Ветроэнергетическая установка «парусно-флюгерного типа» с вертикальной осью вращения
Государственное учреждение образования
«Красновский ясли-сад средняя школа»
Ветроэнергетическая установка «парусно-флюгерного типа» с вертикальной осью вращения
Проект ученика 10 класса
Барана Дениса Александровича
Руководитель: Козлов П.Т.
Красновка
2013
Содержание
|
3 |
|
|
|
|
|
|
|
4 |
|
6 |
|
8 |
|
14 |
|
15 |
|
16 |
|
Приложения |
|
|
Презентация |
|
|
Видео |
|
|
Таблица расчётов |
|
Введение
К работе над данным проектом нас подтолкнули нельзя сказать, чтобы частые, но довольно неприятные отключения электроэнергии. Так как отключения случались в основном из-за сильного ветра, мы решили именно его использовать в качестве источника энергии.
В своей модели мы решили использовать не сложный в изготовлении пропеллер, а жесткий лист, который в рабочем цикле движется перпендикулярно направлению ветра, а в холостой цикл возвращается в исходное положение, имея минимальное сопротивление ветру.
Актуальность работы: запасы не возобновляемых сырьевых ресурсов нефти, газа и угля будут исчерпаны. Чем активнее мы их используем, тем меньше их остается и тем дороже они нам обходятся. По расчетам специалистов, при нынешних объемах добычи угля на Земле хватит лет на 400-500, а нефти и газа максимум на столетие. К тому же опустошение земных недр и сжигание топлива уродуют планету, и год от года ухудшают ее экологию. Задача освоения экологически чистых, возобновляемых, или, как их еще называют, нетрадиционных, источников энергии сейчас как никогда актуальна. Среди них лишь энергия Солнца и ветра поистине неисчерпаема и не вносит практически никаких изменений в природу.
ЦЕЛЬ ПРОЕКТА
Разработка и создание действующей модели альтернативного источника электроэнергии, исследование его работы.
Задачи проекта
- Создать действующую модель ветроэнергетической установки с вертикальной осью вращения.
- Провести исследования и определить возможности использования ветроустановок этого типа как источника электроэнергии.
- Обобщить теоретический и экспериментальный материал с определением его возможного использования
Краткое описание хода работы
- Изготовление модели ветроэнергетической установки с модулями двух типов (схема модулей прилагается);
- Исследование технических характеристик каждого модуля (измерение момента силы при разных углах, частоты вращения при одинаковой силе ветра и нагрузке, измерении силы тока и напряжения, вычисление КПД);
- Выбрать лучший вариант и рассчитать зависимость его мощности от скорости ветра и площади паруса-флюгера;
- Обобщение теоретического и экспериментального материала с определением его практического применения.
История развития ветроэнергетики
Механическая энергия, полученная в результате вращения лопастей ветроколеса, на первом этапе использовалась для помола зерна, подачи воды, осушения заболоченных мест, распиловки древесины и т.д. Следы использования ветряных мельниц, найденных в Египте, относятся к IV ст. до н.э. Обнаружены следы использования ВЭУ в Китае, Иране. Этот период относится к X ст. н.э. Ветряные мельницы, производящие электричество, были изобретены в XIX веке в Дании. Там в 1890-м году была построена первая ветроэлектростанция, а к 1908-му году насчитывалось уже 72 станции мощностью от 5 до 25 кВт.
И, наконец, к 1990 г. на побережье Северного моря, между Голландией и Данией, использовалось уже сто тысяч ветряков, которые выполняли различную механическую работу. Энергия ветра нашла применение и на другом континенте. Так, в США в 20-е гг. нашего века насчитывалось около 6 млн ветроустановок.
