Формування комплексу маркетингу підприємства
PAGE \* MERGEFORMAT3
МІНІСТЕРСТВО ОСВІТИ І НАУКИ УКРАЇНИ
НАЦІОНАЛЬНИЙ УНІВЕРСИТЕТ «ЛЬВІВСЬКА ПОЛІТЕХНІКА»
Кафедра маркетингу і логістики

Курсовий проект на тему:
«Формування комплексу маркетингу підприємства»
з курсу “Маркетинг”
ВИКОНАЛА:
ст. гр. ФК 24
Заяць Н. М.
ПРИЙНЯВ:
Добуш Ю. Я.
Львів 2013
ЗМІСТ
Вступ…………………………………………………………………………….....4
Розділ 1. Аналіз ринку……………………………………………………………6
Розділ 2. Дослідження смаків та уподобань споживачів Сегментування рин-ку………………………………………………………………………………….11
Розділ 3. Розроблення концепції товару та визначення його характеристик.17
Розділ 4. Визначення оптимальної ціни на товар на підставі результатів пробного маркетингу……………………………………………………………21
Розділ 4.1 Визначення взаємозвязку між ціною і попитом……………….....21
Розділ 4.2. Розрахунок оптимальної ціни, при якій фірма отримає максимальний прибуток…………………………………………………………………..25
Розділ 5. Формування оптимальних каналів розподілу товару………………28
Розділ 6. Планування кампанії по просуванню товару………………………..32
Висновки…………………………………………………………………………37
Список використаної літератури………………………………………………..38
ВСТУП
Безпосереднім завданням курсового проекту буде обгрунтування впровадження маркетингових заходів на підприємствах, що спеціалізуються на виготовленні 3D-техніки,зокрема 3D-окулярів.
Враховуючи нестабільне становище національної економіки, для України важливе значення матиме розбудова промисловості, тобто, українські товари мають користуватися попитом і тим самим завоювати високі позиції для вітчизняних фірм. Для того, щоб товари наших підприємств були популярними серед населення, не тільки на території держави, але й закордоном, потрібно запровадити на підприємствах комплекс маркетингу, що дозволить ефективно працювати маркетинговій системі, вивчати потреби споживачів і виготовляти товар, що максимально відповідає цим потребам. Для того, щоб це сталося на підприємстві запроваджують МІС (маркетингову інформаційну систему), що збирає, вивчає і аналізує зібрану інформацію, при цьому потрібно памятати, що інформація має бути повною, зрозумілою, адекватною і правдивою, тобто, потрібно також перевіряти джерело інформації, для того, що запобігти можливим ускладненням, повязаним із неправильною інформацією.
Крім цього не менш важливе значення матиме запровадження 4 складових комплексу маркетингу (товар, місце, ціна, просування), відомих ще як 4p (product, place, prize, promotion). Тобто, мається на увазі, що товар потрібно не тільки виготовити, а й продати. Для цього підприємство впроваджує сукупність механізмів і заходів, що дозволяють ефективно збувати виготовлений товар, люди мають знати де можна купити те що їм треба (place), для цього існують комунікації (promotion), клієнти зацікавлені пропозицією приходять і оглядають даний товар і купляють, якщо ціна відповідає їхнім вимогам (prize).
Отже, відповідне запровадження маркетингових заходів на вітчизняних підприємствах веде до підвищення обсягів збуту виготовленої даним підприємством продукції, а отже і до нарощення виробництва, що має дуже важливе значення в умовах економіки, що розвивається, бо ж нарощення частки вітчизняних підприємств на ринку сприяє припливу капіталу у нашу економіку, зменшення відємного сальдо українського експорту, наповнення державного бюджету.
Запровадження комплексу маркетингу веде також до підвищення конкуренто спроможності вітчизняних товарів, підвищенні стійкості економіки перед економічною рецесією, приплив грошей у економіку підвищує можливості НБУ, щодо боротьби з інфляцією, що веде до розвитку бізнесу, зменшення безробіття, піднятті рівня життя в Україні.
У цьому курсовому проекті я спробую обгрунтувати використання комплексу маркетингу на підприємствах, що спеціалізуються на виготовленні кінотехніки, дуже перспективної галузі, але поки що на жаль не доступної для української промисловості, що ж я спробую показати, як можна вирішити цю проблему. Моїм завданням буде виразити комплекс маркетингу на фірмі, що виготовляє 3D-окуляри.
Розділ 1. Аналіз ринку
Наше підприємство буде виготовляти 3D-техніку, зокрема 3D-окуляри.
Охарактеризуємо потребу, яку задовольнятиме даний товар, для того, щоби як найповніше це зробити використаємо матрицю потреб (дана матриця наведена в дод. 1):
- За ієрархією належить соціальних потреб і підлягає схваленню певної соціальної групи.
- Фактори, які впливають на формування потреб соціально-групові, тому, що різні групи людей, з різними доходами і купляють різні за ціною та якістю 3D-окуляри.
- За часовими параметрами перспективні, тому що з кожним роком техніка набуває свого розвитку і люди прагнутимуть придбати саме цей товар, придбавши сучасну 3D-технологію.
