Влияние телевидения на отношение россиян к украинцам
Национальный исследовательский университет
Высшая школа экономики
Международный Институт Экономики и Финансов
ВЫПУСКНАЯ КВАЛИФИКАЦИОННАЯ РАБОТА
на тему: Влияние телевидения на отношение россиян к украинцам.
Студент (4 курса, 5 группы)
Аюшиева Валерия Олеговна
Научный руководитель
PhD, доцент,
Белянин Алексей Владимирович
МОСКВА, 2014 год
Аннотация
Данная дипломная работа посвящена, без сомнения, одной из самых актуальных проблем 2014г отношению россиян к украинцам. За 2014г. украинский конфликт стал самой обсуждаемой темой, а «укроп», «ватник» и «крымнаш» - самыми популярными словами. Какую Украину мы видим на экранах наших телевизоров и мониторов? Какой в это вкладывается скрытый смысл? И, наконец, как то, что нам показывают, сказывается на нашем восприятии Украины? Данная работа поможет пролить свет на эти вопросы. Основой диплома является количественный контент-анализ, а также эконометрический анализ, включающий результаты контент-анализа, данные опросов общественного мнения и данные телеметрических статистик. В ходе работы автор доказывает значимость влияния не только телесмотрения, но и, непосредственно, пропагандистского содержания телепрограмм на отношение россиян к украинцам.
Abstract
This diploma paper is dedicated to one of the most burning issues of 2014 relations between Russians and Ukrainians. In 2014 Ukrainian conflict has become the hottest topic, and in this setting, it is extremely important what image of Ukraine is created by mass media: what is the hidden message in mass media`s reports? How does it affect attitude of Russians towards Ukrainians? Hopefully, the study will shed some light on these issues. The methodology of the research is quantitative content-analysis and econometrical analysis based on the results of content-analysis, TV statistics data and questionnaire data. The author finally proves that television and which is more important, its propagandistic content has a significant impact on Russians` attitude towards Ukrainians.
ОГЛАВЛЕНИЕ
|
[0.1] 1. ВВЕДЕНИЕ [0.2] 2. ОБЗОР ЛИТЕРАТУРЫ [0.3] 3. ТЕОРИЯ ПРОПАГАНДЫ [0.4] 4. КОНТЕНТ АНАЛИЗ [0.4.1] 4.1. Теоретические аспекты и методология [0.4.2] 4. 2 Освещение Украинского конфликта российскими СМИ [0.4.3] 4. 3 РЕЗУЛЬТАТЫ АНАЛИЗА [0.4.4] 4.3.1 Образ Украины. [0.4.5] 4.3.2 Образ России [0.4.6] 4.3.3 Образ мира [0.4.7] 4. Заключение количественного анализа [0.5] 5. ПРАКТИЧЕСКАЯ ЧАСТЬ [0.6] 6. ВЫВОДЫ [0.7] СПИСОК ЛИТЕРАТУРЫ [0.8] ПРИЛОЖЕНИЕ 1. Список кодов [0.9] ПРИЛОЖЕНИЕ 3 Протокол итогов анализа |
1. ВВЕДЕНИЕ
Ежедневно мы получаем и обрабатываем колоссальные объемы информации - выходя из дома, мы сталкиваемся с кричащими рекламными билбордами, слушаем радио в машине по дороге к месту учебы или работы, общаемся с коллегами и друзьями, получаем последние новости из социальных сетей, телевидения, информационных агентств и прессы, и, даже возвращаясь домой, мы спрашиваем, что нового сегодня узнали наши домочадцы. Информацию, относящуюся непосредственно к нам, мы обрабатываем сами, но для навигации в безграничном море политических и социально значимых событий, мы предпочитаем полагаться на средства массовой информации. СМИ призваны акцентировать наше внимание только на том, что действительно важно, становясь для нас призмой, через которую мы смотрим на мир. Однако как бы комфортно ни было во всем, что касается внешнего мира, положиться на всезнающие телевидение и газеты, время от времени все же стоит проверять - а не искажена ли картинка?
Каждый телеканал стремится предстать перед зрителями в качестве независимого арбитра, честного и неподкупного, освещающего все ракурсы политической жизни страны. Однако стоит помнить, что с тех самых пор, как образовались первые государства, их правители начали стремиться удержать власть всеми возможными способами. И СМИ в этом контексте - один из самых влиятельных инструментов. Манипулировать общественным мнением довольно легко, если люди всецело доверяют общедоступным каналам информации. Именно поэтому важно не отключать критическое мышление и адекватно оценивать предлагаемую СМИ точку зрения.
Данная дипломная работа посвящена изучению объективности российского телевидения в контексте освещения Украинского конфликта, начавшегося массовой акцией протеста в Киеве в ноябре 2013 года и продолжившегося гражданской войной, разделившей страну на две части. За прошедший 2014 год тема Украины стала наиболее острой и дискутируемой не только в России, но и по всему миру. Произошедшие события непосредственно отразились на гражданах нашей страны: мы на практике узнали, что такое санкции и стали невольными участниками информационной войны. В этом контексте важность всесторонней информированности и понимания подводных течений политических процессов сложно переоценить. А актуальность проблемы состоит в том, что конфликт все еще не разрешен, несмотря на многочисленные этапы мирных переговоров. В таких условиях как никогда важно быть в курсе новостей внешней политики и делать из них правильные выводы. Можно ли положиться в этом на российское телевидение - один из ключевых вопросов исследования.
Главной целью диплома является оценка того вклада, который уже внесен воздействием СМИ в общественное мнение. Какую роль средства массовой информации сыграли в ухудшении отношения россиян к украинцам? Является ли это плодом пропаганды российских СМИ? - вот основные направления работы.
Учитывая насколько аккуратного подхода требуют эти вопросы, во-первых, ввиду очевидной напряженности в отношениях Украины и России на сегодняшний день, во-вторых, ввиду тонкости обсуждаемых материй (манипуляции СМИ общественными мнением, пропаганда), необходимо четко определить все понятия, используемые в ходе исследования. Прежде всего, это касается следующего:
1) Действительно ли телевидение имеет приписываемое ему воздействие на умы?
2) Действительно ли российские телеканалы являются «рупором власти», распространителями пропаганды?
3) Если пропаганда есть, то действительно ли она провоцирует охлаждение отношений между народами России и Украины?
Первый пункт касается теоретической части: необходимо выяснить, оказывает ли телевидение какое-либо влияние на формирование предпочтений и убеждений индивидов. Обзор литературы позволяет объективно рассмотреть этот вопрос, используя многолетний опыт исследователей, посвятивших свои работы этой теме.
Перед тем как перейти ко второму пункту необходимо четко определить понятие пропаганды, ее методы, а также ее эффективность с экономической точки зрения, релевантность основных течений экономической мысли к феномену пропаганды. Классификация методов пропаганды также является началом ответа на вопрос "Действительно ли российские телеканалы являются "рупором власти", распространителями пропаганды?", поскольку в ней будут продемонстрированы примеры из телепрограмм, являющихся субъектом исследования.
Для более детального освещения данного вопроса важно выявить ключевые тенденции и образы, формируемые российскими СМИ при освещении Украинского конфликта. Методология социологических исследований подразумевает использование в этих целях метод количественного контент-анализа. Как будет продемонстрировано, это наиболее объективный и действенный инструмент, позволяющий свести качественные характеристики и оценочные суждения к объективным количественным данным.
Возможность ответить на главный вопрос диплома, а именно: "Какую роль телевидение играет в изменении отношения россиян к украинцам?", представляется в следующей части. Эмпирическая модель, используемая в этих целях, представляет собой упорядоченную пробит-регрессию. Анализ включает данные статистик телесмотрения на территории РФ, количественные данные, полученные по результатам контент-анализа, а также данные социологических опросов Аналитического Центра Юрия Левады.
2. ОБЗОР ЛИТЕРАТУРЫ
С тех пор как в начале 50х годов телевидение стало массовым явлением, исследователи все чаще стали задаваться вопросом: какое влияние оно оказывает на людей? Способно ли оно моделировать вкусы, менять культурные ценности и устои? Завоевывая все большее внимание, средства массовой информации действительно стали «четвертой властью», оказывая воздействие даже на те стороны жизни, на которые государство, как ни старалось, повлиять не могло. Порой эти эффекты были неожиданными и даже ненамеренными, что вызывало особый интерес социологов.
Тема влияния средств массовой коммуникации на политические взгляды и культурные ценности людей стала особенно популярной в конце 90х. Основными причинами такого резкого скачка интереса, безусловно, стало поистине массовое распространение телевидения и радио, а также появление новых технологий, позволяющих с большей точностью рассчитать необходимые показатели. К примеру, к 1990му году количество радиостанций и телекомпаний в США выросло на 67% и 59% по сравнению с 1970 годом. А внедрение так называемого пипл-метра (people meter) в 80х-90х годах значительно облегчило сбор данных.
Источники насчитывают более двухсот научных статей, посвященных влиянию телевидения и радио. Однако в своем анализе я опиралась не на все, а лишь на некоторые из них, наиболее тесно связанные с моей темой.
Прежде всего стоит подчеркнуть, что использование радио в целях пропаганды началось еще с Первой мировой войны в 1914-1918гг. В статье Crook, T. Vocalizing the Angels of Mons: Audio Dramas as Propaganda in the Great War of 1914 to 19181 говорится о мифе «Ангелы Монса», который в 1915г. был выпущен в аудио-формате для фонографа. Автор подчеркивает, что это звуковое представление было призвано не только развлекать людей, тогда еще не избалованных техническими новинками, но в большей мере поднимать боевой дух солдат, привлекать добровольцев на фронт и катализировать социальную активность таким образом, являясь инструментом пропаганды.
Эффект воздействия радио на политические взгляды общества был также исследован в работе Adena, M., Enikolopov, R., Petrova, M., Santarosa, V., Zhuravskaya, E. Radio and the Rise of the Nazis in Prewar Germany2. Используя временные и географические различия в доступности радио, исследователи установили, что до прихода к власти национал-социалистической немецкой рабочей партии, в 1929-1932гг., доступность такого информационного канала как радио негативно сказывалась на общественной поддержке партии. Иными словами, люди, слушающие радио, в значительно меньшей степени поддерживали националистов. Однако спустя всего 5 недель после назначения Гитлера канцлером и смены политической ориентации радио теперь оно было подвластно Гитлеру и его соратникам этот эффект был преодолен. Про-нацистская пропаганда в значительной степени повлияла на политические взгляды Германии и помогла Гитлеру завоевать всеобщую поддержку и привлечь больше голосов на выборах в марте 1933г. Таким образом, авторы статьи подчеркивают, насколько значима роль средств массовой информации в институциональных изменениях. Это очень мощный инструмент, способный в короткие сроки оказать максимальное воздействие на умы людей. Тем не менее эффект не всегда оказывается равен ожидаемому. Антисемитская пропаганда принесла двусмысленные результаты: на территориях с исторически более высоким уровнем враждебности к евреям пропаганда усилила антисемитские настроения, в то время как в местностях с населением более лояльным к евреям антисемитская пропаганда вызвала падение популярности нацистской партии. То есть пропаганда может привести не к ожидаемому, а к ровно противоположному эффекту.
