Определение частот и форм колебаний консоли крыла самолёта Ан-140 (10 степеней свободы)
Министерство образования и науки
Национальный аэрокосмический университет
им. Н.Е. Жуковского
«ХАИ»
Специальность: Динамика и прочность машин
Курсовой проект
на тему:«Определение частот и форм колебаний консоли крыла самолёта Ан-140»
(10 степеней свободы)
по дисциплине «Теория механических колебаний»
Харьков-2015
1. Исходные данные
За прототип принят пассажирский самолёт АН-140. Взлётная масса 21500 кг, масса двигателя ТВЗ-117 равна 570 кг, масса консоли 1075 кг, расстояние от корневой хорды до пилона двигателя 3,1 м, масса топлива 4640 кг.
Геометрические данные консоли:

Рис. 1. Консоль крыла самолёта Ан-140.
Размах стреловидной консоли 12,25 м, корневая хорда 2,96 м, концевая хорда 1,44, стреловидность по передней кромке . Площадь 26,95 .
Нужно определить:1)частоты и формы собственных колебаний консоли крыла закрепленной к фюзеляжу; 2) реакцию крыла на порыв ветра.
2. Определение частот и форм собственных колебаний консоли крыла закрепленной к фюзеляжу
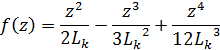
Запишем выражение для текущей хорды

где корневая хорда, корневая хорда, длинна спрямленной консоли.
Погонная масса конструкции:

где масса конструкции, площадь консоли.
Погонная масса топлива:

где масса топлива в консоли.
Суммарная погонная масса:

Для получения более точных результатов проведем дискретизацию крыла.
Дискретизация это замена непрерывного распределения масс совокупностью n сосредоточенных масс:
Для данного расчетного случая n = 10 и индекс i = 0…10 ( i N).Тогда, чтобы определить эквивалентную массу поделим консоль на 10 равных участков и распределенную массу каждого, сосредоточим в центре участка:

Определим координаты i-хсосредоточенных масс:


Посчитаем значение масс в найденных координатах:

где масса двигателя. При вычислениях используем условие, что в месте расположения второй сосредоточенной массы добавляется масса двигателя, тогда

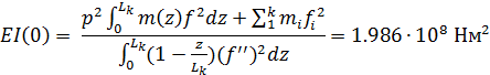
Определим жесткость консоли, используя метод Релея.
Запишем функцию, удовлетворяющую граничные условия


Рис. 2. График зависимости y(z)
Задаемся первой собственной частотой колебаний р = 2.5 Гц.
Запишем выражение расчётной частоты для выбранной формы колебаний

где количество сосредоточенных грузов;
масса сосредоточенного груза;
- перемещение в котором расположен груз;
- координата расположения груза.
Предположим, что изгибная жесткость в месте защемления, тогда
Из формулы (*) выразим , при этом делая замену на .

z, м
Рис. 3. Распределение изгибной жесткости по размаху консоли.
Для дальнейшего решения поставленной задачи потребуется составить матрицу податливости, в свою очередь введем понятие податливости.
Податливость свойство материала (системы), характеризуемое отношением упругого перемещения к приложенной нагрузке. Абсолютно твердое (недеформируемое) тело имело бы нулевую податливость. Податливость также есть величина обратная жесткости системы. В данном случае определим коэффициенты податливости с помощью интеграла Мора.



Если используется прямой метод составления уравнения движения системы, то уравнение движения i-й массы имеет вид

где внешняя сила (аэродинамические, силы тяжести),
силы со стороны отброшенной балки.
По третьему закону Ньютона сила приложенная в i-й точке
Введем понятие матрицы масс:

вектор столбец ускорений точек крыла.
Система уравнений в матричном виде может быть представлена так


Данная система уравнений описывает движение n точек. Также она должна решаться совместно, потому что зависит от того как движутся остальные точки.
Из системы легко получить систему уравнений описывающие свободные колебания: это следует

Воспользуемся обратным метод получения системы уравнений. Суть метода состоит в том, что в упругой безмассовой конструкции в точках где расположены массы следует приложить силысостороны отброшенных масс: и внешние действующие силы.
Силы деформирую балку, то

В матричном виде уравнение принимает вид

Если внешние силы отсутствуют 
где вектор столбец перемещений,
вектор столбец точек ускорений системы.
Так как все точки при свободных колебаниях движутся по закону
то
гдевектор столбец А, являет собой совокупность амплитуд во всех точках

Подставляя уравнения и сокращая на общий множитель получим:

Обозначим матрицу, тогда
Из соотношения видно, что для матрицы собственным значением является , а собственный вектор столбец А собственный вектор
Зная собственное значение опеределим .


Собственные значения матрицы :

Соответственно собственные частоты(1/с):

Соответственно собственные частоты в Гц:

С помощью функции eigenvecs в программе для матрицы выделим матрицу векторов собсвенных значений.

Для удобства рассмотрения графического изображения форм проведем нормирование амплитуд, для этого нужно амплитуду действующую в i-й точке поделим на амплитуду в десятой точке. Тогда получим такие формы колебаний (рис.4):
1(z) 
2(z) 
3(z) 
(рис.4) Формы колебаний
3. Динамическая реакция на воздействие порыва
Для исследования динамической реакции самолёта на порыв нужно задаться формой порыва. Согласно АП-25 максимальная скорость порыва на крейсерской скорости составляет 11,1 м/с. Крейсерская скорость самолёта на высоте 7,6 км равна
Форму порыва зададим формулой

где максимальная скорость порывана высоте крейсерского полёта,
пройденный путь самолётом,
средняя хорда.
Выбранную форму графически изобразим на рисунке 5.


