Подготовка готовой продукции к перевозке
МИНИСТЕРСТВО ТРАНСПОРТА РОССИЙСКОЙ ФЕДЕРАЦИИ ФЕДЕРАЛЬНОЕ АГЕНТСТВО ВОЗДУШНОГО ТРАНСПОРТА
ФГбОУ ВПО «САНКТ-ПЕТЕРБУРГСКИЙ ГОСУДАРСТВЕНЫЙ УНИВЕРСИТЕТ ГРАЖДАНСКОЙ АВИАЦИИ»
Курсовая работа
по дисциплине «Грузоведение»
«Подготовка готовой продукции к перевозке.»
Выполнил(-а):
студент 331 уч.гр. ФАИТОП
Бурдаков А.Н.
Проверил(-а): Голубева К. И.
Санкт-Петербург
2015
Содержание.
|
1 Введение………………………………………………………………….... |
3 |
|
2 Исходные данные…………………………………………………………. |
3 |
|
3 Выбор упаковки груза и амортизационных материалов……………….. |
4 |
|
4 Определение оптимальных размеров амортизационных прокладок….. |
7 |
|
5 Формирование транспортного пакета…………………………………… |
8 |
|
5.1 Требования к идеальному транспортному пакету………………….. |
8 |
|
5.2 Определение размеров транспортной тары…………………………. |
8 |
|
5.3 Расчет прочности тары……………………………………………….. |
11 |
|
6 Расчет нагрузок……………………………………………...……………. |
13 |
|
6.1 Статические нагрузки………………………………………………… |
13 |
|
6.2 Динамические нагрузки……………………………………................. |
14 |
|
7 Расчет толщины термоусадочной пленки……………………………….. |
16 |
|
8 Расчет массы брутто и нетто грузового места………………………….. |
19 |
|
9 Объем грузового места и количество грузовых мест в партии………... |
20 |
|
9.1 Объем грузового места……………………………………………….. |
20 |
|
9.2 Количество грузовых мест в партии………………………………… |
21 |
|
9.3 Количество товаров в партии поставки……………………………... |
22 |
|
10 Вывод…………………………………………………………………….. |
23 |
- Введение.
Главная цель данной курсовой работы - произвести подготовку груза к перевозке несколькими видами транспорта. Подготовка груза к перевозке состоит в том, чтобы обеспечить сохранность и безопасность транспортирования отгружаемой продукции, рационально использовать подвижной состав, ускорить выполнение грузовых работ. Поэтому, для осуществления качественной перевозки груза необходимо соблюдать целый ряд условий перевозки: упаковку груза, транспортную маркировку, грамотное формирование транспортного пакета, произвести расчет нагрузок, действующих на тару и транспортный пакет, определить размещение груза в грузовом помещении транспортного средства.
- Исходные данные.
Виды транспорта:
- Автомобильный
- Водный
- Железнодорожный
Готовая продукция:
- Телефонный аппарат «Panasonic» 400 кг.
- Длина (l) = 400 мм.
- Ширина (b) = 250 мм.
- Высота (h) = 200 мм.
- Масса шт. (m) = 1,3 кг.
- Длина (l) = 400 мм.
- Электрическая швейная машина «Hand Hostess» 700 кг.
- Длина (l) = 900 мм.
- Ширина (b) = 450 мм.
- Высота (h) = 450 мм.
- Масса шт. (m) = 2,6 кг.
- Длина (l) = 900 мм.
- Посудомоечная машина «LG Clear» 600 кг.
- Длина (l) = 700 мм.
- Ширина (b) = 700 мм.
- Высота (h) = 900 мм.
- Масса шт. (m) = 40 кг.
- Длина (l) = 700 мм.
- Выбор упаковки груза и амортизационных материалов
Вся перевозимая мною техника очень чувствительна к повреждениям, и при ее перевозке следует соблюдать особые меры предосторожности.
В качестве потребительской тары будем использовать картонный ящик с амортизирующими материалами, телефонный аппарат нужно так же упаковать в воздушно-пузырьковую пленку, а швейную и посудомоечную машину упаковываем в термоусадочную пленку.