К похожим результатам пришли и авторы Vigna, S.D., Enikolopov, R., Mironova, V., Petrova, M., Zhuravskaya, E. 2014. "Cross-Border Media and Nationalism: Evidence from Serbian Radio in Croatia"3. Их опросы выявили, что доступность сербских радиостанций в Хорватии значительно усиливает антисербские настроения у местного населения, о чем можно было судить по увеличению пропорции голосов, отданных за ультра-националистские партии, а также по большому количеству не толерантных граффити в отдельных регионах. Исследователям пришлось провести огромную работу, исследуя мелкие приграничные поселения Хорватии, выявляя доступность радиосигнала, а также частоту и длительность прослушивания сербских радиостанций. Исходные данные этой статьи наиболее близки к тем, что мы наблюдаем в Украинско-Российском конфликте: две соседние страны, минимальный языковой барьер, а также напряженность в международных отношениях. Однако здесь авторы полагались в большей части на опросы, в то время как современные технологии измерения телевизионной аудитории позволяют нам собрать наиболее объективные показатели, необходимые для определения степени влияния телевидения на отношение россиян к украинцам.
Роль СМИ оказалась решающей и во время геноцида в Руанде. По оценкам статьи Yanagizawa-Drott, D. Propaganda and Conflict: Evidence from the Rwandan Genocide4, около 10% насилия и военных преступлений в Руанде в 1994г. объясняется влиянием популярной радиостанции, поощрявшей геноцид народности Тутси. В исследовании использовались данные о доступности радиосигнала в отдельных поселениях, а также официальные документы, регистрирующие совершения убийств и прочих преступлений на территории Руанды. Автор доказывает, что масштаб геноцида не был бы настолько велик, если бы не средства массовой информации.
Современные политики также пользуются эффектами воздействия СМИ. В статье Sabatini, F. Who Trusts Berlusconi? An Econometric Analysis of the Role of Television in the Political Arena5 с помощью эконометрической модели автор объясняет, почему многочисленные скандалы с участием Сильвио Берлускони не оказывают значимого негативного эффекта на его положение в политической жизни страны. Как выясняется, степень доверия к итальянскому премьер-министру во многом определяется степенью доверия к телевидению, в том числе и к телеканалам, владельцем которых является Берлускони.
Исследования, проведенные в Америке, также подтверждают гипотезу о значительном влиянии радио и телевидения на политические взгляды граждан. DellaVigna, S., Kaplan, E. The Fox News Effect: Media Bias and Voting6 демонстрирует, как расширение сети вещания телеканала FOX NEWS в 1996-2000гг. сказалось на результатах президентских выборов и выборов в Сенат. За 4 года вещание FOX NEWS появилось в 20% городов США. Президентские выборы 2000г. показали увеличение голосов за кандидата-республиканца на 0.4-0.7% в тех городах, где с 1996г. появился телеканал FOX NEWS. По результатам выборов в Сенат, исследователи утверждают, что FOX NEWS убедил по крайней мере 3-8% зрителей голосовать за Республиканскую партию.
Учитывая, что СМИ для многих людей единственный источник информации о политических событиях, вполне очевидно, что радио и телевидение формирует взгляды и мнения относительно происходящих в мире событий. Однако в повседневной жизни люди руководствуются не только тем, что узнают из СМИ, но и традициями, нормами морали, а также примером других людей. Таким образом, роль СМИ в сферах жизни, обособленных от политики, не столь очевидна.
Тем не менее, огромное число научных работ доказывает, что телевидение проникает абсолютно во все аспекты человеческого поведения. La Ferrara, E., Chong, A., Duryea, S. Soap Operas and Fertility: Evidence from Brazil7 показывает, как популярность «мыльных опер» сказалась на рождаемости в Бразилии. Авторы статьи доказали, что со входом на рынок телекомпании Rede Globo, монополиста в области производства теленовелл, уровень рождаемости в стране за 40 лет упал на 4 пункта. Это значительное падение сопоставимо разве что с ситуацией в Китае, где такого эффекта удалось достичь лишь благодаря вмешательству государства. Что примечательно, в Бразилии не проводилось политики, нацеленной на снижение роста населения, в течение некоторого времени там и вовсе была запрещена реклама контрацептивов. И все же «мыльные оперы» так захватили бразильских женщин, что уровень рождаемости неизменно падал. Этот эффект был наиболее сильным для женщин низкого социально-экономического статуса, а также среднего возраста. В целом, в зоне трансляции теленовелл вероятность рождения детей упала на 0.6%. Основываясь на этом, авторы утверждают, что в развивающихся странах с относительно невысоким уровнем грамотности, телевидение становится значимым источником знаний и идей. Годом позже Chong, A., La Ferrara (2009)8 выявили зависимость между просмотром теленовелл и количеством разводов в Бразилии. Как показал регрессионный анализ, в период с 1970г. по 1991г. количество разводов в Бразилии возросло, и авторы ассоциируют эту тенденцию с распространением сети вещания Rede Globo. И вновь исследователи пришли к выводу, что медиа эффективный и недорогой потенциальный инструмент общественной политики.
Однако телепрограммы и фильмы не всемогущи, хотя им часто приписывают чуть ли не диктаторское воздействие на людей. Многие мифы, такие как «сцены насилия провоцируют насилие в реальной жизни» и «дети тупеют от телевизора», могут быть опровергнуты исследованиями, по крайней мере, частично.
Dahl, G., DellaVigna, S. Does Movie Violence Increase Violent Crime?9 опровергает наличие причинно-следственной связи между просмотром фильмов со сценами насилия и ростом уровня преступности. Авторы доказывают, что просмотр подобных фильмов имеет три эффекта: во-первых, уровень тяжких преступлений снижается в вечернее время дня просмотра, во-вторых, в ночное время того же дня уровень преступлений падает еще больше, и, в-третьих, в дни, следующие за просмотром сцен насилия, не наблюдается значимых изменений. В статье подчеркивается, что сцены жестокости на экране в некоторой мере являются субститутом насилию в реальной жизни, а также заменяют потенциально опасные занятия, такие как употребление алкоголя. Фильмы со сценами насилия все еще провоцируют больше тяжких преступлений, чем прочие фильмы, однако они вызывают меньше агрессивного поведения, чем альтернативные занятия (к примеру, распитие алкогольных напитков).
К похожим результатам приводит статья Bhattacharya, S., Munasib, A. Effect of Television on Child Cognitive Outcome10: телевидение не оказывает негативного эффекта на умственные способности детей, но косвенное воздействие может заключаться в том, что просмотр мультиков отнимает время, которое могло быть посвящено учебе. Авторы объясняют, что стереотип негативного воздействия телевидения на успеваемость школьников (детей от 5 до 18 лет) правдив только до тех пор, пока в расчет не берутся характеристики семьи (образование членов семьи, количество членов семьи, контроль родителей и прочее). Если принимать во внимание все факторы, так или иначе влияющие на детей, эффект воздействия телевидения на их успеваемость становится ничтожным.
Итак, хотя многие исследования подтверждают, что СМИ способны манипулировать общественным мнением, результаты все же варьируются от случая к случаю. И, чтобы говорить именно о пропагандистском эффекте телевидения, необходимо рассмотреть предпосылки изучаемой ситуации, а также дать четкое определение тому, что подразумевается под пропагандой. Таким образом, в следующей части я предлагаю ознакомиться с теорией пропаганды, ее потенциальной эффективностью в контексте поведенческой экономики и теории рационального выбора, а также возможности ее присутствия на российском телевидении.
3. ТЕОРИЯ ПРОПАГАНДЫ
Считается, что термин «пропаганда» появился в 1622 г., когда при римской католической церкви была создана Конгрегация Пропаганды Веры (Sacra Congregatio de Propagande Fide) организация, координирующая идеологическую борьбу против протестантов. Ее целью было как можно более широкое распространение (пропаганда) католицизма. Логично, что в протестантских странах слово «пропаганда» приобрело негативную коннотацию, как что-то навязанное, насильно привитое, в то время как католические страны считали пропаганду скорее синонимом просвещения.
Наиболее широкое распространение пропаганда (и как термин, и как явление) получила во время Первой и Второй мировой войны, вызванная необходимостью мобилизовать массы людей в кратчайшие сроки. Развитие средств массовой информации способствовало наибольшему охвату аудитории. Газета являлась столь же важным стратегическим инструментом, как и армия. Однако уже тогда пропаганда могла приобретать неочевидные формы: одним из классических примеров пропаганды считается строительство немецких автомагистралей в 1933-1934гг. Статья Nico Voigtlnder & Hans-Joachim Voth, 201411 показывает, как Адольфу Гитлеру и НСДАП удалось добиться поддержки населения благодаря улучшению инфраструктуры гражданских перевозок. Эффект пропаганды заключался в том, что появление автомагистралей воспринималось как проявление компетентности и эффективности политического режима НСДАП, контрастируя с так и неисполненными обещаниями правительства Веймарской республики. Как следствие, чем шире простиралась сеть новых автомагистралей, тем выше был рейтинг правящей партии, и тем меньшей популярностью пользовалась оппозиция.
В военное и послевоенное время слово «пропаганда» окончательно приобрело негативный оттенок. Энциклопедия Британника трактует пропаганду как «распространение информации фактов, доводов, слухов, полуправды или лжи чтобы повлиять на общественное мнение. Пропаганда более или менее систематичные попытки манипулировать убеждениями, отношением или действиями посредством символов (слов, жестов, плакатов, монументов, музыки, одежды, отличительных знаков, стилей причёсок, рисунков на монетах и почтовых марках и т. д.). Преднамеренность и относительно сильный упор на манипуляцию отличают пропаганду от обычного общения или свободного и лёгкого обмена идеями. У пропагандиста есть конкретная цель или набор целей. Чтобы достичь их, пропагандист преднамеренно отбирает факты, аргументы и символы и представляет их так, чтобы достичь наибольшего эффекта. Чтобы максимизировать эффект, он может упускать существенные факты или искажать их, и может пытаться отвлечь внимание аудитории от других источников информации»12. Примечательно, что иллюстрацией к статье о пропаганде составители энциклопедии выбрали фото В.И. Ленина, что, в принципе, является пропагандой в пропаганде.
Создатель современного пиара и племянник Зигмунда Фрейда, Эдвард Бернейс, описывает пропаганду как «механизм широкомасштабного внушения взглядов» 13, отмечая, что негативный или позитивный оттенок внушения напрямую зависит от целей пропаганды и правдивости информации, которую она содержит. Таким образом, пропагандой можно назвать практически все, что можно увидеть в СМИ: будь то реклама или информационно-аналитическая статья. На рыночном уровне мы позволяем рекламе, т.е. пропаганде, сократить для нас необозримое поле выбора товаров и услуг до тех благ, о которых нам сообщает пропаганда. Читая газеты, мы попадаем под влияние «экспертных мнений», которые транслируют нам свои взгляды, так или иначе, искажая наше восприятие мира.
Эффективность и необходимость пропаганды Э. Бернейс оправдывает «борьбой с инерцией общества» 14. Предполагая, что общество инертно и не склонно к изменениям, Бернейс считает манипуляцию общественным мнением инструментом, необходимым меньшинству (элите) для запуска механизма изменения общества. Впоследствии Бернейс отказался от жесткой формулировки «манипуляция общественным мнением» в пользу теории «инженерии согласия», которая доказывала, что «право на убеждение» - логичное следствие из свободы слова, таким образом «припудривая» все ту же маккиавеллианскую этику щедрым слоем конституционных прав и свобод.
Этические аспекты пропаганды, безусловно, заслуживают отдельного внимания. Нашей же целью является как можно боле объективная оценка ее влияния, что подразумевает более детальное рассмотрение современных методов и механизмов действия.