Развитие ветроэнергетики в СССР началось в 30-е гг. В 1931 г. был организован Центральный ветроэнергетический институт. Исследовательские работы проводились и в других институтах. Налаживалось их производство. Так, только на Херсонском заводе выпуск ВЭУ мощностью 11 и 75 кВт составлял 2000 штук в год. В том же 1931 г. в Крыму была построена самая крупная в то время ВЭУ мощностью 100 кВт, которая работала до 1942 г. В 1935 г. была разработана ВЭУ мощностью 1000 кВт. Производство ветроустановок набирало силу, и в 1956 г. их выпуск достиг 9000 штук. Однако вскоре их производство было прекращено. В стране набирала силу «гигантомания».
В период с 1940-х по 1970-е годы ветроэнергетика переживает период упадка в связи с интенсивным развитием передающих и распределительных сетей, дававших независимое от погоды энергоснабжение за умеренные деньги.
За рубежом нетрадиционная энергетика начала всерьез развиваться после нефтяного кризиса середины 1970-х годов. И хотя на первых порах ветроэнергетические станции (ВЭС) не давали прибыли, отрасль развивалась. Сегодня мировая ветроэнергетика вышла на прибыль и существует без каких-либо дотаций, но в условиях активного госрегулирования.
Ветроэнергетика как сектор энергетики присутствует в более чем 50 странах мира. Страны с наибольшей установленной мощностью: Германия (18 428 МВт), Испания (10 027 МВт), США (9 149 МВт), Индия (4 430 МВт) и Дания (3 122 МВт). Ряд других стран, включая Италию, Великобританию, Нидерланды, Китай, Японию и Португалию, перешли отметку в 1 000 МВт.
Анализ мирового развития ветроэнергетики показал, что за последние 5 лет мощность ветроэнергетических станций (ВЭС) в мире возросла в 5 раз и достигла уровня около 35,0 миллионов киловатт. За последние 10 лет в результате принятых политических решений и значительных капитальных вложений в исследования и организацию производства в ряде стран (Дания, США, Германия, Голландия, Великобритания и др.) создана целая отрасль ветроэнергетики. Сегодня эта отрасль обеспечивает выработку электроэнергии при себестоимости 4-5 центов/кВт-ч.
Дания к 2030 году планирует довести этот показатель до 50%. Если посмотреть европейский «разрез» по установленной мощности ветровых энергоустановок, то видно, что лидирующее положение в Европе занимает Германия (18 млн. кВт), затем Испания (около 10 млн. кВт), Дания и Голландия, где имеются мощности свыше одного миллиона киловатт.
До сих пор ветроэнергетика наиболее динамично развивалась в странах ЕС, но сегодня эта тенденция начинает меняться. Всплеск активности наблюдается в США и Канаде, в то время как в Азии и Южной Америке возникают новые рынки. В Азии, как в Индии, так и в Китае, в 2005 году зарегистрирован рекордный уровень роста.
Белорусская энергетическая программа основными направлениями использования ветроэнергетических ресурсов на ближайший период предусматривает их применение для привода насосных установок и в качестве источников энергии для электродвигателей автономного обеспечения. Эти области применения характеризуются минимальными требованиями к качеству электрической энергии, что позволяет резко упростить и удешевить ветроэнергетические установки.
Перспективы и проблемы использования нетрадиционных возобновляемых источников энергии
Общие сведения
Ветер представляет собой движение воздушных масс земной атмосферы, вызванное перепадом температуры в атмосфере из-за неравномерного нагрева ее Солнцем. Таким образом, используемая энергия ветра является преобразованной в механическую энергией Солнца.
Устройства, преобразующие энергию ветра в полезную механическую, электрическую или тепловую виды энергии, называются ветроэнергетическими установками (ВЭУ) или ветроустановками.
При правильной организации использования ветроэнергетики такой дешевый и неиссякаемый источник энергии, как ветер, может удовлетворить большую часть потребностей в любой отрасли народного хозяйства. Установки, преобразующие энергию ветра в электрическую, тепловую и механическую, могут обеспечить:
- автономное энергоснабжение различных локальных объектов (оросительные системы, механизмы животноводческих ферм, вентиляцию, устройства микроклимата и т.п.);
- горячее водоснабжение, отопление, энергообеспечение холодильных агрегатов;
- подъем воды для садовых участков, на пастбищах и т.п.;
- откачку воды из систем вертикального и горизонтального дренажа и прочих систем.