Выбор амортизационного материала определяется условием:
Gmin Gдоп , (1)
где
Gmin минимальное значение ударной перегрузки, которое может обеспечить амортизационный материал определенного вида в заданных условиях;
Gдоп - допускаемое значение ударной перегрузки (табл. 1.1).
Таблица 1.
Допустимые коэффициенты Gдоп для изделий машиностроения
|
Степень чувствительности изделий |
Группа изделий |
Gдоп |
|
Хрупкое |
Точные приборы с чувствительной механической опорой (гальванометры, электронные устройства) |
1520 |
|
Очень чувствительные |
Приборы и электронное оборудование с механическими противоударными подвесками, оборудование со встроенными электронными устройствами, электромеханические измерительные приборы |
2040 |
|
Чувствительные |
ЭВМ, точное металлорежущее оборудование, электромеханические приборы |
4060 |
|
Средней чувствительности |
Телерадиоаппаратура, приборы точной механики, механические контрольно-измерительные инструменты |
6085 |
|
Малочувствительные |
Металлорежущее оборудование, редукторы, электропривод, бытовое электрооборудование |
85110 |
|
Нечувствительные |
Комплектующие детали, металлообрабатывающий инструмент, другие детали(заготовки) |
110 и выше |
Минимальное значение ударной перегрузки находится по формулам:
Gmin = C H / b , (2)
где
С обобщенный коэффициент амортизации (табл. 1.1);
H максимальная высота падения изделия в упаковке, см;
b толщина амортизационной прокладки, см.
Таблица 2.
Коэффициенты амортизации С и С1
|
Материал |
Плотность |
Значение коэффициентов |
|
|
С |
С1 |
||
|
Пенополиуретан |
33 43 50 |
2,25 3,02 3,54 |
7,78 2,49 1,28 |
|
Пенополистерол |
23 |
2,83 |
0,24 |
|
Латексная губка |
132 162 207 |
5,09 3,19 5,15 |
2,38 2,88 0,54 |
|
Картон |
N1 N2 |
2,50 3,37 |
1,93 0,60 |
Толщину амортизационной прокладки находим по формуле:
(3)
1)Телефонный аппарат.
Для телефонных аппаратов в качестве амортизационного материала следует применять пенополистирол. Gдоп =60…85 (Gдоп =85).
2) Швейные и посудомоечные машины.
Для этой бытовой техники следует так же применять пенополистирол с допускаемым значением ударной перегрузки Gдоп =85…110. (Gдоп =110).
- Определение оптимальных размеров амортизационных прокладок
Площадь прокладки определяется на основании заданных параметров изделия:
S=Mg/P , (4)
где:
P статическое давление на амортизационную прокладку, H/см2;
М масса изделия, кг;
S площадь амортизационной прокладки, см2;
g ускорение свободного падения, м/с2.
Площадь амортизационной прокладки можно найти, учитывая обобщенный коэффициент амортизации:
S= С1Mg Gдоп , (5)
Телефонные аппараты:
S=0.241.31085=265,2 см2
Швейные машины:
S=0,242.610110=686,4 см2
Посудомоечные машины:
S=0,244010110=10560 см2
- Формирование транспортного пакета
5.1 Требования к идеальному транспортному пакету
Требования, предъявляемые к идеальному транспортному пакету:
- Скрепление транспортного пакета должно быть таковым, что при наклоне на 30° он должен оставаться целым.
- Размеры транспортного пакета: 8401240 мм, 10401240 мм, 12401640 мм.
- Пакет должен иметь возможность всестороннего осмотра.
- Пакеты должны обеспечивать механизацию и автоматизацию при проведении погрузочно-разгрузочных работ.
- С помощью пакета нужно использовать максимальную грузоподъемность и грузовместимость
- Пакеты должны быть приспособлены для выполнения погрузочно-разгрузочных работ грузоподъемным оборудованием общего назначения.
- Возможность штабелирования в несколько ярусов.
- Пакет должен быть защищен от внешних климатических воздействий и нагрузок.
- Обеспечение безопасности погрузочно-разгрузочных работ.
- Масса пакета не должна превышать: 8401240 мм 1 т.