Пути пропаганды неисповедимы. Современные методы охватывают все доступные каналы передачи информации: прессу, радио, телевидение, интернет, кино, комиксы, факсы, плакаты, встречи, билборды, флаги, названия улиц, монеты, марки, публичные мероприятия, отчеты компаний, библиотеки список можно продолжать бесконечно. Многие из этих примеров не кажутся очевидными, что только подчеркивает, как непросто распознать пропаганду в повседневной жизни. Наиболее привычным и эффективным каналом передачи пропаганды является пресса: сравнительно низкие затраты по отношению к огромному охвату аудитории делают СМИ идеальным инструментом в борьбе за умы людей. Методология пропаганды насчитывает около сорока приемов, рассчитанных на более или менее завуалированную манипуляцию общественным мнением. Одной из наиболее полных и подробных классификаций является «Энциклопедия методов пропаганды» Виктора Сороченко15. Она состоит из 38 методов, применяемых как в СМИ, так и в агитационных кампаниях. Для наглядности предлагаю ознакомиться с некоторыми из них в контексте данных, используемых в практической части диплома выпусков информационно-аналитической программы «Воскресное время» на Первом канале. Эти примеры являются дополнительным доказательством наличия пропаганды в контенте российских СМИ:
- «Анонимный авторитет» - метод «серой пропаганды», основывающийся на подкреплении идеи авторитетным мнением, однако, без конкретных ссылок на источник. Этот весьма распространенный в СМИ метод используется и в материалах Первого канала: «По мнению экспертов, пик производственного и экономического кризиса Украине еще предстоит пережить. Ближе к осени. Тогда же, скорее всего, люди наконец осознают, что такое Новая украинская реальность»16. Кто эти эксперты? Сколько их? Или подразумевается, что абсолютно все эксперты едины во мнении, что Украине предстоит «затянуть пояса»? Примечательно, что этот сюжет датируется 18 мая 2014 г., когда еще не была пройдена «точка невозврата» - не было очевидно, что конфликт приобретет хронический, тяжелый характер. Ожидались президентские выборы, и народ искренне надеялся, что, с появлением у Украины нового лидера, наметятся не только пути деэскалации конфликта, но и оздоровления экономики. Таким образом, в данном контексте мнение экспертов не объективная истина, как, к примеру, «курение вредит здоровью», а именно метод манипуляции общественным мнением;
- «Будничный рассказ» - преподнесение информации, вызывающей негативную реакцию, в форме повседневного рассказа, мимоходом. В итоге реципиент перестает эмоционально реагировать на сообщения о преступлениях, кровопролитии, беспорядках. Этот прием прослеживается в сюжетах программы в формате БЗ (способ презентации информации на телевидении, в котором отсутствует закадровый текст, и информация зачитывается ведущим в студии). БЗ относится к числу коротких форматов, следовательно, облегчает задачу непринужденной, мимоходной подачи текста. В исследуемых материалах содержится огромное число сюжетов данного формата; большинство из них является сводками с места событий вооруженных конфликтов. Зритель постепенно привыкает слышать о многочисленных вооруженных столкновениях, захватах ополченцами зданий администрации и военной техники, и в результате становится индифферентен к подобной информации, воспринимая военные операции, так называемых «сепаратистов», как нечто привычное;
- «Забалтывание» используется для снижения актуальности и даже вызова негативной реакции к какой-либо теме (чаще в политической борьбе по отношению к оппоненту). Прием заключается в слишком частом упоминании, неуместном восхвалении, преувеличении заслуг противника. Публика быстро устает от частых эмоциональных упоминаний, и, в итоге, раздражается при одном упоминании имени противника. Техника «забалтывания» в материалах Первого канала была использована опосредованно: ее применение характерно для освещения европейских санкций. С мая 2014 г. в выпусках стали регулярно появляться сюжеты о позитивном воздействии санкций на российскую экономику: их влияние оценивалось как плодотворное, стимулирующее отечественных производителей, которые до ввода санкций были не неконкурентноспособны по сравнению с западными поставщиками. Таким образом, СМИ удалось снизить накал этой темы и успокоить публику.
- «Эмоциональный резонанс» - это создание у публики определенного настроения, способствующего принятию пропагандируемой информации. Метод подразумевает обращение напрямую к чувствам реципиента, минуя уровень критического мышления. К эмоциональному резонансу можно отнести экспрессивные интервью очевидцев, вызывающие жалость, негодование и гнев по отношению к украинской власти, такие как: «Мы бежали сюда, мы бежали и видели, как люди без рук, без ног ползали и просили помощи. Мы оказывали помощь, мы прибежали нему в самый последний момент, но мы бы ему не помогли, потому что он сразу погиб!", - говорит Светлана»17.
- «Эффект бумеранга» возникает, когда спланированная травля оппонента неожиданно приводит к его героизации в глазах публики, создается образ преследуемого властями борца за справедливость этот феномен в значительной степени служит объяснением резкого подъема рейтинга Владимира Путина с 65% (начало 2014 г.) до 85% (начало 2015 г.).18 Многочисленные гонения западных СМИ сделали из президента героя в глазах российских граждан: «Сейчас признана колоссальная ошибка. Настал момент, когда вместо того, чтобы как дрессированные животные, по всякому поводу жаловаться на Путина и на то, что делает Россия, мы должны выразить свое недовольство тем, что Америка делает по всему миру, безо всяких ограничений»19
- «Эффект ореола» характеризуется переносом положительных свойств одного объекта на другой. Этот прием осуществляется за счет склонности людей мыслить ложными аналогиями. Так, например, положительный образ Михаила Горбачева был использован для создания ореола доверия вокруг оценки санкций; собственно, вокруг тех же самых идей, которые транслируются Владимиром Путиным: «Он человек, буквально приложивший руку к воссоединению не только Германии, но и всей Европы, здесь пользуется безграничным уважением, к его словам прислушиваются. <…> "Если так будет продолжаться, Европа утратит сильный голос в мировых делах, к ней перестанут прислушиваться. Есть признаки, что продолжение нынешней линии может нанести долгосрочный ущерб нашим отношениям, которые до сих пор были образцовыми. А ведь без российско-германского партнерства не может быть безопасной Европы. Надо как можно скорее переходить от полемики и взаимных обвинений к поиску точек соприкосновения, вести дело к постепенному демонтажу санкций, ущерб от которых несут обе стороны. Прежде всего, снять так называемые персональные санкции с политических деятелей и парламентариев, чтобы они могли присоединиться к поиску взаимоприемлемых решений", - уверен бывший президент СССР Михаил Горбачев»20. Эффект, судя по всему, рассчитан сразу на две группы зрителей: немецкая аудитория должна прислушаться к мнению Горбачева, который «здесь пользуется безграничным уважением», а российская оппозиционная аудитория с проевропейскими взглядами, соответственно, должна последовать примеру немцев;
- «Информационная блокада» - наиболее характерный прием для освещения военных действий в СМИ. Он представляет собой создание информационного вакуума, не оставляя противнику возможности для публичного выражения своей позиции. В этом случае освещается только одна сторона вопроса, в то время как оппозиционная остается недоступной для большинства аудитории. Именно этим объясняется отсутствие каких-либо интервью с военнослужащими Украины на российских федеральных каналах. Причем объясняется это примерно следующим образом: «"Лично мне хотелось бы пойти на ту сторону, на украинскую сторону, и поговорить с теми людьми, которые воюют против этих людей. Но я прекрасно понимаю, что если я туда уйду, то шансов вернуться назад у меня очень мало. Их практически нет", - убежден журналист "Комсомольской правды" Николай Варсегов»21. Таким образом, зрителей не только лишают возможности взглянуть на ситуацию с разных сторон, но и демонизируют образ противника
- «Классификацией» является подчеркивание какой-либо специфической особенности предмета в названии, игнорируя его прочие характеристики. Это позволяет зрителю быстро связать обсуждаемый объект с теми эмоциями, на которые делает упор автор. К примеру, рассмотрим как меняются классификаторы с развитием Украинского конфликта: до января 2014г. тех, кого мы сейчас знаем под названием «майдановцы», «экстремисты», «правосеки» и «боевики Майдана», называли попросту «евроактивистами» и «сторонниками евроинтеграции» - довольно нейтрально по отношению к тому, что мы видим сейчас. А бывшие «сторонники федерализации» с мая 2014г. стали более известными как «ополченцы», «участники самообороны» и «защитники города». С введением новых классификаторов сразу стало понятно, к кому как относиться.
- «Констатация факта» преподносит желаемое состояния дел как уже свершившееся. СМИ «вбивает гвозди в несуществующий гроб» оппонента. Как правило, этот метод чаще используется в формате новостей и для пущей наглядности сопровождается результатами социологических опросов или комментариями экспертов. «Самым слабым звеном у демократов оказался их лидер. Рейтинг популярности президента Барака Обамы упал до минимума за все его годы во власти. В результате глава государства стал для демократической партии не локомотивом, а камнем, который тянет на дно»22. Но, как бы этого ни хотелось корреспондентам Первого канала, граждане США все еще не сместили с поста президента Барака Обаму.
- «Метод полуправды» говорящее название. Использование этого приема не ограничивается рамками большой политики, а надежно входит в арсенал СМИ по всем освещаемым темам. В контексте украинских событий многие российские журналисты «не замечали» рассказы жителей Донецка, Луганска и Славянска о том, что бравые ополченцы не только защищают их от обстрелов Украинской Нацгвардии, но и периодически отбирают у них автомобили, так сказать, «на нужды ополчения». В то время как о мародерствах украинской армии писали с завидной частотой. С украинских телеэкранов в это время сыпались разоблачения разбойниковополченцев, а в перерывах давали социальную рекламу вступления в ряды украинской армии.
- «Психологический шок» иными словами, «смерть в каждый дом». Для произведения максимального эффекта СМИ порой излишне детально описывают кровавые подробности боевых действий, обходя таким образом уровень критического мышления и воздействуя напрямую на подсознательные образы. Чаще этот прием используется в видеоряде, но в 2014г. Мы могли наблюдать и вербальные способы вызвать психологический шок: «Они нагрузили полкамаза трупов, вывезли в район Кривой Балки, оставили маячок и из двух танков расстреляли. Все летело, человеческие останки висели на деревьях, ужасная картина»23.
Почему люди все же поддаются на эти уловки? С точки зрения поведенческой экономики, все дело в ограниченной рациональности: ни у одного человека на практике нет ни времени, ни энергии, ни возможности охватить все информационное поле для того, чтобы сделать «правильный» выбор, который бы являлся для него оптимальным. В итоге, индивид удовлетворяет, а не максимизирует свою функцию полезности или вектор функций (satisfice rather than maximize24). Учитывая транзакционные издержки получения дополнительной информации, индивид предпочитает опираться на имеющуюся информацию, стереотипы и эмпирические закономерности (rules of thumb) и принимать решение на их основании. В контексте изучаемой темы, по сути, индивид делает большую часть работы за пропагандиста: эффективность методов воздействия тем выше, чем меньшей информацией располагает реципиент.
Подверженность индивидов пропаганде также может быть объяснена другой теорией теорией информационных каскадов. Эта концепция объединяет феномен «стадного поведения» с классической теорией рационального поведения. Подразумевается, что, будучи рациональным, агент учитывает информацию, полученную от других индивидов. Суть информационного каскада заключается в следующем: это ситуация, в которой каждый последующий агент, основываясь на действиях предыдущих, делает такой же выбор, как и его предшественники, игнорируя собственный частный сигнал25. Предпосылки модели:
- Агенты рациональны;
- Агенты принимают решения поочередно (sequential moves);
- Очередность задается экзогенно и известна всем участникам;
- Набор возможных решений ограничен (принять/отклонить);
- Каждый агент обладает частной информацией (частным сигналом) для принятия решения;
- Агент не знает частных сигналов других участников, но может наблюдать их действия26.
