Старение изоляции под действием тепловых, климатических и механических факторов
ЭКСПЛУАТАЦИЯ и ремонт ОБОРУДОВАНИЯ (5 курс)
ЛЕКЦИЯ №4
Старение изоляции под действием тепловых, климатических и механических факторов
Учебные вопросы:
1. Закономерности старения изоляции, основные понятия и определения.
2. Старение изоляции под действием температуры.
3. Старение изоляции под действием электрического поля.
4. Старение изоляции под действием механических нагрузок.
5. Старение изоляции под действием влаги и химически активных веществ.
1. Закономерности старения изоляции, основные понятия и определения
В эксплуатации на внутреннюю изоляцию электрооборудования воздействуют электрические, тепловые, механические и другие нагрузки. Они вызывают в изоляции сложные процессы, следствием которых является постепенное ухудшение свойств изоляции, именуемое старением. Как правило, изменения свойств изоляции носят необратимый характер и завершаются пробоем. Однако в отдельных случаях последствия старения могут быть устранены путем восстановительного ремонта изоляции.
Надёжность электрической машины в значительной степени определяется надёжностью обмоток, которая в свою очередь зависит от состояния изоляции.
Изоляция работает в сложных, часто весьма неблагоприятных условиях. В процессе эксплуатации электрических машин, а также во время их хранения и транспортировки они подвергаются разнообразным внешним воздействиям, приводящим с течением времени к прогрессирующему ухудшению её свойств.
Основной характеристикой изоляции является её электрическая прочность. Однако это важнейшее свойство изоляция может сохраниться в процессе эксплуатации лишь при наличии многих других качеств, снижение уровня которых приводит к уменьшению электрической прочности.
Изоляция должна сохранять высокую теплопроводность, в противном случае неизбежно возникновение повышенных местных нагревов, сопровождающихся ускорением её разрушения.
Изоляция должна обладать достаточной механической прочностью и эластичностью, которые исключали бы возможность образования остаточной деформации, трещин, расслоения её под действием механических усилий.
Изоляция должна сохранять стабильный химический состав, ибо его изменение приводит к снижению её электрической прочности.
Изоляция должна иметь устойчивую структуру, так как лишь однородная и монолитная структура может обладать всеми перечисленными выше свойствами.
В зависимости от конкретных условий работы к изоляции могут предъявляться и различные другие требования, например такие, как химическая стойкость, морозоустойчивость, тропикостойкость и пр.
Необратимые изменения структуры и химического состава изоляции, происходящие под воздействием указанных выше факторов в совокупности, называется её старением.
Процесс ухудшения свойств изоляции в результате старения называется износом.
Таким образом, термин «старение» относится к материалу, а термин «износ» к изоляционной конструкции.
В отдельных случаях износ может и не быть следствием старения, кроме того, возможны повреждения изоляции не связанные с износом: продавливание, прорезание её острыми кромками металлических деталей, образование трещин вследствие значительных напряжений при изгибе и т.п. Такие местные дефекты часто развиваются сравнительно быстро и приводят к пробою изоляции задолго до существенного ухудшения её свойств во всём объёме вследствие электрического или термоокислительного разрушений.
Если скорость старения изоляции определяется в основном эксплуатационными условиями и свойствами применяемых материалов, то на образование местных дефектов оказывает значительное влияние также уровень технологии и общей культуры производства, условия хранения электрических машин, их транспортировки и монтажа.
2. Старение изоляции под действием температуры
Диэлектрические материалы, используемые для изготовления внутренней изоляции установок высокого напряжения при комнатной температуре практически инертны. Однако при рабочих температурах (90-180°С) в этих материалах возникают или резко ускоряются химические реакции, которые изменяют структуру материалов и вызывают ухудшение свойств всей изоляции в целом.
Эти процессы именуют тепловым старением. Твердые диэлектрические материалы в процессе теплового старения постепенно снижают механическую прочность. Это приводит к повреждению изоляции под действием механических нагрузок и затем уже к пробою.
В жидких диэлектриках в результате теплового старения образуются газообразные, жидкие и твердые продукты реакций. По мере накопления этих продуктов, загрязняющих изоляцию, проводимость и диэлектрические потери растут, а электрическая прочность снижается.
Среди различных факторов, определяющих срок службы изоляции электрических машин, одним из основных является старение изоляции под действием температуры. Это явление лучше других поддаётся количественному учёту, а поэтому сравнительно подробно исследовано.
