Проектування земляних робіт
PAGE 2
ПОЯСНЮВАЛЬНА ЗАПИСКА
до курсового проекту №1 з Технології будівельного виробництва
„Проектування земляних робіт”
ЗМІСТ
ЗАВДАННЯ НА ПРОЕКТУВАННЯ.
ВСТУП.
- ПЛАНУВАННЯ ПЛОЩАДКИ.
- Характеристика обєкта і умов виконання робіт.
- Визначення обємів насипу та виїмки.
- Розподіл земляних мас на площадці.
- Розрахунок тривалості різання та переміщення ґрунту для двох варіантів механізації процесу.
- Визначення техніко-економічних показників варіантів.
- Складання калькуляції трудових затрат і заробітної плати.
- Технологічні розрахунки.
- Визначення техніко-економічних показників проекту.
- КОПАННЯ КОТЛОВАНУ.
- Характеристика обєкта і умов виконання робіт.
- Визначення обєму котловану.
- Вибір способу виконання робіт і комплектів машин (у двох варіантах), а також визначення тривалості виконання робіт за варіантами через експлуатаційну продуктивність.
- Визначення техніко-економічних показників варіантів. Порівняння та вибір остаточного варіанту виконання робіт.
- Складання калькуляції трудових затрат і заробітної плати.
- Технологічні розрахунки.
- Визначення техніко-економічних показників проекту.
- ВИСНОВОК.
- ВИКОРИСТАНА ЛІТЕРАТУРА.
ЗАВДАННЯ НА ПРОЕКТУВАННЯ

ВСТУП
В курсовому проекті запроектовано два процеси з переробки ґрунту: планування площадки та копання котловану.
До креслень додається пояснювальна записка, у якій розкрито суть та методику вирішення окремих технологічних задач, таких як: вирахування обємів робіт, визначення відстані переміщення ґрунту при плануванні площадки, формування структури процесів та підбір машин для їх виконання, визначення тривалості процесів як через експлуатаційну продуктивність, так і через нормативну (з допомогою ЕНіР) у табличній формі технологічних розрахунків, підрахування техніко-економічних показників при порівнянні варіантів механізації процесу та для проекту в цілому, методику вибору екскаватора для копання котловану та визначення кількості автотранспортних одиниць для відвезення ґрунту від екскаватора, формування комплекту машин для безперервної сумісної роботи.
-
ПЛАНУВАННЯ ПЛОЩАДКИ- Характеристика обєкта
Згідно завдання на навчальний курсовий проект необхідно спланувати площадку розміром 200х160 м з нульовим балансом земляних мас, тобто без ввозу додаткової землі чи вивозу надлишку за межі площадки.
Рельєф площадки заданий горизонталями з кроком 0,5 м. Спланована площадка повинна мати проектні ухили вздовж більшої сторони і1=0,001 та вздовж короткої сторони і2=0,004 (дивись завдання).
Ґрунти на площадці представлені супісками.
- Визначення обємів насипу та виїмки
- Розбивка площадки на квадрати
Згідно із завданням на план площадки з горизонталями наносимо сітку квадратів зі стороною від 10 до 60 м залежно від густоти горизонталей, щоб в одному квадраті було не більше однієї горизонталі. В нашому випадку прийнято квадрати розміром 50х50м.
- Визначення чорних відміток

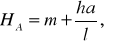
Чорні відмітки рельєфу у місцях вершин квадратів визначені з допомогою інтерполяції між відмітками двох горизонталей за формулою
(1)
е m - відмітка горизонталі з меншою відміткою, м.; h різниця відміток сусідніх горизонталей, м.; а відстань заміряна з плану від горизонталі з меншою відміткою до вершини квадрата, в міліметрах; l найкоротша відстань між двома горизонталями що проходить через вершину квадрата, в міліметрах.
Наприклад, для точки А :
Визначені чорні відмітки нанесені праворуч, знизу, біля перетину ліній, якими площадку поділено на квадрати (Рис.1).
- Визначення проектні відмітки.
Середню відмітку рельєфу для зменшення складності арифметичних підрахунків вирахувано з використанням перевищень чорних відміток над умов-ною відміткою, наприклад, 69.0, які вираховували за формулою: Середнє перевищення рельєфу над абсолютною відміткою 69.0 визначено за формулою:

(2)

Рис.1
де hвн перевищення чорних відміток рельєфу над відміткою 69.0 для внутрішніх точок сітки, що розбиває площадку на квадрати; hкр теж для крайніх точок; hкут теж для кутових точок площадки; n кількість квадратів.

- Визначення проектних (червоних) відміток вершин квадратів.

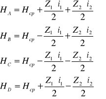
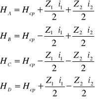
В першу чергу були визначенні проектні відмітки кутів площадки, вирахувані задані ухили за формулами (3)-(6):
A B (3)
(4)
D C (5)
(6)
Рис.2 де Z1,2 розміри площадки, м.; і1,2 ухили.