Приведем пример простой формальной модели.27 Допустим, существует две взаимоисключающих альтернативы принять или отклонить (к примеру, касающихся внедрения новой стратегии компании, вывода на рынок нового продукта и т.д.), где альтернатива «принять» - объективно лучше чем «отклонить». Частным сигналом в этом случае может считаться увиденное где-то объявление, консультация с экспертом и пр. Также, для простоты допустим, что для агента в равной пропорции считается значимым свой сигнал и сигнал, подаваемый остальными. Тогда последовательность решений будет выглядеть следующим образом: первый агент (1) выберет альтернативу в соответствии со своим личным сигналом, так как перед ним не было принято решений, на которые он мог бы опереться. Допустим, что сигналы всех агентов в достаточной степени обладают точностью это значит, что вероятность содержания в сигнале верной информации свыше 50%. В таком случае, (1) выберет альтернативу «принять». Следующий агент (2) будет основывать свой выбор не только на своем сигнале, но и на решении первого индивида. Очевидно, что его выбор также будет положительным («принять»). В этой постановке ситуации, даже если сигнал третьего агента (3) будет соответствовать альтернативе «отклонить», он, основываясь на выборе предшественников, демонстрирующих положительные решения, последует за ними, игнорируя свой частный сигнал. Это дает начало информационному каскаду, так как все последующие индивиды окажутся в той же ситуации, что и (3): даже если их частная информация будет противоречить действиям остальных, они последуют за большинством. Информационные каскады довольно частое явление на практике: Пьер Лемье относит к ним возникновение феминизма, боязнь пассивного курения, корпоративную инерцию (когда администрация повторяет ошибки своих предшественников), распространение политического и религиозного сепаратизма.
В контексте телевизионной пропаганды информационный каскад проявляется в следующем: агент (1), допустим, президент России или уважаемый эксперт-политолог, сообщает о своем неодобрении процесса евроинтеграции на Украине. Тогда агент (2), к примеру, СМИ следуют за агентом (1), также высказывая неодобрение. Агент (3), простой зритель, в таком случае оказывается в потоке информационного каскада и соглашается со СМИ и представителями власти. Хотя статистически возможно, что первый агент выбрал неоптимальную альтернативу и запустил неверный каскад.
Хотя подверженность пропаганде крайне высока в силу разнообразия техник манипулирования, реакция на одну и ту же информацию может быть неоднородной. Многое зависит от политических взглядов, ценностных ориентиров и прочих характеристик. В своей статье «Five case studies on politicization»28, блоггер-оппозиционер под псевдонимом Скотт Александр рассматривает причины диаметрально противоположной реакции американцев на одни и те же события.
В первом случае рассматривается политизация вируса Эбола в Америке. Было замечено, что общество условно разделилось на два лагеря: тех, кто считает необходимым введение карантина, и тех, кто высмеивает паникерство предыдущих. При этом в ходе оживленных дискуссий в ход шли обвинения в расизме, ксенофобии и ограниченности мышления. Автор связывает такое принципиальное противостояние с тем, что участники дискуссии разделились на два лагеря почти по политическому принципу: консерваторы выступали за введения карантина и закрытие границ, в то время как либералы то ли по привычке, то ли действительно из личных убеждений заняли противоположную точку зрения. Этот тезис подкрепляется идеями биологических исследований, подтверждающих, что население регионов с теплым климатом и бОльшим количеством потенциально опасных инфекций характеризуется консервативным политическим устройством. Автор предполагает, что верно и обратное: консерваторы больше боятся микробов, чем приверженцы демократичных взглядов. Статистическая значимость причинно-следственной связи «консерватор за карантин» автором не исследуется, однако, это все же довольно интересная тенденция.
Более того, она прослеживается не в одном «информационном взрыве». Следующий случай посвящен нашумевшему убийству Майкла Брауна в Фергюсоне, штат Миссури. Исследования PRRI (Public Religion Research Institute) показали, что, в целом, после инцидента, в котором полицейский застрелил безоружного подростка, взгляды американцев на равноправие белых и чернокожих в глазах стражей закона изменились. Американцы стали меньше верить в то, что полицейские одинаково относятся к гражданам с разным цветом кожи что, в принципе, неудивительно. Более интересной оказалась разбивка респондентов на «белых» и «не белых»: реакция темнокожих была ожидаемой доверие упало, а вот светлокожие американцы стали больше(!) верить в то, что стражи правопорядка «не различают цветов». Автор аргументирует это тем, что несмотря на праведность гнева темнокожих, консервативное белое население встало в оборонительную позицию несмотря на свои взгляды на конкретный инцидент в Фергюсоне, они предпочли отрицать очевидное, дабы не допустить нападок в адрес своей социальной группы. В таком контексте автор рассматривает еще три случая, в которых реакция на внешние события, с относительной объективностью презентуемые в СМИ, оказывается неожиданно предсказуемой: правые идут направо, левые идут налево.
Несмотря на недостаток аргументации и любительский стиль статьи, она все же отражает закономерности, выявленные в работе многих исследователей по теме формирования убеждений в политике. Green, Palmquist, and Schickler (2002)29 в своем анализе рассматривают классический пример зависимости между отношением к фактическим событиям и политическими взглядами людей: мнения американцев на тему того, была ли у Билла Клинтона интрижка с Моникой Левински, интересным образом распределились согласно принадлежности к Демократической и Республиканской партиям. Такого рода выводы бросают вызов классической теории рационального выбора, согласно которой, предпочтения индивидов могут в значительной степени отличаться друг от друга, но в условиях обладания одной и той же информацией (в данном случае получаемой из СМИ), они не могут различаться систематически. Все, чем теория рационального выбора может объяснить такие эмпирически выявленные закономерности, - это либо различия в изначальных убеждениях, либо несовершенность информации, получаемой агентами в ходе действий. Несовершенность информации может проявляться не только в доступности источников для каждого индивида, но и в интерпретации информации, получаемых из источников, пусть даже одинаковых для всех. Кроме того, обсуждение полученной информации в ходе различного рода социальных взаимодействий также способно формировать различные выводы и убеждения. И все же, в условиях очевидного противостояния социальных групп, трудно поверить, что разница во взглядах, настолько радикальная между группами и совершенно отсутствующая внутри отдельно взятого политического лагеря, обусловлена различиями информации, имеющейся в расположении индивидов. Если же рассматривать это как следствие расхождения в априорных убеждениях, то возникает другая проблема: при таком обилии информационных каналов, которыми располагает каждый агент, априорные убеждения должны иметь поистине радикальный характер и огромный вес в формировании выводов касательно происходящих событий (будь то скандал с участием Моники Левински, убийство в Фергюсоне или распространение Эболы). Таким образом, в этих ситуациях выходит, что теория рациональности не может сказать ничего, кроме как "люди верят в то, во что верят". И именно поэтому модели рационального поведения редко применяются в исследованиях общественного мнения.
Взамен теоретики предлагают нам обратиться к экспериментальной экономике, которая подразумевает рациональность, обусловленную ситуацией, основанную на эндогенных характеристиках. В.Л. Смит30 в своих исследованиях охарактеризовал рациональность, как нечто возникающее в процессе взаимодействия с другими индивидами, нежели сугубо на основании познания. Люди не подходят к решению проблем с «мгновенным калькулятором удовольствия и боли»31, с заранее продуманной иерархией предпочтений, - в реальном мире они гораздо больше зависят от контекста конкретной проблемы. Эти эндогенно формирующиеся предпочтения характеризуют эволюционную теорию игр, отказавшуюся от упрощения неизменности рационального выбора. Главный тезис состоит в том, что рассмотрение системы, части которой способны эволюционировать, по определению подразумевает и допущение изменения предпочтений агентов.
Помимо этого, еще один пробел в теории рационального выбора, заполняемый эволюционной теорией это максимизация индивидом собственного выигрыша, принимая во внимание стратегии прочих игроков. Эволюционная теория делает допущение, согласующееся с социальной практикой: агент может не только учитывать, но и влиять на функции полезности других индивидов. В роли такого агента как раз и выступает телевидение, воздействующее на агентов посредством пропаганды.
Рассмотрим большую популяцию размера N, где N количество игроков. В каждом периоде игры возьмем по два случайным образом выбранных игрока. Стратегия каждого игрока в контексте эволюционной игры предопределена. В данном случае механизм распределения стратегий репликация, то есть каждый игрок либо наследует стратегию от своего родителя, либо имитирует стратегию других и следует ей до конца. Допустим, существуют две стратегии: «хорошо относиться к Украине» (А) и «плохо относиться к Украине» (B). Тогда NA число игроков от которым присвоена стратегия А. Nв число игроков со стратегией В. Обозначим пропорции популяции соответственно стратегиям: хА= NA/ N и хв= Nв/ N. Состояние популяции задается совокупностью (хА, хв).
Представим, что в популяцию игроков со стратегией А внедряется относительно небольшая группа «мутантов» со стратегией В (что в принципе соответствует картине общественного мнения в 2013 г.). Ожидаемый выигрыш игроков определяется матрицей выигрышей и пропорцией каждой стратегии в популяции. Для координационной игры мы имеем следующую матрицу:
|
Игрок 2: А |
Игрок 2: В |
|
|
Игрок 1: А |
a,a |
b,c |
|
Игрок 1: В |
c,b |
d,d |
В координационной игре мы имеем a>c, d>b, что объясняется тем, что индивидам приятнее общаться с теми, с кем их мнения сходятся, нежели не соглашаться и спорить с другими.
Выигрыш игрока со стратегией А будет: fA(хА, хв)= хА*a+ хв*b или, в терминах эволюционной теории игр, функция индивидуальной приспособленности игрока со стратегией А.
Средняя приспособленность всей популяции равна f(хА, хв)= fA(хА, хв)*хА+ fВ(хА, хв)*хв.
Доминирование той или иной стратегии будет зависеть от темпа прироста приверженцев стратегии, который выражается следующим образом: dNA/dt = NA*fA(xA , xB ). При этом темп увеличения всей популяции: dN/dt = N*f(xA , xB ).
Исходя из этого мы получаем уравнение репликаторной динамики: dxA/dt = xA*(fA(xA , xB) f(xA , xB)), которое гласит, что скорость увеличения стратегии А в популяции зависит от частоты использования стратегии, а также от приспособленности данной стратегии по отношению к приспособленности всей популяции. Таким образом, темп роста использования стратегии А будет положительным, если пропорция игроков с А ненулевая (xA>0), а также если приспособленность игроков с этой стратегией выше среднего (fA>f). Соответственно, будет ли эта стратегия наиболее успешной, зависит от того, растет ли она быстрее, чем В.
Эволюционное равновесие достигается в трех точках:
1) xA=0
2) xA=1
3) xA, при которой стратегии А и В одинаково приспособлены: fA(xA , xB)= fВ(xA , xB ).
То есть, фактически, стратегия «мутант» («плохо относиться к Украине») сможет закрепиться в популяции, только если ее средняя приспособленность относительно выше стратегии А.
