Организация коммерческо-посреднической деятельности
Тема 9.4. Организация коммерческо-посреднической деятельности
Вопросы
- Коммерческо-посредническая деятельность и ее виды.
- Понятие коммерческих посредников, их роль в организации обращения товаров. Основные виды посредников.
- Понятие, формы и методы оптовой продажи товаров.
- Организация торговли на выставках и ярмарках. Аукционная торговля. Биржевая торговля.
- Формы розничной торговли.
- Закон Республики Беларусь «О защите прав потребителей».
- 1 -
В настоящее время все более широкое распростране-
ние в практике торговой деятельности получают опера-
ции, осуществляемые при содействии не зависимых от
производителей торговых фирм, организаций и частных
лиц, которые стоят как бы между производителями и
потребителями товаров. С коммерческой точки зрения
ко всем такого рода фирмам, организациям и частным
лицам применимо понятие «торговые посредники», од-
нако с организационно-правовой точки зрения посред-
ники делятся на тех, кто непосредственно заключает
сделки с производителем товара и в дальнейшем про-
двигает этот товар у себя на рынке, и тех, кто оказывает
посредническое содействие продвижению товаров.
Кроме содействия продвижению товаров в настоящее
время посреднические фирмы способствуют совершению
сделок в области подрядных работ, развитию арендных
и лизинговых операций, помогают в установлении про-
изводственной и сбытовой кооперации, оказанию стра-
ховых, транспортных, туристических и других услуг.
Торговое посредничество очень важная и неотъем-
лемая часть рыночной экономики. Успех торгово-посред-
нической деятельности зависит от торгового, финансо-
вого, транспортно-экспедиторского, страхового, реклам-
ного и консалтингового обеспечения. Крупные торговые
посредники, занятые оптовой торговлей, обычно имеют
собственную материально-техническую базу: склады, ма-
газины, демонстрационные залы, службы, связанные с
послепродажным сервисным обслуживанием товаров,
транспортные средства.
Посредники это лица, которые связывают сторо-
ны, желающие заключить сделку; действуют в области
перевозки, хранения, страхования, сбыта товаров и в
других областях. В качестве посредников могут высту-
пать как отдельные лица, так и учреждения. В отличие
от торговцев, которые ведут дело за свой счет и высту-
пают самостоятельно в системе производства и потреб-
ления, посредники работают за счет поручителя и полу-
чают за это вознаграждение.
Принципиальная схема организации оптово-посреднической фирмы показана на Рис.1.

Цель привлечения посредников повышение эко-
номической эффективности, в том числе торговых опе-
раций. Например, при реализации товаров народного
потребления торговый посредник освобождает произво-
дителя товара от многих обязанностей, связанных с его
реализацией. Он поставляет товар на рынок, сортирует,
упаковывает, подбирает по ассортименту, стремится при-
способить его к запросам рынка.
В современной практике в процессе осуществления коммерческо-посреднической деятельности со стороны посредника возможно осуществление следующих услуг:
· информационно-коммерческих услуг;
· комиссионных услуг;
· научно-консультативных (консалтинговых);
· инжиниринговых;
· лизинговых;
· рекламных;
· по организации системы ФОСТИС.
Рассмотрим перечисленные услуги посредников подробнее.В процессе оказания информационно-коммерческих услуг посредническая фирма в соответствии с полученными заказами обеспечивает обслуживаемые предприятия и организации коммерческой информацией, содержащей сведения, необходимые для организации закупок и сбыта продукции и, прежде всего информацией о потенциальных производителях требуемых товаров, их производственных мощностях, цене товаров, способах доставки грузов. Большим значением обладает маркетинговая информация, включающая результаты анализов и прогнозы конъюнктуры рынка данного вида товара, цены, требуемые объемы товаров, их ассортимент, уровень конкуренции и многие другие показатели состояния рыночного механизма.
Большой удельный вес в коммерческой деятельности составляет деятельность в области оказания комиссионных услуг на основе оформления комиссионного соглашения.
На товарном рынке владелец товара (комитент) поручает торговому посреднику (комиссионеру) продать (обменять) этот товар и/или закупить его. В комиссионных соглашениях отражаются условия продажи, цена товара, способы его транспортировки, величина комиссионного вознаграждения (бонуса), обязанности и ответственности сторон, их реквизиты.
В случае оказания комиссионных услуг посредник не является собственником товара, а действует от своего имени по поручению заказчика в рамках заключенного соглашения. Комиссионную деятельность посредники могут осуществлять также с помощью комиссионной торговли, в том числе розничной для населения и мелкими партиями для предприятий.
Посредническая деятельность дает возможность выполнения работ по оказанию научно-консультативных услуг. В мировой практике используется такое понятие как консалтинговые услуги. Данные услуги осуществляются для заказчиков, нуждающихся в научных консультациях, различного рода.
На мировом рынке услуг набирает обороты бизнес инжиниринговых услуг, т.е. оказание предприятиям-заказчикам услуг при строительстве промышленных и социально-бытовых объектов, включая рекомендации по выбору оптимального варианта строительства, разработке строительного проекта, поставке оборудования, машин механизмов, строительству “под ключ”, пуску объекта, его эксплуатации, а также нахождение и внедрение эффективных технологических решений.
Среди основных направлений современного посреднического бизнеса присутствуют лизинговые услуги в области предоставления клиентам в аренду технических средств, зданий, сооружений и товаров широкого потребления преимущественно на долговременной основе. Эти услуги позволяют потребителям пользоваться имуществом без единовременного крупного вложения собственных средств для их приобретения, что особенно важно для мелких и средних предприятий-покупателей, избежать потерь, связанных с моральным старением имущества.
Не менее важным направлением в работе посреднических организаций является оказание клиентам рекламных услуг, т.е. услуг в области рекламирования товаров через различные рекламные издания и средства информации (печатные издания, средства вещания, внутренняя наружная реклама и др.). Посредническая организация выполняет также работу по обоснованию и определению размера бюджета на рекламу, разработке рекламной программы, рекламных листков, каталогов, видео-роликов, вопросов спонсирования при проведении крупных спортивных зрелищных мероприятий и эстрадных шоу.
Со стороны посреднических организаций возможна организация целой системы продвижения товара на рынок, так называемой, системы ФОСТИС. Формирование спроса и стимулирование сбыта является наиболее активной и результативной системой продвижения товара. Она состоит из комплекса рекламных мероприятий направленных на создание имиджа товара, его поддержание, создание программы вывода товара на рынок, а так же маркетинговый анализ проводимых рекламных мероприятий.
Под торгово-посредническими операциями понимают-
ся операции, связанные с куплей-продажей товаров, вы-
полняемые по поручению производителя не зависимым
от него торговым посредником на основе заключаемого
между ними соглашения или отдельного поручения.
Торговое посредничество в экономическом смысле
это довольно широкое понятие. Оно включает значи-
тельный круг услуг, в частности, по поиску контраген-
та, подготовке и совершению сделки, кредитованию сто-
рон и предоставлению гарантий оплаты товара покупа-
тел ем, осуществлению транспортно-экспедиторских опе-
раций и страхованию товаров при транспортировке,
выполнению таможенных формальностей, проведению
рекламных и других мероприятий по продвижению то-
варов на рынок, осуществлению технического обслужи-
вания и проведению иных операций.
Торгово-посредническое звено непременный элемент
рыночного хозяйства, процесса товародвижения. Однако
это не значит, что посредник может быть навязан товаро-
производителю извне. Выбор целесообразности сотрудни-
чества с посредником остается за товаропроизводителем.
Посредническая фирма это коммерческое предпри-
ятие или организация, стоящая между производителя-
ми и потребителями товаров и содействующая реализа-
ции последних.
При выделении видов посреднической деятельности
определяющими факторами являются, во-первых, от чье-
го имени действует посредник (от своего или от имени
производителя), т. е. для кого в результате операций
посредника возникают юридические последствия: для
него самого или для обслуживаемого им производителя;
во-вторых, за чей счет действует посредник (за свой или
за счет производителя), т. е. на чей счет относятся
расходы или доходы, возникшие в результате операций
посредника: на счет самого посредника или на счет об-
служиваемого им производителя.
В практике выделяются следующие виды посредни-
ческих операций:
• дилерские операции, когда посредник действует от
своего имени и за свой счет;
• комиссионные операции, когда посредник действует
от своего имени, но за чужой счет;
• операции по договорам поручения, агентские пору
чения, когда посредник действует от чужого имени
и за чужой счет.
К организаторам торговли можно отнести оптовые
рынки, биржи, аукционы, ярмарки.
-3 -
Оптовая торговля - по своей сути представляет деятельность, связанную с поставкой товаров и услуг рыночным посредникам, розничной торговле или корпоративным клиентам. К оптовой торговле не относится сбытовая деятельность производителей и розничных торговцев.
Специфика оптовой торговли отражается в следующих экономических категориях:
· Продажа и продвижение. Оптовики облегчают производителям доступ к большему числу корпоративных покупателей. У оптовых торговцев налажены обширные связи, благодоря чему покупатели чаще доверяют больше торговле, чем абсолютно неизвестному производителю.
· Закупки и формирование ассортимента. Оптовые торговцы производят отбор товара, грамотно планируют ассортимент, избавляя розницу от лишней работы, хотя это условие в большей степени диктуется фактором конкуренции.
· Массовость (оптовая выборка товара). Оптовая организация помогает корпоративному клиенту экономить средства, поставляя товар с меньшими затратами и ценами.
· Складирование. Оптовики занимаются хранением товара, сокращая тем самым затраты и риски поставщиков и покупателей.
· Транспортировка. Оптовики обеспечивают более быструю доставку клиентам, потому что находятся ближе к ним, чем компания-производитель.
· Финансирование. Оптовик осуществляет финансирование клиентов, предоставляя кредиты и оплачивая большие партии товаров.
· Принятие риска. Оптовики принимают на себя часть риска, получая товар в собственность и принимая на себя потери связанные с воровством, повреждением, порчей, переоценкой и устареванием товара.
· Маркетинговая информация. Оптовые компании предоставляют поставщикам и покупателям информацию о деятельности фирм-конкурентов, появлении новых продуктов и изменении цен.
· Услуги по управлению и консультационные услуги. Оптовики очень часто оказывают поддержку розничным торговцам, обучая продавцов, принимая участие в разработке планировки магазина и оформлении витрин, устанавливая новые системы учета и управления запасами. Кроме того, они предоставляют корпоративным покупателям услуги по обучению персонала и техническому обслуживанию поставленного торгового оборудования.
Система оптовой торговли в российской экономике является основным каналом продвижения товаров как отечественного, так и значительной массы товаров зарубежного производства. Оптовая торговля охватывает практически все виды продукции производственно-технического и индивидуального потребления, реализуемые через рынок. Оптовая торговля находится в центре хозяйственных связей, осуществляемых оптово-посредническим звеном как с производством, так и с потреблением.
Общая система оптовой торговли показана на рис. 2:

Рисунок 2. Система оптовой торговли.
- 2 -
Важной особенностью качественных сдвигов, проис-
ходящих сейчас в торгово-посреднической деятельнос-
ти, является усиление специализации (по отдельным то-
варам, видам деятельности, предоставляемым услугам,
совершаемым операциям, характеру соглашений и фун-
кций) торгово-посреднических фирм. Подобная специа-
лизация позволяет провести классификацию существу-
ющих в настоящее время торгово-посреднических фирм.
В зависимости от особенностей выполняемых ими опе-
раций и возложенных на них функций выделяют следу-
ющие посреднические фирмы:
1. Торговые:
1.1. Торговые дома.
1.2. Экспортные фирмы.
1.3. Импортные фирмы.
1.4. Розничные фирмы.
1.5. Дистрибьюторы.
1.6. Стокисты.
1.7. Оптовые фирмы.
2. Комиссионные:
2.1. Комиссионные экспортные:
2.1.1. Представитель продавца.