- За принципом задоволення задовольняються комплексом товарів, тому що для того щоб застосовувати 3D-окуляри, необхідна додаткова 3D-техніка, як, наприклад, 3D-монітор;
- За чіткістю переводу в характеристики товару або послуги конфігураційні (проявляються у таких послугах, як ремонт і гарантія про те що повернемо товар, якщо він з дефектами), а також наш товар повинен набувати якісних характеристик;
6. За ступенем принципового задоволення повністю задоволені, тому що наш товар дає змогу якісно переглядати 3D- фільми чи інше, та задовольнити повністю споживача ;
7. За масовістю розповсюдження: географічні всезагальне, тому що наш товар планує виходити не тільки на ринок України, а соціально всередині соціальної групи по доходу, тому що не кожна соціальна група людей може позволити собі придбати 3D-окуляри та 3D-техніку;
8. За еластичністю еластичні;
9. За природою виникнення потреба в 3D-окулярах не є основною;
10. За суспільною думкою суспільно-позитивні, тому що 3D-окуляри забезпечують цікавий і якісний перегляд, що допомагає споживачам гарно провести час;
11. За глибиною проникнення в суспільну свідомість частково свідомі, бо ще не всі люди мали змогу користуватись 3D-окулярами;
12. За ступенем поточної необхідності слабої інтенсивності, бо ще не всі придбали собі 3D-окуляри, а ті, хто придбав, то на довгий термін, бо такий товар є із необмеженим терміном використання;
13. За причиною виникнення привиті, бо із розвитком сучасних технологій, 3D-окуляри стали необхідними для їх використання;
14. За часовими параметрами споживання ті що задоволені періодично, тому що наш товар використовується лише під час перегляду 3D-фільмів, фото чи ін.;
15. За свободою задоволення вільні, тому що кожен може придбати собі цей товар, без будь-яких перешкод;
16. За широтою проникнення в різні галузі життя моносферні, бо проникають лише у ту сферу життя, де відбувається використання 3D-технологій;
17. За специфікою задоволення індивідуалізовані, бо не всі позитивно ставляться до сучасних технологій;
18. За характером барєрів задоволення потреб соціально-обумовленні.
Будь-яке підприємство здійснює свою діяльність в оточенні різних субєктів та сил. Тому у цьому розділі слід охарактеризувати маркетингове середовище підприємства, в якому воно буде функціонувати.
Наведемо фактори макро- та мікросередовища:
Фактор мікросередовища:
Таблиця 1
|
Фактори мікросередовища |
Вплив на даний вид товару |
|
Фізичні і юридичні особи, що спроможні, мають бажання і купляють даний товар. |
|
Фірми, що діють на моєму ринку і при цьому спеціалізуються на тому самому видові діяльності, що й моє підприємство. Останнім часом попит на даний товар росте, оскільки росте рівень життя в країні та рівень розвитку технологій, що веде до посилення конкуренції, особливо з боку закордонних фірм. |
|
|
|
Здійснюють поставки матеріальних ресурсів, необхідних для виробництва 3D-технологій. |
|
|
Фактори макросередовища:
Таблиця 1
|
Фактори макросередовища |
Вплив на даний товар |
|
Зміна чисельності населення, рівень народжуваності, розподіл населення за віком та статтю, міграція населення, його національна структура. |
|
Кількісний та якісний склад споживачів, їхня купівельна спроможність, економічні спади, умови одержання кредиту, диференціація доходів у сімях. |
|
Особливо відчутний на сучасному етапі дефіцит деяких видів сировини і зростання у звязку з цим вартості енергії, збільшення забрудненості довкілля призвели до рішучого втручання урядів багатьох країн світу у процес раціонального використання та відтворення природних ресурсів, що передбачає контролювання підприємницької діяльності з боку держав. |
|
Зумовлюють якісні зміни технології виробництва основних фондів та сировини, появу нових товарів на ринку. Кожне нове відкриття має ретельно відслідковуватись і впроваджуватись у виробництво, лише так можна залишитись у бізнесі з даним видом товару. |
|
Вплив цього фактора значною мірою визначається положенням основних законів, законодавчих актів, що стосуються інтересів підприємства, споживачів та суспільства загалом. |
|
Це передусім історичні традиції, звички, спосіб життя, належність до певного класу, професія, сімейний стан споживачів і працівників підприємства. |
Розділ 2. Дослідження смаків та уподобань споживачів.
Сегментування ринку.
Для того, щоб зрозуміти потреби та смаки споживачів фірми, вивчити її конкурентів, необхідно провести маркетингові дослідження.
Анкета найрозповсюдженіше знаряддя досліджень при збиранні первинної інформації стандартизованого опитування. Це перелік запитань, на які опитуваний (респондент) має дати відповіді. Анкета потребує ретельної розробки, апробації та усунення недоліків, що виявлені, до початку її широкого використання.
Для отримання певної інформації по використанню 3D-окулярів слід провести опитування серед населення, особливо серед молоді та молодих сімей, які потенційно є головними споживачами нашої продукції. Для цього розробляється анкета, що наведена сторінкою нижче. Для дослідження нам необхідно опитати 1000 осіб різного віку. Це буде вибіркова сукупність, що буде репрезентативною, тобто буде відображати ознаки всієї генеральної сукупності. Анкетування допоможе нам оцінити смаки та уподобання споживачів для максимального задоволення їх потреб. Анкетування буде проводитись у м. Львові вибірково на вулиці, а також в місцях кінотеатрів та магазинів техніки. Анкета буде мати наступний вигляд.