Как можно склонить игроков к предпочтению стратегии B? Предположим, государство посредством СМИ подает игрокам сигнал: B правильная стратегия. При этом не согласных с мнением правительства осмеивают, называют «пятой колонной» (то есть подвергают остракизму) и т.д. Все это влияет на представления игроков о состоянии мира и на матрицу платежей игроков:
|
Игрок 2: А |
Игрок 2: В |
|
|
Игрок 1: А |
(a-е),(a-e) |
b,c |
|
Игрок 1: В |
c,b |
d,d |
Тогда выигрыш игрока со стратегией А снизится: fA(хА, хв)= хА*(а-е)+ хв*b < fA(хА, хв)= хА*a+ хв*b, и, значит, при достаточных значениях е приспособленность игроков со стратегией А станет ниже общей приспособленности популяции, и темп роста частоты стратегии А будет снижаться до тех пор, пока xA=0, xВ=1. Таким образом, «плохо относиться к Украине» станет эволюционно устойчивой стратегией.
Вернемся к определению ключевых понятий. Для наиболее полного рассмотрения понятия пропаганды необходимо осветить все формы, которые она может принимать в прессе. Информационная война понятие, очень тесно связанное с пропагандой.
Информационная война это политический конфликт по поводу власти и осуществления политического руководства, в котором политическая борьба происходит в форме информационно-психологических операций с применением информационного оружия32. То есть, по сути, информационная война это война пропаганд. Приемы манипуляции общественным мнением, известные как «азбука пропаганды»33 можно отнести и к методам информационной войны:
- «Наклеивание ярлыков» (name labeling) на психо-эмоциональном уровне дает оценку объекту и указывает реципиенту, как к объекту следует относиться (чаще негативно) например, ярлыки «майдауны», «каратели», «хунта» формируют у зрителя предвзято негативное отношение к киевским властям и вооруженным силам;
- «Блистательная неопределенность» (glittering generality) взывает к положительным чувствам реципиента и заставляет его согласиться с оценкой автора без рассмотрения доказательств например, Петр Порошенко сказал в своей речи, обращаясь к населению Юго-Востока Украины: «С чем я, как президент, приеду к вам в самое ближайшее время? С миром»34, в попытке сыграть на надеждах людей на деэскалацию вооруженного конфликта;
- «Перенос» (transfer) создает ассоциативную связь между тем, что ценится, имеет авторитет, и пропагандируемой идеей например, называть лояльность к власти патриотизмом, чтобы спроецировать положительную коннотацию понятия «патриотизм» на действующий политический режим;
- «По рекомендации» (testimonial) подразумевает цитирование оценочных суждений авторитетов, знаменитых людей, экспертов например, цитирование Джен Псаки, имя которой стало синонимом для невежественного человека, речь которого наполнена противоречивыми, зачастую лживыми, фактами, используется для того, чтобы подчеркнуть некомпетентность США в вопросах Украины;
- «Простонародность» (plain folks) представляет автора пропагандируемой идеи как человека из народа, близкого по духу целевой аудитории например, освещение в СМИ посещения Владимиром Путиным Храма Христа Спасителя в праздник Пасхи проводит параллель между Президентом и православным населением страны: «глава государства по традиции проводит пасхальную ночь в главном храме страны»35;
- «Подтасовка карт» (card stacking) представляет собой однобокий подбор фактов (не всегда правдивых) в поддержку пропагандируемой идеи, нелицеприятные факты замалчиваются например, часто используемая фраза «при Сталине такого не было» подчеркивает, насколько процветающей была страна при Сталине, и никогда не сопровождается упоминаниями репрессий и прочих бед сталинского режима;
- «Общая платформа» (bandwagon effect) нацелена на феномен стадного поведения, призывая реципиента присоединиться к идее, поддержанной большинством например, фраза «бизнес-сообщество здесь видит в России динамично развивающийся рынок»36 убеждает зрителя, что все предприниматели Италии с надеждой смотрят на российский рынок и стремятся к поддержанию торговых отношений с Россией.
Очевидно, что методы пропаганды и ведения информационной войны очень похожи. Теоретики подчеркивают, что термин «информационно-психологическая война» часто используется в качестве синонима пропаганде. Принципиальное отличие между ними это масштаб: пропаганда, как правило, заключена в рамки одной нации, в то время как информационная война явление межнациональное37.
Получается, что любое государство, подтверждающее участие в информационной войне автоматически расписывается в использовании пропаганды.
Стоит заметить, что в контексте украинского конфликта понятие «информационная война» впервые упоминается уже в феврале-марте 2014 г. Российские федеральные телеканалы не устают разоблачать фальшивки украинского и западного телевидения, цель которых развитие русофобии и нагнетание напряженности между Россией и Украиной. Разоблачая мифы украинского телевидения, и приводя в доказательство факты с диаметрально противоположным политическим содержанием, телевидение нашей страны также становится участником информационной войны. Следовательно, мы можем говорить о наличии пропаганды в материалах российских СМИ.
Убедиться в этом можно, рассмотрев результаты контент-анализа, основанного на материалах Первого канала 2013-2014гг.
4. КОНТЕНТ АНАЛИЗ
4.1. Теоретические аспекты и методология
Контент-анализ это «особый исследовательский инструмент, использующий различные формализованные процедуры, с тем чтобы выйти на закономерности, основные тенденции организации информационного потока, выяснить намерения коммуникатора при тиражировании этого потока и спрогнозировать возможные реакции аудитории на эту информацию»38. Контент-анализ условно подразделяется на две составляющие: качественный и количественный анализ.
Качественный (или структурный) контент-анализ сконцентрирован на выявлении неочевидных закономерностей, касающихся в большей степени формы сообщений, нежели их конкретного содержания. Как правило, в ходе качественного анализа исследуются тонкие вопросы, такие как: сколько эфирного времени посвящено обсуждению темы, в каком из информационных блоков тема обсуждается (в начале программы, в середине или в конце), посвящен ли новости отдельный репортаж, или новость сообщается ведущим. В данном случае исследователь концентрируется на способе презентации сообщения. «В результате такого анализа часто получаются куда более надежные измерения, чем в случае исследования, ориентированного на содержание (поскольку формальным показателям в меньшей степени присуща неоднозначность), но зато, как следствие, и куда менее значимые».39
Количественный (или содержательный) контент-анализ сосредоточен на исследовании непосредственного содержания сообщений, осуществляя количественное описание смыслового содержания объекта анализа, определение объективных признаков предмета исследования и их подсчет. Количественный анализ является, по сути, «текстуальным кодированием» и характеризуется повышенной сложностью выявления объективных критериев ранжирования. Главной проблемой исследователя становится необходимость корректного подсчета многие элементы могут нести неоднозначный смысл, а также иметь контекстуальные, неочевидные формы.
Основным инструментом содержательного контент-анализа является кодирование. Кодирование позволяет превратить латентное, символическое содержание исходного материала (статьи, телерепортажа, документа, политической речи) в объективные количественные данные. Методика кодирования подразумевает создания особого «словаря»: определяются категории, интересующие исследователя, и объективные, а также контекстуальные упоминания в тексте, которые принадлежат каждой из категорий (кодов). Например, если исследователя интересует количество аналогий проведенных с фашизмом в тексте, то создается категория ФАШИСТЫ, которая может включать в себя группу синонимов и слов соответствующей тематики {нацисты, фашисты, фриц, геноцид, блокада, национализм, новый Третий Рейх, …}. Категории необязательно задаются заранее фиксированным списком слов. При больших объемах исследуемых текстов имеет смысл задавать категории операционально. Помимо этого, при выявлении пропаганды в текстах СМИ необходимо учитывать, что объектами изучения становятся не отдельные простые слова, а целые словосочетания и даже предложения. Это значительно осложняет процесс кодирования и может снизить объективность количественного контент-анализа.
А. Страусс подразделяет методы кодирования на три вида40:
- Открытое кодирование первичный уровень кодирования, на котором исследователь маркирует общий список тем, которые служат базисом в дальнейшем кодировании и конкретизации;
- Осевое кодирование это вторичное погружение в текст, сосредоточение внимания на первичных кодах применительно к контексту, детализация и упорядочивание категорий, а также установление логических связей между центральной темой исследования, категориями и темами;
- Выборочное кодирование последний этап кодирования, характеризующийся поиском эпизодов и тематических ответвлений, наиболее ярко подчеркивающих основную тему. На этом этапе темы реорганизуются, создаются тематические блоки и категории.
Объективность и формализованность конента-анализа состоит в том, что выбранные коды (категории) должны быть лишены чрезмерной абстракции, дабы избежать слишком поверхностного уровня анализа, и в то же время не быть излишне детализированными и конкретными, допуская разумный уровень обобщения.
После определения кодов необходимо выбрать единицу анализа текста: слово, словосочетание, предложение, персонаж, тема, идея или часть текста, объединенная чем-то, соответствующим смыслу кода. Обязательными инструментами контент-анализа также являются41:
- Классификатор контент-анализа сводная таблица, фиксирующая соотношение всех категорий и единиц анализа. Классификатор является основным методическим инструментом и предопределяет содержание прочих инструментов анализа;
- Протокол итогов анализа аккумулирует итоги анализа для каждого из текстов (количество упомянутых единиц анализа, а также следующие из этого выводы касательно кодов/категорий). Протокол позволяет сравнить выводы анализа по каждому из используемых текстов;
- Кодировальная матрица отмечает частоту единиц анализа, соответственно, кодировальные матрицы по каждому отдельно взятому тексту являются базисом для составления протокола итогов анализа;
- Список проанализированных документов;
- Инструкция исследователю по регистрации и кодировке единиц счета (количественной меры, определяющей частоту появления кода в тексте).
Как уже упоминалось выше, основная проблема контент-анализа состоит в корректном кодировании, определении единиц анализа и единиц счета. Особо остро этот вопрос встает при проведении латентного контент-анализа42, который характерен необходимостью интерпретационного прочтения символов, содержащихся в исходных текстах. В таких случаях, как правило, кодировка осуществляется несколькими независимыми исследователями, результаты их работы сверяются, и выделяются общие, неоспоримые связи единиц анализа и кодов.
В целом, контент-анализ является объективным и действенным инструментом обработки больших текстовых массивов, и большинство его недостатков это следствие субъективности исследователя и необходимости наличия у него высокого уровня гуманитарной и теоретической подготовки. В тех случаях, когда уровень исследователя не соответствует уровню сложности осуществляемого контент-анализа, возникают проблемы, подрывающие достоверность результатов анализа. Вот некоторые из них43:
- Анализ документов проводится до разработки программы исследования;
- В анализе используются нерелевантные документы (тексты), связанные с реальной темой исследования лишь косвенно;
- Подлинность и авторство документов не проверено;
- Предназначение документов учтено неполно;
- Категории анализа недостаточно определены;
- Категории анализа не классифицированы и не приведены в соответствие с теми терминами и дефинициями, которые определены в программе исследования;
- Категории несопоставимы с языком и смыслом текста документов;
- Поверхностность выбора единиц анализа не позволяет в полной мере соотнести содержание документов и выбранных категорий;
- Анализ документа ведется без подготовки методических инструментов;
- Классификатор контент-анализа имеет логические недочеты, составлен неверно;
- Кодировщики не имеют должной подготовки;
- Неполнота инструкций по кодировке;
- Кодировка не подходит для математической обработки данных;
- Полученные результаты не были перепроверены, основываясь на данных из других источников.