Підставимо у формули відповідні значення і отримаємо проектні відмітки кутів площадки:

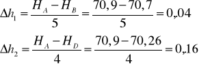
Між кутовими відмітками методом інтерполяції визначаємо проектні відмітки вершин крайніх квадратів. Для цього знаходимо прирости h1 і h2 в напрямку, протилежному до ухилів відповідно і1 та і2 :
де 5 і 4 кількість квадратів між А і В та А і D.
Тепер, щоб визначити проектні відмітки вершин, які знаходяться між точками А і В , послідовно додаємо до проектної відмітки точки В приріст h1 і записуємо над сусідньою вершиною квадрата в напрямку до точки А і т.д. по периметру площадки.
Проектні відмітки внутрішніх точок визначаємо інтерполяцією між крайніми відмітками на протилежних сторонах площадки.
Визначені проектні відмітки наносимо праворуч, зверху біля перетину ліній, якими площадку ділять на квадрати.
- Визначення робочих відміток
Робочі відмітки hр вираховують як різницю між проектними і чорними відмітками, м.:

(7)
Одержані значення hр зі знаком „ + ” показують на необхідність насипу, зі знаком „ ” - на необхідність виїмки. Значення робочих відміток наносимо зліва, зверху, біля перетину ліній, якими площадку ділять на квадрати.
- Побудова нульової лінії.

Рис.3
На сторонах квадратів, які мають робочі відмітки різних знаків графічно визначаємо положення нульових точок. У довільному масштабі відкладаємо у вершинах квадратів, перпендикулярно до лінії, на якій шукаємо нульову точку, робочі відмітки зі знаком „ + ” в один бік; зі знаком „ ” в інший. Сполучивши крайні точки прямою, дістанемо на перетині її з стороною квадрата нульову точку; сполучивши нульові точки побудуємо нульову лінію. Це буде лінія по якій розділяють виїмку і насип (Рис.3).
- Визначення обєму ґрунту у квадратах.
Обєм ґрунту, що належить розробці, визначають як суму обємів у повних і перехідних квадратах і обємів в укосах.

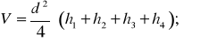
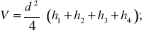
Обєм ґрунту в межах квадратів, що мають робочі відмітки одного знаку визначають за формулою:
(8)
де d сторона квадрата, м.; h1, 2, 3, 4 робочі відмітки у вершинах квадратів, м.

Обєм ґрунту в межах перехідних квадратів, м3:
(9)
де 
- сума абсолютних значень усіх робочих відміток перехідного квадрата, м.; 
- сума робочих відміток насипу (при визначенні обєму насипу) або суми відміток виїмки (при визначенні обєму виїмки), м.
Розрахунки обємів у квадратах зводимо в таблицю 1.
- Визначення обємів відкосів.
Сплановані площадки належать до постійних земляних споруд, тому згідно з технічними умовами приймаємо коефіцієнт відкосу m для виїмки m1=1,25; для насипу m2 =1,5.
Таблиця 1.
Обєм відкосів (Рис.4.) визначаємо у таблиці 2 за формулами (10), (11), (12) та (13).

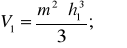
кутова чотиригранна піраміда (10)
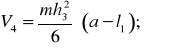
бокова у вигляді призми (11)

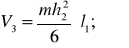
бокова у вигляді тригранної піраміди (12)
(13)
Рис.4.
- Складання загальної відомості обємів земельних мас під час планування площадки.
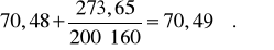
Обєм надлишкового ґрунту з урахуванням залишкового розпушення становить (з Таблиці 3): -5611,17 + 5601,48 + 280,07+3,27 = 273,65 м3.
Таблиця 3.
Оскільки приклад розвязується з нульовим балансом то надлишкового обєму (330,33 м3 ) не повинно залишитись. Вирахуваний надлишок розподіляємо тонким шаром по площадці, у межах квадратів від чого скоректуємо середню відмітку планування площадки:

|
Визначення об'ємів укосів |
||||||
|
№ квад-рата |
Робочі відмітки кутових квадратів, прилеглих до укосу,м. |
Обєми укосів, м3 |
||||
|
між перерізами ф-ли (11)-(13) |
кутові піраміди ф-ла - (10) |
|||||
|
h1 |
h2 |
насип |
виїмка |
насип |
виїмка |
|
|
1 |
+2,71 |
- |
- |
- |
14,93 |
- |
|
1 |
+2,71 |
+1,73 |
155,06 |
- |
- |
- |
|
1 |
+2,71 |
+2,26 |
14,23 |
- |
- |
- |
|
2 |
+1,73 |
+0,94 |
58,14 |
- |
- |
- |
|
3 |
+0,94 |
+0,63 |
19,21 |
- |
- |
- |
|
3 |
+0,63 |
- |
- |
- |
0,19 |
|
|
3 |
+0,63 |
+0,11 |
6,14 |
- |
||
|
4 |
+2,26 |
+1,82 |
126,3 |
- |
- |
- |
|
6 |
+0,11 |
-0,16 |
0,05 |
0,13 |
- |
|
|
7 |
+1,82 |
+1,43 |
80,36 |
- |
- |
- |
|
9 |
-0,16 |
-0,36 |
- |
1,94 |
- |
- |
|
10 |
+1,43 |
+1,11 |
49,16 |
- |
- |
- |
|
12 |
-0,36 |
-0,45 |
- |
4,15 |
- |
- |
|
13 |
+1,11 |
+0,61 |
24,06 |
- |
- |
- |
|
13 |
+0,61 |
- |
- |
- |
0,17 |
- |
|
13 |
+0,61 |
-1,35 |
1,16 |
10,46 |
- |
- |
|
14 |
-1,35 |
-3,09 |
- |
142,13 |
- |
- |
|
15 |
-3,09 |
-0,20 |
- |
119,85 |
- |
- |
|
15 |
-0,20 |
- |
- |
- |
- |
0 |
|
Разом |
533,87 |
278,66 |
15,29 |
0 |
Таблиця 2.