Анкета
Доброго дня! У місті Львові відкрилось підприємство «C&G», яке виготовляє 3D-техніку, зокрема 3D-окуляри. Щиро просимо Вас дати відповіді на подані нижче запитання анкети, які допоможуть нашій фірмі пристосуватися до Ваших потреб і смаків.
- Чи користувались Ви 3D-окулярами?
Так
Ні
- Чи маєте Ви 3D-окуляри?
Так
Ні
- Чи є у вас 3D-техніка?
Так
Ні
- 3D-окуляри якої фірми Ви використовуєте?
Panasonic
LG
Sumsung
NVIDIA
Sony
Інша______________________________________________
- При виборі 3D-окулярів, на які характеристики Ви спершу орієнтуєтесь?
ціна
якість
дизайн
фірма-виробник
функції
Інші______________________________________________
- Що впливає на прийняття рішень про купівлю 3D-окулярів?
реклама по телебаченню
порада знайомих людей
рекомендація продавців
реклама на біг-бордах
- Чи готові Ви надати перевагу вітчизняному виробнику 3D-окулярів?
Так
Ні
Не знаю
- Де найчастіше Ви купуєте 3D-окуляри?
у магазині
безпосередньо у виробника
на ринку
в інтернет-магазині
- Вкажіть Ваш середній місячний дохід:
до 600 грн.
600-1500 грн.
1500-4000 грн.
4000 грн. і більше
- Вкажіть Вашу вікову категорію:
до 18 років
19-30 років
31-45 років
більше 45 років
- Ваша стать:
жіноча
чоловіча
Щиро дякуємо Вам за співпрацю!
Аналіз анкетування
Провівши анкетування, ми отримали наступні результати, їх дані наведені на рис. 1-3.
Рис.1 Сегментація ринку за конкурентоспроможністю.
Рис.2 Сегментація ринку за характеристикою при виборі окулярів.
Рис. 3 Сегментація ринку за вибором продавця.
Отже, з результатів анкетування помітно, що нашими найбільшими конкурентами є Samsung(32%), Panasonic(19%) і Sony(37%). Їм належать найбільші частки ринку. При виборі 3D-окулярів населення найбільше орієнтується на фірму-виробника (29%), якість (24%) та ціну (20%). Проаналізувавши інформацію ми встановили, що найбільше населення купує 3D-окуляри в магазинах (44%) та в інтернет-магазинах (36%). Це дасть змогу вибрати оптимальних торгових посередників.
На мою думку, сегментацію ринку, на якому працює наша фірма, слід провести за такими характеристиками:
- За співвідношенням ціна-якість фірма буде орієнтуватися на виробництво та реалізацію сканерів високої якості.
Рівень якості
|
Високий |
||||
|
Середній |
||||
|
Низький |
Ціна, грн. до 100 100-150 150-200 200 і більше
Фірма буде діяти на ринку з середньою якістю продукції за ціною до 100-150 грн., та на ринку з високою якістю за ціною 150-200 грн.
- За демографічним принципом сегментація буде передбачати розподіл цільового ринку 3D-окулярів на основі таких ознак як вік та рівень доходу.
Дохід, грн..
|
4000 і більше |
||||
|
1500-4000 |
||||
|
600-1500 |
||||
|
До 600 |
Вік, роки до 18 19-30 31-45 45 і більше
Найбільше покупців очікується віком 19-30 років з доходом 600-4000 грн./міс., 31-45 років з доходом 600 і більше грн../міс., а також очікуються покупці віком більше 45 років з доходом 600-4000 грн./міс. Також будуть і покупці серед молоді віком до 18 років з доходом до 600 грн./міс.
Для просування товару підприємство обирає стратегію диференційованого маркетингу, тобто розробляємо декілька комплексів маркетингу для декількох сегментів та для кожного сегмента розробляємо свій комплекс маркетингу. Завдяки цій стратегії ми зможемо максимально охопити ринок з 3D-окулярами спочатку у Львівської області, а згодом і інших областей України відповідно до цілей.
Розділ 3. Розроблення концепції товару та визначення його характеристик.
Наше підприємство планує вийти на ринок 3D-окулярів і знайти місце поруч із конкурентами провідними виробниками, такими як Sony, Samsung, Panasonic, LG. Ринок повністю підходить для цього, оскільки має велику місткість.
Особлива увага при позиціонуванні товару приділяється:
- Високій якості продукції;
- Ціні, доступнішій ніж у конкурентів;
- Функціональності;
- Дизайну.
Саме перші два останні чинники повинні вплинути на споживача, і «змусити» його купувати товар саме нашої фірми. Фірма буде діяти на ринку з середньою якістю продукції за ціною 100-150 грн. та на ринку з високою якістю з ціною 150-200 грн. найбільше покупців очікується віком 19-30 років з доходом 600-4000 грн./міс., 31-45 років з доходом 600 і більше грн./міс., а також більше 45 років з доходом 600-4000 грн./міс.
Розглянемо 3D-окуляри як комплексне поняття, сприймаючи його на трьох рівнях:
- Товар за задумом.