4. 2 Освещение Украинского конфликта российскими СМИ
Целью данного анализа является выявление ключевых тенденций и образов, формируемых российскими СМИ при освещении гражданской войны на Украине:
- образ украинской власти: действующая в интересах народах или в личных интересах;
- образ украинского народа: жертвы или хозяева ситуации;
- страны Запада: друзья или враги;
- характер отношений между Россией и Украиной: враждебные или братские;
- образ России в контексте конфликта: жертва, агрессор или нейтральная сторона;
- определение виновных;
- доминирующие тенденции в эмоционально-изобразительной лексике, описывающей субъекты конфликта;
- наличие или отсутствие признаков пропаганды в течение конфликта;
- изменения в структуре информационной программы (отслеживание изменений «повестки дня», способа презентации информации).
Объектом исследования в данном контент-анализе является случайная выборка выпусков информационно-аналитической программы «Воскресное время» на Первом канале в период с 01.01.2013 до 31.12.2014. В исследовании были использованы выпуски за вторую и четвертую неделю каждого месяца. Период с ноября 2013г. по конец 2014г. соответствует полному охвату острой фазы Украинского конфликта, а также позволяет проследить развертывание информационной войны. Период с января 2013г. по ноябрь 2013г. является контрольным и позволяет отследить изменение тенденций в структуре, создаваемых образах и методе подачи телепрограммы. Общее количество используемых выпусков: 48. Общее количество сюжетов за исследуемый период: 592. Выбор источников обусловлен спецификой рейтингов СМИ: по данным Левада-центра44, несмотря на растущее число информационных интернет агентств, телевидение все еще остается главным источником информации для большинства россиян. В 2013 году 88% респондентов назвали телевидение самым надежным источником информации45. А в 2014 году 90% опрошенных заявили, что узнают о новостях в стране и в мире из телевидения46:
Рисунок 1.1. Источник: Отчет Левада-центра «Российский медиа-ландшафт: телевидение, пресса, интернет»
Таким образом, рассмотрение телевизионного источника в качестве наиболее влиятельного ресурса массовой информации является оправданным. Выбор телеканала был также определен в соответствии с отчетом Левада-центра:

Рисунок 1.2. Источник: Отчет Левада-центра «Российский медиа-ландшафт: телевидение, пресса, интернет»
82% россиян наиболее регулярно смотрят новости Первого канала. Выбор канала и программы в значительной мере также был определен и рейтингами телесмотрения: согласно достоверному источнику, за 2013 и 2014 гг. рейтинг программы «Воскресное время» на Первом канале был самым высоким по отношению к новостным выпускам и социально-политическим передачам всех федеральных каналов (Россия 1, Россия 24, НТВ, РЕН ТВ). Рейтинг подсчитывался с учетом продолжительности просмотра и выражался в процентах от целевой группы.
Исследование проводилось методом количественного контент-анализа, данные обрабатывались как вручную, так и с помощью специализированного софта для качественного анализа ATLAS.ti. За единицу анализа были взяты части текста, соответствующие смыслу категории анализа. Поскольку размер этих частей варьировался в зависимости от источника текста (от одного слова до абзацев текста), за единицу счета была взята частота единиц анализа, что не противоречит методологии проведения контент-анализа.
В анализе использовалось как латентное кодирование (применительно к скрытой, неявной оценке событий), так и манифестное (применительно к очевидной информации). Латентное кодирование является доминирующим в данной работе, поскольку основной акцент исследования смещен в сторону выявления признаков пропаганды и создания эмоционально-психологических образов участников Украинского конфликта. Манифестное кодирование здесь фиксирует количество сюжетов, относящихся к категориям российской тематики, и помогает отследить, как менялась структура и «повестка дня» выпусков за весь рассматриваемый период.
Кодирование проводилось в два этапа: на первом этапе анализа было выделено 6 основных тем: негативный образ Украины, негативный образ России, негативный образ Запада, положительный образ Украины, положительный образ России, положительный образ Запада. Далее, на втором этапе, вводились более узкие по смыслу коды внутри выделенных «семейств» категорий. Двухэтапное кодирование позволило постепенно сузить поле анализа, следуя от общего к частному, исключая субъективный, однобокий подбор единиц анализа под существующие узконаправленные категории. Таким образом, кодировка не только направляется изначальными вопросами исследования, но и ведет к постановке новых.
Для ознакомления с полным списком кодификатора, содержащим комментарии по каждому коду, (Code book) см. Приложение 1. Классификатор контент-анализа см. Приложение 2. Протокол итогов анализа см. Приложение 3.
4. 3 РЕЗУЛЬТАТЫ АНАЛИЗА
4.3.1 Образ Украины.
В целом, можно отметить, что в программе «Воскресное время» создается негативная тенденция описания образа Украины: наиболее часто используемыми категориями являются «Жестокая украинская власть» 15,4% (263)47, «Некомпетентная украинская власть» 15,1% (257) и «Кровопролитие на Украине» 8,4% (143). К сравнению, о дружеских отношениях российского и украинского народа упоминается лишь в 1,5% единиц анализа (26 раз). При этом образ населения Украины раздваивается на два портрета: «Украинцы-жертвы» 7,6% (132) и «Плохие украинцы» 2% (34). Категория «Украинцы-жертвы» в данном случае несет положительную коннотацию, т.к. нацелена на вызывание сочувствия и жалости. Условно к положительному образу украинского населения можно отнести и категорию «Ополченцы (положительный образ)» 2,5% (44) формально они не принадлежат к официальным силовым структурам и ассоциируются с простым населением, рабочим классом Юго-востока Украины. Таким образом, основываясь на частоте упоминаний, можно заключить, что авторы текстов не стремятся вызвать у зрителей негативное отношение к украинским обывателям, однако, создают резко отрицательный образ органов власти Украины, ни разу не упоминая ни о каких положительных качествах, связанных с ними, на протяжении всего периода, включая мирное время.
Особого внимания заслуживает категория «Сравнение украинцев с фашистами» 1,8% (30), использующаяся в контексте украинского конфликта. Она встречается в 30 раз чаще, чем сравнение исламистов или американцев с фашистами. Тем не менее, в контексте общего образа страны, авторы не злоупотребляют проведением параллелей между нацистским террором и беспорядками на Украине. Однако уже сам факт наличия такого ассоциативного ряда не может не вызвать беспокойства: фашизм является одним из наиболее страшных слов для жителей постсоветского пространства. Чрезмерное использование этого термина во время Второй Мировой Войны не всегда было корректным, но поистине массовым: «Советские пропагандистские клише, в которых гитлеровская идеология и основанный на ней режим Третьего рейха неизменно именовались фашистскими, преследовали цель предотвратить нежелательные ассоциации, вызываемые наличием в официальном названии нацистской партии слова «социализм»48. С тех пор все ужасы войны, террора, геноцида и тоталитарной власти слились в одном емком слове «фашизм». И его неуместное употребление способно создать резко отрицательную эмоциональную реакцию у реципиентов.
Также, при описании хода вооруженных конфликтов, авторы уделяют внимание изображению жестоких подробностей 1,9% (32). Помимо шокирующих кадров журналисты излишне детализируют кровавую картину происходящего, используя эмоциональные синхроны49: «Люди идут коров доить и говорят, мы проходим запах трупный, на дороге череп лежит. Я этот череп в руки взяла. У сына были нарощенные зубы. Мы смотрим, там тоже нарощенные зубы. Вы понимаете наше состояние? Мы начали искать труп, бегали в таком состоянии. В балке лежал сожженный труп - руки-ноги уже сожжены, одни култышечки остались. Я беру череп, на следующий день в стоматологию заезжаем, берем карточку зубную. У Коли с левой стороны зуб нарощенный и шестой пломбированный, а у черепа были три нарощенных зуба полностью. Этот череп не Колин».50 Во время освещения Сирийского конфликта подобные методы шокирования не использовались.
Помимо этого, анализ таблицы совпадения кодов (см. приложение 4) указывает на наличие устойчивых связей между категориями во многих единицах анализа: упоминания о некомпетентности украинских властей в 36,2%51 случаев сопровождаются обезличиванием, уничижением, иронией. В то время как кровопролитие на Украине ассоциируется с действиями жестоких властей в 27,4%52 случаев.
Рисунок 2: Совпадение категорий «Некомпетентная украинская власть», «Жестокая украинская власть» с прочими категориями. Источник: расчеты автора.
Диаграмма наглядно иллюстрирует, что жестокая украинская власть в телепрограммах чаще связывается с кровопролитием, гражданами Украины, пострадавшими от вооруженных конфликтов, информационной войной и коррупцией. Несостоятельность украинской власти авторы сюжетов сопровождают сарказмом, иронией, упоминаниями о коррупции и информационной войне.
4.3.2 Образ России
Что касается имиджа России на фоне Украинского конфликта, Первый канал определенно стремится создать благоприятную картину: части текста, создающие позитивный образ России посредством положительно эмоционально-окрашенных слов, являются доминирующими 11,7% (200). Неподтвержденные фактами слухи и аргументы в пользу России составляют 5,9% (101). Для сравнения, «теории заговора» против России упоминаются лишь 1,8% (30).
Количество позитивных тенденций в решении социальных проблем России явно превалирует по отношению к описанию самих проблем: 2,9% (50) против 2,4% (41). При этом, если в 2013г. плохого было больше, чем хорошего (32 против 23), то в 2014г. в стране, по-видимому, обстановка резким образом улучшилась, и позитив стал преобладать (27 против 9). Упоминание о проблемах коррупции в России в 2014г. стало более чем в два раза ниже, чем в 2013г. (6 против 14).
Примечательно также, что категория «Славься, Россия» используется в каждом выпуске программы, начиная с февраля 2014г. А с декабря 2013г. о сути социальных проблем упоминается лишь в связке с позитивными тенденциями их реализуемых решений.
Рисунок 3: Совпадение категории «Славься, Россия» с прочими категориями. Источник: расчеты автора
Создание положительного образа России зачастую осуществляется противопоставлением успешной и процветающей России тщетным попыткам США и Европы навредить нам: «Какими бы пафосными потом ни были заявления Обамы об успехах США в изоляции России, союз Москвы и Пекина, оформление единых политических целей стран-участников БРИКС, переориентация на Россию не только ключевых государств Латинской Америки, но и таких традиционных союзников Вашингтона, как Турция, и, наконец, нарастающий раскол внутри Евросоюза по вопросу о целесообразности дальнейшей конфронтации с Москвой все это свидетельствуют о том, что реальность пока явно отличается от американской мечты»53. Часто встречающиеся обезличивание и ирония применяются не по отношению к идее российского превосходства, а к все тем же Европе и США: «А Киев и вся западная пресса разразились гневными тирадами по поводу участия в российско-индийских переговорах главы Крыма. Спикер Госдепа Джейн Псаки даже предположила, может быть, индийские друзья не в курсе, что Сергей Аксенов будет в делегации. Но, как оказалось, они очень даже в курсе. В Дели, как известно, Аксенов подписал ряд контрактов по развитию экономики крымского полуострова с индийскими бизнесменами. А общей сложности в ходе визита подписаны почти два десятка соглашений в частности крупнейший в истории наших отношений контракт на поставку нефти в Индию уже со следующего года»54.