- Определение размеров транспортной тары
Для транспортировки груза в качестве транспортной тары будет служить картонный ящик, внутренние размеры которого определяется по формуле:
(6)
где
внутренние размеры тары по соответствующей координате (длинна, ширина, высота);
размер потребительской тары по длине, ширине, высоте;
суммарная деформация единицы потребительской тары в направлении рассчитываемого размера;
размер вкладышей и амортизаторов;
зазор, необходимый для укладки сформированного блока товаров в потребительской упаковке в транспортную тару.
Я использую два способа вычисления количество упаковок в транспортном пакете:
, (7)
где
L длина транспортного пакета
B ширина транспортного пакета
H высота транспортного пакета
l длина упаковки груза
b ширина упаковки груза
h высота упаковки груза
оператор Антье
, (8)
1) Телефонный аппарат:
Ll=400+0+2*17+2*1=436мм
Lb=250+0+2*17+2*1=286 мм
Lh=200+0+2*17+2*1=236 мм
Количество упаковок в транспортном пакете:
1-ый способ:
- Для воздушной и ж/д перевозки:
n=(1200/436)(800/286)(1350/236)=20 ед. тары в пакете;
- Для морской перевозки:
n=(1200/436)(800/286)(1600/236)=28 ед. тары в пакете;
2-ой способ:
- Для воздушной и ж/д перевозки:
n=(1200/286)(800/436)(1350/236)=20 ед. тары в пакете;
- Для морской перевозки:
n=(1200/286)(800/436)(1600/236)=28 ед. тары в пакете;
2) Швейная электрическая машина:
Ll=900+0+2*13+2*1=928 мм
Lb=450+0+2*13+2*1=478мм
Lh=450+0+2*13+2*1=478мм
Количество упаковок в транспортном пакете:
1-ый способ:
- Для воздушной и ж/д перевозки:
n=(1200/928)(800/478)(1350/478)=2 ед. тары в пакете;
- Для морской перевозки:
n=(1200/928)(800/478)(1600/478)=3 ед. тары в пакете;
2-ой способ:
Не соответствует требованиям...
3) Посудомоечная машина:
Ll=700+0+2*13+2*1=728мм
Lb=700+0+2*13+2*1=728 мм
Lh=900+0+2*13+2*1=928 мм
Количество упаковок в транспортном пакете:
1-ый способ:
- Для воздушной и ж/д перевозки:
n=(1200/728)(800/728)(1350/928)=1 ед. тары в пакете; 1.6 1.1 1.4
- Для морской перевозки:
n=(1200/728)(800/728)(1600/928)=1 ед. тары в пакете;
2-ой способ:
- Для воздушной и ж/д перевозки:
n=(1200/728)(800/728)(1350/928)=1 ед. тары в пакете;
- Для морской перевозки:
n=(1200/728)(800/728)(1600/928)=1 ед. тары в пакете;
Внешние размеры транспортной тары рассчитывают по формулам:
Lвн = Lв + 2 lм , (9)
Bвн = Bв + 2 bм , (10)
Hвн = Hв + 2 hм , (11)
где:
Lвн , Bвн , Hвн - внешние размеры транспортной тары соответственно по длине, ширине, высоте, мм;
lм , bм , hм - толщина материала, из которого изготавливают транспортную тару, соответственно, по длине, ширине и высоте, мм.
1) Телефонный аппарат:
Lвн = 436 + 2*2 = 440 мм
Bвн = 286 + 2*2 = 290 мм
Hвн = 236 + 2*2 = 240 мм
2) Швейная электрическая машина:
Lвн = 928 + 2*5 = 938 мм
Bвн = 478 + 2*5 = 488 мм
Hвн = 478 + 2*5 = 488 мм
3) Посудомоечная машина:
Lвн = 728 + 2*5 = 738 мм
Bвн = 728 + 2*5 = 738 мм
Hвн = 928 + 2*5 = 938 мм
5.3 Расчет прочности тары
Необходимо определить сжимающие усилия на нижний ящик:
(12)
где :
сжимающее усилие на нижний ящик
масса груза
высота упаковки
число упаковок в штабеле
коэффициент запаса прочности, 
- Телефонный аппарат
- При сухопутной перевозке
Рсж=1,8101.3(5-1)=93,6 Н
- При морской перевозке
Рсж=1,8101.3(7-1)=140,4 Н
2) Швейная электрическая машина
- При сухопутной перевозке:
Рсж=1,8102,6(2-1)=46,8 Н
- При морской перевозке:
Рсж=1,8102,6(3-1)=93,6 Н
- Посудомоечные машины.