С точки зрения температурных воздействий на изоляцию различают понятия «теплоустойчивость» и «нагревостойкость».
Теплоустойчивостью называют способность электроизоляционного материала сохранять свои свойства на определённом уровне при относительно кратковременном перегреве.
Материал не должен при этом разрушаться, менять свои химические свойства, не должно возникать пластических деформаций, вытекание или разрушение связующего и т.п.
Нагревостойкость характеризует способность материала без существенного ухудшения характеристик выдерживать воздействие предельно допустимой для данного типа изоляции температуры в течение периода времени, соответствующего сроку службы машины, и при обусловленных величинах других эксплуатационных воздействий.
Как видно, с практической точки зрения нагревостойкость является более важной характеристикой изоляции, поэтому именно она положена в основу классификации изоляционных материалов.
Поскольку нагревостойкость определяется скоростью старения изоляции в условиях повышенных температур, особое значение приобретают методы расчёта скорости старения и на этой основе - срока службы изоляции.
Для ограничения теплового старения и обеспечения требуемого срока службы изоляционной конструкции для отдельных видов изоляции устанавливаются в соответствии с ГОСТ и рекомендациями Международной электротехнической комиссии (МЭК) наибольшие допустимые рабочие температуры. По величине допустимой рабочей температуры все изоляционные материалы делятся на 7 классов нагревостойкости.
|
Класс нагревостойкости |
Y |
A |
E |
B |
F |
H |
C |
|
Наибольшая рабочая температура в °С |
90 |
105 |
120 |
130 |
155 |
180 |
более180 |
|
Наибольшая рабочая температура в °К |
363 |
378 |
393 |
403 |
428 |
453 |
более 453 |
При указанных температурах обеспечиваются технико-экономически целесообразные сроки службы электрооборудования. При повышении температуры срок службы изоляции снижается.
Первые работы в этом направлении имели, главным образом, опытный характер и относились к изоляции класса А. В результате было сформулировано правило «восьми градусов» (правило Монтзигера). В соответствии с этим правилом повышение температуры на каждые 8°С сверх предельно допустимой сокращает срок службы изоляции вдвое.
, (1)
где - температура нагрева изоляции, °С;
Т - срок службы изоляции при этой температуре (в годах);
Т0 - срок службы изоляции при так называемых «нулевых» условиях (при = 105°С составляет 6,225*104 лет);
= 8°С - превышение температуры над допустимой, при которой срок службы изоляции сокращается в два раза.
Примечание. Установлено, что величина = 8°С соответствует только классу А - для других классов изоляции она повышается до (10-12)0С, а именно чем выше класс нагревостойкости, тем медленнее происходит её старение при соответствующей предельно допустимой температуре.
Уравнение для любого класса нагревостойкости изоляции может быть представлено в логарифмической форме
(2)
где к = ln2/ . Из уравнения (4) видно, что логарифм срока службы изоляции линейно зависит от температуры.
Несмотря на эмпирический характер уравнения (2), оно находит известное практическое применение и позволяет производить ориентировочные расчёты в тех случаях, когда они относятся к сравнительно небольшим отрезкам времени и небольшим диапазонам изменения температуры.
Пример 1. Воспользовавшись правилом «восьми градусов», оценить срок службы изоляции класса А, если её рабочая температура составляет: 105°С; 113°С.
Решение
Воспользуемся формулой (4).
При = 105°С lnT=ln(6,225•104)-(1n2/8) •105 = 11,0389-9,0976 = 1,94, T= е1,94 = 6,9678 = 7 лет.
При = 113°С In Т- 1n (6,225• 104) - (1n2/8) •113 = 11,0389 - 9,7907 = 1,25 > T= е1,25 = 3,4903 = 3,5 года.
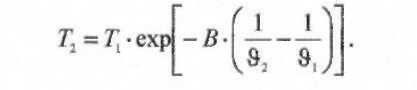
Более строгий подход к исследованию явления старения изоляции под влиянием температуры связан с применением общих законов кинетики химических реакций. Существует следующая зависимость скорости протекания химических реакций от температуры:
(3)
где - абсолютная температура (градусы Кельвина);
К - постоянная скорости реакции.
Коэффициенты А и В в уравнении (3) имеют определённый физический смысл и связаны с постоянными, характеризующими состав и структуру вещества, участвующего в реакции.
(4)
где В = Ea /R и G - постоянные, характеризующие состав и структуру вещества;
Еа - избыточное по сравнению со средней величиной количество энергии (энергия активации), которым должна обладать молекула вещества, чтобы оказаться способной к химическому взаимодействию;
R = 8,32 Дж/град-моль - универсальная газовая постоянная.
На основании этого, зная срок службы изоляции T1 при температуре 1, можно определить её срок службы T2 при температуре 2 из следующего уравнения:

Пример 2. Уточнить срок службы изоляции класса А по данным примера 1, воспользовавшись законом кинетики химических реакций. Решение
Экспериментальное значение Ea /R для класса изоляции А согласно [4] составляет 0,95*10-4 °К. Тогда, учитывая найденные в примере 1 сроки службы изоляции при температуре 1 = 273 + 105°К и температуре 2 = 273 + 113°К, найдём

Пример 3. Вследствие замыкания листов активной стали турбогенератора в зубцовой зоне возникло местное повышение температуры до 250°С. Определить время разрушения изоляции обмотки, считая, что она относится к классу В.
Решение
В соответствии с экспериментальными исследованиями [4]: Ea /R = 1,02*104 °К и G = 15,5 для класса изоляции В, тогда по формуле (4) имеем lnТ= 1,02*104/(273 + 250) - 15,5 = 4 Т= е4 = 54,598 ~ 55 часов.
Поскольку такой расчёт учитывает лишь тепловое старение, а во время работы машины изоляция испытывает ещё электрические и механические воздействия, то можно предположить, что в действительности её разрушение вследствие пробоя произойдёт значительно раньше.
3. Старение изоляции под действием электрического поля
В процессе эксплуатации изоляция электрических машин длительное время находится под рабочим напряжением, а кроме того, периодически испытывает воздействие повышенных напряжений: при профилактических испытаниях и различных волновых явлениях.
Данные эксплуатации и экспериментов показывают, что заметное влияние электрического поля на срок службы изоляции начинает обнаруживаться в машинах с номинальным напряжением 6 кВ.
Электрическое старение происходит весьма медленно в новой и доброкачественной изоляции, достаточно плотной и монолитной. Оно постепенно ускоряется по мере развития общего разрушения, вызванного различными причинами (тепловые, механические, электрические и др.), сопровождающегося расслоением и разрыхлением изоляции, образованием в ней пор, пустот (воздушных или газовых прослоек), трещин. Различные микродефекты есть в той или иной степени и в новой изоляции, но по мере её старения их количество и размеры существенно увеличиваются.
С появлением таких неоднородностей в изоляции развиваются ионизационные процессы, сопровождающиеся прогрессирующим её разрушением. Ионы, разгоняющиеся в электрическом поле, бомбардируют поверхность изоляционных прослоек. В пустотах изоляции, особенно при перенапряжениях, возникают частичные разряды, разрушающие отдельные слои изоляции за счёт теплового эффекта и механического расщепления. Кроме того, разряды сопровождаются химическими реакциями с образованием озона, взаимодействие которого с азотом воздуха и парами воды приводит к образованию азотной кислоты, разрушительно действующей на изоляцию.
Частичные разряды иногда приводят к так называемым незавершённым пробоям, когда пробивается лишь часть слоев. С течением времени разряды становятся чаще, а напряжение их возникновения - меньше. Этот процесс завершается полным пробоем.
Кроме разрядов в толщине изоляции при определённых условиях возникают также поверхностные разряды, которые сопровождаются разрушением внешних слоев изоляции. Если не принять мер против коронирования, то изоляция может выйти из строя в течение нескольких месяцев.
Влияние электрического поля на срок службы изоляции исследовано ещё недостаточно. Для оценки этого влияния иногда пользуются зависимостью вида

Где АЕ и m - постоянные, зависящие от свойств изоляционного материала.