По сравнению с другими видами источников энергии ветроэнергетические установки имеют следующие преимущества:
- отсутствие затрат на добычу и транспортировку топлива;
- снижение более чем в 10 раз трудозатрат на сооружение ветроэнергетической установки по сравнению со строительством тепловых или атомных станций;
- широкий технологический диапазон прямого использования энергии ветроустановок (автономность или совместная работа с централизованными сетями, совместимость с другими источниками возобновляемой энергетики и т.п.);
- минимальные сроки ввода мощностей в эксплуатацию;
- улучшение экологической обстановки за счет снижения уровня загрязнения окружающей среды.
Мы выбрали ВЭУ с вертикальным валом ротора, который жестко связан с вертикально установленными крыльями как минимум по три в каждом ярусе. Такая установка может быть модернизирована путем размещения по вертикали нескольких ярусов, в каждом ярусе можно разместить одну турбину внутри другой, которые вращаются в разные стороны.
В такой схеме привлекает:
- полная независимость аэродинамических режимов работы всех лопастей, расположенных на разной высоте;
- прямая жесткая связь вала установки с ротором электрогенератора, расположенного внизу, практически на земле;
- возможность наращивать суммарную мощность ВЭУ за счет установки дополнительных ярусов ветродвижителей и дополнительных генераторов на одной оси.
- возможность компактного размещения ВЭУ на местности и близко к потребителю.
Действующая модель парусно-флюгерной ветроустановки с вертикальной осью вращения
Теория
В начале своих «научных изысканий» мы провели поиск в интернете «ветроэнергетических установок» и не нашли ничего похожего на проект нашей ветроэнергетической установки: 
Рис. 1. Типы ветряных колес
Приводим также описание их характеристик: Ветроустановки классифицируются по двум основным признакам -геометрии ветроколеса и его положению относительно направления ветра.
Если ось вращения ветроколеса параллельна воздушному потоку, то установ-ка называется горизонтально-осевой, если перпендикулярна - вертикально-осевой.
Ветроколесо с горизонтальной осью, использующее подъемную силу (двух- или трехлопастное ветроколесо), показано на рис. 1 (а, б, в, г).
Ветроустановки, использующие силу лобового сопротивления, состоят из укрепленных вертикально оси лопастей различной конфигурации (рис. 1 е, ж, з, и, к).
На рис. 1, д представлено ветроколесо, использующее эффект Магнуса (эффект возникновения подъемной силы, перпендикулярной направлению ветра, при вращении цилиндра или конуса).
Но после того как мы определились с названием нашей ВЭУ «Парусно-флюгерного типа» и набрали в поисковике соответствующую фразу то нашли достаточное количество подобных установок. Наверное, первой из них является «Карусельный ветродвигатель Нухова»

Наиболее полно его описывает следующее изобретение
|
ОПИСАНИЕ ИЗОБРЕТЕНИЯ К ПАТЕНТУ Статус: по данным на 18.08.2010 - действует |
|
Автор(ы): Патентообладатель: |


После этого мы решили в нашей установке расположить ось поворота паруса-флюгера вертикально, и это помогло нам значительно упростить и следовательно удешевить конструкцию
В литературе мы нашли разные подходы к определению мощности ветроустановки:
- (По теории Н. Жуковского) Воздушный поток, проходя перпендикулярно через лопасти ветроколеса, вызывает его вращение, производя механическую энергию. Если объем протекающего за 1 с воздуха V = Fv, то мощность ВЭУ может быть получена из выражения:
N = 1/2v3S [Вт],
где S площадь ветроколеса, v и скорость и плотность воздуха соответственно. Однако не вся, а лишь часть энергии ветра может быть преобразована в механическую энергию. Эта величина оценивается коэффициентом использования энергии , который определяется как отношение энергии, преобразованной в механическую, к полной энергии потока. Теоретическое значение коэффициента равно 0,59. Практически же этот коэффициент в современных конструкциях составляет примерно 0,45 0,48.