Товар, тобто 3D-окуляри, який виготовляє наше підприємство, задовольняє потребу у якісному перегляді відео на 3D-моніторах, 3D-телефізорах, 3D-проекторах. Основною вигодою від покупки нашого товару буде його ціна, яка є значно нижчою від ціни наших основних конкурентів. При цьому якість наших 3D-окулярів буде залишатися високою. Отже, ціна є основною відмінністю між нашим товаром та товаром конкурентів.
- Товар у реальному виконанні.
Товар, який виготовляє наша фірма, тобто 3D-окуляри, є у високій якості, вони виробляються із пластику та акрилового скла на території України.
Фірма C&G буде виготовляти декілька моделей 3D-окулярів, які відрізнятимуться винятковим дизайном та технічними характеристиками, зокрема:
- Пластикові оправи різного дизайну;
- Якісне зображення при використанні;
- Гарантія 1 рік;
- Надійний аксесуар.
Моделі 3D-окулярів фірми C&G є доволі сучасними, мають стильний дизайн, який зацікавить як дорослих так і дітей, при виробництві використовуються екологічно чисті матеріали.
Упаковка для 3D-окулярів нашої фірми виготовляється також з екологічно чистих матеріалів, зокрема з картону (на ньому друкують назву фірми). Зовнішній вигляд упаковки: грані упаковки прямокутної форми на яких зображена дана модель 3D-окулярів, товарна марка, її координати, штрих-код,упаковка стане своєрідною рекламою для нашого товару. Також у середині упаковки знаходиться інструкції щодо використання 3D-окулярів, їх технічні характеристики, адреса фірми-виробника, гарантія 3D-окулярів на 1 рік тощо.
- Товар із підкріпленням.
На цьому рівні я перелічу всі додаткові послуги, які будуть надаватись нашим клієнтам:
- Гарантія на 1 рік;
- Доставка та можливість виконання замовлення та інший сервіс через Internet;
- При купівлі 3D-окулярів оптом, гарантується знижка;
- При купівлі 3D-окулярів також клієнт отримує подарунок (наприклад, футляр для окулярів).
Розробляємо товарну марку.
Імя нашої фірми C&G (Cinema and Glasses)
Також створимо товарний знак.

C&G
Рис. 4 Товарний знак.
У ході розроблення товару проведемо його позиціонування, тобто чітко визначимо, чим він буде відрізнятись від товарів-конкурентів.
Для позиціонування використаємо такі ознаки:
- Цінові рівні: ціна нашого товару коливатиметься в межах від 100 до 199 грн.;
- Габаритні розміри: відстань між дужками в районі кріплення оправи 12-14,5 см.;
- Вага: близько 30 грам.;
- Термін використання: необмежений;
- Термін сервісного обслуговування: 1 рік;
Робимо схему позиціонування товару за двома характеристиками: ціна якість.
Характеристики
Якість
Ціна
Асортимент
Низький Нижче Середній Вище Високий
середнього середнього
Рівні
Рис.5. Позиціонування товару.
- наш товар;
- товар-конкурент.
Із схеми позиціонування видно, що конкурентними перевагами нашого товару є ціна нижча від конкурентної та ширший асортимент.
Розділ 4. Визначення оптимальної ціни на товар на підставі проведення пробного маркетингу
4.1 Визначення взаємозвязку між ціною і попитом
З метою дослідження взаємозвязку між ціною та попитом на товар, було проведено пробний маркетинг з використанням різних рівнів цін.
Зобразимо кожну пару спостережень у системі координат, де величина попиту (N) відкладається на осі Y, а ціна (Ц) - на осі X, то отримаємо кореляційне поле точок:

Рис.7. Кореляційне поле точок
Отримані результати дослідження ринку використовуються для проведення статистичного аналізу. Основною метою цього аналізу є складення рівняння регресії, на основі якого встановлюється взаємозвязок між досліджуваними параметрами, тобто ціною та попитом, що в дійсності буде дорівнювати фактичному рівні збуту. Взаємозвязок між цими параметрами близький до лінійного, тому рівняння регресії буде мати такий вигляд:
N = b0 + b1 * Ц
де N теоретичне значення обсягу збуту при відповідній ціні.
Для визначення Во, В1 слід розвязати систему рівняння:
nі = m* b0+ b1 Ці
nі * Ці = b0* Ці + b1 Ці 2
Де m кількість замірів у проведеному дослідженні (m=12).
b1=(m*(nі*Ці)- Ці* nі)/(m*(Ці)-(Ці))
b0=( nі- b1*Ці)/m
Розрахунок коефіцієнтів рівняняння регресії проводиться на основі проміжних даних, отриманих в табл.1.