- При сухопутной перевозке:
Рсж=1,81040(1-1)= 0 Н
- При морской перевозке:
Рсж=1,81040(1-1)=0Н
- Расчёт нагрузок.
- Статические нагрузки
Статическое сжимающие усилие, которое должна выдерживать тара, расположенная в нижнем ряду штабеля, определяется по формуле:
, (13)
или
(14)
где высота штабеля
высота транспортной тары или пакета
число ярусов или рядов
масса тары с грузом
ускорение свободного падения
- Телефонный аппарат:
- При перевозке сухопутным транспортом:
Рсж=101,3(1308-218)/218=65 Н
- При перевозке водным транспортом:
Рсж=101,3(1590-218)/218=78 Н
- Электрические швейные машины:
- При перевозке сухопутным транспортом:
Рсж=102,6(926-463)/463=20 Н
- При перевозке водным транспортом:
Рсж=102,6(1389-463)/463=52 Н
- Посудомоечные машины:
- При перевозке сухопутным транспортом:
Рсж=1040(768-914)/914=0 Н
- При перевозке водным транспортом:
Рсж=1040(1536-914)/914=0Н
6.2 Динамические нагрузки
При перевозке грузов на пакет действуют вертикальная, продольная, поперечная инерционные силы:
- Вертикальная нагрузка:
(15)
где вертикальное ускорение в долях g
количество вертикальных рядов
масса груза в таре, в транспортном пакете.
- Продольная нагрузка:
(16)
где продольное ускорение в долях g
число грузовых единиц в продольном направлении.
- Поперечная нагрузка:
(17)
где поперечное ускорение в долях g
число грузовых единиц в поперечном направлении
- Телефонный аппарат:
- Влияние динамических нагрузок при перевозке груза автомобильным транспортом (а = 1,5g).
= 1,5101,3(5-1) = 78 Н
=1,5101,3(2-1) = 19,5 Н
= 1,5101,3(2-1) = 19,5 Н
- Влияние динамических нагрузок при перевозке груза железнодорожным транспортом (а = 2g).
= 2101,3(5-1) = 104 Н
=2101,3(2-1) = 26 Н
= 2101,3(2-1) = 26 Н
- Влияние динамических нагрузок при перевозке груза водным транспортом (а = 1g).
= 1101,3(5-1) = 52 Н
=1101,3(2-1) = 13 Н
= 1101,3(2-1) = 13 Н
- Швейные электрические машины:
- Влияние динамических нагрузок при перевозке груза автомобильным транспортом (а = 1,5g).
= 1,5102,6(2-1) = 39 Н
=1,5102,6(1-1) = 0 Н
= 1,5102,6(1-1) = 0 Н
- Влияние динамических нагрузок при перевозке груза железнодорожным транспортом (а = 2g).
= 2102,6(2-1) = 48 Н
=2102,6(1-1) = 0 Н
= 2102,6(1-1) = 0 Н
- Влияние динамических нагрузок при перевозке груза водным транспортом (а = 1g).
= 1102,6(2-1) = 26 Н
=1102,6(1-1) = 0 Н
= 1102,6(1-1) = 0 Н
- Посудомоечные машины:
- Влияние динамических нагрузок при перевозке груза автомобильным транспортом (а = 1,5g).
= 1,51040(1-1) = 0 Н
=1,51040(1-1) = 0 Н
= 1,51040(1-1) = 0 Н
- Влияние динамических нагрузок при перевозке груза железнодорожным транспортом (а = 2g).
= 21040(1-1) = 0 Н
=21040(1-1) = 0 Н
= 21040(1-1) = 0 Н
- Влияние динамических нагрузок при перевозке груза водным транспортом (а = 1g).