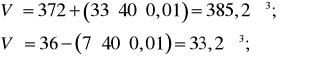
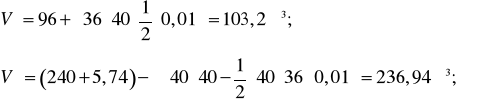
Отже надлишку не буде, якщо проектні відмітки насипу та виїмки збільшити на величину h0 :
Коригуємо обєми виїмок та насипу для кожного квадрата: до значення обєму насипу в квадраті додаємо добуток h0 і площі насипу, а від значення обєму виїмки віднімаємо відповідний добуток h0 і площі виїмки:

квадрат 1

квадрат 2

квадрат 3

квадрат 4

квадрат 5

квадрат 6

квадрат 7

квадрат 8

квадрат 9

квадрат 10

квадрат 11

квадрат 12

квадрат 13

квадрат 14

квадрат 15

квадрат 16

квадрат 17

квадрат 18

квадрат 19

квадрат 20
- Розподіл земляних мас по площадці.
Розвязуємо задачу розподілу земляних мас графоаналітичним способом. Оскільки на площадці маємо три окремих нульових лінії, то для застосування графоаналітичного способу вольовим методом відкинемо від загального обєму менші обєми двох виїмок виділених окремими нульовими лініями і прилеглих до цих нульових ліній обєми насипу рівні відповідним обємам виїмки. Для скоригованих (з урахуванням відкинутих обємів) обємів виїмки та насипу розділених однією нульовою лінією застосовуємо графоаналітичний метод визначення відстані переміщення ґрунту.
Тепер, за наростаючими підсумками вертикальних колонок квадратів, зліва на право будуємо графіки зміни обємів окремо для насипу та виїмки. Те ж саме виконуємо для вертикальної сторони площадки підсумовуючи обєми у горизонтальних рядах квадратів.
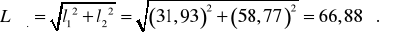
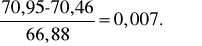
Для визначення середньої відстані переміщення графоаналітичним способом використовують графіки зміни обємів насипу та виїмок, побудовані підсумками вертикальних колонок і горизонтальних рядів квадратів (Рис.5.)

Площі фігур w1 і w2 між ламаними лініями обємів насипу та виїмки представляють собою добуток обємів ґрунту, який переміщують та відповідної проекції середньої відстані переміщення ґрунту, а тому ми можемо визначити горизонтальну та вертикальну (по відношенню до площі площадки) проекцію відстані переміщення в межах площадки:
(14,15)

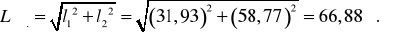
Середню відстань переміщення, знаючи проекції, можна визначити за формулою: (16)

Отже, маємо:


Звідси:

Тоді середня відстань переміщення буде:
(17)

Рис.5.
- Розрахунок тривалості різання та переміщення ґрунту для двох варіантів механізації процесу.
При відстані переміщення ґрунту 66,88 м можна використати для різання та переміщення ґрунту при плануванні площадки бульдозери або скрепери. Нами прийнято для першого варіанту бульдозери, а для другого варіанту скрепери.
Варіант 1. Розробка ґрунту бульдозерами.
Оскільки у завданні не має директивного терміну виконання робіт, то приймаємо бульдозер любого класу потужності, наприклад, Д-687С на базі трактора Т-100МГП з розмірами відвала а=3,2 м , Н=1,2 м .

Змінна експлуатаційна продуктивність бульдозера, м3 за зміну визначається за формулою:
(18)
де С=8годин тривалість зміни; V - обєм ґрунту у щільному тілі, зрізаного відвалом, м3; kз коефіцієнт збереження ґрунту під час його переміщення; kух коефіцієнт впливу ухилу рельєфу де працює бульдозер; kв коефіцієнт використання бульдозера у часі; tц тривалість циклу бульдозера, с.

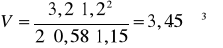
Обєм ґрунту у щільному тілі, зрізаного відвалом, м3:
(19)
де a довжина відвала, м; Н його висота, м; - кут природного відкосу ґрунту; Kр коефіцієнт розпушування ґрунту.

При значеннях а=3,2 м; Р=1,2 м; Кр=1,15 ; tg=0,58 при =30о маємо :

Тривалість циклу, с :
(20)
де - час відповідно різання, переміщення, зворотнього руху та повороту, с.

Величини tр, tп, tзв обчислюють за формулою, с:
(21)
де 3,6 переведення одиниць 1 км/год в м/с; L довжина шляху відповідно різанню, переміщенню та зворотному шляху, м ; Ка коефіцієнт, що враховує прискорення, уповільнення, перемикання передач, підйом і спуск відвала; приймаємо Ка =1,5 ; - швидкість руху, км/год, яка залежить від вимкненої на тракторі передачі (різання і переміщення ведуться на першій передачі, повернення порожняком на третій та четвертій передачі, або заднім ходом).

Довжина різання при товщині стружки h=0,2 м і клиноподібному способі різання, м :
(22)
Ґрунт розробляють човниковим способом без повернення бульдозера (tпов=0).
Для визначення середнього ухилу, з яким працює бульдозер, нами на рисунку 5 графічним методом визначені центри виїмки та насипу. Ці точки перенесені на рисунок 3 для визначення їх чорних та проектних відміток.
Чорні відмітки: ЦВ-71.6м, ЦН-70.3м.

Проектні відмітки: ЦВ-70.3м, ЦН-70.63м.