|
Замір |
Ці |
nі |
Цi*ni |
Ці2 |
n2 |
Ni |
|
|
|
1 |
199 |
262 |
52138 |
39601 |
68644 |
262,5 |
-251,5 |
63262,3 |
|
2 |
190 |
282 |
53580 |
36100 |
79524 |
308,2 |
-205,8 |
42353,6 |
|
3 |
181 |
378 |
68418 |
32761 |
142884 |
353,9 |
-160,1 |
25625,6 |
|
4 |
172 |
360 |
61920 |
29584 |
129600 |
400 |
-114,36 |
13078,2 |
|
5 |
163 |
494 |
80522 |
26569 |
244036 |
445,4 |
-68,64 |
4711,45 |
|
6 |
154 |
438 |
67452 |
23716 |
191844 |
491,1 |
-22,92 |
525,3 |
|
7 |
145 |
609 |
88305 |
21025 |
370881 |
536,8 |
22,8 |
519,8 |
|
8 |
136 |
516 |
70176 |
18496 |
266256 |
582,5 |
68,52 |
4695 |
|
9 |
127 |
725 |
92075 |
16129 |
525625 |
628,2 |
114,24 |
13050,8 |
|
10 |
118 |
593 |
69974 |
13924 |
351649 |
674 |
160 |
25587,2 |
|
11 |
109 |
840 |
91560 |
11881 |
705600 |
720 |
205,6 |
42304,3 |
|
12 |
100 |
671 |
67100 |
10000 |
450241 |
765,4 |
251,4 |
63202 |
|
Сума |
1794 |
6168 |
863220 |
279786 |
3526784 |
6167,3 |
-0,72 |
298915,6 |
Таблиця 1
Отже, враховуючи дані записані в таблицю 1, маємо
6168 = 12 * В0 + 1794 * В1
863220 = 1794 * В0 + 279786 * В1
З цієї системи знаходимо В0 та В1.
Щоб розвязати цю систему, треба помножити перше рівняння на:
=149,5
922116 = 1794 * В0 + 268203 * В1
863220 = 1794 * В0 + 279786 * В1
Та відняти друге рівняння від першого або використати інші методи розвязування системи рівнянь, в результаті чого, отримуємо рівняння:
58896 = - 11583 В1
Звідси:
В1 = -5,08
Знаходимо В0:
В0 = 1273,4
Після цього знаходимо рівняння регресії:
N = 1273,4 5,08 * Ц
Після розвязання системи рівнянь, визначення коефіцієнтів В0 та В1 і складання рівняння регресії будуємо графік залежності N від Ц. графік функції N = f(Ц) наведений на рис. 5

Рис.8. залежність попиту від ціни
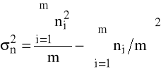
Далі визначають щільність звязку між цими величинами, для чого обчислюють коефіцієнт детермінації:

де
факторна дисперсія,
;
загальна дисперсія, 
Отже, знайдемо факторну і загальну дисперсію:
= = 24909.63
== 29702.6
Знайдемо коефіцієнт детермінації:
R2= = 0.84
Коефіцієнт детермінації характеризує тісноту звязку між даними величинами. Він має додатне значення і знаходиться в межах [0; 1]. Залежно від значень R2 роблять наступні висновки:
- якщо , то звязок між ціною і попитом слабкий;
- якщо , то звязок між ціною і попитом відчутний;
- якщо , то звязок між ціною і попитом щільний.
У даному випадку,отже, звязок між ціною і попитом щiльний.
4.2. Визначення оптимальної ціни, при якій фірма отримає максимальний прибуток
Математична модель цієї задачі має вигляд:
де П прибуток, який отримає фірма від реалізації продукції за досліджуваний період;
F постійні витрати фірми на виробництво і збут продукції за даний період;
V змінні витрати на одиницю продукції.
У даному завданні потрібно дати пояснення відносно складу F та V і обєктивних закономірностей, яким підпорядкована їх зміна. Чисельні значення цих показників визначаються даними до проекту.
Взаємозвязок між Ц та N встановлено у п. 4.1 у вигляді рівняння регресії.
N = 1273,4-5,08*Ц
Максимізувати прибуток фірми можна з використанням похідної .
Прирівнюємо = 0 і знаходимо Цопт, Nопт, Пmax.
Отже, отримаємо:
Цопт= (Vв1 в0)/2в1
Змінні витрати на одиницю продукції:
V = 87 грн.
Постійні витрати за 1 рік на виробництво і збут продукції:
F = 20247 грн.
Оптимальна ціна:
Цопт = (87*(-5,08)-1273,4)/(2*(-5,08))=168.83 грн.
Відповідні обсяги збуту:
Nопт = 1273,4 5,08* 168.83 = 416 шт.
Максимальний прибуток:
П = [Ц*N (F+V*N)]
П = [168.83*416-(20247+87*416) = 13794.28 грн.
Собівартість одиниці продукції:
S = V + F/N
S = 87 + 20247/416 = 135,67 грн.

Рис.9. Залежність собівартості товару від обсягів збуту
Як видно з рівняння S = V + F/N, із збільшенням обсягів виробництва собівартість конкретно взятої одиниці продукції зменшується, що пояснюється перерозподілом постійних витрат на кожну одиницю продукції.
Для прийняття ефективних рішень важливе значення має визначення цінової еластичності попиту. Цінова еластичність попиту визначає ступінь чутливості обсягів збуту (попиту) залежно від ступеня зміни у цінах і може бути визначена за формулою:
де - обсяг збуту, визначений за рівнянням регресії відповідно при цінах .
Еластичний попит має місце у тих випадках, коли цінова еластичність по модулю перевищує 1. Моїм завданням буде описово проаналізувати вплив цінової еластичності попиту на цінову стратегію фірми.
Отже, знаходимо цінову еластичність попиту
Епц=
|Eпц|>1, тобто попит є еластичним. Це означає, що значні зміни ціни товару приводять до суттєвих змін обсягу його збуту. Еластичність попиту ми беремо по модулю, а знак мінус показує обернену залежність між ціною та величиною попиту.