2.1.2. Представитель покупателя:
2.1.2.1. Конфирмационные дома.
2.2. Комиссионные импортные фирмы.
3. Агентские:
3.1. Агенты в стране принципала:
3.1.1. Экспортный агент.
3.1.2. Агент-резидент.
3.2. Агенты в иностранном государстве:
3.2.1. Заграничный сбытовой агент.
3.2.2. Заграничный закупочный агент. 4. Представитель фирмы.
5. Брокерские.
6. Фэкторы.
Торговые фирмы подразделяются на торговые дома,
экспортные фирмы, оптовые фирмы, розничные фир-
мы, дистрибьюторы, стокисты.
Торговые дома многопрофильные, многофункци-
ональные компании или ассоциации, занимающиеся тор-
гово-посреднической и коммерческой деятельностью.
Часто они занимаются и производственной деятельнос-
тью, связанной в основном с обработкой реализуемых
товаров. В международном понимании торговый дом
это фирма или компания, представляющая собой ассо-
циацию торговых, складских, производственных пред-
приятий и осуществляющая свою деятельность как в
собственной стране, так и за рубежом.
Коммерческая деятельность.
Организация и управление Раздел 4. Организация и управление коммерческой
Экспортные фирмы также чаще всего выступают в
роли дилеров, закупая за свой счет товары на внутрен-
нем рынке, а затем перепродавая их от своего имени за
границу.
Импортные фирмы являются по своей сути дилера-
ми. Они закупают за свой счет товары за границей, а
затем продают их от своего имени на внутреннем рынке
промышленникам, оптовым и розничным торговцам.
Оптовые фирмы являются посредниками дилера-
ми между промышленными или заготовительными пред-
приятиями и различными торговыми фирмами. Заку-
пая за свой счет товары крупными партиями за рубе-
жом или внутри страны, они в дальнейшем реализуют
эти товары отдельным потребителям более мелкими
партиями. За счет разницы в цене создается прибыль.
Находясь к клиентам ближе, чем изготовители, они
способны обеспечить торговцам быстрые поставки. Обыч-
но оптовики имеют дело с несколькими поставщиками
и способны предложить взаимодополняющие товары.
Розничные фирмы проводят дилерские операции по
импорту и экспорту товаров, не пользуясь при этом ус-
лугами экспортных, импортных и оптовых фирм. Круп-
ные розничные фирмы располагают широкой сетью фи-
лиалов, дочерних компаний.
Дистрибьюторы занимаются распродажей товаров,
определенных в дилерских соглашениях. Фирмы осу-
ществляют закупочные операции и выступают в каче-
стве торговцев по договору на основе соглашения о пре-
доставлении им права на продажу. Они получают ис-
ключительное право на закупку и продажу от своего
имени и за свой счет определенного перечня товаров
или услуг на определенных рынках.
Стокисты дилерские фирмы, осуществляющие экс-
портно-импортные операции на основе специального до-
говора на консигнационном складе. Такой договор заклю-
чается в дополнение к основному дилерскому договору о
предоставлении исключительного права на продажу.
Комиссионные фирмы выполняют разовые поруче-
ния комитентов и действуют от своего имени, но за счет
комитента. В зависимости от вида совершаемых опера-
ций и характера взаимоотношений с комитентом разли-
чают экспортные и импортные комиссионные фирмы.
Комиссионные экспортные фирмы могут выступать
представителем продавца либо покупателя. Представи-
тель продавца выполняет поручения отечественного про-
изводителя-экспортера по продаже его товаров на за-
граничном рынке и получает от него комиссионное воз-
награждение. При этом фирма обычно берет на себя
также ответственность за своевременность поставки то-
вара покупателю, транспортировку, финансирование и
документальное оформление сделки, выполнение всех
формальностей в стране покупателя и в ряде случаев
осуществляет гарантийное техническое обслуживание.
По поручению комитента она также может организо-
вать хранение товаров.
Представитель покупателя выполняет поручение ино-
странного покупателя по закупке товаров на рынке. В этом
случае комиссионная фирма размещает заказы (инден-
ты) у производителей. В обязанности представителя вхо-
дят также транспортировка и страхование грузов, под-
писание контракта и осуществление расчетов от имени
покупателя. Комиссионное вознаграждение выплачива-
ется такому представителю покупателем. Закупку това-
ров представитель покупателя производит, как правило,
против твердых заказов покупателя (закрытый индент),
но иногда он делает предложения постоянному клиенту
и по своей инициативе. Однако он никогда не берет рис-
ка неуплаты со стороны покупателя на свой счет.
Наиболее важными среди комиссионных экспортных
фирм представителей покупателя являются конфир-
мационные дома. Для них характерно принятие на себя
риска по кредитам, которые они от лица производителя
предоставляют покупателям. Конфирмационные дома
обычно принимают на себя риск на полную стоимость
Коммерческая деятельность.
Организация и управление Раздел 4. Организация и управление коммерческой
поставки и всю сумму экспортных кредитов и не требу-
ют от покупателей доказательств их кредитоспособнос-
ти (хотя косвенным путем убеждаются в прочном поло-
жении покупателя). Они обеспечивают также фрахто-
вание, страхование и кредитуют импортера, когда он
этого требует, осуществляя платеж наличными против
поставленных товаров.
Комиссионные импортные фирмы выступают пред-
ставителями покупателей своей страны. Они размеща-
ют заказы у иностранных производителей от своего
имени за счет отечественных комитентов. Помимо это-
го, они могут оказывать своим комитентам различные
услуги, в том числе составлять обзоры конъюнктуры
товарных рынков, следить за отгрузками товаров. Круп-
ные комиссионные фирмы имеют за границей своих
представителей, поддерживающих непосредственный
контакт с поставщиками и информирующих главные
конторы обо всех изменениях на рынке. Иногда импорт-
ная комиссионная фирма получает от иностранных про-
изводителей товары на консигнацию. В особенности это
касается машин и оборудования.
Агентские фирмы выступают от имени и за счет прин-
ципала. В зависимости от условий договора фирма либо
сама заключает сделки от его имени и за его счет, либо
только посредничает при заключении сделок. Для агент-
ских фирм характерно то, что они осуществляют пред-
ставительство на длительный срок и тесный контакт с
принципалом, юридически они всегда сохраняют от них
полную независимость.
По местоположению агентские фирмы подразделяются
на агентов в стране принципала (экспортный агент, агент-
резидент) и агентов в иностранном государстве (загра-
ничный сбытовой агент, заграничный закупочный агент).
Экспортным агентом называется торговая фирма, вы-
ступающая по поручению одного или небольшого числа
промышленных фирм своей страны на основе заключае-
мого между ними агентского договора. Агентская фирма
принимает от промышленных фирм коллекции образцов,
каталоги, прейскуранты, на основе которых она подыс-
кивает покупателей. Крупные экспортные агентские фир-
мы для получения иностранных заказов используют соб-
ственный заграничный аппарат в виде отделений и сбы-
товых агентств. Все транспортные расходы, понесенные
агентской фирмой, возмещаются промышленным пред-
приятием.
Импортный агент или агент-резидент, находящийся
в стране принципала, это фирма, осуществляющая
импортные операции за его счет. Некоторые агентские
фирмы помимо агентских услуг предоставляют также
услуги по хранению товаров иностранных поставщиков
на имеющихся у них складах в ожидании поступления
заказов и осуществляют определенную работу по про-
движению товаров на рынке, в частности рекламу.
Иностранный сбытовой агент это фирма, кото-
рой предоставлено право компанией другой страны дей-
ствовать от ее имени и за ее счет на определенной тер-
ритории в иностранном государстве по установленной
номенклатуре товаров. Обычно заграничные сбытовые
агенты берут на себя широкий круг обязанностей по
организации сбыта товаров принципала на рынке и осу-
ществлению технического обслуживания машин и обо-
рудования.
Нередко сбытовые агенты создают у себя демонстра-
ционные залы или площадки для показа оборудования,
организуют рекламу, создают склады.
Крупные агентские фирмы обычно располагают ши-
рокой сетью собственных отделений, филиалов и кон-
тор на территории своей страны. Если сеть филиалов и
контор фирмы-агента недостаточна для охвата всех эко-
номически важных районов, ей предоставляется право
назначения субагентов.
Иностранная закупочная агентская фирма выполняет
операции по закупке товаров за границей для своих
принципалов. К ее услугам обычно прибегают те им-
портеры, которые не имеют за границей собственных
филиалов и не посылают туда своих представителей.
Представитель фирмы это лицо или компания, на-
значенная представляющей товар фирмой с целью по-
иска агентов, дистрибьюторов и стокистов на опреде-
ленных рынках и наблюдения за их деятельностью.
Представитель фирмы сам в торговых переговорах не
участвует и сделки не заключает. Он не является слу-
жащим поставляющей компании и поэтому получает не
заработную плату, а комиссионное вознаграждение (либо
ему устанавливается определенный фиксированный го-
норар и в дополнение к нему выплачиваются комисси-
онные). Представитель фирмы может быть резидентом
в иностранном государстве или осуществлять свою дея-
тельность путем регулярных поездок за границу.
Брокерские фирмы это особый вид посредниче-
ских фирм, в обязанности которых входит функция све-
сти контрагентов. По законам некоторых стран броке-
ры не могут выступать сами покупателями или продав-
цами товаров, которые им поручено продать или купить.
Фэкторы • торговые посредники, выполняющие
широкий круг посреднических обязанностей от имени
поставщика товаров. Они не только осуществляют экс-
порт продукции своего принципала, но и финансируют
экспортные операции (предоставление делькредере, оп-
лата аванса производителю, выдача кредитов покупате-
лям), производят страхование экспортных кредитов, ин-
кассацию платежей в стране сбыта, а также содейству-
ют подбору заграничных агентов. Их многочисленные
конторы, расположенные в странах сбыта, берут на себя
операции по приемке товаров в портах назначения. Наи-
большее распространение фэкторы получили в торговле
текстильными товарами, кожей, лесом. Они использу-
ются, как правило, мелкими и средними промышлен-
ными предприятиями для продвижения товаров на рын-
ки США и других стран западного полушария.
В результате усиления специализации появились
крупнейшие транснациональные корпорации, занима-
ющие господствующие позиции на мировых рынках
отдельных товаров. Эти торговые ТНК представляют
собой гигантские хозяйственные комплексы, в сферу
деятельности которых входит осуществление не только
коммерческих операций, но и производство, а также
транспортировка продукции и финансирование сделок.
Указанные виды посредников можно условно объе-
динить в четыре класса: оптовые торговцы, розничные
торговцы, агенты и коммерческие компании по обслу-
живанию. С точки зрения реального оборота капитала,
оптовая торговля является базисным посредническим
звеном. Прочное положение, занимаемое этим посред-
ником на рынке, обусловлено большим количеством
функций сбыта, которые он выполняет.
Фирмы оптовой торговли, как правило, специализи-
руются по основным товарным направлениям. Это по-
зволяет им, во-первых, поддерживать постоянные дело-
вые связи с разными производителями и, во-вторых,
обеспечивать надлежащие, часто специфические усло-
вия хранения товаров. Прочная двусторонняя необхо-
димость рынка в этом типе посредника обусловливает
существование средне- и мелкооптовых фирм, основны-
ми задачами которых являются дальнейшее приближе-
ние товара к потребителю, обслуживание покупателей,
нуждающихся в более мелких поставках.
Предприятие оптовой торговли при сотрудничестве
с товаропроизводящим предприятием берет на себя тор-
говый риск, оплату транспортировки и хранения про-
дукции, снижает затраты за счет получаемой оптовой
скидки от товаропроизводителя и перевозки продукции
крупными транспортными единицами, что делает услу-
ги предприятий оптовой торговли привлекательными для
покупателей.
Главное назначение предприятий розничной торгов-
ли обеспечить максимально удобное предложение то-
вара в сферу личного потребления. При этом под словом
«удобство» понимается интегральный показатель, вклю-
чающий место и время предложения товара, количество
Коммерческая деятельность.