Середні відмітки:
Середній ухил, з яким працює бульдозер:
У відповідності до цього ухилу з довідників приймаємо Кух =1,01

Тривалість циклу бульдозера
Швидкість переміщення =2,36 м/с; зв= 5,34м/с.

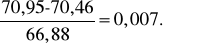
Коефіцієнт збереження ґрунту під час транспортування:
де Ln=66,88м відстань переміщення ґрунту.

Продуктивність бульдозера при Кв=0,8

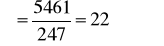
Тривалість роботи бульдозера рівна:
Варіант 2. Розробка ґрунту скреперами.
Для розробки ґрунту приймаємо причіпний скрепер Д-374А з тягачем Т-100.

Змінна експлуатаційна продуктивність скрепера в м3 визначається за формулою:
(23)

де q місткість ковша скрепера, м3; для Д-511 q=6 м3; Кв=0,8 коефіцієнт використання скрепера у часі;
(24)
де Кн коефіцієнт наповнення ковша пухким ґрунтом, приймається з довідників, в залежності від виду ґрунту.

Тривалість циклу скрепера, с :
(25)
де - час, відповідно: завантаження ковша, вантажного та порожнього ходів скрепера, розвантаження скрепера та повороту, с.

Тривалість окремих елементів циклу, с:
(26)
де L відстань, яку проходить скрепер при виконанні окремих елементів циклу, м; - швидкість руху взято із довідників, км/год. При цьому вантажний хід виконують по горизонтальній і укатаній поверхні на четвертій передачі, по розпушеній поверхні з підйомом на третій передачі; повернення порожняком на четвертій передачі.
Тривалість вантажного та порожнього ходів розраховують, маючи на увазі розгін, уповільнення і перемикання передач. Для цього час окремих елементів вантажного та порожнього ходів множать на коефіцієнт Ку.

Довжина завантаження скрепера для клиновидної стружки, м :

де m=0,22 коефіцієнт, який враховує втрату зрізаного ґрунту, що не попав у ківш скрепера, а залишився на ґрунті у призмах волочіння; a =2,67м ширина ножа скрепера; h=0,30м найбільша товщина стружки.

Час завантаження
Час вантажного ходу

Тут прийнято довжину вивантаження Lв=15м; Ку=1,5; 2=5,34 км/год.
Тут Ку=1,3.

Час розвантаження приймаємо tр=21с; час на повороти tпов=45с.
Тоді тривалість циклу

Зміна продуктивності скрепера рівна:

Тривалість роботи скрепера:
У супісках причіпні скрепери використовують без штовхача. Для ознайомлення організації робіт скреперів зі штовхачами умовно, з навчальною метою приймемо у нашому варіанті до скрепера штовхач. Щоб штовхач не простоював збільшимо кількість скреперів.

Кількість скреперів, що обслуговуються одним штовхачем визначаємо за формулою:
(27)

де tц,шт. тривалість циклу штовхача, с:
(28)
t1 час завантаження скрепера, с; t2 час повернення у вихідне положення, приймаємо t2 =15с; t3 час підходу до чергового скрепера, приймаємо t3 =20с; t4 тривалість переключення передач, зупинки перед початком поштовху, приймаємо t4 =15с.


Тоді
Кількість скреперів:
Приймаємо ланку з двох скреперів Д-374А і одного трактора-штовхача Т-100.
Тривалість роботи ланки скреперів Т=7,9/2=3,95 змін.
Приймаємо Т0=4 зміни.

За першим варіантом бульдозер Д-687С на базі трактора Т-100МГП виконує роботу за 22 зміни. За другим варіантом два скрепери Д-374А з штовхачем Т-100 виконують роботу за 4 зміни. Для рівних умов економічного порівняння вирахуємо кількість бульдозерів Д-687С на базі трактора Т-100МГП, які виконують роботу також за 4 зміни. Тоді необхідна кількість бульдозерів рівна:
Остаточно приймаємо шість бульдозерів Д-687С.
- Визначення техніко-економічних показників варіантів.
Оскільки при бульдозерному і скреперному варіантах попереднє розпушування, розрівнювання ґрунту на відвалі, ущільнення і остаточне планування у обох варіантах може бути виконано одними і тими ж машинами і може мати однакові техніко-економічні показники, то для вибору остаточного рішення нами вирахувано для порівняння техніко-економічні показники тільки для ведучих(основних) машин комплектів.
Основними техніко-економічними показниками прийнято вважати:
- Собівартість робіт
- Трудомісткість робіт
- Тривалість виконання робіт
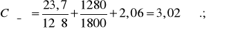
собівартість розробки 1м3 ґрунту визначається за формулою:

(29)
де
- собівартість машино-години і-ої машини комплекту, грн.; N0і кількість машин і-го виду, які входять до комплекту; зП загальна заробітна плата робітників, що виконують ручні процеси, грн.; 1, 08 і 1,5 коефіцієнти накладних витрат на вартість роботи машин і заробітну плату; Т0і тривалість роботи на обєкті і-ої машини комплекту, в год.; V загальний обсяг робіт, м3.