Отже, при зміні ціни на 1% величина попиту обернено зміниться на 1,59%. Так як попит еластичний , тоді можна вважати, що 3D-окуляри за нинішніх умов не належать до товарів першої необхідності. Нижча ціна за умови еластичного попиту призводить до зростання обсягів збуту.
Взявши це до уваги ми оберемо таку цінову стратегію: стратегія глибокого проникнення на ринок(стратегія низьких цін). При ній встановлюється нижча ціна, ніж у конкурентів, яка привабить багатьох споживачів. Завдяки цьому ми зможемо завоювати велику частку ринку.
Розділ 5. Формування оптимальних каналів розподілу товару
Маркетингова збутова політика являє собою комплекс дій і заходів, спрямованих на розподіл і фізичне просування товарів та послуг від виробника до кінцевого споживача. Методи розповсюдження товару є третім елементом комплексу маркетингу. При здійсненні збуту важливе значення належить каналам розподілу.
Канали розподілу це сукупність фірм чи окремих осіб, які виконують посередницькі функції щодо подачі інформації до потенційних клієнтів.
У цьому розділі потрібно сформувати оптимальні канали розподілу продукції, визначити посередників, яких фірма буде залучати до її реалізації.
При формуванні каналу слід обґрунтувати його довжину і ширину залежно від типу товару і ринку, цілей і ресурсів фірми.
По довжині це може бути канал прямого маркетингу, однорівневий чи дворівневий канал.
Визначаючи ширину каналу, можна орієнтуватись на принципи ексклюзивного, селективного чи інтенсивного розподілу.
Учасники каналів розподілення виконують наступні функції:
Інформаційна функція (збирання інформації, проведення маркетингових досліджень і поширення їх результатів для планування збуту і товарообміну).
Стимулювання збуту, яке полягає у інформуванні споживачів за допомогою реклами та використання заходів стимулювання збуту.
Пошук потенційних споживачів, встановлення і підтримання з ними звязків.
Пристосування товарів до вимог споживачів, зокрема виробництво, монтаж, пакування товарів, їх сортування і комплектування.
Проведення ділових переговорів із споживачами стосовно рівня цін та інших умов, при яких право власності може бути передано іншим особам та організаціям.
Надання торговельних послуг, тобто продаж товарів споживачам.
Організація товарного руху: транспортування і складування товарів.
Фінансування процесу розповсюдження товарів, тобто часткове чи повне покриття витрат на функціонування каналів розподілення.
Прийняття на себе ризиків, зокрема відповідальності за товар під час його просування до споживача.
Моїм завданням у курсовому проекті буде описати, хто з посередників і які функції буде виконувати.
При виборі посередників слід враховувати характеристики незалежних оптовиків з повним і обмеженим циклами обслуговування, а також агентів, комісіонерів і брокерів.
Далі потрібно обґрунтувати вибір кінцевої ланки каналів збуту. Роздрібний продаж товарів може здійснюватись через магазини, дилерів або організації позамагазинної торгівлі.
У даному випадку наше підприємство застосує трьох канальну систему розподілу, подану на рис.5
посередники
Рис. 10. Схема формування оптимальних каналів розподілу товару
Як бачимо із схеми, наше підприємство застосовує трьох канальну систему розподілу:
- Перший канал виробник-споживач це канал нульового рівня. Він характеризується тим, що виробник здійснює прямий маркетинг сам реалізує свій товар. При цьому каналі розподілу наше підприємство уникає витрат на дистрибюторів, зберігає контроль на продажем товарів. Методом прямого маркетингу буде продаж товарів у фірмових магазинах. Перевага цього каналу у тому, що споживач, перебуваючи у безпосередньому контакті з представниками фірми, може наочно переконатись у перевагах нашої продукції (як відомо, задоволений споживач є також і хорошою рекламою для підприємства), а також має можливість купити наш товар дешевше, без націнок.
- Другий канал виробник-роздрібний торговець-споживач це однорівневий канал. Цей канал розподілу передбачає продаж нашим підприємством товарів роздрібним торговцям, які, у свою чергу, продають їх кінцевим покупцям (споживачам).
- Третій канал виробник-агент-роздрібний торговець-споживач канал другого рівня. При цьому каналі розподілу наше підприємство використовуватиме промислових агентів, які відвідуватимуть роздрібні магазини і представлятимуть наш товар на професійному рівні.
Обсяг реалізації фірми є динамічним показником і внаслідок впливу різних факторів ( зміна економічної ситуації , дії конкурентів , тощо ) може падати. Тому слід провести аналіз беззбитковості і знайти точку критичного збуту , при якій ціна дорівнює собівартості і фірма за рахунок доходів від реалізації може лише покрити свої витрати
Точка критичного збуту ділить обсяг реалізації на два інтервали:
- інтервал , в якому фірма зазнає збитки, оскільки Ц<S
- інтервал , в якому фірма отримує прибутки, оскількиS ;
Значення критичного збуту визначається із рівняння:
,
звідси:
N=F/Ц-V= 20247/168,83-87=20247/81,83= 247 шт.
Графічна інтерпретація графіка беззбитковості :
Рис.11. Теоретичний рівень критичного збуту
Отже, нашій фірмі необхідно виготовляти 247 одиниць продукції, щоб покрити всі витрати.