Организация и управление Раздел 4. Организация и управление коммерческой
(расфасовка), скорость покупки, цена, возможность по-
лучить сопутствующие услуги. Розничный потребитель
осуществляет выбор варианта покупки исходя из своих
персональных возможностей, которые неодинаковы. Так,
для людей с низкими доходами цена является главным
критерием выбора покупки, и они готовы потратить свое
свободное время для приобретения более дешевого това-
ра. Многообразие запасов розничных покупателей обус-
ловливает существование разнообразных предприятий
розничной торговли:
1. По широте ассортимента. Специализированные,
с узким диапазоном предлагаемых товаров и универ
сальные, с широким диапазоном. При этом каждый из
этих типов магазинов имеет свои достоинства. В основе
эффективности специализированных магазинов лежит,
как правило, более широкое предложение обозначенно
го товарного направления, универсальных возмож
ность покупателя приобрести в одном месте разнород
ные товары.
2. По уровню цен. Большинство магазинов предлага
ют свои товары по средним ценам. Ряд магазинов, ори
ентирующихся на покупателей с высокими доходами,
предлагают товары и обслуживание повышенного каче
ства по более высоким ценам, более комфортные усло
вия покупки и проявляют индивидуальное внимание к
каждому покупателю. Магазины, торгующие по снижен
ным ценам, ориентируясь на экономного покупателя,
организуют свою работу с минимальными издержками,
применяют, например, более скромный аскетичный ди
зайн, предлагают меньше услуг самообслуживание.
3. По характеру обслуживания. Хотя большинство
товаров продается в магазинах, внемагазинная рознич
ная торговля по темпам роста опережает магазинную.
Это объясняется тем, что торговля из киосков, ларьков,
через автоматы максимально приближена к покупате
лю, товары приобретаются «по пути», покупатель на
талкивается на предложение помимо своей воли, что
увеличивает вероятность принятия им импульсивного
решения о покупке. В настоящее время дальнейшее раз-
витие получила такая форма торговли, как заказы по
почте или телефону. Суть этой формы торговли состоит
в предварительном оповещении покупателей о назначе-
нии и свойствах товаров (через каталог, рекламу на ра-
дио, ТВ, печатную), приеме заказов от желающих сде-
лать покупку и организации последующей доставки. При
такой форме торговли фирма, не обладающая больши-
ми торговыми площадями, может обслужить большое
число покупателей и добиться хорошего оборота.
Наряду с продажей товара розничная торговля для
привлечения покупателя может оказывать ряд платных
и бесплатных услуг. Решение о платном или бесплат-
ном предоставлении тех или иных услуг принимается
руководством торговой фирмы и является полем конку-
рентной борьбы за покупателя.
Оптово-розничная торговля смешанная форма тор-
говли через торговые дома или дистрибьюторов осу-
ществляет розничную торговлю, обслуживая близко рас-
положенных покупателей, а также мелко- и среднеоп-
товую со своего склада для реализации товаров в других
регионах города, области.
Брокер посредник, реализовывающий товар на
основе комиссионного вознаграждения через биржу.
Функции сбыта, выполняемые брокером, немногочис-
ленны это налаживание контакта производителя с
покупателем и выгодная продажа (или покупка) това-
ра. Он никогда не является стороной в договоре, а вы-
ступает исключительно с целью сведения сторон, кото-
рые берут на себя обязательства по сделке, заключен-
ной при посредстве брокера. Брокеру предоставляются
специальные полномочия на заключение каждой от-
дельной сделки, и он обязан действовать строго в пре-
делах этих полномочий. В частности, брокер должен
выполнять указания своего клиента о количестве, ка-
честве, цене товара.
Коммерческая деятельность.
Организация и управление Раздел 4. Организация и управление коммерческой
По первому требованию клиента брокер обязан пред-
ставлять ему отчет обо всех проведенных от его имени
операциях. Если заключению сделки предшествуют дли-
тельные переговоры, в процессе которых ее условия ме-
няются, то брокер должен получать разрешение клиента
на внесение любого изменения в договор.
Брокеру могут быть поручены также контроль за ис-
полнением заключенного при его посредничестве кон-
тракта и предъявление рекламаций. По поручению сво-
их клиентов брокер может взять на себя также подбор
партии товаров определенного ассортимента, информа-
цию о состоянии рынка и т. д.
Брокер не имеет права представлять интересы дру-
гой стороны в сделке и принимать от другой стороны
комиссию или вознаграждение, за исключением тех слу-
чаев, когда на это имеется согласие клиента. Иногда в
качестве посредников выступают два брокера: один
по поручению покупателя, другой продавца.
Основным профессиональным качеством брокера яв-
ляется его информированность. Чтобы добиться эффек-
тивной сделки, брокеру необходимо знать специфику то-
вара, состояние рынка спрос и предложение, динамику
и колебания цен на товар, основных его производителей,
сферы применения товара исходя из его свойств. Брокеры
занимают более прочные позиции в оптовой торговле ма-
шинами, оборудованием и комплектующими изделиями.
В этом случае формирование торговых услуг сопровожда-
ется продвижением техники и изделий от производителя
к потребителю, что связано со значительными удельными
издержками, а также высокой трудоемкостью процесса
реализации, сопряженного с оказанием дополнительных
услуг, в первую очередь сервисных, по установке и эксп-
луатации оборудования. Следует отметить, что исходя из
ограниченности сбытовых функций, выполняемых броке-
ром (товар юридически через брокера не проходит воп-
росы транспортировки, хранения, страхования определя-
ются соглашением между покупателем и продавцом), его
роль в условиях развитого рынка представляется доста-
точно скромной. На первых этапах переходного периода
экономики в нашей стране число бирж и брокеров, зани-
мающихся товарными сделками, было чрезвычайно вели-
ко. Это было обусловлено многими причинами, такими
как необходимость налаживания разорванных деловых
связей, поиски изготовителей и потребителей друг дру-
гом, желание производителей получить за свой товар мак-
симально возможную, а не государственную цену. К на-
стоящему времени можно отметить, что большинство
брокеров выполнили задачу налаживания взаимных кон-
тактов, спрос на их услуги упал, а обстановка на товар-
ных биржах стала приближаться к принятым в мировой
практике как по спектру предлагаемых «биржевых» то-
варов, так и по характеру сделок. Одним из видов бирже-
вых сделок в мировой практике являются фьючерские,
т. е. определяющие условия купли-продажи товара в не-
далеком будущем, когда он будет произведен и готов к
отправке. В таком случае производители получают забла-
говременно гарантию сбыта нужной партии товара, а по-
купатели обеспечивают будущую их поставку.
Дилер (по товару) посредник, закупающий оптом
товары от разных производителей и продающий их от
своего имени в розницу или мелкими оптовыми парти-
ями. По сути дилерские фирмы выполняют те же функ-
ции, что и оптовая торговля, но, кроме того, в силу
специфики закупаемых товаров (технической сложнос-
ти) осуществляют их сервисное обслуживание. Выделе-
ние из оптовой торговли дилеров с передачей им на ре-
ализацию сложной продукции существенно повысило
эффективность сбыта. Дилеры, помимо чисто коммер-
ческой квалификации, обладают высокой технической
грамотностью, что позволяет лучше предложить товар,
продемонстрировать его в действии, обучить пользова-
нию, дать консультацию. Приобретая технику у диле-
ра, покупатель избавляет себя от множества проблем,
возникающих в процессе ее эксплуатации (например,
Коммерческая деятельность.
Организация и управление Раздел 4. Организация и управление коммерческой
ремонт, обеспечение запасными частями и расходными
материалами), тем самым между ним и дилером закла-
дывается основа для дальнейших контактов, обеспечи-
вая дилеру потенциального клиента на будущее.
Дистрибьютор это торговец, выступающий от име-
ни фирмы и выполняющий дистрибьюторские функции
по отношению к товаропроизводителю. Заключая дого-
вор с производителем на реализацию товара, дистри-
бьютор становится его полномочным представителем.
Производитель, прибегая к услугам дистрибьютора, при
совместном соглашении определяет цену, рынок, сроки
реализации, условия расчета за товары.
Независимые дистрибьюторы, выступающие в каче-
стве оптовых посредников, подразделяются на дистри-
бьюторов, имеющих и не имеющих склады. Дистрибь-
юторы, осуществляющие приобретение, складирование,
хранение и доведение товара до потребителя, относятся
к дистрибьюторам «с полным набором услуг».
Дистрибьюторы, приобретающие товары у постоянных
производителей и напрямую их реализующие, называют-
ся дистрибьюторами «с неполным набором услуг». В эту
группу входят представители малого и среднего посред-
нического звена. Такая форма посредничества широко
применяется при реализации скоропортящихся продук-
тов и небольших партий непродовольственных товаров.
Дистрибьюторы «с полным набором услуг» имеют
достаточно высокий уровень товарной специализации,
определяющий количественное содержание ассортимент-
ной номенклатуры по каждой группе товаров. Этот вид
посредников распространен при торговле компьютера-
ми, телевизорами, оргтехникой, автомобилями, запас-
ными частями.
Отношения между дистрибьюторами и заказчиками
строятся на договорной основе. При этом устанавлива-
ются размеры наценок к оптовой цене реализуемого то-
вара, а при осуществлении комплекса услуг сервисного
характера размеры скидок с оптовых цен. В практи-
ке оптово-посреднического взаимодействия с партнера-
ми размер наценок (скидок) регулируется в зависимос-
ти от конкретных условий: сроки выполнения контрак-
та, объем поставляемых партий, формы оплаты товаров
и др. Наценки (скидки) являются основными источни-
ками доходов дистрибьюторов. За счет полученного до-
хода они компенсируют свои вынужденные затраты.
Торговый агент (по товару) (дистрибьютор) отно-
сительно мелкий посредник, работающий по поручению
крупных фирм на основе комиссионного вознагражде-
ния, занятый реализацией товаров определенных групп
на четко обозначенной территории. Он при своей юри-
дической самостоятельности экономически тесно связан
с фирмой, поставляющей ему товары. Все сделки он осу-
ществляет от имени фирмы-поставщика и за ее счет.
Специализация торгового агента на товарах определен-
ных групп предусматривает хорошее знание им товара,
обеспечивая более убедительное предложение, а относи-
тельно узкие границы его деятельности дают возмож-
ность хорошо узнать потенциальных потребителей, под-
держивать с ними контакт, вовремя предлагая товары.
Функции сбыта, выполняемые торговым агентом, ого-
вариваются условиями его соглашения с фирмой-постав-
щиком и зависят от целей и возможностей поставщика,
специфики товара, возможностей торгового агента (на-
пример, наличия у него помещений под хранение това-
ра). Диапазон обязанностей торгового агента при этом
колеблется от узких рамок (поиска подходящего поку-
пателя) до широких (послепродажного обслуживания).
Агентские операции совершаются на основе более или
менее длительного (обычно многолетнего) соглашения,
именуемого агентским.
Независимость агента выражается в том, что он не
состоит в трудовых отношениях с принципалом и мо-
жет осуществлять свою деятельность самостоятельно за
определенное вознаграждение. Агент является в большин-
стве случаев юридическим лицом, зарегистрированным
Организация и управление
в торговом реестре. Хотя агент и обязан действовать в
пределах полномочий, определенных в агентском согла-
шении, он не подлежит прямому контролю и надзору со
стороны принципала.
Комиссионер торговый посредник, выполняющий
поручения владельца товара комитента, которые за-
ключаются в закупке, продаже и обмене товара. На ос-
нове комиссионного соглашения устанавливаются обя-
занности и ответственность сторон, а также размер воз-
награждения за услуги комиссионера. Комиссионеры в
своем распоряжении обычно имеют складские помеще-
ния для размещения и хранения товаров.