Механическая энергия может быть преобразована в электрическую с коэффициентом полезного действия , учитывающего потери в системе преобразования. Тогда окончательно мощность ВЭУ
Nэ = 1/2 v3F [Вт].
Как видим, мощность ВЭУ пропорциональна скорости потока в третьей степени, что является чрезвычайно важным фактором. Так, если скорость потока увеличится (или уменьшится) всего лишь в два раза, то мощность увеличится (или уменьшится) в восемь раз.
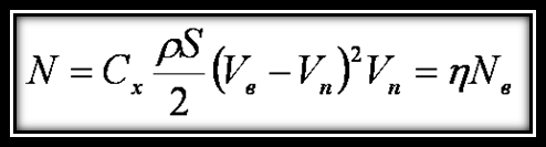
- (Розин Михаил Николаевич «Теория парусных установок») Если пластина неподвижна и перпендикулярна скорости ветра, то на нее действует сила
Где:
F сила давления воздушного потока [н],
Сx коэффициент сопротивления, зависящий от формы тела,
р плотность воздуха 1,29 [кг/м 3],
S площадь поперечного сечения пластины [м 2]
Vв скорость потока воздуха [м/с].
Коэффициент Cx зависит от формы тела. Понятно, что скорлупка, обращенная отверстием навстречу потоку, имеет большее сопротивление, чем та же скорлупка, обращенная выпуклостью к потоку. Самым же обтекаемым будет каплеобразная форма тела, обращенная тупым, а не острым, как ни странно, концом к потоку. Значения коэффициентов Cx для некоторых тел приведены ниже.
- Тонкая пластина перпендикулярная потоку Cx =1,11 для небольших пластин и Cx = 1,33 для больших пластин
- Полусфера, отверстие обращено навстречу потоку (парашют) Cx=1,33
- Полусфера, отверстие обращено по потоку Cx =0,35
- Тело обтекаемой каплеобразной формы Cx =0,05
Когда пластина движется, то она как бы убегает от ветра и относительная скорость воздушного потока, набегающего на пластину, снижается. Поэтому сила напора воздушного потока также будет меньше

V п - скорость перемещения пластины.
Мощность равняется произведению силы на скорость
N= FV п
Мощность, получаемая на генераторе, составит

Для плоской пластины КИЭВ равен 0,164 0,197.
Если пластина неподвижна, то полезная мощность равна нулю. Если пластина движется со скоростью ветра, то она не испытывает давления и мощность тоже равна нулю.
При скорости ветра 5 м/с мощность согласно первой теории превышает вторую более чем в 10 раз.
Практика
В своей модели мы решили использовать не сложный в изготовлении пропеллер, а жесткий лист, который в рабочем цикле движется перпендикулярно направлению ветра, а в холостой цикл возвращается в исходное положение, имея минимальное сопротивление ветру. Увлеченные идеей, мы занялись конструированием самой установки, ее механики и преодолением возникающих при решении этой задачи технических сложностей.
Мы решили создать ВЭУ (ветроэнергетическую установку) из доступных материалов с наименьшим количеством деталей. С целью регулирования мощности устанавливается необходимое количество модулей.
История создания нашей ВЭУ пока состоит из трех этапов:
- ВЭУ с поворотом паруса в горизонтальной плоскости (рис.1): основной недостаток - для возвращения пластины в горизонтальное положение необходимо усилие равное веса пластины. Установка начинала вращение при скорости ветра более 2 м/с, КПД существенно снижался.
- ВЭУ с поворотом паруса в горизонтальной плоскости с противовесами (рис.2): недостатки усложнение конструкции, задержка в возвращении в рабочее положение (перпендикулярно потоку воздуха).