(30)
де О одночасні витрати на доставку, монтаж і демонтаж машин, інші роботи, грн. ; Сa витрати, що включають нараховані за рік амортизаційні суми на повне відновлення і капітальний ремонт машини, грн. ; Сn поточні експлуатаційні витрати, нараховані за одну годину зміни, і що включають в себе заробітну плату персоналу, що обслуговує машину, вартість паливно-мастильних матеріалів або електроенергії, витрати на технічне обслуговування (ТО) і поточний ремонт машин (ПР) та інше, грн. ; Тр тривалість роботи машини протягом року, годин;
трудомісткість розробки 1м3 ґрунту:
(31)

де Q загальні трудові витрати, люд.-зміни;
- тривалість робіт
де Пе експлуатаційна продуктивність машини; n кількість машин.
Визначення ТЕП для варіанта І. Розробка ґрунту бульдозерами.
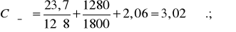
Собівартість розробки 1м3 ґрунту:

Собівартість 1 маш.-год. бульдозера Д-687С:

Собівартість виконання земляних робіт
Трудомісткість розробки 1м3 ґрунту:
де 1 машиніст ІV-го розряду; 4 тривалість роботи (зміни); 6 кількість бульдозерів в ланці.
- Тривалість роботи Т=4 зміни (визначено раніше).
Визначення ТЕП для варіанта ІІ. Розробка ґрунту скреперами.
Собівартість розробки 1м3 ґрунту:

Собівартість 1 маш.-год. скрепера Д-374А:

Собівартість 1 маш.-год. трактора штовхача:
Собівартість виконання земляних робіт

Трудомісткість розробки 1м3 ґрунту:
- Тривалість роботи Т=4 змін (визначено раніше).
Розрахунки зводимо в таблицю 4.
Таблиця 4.
Огляд показників свідчить, що економнішим є комплект причіпних скреперів.
- Складання калькуляції трудових витрат і заробітної плати.
Калькуляцію трудових витрат і заробітної плати складаємо в формі таблиці 5.

Таблиця 5.
- Технологічні розрахунки.

- Визначення техніко-економічних показників проекту.
Показники визначаємо на основі калькуляції трудових затрат і календарного графіку.
- Собівартість виконання робіт:

Собівартість маш.-год. скрепера Д-374А:

Собівартість маш.-год. трактора штовхача Т-100М:
Собівартість маш.-год. трактора Т-100 при роботі з розпушувачем і катками у комплекті з скреперами:


Собівартість маш.-год. бульдозера Д-687С:
Собівартість 1 маш.-год. розпушувача ДП-15 становить 0,24грн., пневматичного причіпного катка масою 25т Д-263 0,116грн. (із технічної літератури)

Тоді загальна собівартість виконання земляних робіт:
Трудомісткість розробки 1м3 ґрунту
- Тривалість механізованого процесу 7 змін (див. графік робіт)
КОПАННЯ КОТЛОВАНУ
- Характеристика обєкта і умов виконання робіт.
На неспланованій площадці необхідно викопати котлован розмірами в плані 90х10 м, проектна відмітка дна котловану 66,50. Ґрунт вивозиться на відстань 3 км по дорозі з камяним покриттям. На місці відвалу ґрунт розрівнюється і пошарово ущільнюється.
- Визначення обємів робіт.
Для визначення обєму ґрунту, який треба розробити, котлован на робочій схемі ділимо на окремі частини вертикальними площинами. Такі площини проводимо в кінцях котловану ( перетини І-І та VІ-VІ ) і в точках перетину горизонталей з поздовжньою віссю (перетини ІІ-ІІ, ІІІ-ІІІ, ІV-ІV та V-V ).
Відкоси котловану, що утворюються між площинами І-І, VІ-VІ і зовнішньою частиною майданчика, розбиваємо на кутові піраміди та проміжкові призми.
Робочі позначки характерних точок визначаємо, як різницю між позначками горизонталей і абсолютної позначки дна котловану, що задана.

Обєм котловану ( з укосами ) визначаємо за такими формулами:



Для зручності розрахунків підрахунки обємів зводимо в таблицю 2.1.
Таблиця 6.
Об'єм котловану між перетинами І-І та ІV-ІV
Таблиця 7.
Об'єм торцевих призм.
Таблиця 8.
Обєм кутових пірамід

Обєм всього котловану :
Приймаємо V=5142 м3 .
- Вибір способу копання котловану та визначення тривалості виконання робіт у двох варіантах.
Варіант І. Копання котловану екскаватором.
За технічними характеристиками екскаваторів вибираємо такі, які задовольняють висоті копання Н=4,95 м;
Значенню Н=4,95 м відповідають всі марки екскаваторів ,за винятком ТЕ-3М, Е-1514, Е-2621А, Е-304Б, Е-5015А, ЕО-3322А.
Вибираємо екскаватор пряма лопата з найменшою масою та інвентарно-розрахунковою вартістю з висотою копання не менше 4,95 м. Це буде екскаватор Е-652Б з прямою лопатою з зубами. Його показники :
- найбільша висота копання Н=7,9 м;
- найбільший радіус копання R=7,8 м,
- найменший радіус копання на рівні стоянки Rmin=2,8 м ;
- найбільша висота вивантаження Н1 =5,6 м ;
- висота вивантаження при найбільшому радіусі вивантаження Н2 =2,7 м ;
- найбільший радіус вивантаження Rв =7,7 м ;
- обєм лопати V1=0,65 м3 .
Копання котловану прямою лопатою ведуть при його стоянні на рівні дна котловану і розташуванні транспортних засобів на дні котловану. Тому, для вводу екскаватора в котлован, а також вїзду і виїзду самоскидів у торці котловану ( з боку найменшої робочої позначки) обладнують вїздну траншею шириною 7м з ухилом і=0,1 (m=10).