Распространенной разновидностью комиссионера яв-
ляется консигнатор. Он продает товары консигнанта
юридического или физического лица в рамках договора
консигнации. Консигнатор, действуя по поручению кон-
сигнанта, получает право на рекламирование и реали-
зацию товара от своего имени, но за счет консигнанта.
Консигнационная форма продажи используется в основ-
ном при поставках новых товаров, мало известных по-
купателям, или в целях освоения новых рынков.
Отличительной особенностью консигнатора является
выполнение им такой функции сбыта, как ответственное
хранение товара (консигнация). Товары отгружаются в
адрес консигнатора на его региональный склад для даль-
нейшей продажи на месте, но при этом товары остаются
собственностью отправителя. Если в течение срока, за-
крепленного в договоре, продукция не будет реализова-
на, то оставшаяся часть возвращается собственнику. Не-
достаточно сильная заинтересованность консигнатора в
продаже товара (плату за хранение он получит в любом
случае) приводит к тому, что классическая форма кон-
сигнационных отношений применяется ограниченно, или
в договоры консигнации вносится пункт, согласно кото-
рому консигнатор часть остатка нереализованного в срок
товара приобретает в собственность по согласованной цене.
Такая оговорка стимулирует консигнатора к более энер-
гичному сбыту, защищая интересы собственника товара.
В зависимости от специфики товара, консигнатор может
выполнять и другие функции сбыта оказывать сервис-
ные услуги, собирать информацию о потребителях, конъ-
юнктуре местного рынка.
Лизинговая компания посредник, приобретаю-
щий в собственность товар (главным образом, основ-
ные средства машины, оборудование, аппаратуру) и
реализующий его потребителю на условиях аренды с
правом последующего выкупа или без него. Привлека-
тельные возможности, предоставляемые лизинговой
компанией, обусловлены тем, что ее учредителями чаще
всего являются, с одной стороны, производители това-
ра, гарантирующие техническую обеспеченность дела,
с другой финансовые структуры, обеспечивающие
финансовую сторону.
Компании по обслуживанию оказывают предприя-
тиям услуги в сфере сбыта, не связанные с покупкой и
продажей. Для предприятия они являются субподряд-
чиками, способными выполнять определенные функции
благодаря своей специализации и опыту. Сюда входят
фирмы, обеспечивающие товародвижение (транспорти-
ровку и хранение), рекламу, исследование рынка, фи-
нансовое посредничество, страхование и т. д. Такие по-
средники участвуют в рабочем канале сбыта по мере
необходимости и вознаграждаются путем комиссии или
фиксированных платежей.
Можно также предложить другие классификации,
например, по методу обслуживания (самообслуживание
или полное обслуживание) или по характеру прибыли
(малая наценка/большой товарооборот или высокая на-
ценка/малый товарооборот). Розничные торговцы, дей-
ствующие по принципу «малая наценка/большой това-
рооборот», как правило, конкурируют по ценам, в то
время как реализующие принцип «высокая наценка/
малый товарооборот» делают упор на особый ассорти-
мент, имидж торгового предприятия.
Для современной ситуации характерна тенденция к
созданию мощных сбытовых систем, объединяющих фун-
кции оптовой и розничной торговли. Подобные системы
могут действовать, например, в форме крупных торго-
вых пространств (супермаркетов) или сетей магазинов.
Характерным признаком современного этапа разви-
тия торгового посредничества является также подчине-
ние крупным промышленным монополиям мелких и сред-
них торгово-посреднических фирм путем системы фран-
чайзинга, т. е. долгосрочных договоров с предоставлением
исключительного права на реализацию товаров и услуг с
сохранением торговой марки производителя.
К числу особенностей можно также отнести подчи-
нение торговым монополиям мелких и средних фирм и
производителей. Через них монополии осуществляют
скупку сырья, которое сами перерабатывают и реализу-
ют через собственные розничные магазины.
Таким образом, наблюдается укрупнение и объеди-
нение торгово-посреднических фирм, создание крупных
монополий и транснациональных корпораций с их уча-
стием, что свидетельствует о возрастании роли торгово-
посреднической деятельности в торговле.
- 3 -
На протяжении нескольких веков биржи являются
одним из центров рыночной экономики. Современные
товарные биржи результат длительной эволюции раз-
личных форм оптовой торговли и одновременно один из
видов организованного товарного рынка.
В Современном экономическом словаре под редак-
цией Райзберга Б.А. дано следующее определение: «Бир-
жа (от нем. Burse кошелек) регулярно функцио-
нирующий, организационно определенный оптовый
рынок однородных товаров, на котором заключаются
сделки купли-продажи партий товара».
Биржа, играя роль посредника в торговых операци-
ях, способствует установлению контактов между про-
давцами и покупателями товара и формированию опто-
вых рыночных цен посредством биржевых торгов. Бир-
жа является одним из видов организованного рынка.
Организованным товарным рынком называется мес-
то, где собираются покупатели и продавцы для осуще-
ствления торговых операций по определенным, установ-
ленным правилам. Всем видам таких рынков присущ
ряд общих черт:
• строго определенные правила проведения торгов;
• открытость в осуществлении торговых операций; • наличие оборудованных торговых площадей, склад
ских и офисных помещений;
• система связи и информации.
Биржу отличают:
• моментальность встречи спроса и предложения;
• сменяемость ролей;
• резкое ускорение процесса заключения сделки.
На структуру биржевых товаров воздействует целый
ряд факторов, в том числе и научно-технический про-
гресс. Благодаря ему появилось множество замените-
лей некоторых биржевых товаров искусственного или
синтетического происхождения. Конкурентная борьба
между этими товарами способствует стабилизации цен,
а значит, уменьшению биржевого оборота.
В то же время научно-технический прогресс способ-
ствовал совершенствованию методов определения каче-
ства товаров с использованием для этих целей новей-
ших технических средств.
На современных товарных биржах в оборот вовлечены
не только осязаемые товары, но и неосязаемые ценности.
Ведутся операции по торговле индексами цен,
банковским процентом, ипотекой, валютой, контрактами
на фрахтование, государственные ценные бумаги. Чтобы
отвечать требованиям времени, торговые биржи
распространяют фьючерсные контракты на финансовые
средства, давая тем самым возможность финансовым
институтам справиться с условными рисками.
Важнейшие международные товарные биржи нахо-
дятся в развитых странах, хотя в развивающихся стра-
нах также есть товарные фьючерсные биржи.
Появившиеся в период формирования российского
рынка, отечественные биржи первоначально выполняли
не свойственные товарным биржам функции, являясь
одновременно и биржами в определенном понимании
формы организованного рынка, и оптовыми магазина-
ми, и посредническими звеньями торговли. В те годы по
числу созданных товарных бирж Россия обогнала, пожа-
луй, все остальные страны вместе взятые. С началом ко-
ренных реформ экономики некоторые функции бирж пе-
решли к другим субъектам рынка, а число самих товар-
ных бирж резко сократилось. Уцелевшие биржи встали
перед проблемой трансформации своих операций с тор-
говли товарами на торговлю фьючерсными контракта-
ми. Именно в этот период на смену ажиотажному, по-
верхностному интересу к товарным биржам пришло
стремление изучить фьючерсную биржу на более серьез-
ной, профессиональной основе.
Товарные биржи, прошедшие многовековой путь от
локальных рынков наличного товара до высоколиквид-
ных международных рынков срочных контрактов, пред-
ставляют собой яркий пример саморазвивающегося ры-
ночного института, ставшего неотъемлемой частью про-
изводственно-финансовых операций большого числа
компаний и организаций. В нашей стране они создаются
на основе соглашения государственных, кооперативных
и других предприятий и организаций, в том числе
изготовителей, владельцев и потребителей товара, по-
среднических и других коммерческих организаций;
являются бесприбыльными хозяйственно-
коммерческими предприятиями реального товара,
поэтому при товарных биржах предусмотрено
организовывать фондовые отделы по торговле ценными
бумагами.
Биржа является юридическим лицом, осуществляет
свою деятельность на основе лицензии на право бирже-
вой деятельности, полного хозяйственного расчета, са-
мофинансирования, имеет самостоятельный баланс, рас-
четный и другие счета в банках; являясь самоуправля-
емой организацией, имеет фирменное наименование
(в том числе сокращенное), в котором должны быть ука-
заны вид биржи и предмет деятельности, отличающие
данную биржу от других.
Наименование биржи не может содержать указа-
ния на принадлежность ее к государственным орга-
нам управления (министерствам, ведомствам и обще-
ственным организациям и др.). Биржа имеет печать
со своим наименованием, деятельность ее определяет-
ся уставом.
Основными задачами и функциями биржи являются: •
организация торговой деятельности на основе бир-
жевого торга товарами, осуществляемого членами
биржи предприятиями, брокерскими фирмами и
брокерами;
• выявление реального спроса и предложения, а так
же сложившихся пропорций обмена на продукцию,
реализуемую или обмениваемую на бирже;
• создание условий для стабилизации цен и пропор
ций обмена;
• котировка цен на продукцию, продаваемую на бирже;
• организация товарообменных операций с учетом ре
ального спроса и предложения;
• предоставление участникам биржевых торгов и дру
гим заинтересованным предприятиям, организаци
ям и гражданам коммерческой и иной информации
о продукции, продаваемой на бирже.
299
Биржа может от своего имени приобретать имущественные и
неимущественные права на недвижимое имущество и товары, необходимые
для собственных нужд, быть истцом и ответчиком в суде, арбитраже и
третейском суде; способствовать трудоустройству безработных и лиц,
желающих сменить место работы.
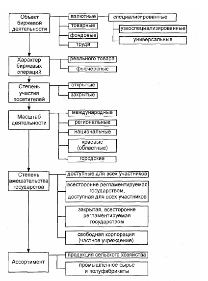
Классификация бирж и биржевой деятельности представлена на рисунке
34.
В зависимости от своей роли в торговле тем или иным товаром можно
выделить биржи международного значения, региональные и национальные.
Международный статус биржи предполагает также свободный
валютный, торговый и налоговый режимы, что способствует участию в
биржевой торговле иностранных участников, свободному переводу прибыли
по биржевым операциям с другими рынками.
Региональные биржи ориентированы на операции с более узким кругом
участников. Такие биржи обслуживают рынки нескольких стран.
Национальные биржи проводят операции, ориентированные на
внутренний рынок, при этом часто имеют ограничения в торговом и
налоговом режимах, что делает невозможным участие иностранных лиц в
операциях и проведение арбитражных сделок. В развивающихся странах
сохранились до настоящего времени биржи реального товара. Большинство
из них представляют собой, как и в изначальный период, одну из форм
оптовой торговли, обслуживающую местный рынок.
В систематизированном виде сущность биржевой деятельности можно
представить следующим образом (табл. 13).
В биржевом кольце во время торгов можно наблюдать действие закона
спроса и предложения. Цены складываются под влиянием личных оценок
брокерами текущей ситуации.
В биржевой практике публичная торговля основана на принципах
двойного аукциона. Двойной аукцион предполагает, что
увеличивающиеся предложения покупателей встречаются со
снижающимися предложениями продавцов. При совпадении
цен предложений продавца и покупателя заключается сделка

Метод двойного аукциона считается наиболее эффек-
тивным вариантом открытого торга, при котором цена
лучше всего отражает текущее соотношение спроса и
предложения.
Двойной аукцион проводится по определенным пра-
вилам, которые с небольшими модификациями можно
наблюдать в практике всех бирж. Так, законными счи-
таются только сделки, заключенные в ходе открытых
биржевых торгов.
Предложения продавцов и покупателей одновремен-
но выкрикиваются ими. Торг предполагает итоговое
сближение цен. Для удобства ведения торга на каждой
бирже устанавливается минимальный размер изменения
цены, своеобразный шаг в торговле с партнером. При
этом в правилах обычно оговаривается, что в ходе торга
продавцы не могут называть цену большую, а покупа-
тели меньшую, чем названная. В итоге цены предложе-
ний сторон движутся друг к другу.