- ВЭУ с поворотом паруса в вертикальной плоскости (рис.3): преимущества наиболее простая конструкция, низкая шумность, устойчивость при порывах ветра, самоторможение при ураганном ветре.
Исследование ветроэнергетической установки парусно-флюгерного типа с вертикальной осью вращения (на модели)
Результаты испытаний
На сегодняшний день мы успели провести следующие исследования:
- Вначале мы решили проверить на практике справедливость формулы
и использовать её для определения скорости ветра:
Где:
F сила давления воздушного потока [н],
Сx коэффициент сопротивления, зависящий от формы тела,
р плотность воздуха 1,29 [кг/м 3],
S площадь поперечного сечения пластины [м 2]
Vв скорость потока воздуха [м/с].
Опыт мы проводили следующим образом:
- измерили с помощью динамометра силу давления ветра на пластины
S=0.125 м2 F =0.5 н
S=0.25 м2 F =1 н
- измерили скорость ветра с помощью воздушного шара, секундомера и рулетки Vв = 2 м/с (V=S/t)
- определили частоту вращения нашей ветроустановки без нагрузки
n = 2 об/сек,
- вычислили линейную скорость середины пластины D=0.5 м - Vпс = 1,6 м/с, крайней точки D=1 м - Vпк = 3,2 м/с
- провели вычисления с помощью электронной таблицы и сделали следующие выводы: а) формула справедлива и с её помощью можно вычислять скорость ветра и создать прибор для вычисления скорости ветра
б) крайние точки пластины вращаются со скоростью выше скорости ветра и в справедливости формулы стоит усомниться.
- Измерили силу, при которой ветроустановка начинала вращаться с подключенным генератором: F = 4н - согласно теории 2 это должно было происходить при скорости ветра около 3,7 м/с. При наших испытаниях скорость ветра не превышала 3 м/с и установка вращалась с частотой 0,4 об/сек. Показания вольтметра и амперметра были незначительны 0,6 v, 0.2 A.
Заключение
Модель ветроэнергетической установки парусно-флюгерного типа работает и начинает вырабатывать электроэнергию при скорости ветра более 2 м/с.
Коэффициент использования энергии ветра (или КПД) такой установки выше 0,2.
Ветроэнергетическая установка парусно-флюгерного типа с вертикальной осью вращения рассчитана на любые характеристики ветрового потока. Установка способна вырабатывать электроэнергию при минимальной скорости ветра. Чем медленнее вращается ротор, тем больше сила взаимодействия с воздушным потоком, следовательно, можно ставить редуктор с максимальным передаточным числом, автомобильный генератор и не заботиться об управлении отбора мощности.
Для увеличения мощности при известном ветре, достаточно просто увеличивать площадь паруса и количество модулей.
Цель проекта «разработка и создание действующей модели альтернативного источника электроэнергии, исследование его работы» в части «исследования его работы» требует продолжения.
Литература
2. Ветроэнергоресурсы и условия возведения ветроэнергетических установок на территории Восточной Прибалтийско-Черноморской зоны Европы / Лаврентьев Н.А., Волобуева Г.В., Гноевой А.И., Камлюк Г.Г., Евчук В.И.; под научной редакцией Н.А. Лаврентьева. Минск: Право и экономика, 2010. 455 с.
3. Жуков Д.Д., Лаврентьев Н.А. Энергию ветра на ветер?.. // Архитектура и строительство. 1999. № 5. С. 3638.
4. Патент на изобретение BY 4323. Ветроэнергетическая установка. Лаврентьев Н.А., Хлебцевич В.А. Приоритет от 23.11.1998.
5. Патент на изобретение BY 9608. Ветроэнергетическая установка. Лаврентьев Н.А., Жуков Д.Д., Шляхтенко В.Г., Лаврентьева Ю.Н. Приоритет от 12.24.2003.
http://www.rosinmn.ru/vetro/teorija_parusa/teorija_parusa.htm
Ветроэнергетическая установка «парусно-флюгерного типа» с вертикальной осью вращения