Обєм вїздної траншеї :
де m , m коефіцієнт закладання відповідно дна і відкосів траншеї; b ширина вїздної траншеї по дну, м; h глибина котловану в місці влаштування траншеї, м.
Схему проходки екскаватора вибираємо виходячи із співвідношення ширини поверху котловану і найбільшого радіусу копання екскаватора:

Приймаємо копання котловану розширеною лобовою проходкою з переміщенням екскаватора по зигзагу.
Визначаємо параметри екскаватора в забої:
- максимальний радіус різання Rmax =0,9R=0,9х7,8=7м;
- радіус різання на рівні стоянки Rст=2,8м;
- відстань від осі стоянки екскаватора до внутрішніх відкосів
В1=Rмах-h1m=7- 4,95х0,85=2,79м;
В2= Rмах-h2m=7- 4,80х0,85=2,92м.
- відстань від осі руху самоскида до нижнього краю котловану приймаємо не менше 1,5м
- крок пересування екскаватора l = R- Rмах =7-2,8=4,2м.
Для визначення місць розміщення транспортних засобів біля екскаватора використовують графічний масштабний метод. Креслення приведені на листі А-1.

Визначаємо експлуатаційну продуктивність екскаватора за зміну, м3:

де с тривалість зміни, с=8годин ; q=1,25м3 місткість ковша; ПТ технічне число циклів за хвилину, ПТ =1,75 ; К1 коефіцієнт наповнення ковша щільним ґрунтом,
Кн=1,1 коефіцієнт наповнення ковша пухким ґрунтом, приймаємо; Кп =1,26 коефіцієнт пухкості ґрунту(визначаємо за нормативом, ЕНіР); Кв =0,69 коефіцієнт використання за часом.
Тоді:
Продуктивність екскаватора за зміну при розробці вїздної траншеї у звязку з малими робочими відмітками приймаємо 0,5Пе , або 0,5х457=228,5 м3 .

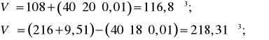
Обєм розробки ґрунту екскаватором з урахуванням недобору ґрунту до відмітки фундаменту 0,10 м без обєму вїздної траншеї:

Тривалість роботи екскаватора:
Приймаємо Т=14 змін.

Для відвозу ґрунту приймаємо самоскид КамАЗ-5511 вантажопідйомністю 10т. Місткість кузова самоскида в кубічних метрах ґрунту в щільному стані при середній щільності супіску =1,75 т/м3.

Кількість ковшів, завантажених в кузов самоскиду визначаємо за формулою:
Приймаємо М=10 ковшів.

Тривалість завантаження однієї машини:
де КТ =0,85 коефіцієнт впливу транспорту

Кількість самоскидів:
де tц тривалість роботи самоскида за цикл, хв.; z =3км дальність перевезення ґрунту; с = 30 км/год. середня швидкість руху самоскида, з довідника; tр.м. тривалість розвантаження з маневруванням.
Приймаємо N=4 машини.
Для розрівнювання ґрунту на відвалі і пошарової укатки підбираємо бульдозер і трактор з катками.

З умови комплексної механізації продуктивності цих машин повинна бути рівною, або трохи вищою від продуктивності ведучої машини (екскаватора) при такій самій тривалості виконання робіт. Тобто, тривалість розрівнювання ґрунту бульдозером на місці відвалу становить 14 змін. При обємі ґрунту V=5052+661=5713 м3 продуктивність бульдозера за зміну повинна бути:
Тоді норма часу на 100 м3 ґрунту становить :

де С=8 годин тривалість зміни.
Приймаємо бульдозер Д-444А на базі трактора ДТ-54А, для якого норма часу на 100 м3 ґрунту Нчас = 1,75 маш.-год.
При обємі ґрунту V=5713 м3 і тривалості укатки Т=14 змін при шести проходках по одному сліду і товщині ущільненого шару 0,2 м продуктивність роботи трактора з катками повинна бути:


Норма часу при шести проходках по одному сліду на 1000 м2 :
Приймаємо пневматичний причіпний каток Д-130А масою 5 тон у зчепленні з трактором С-80.
Варіант ІІ. Розробка котловану самохідними скреперами.
У процесі розробки утворюються вїзд і виїзд, обєми яких визначаються за формулою:

де m1 коефіцієнт закладання дна виїзду-вїзду; А ширина вїзду (виїзду), м; m коефіцієнт закладання відкосів; Vтор. - обєм торцевих фігур котловану (Таблиця ).

Обєм вїзду при m1=4

Обєм виїзду при m1=10
Всього V = V1+V2 =457+790=1247 м3.

Визначаємо експлуатаційну продуктивність самохідного скрепера за зміну, м3:

де С=8 годин тривалість зміни; tц тривалість циклу, с:

де - тривалість відповідно навантаження ковша, навантаженого і порожнього ходу скрепера, розвантаження скрепера, на повороти,

z3 довжина шляху навантаження скрепера при клиновидно му різанні, м:

Для скрепера ДЗ-ІІ П маємо: q=8м3; а=2,82м; h=0,3м; k1=0,87 (прийнято раніше); m=0,17 коефіцієнт призми волочіння для супіску при обємі ковша в м3; 3=2 км/год швидкість руху при завантаженні. Тоді:


Тривалість вантажного та порожнього ходів обчислюємо за формулою:
тут прийнято =30 км/год. середня швидкість руху скрепера по дорозі з камяним покриттям.