Иногда в ходе аукциона несколько участников де-
лают предложение по одинаковой цене. В этом случае
приоритетное право получает торговец, первым вы-
крикнувший эту цену. Если же первенство определить
невозможно, то предпочтение отдается тому брокеру,
кто сделал самое крупное предложение, т. е. на боль-
шее число контрактов. В этом случае для других бро-
керов невыполнение заказа своих клиентов считается
объективной причиной, и соответствующие брокерские
конторы не несут перед клиентом ответственности за
невыполнение заказа.
Для идентификации предложений продавцов и поку-
пателей установлен и различный порядок выкриков: по-
купатели выкрикивают сначала цену, затем количество,
а продавцы, наоборот, сначала количество, затем цену.
После заключения сделки брокеры в кольце долж-
ны вписать информацию о ней в торговую карточку или
в состоящий из нескольких листов бланк приказа. На-
пример, информация о каждой заключенной сделке с
Коммерческая деятельность.
Организация и управление Раздел 4. Организация и управление коммерческой
долгосрочными казначейскими облигациями, вписанная
в торговую карточку, включает позицию контракта,
цену, инициалы торговца, фамилию другого торговца,
название клиринговой фирмы, обслуживающей проти-
воположную сторону в сделке, а также код времени за-
ключения сделки. Эти торговые карточки первона-
чальная учетная документация, и уже из них данные
передаются в расчетные фирмы продавца и покупателя.
Каждый участник биржевого торга несет ответствен-
ность перед клиентом и своей клиринговой фирмой. По-
этому в правилах часто оговаривается, что после окон-
чания биржевого торга все сделки должны быть уточне-
ны сторонами в течение короткого времени (1520 мин).
Все допущенные ошибки устраняются на месте, а если
это невозможно, то дело передается в арбитражный ко-
митет. На большинстве современных бирж для регист-
рации сделок используются специальные компьютерные
системы большой мощности, позволяющие за минуту
регистрировать более сотни сделок.
Фьючерсная биржа должна иметь правила, устанав-
ливающие все особенности ведения операций, например,
принятие в члены биржи, разрешение жалоб клиентов,
объем финансовых ресурсов брокера и др.
Сделки с реальным товаром на бирже играли основ-
ную роль в тот период, когда сами биржи были центра-
ми международной товарной торговли. В процессе раз-
вития биржевой торговли сложились два вида бирже-
вых операций:
• сделки на реальный товар с немедленной поставкой;
• сделки на реальный товар с поставкой в будущем.
Сделки на реальный товар с немедленной поставкой
называются спот (spot), или кэш (cash), а также физи-
ческими сделками. Их заключение происходило на бир-
же без предварительного осмотра товара на основе стан-
дартного качества; спот-товар обычно уже находился на
одном из складов биржи, и покупатель мог получить
его немедленно.
Цель таких сделок реальная закупка товара для
покупателей и реальная немедленная его реализация для
продавцов. По условиям платежа такие сделки делали
невозможной какую-либо игру на изменении цен.
Постоянные колебания цен на основные биржевые
товары, и прежде всего на сельскохозяйственную про-
дукцию, заставляли участников биржевых операций ис-
кать новые формы сделок. Так появились сделки на ре-
альный товар с его поставкой в определенный срок в
будущем. Этот вид сделок на многих биржах появился
уже в первые годы их функционирования и получил
название форвард (forward), или шипмент (shipment).
Форвардный контракт представляет собой торговое
соглашение, согласно которому продавец поставляет кон-
кретную продукцию покупателю к определенному сро-
ку в будущем. В момент заключения контракта сторо-
ны договариваются об объеме поставки и качестве това-
ра (беря за базу биржевой стандарт), времени и месте
поставки, а также соответственно о цене. Продавец то-
вара поставляет его к сроку на один из складов биржи,
где проводится его проверка и выдается складское сви-
детельство. Документ передается продавцом покупате-
лю против денежных документов (чека).
Однако форвардные сделки имеют и ряд отрицатель-
ных моментов:
» контракты не были стандартизованы; » объем
поставки, качество товара, сроки поставки,
цена товара согласовывались непосредственно про-
давцом и покупателем.
Форвардные сделки подразумевают также определен-
ный риск, поскольку не существует какого-либо гаранта
сделки. Одна из сторон может нарушить взятые обя-
зательства или какие-то события в будущем могут по-
мешать сторонам выполнить контракт.
Риск форвардных контрактов возрос с использова-
нием кредитных средств. Так, со временем заключение
Организация и управление
сделок на срок с реальным товаром стало сопровождаться
выставлением векселей.
Цены форвардных сделок учитывают не только уро-
вень, сложившийся в момент заключения контракта,
но и перспективы изменения спроса и предложения за
время его действия. Однако предусмотреть все конъюн-
ктурные моменты невозможно, поэтому форвардные
сделки могут дать определенный выигрыш (или убы-
ток) для той или иной стороны.
Раздел 4. Организация и управление коммерческой
деятельностью в торгово-посреднических структурах 307
11.2. Сущность и техника аукционной торговли
Аукцион (от лат. audio возрастание) это пуб-
личная продажа, при которой продаваемая вещь приоб-
ретается лицом, предложившим за нее наивысшую цену.
Аукционами называют также особые рынки, созданные
в определенных местах для продажи с публичного тор-
га товаров, обладающих специфическими свойствами, в заранее обусловленное время.
Участников аукциона называют аукционерами, а
лицо, проводящее аукцион, аукционистом. В каче-
стве участников аукциона могут выступать как физи-
ческие, так и юридические лица. Коммерческий смысл
аукционного торга состоит в том, чтобы, используя пря-
мую конкуренцию аукционеров в месте продажи, до-
биться роста цены товара и получить тем самым макси-
мальную прибыль. При этом продавец не несет ответ-
ственности за качество проданного товара.
Объектами аукционной продажи являются, как пра-
вило, товары, обладающие индивидуальными свойства-
ми (антиквариат, произведения искусства, драгоценно-
сти др.), а также товары, продажа которых сопряжена
с острой конкуренцией и возможными злоупотреблени-
ями (например, продажа государством своего имуще-
ства, конфискованных товаров и т. п.). В качестве орга-
низаторов аукционов могут выступать как специализи-
рованные коммерческие предприятия, созданные для
аукционной деятельности, так и неспециализированные,
для которых прибыль от аукционов является дополни-
тельным источником дохода.
для которых прибыль от аукционов является дополни-
тельным источником дохода.
Специализированные предприятия могут создавать-
ся на базе различных форм собственности и разных орга-
низационно-правовых форм: хозяйственных обществ,
производственных кооперативов и других. К неспециа-
лизированным предприятиям, проводящим аукционы,
относятся выставки, музеи, салоны, картинные галереи,
чьими уставами предусмотрен этот вид деятельности.
Таким образом, на аукционе проводится продажа то-
варов, обладающих индивидуальными свойствами. Это
исключает возможность замены партий, одинаковых по
названию, так как они могут иметь различные свойства
качество, внешний вид, вкус и т. д. Поэтому аукцион-
ные товары до продажи на аукционе должны быть ос-
мотрены или дегустированы покупателем. Предваритель-
ный осмотр является обязательным условием аукцион-
ной торговли, так как ни устроители аукциона, ни
продавцы после продажи товара с аукциона не принима-
ют никаких претензий в отношении качества товара (кро-
ме скрытых дефектов).
Проводимые в нашей стране и за рубежом аукционы
можно классифицировать по следующим признакам
(рис. 35).
При проведении аукциона с повышением цены внача-
ле объявляется первоначальная (стартовая) минимальная
11*

Организация и управление
цена товара, названная продавцом, а затем, в ходе торгов,
покупатели делают к ней надбавки до тех пор, пока жела-
ющих набавлять цену больше не окажется.
Аукцион с повышением цены может проводиться в
двух формах: гласной (проведение аукциона описанным
выше порядком) и негласной (обеспечивается сохране-
ние имени покупателя в тайне).
При проведении аукциона с понижением цены (гол-
ландские аукционы) стартовая цена дается с явным за-
вышением и в ходе торгов понижается до тех пор, пока
кто-нибудь из покупателей не согласится купить товар.
В практике зарубежных аукционов широко исполь-
зуются автоматизированные способы. Изменение цены
на ее повышение или понижение в процессе аукциона
фиксируется покупателями с помощью кнопочного уп-
равления, отражающего цену на циферблате специаль-
ных установок. Владельцем лота (типовая единица куп-
ли-продажи в натуральном выражении) становится тот,
кто первым нажмет на кнопку и зафиксирует стрелкой
циферблата установленную цену. Такое новшество заметно
сокращает время и трудоемкость проведения торгов.
В зависимости от порядка их организации, аукционы
бывают принудительные, которые проводят, как прави-
ло, государственные организации с целью продажи кон-
фискованных, невостребованных и неоплаченных това-
ров, заложенного и не выкупленного в срок имущества и
т. п., и добровольные, проводимые по инициативе вла-
дельцев товаров с целью наиболее выгодной их продажи.
Возникают случаи, когда аукционист не достигает
поставленной цели, связанной с ценой по товару. В этом
случае дано право снять лот с торгов и выставить его
повторно в следующий раз.
Валютные аукционы организуются для конкурсной
продажи за национальную валюту свободно конверти-
руемой валюты, имеющей высокую покупательскую спо-
собность. Валютные аукционные торги являются про-
образом валютных биржевых торгов.
В последнее время получает распространение новая
форма аукционных торгов в банковской системе лом-
бардно-кредитные аукционы, организуемые Централь-
ным банком России с приглашением многочисленных
представителей промышленности и коммерческих бан-
ков. В качестве аукционного лота выставляются креди-
ты на товары, ресурсы и материалы.
Аукционы являются коммерческими организациями,
располагающими соответствующими помещениями, обо-
рудованием и квалифицированными специалистами.
Организационное построение аукциона как коммерческой
организации напоминает построение ярмарок. Управле-
ние осуществляет аукционный комитет, в состав которо-
го входят директор аукциона, представители местных ор-
ганов муниципальных властей. Директору аукциона не-
посредственно подчинены исполнительные службы, в том
числе финансовая, правовая, экспертная, транспортная,
общего хозяйства и др. Аукционный комитет разрабаты-
вает и утверждает правила аукционных торгов с графи-
ком их проведения и назначением ведущего торгов
аукциониста.
Аукционы специализируются на продаже определен-
ных реально представленных товаров с индивидуальны-
ми свойствами; по каждому товару имеют свою специ-
фику и частоту проведения один или несколько раз в
год. Для каждого аукционного товара сложились свои
центры аукционной торговли.
Наибольшее распространение имеют аукционы, вхо-
дящие в состав акционерных обществ. Иногда ими мо-
гут быть мощные, крупные компании, способные оптом
скупать большое количество сырья, частично перераба-
тываемого, что позволяет им влиять на положение дел
на рынке.
Организация аукционной торговли имеет опреде-
ленные особенности в зависимости от характера товара
и практики, сложившейся в торговле конкретными
аукционными товарами. В зависимости от характера
Организация и управление
деятельности фирмы, осуществляющие аукционную тор-
говлю, можно разбить условно на три группы: специа-
лизированные; брокерско-комиссионные; аукционные,
принадлежащие кооперативам или союзам фермеров.
Специализированные фирмы занимаются организа-
цией аукционов и продажей на них аукционных това-
ров как за свой счет, так и на комиссионных началах.
Аукционные фирмы берут на себя выполнение всех фун-
кций по подготовке и проведению аукционов. Зачастую
они выдают продавцам ссуды под их товары, передан-
ные аукционной фирме для продажи с аукциона.
Брокерско-комиссионные фирмы получили широкое
распространение в торговле пушно-меховыми товарами,
шерстью, чаем, табаком и др. Обычно они организуют
аукционы и продают на комиссионных началах товары
по поручению своих клиентов. Брокерская фирма, про-
водящая аукционы, как правило, может выступать од-
новременно представителем продавца и покупателя.