= 11040(1-1) = 0 Н
=11040(1-1) = 0 Н
= 11040(1-1) = 0 Н
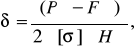
- Расчет толщины термоусадочной пленки
Для создания прочного транспортного пакета, его скрепляют термоусадочной пленкой. Толщина полимерной пленки определяется в зависимости от величины продольных инерционных сил. Эти силы возникают в процессе движения транспортного средства. Толщина полимерной пленки определяется по формуле:
(18)
или
(19)
где
продольная инерционная сила,
, (20)
коэффициент трения между поддоном и пакетом
сила тяжести пакета
высота верхнего слоя грузов в пакете в сечении разрыва
допустимое напряжение на растяжение пленки (= 900 Н\см2)
продольное ускорение в долях g, м\с2
Обтянем пакет полиэтиленовой пленкой толщиной слоя 0,001 см и пределом текучести 900Н/см2.
- Телефонный аппарат:
- Автомобильный транспорт
- Железнодорожный транспорт
- Водный транспорт
Отсюда получим, что необходимо обернуть пакет полиэтиленовой пленкой толщиной слоя 0,001 см и пределом текучести 900Н/см2 в 1 слой для каждого случая.
- Электрические швейные машины:
- Автомобильный транспорт
- Железнодорожный транспорт
- Водный транспорт
Отсюда получим, что необходимо обернуть пакет полиэтиленовой пленкой толщиной слоя 0,001 см и пределом текучести 900Н/см2 в 1 слой для каждого случая.
- Посудомоечные машины:
- Автомобильный транспорт
- Железнодорожный транспорт
- Водный транспорт
Отсюда получим, что необходимо обернуть пакет полиэтиленовой пленкой толщиной слоя 0,001 см и пределом текучести 900Н/см2 в 3, 4, 1 слой.
- Расчет массы брутто и нетто грузового места
Для нанесения транспортной маркировки на грузовом месте выполняются расчет брутто и нетто грузового места. Транспортный пакет есть грузовое место.
Брутто грузового места Мб это сумма масс: изделия Ми, транспортной упаковки Мту, поддона Мп и пленки Мпл:
, (21)
Где N число упаковок
Нетто грузового места Мн это масса нетто:
Мн= Ми N, (22)
- Телефонный аппарат:
- для сухопутной перевозок:
Мн = 1,320=87кг
- Для морской перевозки:
Мн = 1,328=36,4кг
- Электрические швейные машины:
- Для сухопутных перевозок:
Мн = 2,62=5,2кг
- Для морской перевозки:
Мн = 2,63=7,8кг
- Посудомоечные машины:
- Для сухопутных перевозок:
Мн = 401=40кг
- Для морской перевозки:
Мн = 401=40кг
- Объем грузового места и количество грузовых мест в партии
- Объем грузового места
Рассчитывается по формуле:
, (23)
Где ширина транспортного пакета
длина транспортного пакета
высота транспортного пакета
- Телефонный аппарат, электрическая швейная машина, посудомоечная машина:
- Для сухопутных перевозок:
- Для морской перевозки:
9.2 Количество грузовых мест в партии
Определяется по формуле:
(24)
Где объем перевозки грузов
масса транспортного пакета
- Телефонный аппарат:
- Для сухопутных перевозок:
шт.
- Для морской перевозки:
шт.
- Электрическая швейная машина:
- Для сухопутных перевозок:
шт.
- Для морской перевозки:
шт.
- Посудомоечная машина:
- Для сухопутных перевозок:
шт.
- Для морской перевозки:
шт.
- Количество товаров в партии поставки
Определяется по формуле:
Qм= nгмп nи nт, (25)
Где Qм - число изделий в партии поставки;
nт - количество транспортных тар в одном ТП;
nи - число изделий в одной транспортной таре;
nгмп количество грузовых мест в партии.
- Телефонный аппарат:
- Для сухопутных перевозок:
Qм= 5 1 20=100 шт
- Для морской перевозки:
Qм= 3 1 28=84 шт
- Электрическая швейная машина:
- Для сухопутных перевозок:
Qм= 22 1 2=44 шт
- Для морской перевозки:
Qм= 11 1 3=33 шт
- Посудомоечные машины:
- Для сухопутных перевозок:
Qм= 9 1 1=9 шт
- Для морской перевозки:
Qм= 6 1 1=6 шт
- Вывод.