Розділ 6. Планування кампанії по просуванню товару
Останнім етапом курсового проекту є формування системи маркетингових комунікацій (СМК), які фірма буде використовувати для просування свого товару на ринку.
До системи маркетингових комунікацій належать:
- реклама;
- стимулювання збуту;
- персональний продаж (прямий маркетинг);
- «паблік рілейшнз».
Кожному елементу комунікаційної політики притаманні специфічні прийоми та методи, однак всі вони переслідують одну мету сприяти успішному здійсненню генеральної стратегії підприємства.
При формуванні системи маркетингових комунікацій фірми, крім характеристик складових цієї системи, необхідно враховувати багато інших факторів, які визначають її ефективність, зокрема:
- тип товару чи ринку (виробники товарів широкого вжитку, зазвичай, більше коштів витрачають на рекламу);
- етап життєвого циклу товару;
- стратегія просування товару.
Склад комунікаційного комплексу фірми значною мірою залежить від вибору однієї з двох стратегій товаропросування. Стратегія «проштовхування» товару передбачає інтенсивне стимулювання сфери торгівлі для просування товару по каналу збуту. Виробник активно навязує товар оптовикам, ті, своєю чергою, активно працюють з роздрібною торгівлею, останні активно стимулюють продаж товару споживачам.
Стратегія «притягування» споживачів передбачає значні витрати на рекламу і стимулювання споживачів для формування у них попиту на товар. У разі успіху споживачі почнуть запитувати товар у магазинах, роздрібні торговці - в оптовиків, а ті, своєю чергою, - у виробників.
Моїм завданням буде описати, які заходи комунікаційного впливу буде використовувати фірма. Для цього я спробую обґрунтувати пріоритетність використання певної стратегії просування продукції на ринку (втягування чи проштовхування) і визначити цільову аудиторію комунікаційного впливу.
Виходячи із виданого завдання, необхідно детально описати дії фірми у межах окремої складової системи маркетингових комунікацій.
Головними цілями маркетингових комунікацій для фірми «C&G» є формування попиту на 3D-окуляри і стимулювання їх збуту.
Адресатами комунікаційної політики, від яких фірма очікує бажаного результату, є:
- постачальники і маркетингові посередники (співробітництво на взаємовигідних умовах);
- контактні аудиторії (сприяння діяльності фірми, формування і підтримка позитивної репутації фірми);
- органи державного управління (встановлення режиму найбільшого сприяння );
- споживачі ((головний адресат) інтенсивна купівля товару фірми).
Реклама фірми «C&G» в основному орієнтується на рекламу 3D-окулярів на місці продажу (у фірмових магазинах та у самому підприємстві).
Отже, враховуючи вище описане, почнемо детально описувати дії фірми в межах кожної складової СМК:
- Реклама.
Перш за все, для того, щоб привернути увагу споживачів, необхідно оригінально оформити дизайн наших фірмових магазинів, які знаходитимуться у різних містах України.
Ми розробимо дизайн наших магазинів, який буде мати такий вигляд:
- екстерєр: на фризі магазину будуть розташовані дві рекламні світлові вивіски: одна товарний знак нашої фірми, інша «Магазин 3D-технологій»; також вікна наших магазинів будуть оформлені за допомогою повно колірного зображення на самоклеючій плівці, де будуть зображені вироби нашого підприємства, в основному 3D-окуляри у різному дизайні та яскраво виділені, щоб привернути увагу покупців.
- інтерєр: приміщення наших магазинів буде оформлене у простому стриманому стилі, який не буде відволікати наших споживачів від продукції. Стіни будуть пофарбовані у білий колір, але для цікавості будуть розбавляти наш інтерєр елементи чорного та коралового кольорів (кольори товарного знаку), а також на стінах будуть зображені 3D-малюнки, за допомогою яких споживачі зможуть переконатись у функціональності наших виробів, підлога буде із плитки чорного кольору, а стеля буде оснащена люмінесцентними лампами, які будуть розміщені впоперек проходів та прилавків, що дасть змогу виглядати товарам привабливіше. 3D-окуляри будуть вільно розміщені на стендах та вітринах, які знаходитимуться на рівні очей у споживачів, для того щоб привернути їхню увагу та дати змогу покупцеві добре оглянути товар. Також наш товар, тобто 3D-окуляри, буде виділений із маси продукції світловими ефектами, які дозволять якісно показати товар, створити певний настрій та відчуття, які зміцнюють імідж магазину. Під кожним продуктом буде знаходитись пластикова етикетка, де буде вказана його ціна та функціональні можливості.
Наступним засобом організації реклами на місці продажу є обслуговуючий персонал наших магазинів, який працює на високому рівні. Наш персонал організовуватиме рекламу 3D-окулярів на місці продажу таким способом: для того щоб представити та переконати споживача у функціональності та зручності користування нашими 3D-окулярами будуть проводитись короткотривалі покази відеороликів на 3D-техніці, а також покупці можуть самостійно приміряти та порівнювати окуляри та використовувати їх, дивлячись на 3D-зображення на стінах магазину.
- Стимулювання збуту.
Для того, щоб стимулювати попит на наш 3D-окуляри, ми пропонуємо споживачам систему знижок, яка полягає у тому, що чим більшу кількість 3D-окулярів буде купляти покупець, тим більший відсоток знижки він отримає. Також у фірмових магазинах нашого підприємства будуть проводитись різні акції, розіграші цінних призів.