Тогда она получает комиссионное вознаграждение од-
новременно с продавца и с покупателя. При этом прода-
вец может не знать покупателя, а покупатель про-
давца, оба знают только брокера.
Техника проведения аукционов по различным това-
рам имеет свои специфические особенности, определяе-
мые в первую очередь характером товара. Однако сам
порядок проведения аукционов примерно аналогичен.
В их проведении различают четыре стадии: подготовка
аукциона, осмотр товаров, аукционный торг, оформ-
ление и исполнение аукционной сделки.
Первая стадия подготовка, например, пушного
аукциона начинается за два-три месяца до его начала.
Владелец, желающий реализовать свой товар на аукци-
оне, доставляет его на склад аукционной компании. Спе-
циалисты аукционной компании производят необходи-
мую сортировку и подборку товара по возможно одно-
родным качественным признакам. Рассортированный
товар разбивается на партии (лоты), в них подбирается
товар, однородный по качеству: чем ценнее шкурки, тем
их меньше в лоте. Каждому лоту присваивается номер,
под которым он заносится в каталог данного аукциона с
указанием сорта и количества единиц товара в данном
лоте. На основании каталога в порядке нумерации про-
исходит продажа товаров на аукционных торгах. Обыч-
но в каталоге одинаковые по качественным показате-
лям лоты следуют один за другим, образуя ряды-стринги,
которые в каталоге отделяются друг от друга линиями.
Из каждого лота берется образец, который должен пол-
ностью соответствовать по всем качественным призна-
кам товару, находящемуся в данном стринге. Размеры
образцов по различным товарам неодинаковы и уста-
навливаются в зависимости от ценности и стандартнос-
ти каждого вида.
Подготовка и организация выставки товаров, объяв-
ленных для продажи, весьма ответственный и трудо-
емкий этап в общей работе по подготовке аукциона. Об-
разцы помещаются в специальных залах для осмотра, а
товар на складах, но с таким расчетом, чтобы при
желании покупатель мог осмотреть его полностью.
Одновременно с подготовкой аукционных лотов и об-
разцов подготавливается каталог. Каталог содержит пе-
речень всех лотов, предлагаемых к продаже на аукционе,
с указанием номера каждого из них, сорта и количества
единиц товара в каждом лоте. В начале каталога обычно
помещается оглавление с обозначением общего количе-
ства различных видов пушнины, предназначенных для
продажи. Далее следуют условия аукционной продажи.
В этих условиях указан порядок осмотра товаров, продаж
и фиксации цен, заключения контрактов, право продажи
товара третьим лицам, снятия товара с торгов, оплаты
аукционных товаров с указанием банков, через которые
должны производиться открытие аккредитивов и оплата.
В условиях указывается, какой процент взимается со сто-
имости купленных товаров в пользу администрации аук-
циона, и устанавливается порядок разрешения споров
Организация и управление Раздел 4. Организация и управление коммерческой
между сторонами. В каталоге сообщаются дата открытия
аукциона и его продолжительность, место проведения аук-
циона, время, установленное для осмотра товаров, время
проведения торгов, а также последний день платежа за
приобретенные товары.
В подготовку аукциона входит также оповещение воз-
можных покупателей о месте и времени проведения аук-
циона, количестве и ассортименте товаров, предлагае-
мых на аукционе. Для этого за полтора-два месяца до
начала аукциона в общей и специальной прессе поме-
щаются рекламные объявления, в которых указываются
дата и место проведения аукциона и примерное ко-
личество товаров, предлагаемых к продаже. Постоян-
ным и возможным покупателям аукционные компании
высылают рекламную брошюру-проспект, в которой
указываются основные условия данного аукциона и при-
лагается приглашение принять участие в торгах.
Осмотр товаров покупателями, предполагающими
принять участие в аукционном торге, это вторая ста-
дия в проведении аукциона. Осмотр товаров обычно на-
чинается за неделю или 10 дней до открытия торгов.
Количество дней, отведенных для ознакомления с аук-
ционной коллекцией, зависит от ее размеров и рацио-
нальной организации осмотра. Сокращение сроков, от-
водимых для осмотра, достигается путем совершенство-
вания оборудования залов, где производится осмотр
товаров (установка удобных вешалок для пушнины, спе-
циальных столов для осмотра образцов, ламп дневного
освещения, штор на окнах, подвижных тележек для
образцов).
Предварительный осмотр товаров является обязатель-
ным и производится в специальных помещениях, где
размещаются отобранные от каждого лота образцы то-
варов. Образцы должны полностью отражать все осо-
бенности товара в представляемом ими лоте. Организа-
торы аукциона несут за это ответственность. Покупате-
ли внимательно осматривают эти образцы и делают в
каталоге отметки о понравившихся им лотах и цене,
которую они могли бы за них уплатить.
Покупатель может ознакомиться не только с образ-
цами, но и со всем лотом, но обычно он этого не делает,
доверяя организаторам аукциона, за исключением до-
рогих шкурок, которые покупатель осматривает полно-
стью в лоте. На аукционах чая и табака производится
дегустация отобранных покупателем образцов. Кроме
того, покупатели во время осмотра могут приобрести
образцы понравившихся им партий для дополнитель-
ной проверки их качества.
Аукционный торг третья стадия проведения аук-
циона. Он открывается в заранее назначенный день и час
и проводится обычно в специальном аукционном зале,
имеющем вид амфитеатра. За столом на возвышении пе-
ред покупателями располагается президиум аукциона
аукционатор, ведущий продажу, и его помощники, на-
блюдающие за поведением покупателей, принимающих
участие в торге. Над столом вывешивается табло, где за-
гораются порядковые номера предлагаемых к продаже
лотов. Покупатели размещаются за отдельными столами
или рядами, расположенными амфитеатром. Перед каж-
дым покупателем устанавливается номер, под которым
он зарегистрирован организаторами аукциона.
Аукционатор объявляет номер очередной партии-
лота, предлагаемого к продаже, и одновременно с этим
на специальном табло загорается названный номер и на-
зывается исходная продажная цена, которая обычно
является примерной рыночной ценой, существовавшей
в доаукционный период. Если никто из покупателей не
подаст ему знак поднятием руки или карандаша, кив-
ком головы или выкриком «да» о своем согласии ку-
пить товар, аукционатор снижает цену до тех пор, пока
один из покупателей не выразит свое желание купить
его. Если один или несколько покупателей подадут знак
о своем желании купить данный лот, аукционатор по-
вышает цену, начинается торг.
Организация и управление Раздел 4. Организация и управление коммерческой
Покупателю, купившему первый лот в стринге и же-
лающему приобрести по той же цене другие лоты из-
данной партии стринга, отдается предпочтение перед
другими покупателями. В случае возникновения разно-
гласий за администрацией аукциона сохраняется право
перепродажи любого лота. Всякие претензии должны
быть заявлены администрации до начала продажи сле-
дующего лота.
Администрация аукциона вправе снять с аукциона
любой лот, пока он не продан, без объяснения причин.
После продажи всех лотов непроданные лоты могут снова
быть выставлены для продажи.
Вместе с тем на некоторых аукционах применяются
иные способы проведения аукционного торга. Чаще всего
на аукционах используется повышающий способ, при
котором аукционатор постепенно повышает цену, на-
званную первоначально, пока не будет достигнута наи-
более высокая цена, по которой и совершается сделка.
Четвертая (заключительная) стадия аукциона
оформление аукционной сделки и сдача товара покупа-
телю. Во время аукциона или на следующий день ад-
министрация аукциона вручает покупателю контракты
на купленный товар; эти контракты подписываются по-
купателем и являются для него обязательными. Кон-
тракт имеет типовую форму. В контракте на пушнину,
например, указываются: наименование фирмы-покупа-
теля, наименование товара, номер лота, количество куп-
ленных шкурок, цена за шкурку и общая сумма сдел-
ки. Покупатель также указывает в контракте, на чье
имя необходимо выписать счет, куда и каким видом
транспорта отправить товар. Покупатель подписывает
контракт и возвращает его в контору аукциона, оставив
себе копию. На основании контракта выписывается счет,
который оплачивается покупателем. Немедленно после
подписания контракта покупатель выписывает письмен-
ное поручение об отправке товара, в котором указыва-
ется, как следует замаркировать товар, точный адрес,
на который необходимо отправить товар, порядок его
страхования. Платеж за проданный на аукционе товар
обычно осуществляется по частям: 30-35% вносится при
подписании контракта, а остальная сумма при полу-
чении товара или после его отгрузки, но не позднее ус-
тановленного срока. По условиям большинства пушных
аукционов запрещается перепродажа товара покупате-
лем до полной его оплаты. Это гарантирует продавца от
неоплаты проданных лотов, что потребовало бы их хра-
нения до следующего аукциона.
Сроки вывоза товара с аукционного склада зависят
от вида товара.
Торговая ярмарка (или ярмарка-выставка) (trade fair,
messe, foire) кратковременное, периодически и, в ос-
новном, в одном и том же месте проводимое мероприя-
тие, в рамках которого большое количество предприя-
тий (экспоненты) с помощью образцов (экспонатов) пред-
ставляют объективный масштаб товаров/услуг одной или
нескольких отраслей с тем, чтобы посетитель-коммер-
сант получил ясное представление об их предпринима-
тельских возможностях, тогда как экспонент при помо-
щи экспонируемых товаров стремится распространить
информацию о своей фирме и ее продукции и заклю-
чить прямые торговые сделки.
Оптовая ярмарка представляет собой кратковремен-
ное, через периодически определенный промежуток вре-
мени проводимое в одном месте мероприятие, в рамках
которого на основе представленных образцов товаров осу-
ществляются сделки по купле-продаже товаров между
производителями и оптовыми покупателями товаров.
Выставка-ярмарка кратковременное публичное
мероприятие, периодически проводимое в одном и том
же месте, устроенное по определенному плану для де-
монстрации, дегустации продуктов питания, с помощью
которых продавцы представляют товары одной или не-
скольких отраслей и стремятся информировать оптовых
покупателей о своей фирме и ее продукции с целью ре-
ализации.
Оптовые ярмарки зародились как мероприятия ры-
ночного характера, основной целью которых являлся
сбыт. В отличие от них выставки возникли как средство
публичной демонстрации тех или иных достижений че-
ловечества. В начале своего развития они носили сугубо
просветительский характер, но по мере развития приоб-
рели ярко выраженную коммерческую направленность.
Сегодня оптовые ярмарки и выставки принципиально
коммерческими функциями друг от друга не отлича-
ются. Основные отличительные признаки выставок
масштаб предложения и неограниченный круг посети-
телей. Выставка это многофункциональное меропри-
ятие, которое характеризуется:
• большим вкладом в развитие региональной эконо-
мики;
• получением информации о состоянии рынка продук
тов питания;
• установлением новых торгово-промышленных связей;
• открытием новых рынков сбыта и развитием экс
порта;
• возможностью оценки конкурентоспособности отече
ственной продукции и обмена опытом.
Основными функциями выставок, помимо организа
ции заключения коммерческих сделок и поставок на
основе хозяйственных договоров, являются:
• сбор и обработка информации о состоянии товарных
рынков и намерениях торговых партнеров;
• возможность развития производства товаров;
• прогнозирование спроса и предложения.
Основной метод организации оптовой продажи това
ров на ярмарках, выставках продажа товаров по пред
ставленным образцам. На ярмарках и выставках встре
чаются представители предприятий отраслей народного
хозяйства, ассоциаций оптовой торговли, оптово-рознич
ных предприятий, торговых домов и т. д., что позволя
ет, с одной стороны, торгующим организациям более
точно сориентироваться в размещении производства то
варов народного потребления определенного ассортимен
та и качества и, с другой стороны, промышленным пред
приятиям глубже вникнуть в процессы образования ре
гиональных рынков и динамику их развития.