В заключении хочется сказать, что подготовку груза к перевозке определяет транспортная характеристика перевозимого груза, а также величина нагрузок, действующих на груз в зависимости от вида транспорта, посредством которого осуществляется грузоперевозка.
В ходе проведения работы для перевозимых грузов я выбрал оптимальные варианты упаковки с точки зрения обеспечения сохранности груза и расхода упаковочных материалов.
Таким образом, комплексное решение задач по подготовке груза к перевозке позволяет осуществить качественную перевозку груза, обеспечив его сохранность, безопасность для окружающей среды, а также высокую экономическую эффективность перевозки.
Личная подпись студента__________________________
Рис 1. Схема размещения телефонного аппарата «Panasonic»
в транспортной таре.
|
Грузоведение |
||||||||||
|
Подготовка готовой продукции к перевозке |
Лит. |
Масса |
Масштаб |
|||||||
|
Иэм |
Лист |
№ документа |
Подп. |
Дата |
||||||
|
Разраб. |
Бурдаков А.Н. |
|||||||||
|
Пров. |
Голубева К.И |
|||||||||
|
Т. контр. |
Лист |
Листов |
||||||||
|
Курсовая работа |
||||||||||
|
Н. контр |
||||||||||
|
Утв |
Рис 2. Схема размещения Электрической швейной машины «Hand Hostess»
в транспортной таре
|
Грузоведение |
||||||||||
|
Подготовка готовой продукции к перевозке |
Лит. |
Масса |
Масштаб |
|||||||
|
Иэм |
Лист |
№ документа |
Подп. |
Дата |
||||||
|
Разраб. |
Бурдаков А.Н. |
|||||||||
|
Пров. |
Голубева К.И |
|||||||||
|
Т. контр. |
Лист |
Листов |
||||||||
|
Курсовая работа |
||||||||||
|
Н. контр |
||||||||||
|
Утв |
Рис 3. Схема размещения посудомоечной машины «LG Clear»
в транспортной таре
|
Грузоведение |
||||||||||
|
Подготовка готовой продукции к перевозке |
Лит. |
Масса |
Масштаб |
|||||||
|
Иэм |
Лист |
№ документа |
Подп. |
Дата |
||||||
|
Разраб. |
Бурдаков А.Н. |
|||||||||
|
Пров. |
Голубева К.И |
|||||||||
|
Т. контр. |
Лист |
Листов |
||||||||
|
Курсовая работа |
||||||||||
|
Н. контр |
||||||||||
|
Утв |
Рис 4. Маркировка транспортной тары (Телефонный аппарат
«Panasonic»)
|
Грузоведение |
||||||||||
|
Подготовка готовой продукции к перевозке |
Лит. |
Масса |
Масштаб |
|||||||
|
Иэм |
Лист |
№ документа |
Подп. |
Дата |
||||||
|
Разраб. |
Бурдаков А.Н. |
|||||||||
|
Пров. |
Голубева К.И |
|||||||||
|
Т. контр. |
Лист |
Листов |
||||||||
|
Курсовая работа |
||||||||||
|
Н. контр |
Рис 5. Маркировка транспортной тары (Электрическая швейная
машина «Hand Hostess»)
|
Грузоведение |
||||||||||
|
Подготовка готовой продукции к перевозке |
Лит. |
Масса |
Масштаб |
|||||||
|
Иэм |
Лист |
№ документа |
Подп. |
Дата |
||||||
|
Разраб. |
Бурдаков А.Н. |
|||||||||
|
Пров. |
Голубева К.И |
|||||||||
|
Т. контр. |
Лист |
Листов |
||||||||
|
Курсовая работа |
||||||||||
|
Н. контр |
||||||||||
|
Утв |