Рис. 5. Форма порыва
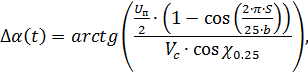
При действии порыва изменяется направление вектора скорости, соответственно увеличивается угол атаки. Запишем приращение угла атаки в зависимости от времени формулой:

где крейсерская скорость.

t
Рис. 6. Зависимость приращения угла атаки от времени.
На данном самолёте прототипе используется аэродинамический профиль NACA-2315, для которого Найдем коэффициент , где индекс нестозначает, что учитывается сжимаемость воздуха. Используем выражение:

Определи, что на высоте скорость звука.
Для каждой скорости учтем сжимаемость воздуха:
где M число Маха,
.

Запишем формулу для приращения подъемной силы:

Получим график зависимости

Рис. 7. График зависимости от времени
Построим график приращения перегрузки от времени действия порыва

Рис. 8. График приращения перегрузки от времени действия порыва
Рассмотрим распределение воздушной нагрузки по крылу. Для выбранного прототипа сужение равно 2.056. Для того, чтобы найтинужно знать циркуляцию для выбранного профиля.

Г это циркуляция с учетом сужения и стреловидности крыла.
Запишем формулу для определения приращения воздушной нагрузки

Где размах крыла (м).
Для более точного рассмотрения изменения воздушной нагрузки построим графики от tпри этом возьмем случаи t = 0.35 с и t = 0.6 с.

Рис. 9. График распределения приращения воздушной нагрузки по крылу в момент времени t = 0.35 с и t = 0.6 с.
Если на конструкцию действует некоторая произвольная нагрузка, то ,i =1,..,n закон движения в i-й точке всегда можно выразитьгде амплитуда в i-й точке от к-й силы, обобщенная координата, можно доказать, что закон движения nточек механической системы примет вид:
,
где обобщенная масса механической системы,

обобщенная сила

где внешние силы.
Обобщенные силы вычисляются для каждой из форм колебаний.
На основе решения системы дифференциального уравнения при известных начальных условиях определим закон.
Поскольку реальные возможные формы крыла примерно первые пять, то построим графики обобщений силы для пяти форм.
t
Рис. 10. График зависимости обобщенной силы от времени
Вернемся к уравнению движения, при этом учтём демпфирование, тогда
уравнение приобретёт вид:

где коэффициент демпфирования
Необходимо рассмотреть начальные условия в виде

После решения дифференциальных уравнений, используя начальные условия, получим обобщенные координаты и ускорения соответствующих точек.










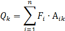
Для нахождения приращения реакции в узлах крепления крыла к фюзеляжу нужно сложить умножения форм на соответствующие координаты, тогда получим

Рис. 12. График зависимости приращения реакции в узлах крепления от времени
Анализируя график, увидим, что кривая с большей амплитудой соответствует размаху крыла, а вторая консоли.
Аналогично для нахождения приращения ускорения крыла нужно сложить умножения форм на соответствующие ускорения координаты, при этом полученное ускорение разделим на ускорение свободного падения, чтобы в итоге получить значение перегрузки, где на рисунке 13 кривая с большей амплитудой соответствует размаху крыла, а вторая консоли.

Рис.13. График зависимости перегрузки от времени
В итоге найдем зависимости поперечной силы и момента от времени при действии порыва.
Наиболее опасным является корневое сечение. Покажем график поперечной суммарной силы от времени и поперечной силы только от воздействия порыва.
Q(1,t)
Q1(1,t)
Qдв

Рис. 14. График зависимости поперечной силы от времени
В зависимости от времени нагрузка от порыва на крыло изменяется.
В зависимости от времени нагрузка от порыва на крыло изменяется. Покажем значения поперечной силы по размаху консоли при t = 0.35 с и t = 0.6 с.

Рис. 15. График зависимости поперечной силы по размаху консоли при t = 0.35 с и t = 0.6 с.
Построим график зависимости момента от времени. Для сравнения возьмем сечение 1 и 3.

Рис. 16. График зависимости момента от времени
Рассмотрим действие момента по размаху консоли при t = 0.35 с и t = 0.6 с.

Рис. 17. График зависимости момента по размаху консоли при t = 0.35 с и t = 0.6 с.
Выводы:в данной работе за самолет-прототип был принят Ан-140, для которого в ходе выполнения были получены изгибные формы и реакция крыла на порыв ветра.
При определении изгибных форм, получив десять результатов, проанализировав их, придем к выводу, что более реальными формами являются первые пять, поскольку последующие имеют место при больших частотах, которые в реальной конструкции достичь не так и просто за счет явления демпфирования. При определении жесткости консоли методом Релея, задавались первой собственной частотой по статистике для выбранного прототипа 2.5 Гц, после чего в ходе расчетов было получено 2.401 Гц, из результата видно, что принятая частота была подобрана правильно.
При действии колебаний аэродинамические силы являются демпфером. В данном случае, был взят по статистике коэффициент демпфирования. Проанализировав графики поперечной силы от времени, можно сказать, что максимальная поперечная сила будет при достижении порывом максимальной скорости, после чего уменьшается за счет демпфирования.
Список использованной литературы:
1.Тимошенко С.П. Колебания в инженерном деле: учебное пособие. Москва: Наука, 1967.- 444 с.
2.Зайцев В.Н., Рудаков В.Л. Конструкция и прочность самолетов. Киев, издательское объединение "Вища школа", Головное издательство, 1978 г., - 488 с.
3.Авиационные правила АП-23.М.: ОАО "Авиаиздат", отв. редактор Володарский В.А. Межгосударственный авиационный комитет, 2000. - 155 с.
4. Конспект лекций.
Определение частот и форм колебаний консоли крыла самолёта Ан-140 (10 степеней свободы)