kz сайт Компании БТА «Ипотека».
Приложение А. «Оценка успешности прохождения адаптации.
Итоговое решение о сотруднике»
|
Оценка работы сотрудника (заполняется наставником и начальником подразделения) |
Оцените работу по каждому из параметров по 5-бальной шкале:
Ф.И.О. нового сотрудника ____________________________________________
Подразделение, должность ____________________________________________
Дата _________________
|
Критерии |
5 |
4 |
3 |
2 |
1 |
0 |
|
Соответствие занимаемой должности по квалификации |
||||||
|
Качество выполненных работ |
||||||
|
Объем выполненных работ |
||||||
|
Совместимость с коллективом |
||||||
|
Самостоятельность |
||||||
|
Коммуникабельность (навыки общения) |
||||||
|
Стремление к успеху |
||||||
|
Трудовая дисциплина |
||||||
|
ИТОГО: |
Посчитайте итоговую сумму и определите уровень адаптации курируемого Вами нового сотрудника , на основе чего дайте основные рекомендации, чему следует уделить внимание
40- 32 балла высокий уровень (все в норме): полная адаптация и принятие новым сотрудником правил и стандартов Компании, высокая совместимость с коллективом подразделения, установлены коммуникации с сотрудниками других подразделений, необходимые для выполнения должностных обязанностей, ярко выраженная самостоятельность и мотивация на успешную работу.
31-24 балла средний уровень (нуждается в поддержке): недостаточная адаптация и принятие новым сотрудником правил и стандартов Компании (наличие редких нарушений), средний уровень совместимости с коллективом, не полностью установлены коммуникации с сотрудниками других подразделений, необходимые для выполнения должностных обязанностей, среднее выраженная самостоятельность и мотивация на успешную работу.
23-16 баллов низкий уровень (нуждается в активной помощи и контроле): низкая адаптация и принятие новым сотрудником правил и стандартов Компании (наличие частых нарушений), средний уровень совместимости с коллективом, не полностью установлены коммуникации с сотрудниками других подразделений, необходимые для выполнения должностных обязанностей, среднее выраженная самостоятельность и мотивация на успешную работу.
от 15 баллов и ниже не рассматриваются для оценки, ставится вопрос о пригодности данного сотрудника для работы в Компании.
Рекомендации
________________________________________________________________________________________________________________________________________________________________________________________________________________________________________________________________________________________________________________________________________________________________________________________________________________________
Куратор Должность Подпись Ф.И.О.
Итоговое решение руководителя подразделения:
- Перевести в постоянные штатные сотрудники
- Отказать в переводе в постоянные штатные сотрудники и расторгнуть трудовой договор.
- Продлить испытательный срок на период ___________________
Комментарии руководителя подразделения:
________________________________________________________________________________________________________________________________________________________________________________________________
Начальник подразделения Должность Подпись Ф.И.О.
Приложение В. «Самооценка результатов адаптации»
Ф.И.О. _______________________________________________________________
Подразделение ________________________________________________________
Должность____________________________________________________________
Дата __________
|
Критерии |
5 |
4 |
3 |
2 |
1 |
0 |
|
Соответствие занимаемой должности по квалификации |
||||||
|
Качество выполненных работ |
||||||
|
Объем выполненных работ |
||||||
|
Совместимость с коллективом |
||||||
|
Самостоятельность |
||||||
|
Коммуникабельность (навыки общения) |
||||||
|
Стремление к успеху |
||||||
|
Трудовая дисциплина |
||||||
|
ИТОГО: |
Посчитайте итоговую сумму и определите ваш уровень адаптации,
на основе чего определите то, над чем Вам необходимо поработать
40- 32 балла высокий уровень (все в норме): полная адаптация и принятие новым сотрудником правил и стандартов Компании, высокая совместимость с коллективом подразделения, установлены коммуникации с сотрудниками других подразделений, необходимые для выполнения должностных обязанностей, ярко выраженная самостоятельность и мотивация на успешную работу.
31-24 балла средний уровень (нуждается в поддержке): недостаточная адаптация и принятие новым сотрудником правил и стандартов Компании (наличие редких нарушений), средний уровень совместимости с коллективом, не полностью установлены коммуникации с сотрудниками других подразделений, необходимые для выполнения должностных обязанностей, среднее выраженная самостоятельность и мотивация на успешную работу.
23-16 баллов низкий уровень (нуждается в активной помощи и контроле): низкая адаптация и принятие новым сотрудником правил и стандартов Компании (наличие частых нарушений), средний уровень совместимости с коллективом, не полностью установлены коммуникации с сотрудниками других подразделений, необходимые для выполнения должностных обязанностей, среднее выраженная самостоятельность и мотивация на успешную работу.
от 15 баллов и ниже не рассматриваются для оценки, ставится вопрос о пригодности данного сотрудника для работы в Компании.
Выводы, на что мне необходимо уделить внимание, работая в Компании:______________________________________________________________________________________________________________________________________________________________________________________________________________________________________________
Подпись _____________________________________
Казахский экономический университет им. Т. Рыскулова
Какимжанова Д.Н.
«Практическое применение теории мотивации в организации»
ДИПЛОМНАЯ РАБОТА
специальность «5В050700 Менеджмент»
Алматы, 2013
Практическое применение теории мотивации в организации