Приймаємо тривалість вивантаження tр=25с, час на повороти tпов.=25с. Тоді тривалість циклу

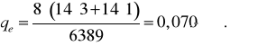
Тому продуктивність самохідного скрепера за зміну при значенні коефіцієнта впливу глибини виїмки К4=0,92 і значенні коефіцієнта використання у часі Кв=0,8

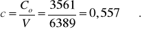
Тривалість роботи скрепера при обємі ґрунту V=Vк+V1+V2=5142+1247=6389м3 становить:

Для рівних умов економічного порівняння приймемо тривалість виконання робіт самохідними скреперами Т=14 змін. Тоді необхідна кількість скреперів:
Остаточно приймаємо три скрепери ДЗ-ІІ П і один трактор-штовхач Т-140 (Т100).
- Визначення техніко-економічних показників варіантів. Порівняння та вибір остаточного варіанту виконання робіт.
Техніко-економічні показники визначаємо за тими ж самими формулами, що й у частині І (планування площадки).
Варіант І. Розробка котловану екскаватором Е-652Б, обладнаним прямою лопатою.
Собівартість 1маш.-год. Екскаватора Е-652Б:

Кількість рейсів самоскида КамАз 5511 за годину

Собівартість 1маш.-год. самоскиду :

бульдозера Д 444А:

трактора С-80:

пневмоколісного катка Д -130А:

Собівартість влаштування котловану

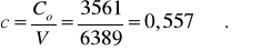
Тоді питома собівартість розробки 1м3 ґрунту :
Трудомісткість розробки 1м3 ґрунту:
- Тривалість ведучого процесу Т=14 змін.
Варіант ІІ. Влаштування котловану комплектом самохідних скреперів ДЗІІ П (3 шт.)
Собівартість 1маш.-год. скрепера ДЗІІ П:

трактора штовхача Т-140

Собівартість влаштування котловану

Тоді питома собівартість розробки 1м3 ґрунту :
Трудомісткість розробки 1м3 ґрунту:
- Тривалість ведучого процесу Т=14 змін.
Для порівняння техніко-економічні показники зводимо в таблицю2.4.
Таблиця 9.
З аналізу показників виходить, що най економнішим є комплект самохідних скреперів. В учбових цілях приймаємо влаштування котловану одноківшовим екскаватором з прямою лопатою.
- Складання калькуляції трудових витрат і заробітної плати.

Таблиця 10.
Технологічні розрахунки.
- Визначення техніко-економічних показників проекту.
Показники визначаємо на основі калькуляції трудових затрат і календарного графіку.
Собівартість 1маш.-год. Екскаватора Е-652Б:

Кількість рейсів самоскида КамАз 5511 за годину

Собівартість 1маш.-год. самоскиду :

бульдозера Д 444А:

трактора С-80:

пневмоколісного катка Д -130А:

Собівартість влаштування котловану

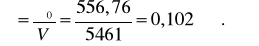
Тоді питома собівартість розробки 1м3 ґрунту :
Трудомісткість розробки 1м3 ґрунту:
- Тривалість ведучого процесу визначена раніше і становить Т=12 змін.
-
ВИСНОВОК
Проектні відмітки внутрішніх точок визначили інтерполяцією між крайніми відмітками на протилежних сторонах площадки. Визначені проектні відмітки наносимо праворуч, зверху біля перетину ліній, якими площадку ділять на квадрати.
На сторонах квадратів, які мають робочі відмітки різних знаків графічно визначили положення нульових точок. У довільному масштабі відкладаємо у вершинах квадратів, перпендикулярно до лінії, на якій шукаємо нульову точку, робочі відмітки зі знаком „ + ” в один бік; зі знаком „ ” в інший. Сполучивши крайні точки прямою, дістанемо на перетині її з стороною квадрата нульову точку; сполучивши нульові точки побудуємо нульову лінію.
Оскільки при бульдозерному і скреперному варіантах попереднє розпушування, розрівнювання ґрунту на відвалі, ущільнення і остаточне планування у обох варіантах може бути виконано одними і тими ж машинами і може мати однакові техніко-економічні показники, то для вибору остаточного рішення нами вирахувано для порівняння техніко-економічні показники тільки для ведучих(основних) машин комплектів.
Робочі позначки характерних точок визначили, як різницю між позначками горизонталей і абсолютної позначки дна котловану, що задана.
- ВИКОРИСТАНА ЛІТЕРАТУРА.
- Технология строительного производства. Под общ. Ред. Проф. О.О. Литвиненко и Ю.И.Белякова. К.: Вища шк., 2010.
- Единые нормы и расценки на строительные, монтажные и ремонтно-строительные работы. Сб.2. Земляные работы. 2009. Вып.І.
- СНиП ІV-3-82. Сборник сметных цен эксплуатации строительных машин. М.: Стройиздат, 1984.
- СНиП 3.02.01-87. Земляные сооружения, основания и фундаменты. М.: Стройиздат, 1988.
- Типовые технологические карты на производство механизированных работ. Проектгидромеханизация. М.: Госстройиздат, 2010.
- Ценник №2 машино-смен строительных машин и оборудования. М.: Стройиздат, 2008.
EMBED Equation.3 
EMBED Equation.DSMT4 
EMBED Equation.DSMT4 
EMBED Equation.DSMT4 
EMBED Equation.DSMT4 
EMBED Equation.DSMT4 
EMBED Equation.DSMT4 
EMBED Equation.DSMT4 
EMBED Equation.DSMT4 
EMBED Equation.DSMT4 
EMBED Equation.DSMT4 
EMBED Equation.DSMT4 
EMBED Equation.DSMT4 
EMBED Equation.DSMT4 
EMBED Equation.DSMT4 
EMBED Equation.DSMT4 
EMBED Equation.DSMT4 
EMBED Excel.Sheet.8
EMBED Equation.DSMT4 
EMBED Equation.DSMT4 
EMBED Equation.DSMT4 
EMBED Equation.DSMT4 
EMBED AutoCAD.Drawing.17 
EMBED Excel.Sheet.8
EMBED Equation.DSMT4 
EMBED Equation.DSMT4 
EMBED Equation.DSMT4 
EMBED Equation.DSMT4 
EMBED Equation.DSMT4 
EMBED Equation.DSMT4 
EMBED Equation.DSMT4 
EMBED Equation.DSMT4 
EMBED Equation.DSMT4 
EMBED Equation.DSMT4 
EMBED Equation.DSMT4 
EMBED Equation.DSMT4 
EMBED Equation.DSMT4 
EMBED Equation.DSMT4 
EMBED Equation.DSMT4 
EMBED Equation.DSMT4 
EMBED Equation.DSMT4 
EMBED Equation.DSMT4 
EMBED Equation.DSMT4 
EMBED Equation.DSMT4 
EMBED Equation.DSMT4 
EMBED Equation.DSMT4 
EMBED Equation.DSMT4 
EMBED Equation.DSMT4 
EMBED Equation.DSMT4 
EMBED Equation.DSMT4 
EMBED Equation.DSMT4 
EMBED Equation.DSMT4 
EMBED Equation.DSMT4 
EMBED Equation.DSMT4 
EMBED Equation.DSMT4 
EMBED Equation.DSMT4 
EMBED Equation.DSMT4 
EMBED Equation.DSMT4 
EMBED AutoCAD.Drawing.17 
EMBED Equation.DSMT4 
EMBED Equation.DSMT4 
EMBED Equation.DSMT4 
EMBED Equation.DSMT4 
EMBED Equation.DSMT4 
EMBED Equation.DSMT4 
EMBED Equation.DSMT4 
EMBED Equation.DSMT4 
EMBED Excel.Sheet.8 
EMBED Equation.DSMT4 
EMBED Equation.DSMT4 
EMBED Equation.DSMT4 
EMBED Equation.DSMT4 
EMBED Equation.DSMT4 
EMBED Equation.DSMT4 
EMBED Equation.DSMT4 
EMBED Equation.DSMT4 
EMBED Equation.DSMT4 
EMBED Equation.DSMT4 
EMBED Equation.DSMT4 
EMBED Equation.DSMT4 
EMBED AutoCAD.Drawing.17 
EMBED AutoCAD.Drawing.17 
EMBED Equation.DSMT4 
EMBED Equation.DSMT4 
EMBED Equation.DSMT4 
EMBED Equation.DSMT4 
EMBED Equation.DSMT4 
EMBED Equation.DSMT4 
EMBED Equation.DSMT4 
EMBED Excel.Sheet.8
EMBED Equation.DSMT4 
EMBED Equation.DSMT4 
EMBED Equation.DSMT4 
EMBED Equation.DSMT4 
EMBED Equation.DSMT4 
EMBED Equation.DSMT4 
EMBED Equation.DSMT4 
EMBED Equation.DSMT4 
EMBED Equation.DSMT4 
EMBED AutoCAD.Drawing.17 
EMBED AutoCAD.Drawing.17 
EMBED Equation.DSMT4 
EMBED Excel.Sheet.8
EMBED Excel.Sheet.8
EMBED Excel.Sheet.8
EMBED Equation.DSMT4 
EMBED Equation.DSMT4 
EMBED Equation.DSMT4 
EMBED Equation.DSMT4 
EMBED Equation.DSMT4 
EMBED Excel.Sheet.8
EMBED Equation.DSMT4 
EMBED Equation.DSMT4 
EMBED Equation.DSMT4 
EMBED Equation.DSMT4 
EMBED Equation.DSMT4 
EMBED Equation.DSMT4 
EMBED Equation.DSMT4 
EMBED AutoCAD.Drawing.17 
EMBED Equation.DSMT4 
EMBED Equation.DSMT4 
EMBED Equation.DSMT4 
EMBED Equation.DSMT4 
EMBED Equation.DSMT4 
EMBED Equation.DSMT4 
EMBED Equation.DSMT4 
EMBED Equation.DSMT4 
EMBED Equation.DSMT4 
EMBED Equation.DSMT4 
EMBED Equation.DSMT4 
EMBED Equation.DSMT4 
EMBED Equation.DSMT4 
EMBED Equation.DSMT4 
EMBED Equation.DSMT4 
EMBED Equation.DSMT4 
EMBED Equation.DSMT4 
EMBED Equation.DSMT4 
EMBED Equation.DSMT4 
EMBED Equation.DSMT4 
EMBED Equation.DSMT4 
EMBED Equation.DSMT4 
EMBED Equation.DSMT4 
EMBED Equation.DSMT4 
EMBED Equation.DSMT4 
EMBED Equation.DSMT4 
EMBED Equation.DSMT4 
EMBED Equation.DSMT4 
EMBED Equation.DSMT4 
EMBED Equation.DSMT4 
EMBED Equation.DSMT4 
EMBED Equation.DSMT4 
EMBED Equation.DSMT4 
EMBED Equation.DSMT4 
EMBED Equation.DSMT4 
EMBED Equation.DSMT4 
EMBED Equation.DSMT4 
EMBED Equation.DSMT4 
EMBED Equation.DSMT4 
EMBED Equation.DSMT4 
EMBED Equation.DSMT4 
EMBED Excel.Sheet.8 
EMBED AutoCAD.Drawing.17 
Проектування земляних робіт