Рис.1. «Кривая жизни» изоляции.
Примечание. Эти характеристики называются «кривыми жизни» изоляции и выражают зависимость времени Т до пробоя образца от величины приложенного напряжения Е.
Геометрический смысл характеристик ясен из рис. 1. Старение изоляции выражается в смещении «кривой жизни» параллельно ее исходному состоянию (характеристика - 1) влево. Такое смещение отражает также влияние изменения качества сырья или технологии изготовления изоляции.
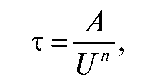
С увеличением напряжения, приложенного к изоляции, темпы электрического старения возрастают, а срок службы соответственно уменьшаются. Экспериментально установлено, что зависимость срока службы от значения воздействующего напряжения U в диапазоне значений т от 0 до 104 часов имеет вид:
(5)
где A - постоянная, зависящая от свойств изоляции;
n - показатель степени, зависящий от конструктивных особенностей изоляции и рода воздействующего напряжения (n = 4-8 при напряжения промышленной частоты и n = 9-12 при постоянном напряжении).
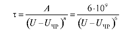
Для области больших сроков службы используют другую формулу:
(6)
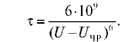
где Uчр - напряжение появления в изоляции частичных разрядов, являющихся основной причиной электрического старения внутренней изоляции. Типичным значением постоянной А для твердой изоляции при нормальных условиях является значение 6109 год/(кВ)n. Показатель степени n обычно выбирают равным 6. Таким образом, формула (5) записывается:
(7)
Частичные разряды представляют собой локальные пробои ослабленных участков изоляции, которыми являются газовые полости. Зависимости = f(U) получили название «кривых жизни» изоляции. Формулой (3) пользуются для случая, когда U > Uчр. При U < Uчр электрического старения изоляции не происходит и срок ее службы неограниченно возрастает. На рис. 2 приведена «кривая жизни» изоляции в двойном логарифмическом масштабе.

Рис. 2. «Кривая жизни» изоляции в двойном логарифмическом масштабе
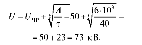
Пример 4. Напряжение возникновения частичных разрядов (ЧР) в изоляционной конструкции Uчр =50 кВ. Какое рабочее напряжение можно приложить к изоляции, чтобы расчетный срок службы ее от электрического старения составил = 40 лет?
Решение. Из формулы (3) для срока службы изоляции от электрического старения

определим величину рабочего напряжения:

4. Старение изоляции под действием механических нагрузок
Одним из важнейших факторов износа и старения изоляции являются механические и термомеханические нагрузки.
К первым относятся статическое давление на изоляцию, изгибающие и скручивающие усилия, удары и вибрация.
Термомеханическими называют нагрузки, возникающие в результате периодических нагревов и охлаждения обмотки.
Источники механических воздействий: электродинамические силы, неуравновешенность вращающихся частей, центробежные усилия, толчки и удары, передаваемые со стороны приводов или механизмов.
В большинстве случаев перечисленные усилия имеют циклический, знакопеременный характер, причём наиболее типичной является вибрация с частотой 100 Гц. Периодически при переходных процессах (пуск, реверс, короткое замыкание и т.п.) амплитуды вибраций увеличиваются в десятки раз вследствие увеличения тока в обмотках и квадратичной зависимости электродинамических усилий от тока. Особо заметные усилия могут возникать в обмотках крупных машин - турбо и -гидрогенераторов.
Механические характеристики изоляции зависят от температуры. По мере нагревания предел прочности изоляции быстро снижается, причём одновременно изоляция становится более эластичной. Например, предел прочности микалентной компаундированной изоляции при растяжении составляет 3340 Н/см2 при 20°С и лишь 344 Н/см2 при 100°С. Значения эти могут колебаться очень существенно в зависимости от особенностей технологии, величины наработки и пр.
Современные сорта изоляции обладают значительной устойчивостью по отношению к статическим нагрузкам. Однако опыт показывает, что даже при сравнительно небольших деформациях имеет место существенное снижение пробивного напряжения, происходящее примерно по линейному закону. Для каждой температуры существует определённый предел деформации, за которым снятие нагрузки не приводит к восстановлению первоначальных диэлектрических свойств. Это свидетельствует о том, что значительные деформации сопровождаются появлением необратимых структурных изменений в виде трещин, разрывов, расслоения и т.п., а также - перераспределению связующего.
Хотя в среднем статические нагрузки изоляционных материалов в электрических машинах обычно невелики, в отдельных точках могут иметь место значительные концентрации механических напряжений, отражающихся на скорости старения изоляции.
Более существенное влияние на процесс разрушения изоляции электрических машин оказывают циклические знакопеременные нагрузки, возникающие под действием вибраций различного происхождения. В нормальном режиме работы вибрация обычно незначительна по амплитуде, но число циклов за время службы машины может достигать порядка 1010.
При этом новая изоляция, прочная и эластичная, мало подвержена вибрационному старению, особенно при повышенных температурах, когда пропиточный компаунд обладает высокой пластичностью. По мере её старения разрушение изоляции под действием вибрации быстро прогрессирует. Этому способствует постепенное ослабление крепления обмотки как в пазах, так и в лобовых частях.
Воспроизведение в лабораторных условиях вибрационного старения изоляции сопряжено со значительными затратами времени и техническими трудностями. Поэтому такие испытания позволяют дать только косвенную оценку этого явления, в частности:
- вибрация представляет собой медленно действующий фактор, её последствия обнаруживаются лишь через значительное число циклов;
- в изоляции, подвергнутой искусственному старению, под воздействием вибрации наблюдаются дефекты, близкие по своему характеру к изменениям в изоляции со значительной наработкой;
- вибрационное старение вызывает наиболее резкое ухудшение состояния изоляции в местах выхода стержней или катушек из пазов, предполагается, что структурные изменения, вполне аналогичные наблюдаемым после ускоренных испытаний, имеют место при переходных процессах, когда амплитуды вибраций достигают значительных величин;
- действие вибрации на всыпные обмотки выражается в постепенном разрушении пропиточного лака, в результате чего нарушается цементация обмотки и отдельные проводники приобретают некоторую свободу перемещения. Это ведёт к разрушению витковой изоляции в точках соприкосновения проводников.
Из опыта следует, что вибрация сокращает срок службы изоляции в несколько раз.
Старение изоляции низковольтных машин, работающих при умеренных температурах обмоток, вообще не может быть объяснимо с помощью тепловых или электрических явлений. В этом случае наиболее вероятными причинами, вызывающими постепенное разрушение изоляции, являются механические нагрузки и химическое воздействие окружающей среды.
Определённую роль в процессах разрушения изоляции играют термомеханичские явления, связанные с различием коэффициентов теплового расширения изоляции и проводников. Это приводит к образованию трещин, разбуханию изоляции, расслоению её и взаимному смещению отдельных слоев.
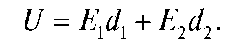
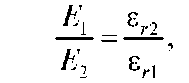
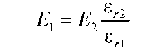
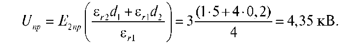
Пример 5. Расстояние между плоскими токоведущими частями d1 = 5 мм заполнено диэлектриком, имеющим значение относительной диэлектрической проницаемости е r1 = 4 и электрической прочности Enp1 = 20 кВ/мм. Какое предельное напряжение можно приложить к токоведущим частям и насколько снизится это напряжение, если между токоведущими частями появится микротрещина - воздушная прослойка толщиной d2 = 0,2 мм? Электрическая прочность воздуха Е np2= 3 кВ/мм, а относительная диэлектрическая проницаемость равна 1.
Решение. Предельное напряжение между токоведущими частями при отсутствии микротрещин равно:

При наличии микротрещины воздушной прослойки напряжение между токоведущими частями будет равно:

Зная, что напряженности в различных слоях обратно пропорциональны диэлектрическим проницаемостям, т.е.

выразим напряженность E1 в диэлектрике

и подставим это значение в уравнение для напряжения:

Подставив вместо значения Е2 его электрическую прочность, найдем значение предельного напряжения при наличии воздушной прослойки:

Отсюда следует, что значение предельного напряжения уменьшилось в 23 раза, что, естественно, приведет к преждевременному пробою изоляции.
5. Старение изоляции под действием влаги и химически активных веществ
Важным фактором старения изоляции является воздействие химически активных сред и влаги. Влага проникает в изоляцию главным образом в те периоды, когда последняя находится в нерабочем состоянии. Особенно интенсивно процесс идёт при остывании изоляции после её работы, так как в этот период давление в её порах и капиллярах несколько ниже атмосферного.
Под действием влаги происходит гидролитическое разрушение изоляционных материалов, заключающееся в разрушении полимерных цепей. Периодическое проникновение влаги и удаление её увеличивает пористость изоляции. Эти процессы развиваются параллельно с другими явлениями старения изоляции и взаимно стимулируют друг друга.
Весьма вредное действие на изоляцию оказывают химически активные вещества: щёлочи, кислоты и их ангидриды, находящиеся в окружающей среде. Изоляцию разрушают также масла и пары растворителей. Пыль, содержащаяся в окружающем воздухе, оказывает на изоляцию абразивное действие.
Совокупное влияние на срок службы изоляции температуры, влажности и агрессивных сред можно оценить по следующему уравнению:

где С - концентрация агрессивного агента;
- относительная влажность.
Таким образом, процессы старения изоляции поддерживают и активизируют друг друга. Разрушение изоляции происходит постепенно, а начало ему даётся процессом теплового старения.
PAGE \* MERGEFORMAT 17
Старение изоляции под действием тепловых, климатических и механических факторов