4.3.3 Образ мира
Прежде всего, стоит отметить общие тенденции описания внешнеполитической ситуации: самой многочисленной категорией, превосходящей по охвату даже несостоятельность украинской власти, является «Негатив о США» 17,8% (303). Эта категория объединяет единицы анализа, характеризующиеся созданием враждебного образа США по отношению к России с помощью эмоционально-окрашенных эпитетов. Портрет «плохой Америки» создается посредством фактов, доводов и слухов, призывающих реципиентов поверить в спланированность Украинской революции американскими властями, их явные и скрытые амбиции мирового господства. В 2013г. негативный образ Америки изображается на основе тем, касающихся войны в Ираке, войны в Сирии, усыновления американцами российских сирот и все тех же амбиций мирового господства. В 14,5% употребление категории дополняется сарказмом и иронией, в 12,9% случаев неподтвержденными слухами, аргументами и доводами российских СМИ, а также про-российски настроенных зарубежных журналистов и экспертов, также в 12,9% случаев упоминаниями о информационной войне против России. Помимо этого, акцентируется внимание на некомпетентности властей США 4,5% (77): авторы с сарказмом подчеркивают промахи американского правительства в 30% случаев и контекстуально связывают их с негативным образом США и информационной войной.

Рисунок 4. Создание образа США в категориях. Источник: расчеты автора.
Понятие «Информационная война» 12,7% (217) по отношению к украинским событиям возникает уже в апреле 2014 г., спустя два месяца после начала событий на Майдане. Наиболее часто упоминания об информационном противоборстве со странами Запада сопровождаются иронией, отрицательными характеристиками США и упоминаниями некомпетентности украинской власти.
Описание Европы чаще всего дается в негативном контексте («Негатив о Европе» 7% (120)), но, тем не менее, в отличии от США, встречаются и позитивные оценки «Европа поддерживает Россию» 1% (17). Их редкость обусловлена тем, что Европа упоминается в позитивной коннотации только в случаях, когда граждане европейских стран (бизнесменов, журналистов, оппозиционеров) положительно относятся к России и российской власти. Более часто все же встречается создание образа неблагополучной Европы, страдающей от последствий собственной внутренней и внешней политики («У Европы много проблем» 4,3% (73)). Таким образом, авторы текстов делают упор на враждебности Европы по отношению к России, периодически напоминая читателю, что у самой Европы все не так гладко.
Рис. 5 наглядно демонстрирует частоту совпадения основных категорий с категориями образа Европы. Проблемы и враждебность стран Европы ассоциируются с негативным влиянием США, критика европейских стран часто наблюдается в контексте восхваления российской власти, и достаточно широко используются уничижение и ирония.

Рисунок 5. Создание образа Европы в категориях. Источник: расчеты автора.
4. Заключение количественного анализа
В целом, телепрограмма «Воскресное время» создает положительный образ России и российской власти. В 2014г. частота описания благоприятного политического климата возрастает, что может являться либо следствием запроса аудитории - опросы Левада центра показывают возрастание одобрения политики действующего правительства на протяжении всего 2014 г.55 либо его первопричиной.
Освещению украинских событий было отведено наибольшее эфирное время и первое место в повестке дня. Украина предстает перед зрителями в мрачном свете жестокие, некомпетентные и коррумпированные власти виновные в кровопролитиях, осмеиваемые, пытающиеся обелить себя, развязывая информационную войну. Страдающий народ, вынужденный создавать силы самообороны.
«Мальчиком для битья», по старой памяти, становятся США их внешняя политика, согласно исследованным объектам, направлена исключительно на развязывание международных конфликтов. Слабость и некомпетентность их политического аппарата, в том числе и в ведении информационной войны, заслуживает лишь сарказма.
Активная критика действий стран Европы разбавляется напоминаниями об их внутренних проблемах, которые зачастую связываются со скрытыми мотивами США. И Европа, и США служат отличным фоном для создания чистого, незапятнанного портрета России.
5. ПРАКТИЧЕСКАЯ ЧАСТЬ
Теперь, когда картина, отображаемая в СМИ, полностью прояснилась, остаются два финальных вопроса: что же стало с мнением Россиян? И какую роль в формировании мнений сыграли СМИ?
Для начала я предлагаю взглянуть на результаты опросов Левады-центра:

Рисунок 6. Отношение россиян к украинцам. Источник: опросы Левада-центра
Очевидно, что с января 2014г. отношение россиян к украинцам начало стремительно ухудшаться. Для оценки влияния телевидения на отношение россиян к украинцам было задействовано три типа данных:
1) опросы Левада-центра (за январь, март, май, июль, сентябрь, октябрь, декабрь 2013г., январь, март, май, июнь, июль, сентябрь, ноябрь 2014г.);
2) результаты контент-анализа (матрица кодов за 2013-2014гг.);
3) статистика рейтинга программы «Воскресное время» на Первом канале (за 2013-2014гг.
Опросы Левада-центра, которые легли в основу эмпирической модели, включали базовую информацию о респондентах (пол, возраст, образование, уровень дохода), а также вопросы «Как Вы относитесь к Украине в целом?» и «Следите ли Вы за событиями на Украине?».
По результатам контент-анализа были сформированы суммарные переменные, включающие в себя все негативные коды об Украине, Западе, а также положительные коды о России.
Статистика телесмотрения включала в себя основные показатели (рейтинг, размер аудитории, охват целевой аудитории и прочие телевизионные статистики PaloMARS56) как для всей аудитории, так и отдельно для каждой из социальных категорий (пол, уровень дохода, возраст, регион проживания).
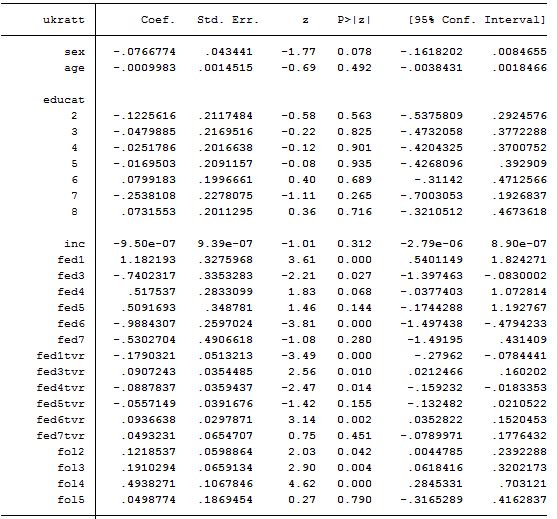
В качестве зависимой переменной был взят ответ респондентов на вопрос «Как Вы относитесь к Украине в целом?». Респонденты оценивали свое отношение к Украине по шкале от 1 до 5, где 1 очень хорошо, а 5 очень плохо. В качестве одной из независимых переменных был взят вопрос «Следите ли Вы за событиями на Украине?», где респонденты отвечали в соответствии с шкалой: 1 очень внимательно слежу, 5 ничего не слышал о событиях на Украине.
При оценке модели использовался вектор контрольных социо-демографических переменных: пол (male, female), возраст (age), образование (educat), доход (inc), территориальный признак - федеральный регион (fed). Образование соответствует следующим категориям: 1 начальное, …, 8 высшее (закончен ВУЗ). Федеральные регионы ранжируются таким образом: fed1 Северо-Западный округ, fed2 Центральный, fed3 Южный, fed4 -Поволжский, fed5 Уральский, fed6 Сибирский, fed7 Дальневосточный.
Негативные упоминания об Украине по телевидению аккумулируются независимой переменной (ukrbad). В нее были включены частоты единиц анализа, соответствующих кодам: «Анархия, Беспредел на Украине», «Жестокая украинская власть», «Жестокие подробности +18», «Кровопролитие на Украине», «Некомпетентная украинская власть», «Плохие украинцы», «Русофобия», «Сравнение украинцев с фашистами», «У Украины плохая армия».
Негативные упоминания Запада отражены в переменной (badwest), в нее входят такие коды как «Информационная война против России», «Негатив о Европе», «Негатив о США», «Слабая власть США», «Сравнение исламистов с фашистами», «Сравнение американцев с фашистами», «Теории заговора против России», «У Европы много проблем».
Помимо этого использовался общий рейтинг телепрограмм «Воскресное время» по России (tvrall), а также лаговая переменная (ltvrall), которая показывает влияние предыдущих телепрограмм на зависимую переменную.
Рассмотрим результаты Модели 1:

Рисунок 7. Модель 1. Результаты линейного регрессионного анализа. Источник: расчеты автора
Очевидно, что, в целом, женщины склонны лучше относиться к Украине, чем мужчины. Возраст в контексте данной модели не является значимой переменной, как и доход. В большой степени отношение к Украине предопределяет телевизионный рейтинг как за последнюю просмотренную передачу, так и за предыдущую. Это подкрепляет гипотезу о формировании телевидением негативного мнения об Украине у населения. Интересный тренд наблюдается в осведомленности граждан о украинских событиях: чем меньше россияне следят за украинскими событиями тем хуже их отношение. Интерпретировать это можно следующим образом: чем меньше люди осведомлены, тем легче они поддаются влиянию стороннего мнения будь то интернет, телевидение или мнение знакомых и друзей. По региональному признаку проявляется следующая закономерность: в целом, более дальние регионы (Сибирь, Дальний Восток) лучше относятся к Украине.
По итогам Модели 1 проявляется интересная закономерность, которая, к тому же, абсолютно логична с точки зрения здравого смысла: на отношение к Украине влияет не только недавний эффект ТВ, но и то, что Вы смотрели до этого. Таким образом, намечается направление дальнейшего исследования: до какой степени предыдущие просмотры телепрограмм продолжают оказывать влияние на людей, насколько долго одна программа может сказываться на суждениях респондентов.
А пока подробнее рассмотрим эффекты региональной переменной:
Рисунок 8. Модель 2. Результаты упорядоченной пробит-регрессии по фед. округам. Источник: расчеты автора
Здесь мы видим, как меняется динамика отношения в регионах, а также в зависимости от уровня телесмотрения в каждом из них. В целом, чем дальше от Центрального федерального округа тем «добрее» люди по отношению к Украине. Исключение составляет лишь Южный округ, граничащий с Украиной, что вполне согласуется с реальным положением дел: именно жители этого региона организовали всероссийскую помощь беженцам с Украины, что является показателем их хорошего добрососедского отношения.
Однако телезрители в регионах значительно расходятся во мнениях со своими земляками: наиболее отдаленные регионы, а также Южный округ, судя по всему, более подвержены влиянию телевизионной пропаганды их отношение к Украине значительно хуже. В случае Южного округа разумно было бы предположить, что их пугает образ такого опасного соседа, создаваемый телевидением. Урал и Поволжье, тем временем, включая телевизоры, сменяют гнев на милость.
В Модели 3 рассматриваются эффекты распределения дохода на зависимую переменную:

Рисунок 9. Модель 3. Результаты упорядоченной пробит-регрессии по доходам. Источник: расчеты автора
В данном случае для оценки влияния дохода использовались фиктивные переменные: exp_lessfourth расходы на питание составляют менее четверти дохода, exp_lesshalf расходы на питание составляют от четверти до половины дохода, exp_morehalf соответственно, от половины до трех четвертых, и exp_high расходы на питание выше трех четвертей дохода. На их основе были созданы интерактивные переменные по такому подобию: exp(group)tvr = exp_(group) * tvr(group). Таким образом, каждая интерактивная переменная отражает мнение определенной экономической группы телезрителей.
Здесь мы видим, что телесмотрение в равной степени негативно сказывается на всех группах дохода: и у более богатых, и у более бедных телезрителей отношение к Украине хуже, чем у равных им по достатку и не смотрящих телевизор.