Проводимые в нашей стране и за рубежом ярмарки
классифицируют по различным признакам (рис. 36).
По составу участников и значению в рыночной эко-
номике получили развитие региональные, межрегио-
нальные, национальные и международные выставки и
ярмарки.
Региональные ярмарки и выставки имеют сферу дей-
ствия в радиусе 100 км, представляют одну или несколь-
ко отраслей и предназначаются, главным образом, для
демонстрации возможностей небольших по величине
предприятий.

Межрегиональные ярмарки имеют одинаковую
структуру с региональными, однако располагают боль-
шим радиусом действия и адресуются обычно более круп-
ным предприятиям.
Национальные ярмарки и выставки являются вит-
риной национальной промышленности. Они проводятся
внутри страны и за рубежом для демонстрации про-
дукции национального производства и стимулирования
ее сбыта.
Предпосылкой проведения международных ярмарок
и выставок, организуемых как внутри страны, так и за
рубежом, является участие в них экспонентов и посети-
телей из различных стран. Международный характер
они приобретают лишь в том случае, если в них уча-
ствуют не менее 10-15% зарубежных экспонентов.
По территориальному признаку оптовые ярмарки
разделяются на местные, в том числе межобластные,
областные, городские, районные. Местные ярмарки про-
водят не только коммерческие структуры, но и област-
ные потребсоюзы России по распродаже товаров на соб-
ственных предприятиях областного, межрайонного, рай-
онного назначения. Покупателями товаров выступают
не только потребительские общества, магазины потре-
бительской кооперации, но и предприятия розничной
торговли коммерческих структур.
На оптовых ярмарках местного масштаба сделки
осуществляются по купле-продаже товаров сложного
ассортимента, выпускаемых местными производствен-
ными предприятиями. На таких оптовых ярмарках оп-
товые покупатели совершают закупки товаров по сво-
бодным ценам на основе индивидуального подбора, срав-
нения и выбора из ассортимента продукции различных
производителей.
По отраслевому признаку оптовые ярмарки подраз-
деляются на отраслевые (проводит одна отрасль произ-
водства товаров) и межотраслевые, охватывающие из-
делия различных отраслей производства (пищевой, му-
комольной, хлебопекарной, и др.). На этих ярмарках
представляются не только товары, продукты питания,
но и новые образцы оборудования, новые технологиче-
ские линии для производства продуктов питания.
По товарному признаку оптовые ярмарки подразде-
ляются на универсальные, специализированные и узко-
специализированные. К универсальным оптовым ярмар-
кам относятся ярмарки по реализации различных про-
довольственных и непродовольственных товаров, а к
специализированным такие их виды, как ярмарки-
выставки, например, «Современное хлебопечение», «Пе-
карня», «Кондитерские изделия» и т. п. К узкоспециа-
лизированным относятся отраслевые выставки. Число
посетителей на таких выставках, выставках-ярмарках
небольшое, от 500 до 1000 чел. в день, так как они при-
влекают узкий круг специалистов. Широко специали-
зированные выставки, как правило, проводятся на уров-
не региона, с числом посетителей от 13 тыс. чел. в день,
причем это представители различных отраслей. Универ-
сальные выставки посещают 510 тыс. человек в день,
причем их отличительной особенностью является высо-
кий уровень розничных продаж.
В современных условиях в ведущих международных
ярмарочных и выставочных центрах выполняется до
50 видов сервисных выставочных услуг, таких как:
• информационные услуги (предоставление исходной
информации о выставке (ярмарке), сроках и месте
ее проведения, основных устроителях, организато
рах, условиях участия);
• справочные услуги (выдача соответствующими служ-
бами выставки или ярмарки деловых справок раз-
личного характера по особенностям участия, льго-
там, участникам, деловой программе выставки, мес-
те размещения стендов или экспозиций и т. п.);
• рекламные услуги (размещение в прессе, на радио,
телевидении, в рекламном каталоге рекламных ма
териалов об экспоненте и его деловых интересах,
Организация и управление Раздел 4. Организация и управление коммерческой
а также организация на выставке презентаций или
лотерей);
• организационные услуги (практическая организация
основных работ по подготовке и проведению выстав
ки, включая организацию работы на выставке каж
дого экспонента и бизнесмена);
• хозяйственные услуги (обеспечение экспонентов ме
белью, холодильниками, кухонным оборудованием,
осветительными приборами, водоснабжением и др.);
• визовые услуги (решение вопросов по въезду экспо
нента в страну, проведению выставки в соответствии
со спецификой требований страны);
• маркетинговые услуги (подготовка и предоставление
аналитических, ценовых и конъюнктурных матери
алов по существующей в выставочном центре форме
при направлении заказа (заявки));
• транспортно-экспедиционные услуги (выбор опти
мального маршрута и средств доставки грузов, офор
мление транспортной и расчетной документации по
отправке и прибытию грузов, разгрузочно-погрузоч-
ные работы и доставка экспонатов на стенд, склад
ские операции, установка и маркировка грузов, дос
тавка их в место назначения);
• гостиничные услуги (прием заказов на размещение
клиентов и бронирование мест в соответствии с офи
циальной заявкой, подтверждение выполнения за
каза встречи клиентов и их обслуживания или раз
мещения и проживания);
• автотранспортные услуги (предоставление для нужд
клиента легкового и специального автотранспорта,
поддержание его работоспособности в период арен
ды и т. д.);
« медицинские услуги (услуги по неотложной и опе-
ративной медицинской помощи);
» санитарно-гигиенические услуги (обеспечение различ-
ных мест общего пользования должным санитарным
уходом и постоянным обслуживанием по требованию
клиентов);
• дизайнерские услуги (проектирование, разработка и
представление вариантов художественного оформле
ния стенда, рекламных материалов, отдельных час
тей стенда или выставки);
• строительные услуги (строительство стендов, пави
льонов, отдельных сооружений);
• монтажно-демонтажные услуги (монтаж и демонтаж
экспонатов);
• электротехнические услуги (услуги по подготовке и
реализации электропроекта выставки, включая под
водку осветительного напряжения, подключение к
сети стендов, экспонатов);
• инженерно-технические услуги (подготовка инженер
но-технического решения по строительству или до
оборудованию помещений, ремонту или профилак
тике демонтируемой на выставке техники, обеспече
нию техники безопасности);
• аудио-визуальные услуги (обеспечение экспонентов
необходимой аудио-визуальной техникой, ее подклю
чение; наладка и инструктирование пользователя);
• протокольные услуги (организация специальных ме
роприятий для официальных лиц и делегаций);
• фотографические услуги (выполнение фотозаказов на
выставке, фотографирование стендов и пр.);
• телевизионные услуги (выполнение заказов экспонен
тов или бизнесменов по организации выступлений на
телевидении или изготовлению видеозаписи);
• финансово-бухгалтерские услуги (расчеты с кли
ентами);
• типографские услуги (изготовление проспектов, бук
летов, журналов, брошюр, а также размножение
рекламных, справочных или информационных ма
териалов);
• переводческие услуги (обеспечение письменных и ус
тных переводов, предоставление переводчика);
• учебно-познавательные услуги (организация на выс-
тавке тематических семинаров, лекций, «круглых
столов»

Рис. 37. Схема организационной структуры управления оптовой ярмарки
(выставки-ярмарки)
Организационная структура оптовой ярмарки и вы-
ставки-продажи определяется ее задачами и составом
участников. Общее руководство осуществляет ярмароч-
ный комитет (оргкомитет), который возглавляет пред-
седатель. Ярмарочный комитет утверждается учредите-
лями и является коллегиальным органом, т. е. каждый
из его членов имеет право голоса при принятии реше-
ния. Решения ярмарочного комитета по вопросам, вхо-
дящим в его компетенцию, являются обязательными для
участников ярмарки.
Ярмарочный комитет выполняет следующие функции:
• определяет сроки, состав участников и место прове
дения ярмарки;
• занимается вопросами рекламы;
Организация и управление Раздел 4. Организация и управление коммерческой
• создает рабочую группу ярмарки (дирекцию, арбит
раж, группу по учету договоров и другие органы);
• определяет графики встреч поставщиков и поку
пателей;
• осуществляет просмотр представленных образцов;
• утверждает смету доходов и расходов ярмарки, раз
мер средств на ее проведение и источники их по
лучения;
• определяет порядок и режим работы ярмарки;
• разрешает споры, возникающие при заключении до
говоров, и осуществляет регистрацию заключенных
договоров;
• подводит итоги работы ярмарки и отчитывается пе
ред ее устроителями;
• решает другие вопросы, связанные с организацией и
проведением ярмарки.
Решения ярмарочного комитета оформляются про-
токолами, подписываемыми председателем ярмарочно-
го комитета или его заместителем.
На ярмарках и выставках создаются комиссии и
службы, например, конкурсная комиссия для выявле-
ния наиболее значимой продукции. В результате фир-
ме, производящей эту продукцию, может быть предос-
тавлен льготный кредит и т. д.
На любой выставке или ярмарке обязательно созда-
ются следующие службы:
• транспортная;
• рекламно-информационная;
» дизайнерская;
• служба безопасности;
» техническая;
• юридическая;
• медицинская;
• финансовая и т. п.
Наличие других служб зависит от комплекта услуг,
предоставляемых участникам организаторами выстав-
ки, ярмарки.
Основные функции транспортной службы:
• прокат индивидуального транспорта;
• автобусное обслуживание;
• предоставление транспорта для отгрузки образцов то
варов;
» выполнение погрузочно-разгрузочных работ;
• обеспечение авиа- и железнодорожными билетами.
Рекламно-информационная служба занимается вы
пуском каталога участников, обеспечивает своевремен
ное получение оперативной информации, организует и
поддерживает рекламу ярмарки и т. п. Служба безопас
ности обеспечивает сохранность экспозиций и товаров,
хранящихся на складе, а также спокойную работу уча
стников. Основной функцией технической службы яв
ляется выполнение копировально-множительных работ.
Финансовая служба обеспечивает контроль за оплатой
участия в мероприятии, оплатой различных услуг, осу
ществляет регулировку других финансовых вопросов.
Все организационные мероприятия ярмарки, выстав-
ки-продажи можно подразделить на три этапа: предва-
рительный, организационный и заключительный.
Предварительный этап заключается в принятии по-
становления о проведении ярмарки, создании ярмароч-
ного комитета и дирекции, разработке положения о яр-
марке, распространении информации об условиях учас-
тия и порядке оплаты за участие в ярмарке, сборе заявок
на участие.
Устроитель вправе:
• выбирать по своему усмотрению координатора выс
тавок для регистрации объявления выставки;
• отклонить на этапе регистрации объявления выстав
ки предложения координатора выставок о переносе
срока проведения регистрируемой выставки, об уточ
нении ее тематики или о ее отмене;
• включать в объявления любые сведения, не противо
речащие целям проведения выставки, а также разме
щать в них рекламу, в том числе и на платной основе;
Коммерческая деятельность.
Организация и управление
• вносить коррективы в ранее сделанное объявление
дополнительным объявлением, притом путем, зара
нее оговоренным в исходном объявлении; дополни
тельное объявление подлежит официальной регист
рации у тех координаторов выставок, которые заре
гистрировали исходное объявление;
• предусматривать в договорах с контрагентами, уча
ствующими в подготовке и проведении выставки, сан
кции за нанесение ущерба престижу устроителя в
размере, указанном при подписании договора;
• не допускать участников и посетителей выставки на
территорию выставочной площадки при невыполне
нии ими условий оплаты участия (посещения) в вы
ставке или других условий, указанных в объявле
нии выставки.
Устроитель обязан:
ш своевременно рассматривать заявки на участие в вы-
ставке, вступать, при необходимости уточнения за-
явок, в переговоры с лицами, подавшими заявки.