Рис 6 Маркировка транспортной тары (посудомоечная
машина «LG Clear»)
|
Грузоведение |
||||||||||
|
Подготовка готовой продукции к перевозке |
Лит. |
Масса |
Масштаб |
|||||||
|
Иэм |
Лист |
№ документа |
Подп. |
Дата |
||||||
|
Разраб. |
Бурдаков А.Н. |
|||||||||
|
Пров. |
Голубева К.И |
|||||||||
|
Т. контр. |
Лист |
Листов |
||||||||
|
Курсовая работа |
||||||||||
|
Н. контр |
||||||||||
|
Утв |
Рис 7. Транспортный пакет (Телефонный аппарат «Panasonic»)
|
Грузоведение |
||||||||||
|
Подготовка готовой продукции к перевозке |
Лит. |
Масса |
Масштаб |
|||||||
|
Иэм |
Лист |
№ документа |
Подп. |
Дата |
||||||
|
Разраб. |
Бурдаков А.Н. |
|||||||||
|
Пров. |
Голубева К.И |
|||||||||
|
Т. контр. |
Лист |
Листов |
||||||||
|
Курсовая работа |
||||||||||
|
Н. контр |
||||||||||
|
Утв |
Рис 8. Транспортный пакет (Электрическая швейная
машина «Hand Hostess»)
|
Грузоведение |
||||||||||
|
Подготовка готовой продукции к перевозке |
Лит. |
Масса |
Масштаб |
|||||||
|
Иэм |
Лист |
№ документа |
Подп. |
Дата |
||||||
|
Разраб. |
Бурдаков А.Н.. |
|||||||||
|
Пров. |
Голубева К.И |
|||||||||
|
Т. контр. |
Лист |
Листов |
||||||||
|
Курсовая работа |
||||||||||
|
Н. контр |
||||||||||
|
Утв |
Рис 9. Транспортный пакет (посудомоечная
машина «LG Clear»)
|
Грузоведение |
||||||||||
|
Подготовка готовой продукции к перевозке |
Лит. |
Масса |
Масштаб |
|||||||
|
Иэм |
Лист |
№ документа |
Подп. |
Дата |
||||||
|
Разраб. |
Бурдаков А.Н. |
|||||||||
|
Пров. |
Голубева К.И |
|||||||||
|
Т. контр. |
Лист |
Листов |
||||||||
|
Курсовая работа |
||||||||||
|
Н. контр |
||||||||||
|
Утв |
Рис 10. Схема действия сил на пакет, скрепленный
термоусадочной пленкой
|
Грузоведение |
||||||||||
|
Подготовка готовой продукции к перевозке |
Лит. |
Масса |
Масштаб |
|||||||
|
Иэм |
Лист |
№ документа |
Подп. |
Дата |
||||||
|
Разраб. |
Бурдаков А.Н. |
|||||||||
|
Пров. |
Голубева К.И |
|||||||||
|
Т. контр. |
Лист |
Листов |
||||||||
|
Курсовая работа |
||||||||||
|
Н. контр |
||||||||||
|
Утв |
PAGE \* MERGEFORMAT1
EMBED Equation.3
Изделие
Тара
17 мм
286 мм
250 мм
1 мм
400 мм
436 мм
Изделие
Тара
13 мм
478 мм
450 мм
1 мм
900 мм
928 мм
Изделие
Тара
1 мм
13 мм
700 мм
728 мм
700 мм
728 мм


Салон с/с «Связной»
г. Санкт-Петербург, Невский пр-т, 70.
ОАО «Наноэлектроника»
435346, г.Казань, ул. Орджоникидзе, 22
Республика Татарстан
1,8 кг
1,3 кг
43,6х28,6х23,6 см
0,03 м3

Магазин бытовой э/техники
«Медиа Маркет»
г. Санкт-Петербург, Пулковское шоссе 39,
ОАО “Бытовик» г Уфа
ул.Советская д21 к.3
р.Башкортостан
92,847,847,8 см
0,2 м3
3,0 кг
2,6 кг


Магазин бытовой э/техники
«Медиа Маркет»
г. Санкт-Петербург, Пулковское шоссе 39,
Германия г. Берлин «Washen»
72,872,892,8 см
0,5 м3
40,7 кг
40 кг
800
1200
800
1200
800
1200
PR
Pпр
R
R
G
FТР
Hпл
Подготовка готовой продукции к перевозке