Виды нелинейных дифференциальных уравнений 1-го порядка
ПГУ им. Т.Г. Шевченко
Курсовая работа
Виды нелинейных дифференциальных уравнений 1-го порядка
Выполнил:
студент 211 группы
специальности «ИКТиСС»
Бирт Игорь Андреевич
Проверил:
Тирасполь 2014 год
Содержание
1.Введение 3 стр.
2.Виды дифференциальных уравнений 4 стр.
3.Практическая часть 8 стр.
4.Литература 20 стр.
- ВВЕДЕНИЕ
Дифференциальное уравнение уравнение, связывающее значение некоторой неизвестной функции в некоторой точке и значение её производных различных порядков в той же точке. Дифференциальное уравнение содержит в своей записи неизвестную функцию, её производные и независимые переменные; однако не любое уравнение, содержащее производные неизвестной функции, является дифференциальным уравнением.
Порядок дифференциального уравнения наибольший порядок производных, входящих в него.
Процесс решения дифференциального уравнения называется интегрированием.
Все дифференциальные уравнения можно разделить на линейные и не линейные.
Нелинейное дифференциальное уравнение - дифференциальное уравнение (обыкновенное или с частными производными), в которое по крайней мере одна из производных неизвестной функции (включая и производную нулевого порядка - саму неизвестную функцию) входит нелинейно.
Иногда под Н.Д.У. понимается наиболее общее уравнение определенного вида. Напр., нелинейнымобыкновенным дифференциальным уравнением 1-го порядка наз. уравнение с произвольной
функцией при этом линейное обыкновенное дифференциальное уравнение 1-го порядка соответствует частному случаю
Н. д. у. с частными производными 1-го порядка для неизвестной функции z
от независимых переменных имеет вид:
где F- произвольная функция своих аргументов;
Виды нелинейных дифференциальных уравнений 1-го порядка:
Уравнения с разделенными переменными
П1.
Общий интеграл
П2.
Общий интеграл
Уравнение в полных дифференциалах
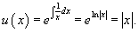
Где
Существует такая функция u(x, y), что
Общий интеграл уравнения в полных дифференциалах u(x, y) = C.
Функция u может быть представлена в виде
Однородное уравнение
где P(x, y), Q(x, y) - однородные функции одной и той же степени
.
Подстановка y = ux, dy = xdu + udx переводит однородное уравнение в линейное относительно функции u:
Уравнение вида
1. Если прямые и пересекаются в точке
(x0; y0), то замена приводит его к однородному уравнению
2. Если прямые и параллельны, то замена приводит к уравнению с разделяющимися переменными
Уравнение Бернулли
Подстановкой сводится к линейному
Уравнение Риккати
Если известно какое-либо из решений , то уравнение сводится к
линейному подстановкой .
Уравнение Лагранжа
Дифференцируя по x и полагая y' = p, приходим к линейному уравнению относительно x как функции p:
Уравнение Клеро
- частный случай уравнения Лагранжа.
ПРАКТИЧЕСКАЯ ЧАСТЬ.
Уравнения Риккати
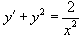
Решить дифференциальное уравнение
y' = y + y2 + 1.
Решение.
Данное уравнение является простейшим уравнением Риккати с постоянными коэффициентами. Переменные x, y здесь легко разделяются, так что общее решение уравнения определяется в следующем виде:

Решить уравнение Риккати

Решение
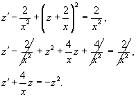
Будем искать частное решение в форме:
Подставляя это в уравнение, находим:

Получаем квадратное уравнение для c:

Мы можем выбрать любое значение c. Например, пусть c = 2. Теперь, когда частное решение известно, сделаем замену:

Снова подставим это в исходное уравнение Риккати:

Как видно, мы получили уравнение Бернулли с параметром m = 2. Сделаем еще одну замену:

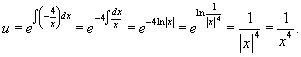
Разделим уравнение Бернулли на z2 (полагая, что z 0) и запишем его через переменную v:

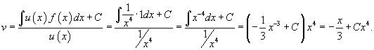
Последнее уравнение является линейным и легко решается с помощью интегрирующего множителя:

Общее решение линейного уравнения определяется функцией

Теперь мы будем последовательно возвращаться к предыдущим переменным. Так как z = 1/v, то общее решение для z записывается следующим образом:

Следовательно,

Можно переименовать константу: 3C = C1 и записать ответ в виде

где C1 произвольное действительное число.
Уравнения Бернули

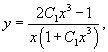
Найти все решения дифференциального уравнения

Решение.
Данное уравнение является уравнением Бернулли с дробным параметром
m = 1/2. Его можно свести к линейному дифференциальному уравнению с помощью замены

Производная новой функции z(x) будет равна

Разделим исходное уравнение Бернулли на

Аналогично другим примерам на этой веб-странице, корень y = 0 также является тривиальным решением дифференциального уравнения. Поэтому можно записать:

Заменяя y на z, находим:

Итак, мы имеем линейное уравнение для функции z(x). Интегрирующий множитель здесь будет равен

Выберем в качестве интегрирующего множителя функцию u(x) = x. Можно проверить, что после умножения на u(x) левая часть уравнения будет представлять собой производную произведения z(x)u(x):

Тогда общее решение линейного дифференциального уравнения будет определяться выражением:

Возвращаясь к исходной функции y(x), записываем решение в неявной форме:

Итак, полный ответ имеет вид:

Уравнения с разделяющимися переменными
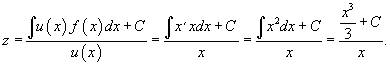
Найти все решения дифференциального уравнения
y' = xey.
Решение.
Преобразуем уравнение следующим образом:

Очевидно, что деление на ey не приводит к потере решения, поскольку ey > 0. После интегрирования получаем

Данный ответ можно выразить в явном виде:

В последнем выражении предполагается, что константа C > 0, чтобы удовлетворить области определения логарифмической функции.
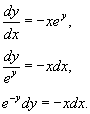
Найти частное решение уравнения, при
y(0) = 0.
Решение.
Перепишем уравнение в следующем виде:

Разделим обе части на 1 + ex:

Поскольку 1 + ex > 0, то при делении мы не потеряли никаких решений. Интегрируем полученное уравнение:
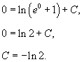
Теперь найдем константу C из начального условия y(0) = 0.
Следовательно, окончательный ответ имеет вид:

Уравнение Клеро
Найти общее и особое решения дифференциального уравнения
y = xy' + (y')2
Решение
Полагая y' = p, его можно записать в виде

Продифференцировав по переменной x, находим:

Заменим dy на pdx:

Приравнивая первый множитель к нулю, получаем:

Теперь подставим это во второе уравнение:

В результате получаем общее решение заданного уравнения Клеро. Графически, это решение представляется в виде однопараметрического семейства прямых. Приравнивая нулю второй сомножитель, находим еще одно решение:

Это уравнение соответствует особому решению дифференциального уравнения и в параметрической форме записывается как

Исключая p из системы, получаем следующее уравнение интегральной кривой:

С геометрической точки зрения, парабола

является огибающей семейства прямых, определяемых общим решением.
Найти общее и особое решения дифференциального уравнения

Решение.
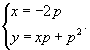
Введем параметр y' = p:

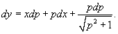
Дифференцируя обе части уравнения по переменной x, получаем:

Поскольку dy = pdx, то можно записать:

Рассмотрим случай dp = 0. Тогда p = C. Подставляя это в уравнение, находим общее решение:

Графически это решение соответствует однопараметрическому семейству прямых линий.
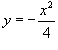
Второй случай описывается уравнением

Найдем соответствующее параметрическое выражение для y:

Параметр p можно исключить из формул для x и y. Возводя последние уравнения в квадрат и складывая их, получаем:
Полученное выражение является уравнением окружности радиусом 1, расположенным в начале координат. Таким образом, особое решение представляется единичной окружностью в плоскости xy, которая является огибающей для семейства прямых линий.
ЛИТЕРАТУРА
- Н.С. Пискунов "Дифференциальное и интегральное исчисление", том второй, издательство "Наука", Москва 1985
- В. Ф. Зайцев, А. Д. Полянин. Справочник по обыкновенным дифференциальным уравнениям. М.: Физматлит, 2001.
- К.Н. Лунгу, В.П. Норин и др. "Сборник задач по высшей математике", второй курс, Москва: Айрис-пресс, 2007
- Э. Камке. Справочник по обыкновенным дифференциальным уравнениям. М.: Наука, 1976.
- Источники информации в интернете.

PAGE \* MERGEFORMAT19
Виды нелинейных дифференциальных уравнений 1-го порядка