Отказ устроителя в приеме заявок на участие допус-
кается в случае нарушения лицом, подавшим заявку,
общих условий приема заявок, указанных уст-
роителем в объявлении выставки. Запрещено
отклонять заявки на участие по иным основаниям.
Если в срок, указанный в объявлении, лицо,
подавшее заявку, не получит официального уве-
домления о том, что его заявка не принята, оно авто-
матически считается включенным в состав участников
выставки;
» вести, на основании принятых заявок, реестр лиц,
включенных в состав участников выставки;
• выполнять необходимые для подготовки и проведе
ния выставки действия и условия, в том числе усло
вия, указанные в объявлении.
Участником выставки является лицо, подавшее за-
явку на участие в ней согласно условиям, указанным в
объявлении, и включенное в состав участников.
Участник выставки вправе:
• отказаться от участия в выставке или внести измене
ния в ранее поданную заявку путем отзыва ранее по
данной заявки или подачи в письменном виде допол
нений и изменений в нее и получить на условиях,
содержащихся в объявлении, перерасчет с устроите
лем, вплоть до полного или частичного возврата ра
нее оплаченной стоимости участия; участник вправе
на основании своевременно поданной и принятой ус
троителем заявки запрашивать у устроителя на усло
виях, указанных в объявлении, дополнительную ин
формацию о составе выставки, ожидаемых участни
ках и посетителях, планировку выставочного зала
(залов) и осуществлять бронирование места располо
жения своего выставочного стенда;
» осуществлять от своего имени в период подготовки
и проведения выставки действия, направленные на
привлечение третьих лиц к участию в выставке или
к ее посещению на условиях, указанных в объявле-
нии выставки, при этом ответственность перед тре-
тьими лицами за соблюдение указанных условий
лежит на устроителе;
• при несоблюдении устроителем условий участия, ука
занных в объявлении, предъявлять устроителю пре
тензии в порядке, установленном в объявлении выс
тавки или действующим законодательством;
• по своему усмотрению распоряжаться выставочной
площадью, предоставленной ему устроителем, и осу
ществлять любые действия, направленные на реали
зацию целей участия в выставке, но не в противоре
чии с действующим законодательством и условия
ми, указанными в объявлении;
Коммерческая деятельность.
Организация и управление
• по своему усмотрению выбирать профессиональных
участников выставочной деятельности в контраген
ты при подготовке и проведении выставки. Лицо,
препятствующее участнику в осуществлении данно
го выбора, несет ответственность перед участником
в размере понесенного ущерба, включая выгоду, упу
щенную в результате этих препятствий;
• участник и его представители в период работы выс
тавки обладают, кроме вышеуказанных, всеми пра
вами и обязанностями посетителей выставки.
Участник обязан:
• своевременно направить экспонаты и другие грузы,
необходимые для проведения выставки, в адрес, ука
занный для этого в объявлении выставки;
• своевременно осуществить платежи за участие в вы
ставке, указанные в объявлении выставки;
• обеспечить своевременное прибытие и регистрацию
представителей, осуществляющих стендовую и иную
работу от имени участника на выставке;
• выполнять другие требования и условия, необходи
мые, согласно объявлению выставки, для допуска
на территорию выставочной площадки;
• выполнять другие требования и условия, необходи
мые, согласно объявлению выставки, для допуска
на территорию выставочной площадки.
На основе вышеизложенного в предварительный этап
деятельности ярмарки следует включить:
• составление перечня выставляемой продукции;
• составление плана выставочного стенда;
» заключение договора с оргкомитетом, передачу ему
плана и заказа на оборудование и услуги;
• изготовление рекламных материалов: информацион-
ных листов, плакатов, буклетов, проспектов;
• подготовку информационных материалов: техниче
ских описаний, прайс-листов, папок стендистов;
• подготовку стендистов и персонала;
• составление сметы затрат.
Организационный этап деятельности связан с прове-
дением ярмарки и решением вопросов по регистрации и
размещению участников ярмарки, обеспечением их раз-
личными услугами сервиса (питание, связь, транспорт,
реклама товаров), а также обеспечением условий для зак-
лючения договорных отношений с поставщиками това-
ров и разрешением возникающих на ярмарке преддого-
ворных споров. Организационный этап включает:
• составление расписания работы персонала;
• инструктаж персонала;
• закрепление экспонатов за сотрудниками;
• завоз и вывоз оборудования;
• организацию переговоров или заключение договоров,
продажу продукции;
• организацию учета посетителей, интересующихся
продукцией фирмы.
Последний, заключительный этап предполагает: •
регистрацию посетителей после окончания работы яр-
марки, проявивших интерес к производителю товаров;
• подведение итогов работы ярмарки: баланса затрат
и доходов с выделением положительных и отрица
тельны моментов в этапах ее работы;
• анализ оригинальных решений по оформлению выс
тавочных стендов фирм производителей продук
тов питания;
• выяснение, достижения ярмаркой поставленных целей;
• предложение рекомендаций на будущее с учетом за
мечаний.
Таким образом, основным источником доходов яр-
марки является плата за рекламу и участие, аренду обо-
рудования и экспозиционных мест, сервисного обслу-
живания и услуг юристов, консультантов, переводчи-
ков и др.; а основными статьями расходов расходы
по аренде офисных и экспозиционных мест, рекламно-
информационные и организационные расходы, транс-
портно-складские и другие расходы.
- 4 -
Коммерческая работа по продаже товаров в розничных торговых предприятиях в отличие от оптовых предприя¬тий имеет особенности.
Розничные торговые предприятия реализуют товары непосредственно населению, т. е. физическим лицам, при¬меняя свои, специфические способы и методы розничной продажи.
Торговое обслуживание населения предполагает нали¬чие специально устроенных и оборудованных торговых по¬мещений, приспособленных для наилучшего обслуживания покупателей, подбора и формирования торгового ассорти¬мента и возможности его оперативного изменения в соот¬ветствии с изменившимся спросом населения, постоянного изучения и учета потребительских запросов покупателей, умения предложить и продать товар каждому конкретному человеку. Розничная торговая сеть в отличие от оптовой характеризуется большой территориальной раздробленно¬стью, наличием большого числа небольших по площадям и товарообороту предприятий, и ее деятельность можно от¬нести преимущественно к сфере малого бизнеса. Согласно установленным критериям численности работающих в пред¬приятиях розничной торговли большая часть предприятий в торговле отнесена к малым предприятиям. От руководи¬телей (менеджеров) этих предприятий требуется большая предприимчивость и инициатива в коммерческой работе по организации сбыта (продажи) товаров населению, умению хорошо обслужить покупателей, противостоять кон¬курентам и обеспечить нормальную прибыль.
В рыночных условиях розничная торговля в Беларуси ори¬ентируется на развитие торговли в странах с развитой ры¬ночной экономикой, где сосредоточены большие людские ресурсы, привлекаются значительные финансовые средства, широко внедряются достижения науки и техники.
Доля торговли (оптовой и розничной) в этих странах в общем числе занятых превышает 20 % общего числа рабо¬тающего населения [18, c.205]. Для западных стран характерен посто¬янный приток рабочей силы в сферу торговли при уже до¬стигнутых значительных масштабах ее использования. Та¬кое положение объясняется тем, что внутри сферы тор¬говли возникла потребность в новых видах коммерческой (деятельности, обеспечивающих наибольшую эффектив¬ность процесса продажи товаров. Создаются специальные службы по изучению и прогнозированию потребительского спроса, контролю за деятельностью магазинов, анализу и определению эффективности тех или иных форм и методов торговли, разработке и конструированию новых видов из¬делий на основе прогнозов вероятного спроса, внедрению стандартизации и маркированию, информации покупателей о потребительских качествах и свойствах новых товаров, организации выставок и т. д.
Важным коммерческим условием успешной продажи товаров в розничной торговой сети является изучение и прогнозирование покупательского спроса населения. В от¬личие от оптовых предприятий, где эта работа направлена главным образом на изучение объема спроса по крупным территориальным образованиям, изучение и прогнозиро¬вание спроса в розничной торговле направлены на определение ассортиментной структуры спроса. Спрос в рознич¬ной торговле изучают специалисты маркетологи, эконо¬мисты, коммерсанты торговых фирм, объединений или круп¬ных магазинов.
Ассортиментную и внутригрупповую структуру спроса отражают данные о продаже и запасах товаров, а также сведения о неудовлетворенном спросе. Основные первич¬ные данные о внутригрупповой структуре спроса можно получить только на розничных торговых предприятиях. Для этого следует организовать учет продажи товаров и запа¬сов по широкой номенклатуре товарного ассортимента, регистрацию неудовлетворенного спроса и требований по¬купателей к качеству отдельных видов и разновидностей товаров.
Организация сбора, обработки и анализа информации о внутригрупповой структуре ассортимента продажи и запасов товаров сложная и трудоемкая задача. Это обусловлено прежде все¬го тем, что во внутригрупповом ассортименте товаров каж¬дого магазина насчитываются тысячи и десятки тысяч раз¬новидностей. Учет движения такого огромного ассортимен¬та возможен лишь с использованием современной компью¬терной техники. В развитых странах по значительной части продовольственных товаров на каждой товарной единице нанесен единый универсальный товарный штриховой шифр (код), служащий идентификатором товара. По непродоволь¬ственным товарам используются специальные этикетки, приспособленные для автоматического считывания. С по¬мощью кассовых терминалов в магазине обеспечивается ав¬томатическое считывание шифра и запись полной характе¬ристики товаров.
Сведения о продаже товаров в магазинах по телефон¬ным (телетайпным, телефаксным) каналам связи передают¬ся в вычислительный центр распределительного склада и центральный вычислительный центр торговой компании (объединения). Такая система сбора и обработки информа¬ции обеспечивает полное и оперативное изучение реали¬зованного спроса и позволяет специалистам по закупкам торговой фирмы давать поставщикам товаров разовые за¬казы высокого качества на поставку товаров в полном соот¬ветствии с размерами продажи товаров и имеющимися за¬пасами.
В небольших розничных торговых предприятиях могут использоваться неавтоматизированные (немеханизирован¬ные) методы учета внутригрупповой структуры реализо¬ванного спроса. Для такого учета используются оператив¬ные данные о запасах и поступлении товаров, материалы инвентаризаций, на основе которых определяются факти¬ческая продажа отдельных товаров за большие периоды и среднедневные обороты по продаже. В качестве таких ме¬тодов используют и учет продажи по товарным чекам или товарным ярлыкам и некоторые другие методы.
Наряду с учетом реализованного спроса в магазинах для изучения спроса организуется сбор информации по ана¬лизу товарных запасов, учету неудовлетворенного спроса и требований покупателей к качеству товаров. Подробно эти способы изучения спроса рассматриваются в курсе мар-кетинга.
Важным элементом коммерческой работы по сбыту является формирование оптимального ассортимента то¬варов в магазине. Установление оптимального ассортимен¬та магазина находится в прямой зависимости от типа и спе¬циализации торгового предприятия. В отечественной роз¬ничной торговле, как и за рубежом, наблюдаются процессы концентрации торговых предприятий, особенно в крупных городах Беларуси, которые происходят одновременно с про¬цессами универсализации и специализации торговых пред¬приятий, созданием небольших смешанных магазинов (па¬латок) по торговле продовольствием.
Выбор эффективных методов розничной продажи то¬варов важнейший этап коммерческой работы розничных торговых предприятий. Эффективно организованная про¬дажа товаров способствует росту товарооборота магазина, лучшему удовлетворению спроса населения и обеспечивает рентабельную работу предприятия.
Метод продажи это совокупность приемов осуществления основных операций по реализации товаров покупателям.
Существуют магазинные и внемагазинные формы продажи товаров.
В настоящее время получили развитие следующие магазинные методы розничной продажи:
самообслуживание;
продажа товаров по предварительным заказам;
продажа товаров по образцам;
с индивидуальным обслуживанием, в том числе с открытой выкладкой.
Организация коммерческо-посреднической деятельности