- Персональний продаж.
- Продаж через дистрибюторів, тобто наша фірма пропонує молодим та енергійним людям роботу, повязану із розповсюдженням 3D-окулярів на ринку.
- Фірмові магазини. Тут споживачі зможуть придбати наш товар, також проконсультуватись щодо його використання, можуть отримати гарантію на куплені товари, а також здійснити послугу ремонту техніки нашої фірми.
- «Паблік рілейшнз».
Позитивному іміджу фірми сприятиме торгівля через вистрибюторів, оскільки тоді фірма безпосередньо контактуватиме із споживачем, пропо-нуючи йому, як найкращий варіант покупки і таким чином максимально задовольняючи його потреби, крім цього фірма проводитиме конференції, де широкому загалу демонструватимуться новинки продукції, проводитимуться консультації з найрізноманітніших питань, які цікавитимуть споживачів.
Фактори, що визначають структуру СМК також необхідно враховувати
при формуванні системи маркетингових комунікацій фірми. Максимальних зусиль фірма повинна докласти на етапі виведення товару на ринок. Методи стимулювання збуту корисні для «підштовхування» споживачів до купівлі товару.
Такою буде наша система маркетингових комунікацій. Враховуючи те, що наш товар є відносно молодим на ринку, тому буде потребувати багато реклами, зокрема я вважаю, що для молодого товару доцільно використати стратегію «притягування», оскільки потрібно познайомити споживачів із ним, зацікавити їх, а тоді уже активно просувати товар по каналах збуту.
Фірма здійснює комунікаційну політику, основними цілями якої є формування попиту та стимулювання збуту продукції.
Підпорядкованими цілями є:
- інформування споживачів про товар;
- формування позитивного іміджу;
- мотивація споживачів;
- стимулювання купівлі товарів;
Основними адресатами комунікаційної політики є:
- споживачі;
- посередники;
- постачальники;
- контактні аудиторії.
Всі вище наведені заходи з проведення комунікаційної політики повинні забезпечити фірмі стабільний обсяг збуту і завоювання своєї частки ринку.
ВИСНОВКИ
Моїм завданням у даному курсовому проекті було розроблення комплексу маркетингу для фірми, що виробляє 3D-окуляри. В результаті проведених обчислень на основі даних отриманих у завданні до курсового проекту вдалось зясувати, що для даного товару характерна цінова еластичність попиту, тобто, має місце зв'язок ціни із попитом на товар.
Фірма буде діяти на ринку з середньою якістю продукції за ціною до 100-150 грн., та на ринку з високою якістю за ціною 150-200 грн.
Найбільше покупців очікується віком 19-30 років з доходом 600-4000 грн./міс., 31-45 років з доходом 600 і більше грн../міс., а також очікуються покупці віком більше 45 років з доходом 600-4000 грн./міс. Також будуть і покупці серед молоді віком до 18 років з доходом до 600 грн./міс.
Вдалось знайти оптимальну ціну на товар та обсяг збуту за оптимальної ціни:
Ц опт = 168,83 грн.
N опт = 416 шт.
Було також встановлено межу збуту за якого фірма покриває всі свої витрати, але не отримує прибутку, так звану точку беззбитковості:
N кр = 247 шт.
Для фірми було обрано трьох канальну систему збуту, яка забезпечувала б одночасно контакт із споживачем та з оптовиками.
ВИКОРИСТАНА ЛІТЕРАТУРА
- Гаркавенко С.С. Маркетинг. Підручник.К.:Лібра, 2002. 712с.
- Котлер Ф.Маркетинг менеджмент СПб: Питер Ком, 1999. 896 с.
- Крикавський Є.В., Чухрай Н.І., Промсловий маркетинг: Підручник. Львів: Видавництво НУ «Львівська політехніка», 2004. 472 с.
- Мороз Л.А., Чухрай Н.І. Маркетинг/ За наук. ред. Мороз Л.А.:Підручник. Львів: НУ «Львівська політехніка», 2005. 244 с.
- Скибінський С.В. Маркетинг. Ч 1: Підручник. Л. 2000. 640 с.
- Старостіна А.О. Маркетингові дослідження. Практичний аспект. К. М.: СПб: Видавничий дім «Вільямс», 1998. 262 с.

Рис.1.Найпопулярніші виробники 3D-окулярів
32%
5%
7%
37%
19%
Samsung
LG
NVIDIA
Sony
Panasonic
Рис.2.Основні характеристики при виборі 3D-окулярів
20%
24%
8%
15%
29%
4%
ціна
якість
дизайн
функції
фірма-виробнии
інші
Рис.3.Місця купівлі населенням 3D-окулярів
44%
12%
8%
36%
магазин
На ринкуі
у виробника
В Internet магазині
Фірма «C&G»
Роздрібний торговець
Фірмові магазини «C&G»
Споживач
истрибютор
Споживач
Роздрібний торговець
Споживач
Зона збитків
Зона прибуткової
роботи
Постійні витрати
Змінні витрати (VN) (605*N)
Сумарні витрати
(F+VN)
Дохід від реалізації
(ЦN)
ДВП
Д
N? jl
Nкр
Пmax
В
F