В Модели 4 рассмотрим влияние непосредственно контента, содержащегося в телепрограммах собственно, эффект пропаганды:
Рисунок 10. Модель 4. Результаты линейной регрессии по контенту. Источник: расчеты автора
Собственно, гипотеза данной работы подтверждается: создание журналистами негативного образа Украины находит отклик у публики. Чем больше репортеры прославляют Россию, а также ругают Украину тем больше зрители верят в то, что Украина плохая. Интересная тенденция наблюдается с с негативными кодами о Западе чем враждебнее образ, создаваемый телевидением, тем лучше люди относятся к Украине. Однако это вполне обосновано, так как негатив по отношению к США или ЕС имеет довольно сильную корреляцию с негативом к Украине (corr=0.8475). То есть, в соответствии с интерпретацией контент-анализа, телезрители, которым внушают, что Украина плохая, действительно в какой-то степени верят в это. Но когда с телеэкранов им говорят, мол «во всем виноваты американцы» - это, по-видимому, служит неким «оправданием», и отношение зрителей к Украине улучшается.
6. ВЫВОДЫ
Итак, мы начали с того, что не были уверены в самом факте наличия пропаганды, в ее классическом смысле, на телевидении. Затем, рассмотрев понятие пропаганды и ее особенности, мы выделили характерные признаки манипулирования общественным сознанием на российском телевидении. Эффект влияния пропаганды достаточно подробно описан в научной и публицистической литературе, а также находит отклики в поведенческой экономике, в частности, в теории информационных каскадов. Ввиду того, что эволюционная теория игр допускает влияние стороннего агента на функции выигрышей игроков, репликаторная динамика позволяет довольно просто, но в то же время емко описать механизм изменения общественного мнения с экономической точки зрения.
В продолжение поисков доказательств пропаганды на российском телевидении мы обратились к методологии социологических исследований, в частности, к методу количественного контент-анализа. Контент-анализ не только дает более полную картину по сравнению с отрывочным сопоставлением текстов признакам пропаганды, но и позволяет перевести качественные данные в количественный формат. Это делает возможным эконометрически оценить влияние телевидения и контента, производимого им.
В ходе анализа удалось выяснить, что телевидение действительно обладает приписываемым ему эффектом оно способно манипулировать общественным сознанием. Безусловно, исследование влияние телевидения на отношение россиян к Украине заслуживает более глубокого анализа, принимающего во внимания фактические изменения, произошедшие на Украине в 2013-2014гг., политические взгляды респондентов, а также наличие у них друзей и родственников на Украине. Все это позволило бы создать более полную картину и выявить все факторы, оказывающие влияние на общественное мнение. Тем не менее, данная работа важна своей актуальностью, как минимум для граждан России. В условиях напряженности нынешних внешнеполитических отношений, а также неуменьшающегося градуса накала в ходе украинского конфликта, необходимо особенно осторожно подходить к формированию собственного мнения по этим вопросам. Эта работа призвана привлечь внимание к острой проблеме международных отношений и, особенно, на роли средств массовой информации в усилении напряжения между странами.
СПИСОК ЛИТЕРАТУРЫ
- Adena, M., Enikolopov, R., Petrova, M., Santarosa, V., Zhuravskaya, E. Radio and the Rise of the Nazis in Prewar Germany. PSE Working Papers n°2013-32. 2013
- Alexander, S. Five case studies on politization: http://slatestarcodex.com/2014/10/16/five-case-studies-on-politicization/
- Bernays, E.L, Propaganda N.Y., 1926 (рус. пер. Бернейс, Э. Пропаганда. М.: Hippo Publishing, 2010)
- Bernays, E.L. Manipulating Public Opinion: The Why and The How. 1928, American Journal of Sociology, vol. 33, issue 6
- Bhattacharya, S., Munasib, A. Effect of Television on Child Cognitive Outcome, 2008, Economics Working Paper Series, 0804, Oklahoma State University, Department of Economics and Legal Studies in Business
- Bikhchandani, S., Hirshleifer, D., Welch I. «A Theory of Fads, Fashion, Custom, and Cultural Change as Informational Cascades», The Journal of Political Economy, The University of Chicago Press, Vol. 100, No. 5 (Oct., 1992), pp. 992-1026
- Chong, A., La Ferrara, E. Television and Divorce: Evidence from Brazilian Novelas, 2009, Journal of the European Economic Association, MIT Press, vol. 7(2-3), pages 458-468, 04-05
- Cороченко, В. «Энциклопедия методов пропаганды», 2002
- Dahl, G., DellaVigna, S. Does Movie Violence Increase Violent Crime?, 2009, The Quarterly Journal of Economics, MIT Press, vol. 124(2), pages 677-734, May
- DellaVigna, S., Kaplan, E. The Fox News Effect: Media Bias and Voting, 2007, The Quarterly Journal of Economics, MIT Press, vol. 122(3), pages 1187-1234, 08
- Douma, S., Schreuder H. Economic Approaches to Organizations, 2002, Pearson Education Limited, Third Edition
- Encyclopedia Britannica, Propaganda: http://global.britannica.com/topic/propaganda
- Green D., Palmquist B., Schickler, E. Partisan Hearts and Minds, 2002, New Haven, CT: Yale University Press, 288 p.
- La Ferrara, E., Chong, A., Duryea, S. Soap Operas and Fertility: Evidence from Brazil, 2012, American Economic Journal: Applied Economics, American Economic Association, vol. 4(4), pages 1-31, October
- Laswell, H.D. The Technique of Symbol Analyses (Content-analysis), 1941, Experimental Division
- Lemieux, P. Following the Herd. Regulation, Vol. 26, No. 4, Winter 2003-2004
- McClung Lee A., Briant Lee E., The Fine Art of Propaganda, 1939, Harcourt Brace
- Ojijo, P. This Is How To Manipulate Voters- Ojijo's Guide for Politicians and Aspiring Politicians, available at https://www.academia.edu/11787873/This_Is_How_To_Manipulate_Voters-_Ojijos_Guide_for_Politicians_and_Aspiring_Politicians_
- Sabatini, F. Who Trusts Berlusconi? An Econometric Analysis of the Role of Television in the Political Arena. 2012. Kyklos, Vol. 65, Issue 1, pp. 111-131, 2012
- Smith, V. L. Rational choice: The Contrast Between Economics and Psychology, 1991, Journal of Political Economy.
- Veblen, T. B. The Place of Science in Modern Civilazitaion and Other Essays, 1919, New York: Huebsch
- Vigna, S.D., Enikolopov, R., Mironova, V., Petrova, M., Zhuravskaya, E. 2014. "Cross-Border Media and Nationalism: Evidence from Serbian Radio in Croatia," American Economic Journal: Applied Economics, American Economic Association, vol. 6(3), pages 103-32, July
- Voigtlnder, N, Voth, H. Highway to Hitler, 2014, Working Papers 769, Barcelona Graduate School of Economics
- Yanagizawa-Drott, D. Propaganda and Conflict: Evidence from the Rwandan Genocide. Quarterly Journal of Economics 129.4 (2014)
- Григорьев, С. И. Основы современной социологии, 2001, изд. Алтайского государственного университета.
- Ковалев, Е.М., Штейнберг, И.Е. Качественные методы в полевых социологических исследованиях. М.: Логос, 1999. С.323.
- Мангейм Дж. Б., Рич Р. К. Политология. Методы исследования. 1997, Весь Мир (пер. с англ., предисл. А.К. Соколова, Empirical Political Analysis: Research Methods in Political Science)
- Манойло, А. Информационно-психологическая война: факторы, определяющие формат современного вооруженного конфликта, 2005, Материалы V Международной научно-практической конференции "Информационные технологии и безопасность", С. 7380.
- Семёнова А.В., Корсунская М.В. Контент-анализ СМИ: проблемы и опыт применения, под ред. В.А. Мансурова. М.: Институт социологии РАН, 2010. 324 с
ПРИЛОЖЕНИЕ 1. Список кодов
|
Код |
Описание |
|
|
MF Коррупция в России |
|
Присвоение темы коррупции и других социальных проблем в России проправительственными организациями (манифестное кодирование) |
|
MF Социальные темы (негатив) |
|
Социальные проблемы России (манифестное кодирование) |
|
MF Социальные темы (позитив) |
|
Позитивные аспекты социальных проблем России, реализованные/реализующиеся решения социальных проблем (манифестное кодирование) |
|
MF Союзники России: Индия, Узбекистан, Абхазия, Казахстан, Белорусия, Армения, Азербайджан, Китай, Турция, Куба, Грузия |
|
Внешнеполитические успехи России (манифестное кодирование). Союзники России: Индия, Узбекистан, Абхазия, Казахстан, Белорусия, Армения, Азербайджан, Китай, Турция, Куба, Грузия |
|
Анархия, Беспредел на Украине |
|
Подчеркивание неадекватности и анархичности поведения сторонников Майдана |
|
Дружба Украины и России |
|
Добрососедские отношения украинцев и россиян, "братские народы" |
|
Европа поддерживает Россию |
|
Положительное отношение граждан стран Европы к России |
|
Жестокая украинская власть |
|
Жестокость правящего режима Украины по отношению к своим гражданам |
|
Жестокие подробности +18 |
|
Излишне детальное/эмоциональное описание кровавых подробностей |
|
Информационная война против России |
|
Информационное противоборство, лживые факты, слухи, распространяемые зарубежными СМИ |
|
Коррупция, интересы олигархов Украины и Запада |
|
Обвинения в коррупции Украинских и Западных чиновников, олигархия |
|
Кровопролитие на Украине |
|
Эпизоды насилия во время Украинского конфликта |
|
Негатив о Европе |
|
Создание негативного, враждебного образа Европейских стран с помощью эмоциональных оценочных эпитетов |
|
Негатив о США |
|
Создание враждебного образа США с помощью эмоциональных оценочных эпитетов |
|
Некомпетентная украинская власть |
|
Несостоятельность органов украинской власти |
|
Обезличивание, уничижение, ирония, применяемые к Украине, Европе, США |
|
Сарказм и ирония, применяемые в создании негативного образа субъектов. |
|
Ополченцы (положительный образ) |
|
Позитивные эмоционально-изобразительные средства описания украинских оппозиционеров |
|
Плохие украинцы |
|
Негативное описание граждан Украины, напрямую не связанных с властью/силовыми структурами |
|
Российские журналисты - герои |
|
Прославление журналистов, павших жертвами вооруженных конфликтов |
|
Русофобия |
|
Враждебность украинцев по отношению к русскому языку, гражданам России |
|
Слабая власть США |
|
Некомпетентность администрации США, главных лиц власти США |
|
Славься, Россия |
|
Создание позитивного образа России посредством положительно эмоционально-окрашенных слов и словосочетаний |
|
Сравнение исламистов с фашистами |
|
Аналогии, проведенные между радикальными исламистами и символом всего самого страшного для русского человека - фашизмом. |
|
Сравнение США с фашистами |
|
Аналогии, проведенные между американцами и символом всего самого страшного для русского человека - фашизмом. |
|
Сравнение украинцев с фашистами |
|
Аналогии, проведенные между участниками украинского конфликта и символом всего самого страшного для русского человека - фашизмом. |
|
Теории заговора (против России) |
|
Неподтвержденные фактами слухи, аргументы и доводы, исходящие от политических соперников России |
|
Теории заговора (России и ее союзников) |
|
Неподтвержденные фактами слухи, аргументы и доводы, распространяемые российскими СМИ, а также про-российски настроенными зарубежными журналистами и экспертами |
|
У Европы много проблем |
|
Создание образа неблагополучной Европы, страдающей от последствий собственной внутренней и внешней политики |
|
У Украины плохая армия |
|
Отсутствие профессионализма, навыков, должного оснащения, боевого духа и этики у Вооруженных сил Украины |
|
Украинцы-жертвы |
|
Жертвы украинских погромов, жалостливые образы |